Resumen
Objetivo: Estimar los años potenciales de vida perdidos y la distribución espacial de la mortalidad por incidente vial según modo de transporte en Medellín 2010-2020, como línea base para la implementación de la estrategia Visión Cero, de la Organización Mundial de la Salud, en la movilidad de la ciudad.
Metodología: Estudio retrospectivo y descriptivo de corte transversal, con fuente secundaria. El cálculo de los años potenciales de vida perdidos se hizo tomando como edad límite la esperanza de vida al nacer de Colombia, según año y género. El análisis espacial se realizó a partir de la dirección del incidente; la representación de la densidad de Kernel fue por el método de clasificación estándar-cuantil, y las zonas de influencia se crearon por el método búfer de anillos múltiples, con distancias de 500 y 1000 metros.
Resultados: Medellín, entre 2010 y 2020, registró 2988 muertes por incidente vial. Quienes más murieron fueron los peatones, con 1423 (47,6 %) muertes, seguidos por los motociclistas, con 1295 (43,3 %). Los años potenciales de vida perdidos fueron 98 787. Las comunas de mayor concentración en muerte de peatones fueron: Candelaria, Buenos Aires y Manrique; en motociclistas, la mayor concentración se evidenció en el sistema vial del río. Por zonas de influencia, los peatones fallecidos en un radio de 1000 metros del sistema vial del río fueron 688 (49,8 %), y los motociclistas, 636 (52,2 %).
Conclusión: Los motociclistas fueron quienes murieron más jóvenes y más años dejaron de vivir. Politraumatismos son diagnósticos constantes de muerte, pero lesiones en cabeza, cráneo y tórax son más letales en peatones y motociclistas.
Palabras clave: Años potenciales de vida perdidos, esperanza de vida, accidentes de tránsito, mortalidad, muerte prematura, sistemas de información geográfica.
Abstract
Objective: To estimate the potential years of life lost and the spatial distribution of mortality from road incidents by mode of transport in Medellín 2010-2020, as a baseline for the implementation of the Vision Zero strategy of the World Health Organization in the city's mobility.
Methodology: This is a retrospective and descriptive cross-sectional study, with a secondary source. The calculation of the potential years of life lost was made using the life expectancy at birth in Colombia as the age limit, according to year and gender. The spatial analysis was carried out from the direction of the incident; Kernel density was represented by the standard-quantile classification method, and the zones of influence were created by the multiple ring buffer method, with distances of 500 and 1000 meters.
Results: Between 2010 and 2020, Medellín registered 2,988 deaths due to road incidents. Those who died the most were pedestrians, with 1,423 (47.6%) deaths, followed by motorcyclists, with 1,295 (43.3%). Potential years of life lost were 98,787. The zones (comunas) with the highest concentration of pedestrian deaths were: Candelaria, Buenos Aires and Manrique; in motorcyclists, the highest concentration was evidenced in the river road system. By areas of influence, pedestrians killed within a radius of 1,000 meters from the river road system were 688 (49.8%), and motorcyclists, 636 (52.2%).
Conclusion: Motorcyclists were the ones who died the youngest and the most years they stopped living. Polytrauma is a constant diagnosis of death, but injuries to the head, skull and thorax are more lethal in pedestrians and motorcyclists.
Keywords: potential years of life lost, life expectancy, traffic accidents, mortality, premature death, geographic information systems.
Resumo
Objetivo: Estimar os anos potenciais de vida perdidos e a distribuição espacial da mortalidade por incidente de trânsito segundo o modo de transporte em Medellín 2010-2020, como linha base para a implementação da estratégia Visão Zero, da Organização Mundial da Saúde, na mobilidade da cidade.
Metodologia: Estudo retrospectivo e descritivo de corte transversal, com fonte secundária. O cálculo dos anos potenciais de vida perdidos foi feito considerando como idade limite a esperança de vida ao nascer da Colômbia, segundo ano e gênero. A análise espacial realizou-se a partir do local do incidente; a representação da densidade de Kernel foi pelo método de classificação padrão-quantil, e as zonas de influência criaram-se pelo método buffer de anéis múltiplos, com distâncias de 500 e 1000 metros.
Resultados: Medellín, entre 2010 e 2020, registrou 2988 mortes por incidente de trânsito. O maior número de mortes foi de pedestres, sendo 1423 (47,6%), seguido pelo de motoqueiros, sendo 1295 (43,3%). Os anos potenciais de vida perdidos foram 98.787. As localidades com maior concentração de mortes de pedestres foram: Candelaria, Buenos Aires e Manrique; no caso dos motoqueiros, a maior concentração evidenciou-se no sistema viário do rio. Por zonas de influência, os pedestres falecidos em um raio de 1000 metros do sistema viário do rio foram 688 (49,8%), e os motoqueiros 636 (52,2%).
Conclusão: Os motoqueiros foram quem morreram mais novos e mais anos deixaram de viver. Politraumatismos são diagnósticos constantes de morte, mas lesões na cabeça, no crâneo e no tórax são mais letais em pedestres e motoqueiros.
Palavras chave: Nos potenciais de vida perdidos, esperança de vida, acidentes de trânsito, mortalidade, morte prematura, sistemas de informação geográfica.
Investigación
Años de vida perdidos y distribución espacial de la mortalidad por incidente vial en Medellín, 2010-20201
Years of life lost and spatial distribution of mortality from road incidents in Medellín, 2010-2020
Anos de vida perdidos e distribuição espacial da mortalidade por incidente de trânsito em Medellín, 2010-2020
Recepción: 18 Noviembre 2021
Aprobación: 13 Febrero 2023
La movilidad humana es una característica que ha moldeado la civilización desde sus etapas más tempranas, permitiendo al ser humano evolucionar, mejorar sus condiciones de vida y conquistar nuevas y mejores tierras para vivir, trabajar o interactuar como especie. Sin embargo, el derecho a ejercerla en condiciones de seguridad, accesibilidad, eficiencia, sostenibilidad e inclusión supera los límites de la libertad, en tanto este derecho no es absoluto. Por ejemplo, el artículo 24 de la Constitución de 1991 protege el derecho a la libertad de locomoción desde dos acepciones: por una parte, se trata del derecho a movilizarse dentro del territorio y a salir de él, especialmente por las vías y el espacio público y, por otra, el derecho a residenciarse y permanecer en Colombia. No obstante, la misma norma constitucional consagra que no se trata de un derecho absoluto y que puede ser limitado por la ley, incluso por aspectos como privación del espacio público y vías, mal parqueo, mala clasificación del suelo, uso del espacio público para actividades comerciales, o las mismas condiciones de seguridad y conflicto del país hacen e impiden que el movernos supere nuestras libertades.
Asimismo, esta movilidad se restringe por variables de lo humano, social y normativo, como el estrato socioeconómico, el nivel académico, los acuerdos internacionales, las normas, los decretos y las leyes que restringen la movilidad humana, las normas de ingreso de vehículos seguros con altos estándares de seguridad, y con baja emisión, entre otras. Todas estas variables influyen directamente en la seguridad, accesibilidad, eficiencia y sostenibilidad. Estas variables determinan e incrementan la exposición al riesgo vial, ya que la mediación de las mismas, en el proceso de movilidad, propician comportamientos indebidos que asociadas con las carencias de infraestructura vial y vehículos seguros, elevan la probabilidad de sufrir un incidente vial con mayores consecuencias fatales por incremento de exposición al riesgo vial, el cual deja cada día unas 4000 mil muertes y millones de lesionados que sufren traumatismos o secuelas graves, con afectación principalmente en adolescentes y adultos jóvenes que se encuentran en la etapa más productiva, y que generan impacto negativo en la economía, la sociedad y calidad de vida de las familias. Estos factores hacen de la muerte vial un desafío de salud pública de más de un siglo de evolución, desde la misma masificación de los vehículos a motor [1,2].
Los incidentes viales llevan a la muerte cada año a 1,4 millones de personas en todo el mundo, siendo la principal causa de muerte entre jóvenes de 15 a 29 años. Los varones jóvenes tienen tres veces más probabilidad de morir en un incidente frente a las mujeres; el 73 % de muertes ocurre en hombres menores de 25 años. Son muertes prematuras, evitables, que constituyen un problema antiguo, creciente y prioritario en el mundo moderno, por la frecuencia y los efectos nocivos, principalmente por la pérdida de fuerza laboral actual y futura de las naciones, con una mayor incidencia en países pobres, donde los costos de los incidentes viales asciende al 3 % de su producto interno bruto, y que son producto de gastos en tratamientos médicos, pérdida de productividad de las personas que mueren o quedan con discapacidad por lesiones o traumas, y pérdida del tiempo de trabajo o estudio que familiares de lesionados deben destinar para atender a las víctimas [3].
La muerte vial afecta desproporcionadamente a los más vulnerables de la vía, los peatones, ciclistas, patinadores y motociclistas, quienes por carencia o deficiencia de elementos de protección que puedan absorber el impacto, por diferencias en masa y por la velocidad de los vehículos sufren lesiones y traumas más graves. Según la Organización Mundial de la Salud ( OMS), son los usuarios vulnerables de la vía quienes representan más de la mitad de todas las muertes viales en todo el mundo: los motociclistas constituyen el 28 % de todas las víctimas mortales; los peatones, el 23 %, y los ciclistas, el 3 % [4,5].
En la región de las Américas mueren 155 000 personas al año en incidentes viales, el 12 % de las muertes por incidente vial en el mundo. Debido a que para la publicación de estas estadísticas no se hacen análisis de tipo epidemiológico y contextual, detrás de esta cifra se oculta que las muertes por esta causa se distribuyen de manera desigual de un país a otro; además, la distribución de estas no es acorde con el nivel de ingresos, y la carga de mortalidad es mayor en países de ingresos medianos que en los países de ingresos altos. El 73 % de las muertes por esta causa tienen lugar en países de ingresos medios, y el 26 %, en los de ingresos altos, indicando desproporción en relación con el nivel de motorización [5]. El 1 % restante corresponde a causas mal clasificadas, y datos faltantes o inconsistentes.
En muchos países del mundo, en especial aquellos de economías emergentes, el riesgo de lesión o muerte vial depende de diversos determinantes sociales, como conducir bajo los efectos del alcohol, el exceso de velocidad, el modo de desplazamiento, así como del nivel de desarrollo urbano y de infraestructura vial [4]. Aunque países de la región americana han incorporado intervenciones para reducir el riesgo vial, el avance ha sido lento. Los Estados deberían apresurarse en la aplicación de medidas eficaces en seguridad vial para lograr el cumplimiento de las metas propuestas por Naciones Unidas, y adoptadas en los objetivos de desarrollo sostenible (ods), para reducir a la mitad las muertes y los traumatismos causados por incidentes viales a nivel mundial. El año 2030 es el final de los ODS y de la nueva década de acción en seguridad vial, por lo que, sin medidas eficaces, Medellín y el mundo repetirían el fracaso observado entre 2010 y 2020, donde no se alcanzaron metas propuestas de reducción de muerte y lesión vial [1,2].
En Colombia, entre los años 2010 y 2020, murieron 68 472 personas en incidentes viales, en promedio 6224 muertes / año. La mortalidad vial se ha mantenido entre las 10 primeras causas de muerte, en el octavo lugar, y es la segunda en el grupo de las muertes violentas, después del homicidio [6,7]. En 2019, se registraron 175 604 incidentes viales, 743 977 lesionados y 40 563 lesionados graves, que generaron 45 525 hospitalizaciones. Entre los 6495 fallecidos de 2019, los porcentajes más significativos fueron el 54 % de motociclistas, y el 25 % de peatones; aproximadamente, el 70 % de estos murieron el mismo día del incidente, por contundencia del impacto y traumas graves [6].
Medellín, en la última década, estuvo entre las tres primeras ciudades del país con mayor muerte vial, junto con Bogotá y Cali [7]. Y aunque la ciudad, en los últimos diez años, ha evidenciado descensos leves en mortalidad vial, y se destaca por acciones como la adopción de la estrategia Visión Cero, de la Organización Mundial de la Salud, para la reducción de la mortalidad por incidente vial -en la que se acepta que, como tales, los “accidentes” no existen, sino que son incidentes prevenibles, y se considera que es moralmente irresponsable que las personas mueran por ir a la escuela, viajar en bicicleta o ir a trabajar-, la tasa de muerte vial sigue siendo alta, al estar por encima de 10 por cada 100 000 habitantes, cifra muy elevada respecto a parámetros internacionales [8].
Visión Cero, como estrategia de ciudad, requiere estructura organizacional, liderazgo y acciones transversales a nivel intra e interinstitucional, que permitan alcanzar un hito histórico de cero muertes en vías de la ciudad a largo plazo, por lo que, a mediano plazo, cumplir las metas del “Plan de Desarrollo Medellín Futuro 2020-2023” de reducir la tasa de mortalidad vial de 10 a 5 por 100 000 habitantes requiere compromiso institucional y ciudadano [9].
La adopción de la estrategia Visión Cero, el cumplimiento de las metas propuestas en el Plan de Desarrollo y la reducción de la tasa de mortalidad anteriormente mencionados amerita análisis, comprensión del fenómeno y estimación de una línea base que describa y explore las características de la mortalidad vial según el modo de transporte, que permita centrar las intervenciones en el territorio desde los niveles institucional, técnico y social, y posibilite a futuro la medición, el monitoreo y la comparación que oriente la toma de decisiones en la implementación de la estrategia Visión Cero [8,9].
Por lo anteriormente expuesto, en esta investigación se planteó estimar los años potenciales de vida perdidos y la distribución espacial de la mortalidad por incidente vial según modo de transporte en Medellín, entre los años 2010 y 2020, como línea base para la implementación de la estrategia Visión Cero en la movilidad. Además, permite saber cómo está la ciudad en un periodo de tiempo frente a ese fenómeno, evaluarlo a futuro y si las acciones implementadas como parte de la estrategia Visión Cero a partir de 2020 tienen algún efecto en la mortalidad. De paso, este análisis apoya o justifica la implementación de la estrategia, la toma de decisiones y la destinación de recursos.
Estudio retrospectivo y descriptivo de corte transversal, con fuente secundaria, recolectada a través del Sistema de Información Red de Desaparecidos y Cadáveres, plataforma web que intercambia información de entidades y sirve como herramienta eficaz para los procesos de registro de personas desaparecidas e información sobre cadáveres sometidos a necropsia médico-legal en Colombia, y que permite a las autoridades judiciales la identificación de casos [10,11]. La base de datos fue suministrada por el Instituto Nacional de Medicina Legal y Ciencias Forenses (inmlcf).
La población de estudio estuvo constituida por la totalidad de registros de defunciones tabuladas por el inmlcf como muertes violentas asociadas a eventos de transporte, y clasificadas según modo, como: peatonal, motocicleta, automóvil y ciclista.
No se realizó procedimiento o selección de muestra. Se analizó el total de registros que cumplieran con los siguientes criterios: registro de persona fallecida por incidente vial en Medellín; que la muerte hubiera ocurrido de 2010 a 2020, y registros de muerte vial clasificadas según modo de transporte.
Para el análisis geográfico, fueron excluidos los registros que en la variable “dirección de ocurrencia” estuvieran sin información o mal diligenciados según estándares de completitud y exactitud.
El cálculo de los años potenciales de vida perdidos (apvp) se realizó según recomendaciones de la OMS, y se definió la muerte prematura como aquella que ocurre antes de alcanzar la esperanza máxima de vida [12,13].
Los apvp son una medida de resumen que ilustra la pérdida que sufre la sociedad como consecuencia de la muerte de personas jóvenes o de defunciones prematuras; es una estimación de cuántos años más pudo haber llegado a vivir una persona si no hubiera muerto. Este indicador toma en cuenta el número de muertes por una causa y la distribución de las personas según el grupo de edad [14,15].
Según se les concibe, los apvp aplican más peso a las muertes de personas jóvenes que en muertes de mayores, ya que aquellas pierden más años de vida al morir [15].
La edad límite fue la esperanza de vida al nacer (EVN) de Colombia, estimada por el Departamento Administrativo Nacional de Estadística (DANE) según género y año, con valores que oscilaron entre 2010 y 2020 de 71 a 74 años para los hombres, de 78 a 80 años para las mujeres, y de 74 a 77 años para ambos sexos [16].
La variable “edad” se organizó en grupos quinquenales, y para cada uno de estos grupos se estimó la medida estadística “marca de clase”.
El factor de ponderación es el resultado de la diferencia entre la EVN y la marca de clase. Para la obtención de los apvp, se multiplicó el factor de ponderación por cada una de las defunciones en cada grupo etario.
Por último, el índice de años potenciales vida perdidos (iapvp) es el resultado de la división entre los apvp y las proyecciones de población por grupo de edad y año del DANE, multiplicados por 100 000 [13].
La geocodificación de las muertes por incidente vial se realizó según dirección de ocurrencia del incidente, siendo esta variable previamente normalizada y estandarizada según parámetros de geolocalización. Los sitios de ocurrencia se ubicaron haciendo uso del geocodificador masivo de Medellín “MapGis” (de uso libre), el cual toma la tabla de direcciones y utiliza un geolocalizador para crear entidades de puntos que representan las ubicaciones de las direcciones en un espacio geográfico, lo que permite, mediante un identificador único, distinguir inequívocamente una entidad [17,18].
El porcentaje de direcciones geocodificadas y ubicadas en la malla vial fue de 97 % para peatones, 97 % motociclistas, 95 % automóvil y 99 % ciclistas. Las no encontradas fueron revisadas una por una, con el fin de detectar posibles errores, lo que posibilitó que se aumentara el porcentaje global de ubicación en 1 %, desestimando así el 3 % de casos por no ubicación.
Posterior a la geocodificación de las direcciones, se realizaron mapas utilizando la función densidad de Kernel para entidades tipo punto, “la cual calcula la densidad de las entidades de punto alrededor de cada celda ráster de salida […]” [19]. El valor de superficie es más alto en la ubicación del punto y disminuye a medida que aumenta la distancia desde el punto” [20].
La representación espacial de la densidad se realizó mediante el método de clasificación estándar-cuantil, donde “cada clase contiene el mismo número de entidades, y el cuantil asigna el mismo número de valores de datos a cada clase; no hay clases vacías, ni con poco o demasiados valores” [21]. La aplicación de este método visualiza las clases a través de una rampa de colores que van de claro a oscuro, siendo las clases oscuras las de mayor valor; esto permite identificar espacialmente sitios con alta o baja densidad [22].
La creación de zonas de influencia con proximidad al sistema vial del río Medellín se realizó por el método búfer de anillos múltiples, con distancias de 500 y 1000 metros, tomando como punto de referencia el sistema vial del río, conformado por la Avenida Regional, la Autopista Sur y la Avenida Paralela, corredor estratégico de alto aforo vehicular que concentra la mayor proporción de incidentes viales, haciendo de este sistema vial que atraviesa la ciudad de norte a sur el más fatal, donde incidentes entre camiones y motocicletas hacen que se pierda en promedio una vida al mes [23].
Esta técnica permite crear zonas de influencia a distancias específicas y alrededor de una entidad de entrada, posibilitando la cuantificación de casos dentro de dichas zonas. Los anillos generados se clasificaron por rango de colores, para delimitar el patrón de proximidad, siendo el más oscuro el de mayor cercanía [22].
Las capas en formato Shapefile (shp) para georreferenciar la información se descargaron del catálogo geográfico de Medellín [24].
Esta investigación estuvo regida por aspectos éticos de la Resolución 8430 de 1993 del Ministerio de Salud, que en su artículo 11 la clasifica sin riesgo [25]. También se da cumplimiento a la Ley 1581 de habeas data de 2012 y su Decreto reglamentario 1317 de 2013 [26,27].
Al ser una base de datos anonimizada, se garantiza la no identificación e individualización de casos, garantizando así el derecho a la intimidad personal, familiar y buen nombre, según artículo 15 de la Constitución Política de Colombia [28].
Para el procesamiento, el análisis y la presentación de la información se utilizó el software estadístico ibm spss 21®, geocodificador masivo de Medellín MapGis desarrollado por H&G bajo las plataformas ArcGIS Server/Java, ArcGIS 10®, Microsoft Excel y Word, licencias de la Universidad de Antioquia.
En Medellín, entre 2010 y 2020, el INMLCF registró 2988 muertes por incidente vial, 2378 (79,6 %) hombres y 610 (20,4 %) mujeres. Por modo de transporte, quienes más murieron fueron los peatones: 1423 (47,6 %), seguidos por motociclistas, 1295 (43,3 %), personas que se movilizaban en automóvil, 142 (4,8 %), y ciclistas, 128 (4,3 %). La edad de las personas muertas osciló de 1 a 98 años, con media de 44 (desviación estándar -de- 21) y moda de 27. El 50 % tenía 40 años o menos, y 2253 (75,4 %) personas era la población económicamente activa de 15 a 64 años.
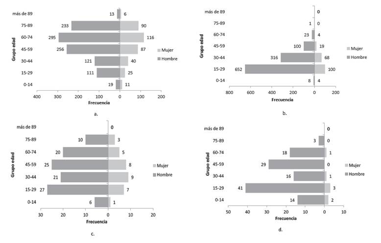
Por género y grupo de edad, la más alta mortalidad de peatones se registró en personas adultas y mayores de 45 años. El grupo etario con mayor afectación fue el de hombres, entre 60 y 74 años, con 295 (28,1 %) muertes.
Los motociclistas hombres murieron más que las mujeres, con mayor frecuencia en el grupo de edad de 15 a 29 años, con 652 (59,0 %) registros, más del doble de muertes ocurridas en el grupo de moteros hombres de 30-44 años, donde ocurrieron 316 (28,7 %) muertes. Los hombres en automóvil murieron más que las mujeres, siendo el grupo de edad de 15 a 29 años el de mayor mortalidad, con 27 (24,8 %) muertes en total. Por su parte, los ciclistas hombres murieron mayoritariamente: 121 (95 %) casos, con mayor incidencia en el grupo etario de 15 a 29 años, con 41 (33,9 %) muertes, seguido del grupo de edad 45-49 años, con 29 (24,0 %) registros (véase Figura 1].

En general, las personas que más murieron en incidente vial en Medellín eran de nivel académico bajo, 918 (30,7 %) con básica primaria y 1086 (36,3 %) con básica secundaria (véase Tabla 1].

Por modo, los peatones fallecidos que alcanzaron como máximo básica primaria fueron 630 (44,3 %); los motociclistas que obtuvieron secundaria, 680 (52,5 %); las personas en automóvil con nivel académico secundaria murieron 51 (35,9 %), y los ciclistas fallecidos con básica primaria, 45 (35,2 %). Según el estado civil de la víctima, quienes más murieron fueron los solteros, con 1340 (44,8 %) casos.
El tipo de incidente más común fue el atropello, con 1425 (47,7 %) muertes. En este tipo de incidente, murieron el 100 % de peatones; los motociclistas murieron más al colisionar con otro vehículo -812 (62,7 %)-. En automóvil, el mayor número de muertes se registró como caída de ocupante, con 51 (35,9 %) casos, mientras que los ciclistas murieron más al colisionar con otro vehículo, con 97 (75,8 %) registros.
El año con mayor mortalidad fue 2013, con 310 (10,4 %) decesos. Los peatones murieron más en el año 2010, con 177 (12,4 %) registros; los motociclistas, en 2011, con 136 (10,5 %) muertes; en 2011, las personas que murieron en automóvil fueron 22 (15,5 %), y los ciclistas, en los años 2017 y 2019 presentaron un número de muertes igual, 14 (10,9 %), por año.
Entre 2010 y 2020, por comuna de ocurrencia del incidente, la de mayor mortalidad vial fue La Candelaria, con 684 (22,9 %) muertes. En esta comuna, la mortalidad vial, según modo, tuvo la siguiente distribución: 458 (32,2 %) peatones, 186 (14,4 %) motociclistas, 19 (13,4 %) en automóvil, y 21 (16,4 %) ciclistas. Los corregimientos de la ciudad sumaron 233 (7,8 %) muertes; el de mayor mortalidad fue San Cristóbal, con 80 (2,7 %) muertes, y el de menos, Altavista, con 17 (0,6 %).
La lesión más frecuente fue el politraumatismo; lo sufrieron los peatones y los motociclistas en porcentajes iguales o superiores al 60 %. Los porcentajes más altos de lesiones en todos los modos de transporte se registraron en la cabeza, el cráneo y el tórax, con una mayor frecuencia de esta lesión en peatones y motociclistas. Las lesiones en cara, cuello y miembros superiores se manifestaron en menor proporción (véase Figura 2].

Durante el periodo de análisis, se presentó una pérdida de 98 787 años potenciales de vida por causa de incidentes viales, con un promedio de 8981 apvp por año, y una tasa de 398 apvp por cada 100 000 habitantes. El año en que más años se dejaron de vivir fue el 2011 (véase Tabla 2].
Los motociclistas fueron los que más años perdieron, con 58 505 en total (iapvp = 236 × 100 000 habitantes), seguido de 30 569 años perdidos por peatones (iapvp = 123 × 100 000 habitantes). Los ciclistas perdieron 5101 años (iapvp = 20 × 100 000 habitantes), y las personas en automóvil, 4613 (iapvp = 19 × 100 000 habitantes).
Los motociclistas hombres perdieron 46 178 años potenciales de vida, y los peatones, 20 456; en mujeres, las motociclistas y las peatonas perdieron 9409 y 1174 años potenciales de vida, respectivamente.

Las vías de mayor concentración de muerte vial para peatones fueron: la autopista norte, la avenida Guayabal, la calle San Juan y la carrera 80; en comunas, La Candelaria, Buenos Aires, Manrique y Aranjuez evidenciaron alta densidad. Las comunas Popular, San Javier, Belén y Laureles Estadio registraron concentraciones altas y aisladas de muerte peatonal.
Las zonas de mayor concentración en muertes de motociclistas se registran desde el norte hasta el sur de la ciudad, específicamente en el sistema vial del río Medellín, además de la zona centro y nororiental, con extensión hacia la comuna Buenos Aires y vía al corregimiento Santa Elena (véase Figura 3].

Zonas de la ciudad con vías de alto aforo vehicular y desarrollo de altas velocidades, como las autopistas norte y sur, y la calle San Juan, registraron alta densidad de muerte vial en motociclistas.
La más alta densidad de muertes en ciclistas se encontró entre la zona centro y sur de la ciudad, en barrios como Alpujarra, Colombia, Cerro Nutibara, San Bernardo, Juan Pablo Segundo, Trinidad y Las Playas, barrios pertenecientes a las comunas Guayabal, Poblado, Belén y Candelaria.
En automóvil, una de las zonas de mayor densidad tuvo similitud con la de ciclistas, encontrándose esta entre los barrios Alpujarra, Cerro Nutibara, Colombia, Santa Fe, Perpetuo Socorro, Conquistadores y Villa Carlota, también del centro al sur de la ciudad. Otra zona de concentración de muertes en automóvil se evidenció en la autopista norte, carrera 64C.
Al determinar las zonas de influencia en el sistema vial del río, se encontró que el número de peatones fallecidos en un radio de 500 metros fueron 420 (30,4 %), y a 1000 metros, 688 (49,8 %). En motociclistas, 467 (38,3 %) murieron a 500 metros, y 636 (52,2 %) a 1000 metros del sistema vial del río. En automóvil, se registraron 37 (31,1 %) incidentes mortales a 500 metros, 53 ( 44,5 %) a 1000 metros, y de las 111 muertes en ciclistas, 34 (30,6 %) ocurrieron en un radio de 500 metros, y 48 (43,2 %) a los 1000 metros de distancia (véase Figura 4].

La muerte y la lesión vial han sido por décadas un problema desatendido, convirtiendo la movilidad en los centros urbanos de América Latina y el Caribe en una actividad de alto riesgo, donde las personas en automóvil representaron el 34 % de muertes viales; los motociclistas, el 23 %; los peatones, el 22 %, y los ciclistas, el 3 %; el 18 % restante no están especificadas [5]. Medellín evidenció mejoras y avances respecto a la gestión institucional, la transformación cultural y la adopción de la estrategia Visión Cero para intervenir factores de riesgo; sin embargo, la ciudad, en 2020, se posicionó en Colombia como la de mayor número de incidentes viales, 30 450 en total, y estuvo entre las de mayor mortalidad vial, aportando, junto con Cali, Cartagena, Barranquilla y Villavicencio, el 50 % del total de fallecidos del país, 1580 fallecidos en los diversos modos de transporte (peatonal, motocicleta, automóvil y bicicleta) [6].
En Bogotá, el número de peatones fallecidos en 2021 fueron 172, donde el movilizarse a pie se constituyó en el segundo modo de mayor riesgo vial, con 38 % de la mortalidad después de quienes se movilizaban en moto. En Medellín, los peatones fallecidos representaron el 48 % de la mortalidad vial, con mayor frecuencia de muerte en personas adultas, indicando que a mayor edad, el riesgo de morir por incidente vial al caminar se incrementa. Estos resultados son similares a los de otros estudios, donde adultos mayores de 65 años estuvieron involucrados en el 21 % de todos los incidentes en peatones, y tienen mayor riesgo relativo de sufrir lesiones graves, de ingreso a cuidados críticos y de letalidad, que peatones de menor edad [6,29,30].
Los motociclistas acumularon el 43 % de la mortalidad, y contrario a lo ocurrido con peatones, en esta modalidad los fallecidos eran, en mayor frecuencia, jóvenes de 15 a 29 años, resultados concordantes con lo informado por el INMLCF y la Agencia Nacional de Seguridad Vial de Colombia, donde varones jóvenes, conductores de moto, aportaron el mayor número de muertes, y ciudades como Bogotá y Cali registraron, en 2020, 147 y 131 fallecimientos de motociclistas, que mayoritariamente eran varones jóvenes en edad productiva [6].
Los resultados también muestran que mueren más hombres que viajan en bicicleta. Las hipótesis pueden apuntar a que las mujeres se sienten inseguras al usar este modo de transporte, no gustan de él, asumen menos conductas de riesgo, o podría explicarse por mayor percepción de riesgo de la mujer, que la lleva a elegir rutas con menor densidad de vehículos, o simplemente son más precavidas al realizar sus desplazamientos [31,32].
El movilizarse en automóvil por Medellín no es una actividad de menor riesgo; esta se atribuyó, en la última década, un total de 142 muertes. En Colombia, para 2020, estuvieron involucrados 73 987 automóviles en incidentes viales, situación que se materializa no solo por el tipo de incidente, sino también por la edad del parque automotor y porque muchos vehículos inseguros circulan a diario, en tanto son construidos con bajos estándares, sin aditamentos de seguridad, y que se comercializan en el continente por falta de una política automotriz seria, que equivocadamente busca vender vehículos inseguros a costos más elevados que un vehículo seguro de última generación, junto a la complicidad de los Gobiernos locales.
Moverse de manera segura es un asunto de derecho, amparado en la Constitución Política de Colombia [33,34]. Pero como muchos derechos, este también es vulnerado, con más secuelas y mayor inequidad en personas de estratos socioeconómicos bajos, con menos educación y menor capacidad adquisitiva, los más vulnerables de la sociedad [35], patrón de asociación coherente con lo obtenido en este estudio, donde personas pobres y de bajo nivel sociocultural son quienes más murieron en el período observado.
Se evidencia el reclamo ciudadano para la reducción de muerte y lesión vial, como también la intención de inversión estatal para mejorar indicadores en seguridad vial que reduzcan su mortalidad [36].Estas acciones demandan recursos y exigen conocimiento, gestión, estructura organizacional, liderazgo en movilidad con enfoque de Visión Cero y autonomía para la toma de decisiones que pueden ser impopulares, que tocan límites constitucionales, pero, como todo, su evitabilidad es un derecho colectivo que debe primar en un Estado social, donde la vida y el bienestar de la comunidad está por encima de cualquier interés [36].
Otros trabajos han estimado la diferencia de la mortalidad vial por sexo, donde hombres jóvenes tienen un mayor riesgo de incidentarse, y este riesgo persiste a medida que se incrementa la edad y adquieren más experiencia de conducción. Las mujeres tienen menor riesgo de incidente, pero el riesgo de sufrir lesiones y hospitalización es mayor [37]. Estos datos concuerdan con los hallazgos de esta investigación, donde los hombres mueren en mayor proporción que las mujeres y en todos los modos de transporte. Estas diferencias en el riesgo de incidente según sexo plantean la necesidad de comprender cómo el sexo contribuye a la percepción del riesgo y cómo es asumido sin tener en cuenta sus consecuencias.
Con respecto al número total de APVP, fue mayoritario el aporte del sexo masculino, casi 4 veces respecto a las mujeres. El total de APVP en edad económicamente activa fue de 87 365 años, cifra equivalente al 88 % del total de APVP. Los motociclistas, aunque murieron menos que los peatones, fueron los que más años dejaron de vivir. Otros trabajos que también han estimado los APVP por incidentes viales y su impacto social aplicando una perspectiva más amplia son coherentes con las conclusiones y los resultados de este estudio, el cual reafirma que por sexo y modo de transporte, son los hombres y los motociclistas quienes mueren más jóvenes [6,38].
Estudios anteriores en Medellín han proporcionado evidencia sobre la concentración de muerte y lesión vial en la ciudad, mostrando resultados similares a los hallazgos encontrados, donde las zonas de mayor concentración de muerte vial para peatones fueron las comunas centro oriental y nororiental; por puntos específicos, la autopista norte, la calle San Juan, y la carrera 80, fueron las de mayor concentración [39].
Las vías cercanas al río Medellín, o mal llamadas “autopistas”, que conforman el sistema vial aledaño al río, forman un corredor estratégico de alto flujo de vehículos que deben atravesar la ciudad para comunicarse con otros municipios del área metropolitana, o incluso fuera de esta para el transporte de mercancías y pasajeros. Al igual que el río, estas vías atraviesan la ciudad de norte a sur, proporcionando el acceso más rápido para este fin. Aunque otros puntos de la ciudad tienen alta incidencia de muerte de motociclistas, cuando estos conducen por otras vías, la probabilidad de morir es más alta, hecho que está relacionado con el diseño vial, exceso de velocidad, mal uso de elementos de protección y mayor interacción de vehículos [23]. Por ello, gestionar la velocidad, e intervenir en factores de riesgo se hace esencial para salvar vidas, mejorar la sostenibilidad de la ciudad y contrarrestar efectos negativos en salud y ambiente, como propone la estrategia Visión Cero [8].
Se evidencia, en la última década, el incrementó en el uso de la bicicleta, beneficioso por el impacto ambiental, económico y sanitario, pero retador por falta de ciclorrutas y el mantenimiento de las actuales, situación que hace que usuarios motorizados y no motorizados compartan la vía, lo que puede hacer que se incremente y empareje el número de muertes de ciclistas con otros usuarios viales.
Proyectos ambiciosos como el de la ciclorruta norte-sur incentivará el uso masivo de la bicicleta; sin embargo, de ser implementado sin el mantenimiento adecuado y la seguridad de sus usuarios, en poco tiempo quedará en el olvido, subutilizada y apropiada para otros usos.
El programa “La ciudad futuro” debe privilegiar medios alternativos y activos de movilidad, que desestimulen el uso del vehículo privado y promuevan la salud desde todos los ámbitos.
Entornos donde se evidencian mayores progresos en seguridad vial se le atribuye a mejoras en legislación e intervención de factores de riesgo clave [34], como: actualizar los límites de velocidad, evitar el consumo de bebidas embriagantes, promover el uso de cinturones de seguridad, hacer uso del casco en quienes se movilizan en motocicleta e implementar el sistema de retención para niños; crear infraestructura más segura, como aceras y carriles especiales para ciclistas y motociclistas, así como emitir normas para el ingreso al país de vehículos seguros, construidos con altos estándares y elementos de seguridad, como control electrónico y frenado avanzado [34].
Hay consenso en la ciudad de que entre todos los enfoques para mejorar la seguridad vial está la inclusión de Visión Cero como estrategia, la cual permite gestionar los procesos de movilidad fundada en los pilares de Vida, Víctimas, Velocidad, Vías y Vehículos. Además, propende por la atención del fenómeno y sus víctimas de manera integral, con reincorporación social, atención psicológica y restitución de derechos, y no solo al momento del incidente. También existe el interés ciudadano, académico y de la misma institucionalidad para que los Gobiernos locales fortalezcan la legislación en el tema, haciendo de Visión Cero una política de Estado y no una campaña o programa de mandatarios locales [8,9,40].
En conclusión, los motociclistas son quienes mueren más jóvenes y aportaron el mayor número de APVP en muerte vial de Medellín, mientras que los peatones murieron más en edad adulta.
Los politraumatismos son constantes en muertes de todos los usuarios viales, pero las lesiones en la cabeza, el cráneo y el tórax son más letales cuando los motociclistas o los peatones las sufren.
El caminar por el centro de la ciudad es una actividad de riesgo que es atravesada por factores culturales, contextuales, de seguridad y de uso del suelo para otras actividades, menos la de caminar. El centro, como eje y motor de desarrollo de la ciudad, debe pensarse como una zona de protección de la vida de todos los seres vivos, con intervención en determinantes sociales de la salud que redunden en ambientes más sanos.
El sistema vial del río está conformado por vías con alto flujo vehicular, pero los motociclistas son quienes tienen mayor riesgo de exposición de morir, el cual puede verse incrementado por exceso de velocidad, el no uso de elementos de protección, mayor interacción de vehículos y aforos de vías.
Las limitaciones del estudio se relacionan con la elección de la EVN de Colombia como valor límite para el cálculo de los APVP, ya que restringe la comparación internacional, pero favorece la comparación local. Y el total de datos evidencia el registro de casos captados por el INMLCF, situación que puede ser diferente a la enunciada por el total de muertes del DANE.
A la Secretaría de Movilidad, la Unidad de Transformación Cultural y Educativa, y el Observatorio de Movilidad de Medellín, por propiciar espacios de análisis y transferencia de conocimiento; al Instituto Nacional de Medicina Legal y Ciencias Forenses, por el acceso a la información, y a los grupos de investigación en Gestión y Políticas Públicas, y Epidemiología, de la Facultad Nacional de Salud Pública, Universidad de Antioquia.





