Artículos
Associações entre percepção de corrupção e crescimento econômico nos países da América do Sul: uma análise com variáveis instrumentais
Associations between perceptions of corruption and economic growth in South American countries: an analysis with instrumental variables
Associações entre percepção de corrupção e crescimento econômico nos países da América do Sul: uma análise com variáveis instrumentais
Espacio Abierto, vol. 27, núm. 4, pp. 197-217, 2018
Universidad del Zulia

Recepção: 28 Maio 2018
Aprovação: 30 Setembro 2018
Resumo: O objetivo deste trabalho consiste em estabelecer associações entre percepção de corrupção e crescimento econômico nos países da América do Sul, com variáveis instrumentais, controladas por variáveis socioeconômicas, no período de 2000 a 2014. O banco de dados foi elaborado a partir de dados disponíveis em fontes de alta confiabilidade como o Banco Mundial, a CEPAL e a OLADE. Dessa forma, foi utilizado como proxy de corrupção o indicador de corrupção da Transparência Internacional destacando países diferentes realidades nos países analisados. A importância da redução da corrupção como impulsionador do crescimento econômico foi comprovada. Por fim, entre as ferramentas capazes de inibir as práticas de corrupção estão a maior democratização de uma nação e o fortalecimento de suas instituições destinadas a promover o bem-estar social e a transparência.
Palavras-chave: Corrupção, crescimento, desenvolvimento, crime econômico, bem-estar, América do Sul, variáveis instrumentais.
Abstract: The objective of this work is to establish associations between corruption perception and economic growth in the countries of South America, with instrumental variables, controlled by socioeconomic variables, from 2000 to 2014. The database was prepared from data available in sources such as the World Bank, CEPAL and OLADE. In this way, Transparency International’s corruption indicator was used as a proxy for corruption, highlighting different countries’ realitiesin the analyzed countries. The importance of reducing corruption as a driver of economic growth has been proven. Finally, among the tools capable of inhibiting corrupt practices are the greater democratization of a nation and the strengthening of its institutions to promote social welfare and transparency.
Keywords: Corruption, growth, development, economic crime, welfare, South America, instrumental variables.
Introdução
A corrupção consiste em um tema de destaque na atualidade, seja no meio acadêmico ou nos noticiários. Nesse sentido, pode-se investigar o fenômeno da corrupção sobre diversos aspectos, respaldados por questões de moral e ética, observando elementos políticos, psicológicos, antropológicos ou sociais. Neste trabalho, todavia, o foco da corrupção é o crime econômico, tal como definido por Becker (1974), qual seja uma atividade ilegal, lesiva ao bem-estar da sociedade, indo além dos crimes tradicionais contra o indivíduo e a propriedade privada, incluindo crimes fiscais, tráfego de influência e outras violações.
Como principais referências internacionais sobre o tema, pode-se elencar os trabalhos de Leff (1964); Huntington (1968); Nye (1967); Mauro (1995); Mo (2001); Castro (2008); Hodge, Shankar e Rao(2011);Eatzaz, Muhammad e Muhammad (2012); D’Agostino, Dunne e Pieroni (2016a, 2016b), Fernández-Torres, Fernández-Gutiérrez e Ramajo-Hernández (2018), entre outros, que analisaram a relação entre corrupção e crescimento econômico, além de conceitos e níveis de corrupção dos países. No Brasil, destaque-se os estudos de Carraro, Fochezatto e Hilbrecht (2006); Sobral, Ferreira e Besarria (2014); Rocha et al (2016); Oliveira (2017). Outros estudos nacionais a destacar são o de Albuquerque e Ramos (2006), que investigaram a utilidade do agente corrupto e os trabalhos de Rocha e Ramos (2010) e Henrique e Ramos (2011), que relacionaram corrupção a gastos públicos; além de Souza e Araújo (2017), que tratou sobre a corrupção no Brasil a partir de diversos indicadores objetivos e subjetivos; e Sodré e Ramos (2014) que analisaram o impacto da corrupção sobre indicadores socioeconômicos no Brasil.
Partindo de princípios puramente racionais, tal como defendido por Becker (1974), os agentes que praticam atos totalmente ilegais e lesivos ao bem-estar da sociedade não são punidos devidamente como o desejável pela percepção pública, que são punições mais severas. As consequências dessa situação é que as práticas ilícitas tendem a aumentar, ou permanecer estável nos países da América do Sul, conforme os dados a se apresentar nesse trabalho.
Uma das características dos países da América do Sul é o baixo desempenho em transparência e informação aos seus cidadãos. Segundo o Fórum Econômico Mundial (2017), a educação básica é uma fragilidade contínua sobre alguns países e estes necessitam de atenção primordial por conviver com essas mazelas. Além disso, a corrupção afasta os investimentos estrangeiros na economia dos países que apresentam índices de percepção de corrupção altos, como é o caso da Venezuela, que no ranking da Transparência Internacional (TI) ocupa o pior nível dentre os países da América do Sul. A perda de credibilidade se dá por um conjunto de incertezas que impõem aos investidores estorvar a aplicação de seus rendimentos nessas economias, devido a sua fragilidade ocasionada pelo risco de investimento.
Sendo assim, políticas de incentivo ao crescimento econômico com foco maior na melhoria da educação e da tecnologia são fatores que aproximam essa diferença na realidade. Países mais produtivos com acesso à informação e a transparência pública são necessariamente os mais bem colocados no índice de transparência, com menos corrupção, de acordo com a opinião de seus cidadãos.
No entanto, por ser um continente com muitos problemas sociais e econômicos como a concentração de renda sob domínio da classe mais alta e o grau de formação educacional baixo dos indivíduos, é conveniente destacar o efeito da corrupção sobre esses indicadores, as correlações existentes e a inserção de soluções para diminuir essa realidade deplorável nos países. Muitas variáveis dependem do gerenciamento público, por isso, para além de questão administrativa, é compromisso social dos governantes e da população, salientando que nos países do continente há predominância pelo regime democrático onde os representantes são escolhidos diretamente pela população, reforçando a importância da inserção pública no processo político. Naturalmente, a justificativa para tal estudo, da forma como está sendo abordada, é de que a corrupção é onerosa aos cofres públicos e como tal, reduz o bem-estar dos indivíduos. Portanto, para além de qualquer questão moral, é também questão de economia. Nessa perspectiva, destaque-se a total aversão à corrupção.
O objetivo deste trabalho consiste em estabelecer associações entre percepção de corrupção e crescimento econômico nos países da América do Sul, com variáveis instrumentais, controladas por variáveis socioeconômicas, no período de 2000 a 2014. Esses países não saem incólumes da corrupção, principalmente onde não há um combate mais rigoroso que reverta o número de desonestidades que assolam o bem- estar dos indivíduos e acabam gerando ineficiência em alguns setores sociais. A literatura internacional mais atual relaciona corrupção a níveis de crescimento econômico na América Latina [Fernández-Torres, Fernández-Gutiérrez e Ramajo-Hernández (2018)], portanto, entender estas correlações em países em desenvolvimento pode ser uma contribuição justamente onde o tema é mais necessário, caso do continente sul-americano.
Discutir a premissa de corrupção exige ampliar o espaço de análise e construção de fundamentos convincentes que garantam compreender o quanto essa prática ilícita afeta as nações, sejam elas desenvolvidas ou subdesenvolvidas, manifestamente com maior prejuízo para as nações com menor grau de desenvolvimento econômico. Não é uma peculiaridade restrita apenas ao setor público, mas atinge as diversas esferas dos agentes econômicos. Isso não remete apenas a composição brasileira, mas a outros países do continente sul-americano, que no decorrer dos últimos anos detém fortes indícios de corrupção percebida por seus indivíduos.
Conforme destaca Ferreira (2010) citado por Sobral, Ferreira e Besarria (2014), a maior parte da discussão sobre esse tema de grande relevância não se restringe apenas a diminuição dos recursos públicos, mas a sociedade que é a maior prejudicada pelo impedimento de sua promoção em consequência dos desvios dos recursos ilicitamente, reduzindo a qualidade de vida.
Para elencar o papel do agente corrupto, Becker (1974), percussor da Economia do Crime, alega que o indivíduo comete práticas corruptas de acordo com a sua racionalidade, componente inerente ao exercício dos seus atos. Em seu diagnóstico, o criminoso promoverá atos ilícitos somente se os ganhos que advier do crime, considerando o valor do castigo e as perspectivas de retenção e prisão sobrepujassem os ganhos da ação legal originária do vencimento resultante do trabalho legal, ou seja, em uma análise de custo- benefício o agente só praticará o ato desonesto se o benefício que obtiver dele for maior que o custo de consegui-lo, sendo inseridos os riscos de praticá-lo.
Indicadores de Corrupção no Brasil e no Mundo
A corrupção é uma prática existente em todo o mundo, seja em menor ou em maior proporção. Ela apresenta dados discrepantes entre as diversas regiões geográficas do planeta conforme se observa em alguns indicadores que tratam da percepção dos indivíduos a essa variável. Além disso, aspectos culturais, racionais e organizacionais influenciam significativamente essa variável de grande importância nas relações econômicas internas e externas dos países devido à confiabilidade em quaisquer afinidades econômicas, tanto em simples quanto em delicadas, que necessitam de maior envolvimento e consonância.
Leff (1964), Becker (1974) e Rose-Ackeman (1975) são pioneiros na discussão sobre corrupção. Contudo, Becker (1974) discute corrupção à luz da teoria econômica. Algumas das correntes de pensamento que estudam as causas e efeitos da corrupção sobre a dinâmica do crescimento econômico defendem a ideia que a corrupção, mesmo sendo uma prática inaceitável, acelera o crescimento da economia (revisionistas); por outro lado, a corrente do rent-seeking defende a ideia de que a corrupção atrapalha o crescimento econômico dos países. De uma forma empírica, essas correntes apresentam procedimentos teóricos e modelos matemáticos que vão explicar essa dinâmica afirmativa.
Leff (1964) foi o precursor da análise da corrupção com o crescimento econômico na ótica revisionista. Segundo o autor, nas nações em desenvolvimento a corrupção é um instrumento utilizado para alcançar as metas através do trapaceio das regras instituídas pelo Estado, como a burocracia, com a intenção de inibir os custos alocados sobre os processos que se desenvolvem lentamente sobre a economia. Dessa forma, a corrupção seria um “lubrificante” que ao contornar o entrave da burocracia desmedida auxiliava as tramitações dos processos e incidia mais rapidamente os investimentos, contribuindo precisamente para o crescimento econômico.
Ainda conforme Leff (1964), o pagamento de vantagens para conseguir proveito em detrimento da concorrência era uma prática comum entre as empresas e autoridades burocratas resultando a eficiência das atividades. Em contrapartida se houvesse desmedida burocracia, a economia seria mais lenta, logo, a corrupção era visualizada como combustível das barganhas econômicas e uma despesa extra que valeria a pena induzir para que a empresa tivesse êxito em suas atividades com maior eficácia. Exemplificando o Brasil, deixou óbvio que a corrupção sob o controle de preços na economia fazia diminuir a inflação e consequentemente elevava a produção de alimentos, sendo um resultado direto da correlação positiva entre corrupção e crescimento.
Segundo Huntington (1968) citado por Garcia (2003), que era outro autor da corrente revisionista, a corrupção mesmo sendo uma prática ilegal é considerada como um fator estimulador ao crescimento econômico. Em sua análise meticulosa, ela é tida como uma forma de vencer a burocracia que os países detêm e acabam tornando vagarosas as operações econômicas pelo travamento na política. Ante o exposto, a prática ilícita incitava o crescimento da economia por ser uma vantagem em meio aos obstáculos que as empresas enfrentavam para ampliar sua lucratividade e projeções de atuação.
Nye (1967) afirma que a corrupção é prejudicial a economia, porém ela promove a formação de capital na medida em que se evita a cobrança de impostos. Dessa forma, a aplicação do capital financeiro em bancos internos é fundamental para que esse mesmo capital seja reproduzido na economia, caso contrário a corrupção geraria impactos negativos maiores, resultantes da evasão de divisas. O autor utilizou uma análise de custo- benefício para expor a relação entre corrupção e crescimento na economia.
No entanto, a corrupção poderia ser uma engrenagem ao sistema capitalista, determinando uma alocação eficiente dos recursos já que ela atua como mercado que decide os níveis de preços, beneficiando investidores mais eficientes. O preço de suborno será imposto pelas empresas com grande capacidade de produção de forma a se auto beneficiar com as vantagens da ilegalidade (Bardhan, 1997 citado por Ugur e Dasgupta, 2011).
Não obstante, conforme diagnóstico da corrente rent-seeking, Shleifer e Vishny (1993) foram um dos autores a iniciar suas considerações destacando a origem da corrupção proveniente do excesso da burocracia e de concentração estatal, observando a corrupção e sua relação com as instituições que constituem a organização social. Para os autores, quanto maior o regimento interno das instituições, maior será o impacto negativo ao crescimento econômico, resultado das práticas ilícitas dos funcionários, tendendo a aumentar com maior grau a obstrução e como consequência a elevação da corrupção no ambiente de atuação do servidor.
Mauro (1995) foi o primeiro autor a utilizar uma abordagem empírica, ou seja, baseada na observação. Segundo o autor, a existência de corrupção pode gerar incerteza no mercado, desestimulando os investidores quanto aos seus retornos futuros. Além disso, acaba afetando fortemente as decisões dos agentes à medida que aumenta os custos dos investimentos gerando uma regressão no crescimento econômico, ressaltando a importância da variável investimento como componente da demanda agregada.
Finalmente, o autor citado anteriormente encontra uma correlação negativa entre o crescimento econômico e a prática ilícita da corrupção ao inserir a variável investimento como mecanismo de análise em questão. A existência de corrupção impede o investimento do setor privado na economia à medida que torna os custeios e riscos das operações consideravelmente altos para as empresas e entidades, contraindo o nível de crescimento da economia.
Utilizando um modelo de mínimos quadrados em dois estágios conseguiu encontrar uma relação negativa entre corrupção e crescimento econômico com foco no investimento privado das empresas. A priori, o exercício ilícito barra a entrada de novos investimentos na sociedade, ponto de partida para o crescimento, onde funciona o estigma do desenvolvimento. Ou seja, o fator corrupção pode repelir ou deprimir novos investimentos e ao mesmo tempo eleva a insegurança quando se provém ampliar os níveis de investimentos em razões do receio de sucesso, afetando a economia negativamente e gerando uma inconstância política (Mauro, 1995).
Tanzi (1994) e Mauro (1995) identificaram em seus trabalhos que através da execução de grandes obras de infraestrutura idealizadas pelo setor público as práticas corruptas se instalam com maior facilidade. Interligada a um arcabouço institucional que dificulta a forma de fiscalização, os indivíduos que cometem os atos ilícitos se beneficiam e sustentam de forma corriqueira suas ciladas contra o setor público. Como consequência, exercia uma redução na taxa de crescimento dos países resultante de atos de corrupção contra a esfera pública.
Mo (2001) contribuindo ainda com a abordagem rent-seeking, através de um modelo de mínimos quadrados ordinários, mensurou o impacto da corrupção sobre o crescimento econômico e afirmou que a elevação em 1% dos níveis de corrupção diminui o crescimento da economia em 0,72%. Além do exposto, o autor considera três canais que afetam o crescimento da economia: o canal do capital humano, o canal o investimento e o canal da estabilidade política. Logo, o autor assegura que o canal da estabilidade política, por ser o de maior abertura a corrupção, é o que mais afeta o crescimento econômico.
Segundo Souza (2005), o excesso de regulamentação provoca perda de eficiência e corrupção, privilegiando alguns grupos em prejuízo da sociedade. Dessa forma o rente- seeking reduz o desenvolvimento econômico em razão do destroncamento do equilíbrio macroeconômico para posições inferiores a fronteira de possibilidade de produção, diminuindo o grau de bem-estar social. Essa atividade, ganha seriedade a medida em que o Estado se torna mais burocrático e, portanto, depende da dimensão do Estado e de seu comportamento estatizante.
Em contrapartida a corrente rent-seeking, autores como Lambsdorff (1999) e Souza (2005)citado por Sobral, Ferreira e Besarria (2014) observam fragilidades pontuais nessa corrente de pensamento. Lambsdorff (1999) ao analisar o impacto da corrupção no ambiente social constatou que a teoria rent-seeking não consegue mensurar o impacto ocasionado por um monopólio dissimulado de corrupção sobre a renda dos indivíduos. Além disso, pontuou que a corrupção impede a organização de interesses amplos e causa distorções no mercado, impactando com maior força sobre o bem-estar social.
Rocha e Ramos (2010) investigaram a relação entre corrupção e gastos do governo e afirmaram que a corrupção afeta a administração pública negativamente na medida em que os gastos públicos são expandidos. Dessa forma, municípios que não apresentam casos de desvios de dinheiro público conseguem ampliar a renda per capita de seus indivíduos em 4,71% em detrimento das despesas constadas no orçamento anual.
Dessa forma, é impossível crescimento e consequentemente desenvolvimento econômico sem a atuação efetiva do Estado como líder principal do sistema econômico. Essa situação ocorre devido ao crescimento que estar a acontecer com profundos desequilíbrios sociais. Contudo, a atuação do Estado com maior amplitude aumenta o gasto público e a redundância de regulamentação favorece a ineficiência que apoia a corrupção e limita certas coligações em prejuízo a coletividade, aumentando os custos sociais (Souza, 2005 citado por Sobral, Ferreira e Besarria, 2014).
Por fim, uma das formas de inibir as práticas de corrupção está assegurada a maior participação democrática dos cidadãos de uma nação e o fortalecimento das instituições destinadas a promover o bem-estar dos cidadãos, conforme apresentado em alguns trabalhos expostos nesse capítulo. A forma de governabilidade de determinado país impacta fortemente a propensão de aderência a práticas corruptas. Obviamente a participação efetiva dos indivíduos em atos democráticos serve como estigma para reduzir a inconsistência gerada pela corrupção aos países, principalmente na América do Sul, foco da presente discussão.
No Brasil, que constitui o maior país da América do Sul, a prática de corrupção advém de tempos remotos, desde a sua colonização por Portugal, conforme destaca Filgueiras (2009). Casos como o Mensalão e o desdobramento da Operação Lava-Jato pela Polícia Federal são os recentes escândalos de grande proporção que invadiram os telejornais e meios de comunicação e que acabaram gerando uma instabilidade política no país. Em ambos os casos o envolvimento de partidos políticos associado a executivos de grandes empresas como a Odebrecht e de doleiros que praticavam crimes de lavagem de dinheiro – consiste na dissimulação ou ocultação da origem ilícita de dinheiro, conforme a Lei 9.613/1998 – e outros nos quais a jurisprudência brasileira confirma ser ilegal perante a legislação vigente.
Mesmo sendo recente a análise da corrupção pela ótica da teoria econômica no Brasil, trabalhos como o de Balbinotto Neto (2006), Carraro, Fochezatto e Hilbrecht (2006), Filgueiras (2009), Albuquerque e Ramos (2006), Hernandes (2011) e Sobral, Ferreira e Besarria (2014) produziram uma contribuição importante para a literatura que trata da relação entre a corrupção e o crescimento. Cada um com suas peculiaridades mostraram o impacto que a corrupção gera sobre o crescimento econômico, respaldando aspectos importantes no ambiente social.
Conforme Faoro et. al. (2009), a corrupção no Brasil é advinda de uma disputa de pensamento social e político acobertado pela ótica do patrimonialismo, que envolve a cultura política, a burocracia e a economia. Dessa forma, a construção da República pelos moldes do patrimonialismo foi responsável por instituir no Brasil uma não separação entre o público e o privado, fazendo com que os agentes administrativos tenham acesso livre para a exploração através de suas funções profissionais. Logo, esse modelo de exploração e dominação reproduziu uma corrupção sistêmica baseada em privilégios.
As apreciações contundentes realizadas por Garcia (2003) e Balbinotto Neto (2006) determinam a corrupção como evidência negativa ao crescimento econômico e aos níveis de preços que estão sujeitos a constantes oscilações. Por meio da identificação realizada pelos autores, eles inseriram a corrupção no âmbito burocrático e alegaram que a má alocação dos recursos do setor público e o comprometimento dos níveis de investimento na economia são os fatores intrínsecos gerados pelos indivíduos que adotam mecanismos ilícitos como a corrupção.
Dessa forma, o Estado acaba sendo violado pela corrupção para fins que não ajudam no crescimento econômico, servindo para omissão voluntária, violando a legislatura e causando atraso no crescimento e consequentemente no desenvolvimento. Essa conduta acaba ferindo a eficiência do Estado como órgão regulador e promotor de crescimento, gerando um ciclo vicioso que eleva continuamente os custos de novos projetos e desestimulam sua execução (Carraro, Fochezatto e Hibrecht, 2006).
Souza (2005) pontua as ações de lobbynas esferas Legislativas e nas empresas estatais. Conforme a autora, o próprio governo para obter votos no Congresso, fornece negociações de favores a parlamentares e a grupos ligados. Dessa forma, se o governo não investir, mas repassar a renda adicional a um grupo, como o funcionalismo público, haverá rent- seeking, da mesma forma que provocar a disputa por ela, caracterizando uma competição que prejudica o bem-estar.
Albuquerque e Ramos (2006) através de um modelo que analisa a decisão do gestor de aderir ou não a práticas corruptas, entendeu que as populações com maior poder de aquisição e com maior grau de formação educacional estão mais passíveis a fiscalizar os gestores dos municípios, inibindo os desvios de dinheiro púbico. Outra alegação dos autores, através dos dados utilizados em sua pesquisa, é que os gestores se preocupam com os retornos pessoais e no caso da confirmação da reeleição os atos errôneos são mais passíveis neste segundo mandato. Portanto, para além de questões individuais, o fortalecimento das instituições é o mecanismo mais importante para restringir os erros propositais gerados em uma sociedade.
Por outro lado, Hernandes (2011) declara que a corrupção não está atrelada apenas à falta de ética ou caráter, como percebeu através de seu trabalho que os indivíduos praticavam atos desonestos em virtude de seu instinto natural. Ao se analisar a racionalidade econômica a partir de um ethos que engloba toda uma sociedade, tem-se como resultado que os agentes objetam os incentivos a eles apresentados como hábito rotineiro e “normal”. Desta forma, as instituições de uma nação são capazes de acomodar suas ações dirigindo-se a uma política de combate a corrupção coordenada com as pretensões dos indivíduos do país.
A partir das contribuições desses autores, muitas atitudes foram tomadas para diminuir o número de delitos corruptos cometidos contra a sociedade brasileira. O país necessitava responder com eficiência e eficácia ao problema da corrupção. Era uma medida importante para sobrepujar a situação que o país se apresentava, principalmente em relação a América do Sul.
Nesse sentido, vários passos foram dados no combate a corrupção. Pode-se citar a promulgação da Lei Complementar nº 101/2000, mais conhecida como a Lei de Responsabilidade Fiscal (LRF), que estabelece normas de finanças públicas voltadas para a responsabilidade na gestão fiscal e dá outras providências. Essa Lei possibilitou aos chefes do Poder Executivo estabilizar a administração financeira e não deixar altas dívidas para sucessores arcarem como era costume no exercício final de seus mandatos administrativos.
Outra iniciativa fundamental foi a criação da Corregedoria Geral da União, que após alguns anos mudou de nomenclatura e passou a ser chamada de Controladoria Geral da União (CGU), que é o órgão do Governo Federal responsável por realizar atividades relacionadas à defesa do patrimônio público e ao incremento da transparência da gestão por meio de ações de controle interno, auditoria pública, correição, prevenção, combate à corrupção e ouvidoria (BRASIL/CGU, 2016).
A falta de controle efetivo do governo em alguns dos principais setores da economia acaba gerando impulsos para os corruptores assumirem atitudes intoleráveis no desempenho de suas atividades como integrantes da gestão pública (Transparência Internacional, 2014). Conforme a abordagem monetarista, nos países da América do Sul, existe uma predominância de governação através de políticas desenvolvimentistas que geram altos níveis de déficit públicos e estão mais sensíveis a choques aditivos e multiplicativos em suas economias. Segundo Carraro, Fochezatto e Hibrecht (2006), governos mais democráticos abrem espaço para debates que acalorem essas discussões muitas vezes interferidas por governos centralizadores gerando impunidade no âmbito organizacional das relações entre os agentes econômicos.
Países com elevados índices de corrupção sofrem mais sequelas no âmbito social do que países com menores índices. Essa peculiaridade está claramente inserida sobre os países do continente sul-americano em que detém desmedidos índices de corrupção percebida na classificação da Transparência Internacional (TI).
A Transparência Internacional é uma organização não governamental (ONG) que tem por missão parar a corrupção e promover transparência, responsabilidade e integridade em todos os níveis e em todos os setores da sociedade. Seus valores fundamentais são: transparência, responsabilidade, integridade, solidariedade, coragem, justiçae democracia. A visão da organização consiste em um mundo em que o governo, a política, os negócios, a sociedade civil e a vida diária das pessoas sejam livres de corrupção (Transparência Internacional, 2017).
Autores como Silva, Garcia e Bandeira (2001) utilizaram uma amostra com oitenta e um países para detectar a relação existente entre a corrupção e o nível de riqueza. Constataram que, quanto maior for o índice de corrupção, menor será a renda per capita dos indivíduos, o que atrapalha o bem-estar em adquirir mais bens e/ou reter sua renda em poupança, além de diminuir a eficiência e o progresso técnico na economia.
Leite (2013), utilizando uma seleção de vinte e seis países detectou que uma elevação nos gastos do governo nesses países comparados ao seu Produto Interno Bruto (PIB), decresce significativamente o índice de corrupção percebida ao longo do tempo. Contrariamente, uma elevação nas receitas fiscais dos países ocasiona um aumento nos índices de corrupção. Dessa forma, Brunett e Weder (2003) verificaram a liberdade de imprensa e encontraram uma correlação negativa quando comparada a corrupção como variável dominante. A imprensa por ter um grande poder de persuasão do público, obtém credibilidade ao expor denúncias de corrupção como forma de promoção e destituição das práticas ilícitas, sendo uma intermediária forte no combate das irregularidades administrativas e financeiras de interesse social que afetam diretamente a vida dos cidadãos, ressaltando a importância da informação precisa e imparcial.
Wei (2000) mostrou em seu trabalho o impacto causado pela corrupção sobre os níveis de investimentos estrangeiros em uma economia. Tomando uma amostra de quatorze países, constatou que a elevação dos índices de corrupção gera uma diminuição nos níveis de investimentos estrangeiros nesses países que dependem fortemente da confiabilidade dos investidores externos. A corrupção cria um cenário desordenado e espanta a atração por investimentos externos, principalmente nas economias em desenvolvimento.
Variáveis, Fontes dos Dados e Método de Análise
O presente trabalho analisou doze países do continente sul-americano (Argentina, Bolívia, Brasil, Chile, Colômbia, Equador, Guiana, Paraguai, Peru, Suriname, Uruguai e Venezuela), através de dados em painel, em um intervalo temporal que compreendeu o período de 2000 a 2014. Foi o primeiro trabalho encontrado literatura considerando especificamente esta área de estudo com objetivos correspondentes, haja vista que se encontrou outros estudos mais a nível de país ou América Latina. Contudo, este recorte faz-se importante na medida em que se tratam de países em vias de desenvolvimento e enfrentam em alguma medida problemas de corrupção, tornando-se assim um objeto de estudo elegível para o estudo.
A corrupção por ser uma prática oculta e só revelada através de escândalos, processos e investigações, não se apresenta com procedimentos intransigentes, por isso partem de uma aproximação real. Dados como números de processos judiciais com teor de corrupção nos autos, não se pode considerar como um indicador definitivo de nível de corrupção. Segundo Hernandes (2011), apanhar a opinião pública é o método mais confiável de se mensurar essa variável porque os indicadores de percepção são construídos através da preferência revelada dos agentes, baseado em comportamentos corruptos reais.
O banco de dados foi elaborado a partir de dados disponíveis em fontes de alta confiabilidade como o Banco Mundial, a Comissão Econômica para a América Latina e o Caribe (CEPAL) e organização latino-americana de energia (OLADE). Nesse estudo, a variável mais importante é a proxy de corrupção que representa a principal variável explicativa do modelo. No Quadro 1 tem-se a descrição de cada variável utilizada na pesquisa.

A variável dependente consiste no crescimento do pib per capita, ou seja, o crescimento do Produto Interno Bruto dividido pela quantidade de habitantes de cada país, informação disponível no Banco Mundial. É a variável usual para se falar de crescimento, seguindo o modelo clássico apresentado na literatura citada.
A proxy de corrupção utilizada foi a da Transparência Internacional, utilizada em diversos trabalhos que estudaram a corrupção como crime econômico a destacar o de Reis et. al. (2015) e Power e González (2003). É um indicador circunspeto, uma concordata de pesquisas e ponderações de corrupção, colhidas por um grande número de estabelecimentos respeitáveis.
Existem outros índices que poderiam ser melhor representativos da corrupção. O Banco Mundial tem o índice WGI (Worldwhide Governance Indicators) formado por seis indicadores, voice and accountability; political stability and absence of violence; government effectiveness; regulatory quality; rule of law; . control of corruption,com construção semelhante a do ipc-TI (Índice de Percepção da Corrupção da Transparência Internacional) [WGI, 2018]. Ainda existem outros índices, no Brasil, por exemplo, existem os índices criados por Boll (2010) e Rocha e Ramos (2010), mas não há disponibilidade de dados para os demais países analisados neste estudo.
Enfim, apesar das críticas ao indicador de percepção da corrupção, principalmente por se tratar de percepção e não de registro de corrupção, este índice é utilizado no mundo todo em vários trabalhos e se aplica ao objetivo deste estudo, uma vez que se acredita que em países com melhores indicadores sociais, muito provavelmente haverá um nível de consciência e de cobrança maior, que poderia levar à menor corrupção, o que representaria indiretamente uma menor percepção da corrupção. Ademais, Souza e Araújo (2017), em estudo para o caso da corrupção brasileira, com diversos indicadores de corrupção, inclusive o ipc-TI, verificou convergência entre todos os indicadores analisados.
Na relação de variáveis independentes, os anos médios de estudos para indivíduos maiores de 25 anos de idade, foi utilizado como proxy para capital humano e obtidos a partir de dados da CEPAL. Sobral, Ferreira e Besarria (2014) utilizaram este indicador para configurar os determinantes do crescimento econômico.
O consumo de energia elétrica (Gwh) pela indústria é utilizado como proxy de capital físico e as informações foram coletadas na Organização Latino-americana de Energia (OLADE). Essa variável representa o investimento privado e também foi utilizada nos trabalhos de Cangussu et. al. (2010), Santos et. al. (2012), Sobral, Ferreira e Besarria (2014).
O grau de abertura da economia também compõe o modelo. Ele mensura os níveis de comercialização de um país com outros em percentual do seu PIB, sendo que quanto maior for o índice, maior será abertura da economia e maior o impacto sobre o crescimento econômico.
Por fim, o índice de Gini é utilizado como proxy para a desigualdade de renda, tal como utilizado nos trabalhos Lambsdorff (1999) e de Albuquerque e Ramos (2006). O índice de Gini aponta a diferença entre os rendimentos dos mais pobres e dos mais ricos, variando de 0 a 100. O valor 0 representa a situação de igualdade, enquanto 100 representa a desigualdade. Desta forma, é importante para análises sociais.
Apoiado no modelo linear de Mo (2000) e de Sobral, Ferreira e Besarria (2014) foi construído um modelo empírico para responder ao objetivo proposto. E a equação (1) é a regressão apresentada por Sobral, Ferreira e Besarria (2014) com o acrescimento da variável índice de Gini, conforme o estudo de Reis et al (2015):
(1)Em que, cpib representa o crescimento do PIB per capita do país j no período t, ipc é o indicador de percepção de corrupção do país j no período t; esc representa os anos médios de estudos para indivíduos de 25 anos ou mais usado como proxyde capital humano; cener representa o consumo de energia elétrica pela indústria como proxy para capital físico na economia, abert representa o grau de abertura da economia, o gini representa a proxy de desigualdade de renda no país e o representam fatores que afetam a variável dependente e variam ao longo do tempo, mas não são observados.
Considerando a possibilidade de existência de endogeneidade, optou-se por usar também um modelo com variável instrumental. De forma que em decorrência da possível inconsistência do modelo de mínimos quadrados ordinários, com estimativas enviesadas pela endogeneidade, aplicou-se o modelo dos momentos generalizados com variáveis instrumentais (IV-GMM), robusto em presença de heterocedasticidade. O método de variáveis instrumentais estima o efeito médio do impacto da variável percepção da corrução (ipc) na presença de outros fatores (não observáveis) e das variáveis de controle (observáveis). Este modelo pretende corrigir os vieses geralmente encontrados no modelo de mínimos quadrados ordinários, tais como omissão de variáveis, causalidade reversa e viés de seleção. O IV tem sido utilizado em muitos trabalhos, dentre eles, destacam-se aqui Mauro (1995); Angrist, Imbens e Rubin (1996); Hidalgo et al (2010); e Sodré e Ramos (2014).
Dessa forma, considera-se a formalização básica apresentada a seguir, tal qual a abordagem de Sodré e Ramos (2014).
(2)Em que o objetivo é estimar α1 de maneira consistente e verificar o impacto de wi sobre Yi, com Cov(wi, ηi)≠0.
Supondo uma variável exógena Zi, esta variável será chamada de instrumento ou variável instrumental e outra equação será estimada.
(3)O vetor é estimado sem viés, pois Zi e Xi são exógenos, considerando que:
(4)
(5)
(6)De forma que p = (π0,π1,π2) poderá ser estimado consistentemente com Zi e Xi exógenos:
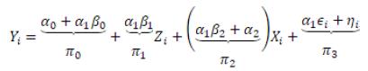
(7)Então, dadas as estimações de e , e considerando que π1=α1β1, tem-se .
Resultados e Discussão
As estatísticas descritivas das variáveis utilizadas neste estudo são apresentadas na Tabela 1.

A média dos países da América do Sul relativamente à variável de interesse crescimento do pib per capita .cpib) foi de 10,483 e o maior crescimento verificado no período em análise deu-se na Guiana (68,4436) em detrimento do pior cenário, representado pelo Equador (-7,714).
Quanto ao índice de percepção de corrupção, utilizado como proxy para corrupção e principal variável explicativa do estudo, a média correspondeu a 3,67 dentre uma classificação que varia de 0 a 10, sendo o valor mínimo de 1,6 atribuído ao Paraguai e o valor máximo atribuído ao Chile, o que denota fatores intrínsecos de cada país. Naturalmente, caso os dados cobrissem um período maior de tempo, outros países como o Brasil teriam destaque aqui. Já o indicador de instabilidade política (insp), aqui utilizado como instrumento, apresentou uma média de 35,10 sendo o valor mínimo de 0,96 e o máximo de 83,49 dos países Colômbia e Uruguai, respectivamente.
Com relação às variáveis de controle, o capital humano, medido pela média de escolaridade dos indivíduos com mais de 25 anos de idade (esc) correspondeu a 9 anos de estudos, sendo o mínimo de 6,5 no Brasil e o máximo de 11,5 anos no Chile. Quanto à proxy do investimento privado, relacionado aqui com o consumo de energia elétrica pela indústria (cener), destacou o Brasil com o maior investimento (16.771Gwh) em detrimento da Guiana com o menor (74,24Gwh). O grau de abertura da economia (abert) destacou o Suriname com o maior indicador (109, 1668) e com o menor (18,2029), o que significa que houve grande mudança política neste país no período de tempo analisado. Por fim, a variável que mensura a desigualdade de renda (gini), revelou a Bolívia (63,0) com a maior desigualdade e o Uruguai com a menor (41,32), onde a média correspondeu a 49,9607.
Apesar de haver uma leitura mais intuitiva quando a variável dependente está logaritmizada, de forma que se poderia verificar a variação percentual da variável resposta quando se altera a variável de percepção da corrupção, optou-se por deixar todas as variáveis em nível porque há valores negativos relativamente ao crescimento do pib per capita e a aplicação do logaritmo implicaria reduzir ainda mais o número de observações analisadas. Dessa forma, segue-se com a discussão dos resultados apresentados na Tabela 2.

Na estimação do modelo de mínimos quadrados ordinários para dados de painel (POLS) o coeficiente de determinação geral (R²) revelou-se baixo (14,36%). E continuou igualmente baixo na estimação do outro modelo. Vale salientar que Fávero et. al. (2009) alegam que é normal modelo com dados em painel oferecer coeficientes de determinação baixos, condição aprimorada quando se constata que o modelo é significante através da Estatística F.
Os resultados da estimação do modelo mostraram que a variável explicativa índice de percepção da corrupção (ipc) foi significativa a 1% e apresentou o sinal esperado. Ou seja, uma relação inversa entre percepção da corrupção e crescimento econômico. Quanto às variáveis de controle, escolaridade (esc) . energia industrial (cener) não se mostraram significantes, tal como em Mo (2000) e Sobral, Ferreira e Besarria (2014), diferente do que aponta a teoria econômica, e a suposição inicial é de que as proxys utilizadas podem não estar bem especificadas. Quanto as variáveis abertura da economia (abert) . desigualdade de renda (gini), mostraram-se significativas a 5% e 1%, respectivamente. Mas a proxy de abertura da economia (abert) não apresentou o sinal esperado, indicando uma associação negativa com o crescimento do pib per capita (cpib). Ora, muito provavelmente os problemas estão nos dados e é razoável supor que existam problemas de endogeneidade não controlados no modelo.
Considerando a possível existência de endogeneidade e causalidade reversa, foi realizado um novo exercício, com variáveis instrumentais. Isto porque na presença de endogeneidade o modelo de de mínimos quadrados ordinários apresenta estimadores inconsistentes, sendo importante a consideração de instrumentos. Para resolver esta questão, aplicou-se o Teste de Endogeneidade de Durbin-Wu-Hausman, que demonstrou que a variável percepção da corrução realmente era endógena. Assim, procedeu-se a investigação de adequação do instrumento, uma vez que instrumentos fracos (baixo correção com a variável) podem levar a uma baixa imprecisão de forma a não compensar a inconsistência do modelo POLS. Num primeiro momento, observou-se que as variáveis percepção da corrupção e instabilidade política eram positiva e fortemente correlacionadas, de onde se depurou que instabilidade política .insp)seria o instrumento para índice de percepção da corrupção (ipc).
O índice de instabilidade política mede a capacidade de política antiterrorismo e ausência de violência nos países, que compõe um dos indicadores de governança do Banco Mundial. Os dados de governança remetem a soberania de um país como a forma de governabilidade, a capacidade de empreender políticas eficientes e autonomia das instituições, como o respeito e a ausência de interferência externa e de outros órgãos da administração. Sobral, Ferreira e Besarria (2014) utilizou a taxa de homicídio como proxy de instabilidade política, enquanto Mo (2001) utilizou o índice Gastil que mede o grau de democracia, porém preferiu-se nesse trabalho utilizar o indicador de instabilidade política do Banco Mundial, que fornece informações semelhantes. Esta variável não comporá diretamente a regressão, mas será utilizada como instrumento da variável percepção da corrupção, como explicado adiante.
Contudo, mesmo após aplicar o IV, os erros continuaram heterocedásticos (conforme o Teste de Pagan-Hall), de onde se recorreu ao método GMM. No modelo IV-GMM, robusto em situação de erros heterocedásticos, as associações se mantiveram tal como no modelo POLS. Quando se reduz o índice de percepção da corrupção, a abertura da economia e a desigualdade de renda, há crescimento no produto. E mais uma vez a variável abertura econômica é controversa aqui. Os regressores de escolaridade . energiacontinuaram sem significância estatística. Isto pode indicar ainda a fragilidade do instrumento. Nesse sentido, a aplicação do Teste de Stock-Yogo revelou a rejeição da hipótese nula de que o instrumento é fraco. Por outro lado, o Teste de J Hansen também rejeitou a hipótese nula de que os instrumentos seriam válidos e/ou os instrumentos excluídos foram corretamente excluídos. Dessa forma, conclui-se que, embora a instabilidade política seja um bom instrumento para a variável percepção da corrupção, outros instrumentos precisariam ser testados e acrescentados ao modelo, de forma a se obter melhor os resultados nas variáveis de controle.
De todo modo, o resultado da variável proxy da corrupção sobre o crescimento econômico, acompanhou todos os trabalhos aqui mencionados, especificamente Mauro (1995), Mo (2001), Sobral, Ferreira e Besarria (2014), Reis et al (2015) e outros. Enfim, os estudos corroboram com a mesma ideia, a redução da corrupção tem como efeitos diretos o aumento do investimento privado e do produto no longo prazo e, naturalmente, leva a uma menor percepção da corrupção, tal como colocam Campos e Pereira (2017).
Considerações Finais
A economia do crime, com ênfase na corrupção, fator de relevância nas pesquisas das ciências econômicas e sociais, sofreu um forte impulso nos últimos anos devido à crescente percepção dos indivíduos e o choque que sua compleição gera na economia e no bem-estar social, principalmente na realidade vivenciada pelos países ultimamente. Nesse sentido, por existir níveis de corrupção percebida oscilantes nos países da América do Sul, com prejuízo maior aos países de situação mais vulnerável em governabilidade, o presente trabalho verificou a relação entre a percepção de corrupção e crescimento econômico, controlado por outros indicadores importantes para se compreender a relação dos fatores enredados na conjuntura econômica e social, de onde se constatou que há maior crescimento econômico em países com menor percepção da corrupção. Mas o sinal invertido ou a falta de significância de variáveis de controle importantes para a teoria econômica demonstra que ainda há uma fragilidade no modelo e os testes mostraram que outros instrumentos poderiam ser testados.
Vale ressaltar que a corrupção é uma mazela que necessita de enfrentamento constante da sociedade junto a instituições independentes que promovam a defesa do bem comum. O fortalecimento das instituições refletido na participação democrática dos cidadãos contribui para diminuir os efeitos advindos do ato ilícito, gerando o crescimento mais acentuado de ações benéficas aos países da América do Sul. Para além de questões puramente econômicas e sociais, a eficiência dos órgãos públicos e organizações não governamentais (ONGs) que almejam a transparência pública e a justiça tornam-se imprescindíveis, principalmente no combate às ações de rent-seeking,que provocam as alocações de recursos de forma desordenada.
De forma que mesmo com as limitações do trabalho relativamente a dificuldade de selecionar os melhores instrumentos ou pela dificuldade de mensuração da variável corrupção para todos os anos e área considerados, o que levou à utilização do índice de percepção da corrupção da Transparência Internacional como proxy de corrupção, reforça-se o argumento de que a corrupção tem um efeito negativo sobre a economia e consequentemente sobre o bem-estar social.
Referências
ALBUQUERQUE, B. E.; RAMOS, F. S. Análise Teórica e empírica dos determinantes de corrupção na gestão pública municipal. In: Encontro Nacional de Economia (ANPEC), XXXIV, 2006, Salvador-BA. 2006. Anais... Salvador-BA: ANPEC, 2006.
ANGRIST, J. D.; IMBENS, G. W.; RUBIN, D. B. Identification of causal effects using instrumental variables. Journal of the American statistical Association, Taylor & Francis, v. 91, n. 434, p. 444–455, 1996.
BALBINOTTO NETO, G; GARCIA, R. L. A economia da corrupção. In. Revista de Controle e Administração. Vol. II, nº2, julho/dezembro, p. 189-211, 2006.
BECKER, G. S. Crime and Punishment: Na Economic Approach. In: Essays in the Economics of Crime and Punishment. Gary S. Becker and William M. Landes, p. 1-54, 1974.
BOLL, J. L. S. A corrupção governamental no Brasil: construção de indicadores e análise da sua incidência relativa nos estados brasileiros. Dissertação (Mestrado em Economia do Desenvolvimento) – PUCRS, 59 f. Porto Alegre, 2010.
BRASIL. Lei Complementar n.101, de 4 de maio de 2000. Estabelece normas de finanças públicas voltadas para a responsabilidade na gestão fiscal e dá outras providências. Disponível em: <http://www.planalto.gov.br/ccivil_03/leis/lcp/lcp101.htm>. Acesso em: 12 jun. 2017.
BRUNETT, A.; WEDER, B. A free press is bad news for corruption. In: Journal of Public Economics, 87, p. 1801-1824, 2003.
CAMPUS, F.A.O.; PEREIRA, R.A.C.. Corrupção e ineficiência no Brasil: uma análise de equilíbrio geral. Estudos Econômicos, v.46, n.2, p.373-408, 2016.
CANGUSSU, R. C.; SALVATO, M. A.; NAKABASHI, L. Uma análise do capital humano sobre o nível de renda dos estados brasileiros: MRW versus Mincer. Estudos Econômicos, São Paulo, v. 40, n. 1, p. 153-183, 2010.
CARRARO, A.; FOCHEZATTO, A.; HILBRECHT, R. O. O impacto da corrupção sobre o crescimento econômico do Brasil: aplicação de um modelo de equilíbrio geral para o período 1994-1998. In: Encontro Nacional de Economia (ANPEC), XXXIV, 2006, Salvador-BA. Anais....
CASTRO, C. Corrupção e crescimento económico – uma relação não linear na união europeia dos 15? In: Revista de Direito e Gestão Fiscal, 33, jan. – mar., p. 111-124, 2007.
D’AGOSTINO, G.; DUNNE, J.P.; PIERONI, L. Government spending, corruption and economic growth. World Development, v.84, pp.190-205, 2016a.
D’AGOSTINO, G.; DUNNE, J.P.; PIERONI, L. Corruption and growth in Africa. European Journal of Political Economy, v.43, pp.71-88, 2016b.
EATZAZ, A.; MUHAMMAD, A.U.; MUHAMMAD, I.A. Does corruption affect economic growth? Latin American Journal of Economics, v.42(2), p.277(29), 2012.
FERNÁNDEZ-TORRES, Y.; FERNÁNDEZ-GUTIÉRREZ, M.; RAMAJO-HERNANDÉZ, J. Business Regulation And Economic Growth: The Indirect Effect Of Corruption In Latin America And The Caribbean. Journal of Developmental Entrepreneurship. World Scientific Publishing Company, v.23(1), 2018.
FILGUEIRAS, F. A tolerância à corrupção no Brasil: uma antinomia entre normas morais e prática social. In: Opinião Pública, vol. 15, n° 2, 2009. Disponível em: <http://www.scielo.br/scielo.php?pid=S0104-62762009000200005&script=sci_arttext>. Acesso em: 10 fev. 2017.
FÓRUM ECONÔMICO MUNDIAL. Disponível em: <https://www.weforum.org/>.Acesso em 15 nov. 2017.
GARCIA, R. L. A Economia da Corrupção –Teorias e Evidências – Uma aplicação ao setor de obras rodoviárias no Rio Grande do Sul. 361 f. Tese (Doutor em Economia) – Programa de Pós-Graduação em Economia da Faculdade de Ciências Econômicas da Universidade Federal do Rio Grande do Sul. Porto Alegre-RS, 2003.
HENRIQUE, A. T.; RAMOS, F. S. Corrupção e gastos públicos: um estudo empírico para os municípios de Pernambuco. In: Encontro Nacional de Engenharia de Produção, 31. Anais... Belo Horizonte-Minas Gerais, 2011.
HERNANDES, P.P. Combate à corrupção no Brasil: análise sob a ótica da economia da corrupção. In: Prevenção e combate à corrupção no Brasil. Disponível em: <http://esaf.fazenda.gov.br/backup/premios/premios-realizados/pasta-concurso-de-monografias-da-cgu/concurso-de-monografias-da-cgu-2011/universitarios/1-lugarhttp://www.cgu.gov.br/concursos/Arquivos/6_ConcursoMonografias/resultado-compilado.pdf>. Acesso em: 16 fev. 2017.
HIDALGO, F. D. et al. Economic determinants of land invasions. The Review of Economics and Statistics, MIT Press, v. 92, n. 3, p. 505–523, 2010.
HODGE, A. et al. Exploring the links between corruption and growth. Review of Development Economics, v.15(3), pp.474(17), 2011.
HUNTINGTON, S. P. Political order in changing societies. New Haven: Yale University Press, 1968.
LAMBSDORFF, J. G. Corruption in Empirical Research – A Review. Transparency International. Working Paper, 1999.
LEFF, N. Economic development through bureaucratic corruption. In: American Behavioral Scientist, 8, p. 8-14, 1964.
LEITE, J. R. P. Corrupção e o Sector Público, uma análise Cross-Country. Departamento de Economia, Gestão e Engenharia Industrial (Tese de Doutorado), Universidade de Aveiro, Aveiro, Portugal, 2013.
MAURO, P. Corruption and Growth. In: Quarterly Journal of Economics, 60, p. 681-712, 1995.
MO, P. H. Corruption and Economic Growth. In: Journal of Comparative Economics, 29, p. 66-79, 2001.
NYE, J. S. Corruption and political development a cost-beneficit analyses. In:American Political Science Association American Political Science Association, v. 61, n. 2, 1967.
OLIVEIRA, J.A. CORRUPÇÃO E CRESCIMENTO ECONÔMICO. UNIVERSIDADE DE BRASÍLIA (UNB). BRASÍLIA, 2017. (MONOGRAFIA).
POWER, T.S.; GONZÁLEZ, J. CULTURA POLÍTICA, CAPITAL SOCIAL E PERCEPÇÕES SOBRE CORRUPÇÃO: UMA INVESTIGAÇÃO QUANTITATIVA EM NÍVEL MUNDIAL. REVISTA DE SOCIOLOGIA POLÍTICA, CURITIBA, 21, P.51-69, 2003.
RAMALHO, R. M. Corrupção, instituições e desenvolvimento: a corrupção tem impacto sobre o desempenho econômico? Editora FGV. São Paulo, 2006.
ROCHA, L.A. et al. Corrupção e Crescimento: os impactos da corrupção ponderados pelos diferentes graus de eficiência entre as firmas. Estudos Econômicos, São Paulo, vol.46, n.4, p.783-822, out.-dez. 2016.
ROCHA, S. H.; RAMOS, F. S. O impacto da eficiência da gestão municipal: indicadores e mensuração. In: CONIC UFPE, XVIII, 2010. Anais…Recife-PE: UFPE, 2010.
ROSE-ACKERMAN, S. The Economics of Corruption. In: Journal of Public Economics, v. 4, n. 2, p.187-203, 1975.
SHLEIFER, A., VISHNY, R. Corruption.In: Quarterly Journal of economics, Vol. 108, n.3, p. 599-617, 1993.
SILVA, M. F. G.; GARCIA, F.; BANDEIRA, A. C. How does corruption hurt growth? Evidences about the effects of corruption on factors productivity and per capita income.(2001). Disponível em: <http://www.transparencia.org.br/docs/Corr-growth.PDF>. Acesso em: 06 fev. 2017.
SOBRAL, E.F.M.; FERREIRA, M.O.; BESARRIA, C.N. Corrupção e seus efeitos sobre a dinâmica do crescimento econômico regional: uma análise do caso brasileiro. In: Encontro Nacional de Economia (ANPEC), 42, 2014. Anais... Natal-Rio Grande do Norte: ANPEC, 9-12, dez. 2014.
SODRÉ, F.R.; RAMOS, F.S. Os impactos da corrupção no desenvolvimento humano, desigualdade de renda e pobreza dos municípios brasileiros. In: Encontro Nacional de Economia (ANPEC), 42, 2014. Anais...Natal-Rio Grande do Norte: ANPEC, 9-12, dez. 2014.
SOUZA, A.I.; ARAÚJO, M.P. Uma análise econômica da corrupção no Brasil a partir de indicadores objetivos e subjetivos 1998-2013. Revista Espacios, v.38(9), p.4, 2017.
SOUZA, N. J. Desenvolvimento Econômico. 5. ed. São Paulo: Atlas, 2005.
TANZI, V. Causes, Consequences, Scope, and Cures. IMF Working Paper, 45, p. 559-594, 1994.
TRANSPARÊNCIA INTERNACIONAL. Índice de Percepção da Corrupção (IPC). Disponível em: <http://cpi.transparency.org>;. (2014, 2016, 2017). Acesso em: 24
UGUR, M.; DASGUPTA, N. Evidence on the economic growth impacts of corruption in low-income countries and beyond. London: EPPI-Centre, Social Science Research Unit, Institute of Education, University of London. Aug, 2011.
WEI, S. How taxing is corruption on international investors? In: The Review of Economics and Statistics, 82, p. 1-11, 2000.
WOOLDRIDGE, J. M. Introdução à Econometria: Uma Abordagem Moderna. Tradução da 4ª Ed. Norte-Americana. São Paulo: Cengage Learning, 2010.
WORLD DATA BANK. Disponível em: <http://data.worldbank.org/>. Acesso em: 20 mar. 2016.
WORLDWIDE GOVERNANCE INDICATORS (WGI). Disponível em: <http://info.worldbank.org/governance/wgi/index.asp>. (2018). Acesso em: 5 jan. 2019.