Artículos
Análisis espacio-temporal de la tasa de letalidad por coronavirus dada la preexistencia de diabetes en municipios del noreste de México
Spatiotemporal analysis of the coronavirus case fatality rate given the preexistence of diabetes in municipalities of northeastern Mexico
Análisis espacio-temporal de la tasa de letalidad por coronavirus dada la preexistencia de diabetes en municipios del noreste de México
Espacio Abierto, vol. 30, núm. 2, pp. 87-99, 2021
Universidad del Zulia

Recepción: 05 Febrero 2021
Aprobación: 09 Marzo 2021
Resumen: Los niveles de mortalidad por Covid-19 se incrementaron de manera importante durante el último semestre de 2020 en prácticamente todas las regiones del mundo. El trabajo presentado tiene por objetivo analizar la evolución espacio-temporal de la tasa estandarizada de letalidad entre pacientes enfermos de Covid-19 y su relación con la diabetes, en el noreste mexicano para un periodo de nueve meses comprendidos entre abril de 2020 y enero 2021. Se trata de un estudio de cohorte longitudinal, basado en la estimación de seis modelos bayesianos en competencia que capturan la dependencia espacio-temporal a través de la utilización de un proceso de conteo poisson con exceso de ceros (poisson zero-inflated). Los resultados muestran la presencia de una correlación positiva entre el número de pacientes diagnosticados con diabetes y el incremento en la tasa de letalidad por Covid-19 en el periodo analizado. La letalidad por Covid-19 se distribuyó de forma heterogénea en el espacio-tiempo concentrándose en 4 de los 132 municipios de la región.
Palabras clave: Modelos espacio-temporales, INLA, modelo poisson con exceso de ceros, letalidad, Covid-19.
Abstract: Mortality levels due to Covid-19 have increased significantly during the last half of 2020 in practically all regions of the world. The work presented aims to analyze the spatiotemporal evolution of the standardized case fatality rate among patients with Covid-19 and its relationship with diabetes in northeastern Mexico for a nine-month period between April 2020 and January 2021. This is a longitudinal cohort study, based on the estimation of six competing Bayesian models that capture the spatio-temporal dependence using a poisson counting process with excess of zeros (zero-inflated poisson). The results show the presence of a positive correlation between the number of patients diagnosed with diabetes and the increase in the Covid-19 case-fatality rate in the period analyzed. Covid-19 case-fatality was heterogeneously distributed in space-time, being concentrated in 4 of the 132 municipalities of the region.
Keywords: Spatio-temporal models, INLA, zero-inflated poisson, lethality, COVID-19.
Introducción
Si bien los coronavirus son una familia de virus que históricamente han afectado sólo a animales, en diciembre de 2019 se detectó una nueva variante denominada Sars-Cov-2, la cual puede transmitirse entre personas y provocar una enfermedad conocida como Covid-19. La variante Sars-Cov-2 se detectó por primera vez en Wuhan, China, lugar donde la enfermedad inició un rápido proceso de expansión. El número creciente de contagios, producto de la elevada tasa básica de reproducción del virus (R.=2,66) junto con los altos niveles de letalidad provocaron que la Organización Mundial de la Salud (OMS) la designase, el 11 de marzo de 2020, con el estatus de pandemia (Mendoza, 2020).
La pandemia de Sars-Cov-2 provocó hasta el 31 de enero de 2021, un total de 102,33 millones de casos confirmados de Covid-19 y la muerte de cuando menos 2.16 millones de personas, ambos casos a nivel mundial y según cifras de la Organización Mundial de la Salud. En América, se reportaron en la misma fecha un total de 45 345.052 de casos confirmados y 1,04 millones de decesos, lo que implica que el continente americano ha aportado 44,3% de los casos confirmados y 48,1% de las muertes a nivel global (https://covid19.who.int/). Cifras que proporcionan evidencia sobre la existencia de importantes desigualdades en la distribución espacial de la enfermedad (Roser et al, 2020).
En México, los primeros casos de Covid-19 se detectaron el 27 de febrero de 2020, mientras que el primer deceso se registró, el 17 de marzo del mismo año, para el 31 de enero de 2021, se habían registrado ya un total de 1 908.443 casos confirmados y 162.523 decesos, según cifras de la Secretaria de Salud de México. La región noreste de México, conformada por los estados de Coahuila, Nuevo León y Tamaulipas, reportó un total de 219.263 casos confirmados en conjunto, mientras que las defunciones por Covid-19 alcanzaron la cifra de 16.206 decesos, al 31 de enero de 2021.
Las cifras anteriores dan cuenta de la evolución general de la pandemia, sin embargo, aportan poca información respecto de su evolución temporal y distribución espacial, tanto en términos del número de contagios confirmados como de las defunciones registradas. De manera que, en este trabajo, se analiza la evolución espacio-temporal de los niveles de letalidad causados por la Covid-19 en la región noreste de México a lo largo de los nueve meses comprendidos entre mayo de 2020 y enero de 2021, al tiempo que se evalúa el efecto generado por la presencia de diabetes entre enfermos de Covid-19. Si bien, diferentes fuentes señalan la existencia de evidencias que relacionan el incremento en el riesgo de letalidad por Covid-19 asociadas a subpoblaciones con comorbilidades como la diabetes, los mecanismos de asociación aún se desconocen (Padilla, Maya y Ferman 2020).
Al inicio de la pandemia la relación causal entre la diabetes y la severidad de la Covid-19 en pacientes con ambas enfermedades se consideró inexistente, posteriormente, algunos reportes comenzaron a evidenciar la correlación entre la presencia de diabetes y la severidad de la enfermedad. Sin embargo, análisis posteriores sobre las defunciones causadas por Covid-19 en Wuhan, China, revelaron que 42,3% de las muertes podían ser asociadas a la presencia de diabetes (Wan, Cui y Yang, 2020).
Fuentes de información y datos
Los datos relativos al número de casos confirmados y de defunciones por Covid-19, a nivel municipal, para la totalidad de municipios que integran las entidades federativas de Tamaulipas, Nuevo León y Coahuila, en el noreste de México, provienen de la Dirección de Información del Sistema de Vigilancia Epidemiológica de la Secretaría de Salud de México y se encuentran disponibles en https://coronavirus.gob.mx/datos/. Las cifras relativas al número de casos confirmados y defunciones fueron recuperadas el día 31 de enero de 2021, donde se procesaron un total de 485.793 casos registrados como sospechosos, en las entidades señaladas, de ellos se contabilizaron 219.263 casos confirmados y 16.206 defunciones.
El número de enfermos de diabetes se obtuvo de la base de datos del Sistema de Vigilancia Epidemiológica, una vez que el paciente es ingresado como caso sospechoso de Covid-19 y diagnosticado como diabético. De forma que los datos recabados permiten estimar de manera directa la tasa de letalidad por Covid-19 a nivel municipal así como la proporción de pacientes fallecidos por Covid-19 y diagnosticados con diabetes, para los nueve meses analizados (de mayo de 2020 a enero de 2021).
Los criterios de inclusión de casos comprendieron una definición espacial que corresponde a todos los individuos diagnosticados con Covid-19 cuya entidad y municipio de residencia se ubica en los estados de Tamaulipas, Nuevo León o Coahuila. Se analiza de manera especial esta región dada su vecindad con los Estados Unidos y el importante flujo migratorio derivado de su ubicación. El criterio temporal comprende los meses de mayo de 2020 a enero de 2021. Se decidió iniciar el mes de mayo debido a que el número de decesos registrados por Covid-19 durante los meses de marzo y abril de 2020 no permitió modelar estadísticamente el evento. Se observaron casos en sólo 29 de los 132 municipios de la región. El criterio de inclusión asociado al evento de estudio se centro en seleccionar de entre los individuos registrados como sospechosos a aquellos donde el resultado de la prueba de laboratorio para Covid-19 fuera positiva, es decir, se seleccionaron los casos confirmados.
Variables de estudio
Al tratarse de un estudio de tipo cuantitativo fundamentado en la aplicación de metodologías estadísticas bayesianas, que ajustan una serie de modelos espacio-temporales paramétricos y no paramétricos. Las variables incluidas en el estudio comprendieron las necesarias para estimar la tasa estandarizada de letalidad por Covid-19, por municipio y mes, así como a la proporción de personas diagnosticadas con diabetes entre enfermos de Covid-19, por municipio y mes.
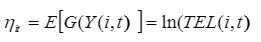
La tasa cuantifica el riesgo de enfermar en el municipio s, al mes t, mientras que los casos esperados E(s,t) representan el número de decesos que se esperaría observar, si la población del municipio s presentará el mismo patrón de mortalidad que la población estándar. El número esperado de casos puede estimarse utilizando el método de estandarización indirecta. Es importante señalar que la TEL se presenta en escala logarítmica debido a que permite expresar de mejor manera la dispersión presente en las tasas estimadas. Una TEL(s,t) > 1 indica que el riesgo de letalidad en el municipio s, al tiempo t, es mayor que el riego presente en el resto de la población.
La tasa cuantifica el riesgo de enfermar en el municipio s, al mes t, mientras que los casos esperados E(s,t) representan el número de decesos que se esperaría observar, si la población del municipio . presentará el mismo patrón de mortalidad que la población estándar. El número esperado de casos puede estimarse utilizando el método de estandarización indirecta. Es importante señalar que la TEL se presenta en escala logarítmica debido a que permite expresar de mejor manera la dispersión presente en las tasas estimadas. Una TEL(s,t) > 1 indica que el riesgo de letalidad en el municipio ., al tiempo ., es mayor que el riego presente en el resto de la población.
Análisis exploratorio de datos
La evolución mensual del número de defunciones, así como del número de diabéticos entre los casos confirmados de Covid-19 para las entidades del noreste de México puede verse en la gráfica 1. La entidad del noreste con más contagios y fallecimientos por Covid-19 es Nuevo León con 108.942 casos confirmados y 6.939 decesos, mientras que la entidad con la mayor tasa de letalidad por Covid-19 es Coahuila con 8,6 defunciones por cada cien casos confirmados seguida por Tamaulipas con 8,1 decesos y Nuevo León con 6,3 defunciones.
Los casos confirmados de Covid-19 a nivel municipal permiten tener una mejor idea de la dispersión de la pandemia a lo largo y ancho de la región noreste de México, si bien, durante el mes de abril de 2020, la pandemia presentaba uno o más casos confirmados en 63 de los 132 municipios de la región, para el mes de enero de 2021, la enfermedad estaba presente en prácticamente todos los municipios del noreste (128), con excepción de 4 municipios: Juárez en Coahuila, y tres municipios en Tamaulipas, Casas, Méndez y San Nicolás.

En relación con la distribución de casos confirmados de Covid-19 destacan los municipios de Monterrey y Guadalupe en Nuevo León y Torreón y Saltillo en Coahuila con el mayor número de contagios y defunciones, como puede verse en la gráfica 2. Estas cifras concuerdan con el tamaño de población presente en cada municipio, donde es precisamente Monterrey el municipio más poblado del noreste de México, seguido por los municipios de Saltillo en Coahuila, de Guadalupe en Nuevo León y Torreón en Coahuila, mientras que el municipio de Reynosa en Tamaulipas aparece en quinto lugar en población y noveno en contagios.
En términos relativos, de los diez municipios con mayor número de contagios del noreste de México, destacan tres municipios del estado de Coahuila: Reynosa y Saltillo y Torreón con las mayores tasas de letalidad, de 11,3, 10,6 y 8,5 defunciones por cada cien casos confirmados, seguidos por el municipio de San Nicolás de los Garza con 8,5 defunciones por cada cien casos confirmados. Si bien, el mayor número absoluto de casos confirmados de Covid-19 se ha presentado en Nuevo León, en términos relativos, la tasa de letalidad más alta se presenta en el estado de Coahuila.

En este punto es importante señalar que la distribución espacial de defunciones por Covid-19 no ocurre de manera homogénea en todos los municipios analizados, lo que implica la presencia de una importante proporción de municipios en los cuales no se observa ningún deceso, en especial si se considera todo el periodo analizado. La teoría sugiere que los ceros adicionales son generados por un proceso de recuento independiente, por lo que se recomienda el uso de un modelo poisson con exceso de ceros (poisson zero-inflated), el cual se conforma de dos partes, un modelo de conteo poisson y un modelo logit que permita predecir los ceros en exceso. Así, la dependencia espacio-temporal de la letalidad por Covid-19 entre municipios se capturó a través del uso de modelos que incluyen un proceso poisson con exceso de ceros.
Metodología
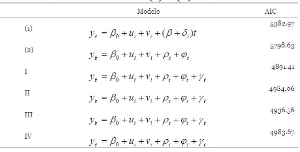
El análisis de la evolución espacio-temporal de los niveles de letalidad por Covid-19 en los municipios que conforman el noreste de México, para los nueve meses comprendidos entre mayo de 2020 a enero de 2021, se basa en el ajuste de seis diferentes modelos bayesianos espacio-temporales en competencia: un modelo paramétrico, un modelo no paramétrico y cuatro modelos no paramétricos de interacción espacio temporal.
El predictor lineal de un modelo generalizado, en escala logarítmica, se define como:
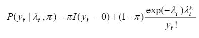
donde la función de enlace empleada para el caso de distribuciones tipo Poisson es el logaritmo natural (Wang, Yue y Faraway, 2018), dado que sigue una distribución de la forma:
I(y. = 0) representa la función indicadora, mientras que la probabilidad de observar un cero en la i-ésima área al tiempo t esta dado por Π+(1-Π)exp(-λit).
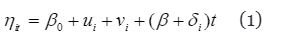
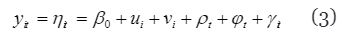
La formulación establecida para el modelo paramétrico espacio-temporal define el predictor lineal ηit como:
donde β. representa la tasa estandarizada de letalidad para los municipios del noreste de México, u. representa el efecto aleatorio espacialmente estructurado y v. el efecto espacialmente no estructurado. Cada unidad espacial tiene un intercepto (β.+u.+v.) y una pendiente (β+δ.) que representan la tendencia temporal (Blangiardo y Cameletti, 2015). Los vectores de parámetros e hiperparámetros están definidos como: θ = {β., u, ν, β, δ} y ψ = {τν, τυ, τδ} respectivamente.
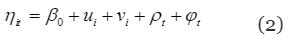
El modelo no paramétrico utiliza una forma dinámica que le permite definir el predictor lineal en términos de tendencias temporales de efectos estructurados ρt y efectos no estructurados φt (Bivand, Gómez y Rue, 2015):
la tendencia temporal estructurada ρt se modela utilizando una caminata aleatoria de orden uno (rw(1)) distribuida como:
mientras que la tendencia temporal no estructurada φt se modela como una distribución gaussiana intercambiable N(0, 1/τφ) (Schrödle y Held, 2011), donde β., u. y v. son definidos como en el modelo (1). El modelo (2) se especifica a partir de los vectores θ = {β., u, ν, ρ, φ} y ψ = {τu, τv, τρ, τφ} de parámetros e hiperparámetros respectivamente.
Los cuatro modelos no paramétricos de interacción espacio-temporal permiten capturar la interacción entre el espacio y el tiempo introduciendo el termino γit, con lo que expanden los modelos anteriores. La especificación general de su predictor linieal esta dada por:
el término de interacción espacio-temporal γit se distribuye como una normal γit ~ Normal (0, 1⁄τγ), con matriz de precisión τγRγ. Los parámetros restantes del modelo se definen como en el modelo (2). El vector de parámetros se define como: θ = {β0, u, ν, ρ, φ, γ}, y el vector de hiperparámetros como: ψ = {τu, τv, τρ, τφ, τγ}. El termino γit define cuatro tipos de modelos: Tipo I interacción de los efecto espacial y temporal no estructurado, vi y ρt respectivamente. Tipo II interacción del efecto espacial no estructurado vi con el efecto temporal estructurado φt. Tipo III de interacción del efecto espacial estructurado ui con el efecto temporal no estructurado ρt y tipo IV interacción del efecto espacial estructurado ui y temporal estructurado φt.
La calidad de ajuste de los modelos se cuantifica utilizando el criterio de información de AIC (Akaike Information Criterion), que consiste en elegir el modelo con el AIC más pequeño. El criterio AIC de calidad de ajuste para los seis modelos utilizados se presenta en la tabla 1. Los resultados de la tabla muestran que el modelo de interacción espacio-temporal tipo I presenta la mejor calidad de ajuste en relación el resto de modelos en competencia.

Resultados
La estimación de los seis modelos se realizó utilizando el paquete INLA, disponible en lenguaje de programación (Team, 2016). INLA utiliza las propiedades de la estructura de la matriz de precisión y de independencia condicional de los parámetros para obtener estimaciones rápidas y confiables. El criterio de información AIC proporcionó una medida de bondad de ajuste para seleccionar al modelo de interacción espacio-temporal tipo I como el modelo que mejor describe los datos.
El mapa 1 muestra la evolución espacio-temporal del logaritmo natural de las tasas estandarizadas de letalidad municipales, observadas a lo largo del periodo estudiado. El mapa dibuja un incremento continuado en el número de casos confirmados en una importante proporción de municipios de la región noreste de México, mientras en mayo de 2020, 84 municipios presentaron algún caso confirmado (de un total de 132 municipios), para el mes de enero de 2021, la cantidad de municipios que presentaron algún caso confirmado alcanzó 128 municipios.
En la tabla 2 se presentan las estimaciones posteriores de los efectos aleatorios del modelo tipo I, donde los efectos espaciales (estructurado y no estructurado) presentan una densidad posterior cuya magnitud es al menos mil veces más pequeña que la estimada para los efectos temporales (estructurado y no estructurado), lo que implica que el efecto del tiempo es fundamental para explicar la evolución de las defunciones, mientras el efecto espacial producto la transmisión del virus entre municipios vecinos tiene una importancia menor. Lo que se refleja en el crecimiento sostenido de decesos, observado durante los últimos dos meses.
| α | Intercepto | -1.971 | 0.12 | -2.207 | -1.97 | -1.737 | ||||||
| β | Diabetes | 14.282 | 1.419 | 11.493 | 14.281 | 17.073 | ||||||
| Efectos aleatorios | mean | sd | Q1 | Q2 | Q3 | |||||||
| ui | Efecto espacial estructurado | 13.199 | 5.19 | 6.005 | 12.214 | 26.069 | ||||||
| vi | Efecto espacial no estructurado | 6.112 | 2.957 | 2.258 | 5.492 | 13.596 | ||||||
| ρt | Efecto temporal estructurado | 19748.092 | 19019.765 | 1457.522 | 14215.945 | 69672.649 | ||||||
| φt | Efecto temporal no estructurado | 17976.687 | 18180.956 | 1200.48 | 12568.461 | 66090.175 | ||||||
| γit | Efecto int. espacio-temporal | 12.546 | 1.904 | 9.539 | 12.281 | 16.958 | ||||||
| Fuente: elaboración propia con base en estimaciones de R-INLA. | ||||||||||||
La especificación del modelo de interacción espacio-temporal tipo I permitió conocer la distribución de la letalidad a la par que se evaluó el efecto de la diabetes en enfermos diagnosticados con Covid-19. El efecto fijo α del modelo tipo I indica que la tasa estandarizada de letalidad promedio de los municipios del noreste de México es del orden de 13 defunciones por cada cien casos confirmados, cifra que evidentemente sobrestima la tasa observada para el periodo señalado (la tasa promedio observada fue de 7,4 decesos por cada cien casos confirmados). La sobre estimación es atribuible al efecto de la ponderación espacial entre municipios con altos y bajos niveles de letalidad, dado que existen a lo largo de los meses un número importante de municipios libres de casos de Covid-19. El efecto espacial estructurado del predictor lineal pondera información entre municipios vecinos, información que toma “prestada” y que utiliza para reducir la varianza (ver mapa 2).
El efecto del parámetro β del modelo de interacción espacio-temporal tipo I indica la existencia de una relación positiva entre la tasa de letalidad por Covid-19 y los casos de diabetes entre enfermos de Covid-19 e indica que, el incremento relativo de un punto porcentual en la incidencia de diabetes implicaría un incremento de 14 puntos en la tasa de letalidad municipal, para el periodo estudiado, lo que implica la existencia de una correlación positiva entre la tasa de letalidad por Covid-19 y la preexistencia de diabetes.


Las tasas estandarizadas de letalidad presentadas en el mapa 1 pueden contrastarse con las estimaciones realizadas por el modelo de interacción tipo I, presentadas en el mapa 2. El mapa 2 muestra la media posterior estimada de las tasas estandarizadas de letalidad condicionales a los niveles preexistentes de diabetes entre casos confirmados de Covid-19 municipales.
En la tabla 2 se presentan las estimaciones posteriores de los efectos aleatorios del modelo tipo I, donde los efectos espaciales (estructurado y no estructurado) presentan una densidad posterior cuya magnitud es al menos mil veces más pequeña que la estimada para los efectos temporales (estructurado y no estructurado), lo que implica que el efecto del tiempo es fundamental para explicar la evolución de las defunciones, mientras el efecto espacial producto la transmisión del virus entre municipios vecinos tiene una importancia menor, lo que se ve reflejado en el crecimiento sostenido de decesos durante los meses de diciembre de 2020 y enero de 2021.
Discusión
Esta investigación busca aportar elementos cuantitativos para al análisis de la distribución espacio-temporal de las tasas de letalidad por Covid-19 en municipios del noreste de México, al tiempo que evalúa la importancia de la diabetes con un factor que incrementa los niveles de mortalidad por Covid-19, entre casos confirmados. Un análisis de la dispersión territorial muestra la existencia de un conglomerado, de municipios en el estado de Tamaulipas, con bajo riesgo de letalidad por Covid-19. El conglomerado se conforma por los municipios de Casas, Jiménez, Llera, Cruillas, San Nicolás y Burgos, municipios que presentan tasa extremadamente bajas de letalidad a lo largo de todo el periodo estudiado.
El uso de modelos espacio-temporales facilitó el proceso de estimación de parámetros, a partir de la implementación de un algoritmo basado en la aproximación anidada integrada de Laplace (INLA) dado que el enfoque de inferencia bayesiana, usado por INLA se basa en la estimación de parámetros marginales posteriores y no en la estimación conjunta de parámetros. Adicionalmente, el uso del paquete INLA implementado en lenguaje R, aporta una serie de ventajas computacionales en relación con otros paquetes basados en algoritmos como la cadena de Markov de Monte Carlo (MCMC), ventajas que resultan fundamentales para reducir considerablemente el tiempo de procesamiento.
Conclusiones
A lo largo del periodo analizado, resulta evidente el crecimiento en el número de decesos y en el número de municipios que presentan defunciones por Covid-19, sin embargo, los resultados muestran que la dispersión espacio-temporal de la letalidad por Covid-19 se ha producido de manera desigual, no sólo en términos del número de los decesos sino del porcentaje de municipios donde ocurrieron. En sólo 4 de los 132 municipios de la región se concentraron 37 por ciento de las defunciones registradas por Covid-19 en el periodo analizado, al tiempo que se observó la presencia de un conglomerado de municipios con tasas de letalidad extremadamente bajas. Esta enorme desigualdad es capturada a lo largo del periodo de análisis por el parámetro de efectos temporales (ver tabla 2).
Si bien, la diabetes incrementa la susceptibilidad de los pacientes a contraer infecciones, se detectó que en la región noreste de México 14,1 por ciento de los enfermos de Covid-19 presentaron también diabetes. No obstante, diversos estudios señalan que la diabetes (es especial cuando está mal controlada) provoca que la infección por Sars-Cov-2 desencadene un aumento en la variabilidad de la glucosa sanguínea, así como un incremento en el riesgo de neumonía severa (Hernández, 2020). Los resultados encontrados, en esta investigación, apoyan las conclusiones anteriores y muestran la existencia de un importante incremento en la tasa de letalidad por Covid-19 entre pacientes con diabetes. El incremento de un punto porcentual en el número de pacientes diagnosticados con Covid-19 y diabetes incrementaría en 14 puntos la tasa de letalidad por Covid-19 en los municipios del noreste de México.
Referencias
BIVAND, R., GÓMEZ-RUBIO, V. Y RUE, H. (2015). “Spatial Data Analysis with R-INLA with Some Extensions”. Journal of Statistical Software, Volumen 63, Nro. 20, 1-31. DOI: 10.18637/jss.v063.i20
BLANGIARDO, M. Y CAMELETTI, M. (2015). Spatial and Spatio-Temporal Bayesian Models with R-INLA. Chichester, UK: John Wiley & Sons. ISBN: 978-1-118-32655-8
GÓMEZ-RUBIO, V. (2020). “Bayesian Inference with INLA”. New York: Chapman & Hall/CRC Press. ISBN 9781138039872
HERNÁNDEZ, L. E. (2020), “Determinantes sociales de la salud en torno a la atención del paciente con enfermedad renal crónica: caso estado de México, Oriente”, tesis de magister en Sociología de la Salud, Universidad Autónoma del Estado de México (UAEM).
MENDOZA GONZÁLEZ, M. F. (2020) “Rezago social y letalidad en México en el contexto de la pandemia de enfermedad por coronavirus (COVID-19): una aproximación desde la perspectiva de la salud colectiva en los ámbitos nacional, estatal y municipal”. Notas de Población, Nro. 111, 133-154.
MORAGA, PAULA. (2019) “Geospatial Health Data: Modeling and Visualization with R-INLA and Shiny”. Chapman & Hall/CRC Biostatistics Series. ISBN: 036735795X
PADILLA-SANTAMARÍA, F., MAYA-FRANCO L. Y FERMAN-CANO F. (2020), “COVID-19 en México: Panorama Epidemiológico”, Revista Cadena de Cerebros, Volumen 4, Nro. 1. 31-42. DOI: https://doi.org/10.5281/zenodo.3926806
REYES NÚÑEZ, M. A., SIMÓN DOMÍNGUEZ, N., y SIMÓN DOMÍNGUEZ, J. I. (2020). “Cómo estimar la letalidad del COVID-19”. Revista Mexicana de Patología Clínica y Medicina de Laboratorio, Volumen 67, Nro. 1, 4-8. DOI: https://dx.doi.org/10.35366/93845
ROSER, M., RITCHIE, H., ORTIZ-OSPINA, E., Y HASELL, J. (2020). “Coronavirus pandemic (COVID-19)”. Our world in data. Data [en línea] https://ourworldindata.org/covid-deaths
SCHRÖDLE, B. Y HELD L. (2011). “Spatio-temporal disease mapping using INLA”. Environmetrics. Volumen 22, Nro. 6, 725-734. DOI: https://doi.org/10.1002/env.1065
TEAM R. C. (2016) R: A Language and Environment for Statistical Computing. R Foundation for Statistical Computing, Vienna, Austria.
WAN HUI, CUI JING-AN Y YANG GUO-JING. (2020) “Risk estimation and prediction of the transmission of coronavirus disease-2019 (COVID-19) in the mainland of China excluding Hubei Province”, Infectious Diseases of Poverty, volumen 9, Nro. 116, 1-9. DOI: https://doi.org/10.1186/s40249-020-00683-6
WANG, X., YUE, Y. R., Y FARAWAY, J. J. (2018). Bayesian Regression Modeling with INLA. UK: Chapman and Hall/CRC. ISBN 9781498727259