Article
Precariousness of Higher Education Teaching Work in Brazilian Private HEIs
Precarização do Trabalho Docente de Ensino Superior em IES Privadas Brasileiras
Precariousness of Higher Education Teaching Work in Brazilian Private HEIs
BBR. Brazilian Business Review, vol. 20, no. 3, pp. 339-361, 2023
Fucape Business School
Received: 04 August 2021
Revised document received: 04 April 2022
Accepted: 28 April 2022
Published: 22 December 2022
Abstract: The purpose of this study is to analyze, through the Private Higher Education Teaching Work Precariousness Scale (EPTDESP), teaching work in private Brazilian higher education institutions (HEIs), focusing on its precarization. In this exploratory research, a quantitative survey study was conducted with 607 private HEIs professors from the South and Southeast regions of Brazil. Analysis included descriptive statistics, correlation analyses, and hypothesis tests. The results corroborated recent discussions that show the intense process of precariousness suffered by private HEIs professors in Brazil. By the hypothesis tests, it was confirmed that the type of employment bond significantly affects the perception of the degree of precariousness in these HEIs, and that the degree of precariousness significantly affects the interest of the professor in entering the teaching career in public HEIs.
Keywords: Teaching Work, Private Higher Education, Precariousness of Teaching Work.
Resumo: O propósito deste estudo é analisar, através da Escala de Precarização do Trabalho Docente de Ensino Superior Privado (EPTDESP), o trabalho docente em instituições de ensino superior (IES) privadas brasileiras, com enfoque em sua precarização. Na pesquisa exploratória, de natureza quantitativa do tipo survey, foram analisadas 607 respostas de docentes de IES privadas das regiões Sul e Sudeste. As avaliações incluíram estatísticas descritivas, análises de correlações e testes de hipótese. Os resultados corroboram discussões recentes que evidenciam o intenso processo de precarização sofrido pelos(as) docentes de IES privadas no Brasil. Pelos testes de hipóteses, confirmou-se que o tipo de vínculo de trabalho afeta significativamente a percepção do grau de precarização do trabalho docente nessas IES e que o grau de precarização afeta significativamente o interesse do(a) docente em ingressar na carreira docente em IES pública.
Palavras-chaves: Trabalho Docente, Ensino Superior Privado, Precarização do Trabalho Docente.
1. INTRODUCTION
The conditions that govern teaching work in higher education institutions (HEIs) undergo transformations in different times and historical-social spaces, being a complex and diverse field which is crossed by the political, educational, and labor reforms that occurred in Brazil over recent decades (Gemelli et al., 2020; Martins & Honório, 2014; Gemelli & Closs, 2022). Its understanding is part of a capitalist system that educates and creates for itself the individuals it needs to maintain its genesis and remain as the current economic order, in its different historical configurations, by peaceful means, based on massive and voluntary adherence (Weber, 1930).
The justifications for engagement in the capitalist system are anchored in a set of beliefs that support and legitimize the adoption of the precepts of capital accumulation (Boltanski & Chiapello, 2009). It is a system of organization of power, an ideology - managerialist - whose discourse legitimizes profit as a purpose (Gaulejac, 2007). Justified by contemporary capitalism, managerialist ideology has expanded beyond business prescriptions, contributing to other spheres of life being produced according to the molds defined by management (Arruda et al., 2020; Gemelli, 2020).
In the educational field, both public and private higher education have been redefined in the context of expansion, on a global scale, of neoliberal policies, since the 1990s, under strong influence from the private-mercantile perspective (Bielschowsky, 2020; Gemelli & Cerdeira, 2020; Ferreira et al., 2018; Maués & Souza, 2016; Sguissardi, 2009; Tambe et al., 2019). We observe the strengthening of business ideas at the heart of educational public policies and the naturalization of the adoption of their discourses and practices in the educational environment (Motta & Andrade, 2020), in a movement of entrepreneurship and commodification of Education.
With regard to labor relations, the sharp competition for jobs, the weakening of State protection and the technological revolution, among other manifestations of capital, were reflected in the growth of deregulated, unstable, and precarious work (Antunes, 2018; Concolatto et al., 2017). In line with a neoliberal discourse that redirects the action of the State, placing it as guardian of the competitive market (Dardot & Laval, 2016), a set of legislative changes for the deconstruction of labor rights has been discussed and approved in Brazil, with emphasis on the labor reform, under Law No. 13.467/2017 and Law No. 13.429/2017 (Krein & Colombi, 2019).
There are also conditions that differ between private and public higher education teaching, with emphasis on the stability regime enjoyed by public HEIs professors, while, in private HEIs, the hourly hiring regime prevails (Inep, 2020). Such conditions make teaching work in private HEIs even more exposed to the fragility of labor relations and to the consequences of the process of entrepreneurship and commercialization of Brazilian education (Bielschowsky, 2020; Gemelli & Cerdeira, 2020).
The weakening of labor relations and the intensification of their activities, which increased the precariousness of teaching work in private HEIs, has been evidenced by several national studies (Ferreira et al., 2018; Gemelli et al., 2020; Guimarães & Chaves, 2015; Ivo & Hypolito, 2015; Martins & Honório, 2014; Locatelli, 2017) as well as international ones (Antunes, 2017; Cerdeira & Cabrito, 2020; Jessop, 2018; Saunders & Blanco Ramirez, 2017; Tambe et al., 2019; Walker, 2020; Wilcox, 2021). Despite its relevance, there is a lack of research that quantitatively analyzes the process of precarization of work, especially in the Brazilian context of private HEIs (Gemelli et al., 2020; Locatelli, 2017).
Thus, the present article aims to analyze the work of professors who work in private higher education institutions (HEIs) in the south and southeast regions of Brazil, focusing on the precarization process, through a study using the survey method of research. Thus, it is intended to bring theoretical and empirical contributions to the field of studies on labor relations and higher education teaching in the Brazilian context, as well as to provide subsidies for analysis, reflection, and planning of actions by legislators, unions, and educational institutions that aim to contemplate concerns with the impacts of the advance of the private-mercantile perspective on teaching work.
2. THEORETICAL FRAMEWORK
Advances such as the expansion of the offer of vacancies in higher education, the expansion of the private sector in the educational sphere, and the weakening of employment bonds had different consequences for higher education (Bechi, 2017; Costa et al., 2021). Among them, there is evidence of an intense and complex daily work environment, exposed to criteria of efficiency and effectiveness adjusted to the interests of the market, as well as the enhancement of the productivity of the professor worker, who had increased demands on oneself (Ferreira et al., 2018).
Taking into account the administrative and academic forms of organization of Brazilian higher education is extremely important for understanding the dynamics of teaching labor relations (Locatelli, 2017), since it is affected by double complexity. Simultaneously, it suffers the spread of neoliberal rationality, which alters the social meaning of education and brings it closer to the notion of service provision, and the precariousness of labor relations caused by the crisis of capitalism and political-economic reforms (Gemelli et al., 2020).
In 1980, according to data from INEP (2020), Brazil had 200 public HEIs and 682 private HEIs. In 2019, the country had 302 public HEIs and 2306 private HEIs. These indicators show that, in the last forty years, public HEIs have grown by 51% and private HEIs have grown by more than 238%. In addition, Brazilian private higher education has undergone recent changes, which reflect the expansion of the mercantile movement, especially the proliferation of educational conglomerates. According to Bielschowsky (2020), a special form of oligopoly was implanted in Brazilian private higher education, characterized by the high concentration of the market in a few business groups. According to the same author, in 2018, ten business groups accounted for about 50% of national enrollments, capturing approximately 60% of new enrollments in this educational segment.
Another characteristic of Brazilian higher education, according to the Census of Higher Education (Inep, 2020), is the significant growth of courses in the modality of distance education (EAD) which, between 2018 and 2019, had a positive variation of 15.9%, while classroom learning courses had a decrease of 1.5%. The percentage participation of entrants in EAD undergraduate courses, in 2009, was 16.1% in relation to the total enrollment in higher education, growing to 43.8% in 2019. Several authors (Benini et al., 2020; Costa, 2016; Veloso & Mil, 2018) consider that the dizzying expansion of the offer of EAD courses is an expression of the process of commodification of higher education, which leads to greater precariousness of teaching work. In this modality, the number of students assisted by each professor tends to be higher, expanding the task of the professor and breaking the principle of interpersonal relationship characteristic of the teaching profession (Costa, 2016).
The advancement of market rationality for the Brazilian educational field and its imposition of new demands on HEIs resulted in new challenges for their teaching work. In this new scenario, teaching presents itself as an increasingly complex profession, demanding and exercised in adverse conditions, at the same time that it has been feeling the decrease in its professionality (Monteiro, 2015). When analyzing advertisements of large educational groups - both for vacancies for teaching work and for training courses for teaching, Melo and Cavalcante (2019) observed a discourse of disqualification for teaching as a profession, treating it as a complementary activity to other professions.
Furthermore, we perceived the increasing intensification of teaching work activities also impacted by exacerbated academic productivism (Maués & Souza, 2016). Such intensification of work concerns the amount of physical, intellectual, and emotional energy expended by the professor in the effectiveness of their work (Guimarães & Chaves, 2015). In addition, there is a degradation of the working conditions indispensable for the professors to fulfill their role in the learning process of students, in addition to their needs for professional development (Moura et al., 2019). These conditions refer to the availability of resources that allow the work to be effectively materialized, involving the institution's infrastructure, available materials, and support services.
The subsequent weakening of teaching labor relations experienced in Brazil in recent years illustrates a scenario in which full-time work has been replaced by flexible labor contracts (Gemelli & Cerdeira, 2020). This weakening becomes even more evident in intermittent employment contracts, such as the hourly worker, in self-employment - with payment by Self-Employed Payment Receipt (RPA) - or in the provision of services as a legal entity (Gemelli et al., 2020). Irigaray et al. (2019), Locatelli (2017), Gemelli et al. (2020) and Nogueira and Oliveira (2015) suggest that the weakening of labor ties and the coexistence of multiple labor ties affect teaching work, especially in relation to financial insecurity, the difficulty of career planning, and the weakening of ties with students and peers.
In the case of hourly professors, the value obtained by this work is often insufficient for their survival, forcing the expansion of work shifts or even teaching in more than one institution (Nogueira & Oliveira, 2015). In addition, the labor reforms accentuated the hiring of professors as self-employed workers or through the incorporation of a legal entity (Gemelli et al., 2020). Due to the absence of a formal bond, professors experience the loss of important elements for their professional achievement, such as security, autonomy, and independence (Irigaray et al., 2019). Thus, the first hypothesis (Figure 1) of the present study is proposed:
H1: the type of bond/employment contract significantly affects the perception of the degree of precariousness of private higher education teaching work.
It is also observed that the growth in the ratio of the number of students per professor has been more pronounced in university centers and colleges, more often managed by the private sector (Locatelli, 2017). According to INEP (2020), 83.82% of Brazilian private HEIs are accredited by the Ministry of Education (MEC) as colleges; 12.27% as university centers; and only 3.9% as universities. The main differential in the organization of these institutions is the inseparability of teaching, research, and extension activities in universities. Considering this, the second hypothesis was formulated:
H2: The characterization of the HEIs where the professors work, according to their accreditation by MEC (colleges, university centers or universities), significantly affects the perception of the degree of precariousness of private higher education teaching work.
Given the recent reconfigurations of teaching work in private HEIs, according to Gemelli et al. (2020), professors who did not intend to enter a career in public HEIs began to consider the possibility of applying for civil service exams. According to the same authors, financial insecurity, uncertainty about their permanence in HEIs, and the difficulty of career planning were the main factors that drove the migration to the public career listed by the interviewees. Based on the above, the third and final hypothesis of the study is proposed:
H3: the perception of the degree of precariousness of teaching work in private HEIs significantly affects the interest of the professor in entering the teaching career in public HEIs.

3. METHODOLOGY
This study aims to analyze the teaching work of private higher education in Brazilian HEIs with a focus on its precariousness process. The current article presents and discusses the results of the last phase of a research project, started in 2020, in order to develop and apply an instrument for measuring and analyzing the precariousness of teaching work in Brazilian private higher education. In the two previous phases, we proceeded: 1) to carry out a systematic review of the academic production of scientific articles indexed in the database Scientific Electronic Library Online (SciELO) on teaching work in higher education published in Brazil in the last decade (2010-2019); 2) the proposition and validation of a research instrument capable of measuring the precariousness of teaching work in private higher education in Brazil. The systematic review substantiated the proposition of the Private Higher Education Teaching Work Precariousness Scale (PHETWPS), tested and validated by Factor Analysis and presented in Figure 2:
Table 1 presents the statements that make up PHETWPS:

This study is characterized as a correlational research through the survey method (Cozby, 2003). The data collection instrument was composed by PHETWPS, as well as by demographic and research questions on aspects of the exercise of the teaching profession. The collection was conducted in the modality online, in the month of April 2021, with the use of the Google Forms application. The dissemination took place through several channels, including: research and professors groups on WhatsApp®, Facebook® and Linkedin®; contact with all units of the Sindicato dos Professores do Ensino Privado (SINPRO - Private Education Teachers Union) present in the south and southeast regions; private HEI e-mail groups.
A total of 654 responses were collected that went through the data cleaning stage. Excluding duplicates and missing answers, 607 answers remained. The sample obtained is classified as probabilistic of infinite universe, with 95% reliability (Mattar, 1999). The statistical software used in the analyses was the Statistical Package for the Social Sciences (SPSS), version 23.
Descriptive statistical analyses were conducted to characterize the professors participating in the research. Possible correlations between the socio-demographic variables - sex, age, color/ethnicity, education, state of residence - and the variables of aspects of the exercise of the teaching profession were evaluated, using bivariate correlations.
The PHETWPS analyses began by calculating the means and standard deviation, establishing a 95% confidence interval. The reliability test - Cronbach's Alpha - was performed to attest the internal reliability of the scale and the Kolmogorov-Smirnov test, to verify the distribution of the sample. For the test of hypotheses, analysis of variance (ANOVA) was used for the test of statistical significance of the difference between groups, between the selected variables - type of bond/employment contract, characterization of the HEIs in which professors work by accreditation in MEC - and the dimensions of PHETWPS and the multiple regression for the analysis of the relationship between the dimensions of PHETWPS and the interest in entering the teaching career in public HEIs (Hair et al., 2009). In case of confirmation of the hypothesis - rejection of the null hypothesis - post-hoc tests of multiple comparisons were applied.
4. RESULTS AND DISCUSSION
The results are presented by descriptive analyses to characterize the survey respondents. Table 2 presents the demographic data of the participants regarding sex, age, color/ethnicity, education, and state of residence.

It was observed that the participation of female respondents was higher, representing 54.9% of the sample. The mean age of the respondents was 42.6 years old; the median, 42; the minimum age, 24; the maximum, 74. White self-declared respondents predominated (81.2%). As for Education, only 11.8% did not have a master's or doctorate degree. Of the respondents 45.5% were from the South Region, and 54.5% were from the Southeast region. It should be noted that 119 different cities were cited as places of residence by the respondents.
Table 3 presents the data of the questions involving aspects of the exercise of the teaching profession. The areas of Applied Social Sciences (41.8%), Health Sciences (20.1%) and Human Sciences (18.8%) stood out as the major areas of activity of the respondents in the CNPQ. The average time of experience in the profession was 9.8 years, with a median of 8 years, a minimum of 1 year and a maximum of 51 years. The mean gross income from teaching activity was R$ 4.971,75 per month, with a median of R$ 4.000,00, a minimum of R$ 250,00 and a maximum of R$ 25.000,00. Most (52.5%) of the professors always and/or frequently worked in other paid activities besides teaching.

As the main bond/employment contract, it was evidenced that, hourly work (47.1%), and then part-time monthly work (20.1%). Among the other employment bonds/contracts, hiring as a legal entity (PJ), self-employment paid by RPA, and even self-employment without registration were revealed. Only 18.3% had a job as a full-time professor. Teaching in lato sensu postgraduate courses was frequent or constant for 38.1%. Teaching in stricto sensu postgraduate courses was frequent or constant for only 10.5%.
As for the modality that the responding professors taught, the following percentage order was found: classroom learning (57.5%); distance learning (10.3%); classroom learning and distance learning (9.6%); blended learning (7.6); classroom learning and blended learning (6.8%); classroom learning, blended learning and distance learning (6.0); blended learning and distance learning (2.2%). Therefore, most of the survey respondents practiced teaching in classroom learning higher education. It should be noted that the questionnaire guided the course modality in the period prior to COVID-19, that is, in the case of classroom learning courses in emergency remote teaching due to COVID, the modality to be selected was classroom learning.
It should be noted that 22.1% of the respondents have already taught by temporary contract in public HEIs as substitute professors (Law No. 8.745/93). In addition, 47.9% wished to enter the career of public HEIs professors by civil service exams.
4.1. Socio-demographic correlation with aspects of the teaching profession
Bivariate analysis tests were applied to verify the correlation between the socio-demographic variables - sex, age, color/ethnicity, education and state of residence - and the variables of aspects of the exercise of the teaching profession. Significant results were obtained (p<0.05) in the following correlations.
The variable sex indicated correlation with the CNPQ areas of the responding professors. There was a significantly higher frequency of women in Health Sciences, Applied Social Sciences, and Human Sciences and of men in Exact and Earth Sciences and in Engineering. The variable sex was also correlated with working in another professional activity besides teaching, with the frequency of male professors who always or frequently perform another activity being higher than that of women.
National (Balsamo & Paniz, 2021; Sousa, 2021) and international (Broadley, 2015; Leaper & Starr, 2019) studies discuss the under-representation of women in the fields of Science, Technology, Engineering, and Mathematics (STEM), and in the Agricultural Sciences. It should be noted that, in addition to the capacity of individual agency, contexts - marked by social, economic, political and cultural conditions - delimit and direct opportunities and personal career choices (Fraga et al., 2019). Therefore, it would be simplistic to analyze this gender inequality only as a consequence of educational and occupational choices (Broadley, 2015). Factors such as occupational segregation by sex, sexual harassment, and exclusionary selections drive women away from training and teaching in areas historically dominated by men, such as the Exact Sciences and Earth and Engineering (Balsamo & Paniz, 2021; Fraga et al., 2019; Leaper & Starr, 2019).
The variable Education presented a positive linear correlation with: age (the increase in age was related to greater training); experience time (professors with greater training indicated greater experience time); gross monthly income from the teaching activity (greater training focused on higher income). There was a correlation between training and performance in subjects in stricto sensu postgraduate courses, the higher the frequency of PhDs working in this modality of teaching; characterization of the HEIs of action according to their accreditation by MEC, with a higher frequency of PhDs in universities and masters and specialists in colleges and university centers; the types of employment bonds/contracts, with a higher frequency of PhDs as full-time monthly workers and masters and specialists as hourly workers; performance in other professional activity besides teaching, being significantly higher the frequency of specialists who exercise another activity always or frequently, in relation to masters and PhDs. The number of PhDs who, according to Law No. 8.745/93, acted as substitute professors in public HEIs was significantly higher than in the other levels of training.
The predominance of specialists in other professional activities, in addition to teaching, comes both from lower remuneration - since there is a correlation between training and gross monthly income from teaching activity - and from the beginning of the teaching career. As indicated by the research of Gemelli et al. (2020), many people enter teaching while maintaining other professional activities, and carry out training (master/doctorate) aiming at total migration to the new career. Another aspect to be considered is the recent increase in the deprofessionalization of higher education teaching, being considered an extra activity, as exposed Melo and Cavalcante (2019).
The variable color/ethnicity indicated correlation with the length of experience in the teaching career: black and brown people had less experience time compared to white people and expressed a greater desire to enter teaching in public HEIs. As the states Rio de Janeiro, Espírito Santo, and Minas Gerais showed a significantly higher percentage of black and mixed-race people compared to Rio Grande do Sul, Santa Catarina, Paraná e São Paulo, the correlation of the state variable with the greater desire to enter teaching in public HEIs was also significant.
When analyzing the literature on teaching work in higher education, there is a shortage of studies that debate the theme with a view to social markers of difference, such as class, gender, sexuality, race/ethnicity. Regarding race/ethnicity, Fernandes (2019) identified that white men constitute the majority of the higher education teaching staff in Brazil, and that the presence of black professors is even less representative in the south and southeast regions of the country. These data are corroborated both by INEP reports and by the results of the present study. Silva and Castro (2018) reflect that there is still an intense struggle for equal rights in society and in all school spaces, including in higher education. The recent educational reforms, which emerged as a response to the struggles undertaken by anti-racist social movements for equal rights, have expanded the access of the black population to higher education, postgraduate education, and university teaching. Therefore, it is clarified that the correlation of the color/ethnicity variable with the teaching experience reflects the recent access of the black population to the teaching profession in higher education.
As expected, the variable age indicated a positive linear correlation in relation to the length of teaching experience (the higher the age, the longer the experience) and a negative correlation in relation to the desire to enter the teaching career in public HEIs (the higher the age, the lower the desire of applying for civil service exams for teaching). In addition, there was a relationship with the characterization of HEIs, with less frequency of younger professors in universities and more frequency in colleges and university centers. Younger professors also worked less frequently in stricto sensu postgraduate teaching, since they had less training.
4.2. Precariousness of teaching work
For the three dimensions and eight factors of this study, the Cronbach's Alpha coefficient values observed indicated moderate to high reliability (Murphy & Davidsholder, 1998), attesting to the reliability of the instrument adopted. The data were also submitted to the Kolmogorov-Smirnov test, which indicated that the sample comes from a normal population, with uniform distribution.
The analysis of the Private Higher Education Teaching Work Precariousness Scale (PHETWPS) began by calculating the mean and standard deviation of its dimensions, its factors and its variables, establishing a 95% confidence interval. It is noteworthy that the answers were scored with a scale of agreement from 1 to 5, therefore it is understood that the higher the mean, the lower the perception of precariousness. When comparing the means of the dimensions, it was identified that work organization and working conditions obtained the lowest mean (M=3.17), followed by career prospects, autonomy and recognition (M=3.30), and labor rights, contractual relations, and remuneration (M=3.84).
Table 4 presents the calculations of the mean and standard deviation of the factors and Cronbach's Alpha of the dimensions.

Among the factors, workload obtained the lowest average (M=2.6), indicating that it is the most precarious in the perception of professors. Therefore, it can be inferred that, in general, the professors considered that the workload hired by the HEIs is insufficient to carry out all the required activities, an aspect of precariousness widely mentioned in the literature (Coutinho et al. 2011; Gemelli et al., 2020; Reis & Cecílio, 2014). It should be noted that none of the factors obtained an average equal to or greater than 4, and the highest average (3.8) was related to labor rights, contractual relations, and remuneration.
The mean and standard deviation calculations of the variables and Cronbach's Alpha of the EPTDESP factors are presented in Table 5.

As shown in Table 5, only four variables presented a mean greater than 4. Of the thirty-seven variables that make up the precariousness factors, twelve reached means below 3. This is a result that corroborates recent theoretical-empirical discussions showing that teaching in private higher education in Brazil goes through an intense process of precariousness.
The variables with lower mean and, consequently, indicative of greater precariousness are also highlighted in Table 5. Work and career planning obtained the lowest average (M=2.2), indicating that few professors felt safe to draw future life plans that depended on their teaching career. It is emphasized the overload of extra-class pedagogical activities (M=2.4) that, in the perception of the professors surveyed, did not match the workload formalized by the HEIs. Insecurity regarding the permanence in HEI was, in this study, the third variable with the lowest mean (M=2.5). At this point, it is suggested to consider the impacts of the labor reform and the recent mass layoffs promoted by private HEIs in Brazil, elements that intensified the sense of insecurity of professors about their future (Sguissardi, 2018).
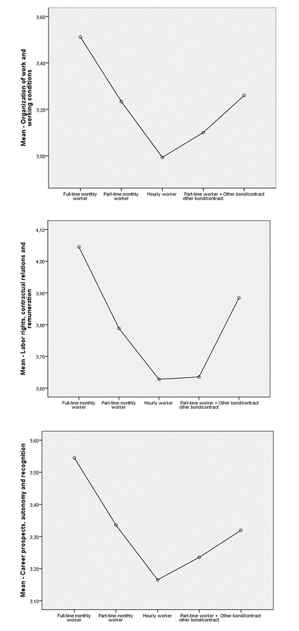
The first two hypotheses of the study were tested by one-way analysis of variance (ONEWAY ANOVA), having as H0: the degree of precariousness has a normal distribution among the samples. The results of the ANOVA test of the first hypothesis - H1: The type of bond/employment contract significantly affects the perception of the degree of precariousness of private higher education teaching work - revealed significant variance difference (p<0.05) between the means of precarization of the three dimensions of the PHETWPS, according to the bond/employment contract. Therefore, the null hypothesis is rejected, as presented in Table 6.

By observing the graphs (Figure 3) and applying the Scheffe test of multiple comparisons - post-hoc - it was identified that full-time professors presented lower means of perception of precariousness of teaching work in the three dimensions of the scale. The average number of hourly professors was significantly lower in all dimensions, that is, professors with a work bond as hourly workers perceived their work as more precarious in relation to professors with a full-time working bond.

The results of the ANOVA test of the second hypothesis - H2: The characterization of the HEIs where the professors work, according to their accreditation by MEC, significantly affects the perception of the degree of precariousness of private higher education teaching work - revealing that there is no significant variance difference (p<0.05) between the means of precariousness of the three dimensions of the PHETWPS, according to the characterization of the HEI. Therefore, the null hypothesis is not rejected and it is concluded that the characterization of HEIs where the professors work, according to their accreditation by MEC does not interfere in the perception of the degree of precariousness of the work.
The last hypothesis - H3: The perception of the degree of precariousness significantly affects the interest of the professor to entering a teaching career in public HEI - was tested by means of multiple regression, indicated by Hair et al. (2009), when the intention is to observe the relationship between a dependent variable and several predictor variables. Before the regression analysis, the assumptions of linearity of the phenomenon and the absence of multicollinearity were tested. It was observed that only dimension 2 - labor rights, contractual relations and remuneration - did not indicate a significant relationship with the interest in entering the public career, therefore the null hypothesis is partially rejected.
Dimension 1 - organization of work and working conditions - indicated a significant relationship with the interest in entering the public career (β = ,138; t = 3,421; p < 0,01), as well as Dimension 3 - career prospects, autonomy and recognition - (β = ,150; t = 3,721; p < 0,01). As a test post-hoc, a correlation test was performed between the factors of each dimension and the interest in entering the public career. It was observed that only the factors promoting research and extension and bonds with HEI, colleagues and students - dimension 1 - and charging for scientific productivity - dimension 3 - showed no significant correlation. The other factors - number of subjects, classes, and students; workload; physical, technological infrastructure, and technical support; career planning, participation in decision-making processes, and teaching autonomy; and recognition and encouragement of training - showed significant correlation at the level p<0.01. It can be seen that the perception of precariousness of these factors correlates positively with the interest of professors in entering the career in public HEIs.
5. FINAL CONSIDERATIONS
It should be noted that this study presents the results of the last phase of a research project started in 2020, with a systematic review of production published in Brazil in the last decade (2010-2019), indexed in the database Scientific Electronic Library Online (SciELO), on teaching work in higher education. This project proposed and validated the Private Higher Education Teaching Work Precariousness Scale (PHETWPS), a research instrument that allows measuring the precariousness of teaching work in private higher education in Brazil.
The purpose of this article was to analyze, through the Private Higher Education Teaching Work Precariousness Scale (PHETWPS), the teaching work in higher education in Brazilian private institutions, with a focus on its precariousness. In this exploratory research, of a quantitative nature of the type survey, 607 responses from private higher education professors from various areas and institutions, from the South and Southeast regions of Brazil, were analyzed. Analyses included descriptive statistics, correlation analyses, and hypothesis testing (ONEWAY ANOVA and multiple regression).
Among the results of the correlation tests between socio-demographic variables and aspects of the teaching profession, the following stand out: a) the underrepresentation of women in the areas of Exact and Earth Sciences and Engineering; b) the indications of deprofessionalization of higher education teaching; c) the correlation of the color/ethnicity variable with the teaching experience, which reflects the recent access of the black population to the teaching profession in higher education.
The analysis of the means of factors and variables of PHETWPS corroborate recent theoretical-empirical discussions that show the intense process of precariousness suffered by professors of private higher education in Brazil (Ferreira et al., 2018; Gemelli et al., 2020; Locatelli, 2017). The main factor related to precariousness was the workload, indicating perception of its insufficiency, on the part of the professors, to carry out all the activities required by the HEIs. Also highlighted in this research were: difficulties in the planning of work and teaching career; the overload of extra-class pedagogical activities; insecurity regarding the permanence in the HEI - aspects related to the variables that obtained the lowest averages in this study.
Regarding the hypothesis test, it was confirmed that the type of bond/employment contract significantly affects the perception of the degree of precariousness of teaching work in private higher education. It was inferred that professors with a working bond as hourly perceive their work as more precarious in relation to professors with a full-time working bond. The hypothesis that the perception of the degree of precariousness significantly affects the interest of the professor to enter the teaching career in public HEIs was partially confirmed. It was found that work organization and working conditions, as well as career prospects, autonomy and recognition, are dimensions of PHETWPS that, when not met, influence the decision of private HEIs professors to migrate to public HEIs.
In addition to confirming the hypothesis that the degree of precariousness influences the interest of entering the public career, the research indicated which factors are most significant in the decision making of migration from private to public career: number of subjects, classes and students; workload; physical infrastructure, technology and technical support; career planning, participation in decision-making processes and teaching autonomy; recognition and encouragement to training.
From the social and political point of view, the results can support the planning of public policies and union actions to confront the precariousness process experienced by professors of Brazilian private higher education. From a managerial point of view, this study can support actions by the management of private HEIs, in order to reduce the degree of precariousness of teaching work and, consequently, improve their retention rates.
This research fills the theoretical-empirical gap in the scarcity of studies that quantitatively analyze primary data on the precariousness of higher education teaching work, especially in the context of private HEIs. Arguments proposed by theoretical and/or qualitative methodology studies (Gemelli et al., 2020; Irigaray et al., 2019; Melo & Cavalcante, 2019; Monteiro, 2015) were statistically confirmed. Therefore, the theoretical contributions of this article to the fields of studies of labor relations and higher education are evident.
There is a rapid restructuring process of private-mercantile higher education in Brazil, due to the insertion of educational companies in the financial market and the acquisition of small and medium-sized higher education institutions by educational conglomerates, through acquisition and/or merger processes (Bielschowsky, 2020; Carvalho, 2020). Given this scenario, it is suggested to use PHETWPS to evaluate how the teaching worker is affected by the change in the management of the institution after the purchase by publicly traded business groups. In addition, other segmentations of HEIs are also indicated in future research, such as by size, billing, target audience (student income profile), among others, through the analysis of secondary databases by clusters and through the view of the reporting subject, in order to obtain more accurate information about the main focus of precariousness.
In agreement with the results of this study, it is proposed as an agenda for future research:
study of the precariousness of teaching work with substitute professors in public HEIs, hired in accordance with Law No. 8,745/93;
adaptation and validation of EPTDESP for the context of public higher education;
studies on the deprofessionalization of higher education teaching;
analysis of the impacts of affirmative actions for the entry of black people into the teaching profession in higher education;
studies that analyze other social markers of difference, such as class, generation, gender and sexuality in teaching work in higher education;
studies that relate the scale of precariousness with others related to illness or burnout syndrome, such as the study proposed by Baptista et al. (2019).
As a limitation of the research, it is indicated that the COVID-19 pandemic was not considered as a moderator of the theoretical model. In the instructions of the questionnaire it was emphasized that the questions were considered according to the context of teaching work prior to the pandemic, however it is understood that their context may have produced resonances in the study data.
REFERENCES
Antunes, R. (2018). O privilégio da servidão: o novo proletariado de serviço na era digital. Boitempo Editorial.
Antunes, F. (2017). Uma trajetória singular? Apontamentos sobre europeização, privatização e especificidades do ensino superior português. Revista Eletrônica de Educação, 11(1), 165-184. https://doi.org/10.14244/198271992096
Arruda, J. R., Gemelli, C. E., & Grisci, C. L. I. (2020). Ideologia gerencialista, gerenciamento familiar e a proliferação do ensino de programação para crianças e adolescentes. Revista de Ciências da Administração, 21(54), 161-173.
Balsamo, G. M., & Paniz, C. M. (2021). Um olhar sobre a inclusão das mulheres no curso de agropecuária: um estudo específico em um campus do Instituto Federal Farroupilha. Perspectivas em Diálogo, 8(16), 309-327.
Baptista, M. K., Soares, T. F. P., Raad, A. J., & Santos, L. M. (2019). Burnout, estresse, depressão e suporte laboral em professores universitários. Revista Psicologia: Organizações e Trabalho, 19(1), 564-570. http://doi.org/10.17652/rpot/2019.1.15417
Bechi, D. (2017). As reformas da educação superior e as metamorfoses do trabalho docente na economia capitalista flexível. Revista Internacional de Educação Superior, 3(1), 203-223. https://doi.org/10.22348/riesup.v3i1.7733
Benini, E. G., Fernandes, M. D., Petean, G. H., Penteado, R. C., & Magnin, L. S. L. T. (2020). Educação a distância na reprodução do capital: entre a ampliação do acesso e a precarização e alienação do trabalho docente. Trabalho, Educação e Saúde, 18(3), e00307139. https://doi.org/10.1590/1981-7746-sol00307
Bielschowsky, C. E. (2020). Tendências de precarização do ensino superior privado no Brasil. Revista Brasileira de Política e Administração da Educação, 36(1), 241- 271. https://doi.org/10.21573/vol36n12020.99946
Boltanski, L., & Chiapello, È. (2009). O novo espírito do capitalismo. Martins Fontes.
Broadley, K. (2015). Entrenched gendered pathways in science, technology, engineering and mathematics: Engaging girls through collaborative career development. Australian Journal of Career Development, 24(1), 27-38. https://doi.org/10.1177/1038416214559548
Carvalho, E. L. M. (2020). As configurações do trabalho docente no ensino superior privado na Amazônia. Brazilian Journal of Development, 6(3), 14539-14548.
Cerdeira, L., & Cabrito, B. (2020). Os professores do ensino superior público em Portugal: Uma carreira em perigo? Revista Educação, Cultura e Sociedade, 10(1), 6-22.
Concolatto, C. P., Rodrigues, T. G., & Oltramari, A. P. (2017). Mudanças nas relações de trabalho e o papel simbólico do trabalho na atualidade. Farol - Revista de Estudos Organizacionais e Sociedade, 4(9), 341-390.
Costa, A. C. (2016). As injunções aos docentes na universidade pública: De intelectuais a trabalhadores polivalentes. Trabalho, Educação e Saúde, 14(1), 75-195. https://doi.org/10.1590/1981-7746-sol00031
Costa, W. M. A., Souza, K. R., & Scaff, E. A. S. (2021). Flexibilização dos direitos trabalhistas e as consequências para o trabalho docente. Laplage em Revista, 7(1), 20-30. https://doi.org/10.24115/S2446-6220202171133p.20-30
Coutinho, M. C., Magro, M. L. P. D., & Budde, C. (2011). Entre o prazer e o sofrimento: um estudo sobre os sentidos do trabalho para professores universitários. Psicologia: Teoria e Prática, 13(2), 154-167.
Cozby, P. C. (2003). Métodos de pesquisa em ciências do comportamento. Atlas.
Dardot, P., & Laval, C. (2016). A nova razão do mundo. Boitempo.
Fernandes, C. M. (2019). Desigualdades raciais e de gênero entre docentes de ensino superior no Brasil: Um debate sobre descolonialidade e reconhecimento [Anais]. 43° Encontro da ANPOCS, Caxambu, MG.
Ferreira, A. C. S. P., Ferenc, A. V. F., & Wassem, J. (2018). Trabalho Docente e Avaliação da Capes: Estranhamento e naturalização. Educação & Realidade, 43(4), 1321-1341. https://doi.org/10.1590/2175-623684892
Fraga, A. M., Gemelli, C. E., & Rocha-De-Oliveira, S. (2019). Cenário das publicações científicas em carreira e gênero. Revista Pensamento Contemporâneo em Administração, 13(3), 158-178.
Gaulejac, V. (2007). Gestão como doença social: Ideologia, poder gerencialista e fragmentação social. Ideias & Letras.
Gemelli, C. E., & Cerdeira, L. (2020). COVID-19: Impactos e desafios para a educação superior brasileira e portuguesa. In L. V. M. Guimarães, T. C. Carreteiro & J. R. Nasciutti, Janelas da Pandemia (pp. 115-124). Editora Instituto DH.
Gemelli, C. E., Closs, L. Q., & Fraga, A. M. (2020). Multiformidade e pejotização: (re)configurações do trabalho docente no ensino superior privado sob o capitalismo flexível. Revista Eletrônica de Administração, 26(2), 09-438. https://doi.org/10.1590/1413-2311.289.101464
Gemelli, C. E. (2020). Capitalismo flexível como propulsor da ideologia gerencialista: Um diálogo com Luc Boltanski, Ève Chiapello, Vincent de Gaulejac e Richard Sennett. Farol - Revista de Estudos Organizacionais e Sociedade, 7(19), 738-767. https://doi.org/10.25113/farol.v7i19.5275
Gemelli, C. E. (2021). Empresariamento e mercantilização da educação: (re)configurações do trabalho docente de ensino superior privado brasileiro [Tese de Doutorado, Universidade Federal do Rio Grande do Sul, Porto Alegre].
Gemelli, C. E., & Closs, L. Q. (2022). Trabalho docente no ensino superior: Análise da produção científica publicada no Brasil (2010-2019). Educação & Sociedade, 43, e246522. https://doi.org/10.1590/ES.246522
Guimarães, A. R., & Chaves, V. L. J. (2015). A intensificação do trabalho docente universitário: Aceitações e resistências. Revista Brasileira de Política e Avaliação da Educação, 31(3), 567-586. https://doi.org/10.21573/vol31n32015.59914
Hair, J. F., Black, W. C., Babin, B. J., Anderson, R. E., & Tatham, R. L. (2009). Análise multivariada de dados. Bookman.
Instituto Nacional De Estudos e Pesquisas Educacionais Anísio Teixeira (Inep). (2020). Resumo técnico: Censo da Educação Superior 2019. Inep.
Irigaray, H. A. R., Oliveira, L. B., Barbosa, E. S. T., & Morin, E. M. (2019). Vínculos profissionais e sentido do trabalho: Uma pesquisa com professores do ensino superior. Revista de Administração Mackenzie, 20(1), eRAMG190070. https://doi.org/10.1590/1678-6971/eRAMG190070
Ivo, A. A., & Hypolito, A. M. (2015). Políticas gerenciais em educação: Efeitos sobre o trabalho docente. Currículo sem Fronteiras, 15(2), 365-379.
Jessop, B. (2018). On academic capitalism. Critical Policy Studies, 12(1), 104-109. https://doi.org/10.1080/19460171.2017.1403342
Krein, J. D., & Colombi, A. P. F. (2019). A reforma trabalhista em foco: Desconstrução da proteção social em tempos de neoliberalismo autoritário. Educação & Sociedade, 40, e0223441.
Locatelli, C. (2017). Os professores no ensino superior brasileiro: transformações do trabalho docente na última década. Revista Brasileira de Estudos Pedagógicos, 98, 77-93.
Leaper, C., & Starr, C. R. (2019). Helping and hindering undergraduate women’s STEM motivation: Experiences with STEM encouragement, STEM-Related gender bias, and sexual harassment. Psychology of Women Quarterly, 43(2), 165-183. https://doi.org/10.1177/0361684318806302
Martins, A. A. V., & Honório, L. C. (2014). Prazer e sofrimento docente em uma Instituição de Ensino Superior Privada em Minas Gerais. Revista Organizações & Sociedade, 21(68), 835-852. https://doi.org/10.1590/S1984-92302014000100005
Mattar, F. N. (1999). Pesquisa de Marketing: Metodologia e planejamento (5th ed.). Atlas.
Maués, O., & Souza, M. (2016). Precarização do trabalho docente da educação superior e os impactos na formação. Em Aberto, 29(97), 73-85.
Melo, V., & Cavalcante, M. S. A. O. (2019). “Torne-se professor e aumente sua renda”: O discurso de negação da docência como profissão. Linguagens, Educação e Sociedade, 24(42), 146-166.
Monteiro, A. R. (2015). Profissão docente: Profissionalidade e autorregulação. Cortez.
Motta, V. C. D., & Andrade, M. C. P. D. (2020). O empresariamento da educação de novo tipo e suas dimensões. Educação & Sociedade, 41.
Moura, J. S., Ribeiro, J. C. O. A. R., Neta, A. A. C., & Nunes, C. P. (2019). A precarização do trabalho docente e o adoecimento mental no contexto neoliberal. Revista Profissão Docente, 19(40), 01-17. https://doi.org/10.31496/rpd.v19i40.1242
Murphy, K., & Davidsholder, C. (1998). Psychological testing: Principles and applications. Prentice Hall.
Nogueira, A. F. M., & Oliveira, M. A. G. (2015). Mercantilização e relações de trabalho no ensino superior brasileiro. Revista Ciências Administrativas, 21(2), 335-364.
Reis, B. M., & Cecílio, S. (2014). Precarização, trabalho docente intensificado e saúde de professores universitários. Trabalho & Educação, 23(2), 109-128. https://periodicos.ufmg.br/index.php/trabedu/article/view/9141
Saunders, D. B., & Blanco Ramirez, G. (2017). Against ‘teaching excellence’: Ideology, commodification, and enabling the neoliberalisation of postsecondary education. Teaching in Higher Education, 22(4), 396-407. https://doi.org/10.1080/13562517.2017.1301913
Sguissardi, V. (2009). A Universidade Brasileira no século XXI: Desafios do presente. Cortez.
Sguissardi, V. (2018). O que será das Instituições de educação superior comunitárias e confessionais? Comunicações, 25(3), 27-42. http://doi.org/10.15600/2238-121X/comunicacoes.v25n3p27-42
Silva; M. J., & Castro, R. M. M. (2018). Ser professora negra no ensino superior: Vivência e experiências. Profissão Docente, 18(39), 324-338.
Sousa, S. P. (2021). Sexismo e docência do ensino superior: Análise da representatividade feminina na docência dos cursos de exatas. Revista de Pesquisa Interdisciplinar, 6, 1-12.
Tambe, T. A. F., Gouvêa, F. C. F., & Tasmerão, A. S. (2019). Educação superior em Moçambique: Entre o estado e a astúcia do capital. Jornal de Políticas Educacionais, 13(33), 1-22.
Veloso, B. G., & Mill, D. (2018). Precarização do trabalho docente na educação a distância: elementos para pensar a valorização da docência virtual. Educação em Foco, 23(1), 111-132.
Walker, V. S. (2020). Tendencias en el campo de la educación superior y su incidencia en el Trabajo Docente Universitario. Revista de la Educación Superior, 49(193), 107-127.
Weber, M. (1930).The protestant ethic and the spirit of capitalism. George Allen & Unwin.
Wilcox, K. (2021). Interrogating the discourses of ‘teaching excellence’ in higher education. European Educational Research Journal, 20(1), 42-58. https://doi.org/10.1177/1474904120944783
Author notes
Email: catia.gemelli@osorio.ifrs.edu.br Email: lisiane.closs@ufrgs.br
Conflict of interest declaration