Cultura y espacio urbano
Segregación en el espacio urbano de Soacha ¿Transmilenio como herramienta integradora?
Segregation in the urban space of SoachaTransmilenio as an integrating tool?
Segregación en el espacio urbano de Soacha ¿Transmilenio como herramienta integradora?
Revista de Arquitectura, vol. 18, núm. 1, pp. 48-55, 2016
Universidad Católica de Colombia

Recepción: 31 Octubre 2014
Revisado: 25 Marzo 2015
Aprobación: 15 Septiembre 2015
Resumen: La movilidad cotidiana es un factor que puede dificultar aún más el acceso de la población menos favorecida a las actividades diarias, principalmente trabajo y estudio. La investigación se realiza a partir del estudio de caso de fronteras sociourbanas en áreas residenciales populares metropolitanas para entender los factores de segregación y exclusión que se dan en estos territorios. Se realizó un análisis de la situación y la relación que tiene la movilidad cotidiana con la segregación socioespacial, tomando el municipio de Soacha en Cundinamarca, conformado por población de bajos ingresos y que se encuentra conurbado con la capital del país. El estudio se efectuó a partir de encuestas a los residentes del Macroproyecto Ciudad Verde (Soacha) y entrevistas a los actores clave del proyecto (administradores de los conjuntos residenciales). En una primera etapa se realizaron encuestas para conocer la forma en que los residentes de Ciudad Verde se desplazaban diariamente antes de la implementación de la extensión hasta Soacha de Transmilenio; en una segunda etapa se preguntó si los desplazamientos diarios habían mejorado con la entrada en funcionamiento del Transmilenio hasta Soacha, con el fin de indagar hasta qué punto este sistema ha servido como una herramienta integradora.
Palabras clave: calidad de vida, Ciudad Verde, hábitat popular, movilidad urbana, transporte público, zonas suburbanas.
Abstract: Daily mobility is a factor that can further hinder the access of disadvantaged populations to daily activities, mainly work and study. Research is conducted from case study in socio-urban borders metropolitan popular residential areas to understand the factors of segregation and exclusion that occur in these territories. An analysis of the situation and the relationship of the daily mobility with the socio-spatial segregation was conducted, taking Soacha’s town in Cundinamarca, made up of low-income population and is conurbation with the capital. The study was conducted from surveys to residents of Green City’s macro-project (Soacha) and interviews with key project stakeholders (administrators of residential complexes). In a first stage, surveys were conducted to know how that Green City residents moved daily before the implementation of the extension of Transmilenio to Soacha; in a second stage, there was the matter of seeing if commuting had improved with the entry into operation of Transmilenio to Soacha, in order to investigate to what extent this system has served as an integrating tool.
Keywords: Quality of life, Green City, popular habitat, urban mobility, public transport, suburban areas.
Moreno-Luna, C. A. (2016). Segregación en el espacio urbano de Soacha. ¿Transmilenio como herramienta integradora? Revista de Arquitectura, 18(1), 48-55. doi: 10.14718/RevArq.2016.18.1.5
Introducción
Este artículo es el resultado del proyecto de investigación “Metropolización, desequilibrios territoriales y justicia espacial en América Latina: retos para la gestión del territorio”, realizada desde la Maestría en Gestión Urbana de la Universidad Piloto de Colombia, que pertenece a la línea de Hábitat, Ambiente y Territorio. Este proyecto tuvo una duración de dos años —2012 a 2014—. Algunos avances de esta investigación han sido presentados en diferentes eventos internacionales y locales, desde dos perspectivas: movilidad cotidiana y mercados del suelo. En esta ocasión, el artículo pretende mirar en qué medida los procesos de metropolización generan la segregación socioespacial de los grupos sociales menos favorecidos, enfocándose principalmente en la movilidad cotidiana como un elemento que segrega a la población del municipio de Soacha, ubicado a 10 km al sur de la capital. Asimismo, pretende observar lo que se conoce en la literatura como space mismatch hypothesis (hipótesis de desajuste espacial) que se refiere, entre otros, a la separación espacial empleo-hogar (Blumenberg y Manville, 2004), y también, como lo argumentan Cutler y Glaeser (1997), Ihlanfeldt y Sjoquist (1998), Kain (1968) y Ross (1998), a la manera como los residentes de bajos ingresos han sido dejados atrás en áreas urbanas distantes de las fuentes de empleo y sin recursos para superar esta dificultad (Blumenberg y Manville, 2004).
Soacha es considerado como un municipio de bajos recursos en donde, de acuerdo con la Encuesta de Movilidad Urbana de 2011, la mayoría de la población pertenece al estrato socioeconómico 2 (ingresos bajos) y de acuerdo con la misma encuesta, este municipio no tiene población de estratos medio ni alto. Sumado a esta situación de ingresos, las vías de acceso no son las más apropiadas ya que solo cuenta con una vía principal (Autopista Sur) y las secundarias se encuentran en mal estado.
Esta situación de segregación tiene que ver con un proceso de estructura metropolitana polarizada (Jirón, Lange y Bertrand, 2010), que muestra una “tendencia a la organización del espacio en zonas de fuerte homogeneidad social interna y de fuerte disparidad social entre ellas” (Castells, 1978, p. 203).
Para el caso concreto de Bogotá, esta estructura se empieza a desarrollar desde finales del siglo XIX, cuando la población más adinerada empieza a salir del centro de la ciudad hacia el norte en búsqueda de mayores extensiones de tierra y un lugar más “campestre”, un nuevo centro suburbano el cual, gracias a la extensión de la línea del tranvía, seguía conectado con el centro de la ciudad, lugar donde se lleva a cabo la mayor actividad política, económica y financiera de la ciudad e incluso del país. Para esta época, la ciudad contaba con alrededor de 85.000 habitantes y la mayoría de esta población se ubicaba en el casco central, muy compacto, con un diámetro de tan solo 4 km. Este núcleo suburbano estaba ubicado a 6 km de dicho casco (Jaramillo y Parias, 1995).
Metodología
La investigación se llevó a cabo a partir del método cualitativo y cuantitativo, siendo la entre-vista semiestructurada la técnica diseñada para conocer las perspectivas de los participantes en la temática de interés (Páramo, 2008). La ventaja de la entrevista semiestructurada es que goza de una alta popularidad y es flexible, accesible y capaz de revelar facetas importantes y escondidas del comportamiento humano (Qu y Dumay, 2011).
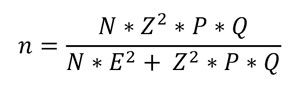
En la primera etapa del proyecto se aplicaron encuestas por medio de muestreo aleatorio simple, debido a que en el Macroproyecto Ciudad Verde existe poca disparidad entre la población que puede ser encuestada y la probabilidad de que cada individuo sea escogido es la misma (Martínez, 2000). La muestra está definida de la siguiente forma (1):
(1)en donde:
n = tamaño de la muestra por determinar
N = tamaño de la población
Z = nivel de confianza
E = error de muestreo
P = probabilidad de éxito
Q = probabilidad de fracaso
Se determinó un nivel de confianza del 90 % (Z = 1,645) con un error máximo de 5 % (E = 0,05,), con la misma probabilidad de fracaso y de éxito (P = 0,5 y Q = 0,5). El tamaño de la población en el momento de aplicar las encuestas era de 7000 (N = 7000). Por tanto, el resultado nos dio 260 encuestas por aplicar.
Para la segunda etapa del proyecto se realizaron 25 entrevistas semiestructuradas, en donde se les preguntaba a las personas, entre otras cosas, si con la entrada en funcionamiento de la extensión de Transmilenio hasta Soacha se habían visto favorecidas o no. También se realizaron 172 encuestas en las estaciones de Transmilenio ubicadas en Soacha (León XIII, Terreros y San Mateo). Para la segunda etapa del proyecto, la muestra no resultó significativa pero permitió ver qué riquezas contenían las respuestas y qué ideas podían surgir por parte de la población (Chandler, 2008).
Resultados
Caracterización del municipio de Soacha
Entre los años cuarenta y setenta, la ciudad de Bogotá vive una fuerte dispersión y polarización de la población, o como lo mencionan Jirón, Lange y Bertran (2010), un estructura metropolizada y segregada debido en gran parte al abandono de las clases altas que se ubicaron al norte de la ciudad, en localizaciones más septentrionales, junto a los cerros orientales, mientras que la población de bajos recursos se desplaza hacia el sur (Dureau, Barbary, Goüeset, Pissoat y Lulle, 2007). Esta forma de crecimiento de la ciudad se sigue dando en las siguientes décadas; las clases más adineradas siguen el desplazamiento progresivo hacia el norte, mientras que las familias más pobres siguen alejándose cada vez más hacia el sur (Dureau, 2002). Lo importante de esto no es solo la diferenciación de los poderes económicos en el espacio, sino en “una localización particular en la estructura urbana. Es de esta manera que se constituye la segregación urbana en tanto que fenómeno específico, y no tan solo como reflejo de la estratificación social general” (Castells, 1978, p. 212).
Así, el proceso de metropolización en las ciudades latinoamericanas debe ser leído en el contexto de los desbalances territoriales, en donde se tienen en cuenta temas de dependencia y de sub-ordinación (Alfonso, 2012b). Este ha sido el caso de Soacha, municipio caracterizado en gran medida por su gran dependencia de Bogotá, ya que es en esta última en donde trabaja y estudia un gran número de habitantes del municipio vecino.
Después de la década de los setenta, el proceso de crecimiento demográfico y la disminución de la intensidad de los flujos migratorios es la constante, así como el arribo a núcelos urbanos de un gran número de población desplazada por la violencia, en donde la urbanización pasa los límites de la capital, lo que progresivamente genera un nuevo modelo de desarrollo metropolitano (Dureau, 2002). Como lo menciona Cortés (1993), “Soacha se ha convertido en un importante receptor de la subnormalidad (de la capital) que ya no se localiza dentro del perímetro del Distrito, supliendo en cierta forma el agotamiento de tierra urbanizable en la ciudad y aprovechando su cercanía con ella” (citado en Dureau, 2002, p. 165) debido, entre otras causas, a una ausencia de planificación integrada que hace de estos territorios lugares de permanencia y acentuación de las precariedades sociales y económicas de la ciudad.
El municipio de Soacha tiene una particularidad adicional por la presión poblacional debida al fenómeno del desplazamiento forzado, lo que ha generado un aumento de la problemática urbana de la ciudad, ya que la mayor parte de los desplazados se ubican en áreas periféricas que ocupan zonas de alto riesgo o de importancia ambiental y que, por su cercanía con Bogotá, resultan atractivos para la nuevos pobladores, que a su vez se traducen “en grandes aglomeraciones que demandan mano de obra, pero por dificultades de conformar sistemas eficientes de transporte, restringen las alternativas de acceso a las oportunidades de empleo y servicios” (Hurtado, Hernández, Miranda, 2014, p. 85). Entendiendo acceso como el número (cuantitativo) y la naturaleza (cualitativo) de los destinos que pueden ser alcanzados por una persona involucrando al mismo tiempo el costo en tiempo y dinero del viaje que realiza (Vasconcellos, 2001).
En este punto se menciona un primer factor que puede agravar y aumentar la segregación: la movilidad cotidiana. En gran parte, esta segregación se da por la distribución de los hogares en el espacio urbano, la cual produce una “diferenciación social y específica el paisaje urbano ya que las características de las viviendas y de su población fundamentan el tipo y el nivel de los equipamientos y de las consiguientes funciones” (Castells, 1978, p. 203). Es importante mencionar cómo la movilidad y la falta de medios de transporte eficientes pueden ser elementos de exclusión, ya que en estos lugares tan apartados de los centros de empleo, la movilidad es complicada y, en muchos casos, los habitantes deben recurrir a más de un modo de transporte para poder acceder a su lugar de trabajo o estudio, incurriendo en gastos adicionales. Estos gastos en transporte, de acuerdo con Bocarejo (2010), pueden llegar a representar más del 25 % del salario del hogar. Aunque hay casos, como en Ciudad Verde (Soacha), que este gasto puede superar el 30 % del ingreso mensual del hogar.
El acceso a servicios públicos como salud, educación y transporte es muy precario en estas zonas de la ciudad, y constituye un factor de exclusión social que causa que el círculo vicioso de la pobreza se repita (Lizarraga, 2012). El municipio de Soacha se encuentra a 10 km al sur de la ciudad (figura 1), y está enclavado en un lugar con poca accesibilidad, el cual “está condicionado por el modelo territorial y el modelo de movilidad de la ciudad los cuales, indefectiblemente, repercutirán en el grado de opcionalidad que tendrán los diferentes ciudadanos para realizar las distintas actividades ofrecidas en la ciudad” (Avellaneda, 2007, p. 81).

Esto implica que las personas que allí residen estén aún más excluidas y segregadas ya que, según Hernández (2012), en los estudios de pobreza la falta de accesibilidad es un factor más de agravamiento de la exclusión. Esta accesibilidad puede ser valorada de acuerdo con el “costo o dificultad de desplazamiento para cubrir la necesidad, y tiene una doble dimensión: territorial e individual” (Lizarraga, 2012, p. 102).
La infraestructura para transporte tiene una fuerte influencia en la forma en que una ciudad puede desarrollarse. Infortunadamente, en la mayoría de las ciudades latinoamericanas, este desarrollo urbano se ha dado de manera desordenada y muchos de los barrios y las viviendas tienen un origen informal, lo que ha obligado a las diferentes administraciones a dar solución integral a problemas básicos de estas viviendas como: suministro de energía, acueducto y alcantarillado, y transporte, entre otros. Como mencionan Hurtado, Hernández y Miranda (2014):
…la planificación del transporte metropolitano tiene la capacidad de reforzar o reorientar los modelos de ocupación del territorio y, más allá de eso, determinados sistemas o tecnologías de transporte tienen la capacidad de determinar el tamaño de las aglomeraciones. Estos aspectos deben tenerse en cuenta a la hora de optar por determinada tecnología de transporte para cada territorio, su tamaño y sus formas del espacio (actuales y deseadas) (p. 90).
El territorio urbano juega un papel trascendental para la disponibilidad y accesibilidad a los medios de transporte de la población. La población residente en Soacha se demora, en promedio, 6,1 minutos para acceder a una vía pavimentada y 8,5 minutos para acceder a un transporte público. En la zona de Altos de Cazucá, la mayoría de viviendas están ubicadas en vía no pavimentadas y la población debe caminar hasta diez minutos o más para tomar un transporte público (Dureau, Goueset y Le Roux, 2012).
La ubicación de las principales actividades desarrolladas por la población residente en este territorio, condiciona en gran medida el sentido de los desplazamientos y los patrones de movilidad, por tanto, es primordial poder entender el contexto territorial o urbano para poder comprender la movilidad (Avellaneda, 2007), pero, asimismo, son pocos los trabajos que han logrado incorporar de manera transversal la estructura socioeconómica y espacial por un lado, y el transporte y la movilidad por el otro, como estudios de análisis de la ciudad (Montezuma, 1999).
Infortunadamente, respecto al transporte, no siempre se ha podido dar una solución por parte de la administración pública a los problemas de movilidad que a diario sufre gran parte de la comunidad residente en estas áreas periféricas y subnormales, entendiéndose movilidad como el movimiento de personas y mercancías sin la jerarquía implícita del motor, dándole una mayor importancia y fuerza al peatón, usuarios del transporte público y ciclistas (Sanz, 2005).
Ante esta escasa posibilidad de movilidad, son la comunidad y el mercado los que ofrecen soluciones alternas como el transporte informal e ilegal, ayudando a estas comunidades a encontrar un medio, no siempre seguro, para poder salir del barrio y acceder a los servicios que ofrece la ciudad (figura 2), ya que a medida que las necesidades de desplazamiento aumentan, y el Estado no está en la capacidad de brindar un servicio de transporte, se dan los incentivos para el transporte informal (Thomson, 1993). Dentro de este contexto urbano, la desigualdad social se centra principalmente en aquellas personas que no cuentan con la misma facilidad de acceso que otros grupos sociales a los modos de transporte (Ureta, 2008).

La dificultad de acceso a medios de transporte por parte de la población más desfavorecida ha llamado la atención de investigadores y se ha empezado a relacionar la renta, la movilidad y la exclusión laboral, como un factor que cada vez es más difícil de alcanzar por ciertas familias (Cebollada y Miralles, 2009). Asimismo, “Esta disminución en la movilidad significa menor accesibilidad al trabajo, a la oferta habitacional, a la educación, a la salud y a los servicios en general, lo que entraña mayor exclusión de la población pobre, ya largamente discriminada y segregada, de las oportunidades que la ciudad ofrece” (Balbo, Jordán y Simioni, 2003, p. 181).
Al mismo tiempo, la Organización de las Na-ciones Unidas (2014) aclara la forma en que un territorio que sea ocupado sin planeación ni control, con una ausencia en la planeación del transporte público y falta de vías eficientes, reduce las posibilidades de movilidad para los habitantes. Es lo que sucede en el municipio de Soacha.
Siguiendo a Cebollada y Avellaneda (2008), existen tres variables que resultan fundamentales a la hora del uso de los medios de transporte por parte de una población, las cuales condicionan de una u otra manera los desplazamientos de las personas: la cobertura territorial de transporte, su horario de funcionamiento y el costo de la utilización. Para el caso del territorio en estudio, Soacha cuenta con un deficiente sistema de transporte público, una calidad de vías en muy mal estado, además de pocas vías de acceso.
La principal vía de este municipio es la Autopista Sur (figura 3), la cual es uno de estos ejes que atrajeron la industria bogotana por razones como la proximidad a los mercados regionales y la cercanía a fuentes de generación de energía eléctrica (Moreno, 2004). Esta vía de nivel nacional se configura como “la única vía de articulación con Bogotá y se realiza mediante una diversidad de modos de transporte, que resultan insuficientes, lo cual sumado a la deficiencia y estado de deterioro de las vías, agrava aún más el problema de movilidad por este importante eje” (Moreno, 2014).

En cuanto a los otros dos parámetros mencionados por Cebollada y Avellaneda (2008) (horarios de funcionamiento y tarifas), tampoco son muy benéficos para la comunidad. No existen servicios de transporte público 24 horas y la tarifa no es la más económica, incluso el costo del transporte público para las personas que residen en la periferia, de acuerdo con Barter (1999), puede no ser asequible o constituir una carga económica muy alta. Pero incluso, esta carga puede resultar más elevada dada la escaza o nula disponibilidad de transporte público o el mal servicio que ofrece en la zona de estudio.
Sistema Transmilenio (TM)
El sistema de transporte masivo Transmilenio revolucionó el transporte público por su calidad y servicio. En un principio, el Transmilenio solo operó en Bogotá (después el sistema BRT se amplió a otras ciudades colombianas), favoreciendo a un gran número de habitantes de bajos ingresos, aunque se debe aclarar que no todos se vieron beneficiados con la entrada en operación de este servicio porque un gran número de rutas del transporte tradicional salieron de circulación, lo que afectó a la población, obligándola a caminar mayores distancias o incluso a tomar más de un transporte para acceder a sus lugares de trabajo o estudio, incurriendo en mayores gastos (Salas, 2008). Como lo menciona la Comisión Económica para América Latina y el Caribe (Cepal) (2013); “el autobús de tránsito rápido [BRT por sus siglas en inglés] no representa de manera obvia el desarrollo de una infraestructura favorable para los pobres” (p. 6).
Sin embargo, con sus rutas alimentadoras, el Transmilenio llegó a favorecer a un gran número de la población residente en lugares apartados y periféricos de la ciudad, permitiéndoles tener un mayor acceso y goce de la ciudad por medio de este sistema de transporte. De esta manera,
…la movilidad aparece como un elemento determinante del desarrollo de las dinámicas de la ciudad, lo que la convierte en un dispositivo importante de promoción de la inclusión social para los grupos más pobres, en la medida que les permite el acceso a las oportunidades y a los servicios que ofrece la ciudad generando así una mayor integración (Avellaneda y Lazo, 2011, p. 48).
En la actualidad, el Transmilenio cuenta con distintos problemas que no son del caso mencionar, pero que sí han contribuido a generar una imagen negativa del sistema; muchos de estos problemas se deben en gran medida a una ineficiente gestión por parte de los distintos gobiernos locales. Pero a pesar de esto, el sistema sigue cumpliendo con movilizar personas grandes distancias en tiempos relativamente cortos. Sin embargo, como se ha mencionado a lo largo del escrito, la población menos favorecida se encuentra ubicada en la periferia de la ciudad e incluso en municipios cercanos (como Soacha), en donde si bien el Transmilenio ha ayudado a reducir los tiempos de desplazamiento, estos siguen siendo en promedio de 180 minutos diarios (figura 4).

Para el caso concreto de Soacha, “Transmilenio encarnó en un principio la esperanza de ser finalmente intervenido con obras de infraestructura que lo concibieron como municipio más que simplemente como la salida de Bogotá por el sur” (Hurtado, Hernández y Miranda, 2014, p. 137). Es esta una muestra de la importancia de reflexionar acerca de cómo la movilidad se convierte en una importante herramienta contra la exclusión social (Cámara de Comercio de Bogotá, 2007). En la actualidad, en Soacha el sistema se encuentra colapsado por el alto flujo de pasajeros en las estaciones y en los buses. En un principio se estimó una demanda de 30.000 pasajeros diarios y, en la actualidad, más de 60.000 usuarios utilizan el sistema diariamente, llegando a presentarse situaciones infrahumanas para poder acceder a la estación y a los buses.
La situación en Soacha con referencia al Transmilenio no ha sido fácil; después de una demora de más de cinco años por motivos económicos y políticos, entre otros, logró entrar en funcionamiento, pero con algunas restricciones en cuanto a estaciones y equipamiento. Si bien este medio ha favorecido a un gran número de habitantes de Soacha, todavía no han entrado en funcionamiento las rutas alimentadoras que recorrerán y accederán a barrios ubicados a distancias considerables de las estaciones, por lo que se podría concluir que, hasta el momento, solo un pequeño porcentaje se ha visto realmente favorecido con la extensión del Transmilenio hasta este municipio.
Percepción de los usuarios del sistema TM
Dentro de la investigación se indagó sobre la percepción que tienen los usuarios del sistema por medio de una serie de preguntas que se realizaron cerca y dentro de las estaciones.
Se efectuaron un total de 172 encuestas a población entre los 18 y 65 años de edad, residente en el municipio de Soacha. Si bien la muestra no resulta representativa para el municipio, sí permite tener una opinión frente a la percepción de los usuarios del sistema. Como muestra la figura 5, el 58,9 % de las personas encuestadas fueron mujeres y el 41,1 % hombres.

La tabla 1 muestra el tiempo que se demoran las personas encuestadas en los dos trayectos (ida y regreso) que realizan diariamente. La población de Soacha mayoritariamente trabaja y estudia en la ciudad capital, lo que obliga a las personas a desplazarse largos trayectos para llegar a sus destinos. El 34 % de los encuestados se demoran más de tres horas diarias para desplazarse, lo que afecta su tiempo para realizar otras actividades. Los hogares de bajos ingresos gastan una gran cantidad de tiempo en desplazamiento, aun cuando lo hacen poco (Thomson, 1993).

Si bien es cierto que con la entrada del Transmilenio los tiempos de viaje de los habitantes del municipio de Soacha se han reducido, todavía siguen siendo viajes considerablemente largos. En este sentido, se puede entender “el transporte colectivo como una herramienta importante para combatir la pobreza urbana y de promoción de la inclusión social” (De Ávila, 2003).
La figura 6 muestra la percepción que tiene la gente con la extensión del Transmilenio hasta Soacha de acuerdo con el tiempo que se demora en sus viajes. Es decir, para las personas que se demoran hasta 30 minutos diarios, el Transmilenio no les mejoró sus desplazamientos; esto puede deberse a que son personas que si bien emplean el Transmilenio, no deben recorrer largas distancias. Por el contrario, para más del 70% de las personas que se demoran entre 121 y 180 minutos diarios, el Transmilenio mejoró sus desplazamientos. Para el 57% de las personas que se demoran más de 180 minutos, el Transmilenio mejoró sus tiempos de desplazamiento pero no en la misma proporción que aquellas que se demoran menos tiempo. Una razón que pueden tener es que si bien pudo mejorarles la situación, siguen demorándose más de tres horas diarias, por lo que se puede conside-rar que deben existir otros factores que pueden influir en sus respuestas.

De acuerdo con las respuestas de las encuestas y entrevistas realizadas a residentes en Ciudad Verde, el Transmilenio en general representa una mejoría en los tiempos de desplazamiento, aunque, al igual que la población en general en Soacha, tienen desplazamientos que todavía son muy largos en comparación con la población que reside en Bogotá.
Conclusiones
Es una realidad que la población residente en Soacha carece de una política integral por parte del gobierno local, en la que se tengan en cuenta las necesidades de movilidad de su población, en especial de aquella menos favorecida. Por ejemplo, para el caso del Macroproyecto de Vivienda de Interés Social —Ciudad Verde— no existió una planificación integral del territorio en donde se tuvieran en cuenta las necesidades de movilidad de la población que iba a llegar.
En este sentido, solo se tuvo en cuenta el suelo para ubicar las 45.000 viviendas que tiene contemplado el proyecto y, en la actualidad, esta población ve bastante restringida su capacidad de desplazamiento, dado que tienen que recurrir a más de un medio de transporte para llegar a su destino.
Esta situación sucede en otras áreas del municipio, en donde por la precariedad del servicio se han visto obligados a buscar sus propios modos para satisfacer sus necesidades de desplazamiento; al respecto, el mercado ha estado bastante pendiente de suplir dichas necesidades a través de la proliferación de medios informales de transporte como el bicitaxi, carros particulares y de servicio público que cumplen la función de servicio colectivo. Los hogares que han podido han optado por comprar una motocicleta, ya que estas se pueden adquirir a un buen precio, además de las fuertes campañas publicitarias que incentivan la compra de este vehículo.
En relación con el sistema Transmilenio y su extensión hasta Soacha, hubo un gran número de inconvenientes políticos, económicos y sociales que hicieron que este proyecto se retrasara por más de cinco años, siendo la población la más afectada. En este sentido, sería necesario un organismo metropolitano que pueda gestionar el tema relacionado con el transporte entre ambos municipios (Bogotá y Soacha) para evitar disidencias y diferencias políticas entre los gobernantes. Si bien se han dado pasos para conformar el área metropolitana entre Bogotá y Soacha, esto todavía está lejos de convertirse en una realidad, lo que podría dar luces para poder gestionar el transporte de manera integral siendo el residente el único beneficiado.
Como se pudo observar, el Transmilenio ha sido una herramienta bien recibida por la población de Soacha en general y por la de Ciudad Verde en particular; sin embargo, y debido a los problemas recurrentes en la calidad y eficiencia de la prestación de este servicio, la gente empieza a protestar y a tomar las vías de hecho para que sus peticiones sean atendidas ya que tienen que esperar hasta 10 minutos por un servicio, sumado a las pequeñas estaciones que fueron construidas que no dan cabida para que los buses biarticulados puedan parar en estas estaciones pudiendo transportar un mayor número de pasajeros. Todavía no entran en funcionamiento las rutas alimentadoras, que podrían de alguna manera aliviar los tiempos y los costos de desplazamiento de la población que vive retirada de las estaciones de Transmilenio. Vuelve a notarse esa falta de coherencia entre la gerencia de Transmilenio y las necesidades reales de quienes hacen uso de los buses.
Otra conclusión que se puede sacar es la ausencia de una integración con otros modos de transporte, como por ejemplo la bicicleta. De otro lado, las estaciones en Soacha no cuentan con servicio de vigilancia, el cual sí se presta en otros portales del sistema. Esto podría ampliar el radio de población que pudiera acceder al sistema, ya que al contar con un lugar seguro y vigilado dónde dejar la bicicleta estacionada, un mayor número de personas podría hacer uso de este modo de transporte para acceder a las estaciones de Transmilenio, tal y como sucede con los portales en Bogotá.
Referencias
Alfonso, O. (2012b). Bogotá segmentada. Reconstrucción histórico-social de la estructuración residencial de una metrópoli latinoamericana. Bogotá: Universidad Externado de Colombia.
Avellaneda, P. (2007). Movilidad, pobreza y exclusión. Un estudio de caso en la ciudad de Lima. Recuperado de: http://www.tesisenxarxa.net/TDX/TDX_UAB/TESIS/AVAILABLE/TDX-1005107-161727//pag1de1.pdf
Avellaneda, P. y Lazo, A. (2011). Aproximación a la movilidad cotidiana en la periferia pobre de dos ciudades latinoamercianas. Los casos de Lima y Santiago de Chile. Revista Transporte y Terriotorios, 4, 47-58.
Balbo, M., Jordán, R. y Simioni, D. (2003). La ciudad inclusiva. Cuadernos de la CEPAL, 88. Santiago de Chile.
Barter, P. (1999). Transport and urban poverty in Asia: a brief introduction to the key issues. Regional development dialogue/United Nations Center of Regional Development, 20, 143-163.
Bocarejo, J. P. (2010). Transport accessibility and social exclusion: a better way to evaluate public transport investment? Documento presentado en el 12 WCTR, realizado en Lisboa, Portugal.
Blumenberg, E. y Manville, M. (2004). Beyond the Spatial Mismatch: Welfare Recipients and Transportation Policy. Journal of Planning Literature, 19 (2), 182-205.
Cámara de Comercio de Bogotá (2007). Observatorio de movilidad de Bogotá y la región: caracterización e indicadores de la movilidad en Bogotá. Bogotá: CCB.
Castells, M. (1978). La cuestión urbana. Bogotá: Siglo XXI Editores.
Cebollada, A. y Miralles, C. (2009). Movilidad cotidiana y sostenibilidad, una interpretación desde la geografía humana. Boletín de la AGE, 50, 193-216.
Cebollada, A. y Avellaneda, P. (2008). Equidad social y movilidad: reflexiones en torno a los casos de Barcelona y Lima. Scripta Nova. Revista electronica de geografía y ciencias sociales, XII (240), 47.
Cepal (2013). El transporte, la pobreza y el avance hacia sociedades con bajas emisiones de carbono. Facilitación del transporte y comercio en América Latina y el Caribe, 318 (2).
Chandler, J. (2008). Academics as professionals or managers? A textual analysis of interview data. Qualitative Research in Accounting & Management, 5 (1), 48-63.
Cutler, D. y Glaeser, E. (1997), Are ghettos good or bad? The Quarterly Journal of Economic, 112 (3), 827-872.
De Ávila, A. (2003). Transporte urbano e inclusão social: elementos para políticas públicas. Instituto de Pesquisa Econômica Aplicada, texto para Discusão, 960, julio.
Dureau, F. (2002). Las nuevas escalas de la segregación en Bogotá. En Dureau, F., Dupont, V., Lelièvre, É., Lévy, J. P. y Lulle, T. (coords.). Metrópolis en movimiento (pp. 162-170). Bogotá: Alfaomega Colombia S.A.
Dureau, F., Barbary, O., Goüeset, V., Pissoat, O. y Lulle, T. (coords.) (2007). Ciudades y sociedades en mutación. Lecturas cruzadas sobre Colombia. Bogotá: Universidad Externado de Colombia.
Dureau, F., Goüeset V. y Le Roux G. (2012). Movilidad cotidiana, prácticas del espacio urbano y desigualdades socioterritoriales en dos periferias populares de Bogotá: Soacha y Madrid (1993-2005). Ponencia presentada en el X Seminario Aciur. Septiembre 2012, Universidad Javeriana. Bogotá (Colombia).
Hernández, D. (2012). Activos y estructuras de oportunidades de movilidad. Una propuesta analítica para el estudio de la accesibilidad por transporte público, el bienestar y la equidad. Eure, 38 (115), 117-135.
Hurtado, A., Hernández, M. y Miranda, L. (2014). Gestión de grandes proyectos urbanos en espacios metropolizados: los sistemas integrados de transporte masivo en Colombia. Bogotá: Universidad Piloto de Colombia.
Ihlanfeldt, K. y Sjoquist, D. (1998). The spatial mismatch hypothesis: A review of recent studies and their implications for welfare reform. Housing Policy Debate, 9 (4), 849-892
Jirón, P., Lange, C. y Bertrand, M. (2010). Exclusión y desigualdad espacial: retrato desde la movilidad cotidiana. Revista INVI, 25 (68), 15-57.
Jaramillo, S. y Parias, A. (1995). Exploración sobre el mercado de vivienda en alquiler en Bogotá. Bogotá D.C.: Uniandes-CEDE.
Kain, J. (1968). Housing segregation, Negro employment, and metropolitan decentralization. Quarterly Journal of Economics, 82 (2), 175-197.
Lizarraga, C. (2012). Expansión metropolitana y movilidad: el caso de Caracas. EURE, 38 (113), 99-125.
Martínez, C. (2000). Estadística básica aplicada. Bogotá: Ecoe Ediciones.
Montezuma, R. (1999). Bogotá: ciudad y movilidad. El papel del transporte en el proceso de urbanización, 1884-1998. Bogotá: Ceja.
Moreno, C. (2014). Transmilenio y su función de integración territorial en Soacha: ¿Realidad o mito? Ponencia presentada en el XVIII Congreso Latinoamericano de Transporte Público y Urbano. Octubre 22-25, Rosario (Argentina).
Moreno, O. (2004). Formas de crecimiento urbano regional, en el caso de las localidades de Bosa, Ciudad Bolívar y Usme, y el municipio de Soacha. Bogotá: Universidad la Gran Colombia.
Páramo, P. (2008). La entrevista. En Páramo, P. (ed.). La investigación en ciencias sociales: técnicas de recolección de información (pp. 123–135). Bogotá: Universidad Piloto de Colombia.
Qu, S. y Dumay, J. (2011). The qualitative research interview. Qualitative Research in Accounting & Management, 8 (3), 238-264.
Ross, S. (1998). Racial differences in residential and job mobility: Evidence concerning the spatial mismatch hypothesis. Journal of Urban Economics, 43 (1), 112-135.
Salas, A. (2008). Segregación residencial y producción de vivienda en Bogotá, entre imágenes y realidades. Tesis Doctoral, Université de Poitiers UFR de Sciences Humaines et Arts, Département de Géographie, Francia.
Sanz, A. (2005). El viaje de las palabras. Servei de Medi Ambient de la Diputación de Barcelona, 13, 87-93.
Thomson, I. (1993). Improving urban transport for the poor. CEPAL Review, 49, 139-154.
Ureta, S. (2008). To move or not to move? Social exclusion, accessibility and daily mobility among the low-income population in Santiago, Chile. Mobilities, 3 (2), 269-289.
Vasconcellos, E. (2001). Urban transport, environment and equity. The case for developing countries. London: Earthscan Publications.
Notas de autor
Magíster en Urbanismo y Ordenamiento Territorial, Instituto de Urbanismo de Lyon (Francia).
Docente e investigador de la Maestría en Gestión Urbana, Universidad Piloto de Colombia. Bogotá (Colombia).
Ha trabajado en proyectos de investigación en temas relacionados con la promoción de transporte no motorizado y movilidad cotidiana.