Tecnología, medioambiente y sostenibilidad
Construcción experimental de un sistema transformable tensado plegable
Experimental construction of a transformable folding tensioning system
Construcción experimental de un sistema transformable tensado plegable
Revista de Arquitectura, vol. 18, núm. 1, pp. 98-110, 2016
Universidad Católica de Colombia

Recepción: 08 Septiembre 2014
Revisado: 10 Mayo 2015
Aprobación: 23 Noviembre 2013
Resumen: El objetivo de esta investigación es el desarrollo de un modelo experimental con el fin de estudiar las características de los sistemas retráctiles. El modelo experimental consistió en la construcción de un paraguas retráctil de 4 miembros. Luego se mejoró el modelo experimental al agregarle 8 miembros, con el objeto de mantener un mejor equilibrio estructural. El diseño del modelo está sustentado por el código europeo EHE08, pero se rediseñó con el código de LRFD para tener un diámetro acorde a los requerimientos locales. Además, el modelo ayudó a formar conceptos constructivos del movimiento de los sistemas plegables en forma de paraguas, lo que dio como resultado un sistema plegable retráctil, el cual se inclinó sobre la construcción de un nodo para unir dos elementos creando un sistema estructural resistente. Con este trabajo se concluyó que los sistemas transformables pueden ayudar a mejorar los diseños de sistemas estructurales flexibles.
Palabras clave: diseño estructural, detalles constructivos, investigación y desarrollo, sistema plegable retráctil, simulación estructural.
Abstract: The objective of this research is to develop an experimental model to study the characteristics of retractable systems. The experimental model involved the construction of a 4 limbs retractable umbrella. The experimental model by adding 8 members, in order to maintain better structural balance is then improved. The design model is supported by the European code EHE08, but was redesigned with LRFD code to have a diameter according to local requirements. In addition, the model helped form constructive concepts of movement of the folding systems umbrella-shaped, which resulted in a retractable folding system, which is bent on building a node to join two elements creating a structural system. This work was concluded that the transformable systems can help improve the design of flexible structural systems.
Keywords: Structural design, construction details, research and development, retractable folding system, structural simulation.
Morales Guzmán, C. C. (2016). Construcción experimental de un sistema transformable tensado plegable. Revista de Arquitectura, 18(1), 98-110. doi: 10.14718/RevArq.2016.18.1.9
Introducción
En este artículo se presentan los resultados de la investigación Diseño de sistemas retráctiles, adscrita a la línea de investigación Diseño y Tecnología Transformable; este proyecto fue financiado y avalado por la Facultad de Arquitectura de la Universidad Veracruzana y tiene por objetivo el desarrollo de un sistema transformable plegable y la generación de nuevo conocimiento con el apoyo de los alumnos de licenciatura y de la maestría en arquitectura de dicha dependencia.
En la actualidad, las estructuras compuestas por elementos traccionados y comprimidos son altamente eficientes por el gasto mínimo de material que requieren, ya que alcanzan a cubrir grandes claros. A lo largo de la historia, el hombre ha recurrido a la fuerza de la gravedad para conseguir la estabilidad en bóvedas y cúpulas, construidas con piedras y ladrillo —elementos constructivos que trabajan predominantemente a compresión—, en las que es muy desfavorable la relación entre el peso propio y la resistencia, es decir, para asegurar la resistencia de estas estructuras fue necesaria la construcción de muros de grandes espesores, en los que se apreciaba que el peso propio del material era superior al de las cargas externas (nieve o viento) que la estructura podía resistir, originándose grandes masas nada funcionales para los espacios.
Con la aparición de materiales más eficientes, ligeros y de alta resistencia, fue posible reducir los espesores de la estructuras de estas construcciones hasta nuestros días, en las que, por ejemplo, el peso propio de una cúpula es incluso menor al peso del aire que la envuelve, tal es el caso de la cubierta The Eden Project en Inglaterra, diseñada por el arquitecto Nicholas Grimshaw, cuya cúpula, formada por almohadones neumáticos de lámina plástica de poco espesor, con aire comprimido internamente y estructura con base en marcos de aluminio, le proporcionó una notable ligereza y bajo costo.
Este gran avance tecnológico en el mundo de las estructuras fue aprovechado para realizar y manufacturar materiales cuyo peso propio y rigidez son casi despreciables, pero utilizados bajo una lógica estructural que las hace poco deformables, aun estando solicitadas por cargas externas. Esta resistencia estructural se logra bajo la geometrización de la estructura, en la que se encuentran formas que favorecen el equilibrio estructural de la forma, logrando una mejor distribución de los esfuerzos. Un ejemplo de este tipo de geometrías es la parábola, la catenaria, la circunferencia, la elipse, cuyas formas ayudan a cubrir grandes claros, generando nuevos tipos de estructura; en el caso de la presente investigación se abordará el tema de los sistemas plegables tensados, con capacidad de replegarse, moverse y erigirse con facilidad y ser trasladados a otro lugar, aumentando considerablemente las posibilidades de adaptarse en casi cualquier entorno.
Por lo anteriormente expuesto, se presenta un breve recorrido histórico acerca de la trascendencia y el desarrollo de la arquitectura ligera y plegable de las estructuras transformables de rápido montaje. Se comienza con las innovaciones en el área de las cubiertas retráctiles y con la aparición del sistema de unión tipo tijera, que permitió el salto a la movilidad estructural. Aunque se organizó de manera cronológica, no es objetivo de este trabajo realizar un estudio histórico, dado que la historia, como ciencia social, tiene sus propias técnicas y herramientas de estudio.
Otro punto es la justificación del planteamiento para vincular la investigación con la docencia y, en este caso, la adecuación geométrica de las estructuras plegables es uno de los parámetros que se fundamenta para para realizar las aproximaciones metodológicas; bajo este planteamiento del problema, se destaca que esta investigación tiene una orientación eminentemente tecnológica en el campo del desarrollo de la construcción experimental de las estructuras de rápido montaje. Para esto, partimos de preguntas muy puntuales, en las que se encontrarán respuestas, si las tienen, a lo largo del trabajo.
Posteriormente, se tratará de desarrollar la geometrización de modelos plegables que puedan simularse con ayuda del software, en el que se realiza un análisis de segundo orden en estructuras plegables, ya que estas pueden encontrarse dentro del campo de los sistemas de estructuras transformables dado que, para materializarse, requieren de mecanismos en sus uniones que les permiten regresar a su estado inicial. Finalmente, teniendo los parámetros necesarios, se hará un planteamiento para proponer y definir aproximaciones o resultados de los estudios previos, bajo el análisis comparativo de prototipos, con el objetivo de demostrar la viabilidad de la propuesta y, a la vez, experimentar con diferentes materiales y modelos a escala, estos últimos servirán como metodología de diseño para el alumnado en sus propuestas de tesis o proyectos de investigaciones arquitectónicas, cuya finalidad es seleccionar el material idóneo que otorgue más beneficios. Para ello se estudió un prototipo a escala real construido bajo un método artesanal, pero analizando con rigor científico la determinación de su resistencia y equilibrio en el espacio, comparando aspectos tales como los constructivos y sus reacciones, cuando la cubierta está completamente desplegada.
Antecedentes
Se consultó una línea de tiempo relacionada con el proyecto, en ella se evidencian tres etapas históricas que fueron importantes para el desarrollo de la arquitectura transformable.
Flexibilidad. En la primera etapa de la línea de tiempo encontramos que los beduinos fueron una de las culturas que utilizó los materiales textiles para autoconstruir sus espacios habitables provisionales; en el coliseo romano también se tuvo otra aplicación de la estructura provisional flexible (figura 1) que tiene ilustraciones funcionales y prácticas para un espacio arquitectónico más adecuado, dejando como principio importante, que la estructura debe ser flexible para adecuar su espacio a otros requerimientos.
Prefabricación. En la segunda etapa encontramos el uso de la geometría aplicada en la tecnología industrial. Con el descubrimiento de materiales más resistentes y ligeros aparecieron infinidad de prototipos prefabricados que ayudaron a construir espacios muy grandes en poco tiempo; posteriormente, la aparición de los arquitectos Emilio Pérez Piñero y Richard Buckminster Fuller con sus aportaciones de sistemas ligeros y eficientes para cubrir espacios arquitectónicos (figura 2); estas aplicaciones nos dan la certeza para demostrar que una estructura prefabricada, diseñada geométricamente, puede desempeñar varias funciones y tiene la capacidad de ajustarse fácilmente a diferentes entornos.
Transformación. En la última etapa encontramos que las estructuras plegables adquieren la capacidad de transformar el espacio, lo cual se produce porque la sociedad demanda espacios más dinámicos y multifuncionales, aunque en la actualidad se generan pocos sistemas retráctiles debido a su difícil manufactura e interpretación de análisis estructural. En este campo de investigación y perfeccionamiento aparece Feliz Escrig como uno de los exponentes más importantes en la actualidad y realiza estructuras transformables de manera dedicada y eficiente (figura 3); cabe mencionar que en el perfeccionamiento de su investigación deja pautas para seguir evolucionando en la generación de las estructuras retráctiles plegables.
Por tanto, esta etudio se beneficia de la línea de tiempo analizada e investigada a profundidad, para proseguir con las siguientes experimentaciones y, a la vez, formalizar una serie de pasos que ayudarán al proyecto final, y para justificar el desarrollo del diseño, en el que se obtendrá la forma y aplicación constructiva de sus detalles estructurales.
Justificación
La búsqueda de nuevas tecnologías se experimenta en las formas básicas plegables que faciliten la adaptación de nuevas transformaciones del espacio arquitectónico. La morfología-conceptual del siguiente modelo es la plegabilidad de una estructura tipo paraguas, con un manto parabólico cónico invertido, con la pequeña peculiaridad del uso de las tijeretas plegables; con este complemento podemos desarrollar su forma de diseño por iteraciones que nos producen múltiples geometrías, pero en este caso solo se utilizan para generar formas retráctiles básicas. A fin de entender un poco el proceso, se experimenta con tres modelos de tijereta, cada una tendrá un modelo geométrico basado en principios matemáticos y graficado con base en un estudio matemático que se usará en cada experimento.
Para entender la realización de la forma de este tipo de estructura se elaboró la figura 4, que contiene los principios básicos que debe tener una estructura plegable; si este concepto no está contemplado, la flexibilidad estructural dentro del sistema no se dará. Teniendo este principio básico se podrá hacer la traslación geométrica matemática o descriptiva de la estructura que se experimenta para generar una serie de iteraciones y modulaciones arquitectónicas, que conducirán a unas propuestas geométricas.
A fin de generar una innovación más versátil se le agrega el siguiente concepto, que trata de la integración de una cubierta ligera que pueda ser flexible y plegarse conjuntamente con el sistema. Para comprender esta parte del tema se incluyó una membrana textil, la cual desarrolla una geometría hiperbólica. El hiperboloide es la superficie de revolución generada por la rotación de una hipérbola alrededor de uno de sus dos ejes de simetría. Dependiendo del eje elegido, el hipérboloide puede ser de una o dos hojas.
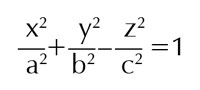
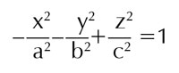
La descripción anterior nos da la pauta para interpretar cuáles son los elementos necesarios para generar bidimensionalmente un hiperboloide (figura 5). Entendidos los fundamentos básicos de este concepto descriptivo podemos aplicar su matemática, lo cual se logra si el centro de simetría es C (0, 0, 0), y el eje del hiperboloide es el eje z, entonces la ecuación del hiperboloide de una hoja es:

Y la ecuación del hiperboloide de dos hojas es:

Se retoma en este proceso de desarrollo del diseño, pues esta forma se utiliza en la cubierta del sistema estructural que se va a crear.

Metodología
La hipótesis desarrollada para generar la metodología arquitectónica de la investigación se basó en la experimentación; se aplicó sobre la plegabilidad de los miembros, en un nodo flexible de un paraguas retráctil, dicho mecanismo ayudará a generar esa contracción de los miembros. Podemos notar que el principio geométrico gráfico es suficiente para elaborar el mecanismo que se va a utilizar en esta primera aproximación. Ahora expondremos la solución a partir del análisis comparativo tomando en cuenta la sencillez del mecanismo que tiene que desplegar el modelo. Los paraguas pueden ser de articulación deslizante o de articulación giratoria; esta a su vez puede ser de brazos rígidos o de brazos articulados; por esta razón, el modelo es rediseñado nuevamente y adaptado a nuevas características, para dotarlo del mecanismo deslizante y de brazos rígidos.
Para comprender el proceso de un sistema transformable plegable, se desarrolló un modelo iconográfico que representa el concepto de arquitectura flexible por medio del cual se interpreta el siguiente modelo (figura 6), que se genera con base en una morfología de articulaciones plegables orgánicas; esto une el módulo creado por un brazo flexible a un poste centrado y reforzado, este brazo se repite tres veces alrededor del poste cuadrado, dicha forma adopta las características de un paraguas como analogía convencional y simple.

El modelo flexible y cambiante se desarrolla ahora por medio de una sobretenso-estructura que envuelve a la estructura, esto es, mediante una membrana elástica atirantada desde los puntos más altos de la estructura y en un punto central que puede generar una posibilidad de forma orgánica muy atractiva (figura 7). La instalación de la membrana trajo consigo problemáticas de estabilidad y resistencia, tanto para la estructura como para la membrana misma, pues la elasticidad de la membrana trabajó sobre la estructura deformándola al punto de romper los nodos pivotantes, por ello, el modelado es fundamental para el desarrollo final de la investigación, ya que con este se obtienen resultados interesantes para experimentar y generar futuras sublíneas de sistemas transformables.

Por ende, el principio comentado anteriormente da la pauta para crear elementos más simples y con más funcionalidad. Haciendo énfasis en un método para obtener la forma final del proyecto y su resolución constructiva, se trata de buscar soluciones óptimas que brinden la simpleza del modelo, con la finalidad de determinar las características que se establecen en el proceso de este trabajo (Figura 8); una vez entendido este principio, se genera el modelo con base en el perfeccionamiento de los miembros retráctiles con brazos mecánicos, y con ello se forma el paraguas retráctil invertido que da una solución más eficiente para la transformación del espacio.
Ya en el desarrollo del modelo se experimentó con solo cuatro extremidades, pero se generaba inestabilidad estructural en el poste por tener una esbeltez excesiva; para solucionar esto se le agregaron otros cuatro miembros mecánicos plegables para estabilizar el manto textil de su cubierta y disminuir la tensión que la membrana ejerce sobre la parte elevada de los brazos (figura 9); por ello se optó por realizar un paraguas retráctil de ocho miembros, dando como resultado una estructura más resistente y estable. Ahora se procede a comprobar en este nuevo modelo el mecanismo de deslizamiento o retráctil; dicho mecanismo favorece que el modelo tenga una propiedad única pues su morfología adopta una posición rígida en cuanto el mecanismo se acciona.

Con el propósito de que el modelo funcione a partir de mecanismos sencillos, se implementa un aditamento más para que le sirva a la plegabilidad de sus miembros, por ello utilizamos una herramienta simple y eficiente (figura 10) como es el uso de un sistema de poleas; la polea tiene la propiedad de resistir grandes cargas con tan solo la mitad o un tercio de la fuerza, que el sistema reparte equitativamente en sus poleas, o sea, si se tienen unas 10 toneladas y se coloca una polea, la polea absorbe 5 toneladas de carga distribuida, esta opción da solución a la problemática de izaje del modelo, por esta razón se integró este sistema de poleas para propiciar la retracción del paraguas con esfuerzos mínimos.
El resultado a partir de adaptar este mecanismo fue exitoso, pues las extremidades del modelo reaccionaron proporcionalmente al esfuerzo ejercido con la ayuda de poleas (figura 11); una vez comprobado este funcionamiento, se dispone a colocar la membrana textil con la finalidad de que el modelo pueda funcionar correctamente y sin inconvenientes, para que así el modelo quede configurado de manera más apta para un funcionamiento eficiente.

Resultados
Simulación estructural
En el proceso de esta investigación se ha analizado el efecto de la geometría y las partes constructivas del sistema retráctil del paraguas, gracias a la realización del prototipo por medio de la experimentación. Una destacada característica que ayudará a darle la estabilidad a este paraguas es el uso de una membrana textil, ya que al proyectar sistemas transformables debemos tomar en cuenta su ligereza, es por ello que antes de modelar los detalles tecnológicos y constructivos de la cubierta retráctil, haremos una pauta para diseñar nuestra cubierta textil. Esta etapa es esencial para el diseño del sistema, ya que anteriormente, cuando se realizó el diseño experimental, se colocaron las dimensiones de dicho paraguas retráctil, que tendrá una altura efectiva de 3,5 m y un diámetro de 8,5 m. Para este caso, calcularemos la estructura por el método virtual de densidades de fuerza, en donde obtendremos la forma, para ello nos apoyamos en un software institucional realizado por Ramón Sastre Sastre, profesor de la Escuela Técnica Superior de Arquitectura en la Universidad Politécnica de Catalunya. Este software, llamado WinTess versión 3,111, realiza el método virtual por densidades de fuerza; aplicado este método, genera una relajación en la membrana para obtener la forma deseada de la cubierta textil (figura 12 y figura 13); primeramente generamos una malla octagonal de 8,5 m su dirección lineal; una vez generada la malla, se realiza el cálculo para la obtención de la forma por densidad de fuerza y relajación, lo que da como resultado la forma que tendrá esta cuando esté pretensada.


Posteriormente, se introducen las cargas anteriores asignadas al programa, las cuales son establecidas por reglamento de NCRDF, así: carga muerta: 30 kg/m2, carga viva máxima: 40 kg/m2, carga viva accidental: 20 kg/m2 (tabla 1). Una vez realizado este, las cargas horizontales de sismo se considerarán como cargas externas nodales, y la presión de viento cambiaría un poco; ya que cada país tiene su propio código de aplicación de carga, para ellos solo utilizaremos la velocidad real básica del viento que en nuestro caso se dio así:
Posteriormente, se hace el proceso de iteración del cálculo, el cual realiza una matriz de nodos por fuerzas desequilibrantes; el programa efectúa un número de iteraciones hasta lograr que la estructura esté equilibrada; el número de iteraciones puede variar dependiendo de la forma compleja que pudiera llegar a tener la estructura, pero lo más importante de este cálculo es que obtenemos la dimensión real de los miembros de la estructura, los esfuerzos que actuarán en ella, las dimensiones de los cables y las deformaciones que puede tener, ya incluida la membrana; para este caso se seleccionó una membrana Serge Ferrari-Fluitop-T2-702, con una resistencia de RK(daN/5 cm) 300/280, y unos tubos circulares de 110 mm de acero A36 para el poste central y 90 mm para los miembros retráctiles, y cables de acero galvanizado de 18 mm de espesor. Ya realizado el cálculo sobre estas especificaciones, se verifican los datos arrojados del programa, aunque vale la pena comentar que la verificación de los miembros fue realizada por el EHE08 2, que no nos causa ningún problema ya que los valores que maneja en factores de seguridad son casi iguales a los del manual de acero de LRFD 3.
La utilización de código no ocasiona ningún problema de diseño estructural, ya que las dos normas se regulan por coeficientes de seguridad casi iguales, aunque el Euro código maneja factores de seguridad muy altos, mismos que están sobrados en cuanto a solicitaciones y comprobaciones en México, aunque estas sí impactarían seriamente en la cuestión económica; sin embargo, para este ejercicio dejaremos la normativa que el programa maneja. Posteriormente, en el análisis observamos que las barras con mayor esfuerzo de momento y tensión no superan el ratio de seguridad establecido a la unidad (1) (figura 14); para este tipo de estructura la comprobación sigue siendo la unidad, pero la comprobación de seguridad es de 1,65 en los tubos circulares, aunque este tipo de miembros, por ser tubulares, tienen menor excentricidad en su giro (tabla 2). En la tabla 3 observamos los valores antes comentados, los cuales pasan sin ningún problema la seguridad de la estructura; este tipo de sistemas de tenso-estructuras son no transitables, es decir que sus cargas actuantes son la vela y el viento, y esto genera mucha polémica. Al respecto es de anotar que especialistas como Ramón Sastre Sastre y José Ignacio Llorens Durán, junto a otros especialistas, se encuentran en la Unión Europea redactando dichas reglamentaciones para este tipo de estructuras. En Europa han comprobado que estas estructuras pasan con un factor de seguridad de 1,65, pero para el caso de este ejercicio, el ratio se dejó a la unidad, ya que la norma del LRFD es la que más castiga a los miembros y nos da la seguridad necesaria. Respecto a la seguridad (figura 15), observamos que las relingas y las superficies tensadas del paraguas retráctil siguen siendo bajas en tensión; la carga de tracción en las relingas es poca, gracias a que los puntos de conexión tienen los miembros con perfil suficientemente resistentes para no deformarse por la presión generada por el viento (tabla 3), ya que estas cargas hacen que la estructura requiera de una mayor inercia en el poste, por lo cual se configura una retracción con mayor área de plegabilidad



Desarrollo del proyecto
Posteriormente, se generó la modelación del prototipo a una escala 1:5 para ver los detalles de conexión constructiva del paraguas retráctil, ya que las articulaciones y conexiones del sistema son las que le dan la plegabilidad, por ello era conveniente formar el modelo con materiales que tuvieran la resistencia adecuada a la tracción, pues la tenso-estructura (velaría) hace que los miembros que forman parte de la estructura se rigidicen (figura 16), por ello se colocó un nodo móvil ascendente que alberga los ocho miembros articulados; estos a su vez se articulan nuevamente a un tercio de su claro, para conectar otros miembros tubulares con el nodo superior fijo, que ayuda a sostener la plegabilidad del sistema retráctil. Posteriormente, se coloca un accesorio de refuerzo para conectar las articulaciones de la linternilla del velaría, que a su vez se fija con cables para tener un tope, que es la articulación colocada en la unión metálica del paraguas, y, consecuentemente, se coloca un sistema de poleas que actúan como palanca para subir el nodo ascendente y plegar la estructura de la vela a fin de mantener rígido el sistema estructural.

Ya colocada la velaría en la parte superior de la estructura, se instalan tensores reguladores en las uniones metálicas de los bordes tubulares para tensar las relingas en los apoyos extremos de los miembros y así equilibrar el sistema estructural transformable; posteriormente, se prueba la estructura de la velaría con el sistema de poleas (figura 17), observamos cómo el comportamiento de la tenso-estructura es estable y mantiene una figura estructural adecuada para mantener en equilibrio las tensiones dentro de su superficie. Una parte importante de esa rigidización de la velaría es el regulador de los bordes, por ellos se puede plegar el manto del paraguas retráctil.

Posteriormente, al construir el modelo a escala 1:5, se generó la modelación de las uniones en detalle, a escala 1:1 en AutoCAD, para consecutivamente construirlo en metal, con un perfil de acero A36; el tubo principal tiene 110 cm de perfil (figura 18 y figura 19), los miembros secundarios son de 90 cm de perfil, las uniones están hechas de placas metálicas de 1/4”, con una soldadura de arco eléctrico con isótopo EXX60 estructural.


En la unión articulada ascendente se coloca una polea de carga de 2,5 toneladas, con un cable de 14 mm de espesor, para cargar los miembros secundarios del paraguas retráctil; esta se regula con una palanca reguladora en la parte inferior, manejada con una manivela que, al girarla, pliega y despliega la estructura. Por último, se propuso colocar en el extremo de los postes metálicos secundarios una estructura interna telescópica, esto ayudará para ver si la vela necesita más tensión.
Posteriormente, se realiza el patronaje constructivo de la velaría analizada por Win Tess (figura 20), dicho programa genera el patrón necesario para elaborar el manto de la velaría y de ahí realizar la uniones necesarias para su construcción. En seguida se genera un modelado previo para analizar sus curvaturas, para concebir la forma final o aproximada de la superficie construida en el sistema plegable del paraguas. Por último, cabe señalar que se usaron dos métodos de patronajes, el primero fue un método desarrollado por traslación geométrica y el segundo con un programa de software, este último definió la forma final de la vela en el sistema estructural.

Construcción del paraguas retráctil
El siguiente paso fue la fabricación del paraguas retráctil. El análisis estructural nos dio un miembro de poste central de A36 de OCE 89 mm, con una tensión aceptable para manufacturarlo y mantener la resistencia y la estabilidad estructural. Las uniones de cumbrera y el nodo deslizante se fabricaron por medio de armado de piezas, y en los brazos secundarios plegables se colocaron los miembros OCE 60 mm, al igual que los de la cumbrera, que ayudan a la plegabilidad del paraguas. El diseño de las placas de cumbrera y nodo deslizante fue de ½”, estas se soldaron con electrodos E60XX para darle la homogeneidad correspondiente a las uniones; de igual manera, este mismo tratamiento se le dio a la fabricación de la base del poste central, en donde se absorbe el momento más grande del sistema. Primeramente, se construyó un pedestal de producción industrial para armar el nodo deslizante, en este se colocaron las medidas exactas del nodo articulado; para lograrlo se aplicaron varias soldaduras de placa en donde se pusieron los componentes que se articulan y que, posteriormente, le darán la facilidad de plegarse; después se fabricó la cumbrera (figura 21), compuesta de varias piezas, que tendrá conexiones múltiples que ayudarán a rigidizar el sistema. Posteriormente se efectúa un primer montaje para verificar el plegado de la estructura; en paralelo, se cimbró y coló la cimentación del paraguas retráctil, construyendo un dado de cimentación de 1,2 m de altura por 0,40 m de ancho (figura 22), con una placa de cimentación de 0,80 x 0,80 m para evitar el efecto del volteo por cargas horizontales. Se le puso una placa de acero de ½” de espesor, sujeta al lado que recibirá el poste central; ya en el proceso de montaje se colocó la membrana que tensa el paraguas retráctil y ayuda a rigidizar todo el sistema.
En el proceso se tuvieron problemas en el tensado ya que el factor económico afectó a la construcción y se tuvieron que recortar los miembros secundarios de la estructura y la membrana tensada se redujo a un diámetro de 5 m, situación que afectó estéticamente el trabajo final.


Conclusiones
En el estudio de la tecnología estructural y la industrialización del espacio se realizó la investigación con base en un principio estructural transformable. Esta se maneja como un sistema plegable retráctil, lo que dio como resultado una estructura flexible, adaptable a su contexto, a sus formas, y versátil para cambiar los espacios. El principio de diseño se inclinó a la construcción de un nodo, el cual podía unir dos elementos para crear un sistema estructural muy flexible y resistente.
Toda esta perspectiva conceptual está justificada por las tendencias tecnológicas encontradas en la línea histórica de los sistemas transformables, los cuales nos dejan principios básicos que pueden ayudar a reforzar la metodología de diseño utilizada en este estudio. En la estructura del tiempo se encontraron tres principios básicos que se tomaron como referentes para el diseño de una cubierta plegable, que dieron origen a esta obra: la flexibilidad constructiva encontrada en las tribus beduinas; la prefabricación, como la implementó Emilio Pérez Piñero, y la transformabilidad, como en las construcciones del doctor Felix Escrig, creando íconos de diseño para la investigación.
Así mismo, la investigación teórica sobre las hipótesis encontradas para realizar un sistema transformable fue un factor muy importante para una primera aproximación conceptual, porque sus aportaciones teórico-prácticas se asumen como un principio formal de la metodología de adecuación geométrica que ayudaría a crear las estructuras plegables, generando posibles hipótesis de proceso geométrico que se comparan con propuestas aproximadas de conexiones, para lo cual se requiere abundar más sobre el tema para posibles aportaciones posteriores.
Todo esto deja una propuesta para realizar posteriormente un análisis estructural de estas adecuaciones, las cuales se comparan con la estructura de los referentes; estos sirven para saber el porqué del origen de un método utilizado extrapolando información de distintas normativas constructivas y apoyados en programas informáticos para realizar con más rapidez el análisis estructural de dicho sistema, con esto se teoriza una aproximación de utilización funcional, ya que dichos reglamentos se aplican dependiendo del uso de la estructura; en nuestro caso, lo dejamos abierto a un espacio de tipo industrial, ya que la estructura puede cumplir con otras funciones, gracias a su alternativa plegable.
Las aplicaciones tecnológicas y técnicas del proyecto se vieron reflejadas en la estructura. En la construcción del prototipo se adoptaron alternativas debido a la carencia de herramientas especiales y costo del material, pero el ejecutar el sistema nos ayudó a generar muchos conocimientos, parámetros y premisas para realizar una reconfiguración constructiva de conexiones, y también para considerar la membrana estructural desde un principio, a fin de conocer anticipadamente las tensiones reales que iban a interactuar en el diseño de esta estructura retráctil, así como también tomar en cuenta otras normas y materiales que pudieran mejorar el proceso de la investigación.
Referencias
Buckminster Fuller, R. (1963). Nine Chains to the Moon. Carbondale: Southern Illinois University Press.
Morales Guzmán, C. C. (2011). Sistemas de diseño para la vivienda. Revista de Arquitectura, 13(1), 118-127. Recuperado de http://editorial.ucatolica.edu.co/ojsucatolica/revistas_ucatolica/index.php/RevArq/article/view/775
Morales Guzmán, C. C. (2012a). Diseño de sistemas flexibles en el espacio arquitectónico. Madrid: Editorial Academia Española.
Morales Guzmán, C. C. (2012b). Diseño de una cubierta retráctil tensada, Actividad Post Doctoral, Universidad Politécnica de Catalunya.
Morales Guzmán, C. C. (2013a). Informe Técnico: Sistemas Estructurales Retractiles, Universidad Veracruzana.
Morales Guzmán, C. C. (2013b). Prototipo: diseño de una cubierta retráctil tensada. Universidad Veracruzana.
Morales Guzmán, C. C. (2013c). Prototipo de diseño de una cubierta retráctil tensada. Revista de Arquitectura, 15(1), 102-110. doi:http://dx.doi.org/10.14718/RevArq.2013.15.1.11
Pallares, F. E., Valcarel, J. P. y Escrig, F. (2012). Modular, ligero, transformable: un paseo por la arquitectura ligera móvil. Sevilla: Universidad de Sevilla.
RCDF (Reglamento de Construcción del Distrito Federal). Recuperado de: http://cgservicios.df.gob.mx/prontuario/vigente/385.htm
Rodríguez, N. (2005). Diseño de una estructura transformable por deformación de una malla plana en su aplicación a un refugio de rápido montaje. Barcelona: Universidad Politécnica de Catalunya.
Sastre, R. Wintess (Versión 3.1) [Software computacional] Escuela Técnica Superior de Arquitectura, Universidad Politécnica de Cataluña.
Notas
Notas de autor
Maestro en Arquitectura, Universidad Cristóbal Colón.
Magíster en Ingeniería Estructural, Universidad Camilo José Cela.
Doctor en Arquitectura, Universidad Nacional Autónoma de México.
Posdoctorado en Arquitectura Tensada, Universidad Politécnica de Catalunya.
Posdoctorado en Arquitectura e Ingeniería Transformable, Universidad Politécnica de Catalunya.
Investigador-Académico de tiempo completo, Titular C, Universidad Veracruzana, Facultad de Arquitectura, región Poza Rica, Tuxpan.
Perfil deseable PROMEP (2012), Miembro del Sistema Nacional Investigación, CONACyT, en la Modalidad de Candidato (2013).
Publicaciones recientes:
(2013). Prototipo de diseño de una cubierta retráctil tensada. Revista de Arquitectura, 15(1), 102-110.
(2012). Diseño de sistemas flexibles para la arquitectura. Madrid: Editorial Academia Española.
(2012). Diseño de sistemas versátiles en los sistemas orgánicos. Revista Esencia y Espacio, 34-35.
(2011). Diseño de una vivienda bioclimática industrial. Revista Bitácora, 24.