Tecnología, medioambiente y sostenibilidad
La simulación como herramienta de diseño y evaluación arquitectónica. Pautas resueltas desde la ingeniería
Simulation as a tool for architectural design and evaluation. Resolved patterns from engineering
La simulación como herramienta de diseño y evaluación arquitectónica. Pautas resueltas desde la ingeniería
Revista de Arquitectura, vol. 18, núm. 1, pp. 111-125, 2016
Universidad Católica de Colombia

Recepción: 19 Febrero 2014
Revisado: 27 Marzo 2015
Aprobación: 23 Noviembre 2015
Resumen: Se presenta un panorama sobre la importancia del proceso de diseño sostenible aplicado a las edificaciones. Teniendo en cuenta que el sector de la construcción es una de las áreas de más alto impacto ambiental, es importante analizar cuáles serían los nuevos procesos de diseño de las edificaciones en términos de sostenibilidad. Estos conceptos se aplicaron a un estudio de caso por medio de la simulación discreta, la cual permite una evaluación de la capacidad en un edificio junto con sus recursos, a fin de tomar decisiones de ampliación en el proceso de diseño arquitectónico. Los datos se analizaron en el programa estadístico SPSS y se simularon en ProModel. El modelo pedagógico propuesto puede llegar a ser de utilidad al momento de aplicarse en un contexto multidisciplinar, en donde interactúen estudiantes de ingeniería industrial y arquitectura. Este ejercicio puede aplicarse en las aulas de clase; con él se reducirían los tiempos de diseño, y la comunicación entre estudiantes mejoraría porque implica el trabajo multidisciplinar.
Palabras clave: diseño arquitectónico, edificios industriales, educación arquitectónica, industria de la construcción, ingeniería industrial.
Abstract: An overview of the importance of sustainable design process applied to buildings is presented. Given that the field of construction is one of the areas with the highest environmental impact, it is important to analyze what would be the new design processes for buildings in terms of sustainability. These concepts were applied to a case study using discrete simulation, which allows an assessment of capacity building along with its resources, to make decisions expansion in the architectural design process. Data were analyzed in the SPSS statistical program and simulated in ProModel. The proposed educational model can be useful when applied to a multidisciplinary context, where industrial engineering and architecture students interact. This exercise can be applied in the classroom; Doing so, could help reduce design times and improve communication between students since it involves multidisciplinary work.
Keywords: Architectural design, industrial buildings, architectural education, construction industry, industrial engineering.
Trujillo, J. & Cubillos-González, R. A. (2016). La simulación como herramienta de diseño y evaluación arquitectónica. Pautas resueltas desde la ingeniería. Revista de Arquitectura, 18(1), 111-125. doi: 10.14718/RevArq.2016.18.1.10
Introducción
El sector de la construcción es una de las áreas de más alto impacto ambiental, por tanto, es importante analizar cuáles serían los nuevos procesos de diseño de las edificaciones desde la disciplina de la arquitectura, y cómo estos responderían a la cadena de suministro y a la logística desde la ingeniería industrial, en términos de sostenibilidad. Es de anotar que la simulación crece cada vez más en diferentes campos de estudio gracias a los avances tecnológicos en software y hardware. Los usos de esta técnica de estimación se dan en diferentes áreas, por ejemplo: en diseño y operación de sistemas de colas, administración de sistemas de inventarios, aplicación en proyectos de inversión, en sistemas económicos, en el diseño y la operación de sistemas de manufactura y de distribución, en servicios de salud, militares y otros.
Este artículo presenta un panorama sobre la importancia del proceso de diseño sostenible aplicado a las edificaciones. Además, introduce el concepto de simulación como herramienta para la toma de decisiones en el proceso de di-seño arquitectónico. Algunos antecedentes de esta investigación están referidos al trabajo de los semilleros de investigación, Integración de la Cadena de Abastecimiento (InCas) y Aplicaciones Informáticas en Arquitectura (AIA), pertenecientes a las facultades de Ingeniería y Diseño respectivamente; estos resultados también han sido discutidos en el V Simposio en Formación de Investigadores, realizado en la Universidad Católica de Colombia dentro del eje temático formación de científicos.
Finalmente, este artículo tiene como objetivos, primero, presentar la aplicación de un caso de estudio de simulación discreta en el proceso de diseño arquitectónico para luego evaluar la capacidad del mismo y, segundo, proponer un modelo de enseñanza para el diseño de edificaciones orientadas a la sostenibilidad desde la visión del aprendizaje basado en problemas (ABP).
Metodología
La simulación es una herramienta multidisciplinar, que puede ser de tipo discreto o continuo. La simulación discreta es una herramienta compuesta de relaciones matemáticas, probabilísticas y estadísticas que sirve para analizar las causas de los cambios de un evento a otro en un sistema por medio de distribuciones de probabilidad y condiciones lógicas, por lo general propuestas en un computador.
Este tipo de simulación analiza los sistemas como procesos estocásticos en el tiempo, a) utilizando fluctuaciones aleatorias generadas con variable aleatoria(VA) y números aleatorios, b) involucrando más de una (VA) con c) generadores de VA, los cuales se transforman en valores bajo un comportamiento y de acuerdo con una distribución de probabilidad, las cuales se definen a continuación.
Así como las VA se generan a partir de números pseudoaleatorios, los números aleatorios son creados a su vez dentro de un intervalo probable a partir de una función de densidad de probabilidad uniforme entre cero y uno (0,1), en la que existen, n números en lo posible no periódicos, con ciclos de vida largos, en otras palabras, “todos diferentes” a fin de cumplir la propiedad de independencia.
Dentro de los métodos clásicos más conocidos se encuentran dos: en primer lugar, los métodos congruenciales que parten de una función o una fórmula. En segundo lugar, los métodos no congruenciales cuya fuente es un procedimiento o un algoritmo (Azarang y García Dunna, 1996; Coss Bú, 2003); sin embargo, la facilidad de generar simulación a partir de hoja electrónica ha hecho que los generadores clásicos sean poco usados por la dificultad de probar sus propiedades; así, se ha dado más uso a los números aleatorios de Microsoft Excel que garanticen el cumplimiento de las cuatro propiedades básicas de la distribución uniforme:


; la independencia y la uniformidad, como se muestra en la figura 1. El elemento principal para la identificación de las VA es el tipo, estas pueden ser discretas o continuas. Es discreta, si el conjunto de todos los valores posibles de la VA es finito y contablemente infinito, y es continua, si el conjunto de todos los valores posibles de la VA es un intervalo (Anderson, Sweeney y Williams, 2005; Evans y Rosenthal, 2004; Wackerly, Mendenhall y Scheaffer, 2010). Por tanto, la diferencia principal entre una VA discreta y una continua es que la altura de una VA discreta —la cual es expresada en su función— representa la probabilidad, mientras que el área bajo la curva , de una VA continua, asocia el intervalo dado que esta representa la probabilidad. A continuación (tabla 1), se presentan las propiedades de una distribución de probabilidad y la función de densidad de probabilidad para un comportamiento de datos uniforme, donde el parámetro inicial es uno y el final es seis (1,6).

Las VA tienen diferentes métodos de generación, entre los más comunes están (tabla 2): el de convolución (Taha, 2012), transformada inversa y aceptación-rechazo(Hillier y Lieberman, 2010; Taha, 2012), composición y transformación directa. A continuación se presenta la tabla con el método y la distribución generada comúnmente, sin embargo, los más comunes son el de la transformada inversa y aceptación-rechazo, como se muestra en la tabla 2.

Ahora, para poner en práctica estos conceptos, a continuación se expondrán cinco pautas para la aplicación de toma de decisiones en el proceso de diseño de una edificación a través de un modelo de simulación en hoja de cálculo.
Resultados
Primera pauta
Si se desea generar un programa de computador dedicado a la solución de la problemática o, en su defecto, simular en hoja de cálculo, ¿qué VA se utilizan para generar una simulación discreta, cuáles son los generadores y de qué tipos hay?; el desconocimiento de la existencia de estos ha sido nocivo para el desarrollo de aplicaciones con sustento científico en la simulación discreta, debido a que por lo general muchos desarrollos en diferentes disciplinas sesgan su manejo a los generadores de distribuciones empíricas, uniformes o normales.
Cuando un sistema de simulación es estocástico, necesariamente se debe restringir a la utilización de VA no uniformes mediante distribuciones de probabilidad teóricas o empíricas, por lo cual se han desarrollado una gran cantidad de generadores de distribución de probabilidad como: distribución normal, exponencial, poisson, erlang, binomial, gamma, beta, distribución f y distribución t (Coss Bú, 2003).
Segunda pauta
Para la toma de decisiones es: ¿Cuál es la metodología indicada para un proceso de simulación discreta? Para lo cual se propone utilizar la metodología de la figura 2, la cual parte un diagrama de flujo transversal para generar cualquier proceso de simulación (Trujillo, Vallejo y Becerra, 2010).
Tercera pauta
¿Cómo se desarrolla la simulación de la capacidad de un edificio como estrategia multidisciplinar en la arquitectura? Para esto se utilizó la metodología expuesta anteriormente y que ahora se describe paso a paso.
Paso 1. Formular el problema y planear el estudio
(figura 2)Una empresa de arquitectos desea evaluar la capacidad de servicio al cliente de las oficinas del área de atención en un edificio y su recurso es un elevador. El edificio cuenta con ocho oficinas, cuatro por nivel, para las cuales se propone una recolección de datos sistemática durante un mes para las variables: arribo, tiempos de atención y de permanencia en el edificio. En el primer piso se ofrecen servicios de pensiones y cesantías, en el segundo piso opera una aseguradora de vehículos y el tercer piso es de atención en salud (figura 2).
Las personas ingresan al edificio haciendo una línea de espera de tres metros en promedio, los visitantes que van a cualquiera de los pisos utilizan un elevador, con excepción de los visitantes del primer nivel; luego, las personas ya ubicada en el piso tienen unos tiempos de búsqueda de la oficina o consultorio para el cual van, en donde son atendidos con una disciplina por lo general FIFO (First In First Out). Después de servidos los visitantes salen del edificio.
Con el planteamiento anterior se desean resolver las siguientes preguntas: ¿los tiempos de arribo, atención y la capacidad responden al comportamiento de los visitantes en los diferentes pisos, día de visita, etc.? ¿Cuáles son estos tiempos de búsqueda, difieren por el servicio en cada uno de los pisos? ¿Cuánto es el tiempo de desplazamiento dentro del edificio?
Con lo anterior se debe planear la metodología de identificación y recolección de variables (tabla 3).

Paso 2. Recolectar y analizar datos
¿Cómo se hace la recolección de datos? ¿Cuáles son las variables de entrada para el análisis de la capacidad de un edificio, si es tratado desde el principio de líneas de espera? Para estos pasos se tomaron las directrices y las variables mostradas en la tabla anterior, las cuales fueron sistemáticamente recolectadas a diario, en un rango de 8 horas que es el tiempo del día hábil para los tres tipos de servicios ofertados en el edificio. Las variables fueron consignadas y analizadas bajo el procedimiento de la figura 3, desarrollado por Trujillo et al. (2010), debido a que muchos autores han desarrollado técnicas de análisis de datos unicriterio, multicriterio, factoriales y demás.

Cuarta pauta
El principio propuesto nace factorialmente, el supuesto es: el nivel de dependencia, homogeneidad y aleatoriedad de las variables en sus diferentes contrastes de manera individual y conjunta. Si el lector desea profundizar en la parte estadística de la misma puede remitirse al documento base (Trujillo et al., 2010).
En la figura 3 se resume el proceso de análisis de entrada para una base de datos de capacidad en un edificio con las variables aleatorias mencionadas para líneas de espera. Después de analizar el proceso anterior, si se determina que el modelo es preciso y válido, se continúa con la siguiente fase.
Paso 3. Seleccionar un software especializado en simulación o desarrollar un programa en un lenguaje de programación
Parte de este paso: ¿en qué software de simulación es más apropiada la estimación de la capacidad del edificio? Muchos desarrolladores determinan que lo más apropiado es desarrollar software a la medida (Coss Bú, 2003); sin embargo, comercialmente existen paquetes dedicados al desarrollo de modelos de simulación, como por ejemplo el software ProModel, que es mucho más interactivo en este sentido que el manejo de hojas de Excel, en donde se deben plantear los generadores anteriormente mencionados.
Quinta pauta
Al ver las bondades y la facilidad de operar ProModel, se elige este programa para simular el comportamiento del edificio, como se muestra a continuación, donde los componentes de un modelo de simulación en ProModel son las entidades, las locaciones, los recursos y los atributos (García et al., 2006). A continuación se describe el planteamiento y desarrollo para este programa.
Las localizaciones: son todos aquellos lugares en los que la pieza puede detenerse para ser transformada o esperar a serlo. A continuación se presenta la variable capacidad para cada locación.
Las entidades son las unidades que generan un evento, representan el flujo (proceso de entrada, proceso, servicio y salida), para lo cual, en el caso del análisis de la capacidad de edificio y después de utilizar un análisis estadístico de las variables se determinó que el edificio tenía tres categorías de visitantes, uno por cada tipo de piso visitado, con el supuesto de que una persona camina a 50 metros por minuto en promedio. Los recursos son los medios necesarios para el transporte, la inspección, cargue y descargue de las entidades, con los cuales el flujo o el proceso debe contar porque son necesarios sus desarrollos productivos, no son localizaciones. En el caso en estudio, se utiliza como recurso un ascensor con capacidad para 8 personas, el cual es movido por una polea a una velocidad de 0,3 metros por minuto cargado y de 0,5 metros por minuto desocupado (tabla 4).

El tiempo de simulación puede ser absoluto o relativo; el absoluto parte de cero y termina en un tiempo total de simulación definido, y el relativo considera un lapso de tiempo que transcurre entre dos eventos; para el caso se considera un reloj absoluto simulado para un día de ocho horas. Para ingresar al edificio Los visitantes generan una cola de entrada de tres metros. Los arribos de cada tipo se muestran en la tabla 5.

Los resultados de la distribución empírica para los visitantes tipo 2, después del análisis estadístico, se presentan en la tabla 6.

Las rutas son los medios para que las personas y el elevador se movilicen desde una locación a otra. El modelo está realizado a escala donde cada recuadro grande es a un metro, por tanto, el lote tiene un ancho de 8 metros y 8 de alto, como se muestran en la figura 4.

Las interfaces son las asignaciones de los nodos origen y destino de una ruta para un recurso, estas se muestran en la figura 5.

Los tiempos de atención en cada una de las oficinas se presentan en la Tabla 7.

Las probabilidades de los visitantes para los pisos 1 y 2 son aleatorias, mientras que para el piso tres son de acuerdo con la siguiente probabilidad empírica (Tabla 8)

Paso 4. Hacer la validación del modelo
Para hacer la validación del modelo es necesario determinar el “estado del sistema”, es decir, la interacción de todos los elementos que están bajo estudio en un momento determinado. La validación se hace para determinar el nivel de coherencia del comportamiento del modelo simulado con respecto al sistema real.
En esta fase, se valida si las variables de entrada y de desempeño se encuentran dentro de un rango admisible de aceptación o rechazo. Para generar el análisis de salida de las variables estocásticas o de desempeño consideradas en un experimento de simulación, se emplean algunos métodos que, dependiendo de su facilidad y conocimiento, se utilizan para describir el comportamiento del sistema:
a. Método de réplicas o corridas: es el conjunto de observaciones de un experimento o muestreo, donde cada observación es una simulación independiente, en la cual no se tiene en cuenta el periodo transitorio para el cálculo promedio de la medida de desempeño; en este caso no se subdivide cada observación, sino que cada una hace parte de una muestra de la que posteriormente se calcula la varianza estándar, porque los lotes no son independientes (Taha, 2012); en la figura 6 se presenta un claro ejemplo.

Con lo anterior, el conjunto de observaciones o los lotes se dividen en partes iguales; a estos se les denomina observaciones. La medida de desempeño promedio se calcula con el conteo por debajo de la curva de cada observación o lote; se divide la base de tiempo por lote, así: MD=/t, donde: i es el lote; es el conteo del área bajo la curva. Luego se calcula un intervalo de confianza tomando en cuenta la fórmula clásica de estimación (Taha, 2012):

b. Método de subintervalos: es el cálculo promedio de las medidas de desempeño en n subintervalos o “lotes” iguales; el análisis se realiza por la observación durante un tiempo prolongado de simulación, y durante este la observación se divide en partes iguales o lotes para determinar la estabilidad de la medida de desempeño; la desventaja es la dependencia del conjunto de lotes, para lo cual la solución es aumentar el tiempo entre cada observación; parte del principio de estabilidad, por tanto hay un tiempo transitorio de simulación en la primera parte que no se toma en cuenta para el análisis de la medida de desempeño y, entre mayor tiempo de simulación, más lotes habrá y menor error se generará (Taha, 2012); un claro ejemplo se muestra en la figura 7.

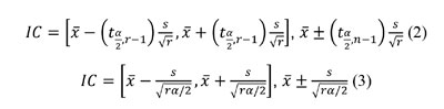
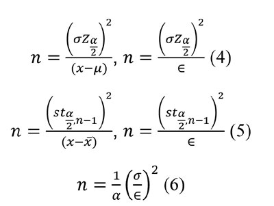
El siguiente paso es generar el intervalo de confianza para las medidas de desempeño; en el caso de los edificios son simulaciones terminales o edificios de negocios donde todas las personas salen del sistema al final del día y la distribución es de una población normal. Se utiliza la fórmula dos (2), pero si maneja otro tipo de distribuciones porque la población no es normal, la fórmula sería la tres (3), como se muestra a continuación:

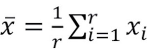
donde la media se calcula por:

y la varianza por:

En caso de que la simulación no sea terminal, por ejemplo, que el edificio sea de vivienda porque las personas no salen de él al finalizar la simulación, se utilizan las siguientes fórmulas: la ecuación (4) si la población es normal, la (5) si es normal pero no se conoce la varianza, y la (6) si la población maneja otro tipo de distribuciones.

c. Método regenerativo: aborda el problema desde la independencia al buscar condiciones iniciales idénticas, puede ser difícil de interpretar (Taha, 2012).
Paso 5. Planear los experimentos
Después de tener un modelo base validado, se procede a diseñar los experimentos o escenarios adecuados para tomar decisiones. En el caso en estudio se plantean los siguientes: i) en el estado actual, ¿el recurso elevador es suficiente?; ii) si las empresas decidieran crecer el siguiente año un 25 % en nivel de servicio, ¿podrían continuar con la misma capacidad? ¿Deberían ampliar la capacidad y los recursos?
Paso 6. Resultados de los experimentos y análisis de datos
Como se mencionó, por ser en un edificio con oficinas de servicio, el modelo se analizó para simulaciones terminales, con el método de análisis de réplicas utilizando el teorema de Tchevicheff a un nivel de confianza del 95%. A continuación, en la tabla 9 se presenta un ejemplo para la oficina 301.
Después de analizar la tabla 9, la oficina 301, con ocho réplicas o corridas y un nivel de confianza del 95 %, en promedio es visitada por entre 7 y 16 personas en un día de ocho horas, a partir de la fórmula; sin embargo, con base en esta afirmación se cumple que la capacidad es suficiente, ya que es la misma que el valor máximo. En caso de que no fuera así, se debería pensar en una estrategia de ampliación de la capacidad. Para resolver los experimentos con el estado actual: i) ¿el recurso elevador es suficiente? Definitivamente es suficiente ya que su utilización en las ocho corridas supera el 98 %, como se muestra en la figura 8.


Con lo anterior, si las empresas deciden crecer en nivel de servicio, el elevador no sería el transporte óptimo a los pisos dos y tres.
ii) Si las empresas decidieran crecer el siguiente año un 25 % en nivel de servicio, ¿podrían continuar con la misma capacidad? ¿Deberían ampliar la capacidad y los recursos? Los resultados de la variable capacidad se presentan en la figura 9, en la cual se muestra que las oficinas del tercer y primer piso pueden tener sobreutilización en cualquier instante de tiempo, gracias a la demanda de visitantes; de otra forma, las oficinas 201 y 204 están subutilizadas.

Con lo anterior, la oficina 302 es la más crítica, debido a que su límite superior de nivel de atención podría llegar a ser seis veces su capacidad, por lo que debe pensar en ampliar su área. Al igual que la 201, debido a que su capacidad es para atender 14 visitantes pero su demanda de visitas es máximo de seis personas diarias, por tanto podría pensar en reducir el tamaño de la oficina u ofrecer otro tipo de atención dentro de ella.
Por último, el resultado de este ejercicio condujo a plantear nuevas preguntas sobre el proceso de diseño de una edificación desde la perspectiva de la enseñanza, las preguntas fueron las siguientes: ¿cuáles serían los problemas de sostenibilidad que presenta una edificación sostenible? ¿Cuál sería el concepto más adecuado para responder a esta problemática desde la perspectiva de la sostenibilidad en una edificación? ¿Cuál sería una didáctica para responder al proceso de diseño de una edificación?
Discusión
A partir del experimento de simulación anterior y las preguntas generadas por los resultados, se realizó un análisis de los problemas de sostenibilidad en el diseño de edificaciones. Finalmente, según lo anterior, se propuso una didáctica de diseño eficiente de edificaciones. A continuación se describen más ampliamente estos temas.
Los problemas de sostenibilidad en el diseño de edificaciones
Hoy, las políticas del Gobierno nacional están orientadas al cambio de los patrones de producción y consumo de la sociedad colombiana hacia la sostenibilidad ambiental, contribuyendo a la competitividad de las empresas y al bienestar de la población. Lo anterior implica desarrollar tres estrategias direccionadas a este objetivo:
En primer lugar, generar una masa crítica de empresas que posicionen las buenas prácticas, así como los bienes y servicios sostenibles, en el mercado nacional e internacional.
En segundo lugar, crear una cultura de producción y consumo sostenible entre instituciones públicas, empresas y consumidores.
Por último, fortalecer el marco institucional que impulsa la producción y el consumo sostenible dentro del territorio nacional.
En este orden de ideas, la infraestructura que requieren la industria y el mercado colombiano deben responder a indicadores de sostenibilidad en el caso de los edificios. Hoy es un requerimiento esencial que un edificio responda al impacto ambiental que produce y mejore sus procesos logísticos de manera eficiente.
Para ello, es importante revisar cuáles son los procesos de diseño de una edificación que responda de manera óptima a la sostenibilidad. Además, ¿cómo se presenta este tipo de conocimiento en la academia?, ¿este tipo de conocimiento está actualizado en los programas académicos de Arquitectura y Diseño Industrial?
Estas inquietudes permiten entender que los requerimientos ambientales obligan a replantear los procesos de diseño de las edificaciones hacia la sostenibilidad en procesos productivos y en la cadena de abastecimiento (Seuring, 2013; Seuring y Müller, 2008), dado que un edificio de estas características debe responder a la conservación, protección y mejora de la calidad del medio ambiente.
Asimismo, debe procurar la protección de la salud de las personas y la utilización prudente y racional de los recursos naturales. Además, se debe aplicar el principio de cautela con el medio ambiente como una de las bases fundamentales del proceso de diseño de las edificaciones. Por estas razones, es fundamental entender el l que hoy juega en los requerimientos de sostenibilidad que se exigen en el área de la producción y la logística (Miemczyk, Johnsen y Macquet, 2012).
Es decir, hoy el diseño de una edificación se orienta a ser interdisciplinar, al entender que el cruce de los conceptos de estas dos disciplinas —Arquitectura y Diseño Industrial— define los procesos de diseño de los edificios y permite una mayor integración entre los procesos de producción que se realizan dentro del edificio y los procesos de diseño de los espacios a los que va a responder dicho tipo de edificación.
¿Cuál es el proceso ideal de diseño de un edificio?
En los últimos años la normativa (decretos 3600 de 2007, 4066 de 2008 y 3930 de 2010) relacionada con las edificaciones está siendo actualizada y busca un mejor comportamiento ambiental de los edificios, además de una mejor gestión de los residuos de construcción y demolición. También, se propone limitar la demanda energética, el incremento del rendimiento de las instalaciones y se está orientando el diseño de los edificios a la eficiencia energética, así como a la introducción de energías renovables. Sin embargo, es necesario que el sector de la construcción realice un esfuerzo para llegar más allá de los requisitos normativos, y que considere la necesidad de ser cada vez más eficiente en sus procesos de producción, para responder de manera responsable a la sostenibilidad y alcanzar así unos adecuados diseños en la producción de edificaciones.
Lo anterior permitirá que diferentes actores, como por ejemplo: arquitectos, ingenieros industriales, ingenieros civiles, ingenieros mecánicos, puedan trabajar interdisciplinariamente, y dar así una respuesta acertada a las necesidades de los usuarios y del medioambiente, orientada a construir un hábitat sostenible. Por consiguiente, el proceso más adecuado para el diseño de edificaciones orientadas a la sostenibilidad es la conformación de grupos de trabajo interdisciplinario. Alrededor de la ingeniería industrial, la arquitectura y de otras profesiones se mueven muchos campos investigativos que comparten herramientas de solución.
Por ejemplo, la ingeniería industrial se mueve desde la estandarización hasta la optimización de procesos. Hoy, una de las herramientas que se utiliza frecuentemente en la ingeniería industrial es la simulación discreta y continua. Esta se ha convertido en una técnica multidisciplinar que puede generar resultados en cualquier otra profesión, como por ejemplo la arquitectura. Así, es posible abordar desde estas dos disciplinas temáticas en la línea de “optimización, producción y logística”, con las cuales se pueden desarrollar competencias innovativas en un proceso de diseño multidisciplinar y transdisciplinar.
Precisemos un poco más el tema. Cuando los individuos observan que en su hábitat todo es una “cadena o una red” que es parte de un sistema complejo, el conjunto de variables y procesos que interactúan se manifiesta de manera endógena y exógena. Entonces, cada individuo, organización o una actividad específica, como por ejemplo, una empresa, pueden ser vistos como un nodo o un conjunto de subnodos dentro del hábitat. En cada nodo precedente hay un proveedor, un vendedor, un asesor, una entidad del Estado, etc. Estos actores ofrecen a su vez un producto o servicio y cada nodo subsecuente tiene un producto, un flujo, una capacidad y un nivel de satisfacción.
Por consiguiente, se pueden determinar los productos o servicios en los que se mueve un flujo de información. Así, el ingeniero industrial y el arquitecto ven las problemáticas como un sistema complejo en el cual convergen muchas variables, y las herramientas que aprende las utiliza en la solución de estas de una manera integral. En el caso de la enseñanza universitaria, los actores principales en un proceso de formación en diseño son los estudiantes y los profesores. Juntos convergen en la búsqueda del desarrollo integral en áreas como la investigación, la docencia y la extensión.
Entonces, el reto principal es que las disciplinas de la ingeniería industrial y la arquitectura desarrollen competencias en los estudiantes para que puedan innovar los procesos de diseño arquitectónico. En este sentido, el uso de herramientas informáticas puede ser orientado al desarrollo de modelos de planeación, operación e integración de una cadena de abastecimiento en la gestión y el diseño de un edificio.
Ahora bien, para poder realizar un planteamiento pedagógico de cómo debería ser un modelo adecuado para la enseñanza de mejores procesos de diseño que integren estas dos disciplinas, es recomendable analizar brevemente los modelos pedagógicos de aprendizaje para proponer una técnica encaminada al trabajo colaborativo de estas dos disciplinas. Según el Ministerio de Educación Nacional (MEN), existen tres modelos pedagógicos que se utilizan en el país, estos son:
El modelo heteroestructurante: el cual parte del principio de que el conocimiento se transmite y, por consiguiente, se hace énfasis en el resultado. Este sigue el modelo educativo de condicionamiento o de pedagogía conductista.
El modelo autoestructurante: el cual parte del principio de que el conocimiento se construye y es un proceso propio del individuo. Este sigue el modelo educativo constructivista.
El modelo interestructurante: el cual parte del principio de que el conocimiento se construye entre alumno y profesor. Este modelo está orientado a los indicadores de desempeño.
De lo anterior se desprende la siguiente reflexión: el aprendizaje está relacionado con competencias específicas, las cuales permiten proponer estrategias de aprendizaje y de evaluación. Para lograr esto, se requiere determinar cuáles son los productos y las evidencias que permiten identificar el proceso de aprendizaje de dicha competencia.
Una opción adecuada para este tipo de aprendizaje es el aprendizaje basado en problemas, el cual consiste en el planteamiento de un problema a partir del trabajo conjunto entre profesor y estudiante. Este se realiza según preguntas escalares que permiten desarrollar en estos dos actores un trabajo colaborativo y construir un proceso de investigación (figura 10).

En síntesis, anteriormente en los procesos educativos era importante que el estudiante desarrollara una técnica a nivel de formación profesional, la cual era evaluada de manera puntual. Sin embargo, hoy los procesos integrales de formación buscan el desarrollo de una competencia.
Es por esta razón que se deben buscar herramientas que permitan desarrollar competencias en estas dos disciplinas de manera complementaria. En ese sentido, una de las herramientas más importantes para la ingeniería industrial y que podría aplicarse en la arquitectura es la simulación de procesos, la cual se ha convertido en una estrategia para el diseño multidisciplinar; esta permite entender la complejidad de un sistema para visualizar problemáticas y proponer las mejoras pertinentes en el tiempo.
A nivel general en todas las profesiones, cuando el estudiante maneja las herramientas y desarrolla la competencia de una manera integral, se concluye que “propone y diseña”, por consiguiente, la siguiente estrategia para validar su diseño es usar la simulación con el fin de aceptar o rechazar las hipótesis necesarias y los puntos de mejora, a lo que comúnmente se le llama “tomar decisiones”; así podría “vender” un diseño, con estrategias claras porque ha observado el sistema en el tiempo.
Con lo anterior, a continuación se propone, desde la perspectiva de los ingenieros industriales, una metodología de formación para estudiantes universitarios, la cual busca un desarrollo integral para el profesional que se desenvuelve en la solución de problemáticas en diferentes contextos (figura 11).

En el campo de la ingeniería industrial se habla de diseño de procesos, y en la actualidad se le suma el concepto de procesos sostenibles. En el caso de la arquitectura, la simulación se ha convertido en una herramienta fundamental. Desde el punto de vista matemático, la simulación tiene un nivel de complejidad estadística y matemática importante por su sustento teórico discreto y continuo en el modelamiento respectivo de eventos aleatorios en el tiempo y las teorías de control de flujo para la transferencia de energía.
Cada campo en la simulación, tanto el discreto como el continuo, presenta el beneficio de observar un sistema en el tiempo; sin embargo, de forma comparativa, la primera tiene un nivel de error estimado ya que la recolección y generación de datos se da en intervalos de tiempo, así existen momentos en los cuales el sistema puede cambiar estocásticamente de un estado a otro sin tener el control y la identificación de la variable que incide en la simulación.
Así, la simulación se ha convertido en un campo multidisciplinar y, en términos de complejidad, permite el diseño de procesos e instalaciones en diferentes contextos; cada profesión ve desde un punto de vista diferente la problemática en el sistema complejo, la red o cadena de valor.
Propuesta para una didáctica de diseño eficiente de edificios
Si el objetivo es integrar los conceptos de logística verde y simulación en los procesos de diseño de las edificaciones, sería importante entender cuál será el modelo de aprendizaje más adecuado para diseñar edificaciones bajo este concepto. En el contexto actual, el aprendizaje está compuesto por experiencias que van transformando al individuo y, a su vez, también modifican la forma de interactuar con su entorno (Babativa, 2012). Por consiguiente, hoy se busca que la enseñanza desarrolle el pensamiento complejo en los estudiantes (Cantú, 2010, 9). Es decir, el aprendizaje se debe desarrollar en dos ámbitos: operaciones de pensamiento y técnicas de trabajo intelectual.
En el desarrollo de un ambiente de ABP para el diseño de edificaciones orientadas a la sostenibilidad se propone que la enseñanza del proceso de diseño se lleve a cabo a partir de una serie de anillos o niveles de complejidad, en donde todas las fases tengan una misma importancia. Es decir, se busca el planteamiento de procesos de diseño concurrente o simultáneo que estén terciados por medios tecnológicos, los cuales permiten un procesamiento de la información en tiempo real y su posterior simulación. A continuación se presentan las fases de producción del producto según la aplicación del ABP en el proceso de diseño (figura 12).

Primero se realiza un análisis sistémico de referentes que permitan identificar variables de diseño. Luego, se diseña el edificio a partir de aplicar conceptos de logística verde.
Segundo, se rediseñan los procesos que conducen a un adecuado proceso de cadena de suministro eficiente. Por ejemplo, se varían sus procesos funcionales frente al sistema estructural y constructivo del edificio. La configuración espacial deriva de los procesos de uso de la edificación y se observa cómo responden estas variaciones a las variables de diseño planteadas en el análisis sistémico realizado con anterioridad.
Tercero, una vez se obtiene un diseño del edificio se simulan en un modelo virtual para determinar la efectividad del ciclo de vida del diseño propuesto. Es decir, desde la construcción del proyecto se simulan los impactos que produce en el ambiente, la efectividad del presupuesto, el desarrollo de la programación de obra y su comportamiento durante el uso.
Conclusiones
El modelo pedagógico propuesto puede llegar a ser de utilidad al momento de aplicarse en un contexto multidisciplinar en donde interactúen estudiantes de ingeniería industrial y arquitectura. Si este ejercicio se aplicara en las aulas de clase, se reducirían considerablemente los tiempos de diseño y la comunicación entre estudiantes mejoraría por contener un proceso que implica el trabajo multidisciplinar. Por tanto, la comunicación es uno de los factores más importantes a la hora de aplicar el modelo pedagógico en un proceso de diseño arquitectónico. Esto implica que el grupo de estudiantes y docentes debe identificar cuáles son los procesos de comunicación más efectivos para transmitir la información. Es necesario profu ndizar más en el estudio de la práctica del ABP con grupos multidisciplinares, para poder aplicar con mayor eficiencia el diseño de edificaciones
Por otro lado, la simulación definitivamente es una herramienta multidisciplinar que sirve para la evaluación y el diseño de la capacidad de una edificación en general. Además, se podría utilizar en la planeación de parques, vías de transporte, teorías y políticas públicas de tráfico y demás. En términos de evaluación de recursos arquitectónicos, el diseño se puede sustentar en este tipo de herramientas como un medio para “aprender la arquitectura”. No se debe desconocer el nivel macro de la planeación de edificios como parte de una manzana o un barrio, ahí la simulación discreta y continua pueden servir como herramienta de planeación para evaluar en el tiempo y por sucesos.
Si la simulación ahora hace parte de las herramientas sostenibles, se puede replicar a otros procesos de paisaje y patrimonio en los cuales estas aplicaciones son escasas. Finalmente, se espera que las empresas constructoras repliquen el modelo de simulación en ProModel o en hoja de cálculo, y que los docentes e investigadores del programa de Arquitectura apliquen de una manera sistemática y científica la herramienta de simulación para la toma de decisiones en diseño arquitectónico. Se espera que este artículo sirva como herramienta docente para profundizar en los elementos de la simulación.
Referencias
Anderson, D., Sweeney, D., & Williams, T. (2005). Estadística para administración y economía. México: Cencage Learning. Recuperado de: http://dspace.ucbscz.edu.bo/dspace/bitstream/123456789/13206/1/10003.pdf
Azarang E., M. R. y Eduardo, G. D. (1996). Simulación y análisis de modelos estocásticos. México D.F.: McGraw-Hill.
Babativa, D. (2012). El aprendizaje basado en problemas: una respuesta práctica para la formación del pensamiento. Bogotá: Universidad la Gran Colombia.
Coss Bú, R. (2003). Simulación: un enfoque práctico. México: Limusa.
Cantún, I. (2010). Nuevos desafíos en la formación de arquitectos a partir del impacto de la sostenibilidad en la arquitectura. Enteloquio - Revista interdisciplinar (12), 273-287. Recuperado de: http://www.eumed.net/entelequia/pdf/2010/e12a15.pdf
Evans, M. J. y Rosenthal, J. S. (2004). Probabilidad y estadística, la ciencia de la incertidumbre. Barcelona: Reverté.
Hillier, F. S. y Lieberman, G. J. (2010). Introducción a la investigación de operaciones (9 ed.). Mexico: McGraw-Hill.
Miemczyk, J., Johnsen, T. E. y Macquet, M. (2012). Sustainable purchasing and supply management: a structured literature review of definitions and measures at the dyad, chain and network levels. Supply Chain Management: An International Journal, 17 (5), 478-476. Recuperado de: https://www.researchgate.net/publication/242060981_Sustainable_purchasing_and_supply_management_A_structured_literature_review_of_definitions_and_measures_at_the_dyad_chain_and_network_levels
Seuring, S. (2013). A review of modeling approaches for sustainable supply chain management. Decision Support Systems, 54 (4), 1513-1520. Recuperado de: https://www.researchgate.net/profile/Stefan_Seuring/publication/257207230_DSS_Seuring_ModellingSustSCM_final_2012_04_24/links/00b7d524a72d4707a1000000.pdf
Seuring, S. y Müller, M. (2008). From a literature review to a conceptual framework for sustainable supply chain management. Journal of Cleaner Production, 16 (15), 1699-1710. Recuperado de: http://getcloser.dk/content/02-information/05-referencer/seuring-mueller-2008-from-a-literature-review-to-a-conceptual-framework-for-sustainable-supply-chain-management.pdf
Taha, H. A. (2012). Investigación de operaciones. México: Pearson Education, Prentice Hall.
Trujillo, J., Vallejo, J. y Becerra, M. (2010). Methodology Call-Centers’s Simulation - Study case. Studiositas, 5 (3), 117-138.
Wackerly, D. D., Mendenhall, W. y Scheaffer, R. L. (2010). Estadística matemática con aplicaciones. México: Cencage Learning. Recuperado de: http://www.sidalc.net/cgi-bin/wxis.exe/?IsisScript=ESECA.xis&method=post&formato=2&cantidad=1&expresion=mfn=001612
Notas de autor
Magíster en Ingeniería Industrial, Pontificia Universidad Javeriana. Bogotá (Colombia).
Docente e Investigadora, Universidad Católica de Colombia.
Líder semillero InCas (Integración de la Cadena de Abastecimiento).
Publicaciones:
(2014). La habitabilidad como variable de diseño de edificaciones orientadas a la sostenibilidad. Revista de Arquitectura, 16 (1), 114-125. doi:http://dx.doi.org/10.14718/RevArq.2014.16.13
Máster en Hábitat, Universidad de Nacional de Colombia.
Docente e investigador vinculado a Centro de Investigaciones (CIFAR), de la Facultad de Diseño de la Universidad Católica de Colombia. Bogotá (Colombia).
Desarrollo de investigaciones sobre temas como tecnología sostenible y Sistemas de Gestión de Información para proyectos VIS.