Contextos
La construcción sostenible en el ámbito de la educación superior en Medellín, Colombia. El caso de la construcción con tierra
Sustainable construction in the field of higher education in Medellín, Colombia. The case of earth construction
La construcción sostenible en el ámbito de la educación superior en Medellín, Colombia. El caso de la construcción con tierra
Revista de Arquitectura (Bogotá), vol. 25, núm. 2, pp. 10-22, 2023
Universidad Católica de Colombia, Facultad de Diseño y Centro de Investigaciones (CIFAR)
Recepción: 05 Abril 2022
Recibido del documento revisado: 27 Septiembre 2023
Aprobación: 27 Octubre 2023
RESUMEN: Este artículo presenta un trabajo analítico de la tierra como material para la construcción, buscando analizar y evaluar la aceptación e implementación que se dan de esta en el sector constructivo, en la configuración de la ciudad de Medellín, tanto desde la mirada de la academia como desde el ámbito profesional. La investigación se desarrolló a través de un enfoque mixto, de tipo longitudinal, con dos cortes transversales: uno en 2018, y otro, en 2022, lo que permite una comparación del avance de un año al otro en cuanto a la percepción que se tiene de la construcción con tierra en la ciudad. La información se obtuvo mediante tres fases: la primera, por búsqueda documental; la segunda, mediante un trabajo de campo con la aplicación de entrevistas en instituciones de educación superior, tanto en pregrados como en posgrados, y la tercera, con la implementación de encuestas a empresas constructoras de la ciudad. El desarrollo de la investigación dio como resultado un avance en cuanto a la aceptación de la tierra en el sector de la construcción; sin embargo, aún se hace necesario un mayor fortalecimiento del tema para adquirir un mejor posicionamiento.
Palabras clave: Aceptación, construcción sostenible, Medellín, educación, tierra.
ABSTRACT: This article presents an analytical work on the soil as a material for construction, seeking to analyze and evaluate its acceptance and implementation in the construction sector, in the configuration of the city of Medellin, both from the perspective of the academy as well as from the professional field. The research was developed through a mixed, longitudinal approach, with two cross-sectional cuts. The first one in 2018 and the second in 2022, which allows a comparison of the progress from one year to the next in terms of the perception that of construction with soil in the city. The information was obtained through three phases, the first, by documentary search, the second, through fieldwork with the application of interviews in institutions of higher education, both in undergraduate and postgraduate courses, and the third one, with the implementation of surveys to construction companies. The development of the research resulted in an advance regarding the acceptance of the soil in the construction sector, however, a greater strengthening of the subject is still necessary to acquire a better positioning.
Keywords: Acceptance, education, Medellín, soil, sustainable construction.
Introducción
De acuerdo con Arenas (2008>, el proceso de obtención de los materiales de construcción tiene una alta incidencia en la contaminación ambiental, tanto desde el proceso de extracción de materias primas que se da en canteras y graveras -las cuales producen modificaciones en la topografía- como en el proceso de producción y fabricación -donde se generan altas emisiones de CO2 a la atmósfera-. También, en la etapa final de los materiales, los cuales, luego de cumplir su vida útil, son desechados sin obtener tratamiento alguno para su aprovechamiento, lo cual aumenta los centros de acopio ilegales y los niveles de contaminación.
Sin embargo, a lo largo de la historia no todos los materiales han cumplido un papel contaminante: la tierra, por ejemplo, es el material más antiguo entre los utilizados por el ser humano en la construcción. Todavía en la actualidad se conservan construcciones originadas en las primeras civilizaciones, con lo cual se le puede dar una connotación de material resistente, como menciona Rivero (2007): "nunca nadie ha demostrado que la tierra como material de construcción no sirve, o que sus sistemas constructivos son inseguros. Simplemente entraron en desuso por asumir el paradigma de la sociedad moderna" (p. 354), y así lo evidencian las estructuras patrimoniales de siglos atrás que siguen en pie, pero que, por ese mismo olvido y esa falta de conocimientos, son reemplazadas por diseños contemporáneos. Por el contrario, han surgido innovaciones en las técnicas constructivas, en la preparación del material y en el diseño de equipos para hacer de esta alternativa una opción más competitiva en la industria.
Características tales como su abundancia, la baja utilización de energía para su proceso de transformación, sus propiedades térmicas y la posibilidad de reutilizarlo una vez cumplida su vida útil hacen de este material una excelente alternativa para una construcción más limpia y consiente. Por esto, Bedoya (2015> hace un cambio de denominación para dicha materia prima, y la llama suelo residual.
A pesar de lo anterior, la llegada de la industrialización causó un cambio de pensamiento en el uso de este material, al verse incorporados otros, como el concreto, el vidrio y el acero, que, a su vez, arribaron con conceptos de estatus, desarrollo y seguridad, como resultado de una búsqueda para mejorar los problemas presentados en los edificios por el deterioro y el paso del tiempo. Dicho cambio se dio no solo en la población informal, sino también, en las empresas constructoras, que, desde la tercera década del siglo XX vienen utilizando el concreto como material principal para la configuración de la ciudad (González, 2011).
Por eso, para lograr un desarrollo sostenible es pertinente una reincorporación de técnicas constructivas olvidadas, las cuales aportan opciones para superar la problemática ambiental que se vive por la desmesurada explotación de recursos y la poca conciencia sobre ello. Para esto, sería necesario entender que la utilización de materiales se puede dar no solo según las exigencias del mercado, sino también, según el lugar de utilización de estos, para así obtener un mejor aprovechamiento de esos materiales. Es así como la ciudad de Medellín no es ajena a esta nueva visión, donde el uso de materiales provenientes de procesos industrializados se asocia a los conceptos de Modernidad, como un resultado de las tendencias del mercado; por eso, el presente trabajo busca potenciar la construcción con tierra como una técnica y un material capaces de brindar soluciones para hábitats de cualquier estrato socioeconómico despojándose del prejuicio de pobreza y residuo.
Para esto, se buscó conocer la visión que tiene el sector de la construcción en la ciudad de Medellín, tanto desde la academia como desde los profesionales, frente a la implementación de la tierra como material de construcción de óptimo desempeño técnico y estético.
Metodología
La investigación se desarrolló a través de un enfoque mixto, de tipo longitudinal, con dos cortes transversales: uno en 2018, y otro, en 2022, buscando recrear y actualizar la percepción que se tiene frente a la construcción con tierra en la ciudad de Medellín. Para esto, el trabajo realizado se dividió en tres fases, como se detalla a continuación.
La primera fase fue llevada a cabo mediante una búsqueda documental, a través de otras investigaciones, artículos, libros, folletos y entrevistas no estructuradas con personas del medio. Se elaboró un estado del arte que condujese a identificar técnicas de construcción recientemente empleadas en la ciudad de Medellín, se presentaron posturas críticas y se evidenció la realidad del uso del material hoy por hoy.
La segunda fase se centró en el análisis de la visión, desde la academia, respecto a implementar la tierra como material de construcción. Para 2018 se hizo una búsqueda orientada a las ofertas de pregrado de las universidades de la ciudad de Medellín que en sus planes de estudio tuviesen materias estructuradas con temas relativos a la construcción con tierra, ya fuese desde la parte técnica o desde la conservación del patrimonio. Ahora, para 2022, ya que la oferta de pregrado no varió, la búsqueda en la academia se centró en las ofertas de posgrado, las de las universidades inicialmente identificadas, los desarrollos dentro de los grupos de investigación y los productos allí contenidos. Se logró así completar una visión amplia de la formación dentro de la academia en cuanto al uso de la tierra como material para construir.
Finalmente, la tercera fase, desarrollada en los mismos periodos, consistió en analizar la percepción que tienen los profesionales del medio frente al uso de la tierra como material, desde las empresas constructoras en las que se desempeñan; estas se seleccionaron según su tamaño: pequeñas, medianas y grandes. En total, fueron catorce empresas, de acuerdo con una prueba no probabilística, ya que se basó en las características del trabajo. Esto, por medio de un instrumento de recolección de datos, aplicado a una muestra no probabilística de empresas del sector de la construcción, lo que permitió la tabulación y el análisis de los resultados.
Resultados
La construcción con tierra en el ámbito de la ciudad de Medellín
En América Latina, la tierra fue usada mucho antes a la llegada de los conquistadores. Pueblos indígenas como los muiscas construían sus viviendas utilizando materiales locales para dar forma a estructuras circulares: bohíos con postes de madera, paredes de arcilla, techos y pisos de paja, lo cual es considerado el inicio de la construcción con tierra en Colombia (López et al., 2020).
Sin embargo, con el proceso de colonización en el continente, el uso de estos materiales no desapareció por completo: al contrario, hicieron parte de los estilos arquitectónicos europeos barroco y neoclásico, a los que fueron incorporados adecuando las técnicas indígenas a las nuevas corrientes, las cuales pretendían destacar las plazas y las iglesias, que representaban, para los españoles, obras de importancia.
Ya en Medellín, a la llegada de los gobernantes borbónicos Francisco Silvestre y Juan Antonio Mon y Velarde, hacia 1775, se implantó una serie de políticas que buscaban cambiar el aspecto de los centros urbanos, ya que, a su parecer, La Villa, como era conocida la actual ciudad, no contaba con edificaciones representativas tanto religiosas como institucionales, que para los ya mencionados gobernantes aportaban variedad y riqueza en infraestructura al poblado. Las políticas consistían en el desarrollo de este tipo de edificaciones; entre ellas, las de tipo monumental, como iglesias, pero también carnicerías, cárceles y cementerios (González, 2008).
Dada la complejidad de estas nuevas obras, tanto en su espacialidad como en su forma, se empezaron a ejecutar nuevos avances constructivos combinando la tierra con la teja española, la piedra y el ladrillo para construcciones civiles. Por ejemplo, el ladrillo fue utilizado de manera parcial en la construcción de la iglesia La Veracruz, y totalmente, en el convento de San Francisco. De igual manera, estos nuevos materiales representaron un cambio en la estructura de vivienda, sin dejar de lado las técnicas tradicionales que se desarrollaban para la construcción de las edificaciones, como la tapia, el bahareque y el adobe; se presentó un aumento en el uso de la teja de barro para las cubiertas, comparada con la utilización que se daba antes de ese momento. No obstante, su implementación en la arquitectura domiciliaria fue creciendo con el tiempo, y trajo connotaciones particulares, ya que las familias adineradas construían con tapia, adobe, ladrillo y teja de barro, y las familias de bajo poder adquisitivo adoptaron el bahareque y la paja.
En las primeras décadas del siglo XX la ciudad de Medellín migraba de su condición de villa pueblerina a ciudad moderna, por lo que en su territorio se instalaron empresas, bancos e industrias que requirieron edificaciones en cuya construcción se prefirió el uso de materiales como el ladrillo, el concreto y el acero, en desmedro del uso de técnicas constructivas ancestrales.
Sin embargo, la industrialización no paró, y en el decenio de 1950, con empresas cementeras ya instaladas en Antioquia, el empleo del concreto reforzado siguió en aumento, a tal punto que prácticamente se anularon las técnicas basadas en el uso de la tierra. La idea del desarrollo y del progreso privilegió las estructuras basadas en el cemento y el acero, e impuso a las técnicas de tierra y a otros materiales, como la cal y la madera, los adjetivos de anacrónicos y poco confiables desde conceptos de resistencia y estatus (Núñez, 2019).
A pesar de lo anterior, hubo iniciativas en la misma década por reivindicar la tierra como material óptimo para construir edificios: tal es el caso de la creación del Centro Interamericano de Vivienda y Planeamiento (CINVA), que en 1951 se consolidó como la sede de la Universidad Nacional de Colombia en Bogotá. Allí se desarrolló la prensa conocida como Cinva-Ram, con la cual las comunidades podían elaborar sus propios bloques utilizando el suelo residual como materia prima (Peña, 2008).
Las viviendas que se construyeron con materiales de la zona, que obedecían al contexto cultural y social, también desaparecieron, y no se debió ello a la calidad de los materiales, "sino porque ocupan el lugar que requiere el rascacielos del desarrollo y el progreso" (Guibbert, 1987, p. 89).
No obstante, dadas las exigencias ambientales a escala mundial para que las industrias y las edificaciones disminuyan sus impactos negativos sobre el ambiente, la arquitectura, la ingeniería y la construcción han vuelto su mirada hacia materiales y técnicas de menor impacto ambiental. La construcción sostenible, entonces, gana espacio en la academia y en el medio, y surge, al mismo tiempo, una intención de rescatar sistemas constructivos y materiales locales, de menor huella de carbono y fácil acceso. Entre ellos, la tierra o el suelo que se genera al excavar o al hacer movimientos de tierra son vistos como materia prima, y no como residuo (Gómez et al., 2021).
Con el surgimiento de investigaciones atinentes a la construcción con tierra se ha generado, en las primeras décadas del siglo XXI, credibilidad en cuanto a las características de resistencia, durabilidad y valor estético de estas técnicas; de hecho, las comunidades presentan una nueva aceptación al respecto.
En Medellín, el panorama ha resultado complejo en este sentido, pues, al igual que en otras ciudades, las normas de planeación difícilmente contemplan los sistemas constructivos basados en materiales distintos del concreto reforzado y el ladrillo cerámico, entre otros, y los proyectos llevados a cabo con tapia o bahareque o en bloques de suelo cemento son muy pocos. Además, los profesionales conocedores de estos aspectos siguen siendo pocos, si bien no se puede desconocer el ahínco que otros profesionales han puesto en alcanzar "construcción sostenible que propicie estrategias de bajo consumo de energía y de materiales durante la ejecución del proyecto y de la vida útil de este, como es el caso de la implementación de eco materiales" (Bedoya, 2018).
No obstante, aunque hay pocos proyectos emprendidos, estos no deben verse de manera peyorativa: al contrario, se convierten en victorias o logros, pues han sido capaces de combinar técnicas y materiales milenarios con otros modernos cumpliendo con exigencias actuales y óptimo desempeño técnico y estético.
Entre los mencionados proyectos se encuentran:
Construcción de un restaurante en la Universidad Adventista de Colombia (UNAC) con muros de tapia pisada, entre 2011 y 2013, por la Fundación Tierra Viva (figura 1).
Construcción de muros de tapia pisada en el Jardín Botánico Joaquín Antonio Uribe (figura 2).
Proyecto de Balcones de Villanueva, un edificio de cuatro plantas con un semisótano, en el barrio Córdoba, por Cipra Arquitectos, y a cargo del arquitecto César Álvarez, en 2014 (figura 3).



De la misma forma, el hecho de que la ciudad sea capaz de reconocer y conservar piezas patrimoniales, como las que aún existen en el parque Bolívar y el barrio Prado, es una muestra de una valoración del patrimonio inmueble y sus técnicas constructivas.
Por el contrario, en varios municipios del departamento de Antioquia que presentan mayor ruralidad se han utilizado con más fuerza y frecuencia las técnicas ya mencionadas, y no solo para viviendas de bajo costo o para lugares en condiciones de pobreza, sino que al reconocerse el valor de la tierra como elemento constructivo en combinación con otros materiales, se han podido erigir hermosas residencias que combinan la arquitectura tradicional con un diseño contemporáneo, donde este material no solo se utiliza para dar forma a la edificación, sino que funciona, a la vez, como elemento decorativo y arquitectónico (Tripura & Singh, 2018). Es así como lo que representa un residuo en alguna etapa constructiva puede pasar a ser un valioso material capaz de resolver problemas de habitabilidad para la construcción de viviendas en cualquier nivel socioeconómico.
Factores que han limitado la implementación de la construcción con tierra en Medellín
A pesar de que se ha evidenciado un mayor interés en cuanto al uso de tierra por parte de los profesionales del sector de la construcción, y si bien se comienzan a notar los esfuerzos por apuntarle a este tipo de construcción valorando, sobre todo, lo que en una etapa constructiva, para muchos, representa un desecho, aún falta camino por recorrer y lugares donde llegar a trasmitir este tipo de conocimiento. Como ya se ha mencionado, en municipios de Antioquia se está desarrollando muy bien la labor; no obstante, para el caso de la ciudad de Medellín aún existen algunas brechas que falta superar:
Falta de aceptación comercial, ya que si se compara la oferta de mano de obra que existe para técnicas convencionales en materiales industrializados con la que existe actualmente dedicada a construir con tierra, es realmente grande la diferencia entre ambas, y por eso usar tierra genera un rechazo inicial por parte de quienes están interesados en desarrollar proyectos constructivos, ya que dicho material no resulta rentable, en gran medida, por las implicaciones que trae buscar mano de obra especializada para esas técnicas tradicionales.
Hasta el momento, los proyectos de construcción con tierra se muestran restringidos al sector rural, debido a que en la ciudad de Medellín las normas de planeación no los aceptan, y aceptarlos tampoco resulta rentable si se toma en consideración que el valor del suelo en la ciudad es mucho más costoso, lo cual implica una construcción en altura y, por ende, quedan descartadas las técnicas con tierra, las cuales no pueden ser utilizadas en edificaciones de más de dos niveles; sin embargo, es importante tomar en cuenta que la idea no es limitarse a un solo material o un tipo de técnica, sino lograr una combinación armónica de materiales y sistemas. Para ello, los avances tecnológicos están permitiendo ese tipo de alianzas entre materiales: ejemplo de esto sería la posibilidad de lograr un edificio de aproximadamente veinte pisos con estructura en concreto, pero con muros divisorios en BTC (Cabrera et al., 2020).
La percepción de materiales que la comunidad reconoce como más "resistentes" ha llevado a asociar las construcciones con tierra a calificativos de "débiles" y "poco desarrolladas". Es así como el desconocimiento representa una limitante en cuanto a la utilización del material en técnicas constructivas. La comunidad aún es reticente porque asocia este material y sus técnicas a riesgos en cuanto a resistencia, durabilidad y mantenimiento, y a factores patógenos como insectos y humedad; esto, no obstante contarse con varios precedentes de construcciones que se han desarrollado en Colombia y en otros países.
La falta de profesionales especializados e interesados en este tipo de construcciones es otro factor limitante. Cabe anotar que sí los hay, pero es necesario que, desde los procesos de formación académica en áreas afines a la construcción, se les oriente en cuanto a los beneficios tanto económicos como ambientales de utilizar la tierra como opción técnica y estética de óptimo desempeño.
Inclusión de la tierra como material de construcción en la formación de los profesionales
Entendiendo que es en la universidad donde se forma el profesional en sus bases teóricas, y que es allí donde comienza a perfilar sus intereses dentro del ámbito de estudio que abarca cada programa de educación superior (Gallego, 2018), se hizo una búsqueda dentro de un grupo de universidades, con la intención de conocer el rol que está jugando la academia en la educación de profesionales para desempeñarse en el sector de la construcción, y que, aparte de estar capacitados para enfrentar el desarrollo futuro con nuevas tecnologías, también reconozcan en su patrimonio una manera de ejercer con responsabilidad su profesión (Hernández, 2017).
En 2018 la búsqueda se centró en las carreras de pregrado de las siguientes universidades que tenían ofertas afines a la construcción y la arquitectura. Se identificaron cuatro pregrados y once universidades, como se detalla seguidamente.
Arquitectura: Institución Universitaria Colegio Mayor de Antioquia; Universidad Católica Luis Amigó; Universidad Nacional de Colombia sede Medellín; Universidad Pontificia Bolivariana; Universidad San Buenaventura; Universidad Santo Tomás.
Construcción: Universidad Nacional de Colombia sede Medellín.
Construcciones Civiles: Institución Universitaria Colegio Mayor de Antioquia.
Ingeniería Civil: Universidad Católica Luis Amigó; Politécnico Colombiano Jaime Isaza Cadavid; Universidad de Antioquia; Universidad de Medellín; Universidad EAFIT; Universidad Escuela de Ingeniería de Antioquia; Universidad Nacional de Colombia sede Medellín.
De este modo, de las once universidades evaluadas, cinco tienen cursos relacionados y seis no los tienen, como se muestra en la figura 4, con lo cual se puede decir que, si bien son resultados bastante cercanos entre sí, existe una notoria intención por parte de la academia de relacionar en su plan de formación el tema de interés. Cabe mencionar que el carácter de las universidades sea público o privado, no influye en que se tenga o no una oferta académica de asignaturas que desarrollen en sus contenidos temas de construcción con tierra.

Por otro lado, la figura 5 expone los semestres en los cuales se ubican las materias que se imparten en las universidades ya mencionadas, y que se relacionan con el tema de investigación. Esta investigación halló que el 100 % de dichas materias son cursadas por los estudiantes después de haber aprobado la primera mitad de su ciclo profesional; es decir, cuando ya se ha cursado una formación básica de los programas y han comenzado líneas de profundización específicas, lo cual puede indicar que las asignaturas pertenecen a una de esas líneas de profundización.

Por otra parte, es posible decir que la intensidad horaria de los cursos identificados no es tan alta. La figura 6 relaciona el número de materias para cada número de créditos. Los resultados de la investigación determinan que, en su mayoría, cinco materias son de dos créditos, lo que corresponde a 96 horas de dedicación del estudiante al trabajo de la asignatura durante el semestre. Las dos materias que presentan un número de créditos más elevados -es decir, seis y nueve- son cursos que corresponden a talleres o trabajos de grado, respectivamente.

Entre tanto, fue posible registrar que ocho de los cursos tenían una tipología obligatoria, como se muestra en la figura 7, por lo que se hallaban dentro del plan de estudios establecido para cada programa, lo cual demuestra que existe una mayor certeza de que el estudiante cursará la asignatura; sin embargo, las tres materias que corresponden a la tipología de libre elección son las ofertadas en la Universidad Nacional de Colombia sede Medellín, pero al respecto es posible afirmar que, no obstante pertenecer al plan de estudios de los tres programas que se registraron en la universidad, existe un gran número de estudiantes que se interesa en inscribirlas y cursarlas.

De igual forma, se encontraron dos universidades, ambas para el programa de Ingeniería Civil, que, aunque tienen dentro de los planes de estudio materias de construcción sostenible, no las tienen ofertadas. Una de las razones es que no cuentan con los profesionales para impartir estos temas; sin embargo, sería importante pensar en la posibilidad de diseñar dicha materia por movilidad académica entre las universidades, mediante convenios de cooperación, para así crear una red entre las instituciones de educación superior, y así lograr impactar una mayor cantidad de estudiantes.
De la oferta académica de todas las universidades, el programa con menores materias identificadas fue Ingeniería Civil. De las siete ofertas con las que cuenta esa carrera, solo en dos de dichas universidades se identificaron materias con contenidos sobre la tierra, a diferencia del programa de Arquitectura, que cuenta con seis ofertas, y tres con dichas asignaturas. Para los programas de Construcción y de Construcciones Civiles, que tienen una oferta cada uno, en ambos se tocan temas relacionados con la tierra como material para la construcción.
Para el caso del programa de Ingeniería Civil, algunos de los docentes entrevistados manifestaron que la construcción con tierra es un campo en el cual los profesionales no podrían desempeñarse, pues el tema no es acorde a los avances tecnológicos y científicos que se desarrollan en la actualidad, y eso puede explicar su baja oferta. Sin embargo, es importante destacar los casos de la Universidad Nacional de Colombia sede Medellín y la Universidad EAFIT, las cuales sí les apuestan a dichos temas en sus planes de estudio.
Por otro lado, es importante reconocer que, en su mayoría, las ofertas de los programas demuestran su interés en los temas ambientales, pues consideran que hacen parte fundamental de la formación integral de un profesional contemporáneo, y son toda una declaración a favor de un componente ambiental que incluya temas de desarrollo sostenible ofertado a todos los estudiantes.
Para 2022 se analizan, nuevamente, las once universidades, pero ya desde sus posgrados y sus grupos de investigación. En la tabla 1 se compilan los resultados obtenidos. Se encontró que, si bien dentro de los grupos de investigación hay énfasis en materiales de construcción, sostenibilidad, medio ambiente y patrimonio -todos ellos, relativos a la construcción con tierra-, solo en tres de las universidades hay publicaciones producto de investigaciones con una intención clara de impulsar y promover la tierra como un material para la construcción; principalmente, en la generación de bloques.
Es importante resaltar que tres universidades (Colegio Mayor de Antioquia, Universidad Nacional de Colombia y Universidad EAFIT), identificadas en la tabla 1 por publicaciones dentro de sus grupos de investigación con temas relativos a la construcción con tierra, se encuentran dentro de las cinco que para 2018 incluían en sus pregrados temas relacionados. Ello evidencia la continuidad y la intención de formar profesionales con conocimientos sobre el tema. Adicionalmente a eso, promover la investigación es una estrategia fundamental necesaria para recuperar una cultura constructiva que hemos olvidado, pero responde bien a las necesidades de sostenibilidad que en la actualidad requerimos (Avendaño et al., 2021). Además, es posible reinventarla para que sea completamente competitiva con los materiales industrializados, porque, como menciona Cao (2020>, "cuando hablamos de reinvenciones de técnicas antiguas, estos cambios no constituyen necesariamente un paso atrás, sino que hablan de un futuro más consciente" y en equilibrio.

Discusión
Percepción de los profesionales de la construcción frente a la implementación de la tierra como material
En 2018 se midió la percepción que tenían los profesionales del sector de la construcción frente a implementar la tierra como material para construir. En la investigación Reivindicación del suelo residual para la construcción. "Arraigo y sostenibilidad para un patrimonio futuro" se halló que el uso de ciertos materiales influye en la connotación de desarrollo que se tiene al momento de edificar, entendiendo como sinónimo de este, los materiales producto de los procesos de industrialización.
Ahora bien, pasados cuatro años del mencionado trabajo, se vuelve a recurrir a las empresas antes contactadas y a otras -en total, catorce-, para evaluar, nuevamente, si tras los avances de la industria de la construcción y las necesidades de unos procesos más limpios y menos agresivos con el medio ambiente han influido en la percepción inicialmente hallada.
Para ambos momentos de la investigación se aplicó una encuesta como instrumento de recolección de datos, y la cual fue suministrada como un formulario de Google y enviada por vía digital, donde se adjuntó el enlace para responder.
La figura 8 muestra la percepción que tienen los encuestados en cuanto a si el uso de algún material en específico para la construcción de edificaciones representa mayor o menor nivel de desarrollo socioeconómico, a lo que el 18,18 % contestó que sí, y el 81,26 % coincide en que no.

Por lo tanto, si tal respuesta se compara con los resultados obtenidos en la investigación de 2018, nos damos cuenta de que la percepción ha cambiado, pues del 28,57 % que en ese momento coincidieron en que sí representaba un nivel de desarrollo diferente usar determinados materiales, para ese año, el mismo porcentaje bajó; así, cabe entender que materiales que no son producto de la industrialización, como la tierra, han ido ganando campo en el sector constructivo.
El cálculo de los puntajes relacionados en las figuras 9, 10 y 11 sigue el escalonamiento tipo Likert, donde se obtiene la puntuación sumando los valores alcanzados en cada enunciado o cada pregunta, lo cual hace que sea una escala aditiva (Hernández et al., 2010).

De igual forma, para el porcentaje de encuestados que respondieron afirmativamente se pidió que calificaran unos materiales según consideraran el nivel de desarrollo socioeconómico que representaba su utilización. La figura 9 describe los resultados obtenidos. En 2018, la puntuación más alta la obtuvo el concreto, pero para 2022, la percepción ha cambiado, y el BTC se sitúa con la mayor puntuación, lo cual bien puede llevar a inferir que el desarrollo podríamos medirlo o considerarlo desde la implementación de materiales que aporten y favorezcan la preservación de los recursos naturales, y que el material producto de la industrialización no necesariamente es el que representa desarrollo. Es posible, entonces, concebir este aspecto desde la forma como se implementa el material, y no desde su composición.
La figura 10 presenta la comparación de la percepción de los encuestados frente a los materiales en diferentes aspectos en 2018. Las barras se muestran en el mismo orden en el que las preguntas fueron dirigidas en la encuesta, por lo cual exponen los puntajes de izquierda a derecha con respecto al menor impacto ambiental, la disponibilidad del material, el menor costo de construcción, la apariencia para generar mayor confort, la resistencia ante sismos y la preferencia. Para la figura 10 el sistema de calificación permite un máximo de 70 puntos.

Los resultados de calificación indican que, en términos de un menor impacto ambiental, la tierra es calificada como el mejor material, con 50 puntos, seguida del concreto, con 44, y el ladrillo cocido, con 37. A pesar del puntaje obtenido por la tierra, la diferencia de puntajes con los otros materiales no es tan representativa. En cuanto a la disponibilidad, se posiciona el concreto con el puntaje mayor (60 puntos), seguido por el ladrillo (58) y finalizando con la tierra (46), de lo cual podría inferirse que las empresas constructoras no ven en el suelo proveniente de excavaciones y nivelaciones una materia prima de gran disponibilidad en sus obras. Sin embargo, en el aspecto de menor costo de producción la tierra se vuelve a ver favorecida, con 50 puntos, por sobre el ladrillo cocido (48) y el concreto (40).
Considerando la capacidad de conformar espacios más agradables para quien habrá de habitarlos, los resultados indican que el concreto y el ladrillo cocido tienen la misma puntación (52), por sobre la tierra (50). Este aspecto presenta unos valores muy aproximados de lo que podría inferirse: los encuestados consideran que los tres materiales tienen una capacidad similar a la hora de formar espacios confortables. Para el aspecto de la resistencia, el concreto obtiene el máximo puntaje (70), seguido del ladrillo cocido (43) y la tierra (38), lo cual demuestra que aún existe una marcada tendencia a ver la tierra como un material que no tiene la capacidad necesaria para que las construcciones desarrolladas con ese material sean resistentes ante sismos.
Con la intención de relacionar los puntajes obtenidos en el aspecto de preferencia y lograr una mayor comprensión de los resultados, se calculó el valor promedio para todos los aspectos. Los resultados indican que el valor más alto es para el concreto, con 53,7; el ladrillo cocido tiene un valor < 48,2, y la tierra, el menor promedio, con 47,2, todo lo cual es acorde al orden de los puntajes para el aspecto de preferencia: 56, 51 y 49 puntos, respectivamente, lo cual muestra una diferencia no tan significativa, pero el concreto sigue liderando, a pesar de que en algunos aspectos se reconoció que la tierra podía tener mayor puntaje.
De igual forma, para identificar si existen diferencias significativas entre las tendencias de aceptación entre el concreto y la tierra, se hizo una prueba de hipótesis para las respuestas obtenidas en este aspecto en la encuesta aplicada.
x7 = Media de la preferencia de las empresas constructoras en la utilización del concreto.
T2 = Media de la preferencia de las empresas constructoras en la utilización de la tierra
sl= Varianza concreto
s|= Varianza tierra
n'= Muestra
n2= Muestra


Prueba de hipótesis para la diferencia de medias

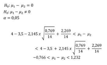
Dado que el intervalo pasa por cero, no hay suficiente razón para rechazar H0
Ahora bien, en 2022, con la intención de evaluar la percepción desde otros aspectos importantes, la figura 11 representa dicha percepción en cuanto a unos enunciados específicos, referentes a la utilización de la tierra como material en el sector constructivo. Para la figura 11 el sistema de calificación permite un máximo de 55 puntos. A efectos de mejor comprensión del gráfico, los enunciados se enumeran del 1 al 7, y de esta forma aparecen en el eje x:

Los resultados de la calificación para los enunciados 1 y 3, con una puntuación de 51, indican que, para los encuestados, construir con tierra puede representar la solución a problemas de cambio climático y, a su vez, obtener edificaciones durables y resistentes en el tiempo, lo que podría significarnos una oportunidad para posicionar a la tierra como un material totalmente capaz de solucionar problemas de habitabilidad en zonas donde el acceso y los recursos son limitados. De igual forma, ante la posibilidad de que se creen normas que respalden este tipo de construcción, los encuestados también demuestran que no es algo para descartar, con una puntuación de 48: aspecto importante, ya que uno de los limitantes para implementar técnicas con tierra es la falta de una normativa que respalde su uso y genere en usuarios y profesionales un mayor aval para su implementación siendo también competitivo con el uso de otros materiales, como el concreto.
Sin embargo, en aspectos como encontrar una mano de obra calificada y con experiencia, y profesionales con formación académica en la construcción con tierra, se identifica en las respuestas una tendencia a que aún falta trabajo. Es desde la formación de los nuevos profesionales donde debe irse abriendo camino y retomarse una cultura constructiva casi olvidada. La puntuación obtenida para cada uno de estos aspectos -encontrar mano de obra calificada en técnicas para la construcción con tierra y si los profesionales afines tienen amplio conocimiento en este tipo de construcción-, respectivamente, fue de 26 y 21 puntos.
Uno de los aspectos nuevos que esta investigación buscó incluir para 2022, como una forma de valorar el patrimonio construido, es la importancia de la restauración y la recuperación de edificaciones en tierra, por lo que la figura 12 muestra los resultados a la pregunta de si en algún momento han tenido la oportunidad de realizar este tipo de restauraciones, y donde solo un bajo porcentaje (18,18 %) ha tenido la experiencia de realizar intervenciones de restauración; entre las mayores dificultades presentadas al momento de hacerlo está la falta de experiencia de los profesionales, para no invertir tiempo y dinero, al igual que su inclinación constante hacia el concreto y la falta de normativas existentes que respalden un proceso adecuado.

A pesar de que la restauración de edificaciones construidas en tierra no es un proceso común entre las empresas constructoras, la implementación del material para construir lo es un poco más; por eso, la figura 13 muestra cómo el 45,5 % de los encuestados en 2022 ha implementado alguna vez en su empresa la tierra en alguno de sus procesos constructivos.

Para 2018, el análisis se hizo desde la frecuencia con la que se implementaba el material en algún proceso constructivo (figura 14), lo cual indicaba que la frecuencia con mayor porcentaje (42,86 %) es pocas veces, seguida de nunca (35,71 %) y casi siempre (21,43 %).

De este modo, como los resultados arrojan que no todas las empresas han utilizado la tierra como material para construir, o que la frecuencia al hacerlo ha sido baja, sí existen algunos momentos en los que es usada; por eso, la figura 15 enseña las técnicas más implementadas.

Conclusiones
Luego de los análisis, es posible determinar que, por parte de las empresas constructoras y los profesionales, la tierra es valorada desde su capacidad para solucionar problemas de cambio climático y habitabilidad; sin embargo, esto no se ve reflejado en su implementación. Es decir, sí existe una aceptación, pero aún falta un gran camino por recorrer en cuanto a una mayor inclusión de este material dentro de proyectos de construcción como alternativa de primer nivel.
De acuerdo con la prueba de hipótesis realizada para el análisis estadístico de los datos obtenidos de la encuesta, en cuanto a la preferencia que existe en el uso del concreto o el suelo residual para la construcción por parte de las empresas constructoras, es posible afirmar, con una confianza del 95 %, que no hay diferencias significativas entre las tendencias a escoger por parte de los constructores entre concreto y suelo residual, y ello representaría un avance significativo en cuanto a la aceptación de este último material.
Las universidades que en sus grupos de investigación cuentan con publicaciones sobre el tema de la tierra como material las tienen porque desde sus pregrados existe la intención de formar profesionales con criterios en el manejo de construcciones en tierra, y porque, adicionalmente, promuevan la investigación y el desarrollo tecnológico para generar conocimientos sistemáticos que den paso al posicionamiento de la tierra como un material confiable.
Las empresas más nuevas, formadas por los nuevos profesionales, fueron las que más mostraron afinidad con el tema de la construcción con tierra, lo cual evidencia que estos pequeños avances percibidos en la academia sí han llegado a incidir sobre ellos. Adicionalmente, se encontró que en el lapso de los cuatro años entre los dos periodos de investigación, dos empresas más se unieron a apostarle a la sostenibilidad desde su quehacer diario impulsando la utilización de la tierra y sus técnicas constructivas.
Es importante reconocer que, a pesar de que existen empresas constructoras que no se dedican a la construcción con tierra, sí reutilizan el material en diferentes procesos; es decir, el material pierde su connotación de desecho y desperdicio y adquiere valor, lo cual se ve reflejado no solo en ganancias económicas para la obra o el proyecto -debido al ahorro de la disposición o la botada de la tierra-, sino también, ganancias ambientales en cuanto a su compromiso en el tema, tomando en cuenta el ciclo de vida del material.
Contar en la ciudad de Medellín con antiguas construcciones en tierra que aún se conservan con el paso de los años implica que los conocimientos en este tipo de construcción se centren no solo en la conservación y la rehabilitación de lo ya construido, sino también -y tal vez, muy importante-, en el desarrollo de nuevos proyectos en tierra que, si bien en el presente son la imagen de un edificio o de una casa factible (técnica, económica y ambientalmente), también son un potencial patrimonio futuro. Ni la arquitectura, ni la ingeniería ni la construcción resolverán, entonces, la necesidad apremiante e inmediata del abrigo, sino que estarán trazando y materializando la oportunidad de que, con el transcurrir de los años, la belleza y la funcionalidad permanezcan fuertemente unidas; por eso, se habla de patrimonio futuro como un compromiso sublime de los profesionales de hoy.
Referencias
Arenas, F. J. (2008). Los materiales de construcción y el medio ambiente. Medio ambiente y derecho. Revista Electrónica de Derecho Ambiental, 17. https://onx.la/bb4d0.
Avendaño, G., Rueda, G., & Velasco, B. (2021). Construcción sostenible en Colombia. Análisis a partir del proyecto de Ley número 208/2019 Cámara. Revista de Ciencias Sociales, 27(4), 571-583. https://www.scielo.cl/scielo.php?scrip-t=sci_arttext&pid = S0718-50062021000300095&lng = en&nrm = iso&tlng = en#:~:text=http%3A//dx.doi.org/10.4067/ S0718%2D50062021000300095.
Bedoya, C. (2015). Del residuo al material. Minería a la inversa. Ed. Diké. https://doi.org/10.14718/RevArq.2018.20.L1193.
Bedoya-Montoya, C. M. (2018). Construcción de vivienda sostenible con bloques de suelo cemento del residuo al material. Revista de Arquitectura (Bogotá), 20(1), 62-70. https://onx.la/8c45b.
Cabrera, S., González, A., & Rotondaro, R. (2020). Resistencia a compresión en bloques de tierra comprimida. Comparación entre diferentes métodos de ensayo. Informes de la Construcción, 72(560), e360. https://doi.org/10.3989/ic.70462.
Cao, L. (2020, 15 de febrero). El futuro de lo antiguo: Cómo se están actualizando las técnicas constructivas tradicionales [The Future of the Old: How Ancient Construction Techniques are Being Updated]. ArchDaily Colombia (Trad. Franco, José Tomás). https://www.archdaily.co/co/933035/el-futuro-de-lo-antiguo-como-se-estan-actualizando-las-tecnicas-constructivas-tradicionales.
Gallego Jorreto, M. (2018). Sobre la enseñanza de la arquitectura. P+C, proyecto y ciudad. Revista de Temas de Arquitectura, 9, 121-130. http://hdl.handle.net/10317/7195.
Gómez-Patrocinio, F. J., García-Soriano, L., Vegas, F., & Mileto, C. (2021). Técnicas y características de los muros mixtos de tierra y madera. El caso de España. Informes de la Construcción, 73(561), e372. https://doi.org/10.3989/ic.73876.
González, L. (2008). Artesanos y maestros en la arquitectura de Medellín y Antioquia 1775-1932. Universidad Nacional de Colombia.
González, L. (2011). Del alarife al arquitecto. El saber hacer y pensar la arquitectura en Colombia, 1847-1936. Universidad Nacional de Colombia.
Guibbert, J. (1987). Tecnologías urbanas socialmente apropiadas, experiencias colombianas: Vol. 1. Red colombiana de tecnología apropiada. ENDA. https://www.academia.edu/36293981/Proyecto_Tecnologias_apropiadas_de_Construccion_Saneamiento_Basico_y_Energias_Alternativas.
Hernández Moreno, S. (2017). La sustentabilidad en la enseñanza de la arquitectura en México. La Colmena, (59), 133-135. https://lacolmena.uaemex.mx/article/view/5989.
Hernández, R., Fernández, C., & Baptista, M., (2010). Metodología de la investigación. Quinta edición. McGRAW-HILL.
López, P. C., Ruiz, D., Jerez, S., Aguilar, S., Torres, J. F., & Alvarado, Y. A. (2020). Comportamiento sísmico de edificaciones de tapia pisada reforzadas con marcos de madera y viga de coronación en concreto. Informes de la Construcción, 72(559), e347. https://doi. org/10.3989/ic.70914.
Núñez Coronel, D. (2019). Medellín, una ciudad transformada por su gestión. Análisis de la gestión de su Centro Histórico (1990-2015). Devenir - Revista de Estudios sobre Patrimonio Edificado, 6(11), 69-86. https://doi.org/10.21754/devenir.v6i11.634.
Peña Rodríguez, M. L. (2008). El Programa CINVA y la acción comunal. Bitácora Urbano Territorial, 12(1), 185-192. https://revistas.unal.edu.co/index.php/bitacora/article/view/18621.
Rivero Bolaños, S. (2007). El uso masivo de la tierra como material de construcción en Colombia. Apuntes: Revista de Estudios sobre Patrimonio Cultural, 20(2). https://revistas.javeriana.edu.co/index.php/revApuntesArq/article/view/8990.
Tripura, D. D., & Singh, K. D. (2018). Mechanical behaviour of rammed earth column: A comparison between unreinforced, steel and bamboo reinforced columns. Materiales de Construcción, 68(332), e174. https://doi.org/10.3989/mc.2018.11517.
Notas