Artículos
Impacto de las propiedades superficiales de una cubierta sobre el desempeño térmico interior. Análisis descriptivo sobre un local comercial de gran superficie en tres ciudades colombianas
Effect of roof surface characteristics on interior thermal performance
Impacto de las propiedades superficiales de una cubierta sobre el desempeño térmico interior. Análisis descriptivo sobre un local comercial de gran superficie en tres ciudades colombianas
Revista de Arquitectura (Bogotá), vol. 26, núm. 1, pp. 165-180, 2024
Universidad Católica de Colombia, Facultad de Diseño y Centro de Investigaciones (CIFAR)
Recepción: 24 Septiembre 2020
Recibido del documento revisado: 03 Febrero 2021
Aprobación: 02 Agosto 2023
RESUMEN: Las propiedades superficiales de la envolvente arquitectónica son importantes a la hora de definir las estrategias del enfriamiento pasivo y del desempeño térmico en ambientes interiores. Para identificar su impacto, se investigaron metodologías que permitieran medir el desempeño térmico de las envolventes arquitectónicas en la región tropical. La transmitancia y la resistencia térmica de los materiales empleados son los parámetros más comunes para evaluar el desempeño térmico de estas; asimismo, son indicadores recomendados por la normatividad vigente en Colombia para mejorar dicho desempeño en el diseño de edificaciones con alta eficiencia energética. Sin embargo, propiedades superficiales como la emitancia(e) y la absortancia (a) de las envolventes expuestas a diversos factores climáticos han adquirido relevancia en la evaluación del desempeño térmico interior por su impacto en la temperatura de la superficie interna de la cubierta y, por consiguiente, en la temperatura media radiante al interior del edificio. Se hallaron métodos que se pueden aplicar en la evaluación del desempeño térmico sobre un modelo hipotético, parametrizando propiedades superficiales en cuatro tipos de cubierta. Los indicadores empleados, bajo la metodología del índice de desempeño térmico (TPI) y el análisis de grados/ hora (°C/h) se implementaron en tres zonas climáticas de Colombia para simular el desempeño térmico. Los resultados se exponen en tablas y gráficos de dispersión que comparan, entre varias ciudades, la temperatura superficial de cubiertas con emitancia (e) 0.3 y (e) 0.9 en varios niveles de absortancia (a). Se observa que la asignación de valores a estas propiedades, en la incorporación de estrategias de enfriamiento pasivo, no debería generalizarse en un contexto que se caracteriza por su diversidad climática, como lo es el de nuestra región.
Palabras Clave: Arquitectura bioclimática, confort, cubierta, material de construcción, temperatura.
ABSTRACT: Knowledge of surface properties of the architectural envelope are very important to define passive cooling strategies and thermal performance in indoor environments. To identify their impact, methodologies to measure the thermal performance of architectural envelopes in the tropical region were investigated. The transmittance and thermal resistance of the materials used are the most common parameters to evaluate the thermal performance of these. They are also indicators recommended by the current regulations in Colombia to achieve good thermal performance in the design of buildings with high energy efficiency. However, surface properties such as emittance (e) and absorptance (a) of the envelopes exposed to various climatic factors have become relevant in the evaluation of the interior thermal performance due to their impact on the temperature of the internal surface of the envelope and, consequently, on the average radiant temperature inside the building. Methods were found that can be applied in the evaluation of thermal performance on a hypothetical model, parameterizing surface properties in four types of roofs. The indicators used under the thermal performance index (TPI) methodology and the analysis of degrees/hour (°C/h) were implemented in three climatic zones of Colombia to simulate thermal performance. The results are presented in tables and scatter plots comparing, among several cities, the surface temperature of roofs with emittance (e) 0.3 and (e) 0.9 at various levels of absortance (a). It is observed that the assignment of values to these properties, in the incorporation of passive cooling strategies, should not be generalized in a context that is characterized by its climatic diversity, as is that of our region.
Keywords: BSioclimatic architecture, comfort, construction material, roof temperature.
INTRODUCCIÓN
El presente es un artículo de investigación científica y tecnológica derivado de la investigación Impacto de las propiedades superficiales de la cubierta en el desempeño térmico y demanda energética para el confort térmico en locales comerciales de gran superficie, que se desarrolló entre agosto de 2019 y julio de 2020 y fue presentada en la Universidad de San Buenaventura, sede Medellín, para optar al título de magíster en Bioclimática.
Su objetivo es identificar el impacto de las propiedades superficiales emitancia (ε) y absortancia (α) de la cubierta en el desempeño térmico, el confort térmico y la demanda energética. Todo esto en el marco de la climatización de un local comercial de gran superficie con presencia en tres ciudades del territorio colombiano: Bogotá, Medellín y Barranquilla. Para desarrollar el plan trazado se evalúa el comportamiento de las temperaturas superficiales en cubiertas con emitancias (ε) de 0.3 y (ε) 0.9, y diferentes niveles de absortancia (α) en un local con ventilación natural. Con esta información se analizan el desempeño térmico y la demanda energética del local a partir de varios tipos de cubierta, mediante el índice de desempeño térmico (TPI, por sus siglas en inglés) y el análisis de grados/hora (°C/h). Por último, se establece la relación entre el desempeño térmico y la demanda energética para la climatización del local comercial, según el rango de confort adaptativo que se establece en cada ciudad. Así, en este artículo solo se abordan la evaluación del comportamiento de las temperaturas superficiales y el examen del desempeño térmico.
La idea de comparar el manejo de dichas propiedades, como estrategia pasiva, se deriva de lo expresado por Kabre (2010): el peor caso de desempeño térmico se presenta bajo las propiedades de una cubierta en acero galvanizado (AG) de poco espesor y, por lo general, en formatos de ¼".Así, se desarrolla un análisis comparativo de los resultados que se obtuvieron sobre un modelo hipotético, a través de simulaciones computacionales en las que fueron parametrizadas las propiedades superficiales de la cubierta empleando el software Design Builder.
El escenario científico de las últimas dos décadas evidencia primordialmente una línea conducente al mejoramiento de las propiedades para los materiales empleados en espacios urbanos (Muscio, 2018; Synnefa, Santamouris, & Livada, 2006; Synnefa, Santa-mouris, & Apostolakis, 2007b) y envolvente de edificaciones (Arumugam et al., 2015; Brito Filho & Santos, 2014; Fang et al., 2019; Huang & Ruan, 2017; Roriz, Dornelles, & Roriz, 2007; Roriz, 2011; Sameera et al., 2019; Synnefa, Santamouris, & Akbari, 2007a; Vall & Castell, 2017; Zhai et al., 2017), y otra que aborda el impacto de la estrategia en el desempeño térmico y en la demanda energética para la climatización de ambientes interiores (Brito Filho & Santos, 2014; Hu & Yu, 2019). En esta última se enmarcó la presente investigación.

Para definir los criterios de evaluación del desempeño térmico de los ambientes interiores en ambas tendencias, fueron claves el contexto climático y la teoría del confort adaptativo. Esta última sugiere que las expectativas de una persona, para sentirse cómoda con la temperatura interior de una edificación, se moverán en dirección al promedio de las condiciones que ha experimentado en su día a día, tanto en espacios exteriores como interiores (De Dear et al., 1997; De Dear & Brager, 2002).
En la línea que busca mejorar las propiedades de los materiales, el enfriamiento radiativo (en inglés, radiative cooling) es una alternativa que mitiga el impacto del flujo de calor a través de los mismos. Consiste en emplear la pérdida de calor mediante la emisión de radiación de onda larga a otro cuerpo más frío, a través de las propiedades termo físicas y superficiales de un material. Cuando este material se enfrenta a una superficie más fría, como el cielo, logra enfriarse por el balance térmico que ocurre entre la radiación solar que absorbe, según su reflectancia (p), y la que puede emitir, según su emitancia (ε); además, se tienen en cuenta los fenómenos de conducción y convección entre sí y el aire que la rodea (Vall. & Castell, 2017).
Mediante el desarrollo de materiales fríos (conocidos en inglés como cool roofs), que se caracterizan por tener una superficie envolvente muy eficiente para reflejar la radiación en el espectro solar y para liberar el calor que acumulan las construcciones, una superficie de cubierta puede permanecer menos caliente bajo la exposición solar que una superficie similar con valores inferiores en reflectancia (p) y emitancia (ε). Esta alternativa puede reducir la intensidad del flujo de calor a través de la cubierta, lo que disminuye la cantidad de calor transferida al ambiente interior por convección y radiación. Esto tiene como resultado un menor impacto en la temperatura media radiante interior, de modo que se alcanza un menor estrés térmico y se consigue un comportamiento menos disímil entre la temperatura del aire interior y exterior (Levinson et al., 2005), mejorando así el desempeño térmico.
La transmitancia y la resistencia térmica de los materiales empleados en la cubierta son los parámetros más conocidos para evaluar el desempeño térmico de la misma. Aun así, en varias investigaciones (Barrios et al., 2012) se cuestiona su pertinencia, ya que permiten evaluar el desempeño térmico en condiciones estacionarias sin tener en cuenta factores como las propiedades superficiales de los materiales empleados o la amplitud de la oscilación en el comportamiento de la temperatura exterior, la cual incide notoriamente en el flujo de calor a través de la cubierta. No obstante, en nuestro país estos parámetros son recomendados para alcanzar óptimos desempeños térmicos en el diseño de edificaciones con eficiencia energética (Minvivienda, 2015).
Sin embargo, índices como el TPI ya han sido propuestos para estimar el desempeño térmico de cubiertas (Barrios et al., 2012; Kabre, 2010) y constituyen un referente de evaluación para este estudio. El TPI toma como indicadores la temperatura del aire interior y la temperatura de la cara interna de la cubierta, lo que confirma la importancia predominante de la cubierta y de sus propiedades superficiales en el análisis del desempeño térmico interior. La evaluación de la cubierta expuesta a los factores climáticos de las ciudades en cuestión se logró monitoreando la temperatura en la superficie interior de la cubierta, así como la temperatura media radiante al interior del ambiente construido. En ambos casos se establecieron los límites aceptables en la oscilación de ambos indicadores para el confort térmico en el ambiente interior de cada clima. De esta forma, al monitorear el incremento de temperatura de la superficie interna de la cubierta sobre la temperatura media interior del ambiente construido, se establecen los límites aceptables del incremento de la una sobre la otra. La Figura 2 ilustra el concepto de este índice.

Los resultados mostraron que la categorización del desempeño térmico de un mismo sistema de cubierta varía según las características del clima en que se evalúe y la definición de la temperatura de confort en el lugar en que se localice.
TPI e indicadores de impacto
En este índice se consideran los siguientes indicadores:
Con los que se construyen los indicadores:
Diferencia admisible de la temperatura de la cara interna de la cubierta sobre la temperatura interior.
Elevación máxima admisible de la temperatura de la cara interna de la cubierta sobre la temperatura interior.
A continuación, se exponen estos indicadores.
1. Temperatura sol-aire (tsa): temperatura exterior que ocasiona el mismo promedio de flujo de calor y la misma temperatura distribuida a través del material en la superficie, como resultado de la temperatura exterior y del intercambio de radiación entre la superficie y su entorno (Rao, K. R., & Ballantyne, E. R. 1970). Se calcula mediante la siguiente ecuación (Kabre, 2010):

Donde:
tsa = temperatura sol-aire (°C)
toa =temperatura del aire exterior (°C)
ƒo = conductancia de la cara externa (W/m2 K)
Ig = radiación solar incidente (W/m2)
α = absortancia
ε = emisividad
∆I1 = radiación de onda larga que se intercambia entre un cuerpo negro a temperatura ambiente y el ambiente a su alrededor (W/m2)
2. Temperatura en la cara interna de la cubierta (tc): cantidad de calor en la cara interna de un sistema de cubierta que resulta del flujo de calor ocasionado por su exposición a la radiación solar. Se puede calcular con la ecuación 2 (Kabre, 2010):

Donde:
tc = temperatura de la cara interna de la cubierta (°C)
ta¡= temperatura interior del ambiente (°C)
U= transmisividad del material (W/m2 K)
Rs¡ = resistencia térmica superficial de la cara interna de la cubierta (m2 K/W)
tsa = promedio de la temperatura sol-aire en un rango de tiempo según el estudio (°C)
H = factor de decremento
tsa(9-0) = temperatura sol-aire horas antes según el desfase térmico (°C)
3. Temperatura media radiante (tmrt) y factor de forma (Fc): se define como la temperatura uniforme de un recinto negro imaginario en el que un ocupante intercambiaría la misma cantidad de calor por radiación, como en el ambiente no uniforme real (ANSI/ ASHRAE, 2010).
El factor de forma (Fc) define tomar, en lugar de la temperatura del globo, la temperatura superficial de la cara interna de la cubierta, afectándola por el ángulo sólido del recinto (Fc = medida del tamaño aparente de la cubierta desde el centro del recinto) y adicionándole la temperatura interior. La ecuación 3 describe este cálculo (Kabre, 2010):

Donde:
Tmn= temperatura media radiante (°C)
Tc = temperatura superficial de la cara interna de la cubierta (°C)
Fc= factor de forma (ángulo sólido)
Ta¡ = temperatura de aire interior (°C)
4. Temperatura ambiente (tenv): es un indicador de la temperatura interna de un recinto que incorpora el efecto de la temperatura media radiante y de la transferencia de calor por convección. Este indicador fue sugerido en 1968 por el Building Research Station (Loudon, 1968) y en 1979 adoptado en Londres por The Chartered Institution of Building Services Engineers (CIBSE) en sus documentos orientadores sobre criterios de diseño y métodos de cálculo para para la evaluación del confort térmico y la demanda de energía en edificaciones (Kabre, 2010).
Establece que, de la misma forma en que en el modelo de confort adaptativo se toma la temperatura media del mes como referencia en el cálculo de la temperatura neutral (ANSI/ASHRAE, 2010), para asegurar confort en el cálculo de la temperatura ambiente, esta debe basarse en la temperatura neutral como promedio. El cálculo se describe en la ecuación 4 (Kabre, 2010):

Donde:
tenv= temperatura ambiental
tmnt= temperatura media radiante
tm= temperatura promedio del aire interior
5. Temperatura media radiante admisible (tmrt): corresponde al incremento ocasionado por el flujo de calor en la cubierta y está definida por la ecuación 5 conocida con el nombre de nueva temperatura media radiante permitida (Kabre, 2010):

Donde:
t.mrt = temperatura media radiante admisible
tenv = temperatura ambiental
tm = temperatura promedio del aire interior
6. Temperatura admisible en la cara interna de la cubierta (t cmín ): Como el flujo de calor en la cubierta afecta la t al interior del recinto, este indicador se debe mantener por debajo del valor que se obtiene mediante la siguiente ecuación (Kabre, 2010):

Donde:
Tmn= temperatura media radiante (°C)
Tc = temperatura superficial de la cara interna de la cubierta (°C)
Fc = factor de forma (ángulo sólido)
Tm = temperatura media exterior (°C)
Con estos índices puede evaluarse el desempeño térmico y la demanda energética con el fin de proveer el confort térmico de un recinto mediante los siguientes indicadores:
A. Diferencia admisible de la temperatura de la cara interna de la cubierta sobre la temperatura interior (Atcmín)
La siguiente ecuación describe esta diferencia (Kabre, 2010):

Donde:
A-cmm = diferencia aceptable de la temperatura de la cara interna de la cubierta sobre la temperatura interior (°C)
tCm¡n = temperatura aceptable en la cara interna de la cubierta (°C)
tm = temperatura media exterior (°C)
B. Elevación máxima admisible de la temperatura de la cara interna de la cubierta sobre la temperatura interior (Atcmax)
De igual manera, la diferencia de temperatura entre la máxima elevación de la cara interna de la cubierta y la temperatura interior es otro indicador para evaluar el desempeño de una cubierta. Se obtiene mediante la ecuación 8 (Kabre, 2010):

Donde:
AtCmax= elevación máxima aceptable de la temperatura de la cara interna de la cubierta sobre la temperatura interior (°C)
tCmax = temperatura máxima en la cara interna de la cubierta (°C)
tm = temperatura media exterior (°C)
TSamax=temperatura sol-aire máxima (°C)
La diferencia mínima admisible Atcmin y la elevación máxima admisible AtCmax de la cara interna de la cubierta sobre la temperatura interior se pueden definir en el TPI como los límites paramétricos principales para evaluar el desempeño térmico de una cubierta. Para ello se deben considerar las condiciones climáticas y las propiedades térmicas de materiales específicos, en función del confort térmico, mediante la fórmula descrita en la ecuación 9 (Kabre, 2010):

Donde:
TPI= índice de desempeño térmico.
Atcmax = elevación máxima de la temperatura de la cara interna de la cubierta sobre la temperatura interior.
Atc = elevación de la temperatura de la cara interna de la cubierta sobre la temperatura interior.
Atcmin = elevación aceptable de la temperatura de la cara interna de la cubierta sobre la temperatura interior.
Estos indicadores permitieron examinar el impacto de las propiedades superficiales de las cubiertas en el desempeño térmico, el cual influye en el balance energético al momento de garantizar las condiciones propias de confort al interior de los locales comerciales de gran superficie.
METODOLOGÍA
El modelo objeto del estudio elegido corresponde a un local comercial de gran superficie. Esta es una tipología que, por lo general, está conformada por locales en centros comerciales e hipermercados de cadena (López de Lucio, 2006; Silva Guerra, 2011; Vecslir Peri, 2005); en este caso se ha elegido un local de una planta de aproximadamente 900m2. Posee una cubierta a tres alas de baja pendiente (3%) y, al centro, una sobrecubierta curva. Los cerramientos verticales son configurados en mampostería de ladrillo revocado con mortero de arena y cemento por la cara interior, lo que evita la penetración de la radiación solar directa a través de las fachadas (Figura 3).

Así mismo, la altura libre, desde el piso acabado a la cara interna de la cubierta, varía por la curvatura en el centro de la planta, con una altura de 7.70 m al centro de la misma y 6.80 m en el perímetro del local. Una rejilla a modo de ventana permeable, de un metro de altura en los laterales de la cubierta curva, marcó la diferencia de altura entre ambas y permitió la evacuación de aire caliente.
El local está orientado con su cara más larga noroeste-sudeste, como se expone en la Figura 3. Dando así prevalencia a esta frente a la predominancia de origen de los vientos que, según el Atlas de Viento del Instituto de Hidrología Meteorología y Estudios Ambientales (Murcia et al., 2017), presentan un predominio de la dirección noreste para Bogotá y Barranquilla y de la dirección norte en la ciudad de Medellín.
Configuración y parametrización de las propiedades superficiales de la cubierta
Se emplearon cuatro configuraciones constructivas de cubierta, con superficies lisas y planas, en las que se manipularon las propiedades superficiales, el espesor y el porcentaje de translucidez para una iluminación natural (Figura 4).

El local se simuló en las tres ciudades con todas estas configuraciones, en 5 niveles de absortancia (α) para emitancias (ε) 0.3 y 0.9.
Ciudades de aplicación para la evaluación
La investigación se realizó en Bogotá, Medellín y Barranquilla. Ciudades que poseen diferentes tipos de climas y cuyas características se exponen en la Tabla 1.

Software para modelado y simulación
Para modelar el local bajo las condiciones climáticas de Bogotá, Medellín y Barranquilla, se empleó Design Builder. Este software especializado es útil para la simulación ambiental y energética de edificios, ya que permite evaluar aspectos de confort adaptativo y simple, consumos energéticos, emisiones de dióxido de carbono y el comportamiento térmico de la envolvente de las edificaciones para calcular las ganancias de calor a través de los cerramientos y aberturas.
Se configuró la localización según la ciudad de cada modelo a simular, introduciendo la información geográfica y las especificaciones de latitud, longitud y altitud sobre el nivel del mar; así como las características del clima y de la radiación solar global incidente con un cielo completamente despejado, de acuerdo a las opciones que el software permite y en concordancia con la variable All de la ecuación 1. Esta variable hace referencia a la relación entre la emisividad del material y la disponibilidad de la radiación según la condición de visibilidad del cielo en un momento dado. En esta tesis se asignó un valor de 95W/ m2 en cada ciudad.
Los aspectos ambientales que tienen que ver con el uso comercial y la ocupación del edificio se configuraron de la siguiente manera:

Por último, se aplicaron al modelo los materiales constructivos de los cerramientos y las propiedades superficiales de la cubierta. Los materiales se seleccionaron en la pestaña de materiales constructivos del panel de navegación del edificio y sus propiedades se modificaron según su configuración. Los datos fueron consignados en tablas como la que se expone a continuación:

Los valores R y U de las propiedades térmicas de los materiales y los coeficientes de transferencia de calor convectivo y radiativo se tomaron directamente de la base de datos de materiales del software y fueron empleados en el cálculo de los indicadores de desempeño térmico.
En cada ciudad se realizaron cuarenta simulaciones; diez por cada tipo de cubierta bajo efectos de la radiación solar y la temperatura exterior, parametrizando para los valores de emitancia (ε) (0.3 y 0.9) diferentes absortancias (α) (0.1, 0.3, 0.5, 07y 0.9) de la superficie de acabado en la cubierta.
La información obtenida en las simulaciones permitió definir el comportamiento térmico de un local comercial de gran superficie según las condiciones climáticas de cada ciudad. De esta manera, se observaron la temperatura externa e interna de la cubierta durante el horario de operación del local durante un año. Esto permitió evaluar el impacto de las propiedades superficiales sobre la temperatura de la cara externa e interna de la cubierta y sobre la temperatura media radiante del local.
Mediante estas simulaciones, y atendiendo la hipótesis del confort adaptativo, fueron obtenidas la temperatura interior promedio (tm) y la temperatura media radiante (tm) del local en cada ciudad. Esto permitió hallar matemáticamente la temperatura ambiente (tenv) del local, que permite entender la temperatura interior bajo el efecto de la temperatura media radiante y de la transferencia de calor por convección (Loudon, 1968). Posteriormente se estableció, según las condiciones climáticas de cada ciudad, la temperatura media radiante admisible (tmrt ) para el interior del local como el indicador principal para la construcción de los indicadores de la evaluación del desempeño térmico.
De esta manera se pudo continuar el análisis matemático para predecir, mediante los indicadores del TPI, la cantidad de calor radiante que puede llegar a emitir la envolvente analizada, sin impactar de forma negativa las condiciones de confort en el interior del local (Kabre, 2010).
RESULTADOS
Las figuras que se muestran a continuación presentan el resultado del desempeño térmico TPI evaluado para el modelo simulado en cada ciudad.
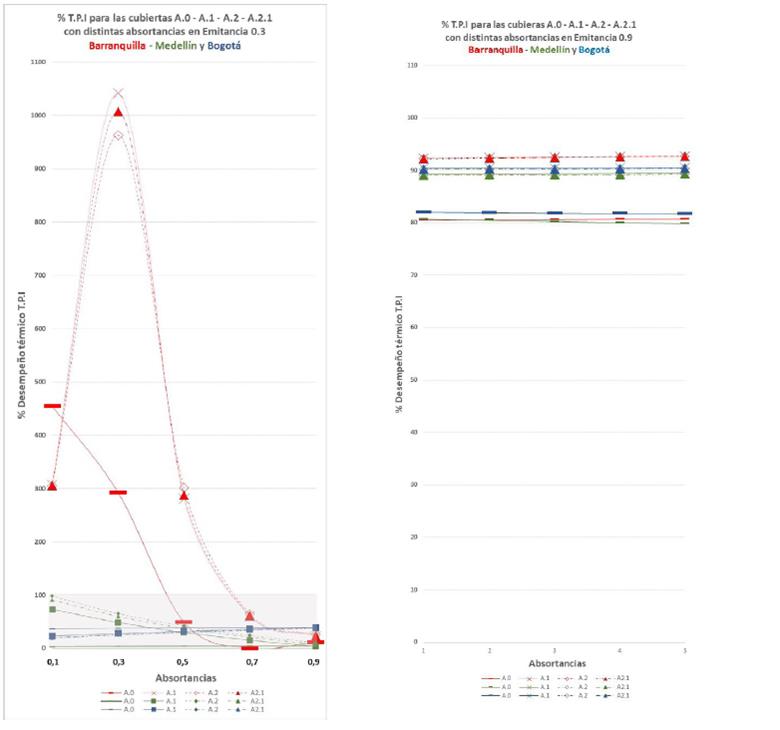
Los marcadores se han diferenciado para indicar el resultado en segmento de línea horizontal para la cubierta A.0 y mediante otras figuras para las cubiertas con aislamiento térmico A.1, A.2 y A.2.1. Las abscisas corresponden a la absortancia (α) y las ordenadas al porcentaje TPI obtenido. El color diferencia los resultados de cada ciudad: azul para Bogotá, verde para Medellín y rojo para Barranquilla.
El estudio evidenció en clima cálido húmedo (Barranquilla, latitud 10°59') que, para cubiertas de baja emitancia (ε) la baja absortancia (α) favorece el comportamiento de cubiertas monocapa de AG con desempeños superiores al 100% hasta absortancias (α) de 0.4. Un desempeño de 49% se logró con absortancia (α) de 0.5 y el nivel de desempeño continúa en decremento con el aumento de la absortancia (α), encontrando el nivel más desfavorable (0.04%) con absortancia (α) de 0.7 (Figura 5).

Por el contrario, para latitudes menores como es el caso de Medellín (latitud 6°15') y Bogotá (latitud 4°35'), el comportamiento de estas cubiertas en AG de bajo espesor mejora levemente con el aumento de la absortancia (α) (Figura 5). Bogotá presenta un mayor rango de desempeño térmico (36.5% a 39%) que Medellín (2.5% a 4.5%), pues la temperatura promedio del aire es más baja en Bogotá, lo que le permite balancear la temperatura con el aumento que representa la absortancia (α) en la temperatura de la cara interna de la cubierta.
En este estudio se observa que, en Medellín, el comportamiento de las cubiertas de baja emitancia (ε) con aislante térmico sigue la lógica del comportamiento que presentan en Barranquilla; es decir, su desempeño disminuye con el aumento de la absortancia (α), aunque para Medellín esto sucede con una pendiente menos pronunciada. En esta ciudad también se observó que el desempeño térmico del local se vio favorecido con la incorporación de franjas de translucidez para la iluminación natural en la cubierta, en un porcentaje no mayor al 10% de su área, lo que puede entenderse como una vía de disipación de la radiación de onda larga emitida por las superficies interiores del local, gracias al porcentaje de translucidez incorporado. En Barranquilla esta estrategia fue negativa para el desempeño térmico del local, lo que puede entenderse porque allí la radiación solar es mayor e incrementa la ganancia térmica solar por radiación directa en el interior del local.
Otro hallazgo interesante es que el desempeño térmico de las cubiertas en AG con aislamiento térmico en Bogotá siempre fue inferior al de una cubierta en AG monocapa; ambos casos tienden a mejorar con la absortancia (α), equivalentes cuando presentan 100% de opacidad y alta absortancia (α) (0.9).
En la Figura 6 se presenta la comparación de los resultados con emitancia (ε) en 0.3 a la izquierda y emitancia (ε) en 0.9 a la derecha. Se observa que, a diferencia del desempeño térmico dependiente de la absortancia (α) que presentan las cubiertas con emitancia (ε) en 0.3, las cubiertas con emitancia (ε) en 0.9 presentan una característica de homogeneidad en el comportamiento de su desempeño en todos los distintos niveles de absortancia (α), así como de su espesor (incluido aislamiento) e incorporación de translucidez entre 1% y 20% de su área. Bajo este nivel de emitancia (ε), se observó que las cubiertas monocapa fueron las que permitieron los niveles de desempeño térmico más bajos, presentando mejor comportamiento para climas fríos que para climas cálidos. En oposición, las cubiertas en alta emitancia (ε), se observó que las cubiertas monocapa fueron las que permitieron), con aislamiento térmico y alta absortancia (α) permitieron desempeños térmicos más altos en climas como el de Barranquilla.

En cualquiera de las ciudades estudiadas, la emitancia (ε), se observó que las cubiertas monocapa fueron las que permitieron) en 0.9 para la cubierta de un local comercial como el simulado aquí mejora entre un 80% y un 82% el rango de desempeño térmico de cubiertas monocapa, en comparación con una cubierta en AG monocapa en acero galvanizado (AG) de poco espesor, referente con el peor desempeño térmico (Kabre, 2010). Así mismo, las cubiertas con aislamiento térmico lo hacen entre un 89% y un 92,7% en comparación con la misma tipología de cubierta mencionada.
DISCUSIÓN
Una vez analizados los resultados de esta investigación, se puede afirmar que la prescripción de las propiedades superficiales de un material para implementar la estrategia del enfriamiento radiactivo (Levinson et al., 2005) no debe asumirse de manera generalizada, ya que este comportamiento varía según los distintos contextos climáticos.
El estudio evidenció que en Barranquilla las cubiertas de baja emitancia (ε), se observó que las cubiertas monocapa fueron las que permitieron) presentan desempeños térmicos óptimos si la absortancia (α) no es mayor que 0.4 en cubiertas monocapa o que 0.5 si se trata de cubiertas con aislamiento. En un clima frío como el de Bogotá, se presentan mejores desempeños térmicos a baja emitancia (ε), se observó que las cubiertas monocapa fueron las que permitieron) en una cubierta monocapa en AG que con incorporación de material aislante. Esto revela que las condiciones climáticas y la emitancia (ε), se observó que las cubiertas monocapa fueron las que permitieron) son relevantes a la hora de elegir si se requiere o no aislamiento térmico para la cubierta de un local.
La valoración anterior coincide con las fuentes consultadas. En ellas se plantea que la emitancia (ε), se observó que las cubiertas monocapa fueron las que permitieron) y la reflectancia (ya se mencionó que aquí se toma su valor inverso, que es la absortancia), indicadores que combinados conforman el índice de reflectancia solar o SRI por sus siglas en inglés, podrían ser en su prescripción más adecuados para valorar el comportamiento térmico y el impacto de las superficies horizontales en la transferencia de calor radiactivo y convectivo hacia el exterior, como sucede en la valoración de desempeño térmico a escala urbana (ejemplo, efecto isla de calor) que hacia el ambiente interior (Alchapar et al., 2012; Alchapar & Correa, 2013; Alchapar & Correa, 2015; Alchapar et al., 2018; Alchapar & Correa, 2020; Radhi et al., 2017; Santamouris, Synnefa & Karlessi, 2011; Santamouris, 2014; Yang et al., 2018), pues no parecen considerar aspectos dinámicos debajo de la superficie expuesta a la radiación solar, como la inercia térmica de los materiales aislantes, el coeficiente convectivo del aire bajo la superficie en el ambiente interior ni la temperatura media radiante en el mismo.
Se tuvo, además, coincidencia con otras fuentes (Shi et al., 2019; Alchapar & Correa, 2013; 2015) al considerar que el aumento de la absortancia (α), producto del envejecimiento y desgaste de la superficie expuesta a la radiación solar, incrementaba la temperatura superficial de la cubierta y, por consiguiente, impactaba en la reducción del potencial de ahorro en la demanda energética. Tal como se pudo observar en esta investigación gracias a la relación directa entre los resultados de las temperaturas superficiales de la cubierta y las evaluaciones de desempeño térmico en su dependencia con los valores de absortancia (α).
Por último, considerando referentes de evaluaciones de desempeño térmico más contextualizadas con nuestro territorio, se coincide con los resultados de la investigación de TPI propuesto para regiones de clima húmedo tropical (Kabre, 2010), cuya evaluación más desfavorable (0.04%) para el desempeño térmico fue el de una cubierta AG con propiedades superficiales de absortancia (α) en 0.7, como se aprecia en la Figura 6. para el local evaluado en Barranquilla. Esto confirma una coherencia en el modelo planteado para la evaluación de desempeño térmico propuesto en esta investigación y para la pertinencia de su aplicación en nuestro territorio.
CONCLUSIONES
La caracterización del sistema constructivo para la envolvente arquitectónica condiciona la respuesta térmica de la misma. Contrario a la prescripción de los materiales fríos en los que un material categóricamente frío se formula con la presencia de alta emitancia (ε), se observó que las cubiertas monocapa fueron las que permitieron) y baja absortancia (α) (Levinson et al., 2005), para un régimen climático cálido húmedo como el de Barranquilla la incorporación de una capa de aislamiento térmico en poliestireno extruido (XPS por sus siglas en inglés) de 50mm, invierte la relación entre la emitancia (ε), se observó que las cubiertas monocapa fueron las que permitieron) y el desempeño térmico, presentando mejor respuesta a las condiciones climáticas exteriores formulando baja emitancia (ε), se observó que las cubiertas monocapa fueron las que permitieron) y baja absortancia (α).
Los resultados obtenidos permiten afirmar que en un clima cálido y húmedo como el de Barranquilla, el peor desempeño térmico de un local comercial de gran superficie, ventilado naturalmente, ocurre cuando su cubierta es de poca pendiente, bajo espesor y presenta valores bajos de emitancia (ε) (0.3) y alta absortancia (α) (0.7 en adelante). El incremento en la emitancia (ε) a valores superiores a 0.9 cambia drásticamente el desempeño térmico evaluado para un local similar en las mismas condiciones, lo que en apariencia elimina el impacto de la absortancia (α) al homogeneizar los valores de desempeño a lo largo de todo el rango de valores de la misma, ubicándolo alrededor del 92% para cubiertas con aislamiento térmico y del 80% para cubiertas monocapa.
En un clima frío como el de Bogotá, el análisis para un local con características similares y cubierta monocapa con valores bajos de emitancia (ε) (0.3) y alta absortancia (α) (0.7 en adelante), arrojó un desempeño térmico que oscila entre 36% y 39% a medida que se incrementa la absortancia (α). Este desempeño es similar al desempeño admisible por una cubierta a la que se le incorporó un aislamiento térmico de XPS de 50mm con baja emitancia (ε) y absortancia (α) (0.9), lo que revela un impacto más débil de la absortancia (α) para cubiertas sin aislamiento térmico, así como una fuerte relación directa entre absortancia (α) y desempeño térmico en cubiertas con aislamiento. Esto indica que en nuestro contexto no es conveniente la incorporación de aislamientos térmicos en cubiertas para edificios ventilados naturalmente, cuando se pueda conservar un valor inicial de absortancia (α) muy alto.
En el clima templado de Medellín, la evaluación de desempeño térmico para cubiertas con aislamiento térmico en baja emitancia (ε) presenta una relación inversa con la absortancia (α), con muy buenos desempeños térmicos a bajos valores de esta (entre 73% y 98% para absortancia (α) de 0.1) y en decremento a medida que se incrementa. Se observó un bajo desempeño térmico en los edificios ventilados naturalmente cuando presentan cubiertas monocapa de baja emitancia (ε), oscilando entre el 2% y el 5% a lo largo del rango de absortancias. Sin embargo, en la condición de alta emitancia (ε), su desempeño se nivela con los registrados para las demás ciudades, ubicándose alrededor del 80% para cubiertas monocapa y del 90% para las cubiertas que incorporan aislamiento térmico.
Futuras líneas de investigación podrían enfocarse en la evaluación de los valores de las propiedades superficiales de materiales de uso común en nuestro contexto. Para ello se recomienda el uso de diferentes métodos aprobados por la comunidad científica y simulaciones de espacios cuyas envolventes se puedan caracterizar con los resultados obtenidos, de modo que se pueda medir el impacto que sus propiedades ofrecerían para el confort térmico y la demanda energética. Esto permitiría el levantamiento de información pertinente, relevante y confiable, disponible durante la toma de decisiones en la especificación de materiales, o en la formulación de un manual de especificación de materiales y propiedades superficiales de acuerdo con las características de cada zona climática del país.
CONTRIBUCIONES Y AGRADECIMIENTOS
Agradecimientos al profesor Arq. Mg. Alejandro Naranjo Gaviria por haber nutrido con su conocimiento las suposiciones temáticas exploradas en esta investigación y por los referentes sugeridos. Además, expresamos nuestro agradecimiento a la Universidad de San Buenaventura, sede Medellín, por permitir el desarrollo de esta investigación.
referencias
Alchapar, N., Correa, E., & Lesino, G. (2012). Estrategias de enfriamiento pasivo urbano: índice de reflectancia solar y relación costo-beneficio en pinturas para fachadas. Avances en Energías Renovables y Medio Ambiente, 76(10), 67-76. https://ri.conicet.gov.ar/handle/11336/68044.
Alchapar, N., & Correa, E. (2013). Modificación de la reflectancia solar en la envolvente edilicia y su impacto sobre las temperaturas interiores. Avances en Energías Renovables y Medio Ambiente , 77, 29-38. http://sedici.unlp.edu.ar/handle/10915/143718.
Alchapar, N., & Correa, E. (2015). Reflectancia solar de las envolventes opacas de la ciudad y su efecto sobre las temperaturas urbanas. Informes de La Construcción, 67(540). https://doi.org/10.3989/ic.14.131.
Alchapar, N., Correa, E., & Cantón, A. (2018). ¿Techos reflectivos o verdes? Influencia sobre el micro-clima en ciudades de zonas áridas. Mendoza, Argentina. Cuadernos de Vivienda y Urbanismo, 77(22), 1-23. https://doi.org/https://doi.org/10.11144/Javeriana.cvu11-22.trvi.
Alchapar, N., & Correa, E. N. (2020). Optothermal properties of façade coatings. Effects of environmental exposure over solar reflective index. Journal of Building Engineering, 32. https://doi.org/10.1016/j.jobe.2020.101536.
ANSI/ASHRAE. (2013). Condiciones de ambiente térmico para ocupación humana. https://ashrae.iwrapper.com/ASHRAE_PREVIEW_ONLY_STANDARDS/STD_55_2013.
Arumugam, R. S., Garg, V., Ram, V. V., & Bhatia, A. (2015). Optimizing roof insulation for roofs with high albedo coating and radiant barriers in India. Journal of Building Engineering , 2, 52-58. https://doi.org/10.1016/j.jobe.2015.04.004.
Barrios, G., Huelsz, G., Rojas, J., Ochoa, J., & Marincic, I. (2012). Envelope wall/roof thermal performance parameters for non air-conditioned buildings. Energy and Buildings, 50, 120-127. https://doi.org/10.1016/j.enbuild.2012.03.030.
Brito Filho, J., & Santos, T. (2014). Thermal analysis of roofs with thermal insulation layer and reflective coatings in subtropical and equatorial climate regions in Brazil. Energy and Buildings , 84, 466-474. https://doi.org/10.1016/j.enbuild.2014.08.042.
de Dear, R., & Brager, G. (1998). Developing an adaptive model of thermal comfort and preference. UC Berkeley: Center for the Built Environment. Retrieved from https://escholarship.org/uc/item/4qq2p9c6.
de Dear, R., & Brager, G. S. (2002). Thermal comfort in naturally ventilated buildings : revisions to ASHRAE Standard 55. Energy and Buildings , 34(6), 549-561. https://doi.org/10.1016/S0378-7788(02)00005-1.
Fang, H., Zhao, D., Yuan, J., Aili, A., Yin, X., Yang, R., & Tan, G. (2019). Performance evaluation of a metamaterial-based new cool roof using improved Roof Thermal Transfer Value model. Applied Energy, 248, 589-599. https://doi.org/10.1016/j.apenergy.2019.04.116.
Hu, J., & Yu, X. (2019). Adaptive thermochromic roof system: assessment of performance under different climates. Energy and Buildings , 192, 1-14. https://doi.org/10.1016/j.enbuild.2019.02.040.
Huang, Z., & Ruan, X. (2017). Nanoparticle embedded double-layer coating for daytime radiative cooling. International Journal of Heat and Mass Transfer, 704, 89-896. https://doi.org/10.1016/'.ijheatmasstransfer.2016.08.009.
Kabre, C. (2010). A new thermal performance index for dwelling roofs in the warm humid tropics. Building and Environment, 45(3), 727-738. https://doi.org/10.1016/j.buildenv.2009.08.017.
Levinson, R., Akbari, H., Konopacki, S., & Bretz, S. (2005). Inclusion of cool roofs in nonresidential Title 24 prescriptive requirements. Energy Policy, 33 (2), 151-170. https://doi.org/10.1016/S0301-4215(03)00206-4.
López de Lucio, R., & Parrilla Gorbea, E. (1998). Espacio público e implantación comercial en la ciudad de Madrid. Calles comerciales versus grandes superficies. Cuadernos de Investigación Urbanística, 0(23). Recuperado de http://polired.upm.es/index.php/ciur/article/view/237.
Loudon, A. (1968). Summertime temperatures in buildings without air-conditioning. Building Research Station Current Papers. https://eric.ed.gov/?id=ED035213.
Murcia, J., Serna, J., & Zapata, H. (2017). Atlas de Viento de Colombia. http://atlas.ideam.gov.co/visorAtlasVientos.html.
Muscio, A. (2018). The solar reflectance index as a tool to forecast the heat released to the urban environment: potentiality and assessment issues. Climate, 6(1). https://doi.org/10.3390/cli6010012.
Radhi, H., Sharples, S., Taleb, H., & Fahmy, M. (2017). Will cool roofs improve the thermal performance of our built environment? A study assessing roof systems in Bahrain. Energy and Buildings , 735, 324-337. https://doi.org/10.1016/j.enbuild.2016.11.048.
Resolución 0549 de 2015. (2015, 10 de julio). Ministerio de Vivienda, Ciudad y Territorio. https://www.minvivienda.gov.co/node/48921.
Roriz, V., Dornelles, K., & Roriz, M. (2007, del 8 al 10 de agosto). Fatores determinantes da absortancia solar de superfícies opacas [conferencia]. IX Encontro Nacional e V Latino Americano de Conforto No Ambiente Construído. https://doi.org/10.13140/RG.2.1.1622.3445.
Roriz, V. (2011). Efeitos de ondulação e rugosidade de superfícies sobre suas absortâncias e emitâncias: modelo teórico e experimental [Tesis de doctorado, Universidade Estadual de Campinas]. Archivo digital. https://doi.org/10.47749/T/UNICAMP.2011.835160.
Sameera, S., Vidyadharan, V., Sasidharan, S., & Gopchandran, K. G. (2019). Nanostructured zinc aluminates: a promising material for cool roof coating. Journal of Science: Advanced Materials and Devices, 4(4), 524-530. https://doi.org/10.1016/jjsamd.2019.10.003.
Santamouris, M., Synnefa, A., & Karlessi, T. (2011). Using advanced cool materials in the urban built environment to mitigate heat islands and improve thermal comfort conditions. Solar Energy, 85(12), 3085-3102. https://doi.org/10.1016/j.solener.2010.12.023.
Santamouris, M. (2014). Cooling the cities - A review of reflective and green roof mitigation technologies to fight heat island and improve comfort in urban environments. Solar Energy, 103, 682-703. https://doi.org/10.1016/j.solener.2012.07.003.
Shi, D., Zhuang, C., Lin, C., Zhao, X., Chen, D., Gao, Y., & Levinson, R. (2019). Effects of natural soiling and weathering on cool roof energy savings for dormitory buildings in Chinese cities with hot summers. Solar Energy Materials and Solar Cells, 200. https://doi.org/10.1016/j.solmat.2019.110016.
Silva Guerra, H. (2011). Comportamiento de las superficies de retail en Colombia. Pensamiento & Gestión, 30, 3-20. http://www.scielo.org.co/scielo.php?script=sci_arttext&pid=S1657-62762011000100002&ln-g=en&tlng=es.
Synnefa, A., Santamouris, M., & Livada, I. (2006). A study of the thermal performance of reflective coatings for the urban environment. Solar Energy , 80(8), 968-981. https://doi.org/10.1016/j.solener.2005.08.005.
Synnefa, A., Santamouris, M., & Akbari, H. (2007a). Estimating the effect of using cool coatings on energy loads and thermal comfort in residential buildings in various climatic conditions. Energy and Buildings , 39(11), 1167-1174. https://doi.org/10.1016/j.enbuild.2007.01.004.
Synnefa, A., Santamouris, M., & Apostolakis, K. (2007b). On the development, optical properties and thermal performance of cool colored coatings for the urban environment. Solar Energy , 81(4), 488-497. https://doi.org/10.1016/j.solener.2006.08.005.
Vall, S., & Castell, A.(2017). Radiative cooling as low-grade energy source: a literature review. Renewable and Sustainable Energy Reviews, 77, 803-820. https://doi.org/10.1016/j.rser.2017.04.010.
Vecslir Peri, L. (2005). Nuevas centralidades del ocio y el consumo: ámbitos, modalidades e instrumentos de regulación de las grandes superficies comerciales en la Región Metropolitana de Buenos Aires. Revista Iberoamericana de Urbanismo, 5, 31-44. https://upcommons.upc.edu/bitstream/handle/2099/12498/05_03_LorenaVecslirPeri.pdf?sequence=1&isAllowed=y.
Yang, J., Mohan Kumar, D., Pyrgou, A., Chong, A., Santamouris, M., Kolokotsa, D., & Lee, S. (2018). Green and cool roofs' urban heat island mitigation potential in tropical climate. Solar Energy ,.773, 597-609. https://doi.org/10.1016/j.solener.2018.08.006.
Zhai, Y., Ma, Y., David, S., Zhao, D., Lou, R., Tan, G., Yang, R., & Yin, X. (2017). Scalable-manufactured randomized glass-polymer hybrid metamaterial for daytime radiative cooling. Science, 355(6329), 1062-1066. https://doi.org/10.1126/science.aai7899.
Notas