Artículos

Recepción: 19 Febrero 2019
Aprobación: 11 Julio 2020
DOI: https://doi.org/10.17151/rlee.2021.17.1.6
Resumen: El presente trabajo determina el efecto de aplicar una estrategia de evaluación continua en la asignatura Finanzas y Presupuestos en la Universidad Industrial de Santander. Para ello se diseña un estudio longitudinal con el que se determina si la estrategia contribuye al proceso de formación del estudiante. El estudio estadístico parte de la aplican de un instrumento de recolección de información en escala Likert al comienzo y final de la prueba piloto, el cual se enfoca en evaluar tres constructos propuestos: formación por competencias, comunicación y dedicación. Los resultados se evalúan usando una prueba t-pareada, análisis estadístico multivariante, y un modelo de regresión lineal. Los principales resultados indican que la estrategia aplicada a los estudiantes de Finanzas y Presupuestos genera un aumento en su dedicación al estudio, fortalece el enfoque por competencias, y genera más exigencia en la comunicación, impactando positivamente el desempeño académico del estudiante.
Palabras clave: finanzas y presupuestos, estudio longitudinal, estadística multivariante, evaluación continua, regresión lineal múltiple.
Abstract: This work determines the effect of applying a continuous evaluation model in the Finance and Budgeting course at Universidad Industrial de Santander. For this purpose, a longitudinal study is designed to determine if this strategy contributes to the student's training process. The statistical study starts from the application of an instrument for collecting information on a Likert scale at the beginning and end of the pilot test, which focuses on evaluating three proposed constructs: competency-based training, communication and dedication. The results are evaluated with a paired t- test, multivariate statistical analysis, and a linear regression model. The main findings indicate that the strategy applied to Finance and Budgeting students generates an increase in their dedication to study, strengthen the focus on competencies, and generates more demand in communication, with a positive impact on the student’s academic performance.
Keywords: continuous evaluation model, finance & budgeting, longitudinal study, multiple linear regression, multivariate statistics.
Introducción
La formación por competencias está apoyada en dos corrientes del aprendizaje: el cognitivismo y el constructivismo, ya que tiene en cuenta estrategias de formación en la construcción gradual de los conocimientos a través de la observación y reflexión crítica sobre el propio aprendizaje (Fernández, 2010). En este enfoque de formación, el protagonista del aprendizaje es el estudiante, mientras que el papel del docente es acompañar, guiar, evaluar y apoyar al estudiante (Voronov, Chasovskykh, Popov, Anyanova, & Krainova, 2015).
Dentro de los aspectos a tener en consideración en este modelo educativo, está la evaluación formativa-continua, la cual integra las actividades de aprendizaje y enseñanza en el contexto de la auto preparación (Fernández March & Bolonia, 2006), y es una estrategia que sigue aplicándose en educación superior (Ramon-Muñoz, 2015; Sanz-Pérez, 2019), y se integra con facilidad con otros modelos de aprendizaje como el basado en proyectos (Bakhru & Mehta, 2020; Cifrian, Andrés, Galán, & Viguri, 2020) o el aula invertida (Walsh & Rísquez, 2020; Wang, 2019). Además, el modelo de evaluación continua es un método de evaluación en el que se realizan pruebas de forma periódica, las cuales el docente va adaptando según los resultados parciales (Vega-García, 2005), permitiendo a los participantes conocer el rendimiento de su trabajo durante periodos académicos y al docente realizar un seguimiento progresivo del aprendizaje del curso a su cargo, de manera tal que pueda reorientar la estrategia de enseñanza (de ser necesario), añadiendo flexibilidad al plan de formación (Berry, Kannan, Mukherji, & Shotland, 2020; Coll-Salvador, Rochera-Villach, Mayordomo-Saíz & Naranjo-Llanos, 2007).
Sumado a lo anterior, en el programa de Ingeniería Industrial (II) de la Universidad Industrial de Santander (UIS) un trabajo previo determina que en la asignatura Finanzas y Presupuestos (FYP, en adelante), los alumnos suelen tener un bajo nivel de dedicación en su tiempo independiente y éstos suelen preparar el material evaluativo solo momentos previos al parcial (Duarte-Duarte, Talero-Sarmiento & Arias-Tabares, 2017). Por esta razón, se propone implementar la estrategia de evaluación continua como modelo educativo en la asignatura FYP.
Además, en el trabajo de Duarte-Duarte y otros, se identifica una dificultad respecto al aprendizaje de temas que requieren análisis para toma de decisiones (como casos de estudio), análisis de diagnóstico o interpretación de información, y aquellas actividades que requieren de considerables cantidades de cálculos como son los modelos de presupuestos (Duarte-Duarte, Talero-Sarmiento & Arias-Tabares, 2017).
Teniendo en cuenta lo anterior, se propone implementar el modelo de evaluación continua en la asignatura FYP, mediante el uso de tecnologías de la información y comunicación (TIC) que faciliten estas actividades, para este caso se usa la plataforma Moodle debido a su facilidad para soportar el seguimiento a evaluaciones, ya que este tipo de modelo pedagógico demanda la preparación de material constante para los cuestionarios y también retroalimentaciones instantáneas para el proceso de seguimiento (Moodle, 2014, 2017).
Metodología
El modelo de evaluación continua se aplica durante el primer semestre académico de 2017 con estudiantes que cursaban la asignatura FYP, haciendo evaluaciones semanales de la temática del curso en el aula de cómputo antes de cada clase. Para validar la eficacia de este modelo, se diseña un instrumento de recolección de información (encuesta) con el que se busca evaluar tres aspectos o constructos propuestos: dedicación a la asignatura, comunicación docente/estudiante . formación de competencias. Se resalta que, con el fin de determinar si la metodología utilizada contribuye al proceso de formación del estudiante, estos constructos son evaluados antes y después de aplicar el modelo de evaluación continua.
Tipo y universo de estudio
Se realiza un diseño no experimental el cual se aplica a una población reducida (i.e. muestra no probabilística, muestra por conveniencia) en dos etapas. En la primera se aplica el modelo de evaluación continua, mientras que en la segunda se realiza un análisis estadístico de la experiencia.
Primera etapa: Implementación del modelo de evaluación continua
La implementación de la propuesta pedagógica se realiza durante el primer semestre de 2017, durante el periodo académico se presentan cartillas, talleres auto guiados y material personalizado. De igual manera, se aplican cuestionarios semanales en el aula virtual de Moodle en la primera clase de las dos programadas a la semana. En la prueba se evalúa material teórico práctico y lecturas diseñadas para cubrir los contenidos propuestos para la asignatura FYP.
Segunda etapa: Análisis estadístico del modelo de evaluación continua
Con el objetivo de evaluar la experiencia educativa en el marco del modelo de evaluación continua; se desarrolla un estudio longitudinal mediante dos pruebas estadísticas. La primera es la aplicación de una prueba , puesto que ésta permite identificar diferencias entre la media (y su intervalo de confianza) de una muestra que ha cambiado en el tiempo (Box, 1987). La segunda es un modelo de regresión lineal múltiple, con el fin de determinar si los constructos (dedicación a la asignatura, comunicación docente/estudiante y formación de competencias) propuestos (antes y después) tuvieron incidencia sobre el rendimiento académico de los estudiantes durante la practica realizada.
Durante el estudio participaron 43 voluntarios pertenecientes a dos grupos de FYP durante el primer periodo académico de 2017, quienes cumplían el siguiente perfil: a) Ser estudiantes del programa de Ingeniería Industrial de la UIS; b) Cursar en su totalidad la asignatura FYP, c) Presentar al principio del semestre una evaluación de la experiencia académica percibida en asignaturas previas dictadas en la misma universidad.
Instrumentos
Para determinar los factores a evaluar a partir del instrumento (antes y después de la prueba piloto) e estructuró un panel de actores conocedores del tema conformado por docentes de FYP, auxiliares docentes, estudiantes de maestría, y estudiantes quienes habían cursado la asignatura antes. A partir de las socializaciones se proponen tres factores o constructos: dedicación a la asignatura, comunicación entre estudiantes y profesores . formación por competencias. La relación de preguntas (en conjunto con su respectiva variable) y constructos se evidencia en la Figura 1 (siendo “.”·la variable a evaluar) y en el anexo 1 se registran las preguntas utilizadas.
Se resalta que, al principio del periodo académico (momento antes de la aplicación del modelo de evaluación continua), como los estudiantes no han cursado la asignatura, ellos contestan el instrumento basándose en su experiencia en otros cursos.

Procedimientos
Validación de los instrumentos estadísticos
Teniendo en cuenta que el instrumento de recolección de datos está en escala Likert, su consistencia es evaluada mediante el cómputo del Alfa de Cronbach, el cual es un coeficiente que expresa el grado en que los ítems miden la misma variable o constructo para este caso (Huertas-Bustos, Vesga-Bravo & Galindo-León, 2014; Rafael, Chacín, Virla & De, 2010) y se estima mediante la siguiente ecuación:

Donde:
α Alfa de Cronbach. K Número de ítems o preguntas . Vi Varianza de cada Item. Vt Varianza total. Además, con el fin de determinar si es posible hacer una reducción de dimensiones, se calcula la medida Kaiser Meyer Olkin (KMO) y la prueba de esfericidad de Bartlett (EB). La medida KMO contrasta si las correlaciones parciales entre variables son suficientemente pequeñas (Montanero-Fernández, 2008; Scherer, Tondeur, Siddiq, & Baran, 2018). Dicho valor oscila entre cero y uno, donde un valor inferior a 0,5 indica que las correlaciones entre pares de variables no pueden ser explicadas por las otras variables y, por tanto, no es factible llevar a cabo un análisis factorial. Su cálculo se realiza mediante la siguiente ecuación:

Donde:
rij Correlación simple. αij Correlación parcial. Por su parte, la prueba de EB contrasta la hipótesis nula de que la matriz de correlaciones es una matriz identidad; en cuyo caso no existirían correlaciones significativas ente las variables y el modelo factorial no sería pertinente, la significancia del modelo y la agrupación de las preguntas se plantea con un nivel α =0.05; por tanto, valores superiores implican bajo nivel de agrupamiento validando la hipótesis nula de matriz identidad de correlaciones (Scherer et al., 2018), el coeficiente de Bartlett se estima mediante la siguiente ecuación:

Donde:
n Tamaño muestral. v Número de variables. ln Logaritmo neperiano. R Matriz de correlaciones.
Identificación de perfiles
Por otra parte, se propone la identificación de los perfiles de estudiantes, esto se logra mediante una segmentación aplicando técnicas de agrupamiento jerárquico utilizando el software estadístico Minitab en su versión 17. Se seleccionan estas técnicas jerárquicas debido a que permiten clasificaciones de mayor exactitud que los métodos de permutación como el k-means (Li, Chu, Wang, Yan, & Ieee, 2002; Steinbach, Karypis, & Kumar, 2000). Durante el presente trabajo se tiene en cuenta el análisis comparativo propuesto por Galili (2015), y los antecedentes de aplicación realizados por Talero Sarmiento y otros (2017) y Duarte-Duarte y otros (2017), escogiendo como método de enlace Ward y la función de distancia Euclídea cuadrada.
Prueba t-pareada
Durante la presente investigación, se propone evaluar la experiencia de enseñanza-aprendizaje mediante la percepción que tuvieron los estudiantes, para ello se propone un modelo empírico, el cual se evalúa mediante la prueba de t-student pareada, a partir de este método estadístico se pueden contrastar los cambios en el comportamiento de una muestra antes y después de ser aplicado un tratamiento, es decir, tiene en cuenta la dependencia entre las características que describen la muestra (Box, 1987; Walpole & Myers, 2012). Las ecuaciones que describen el cálculo del estadístico de prueba y el valor de probabilidad se evidencian a continuación:
Intervalo de confianza:

Donde
d es la media de las diferencias de las muestras pareadas, Sd es la desviación estándar de la muestra pareada, tα/2 es la probabilidad acumulada inversa de una distribución t con n-1 grados de libertad y n es el tamaño de muestra. De lo anterior, el estadístico de prueba es:

Donde
µ0 Media hipotética de la población para las diferencias.
Modelo empírico
Durante el presente trabajo se propone evaluar los constructos a partir de la ponderación de las variables que lo componen (indicadas en la Figura 2) y descritas en las ecuaciones 6, 7 y 8. Teniendo en cuenta lo anterior:



Modelo de regresión múltiple
Como última prueba se aplica un modelo de regresión lineal múltiple, con el fin de determinar si los constructos (dedicación a la asignatura, comunicación docente/estudiante y formación de competencias) propuestos en el modelo empírico tuvieron incidencia sobre el rendimiento académico de los estudiantes durante la practica realizada. La ecuación 9 describe un modelo de regresión lineal múltiple con k regresores. Dicho modelo presenta un hiperplano en el espacio de de los regresores {xj}

Los parámetros βj,{j=0,1,…k} se denominan coeficientes de regresión, que representan la variación esperada en la respuesta y para un cambio unitario xj. Por otra parte, ε hace referencia al error asociado a la medición del valor xk, para este valor se asume media igual a cero y varianza constante igual a σ. Para determinar el modelo anterior, es necesario estimar el valor de los coeficientes β1, β2, …βk.
Esta estimación del modelo hace referencia a asignar valores numéricos a los parámetros β1, β2, …βk, partiendo de la información muestral disponible de las variables observables del modelo. Para la estimación de los coeficientes βj se aplica el método de mínimos cuadrados ordinarios (Montgomery, 1991).
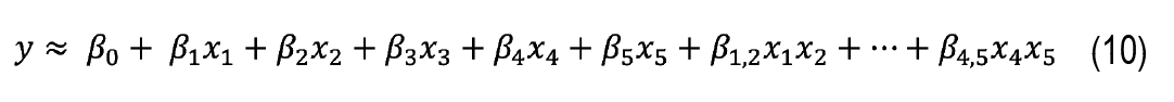
En cuanto a las variables, se seleccionan todos los constructos identificados como significativos durante la aplicación de la prueba t-pareada: dedicación en la asignatura (x1=Dedicación), comunicación con el docente (x2=Comunicación), enfoque evaluativo por competencias (x3=Evaluación), dedicación en otras asignaturas previo a cursar FYP (x4=Dedicación a) y el grupo al que pertenece el estudiante: (x5=1 (B1),2 (D2)), y como variable de pronóstico el desempeño en la asignatura (y=Nota final). Durante el presente trabajo se propone analizar si existen interacciones hasta el orden 2, por tanto, el modelo de regresión general se define como:

Resultados
Los resultados obtenidos se dividen según las etapas y fases descritas en la metodología.
Primera etapa. Implementación del modelo de evaluación continua
Cartilla de finanzas: El diseño y desarrollo del material teórico fue basado en el contenido temático visto en la asignatura, tomando como referencia los cursos dictados previamente. La cartilla consta de nueve capítulos equivalentes al programa académico propuesto por los docentes de la asignatura, los capítulos describen conceptos y aspectos importantes de cada tema dictado durante el semestre académico, acompañado de un ejemplo práctico por capítulo, además de un cuestionario de repaso con preguntas y ejercicios sencillos al final.
Banco de preguntas: Se construye un banco de preguntas para cada capítulo del libro administración financiera de Óscar de León (García-Serna, 2009) utilizado en la asignatura (con la supervisión del docente orientador y validadas por auxiliares docentes y colaboradores de la asignatura). El banco de preguntas al igual que la cartilla, se diseña tomando como base el programa de la asignatura y clasificado por capítulo temático. Lo anterior, con el fin de complementar la cartilla.
Talleres autoguiados acordes al material creado (EXCEL): La propuesta de talleres auto guiados con Excel, busca integrar los conceptos teóricos vistos en el aula y estudiados del material complementario (libros, guías, videos y PDF creados para el curso) en el tiempo de trabajo independiente con la ejercitación en el uso del programa, además de seguir el ejercicio práctico verificando cálculos y con ello no solo obtener resultados de forma sencilla, si no también profundizar en el entendimiento de dichos conceptos, y con ello el estudiante suponga que está aprendiendo para enfrentarse a un entorno profesional real.
Preparación de los temas y modelo de evaluación continua (Moodle): El objetivo de esta propuesta es hacer un seguimiento continuo del proceso académico del estudiante, con lo que el docente pueda tomar correctivos en el momento adecuado y así ofrecer a los estudiantes unas prácticas de calidad en las que se consoliden y se pongan en uso los conocimientos adquiridos en el trabajo independiente de forma regular. Para ello, Moodle cuenta con el módulo de cuestionarios, el cual va a permitir diseñar cuestionarios propios y aplicarlos a los estudiantes en el aula de cómputo antes de explicar en profundidad el tema y posterior a la socialización de las dudas no resueltas mediante su estudio independiente. Durante el semestre, a los estudiantes se les asigna un capítulo específico del material teórico, el cual deben leer durante el transcurso de la semana.
Luego, en la semana siguiente se evalúa el contenido dicho capítulo mediante un cuestionario en el aula de cómputo, prueba con una duración no superior a los 20 minutos. Una vez finalizada, el estudiante accede a su nota. Posteriormente en el aula de clase, el docente realiza una retroalimentación del cuestionario, exponiendo los conceptos teóricos, la realización práctica y los análisis correspondientes al capítulo evaluado. La Tabla 1 consigna las actividades realizadas durante el semestre de acuerdo con el programa de la asignatura:



Segunda etapa. Análisis estadístico del modelo de evaluación continua
Con el fin de generar confianza en los resultados, se calcula el alfa de Cronbach para los dos instrumentos (antes y después de cursar la asignatura, el cual obtiene un valor de 0,652 antes y 0,765 después); rangos aceptables de confiabilidad en los instrumentos según lo expuesto por George y Mallery (George, & Mallery, 2003).
Análisis descriptivo del instrumento
De manera general, al contrastar las respuestas de los estudiantes (Figura 2 y 3) es posible encontrar que la dedicación a la asignatura presenta un aumento el cual se debe a las lecturas disponibles derivadas del material recomendado por el docente y el desarrollado durante el presente trabajo (aunque la mayoría no considera que la comprensión haya sido alta). Por otra parte, respecto a la comunicación, los estudiantes que generalmente percibían alta comunicación en sus experiencias previas al curso aumentaron la valoración, lo cual indica que las estrategias de elementos auto calificables, re alimentaciones semanales y análisis posteriores a los procesos evaluativos son bien recibidos por los estudiantes.

Respecto a la propuesta evaluativa en el marco de formación por competencias, los resultados indican que no todos los estudiantes aumentaron su nivel de interés, lo anterior puede derivarse del enfoque del plan de estudios del programa en ingeniería industrial, el cual es enfocado en análisis de procesos y la asignatura de FYP tiene un componente de toma de decisiones de carácter estratégico-administrativo, el cual se enfoca en una rama específica de matemáticas y enfoques analíticos. Ahora bien, respecto al fortalecimiento de competencias y la aplicación de los temas en el mundo real, los estudiantes consideran que existe mejoría lo cual puede derivarse de la generación de material teórico-práctico enfocado a las necesidades.

Identificación de perfiles y prueba t-pareada
Una vez calculados los estadísticos de KMO y aplicadas las pruebas EB, a los dos instrumentos (antes y después), se obtienen valores de KMO = 0.653 y 0.687. EB=0.00 y 0.00 respectivamente; lo cual indica que es posible generar un análisis de reducción dimensional y, de manera complementaria, la descripción de grupos. Teniendo en cuenta el valor de la similitud (Figura 4), durante el presente trabajo se propone que existen cuatro subgrupos: azul 13,95%, fucsia 16,28%, rojo 44,19% y verde 25,58%, los cuales explican el 72,20% de la variabilidad de las respuestas (u homogeneidad entre estas).

Teniendo en cuenta lo anterior, se evalúan los estadísticos de la prueba t pareada con propósito de determinar si el modelo empírico indica que existen diferencias significativas entre la dedicación, comunicación y evaluación para la muestra, para posteriormente analizar los constructos según los cuatro subgrupos identificados (azul, fucsia, rojo y verde). Los resultados se registran en la Tabla 2.

Teniendo en cuenta los resultados de la Tabla 2, se puede concluir que existen diferencias significativas entre la dedicación al estudio en asignaturas previas y la dedicación destinada a la asignatura FYP, comportamiento no evidenciado en los otros dos constructos. Con el propósito de identificar comportamientos más detallados en las respuestas de los subgrupos, se realiza un análisis gráfico de caja de datos.
Teniendo en cuenta la distribución de los datos en la Figura 5, es posible determinar que, en general, la mayor parte de los estudiantes aumentaron su dedicación académica (teniendo en cuenta el comportamiento de la mediana o punto gris) y la línea de conexión de la media. Además, el grupo rojo presenta una distribución especial, ya que presenta mayor variabilidad en las respuestas luego de cursar FYP, lo cual refleja posiciones divididas entre los estudiantes, donde unos pocos (menos del 25% según la ubicación del primer cuartil) consideran que se dedicaron menos que respecto a sus otras asignaturas (cuatro a cinco estudiantes del total muestral).

Respecto al constructo comunicación, se encuentra una distribución similar (Figura 6), puesto que para tres de los cuatro grupos encontrados (con excepción del rojo cuya mediana no varía) se refleja un aumento en el valor de la mediana. Los grupos azul y fucsia reflejan que existía una tendencia a mantener poca comunicación con los docentes (mediana 2,5 y 2 respectivamente) y, luego de cursar la asignatura, perciben un aumento en la cantidad de realimentaciones y canales de comunicación con el docente, aunque se mantiene una posición dividida entre el 50% de sus estudiantes con un caso “crítico” en el grupo azul (aproximadamente un estudiante) quien percibe que la comunicación fue mala o baja. Comportamiento similar en el grupo fucsia, donde aproximadamente dos estudiantes consideran que disminuyó la comunicación con su docente.

Finalmente, para el constructo evaluación por competencias, en la Figura 7 se evidencia mejoría en dos de los cuatro grupos (rojo disminuye variabilidad con tendencia alta aunque más estudiantes evaluaron la experiencia entre 2,5 y 3,5 y Fucsia con aumento de media, promedio y disminución de variabilidad); mientras que el grupo azul indica que percibe con dificultad cómo se alinea el contenido de la asignatura con su rol laboral, comportamiento similar aproximadamente con el 25% de los miembros del grupo verde, aproximadamente cinco estudiantes).

Modelo de regresión múltiple
Una vez desarrollado el modelo de regresión múltiple en el software estadístico MINITAB 17, se encuentra que la variable dedicación a .x. dedicación previa a la asignatura), no influye significativamente en el rendimiento académico de los estudiantes, además, esta última depende principalmente de los constructos propuestos evaluados luego de cursar FYP, en conjunto con la interacción de estos con el grupo (Figura 8). Además, a partir del pronóstico de esas variables es posible explicar el comportamiento de las notas en un 41,5%.

Con el propósito de describir cómo influyen las variables predictoras en la nota obtenida durante la asignatura FYP, se realiza un registro gráfico en la Figura 9, donde es posible corroborar que los estudiantes que obtuvieron mayor nota son aquellos que describieron haber dedicado más tiempo de estudio que en materias anteriores, además, también se evalúa que la propuesta de generar material enfocado a las competencias laborales influye en el buen desempeño académico. Por otra parte, para el constructo comunicación se evidencia una relación inversa (correlación negativa), lo cual puede significar que los estudiantes que obtuvieron mayores resultados académicos anhelaban mejorar los canales de comunicación, es decir, son más exigentes con los procesos que faciliten una rápida realimentación de los trabajos entregados, así como más canales de comunicación. Finalmente, respecto a la variable de grupo, se puede concluir que, de manera general, el curso B1 obtuvo mejores resultados que el curso D2 en la valoración final de la asignatura.

A partir de la figura anterior, se puede concluir con un p valor = 0.006 (menor que el 5%) que los constructos propuestos en el modelo empírico influyen en la nota obtenida por los estudiantes, y que esta propuesta explica en un 41,5% de los resultados, además, que existen diferencias significativas entre los cursos B1 y D2, lo cual corresponde a variables no contempladas en el modelo empírico como la manera en la cual el sistema de matrículas de la universidad asigna los estudiantes en cada curso, el horario de la asignatura, entre otras posibles. Las ecuaciones obtenidas por el estudio de regresión para cada grupo son:

Discusión
Dentro de las calificaciones obtenidas, el 81,43% de los estudiantes obtuvo resultados satisfactorios en los cuestionarios realizados en el aula de cómputo, donde el 51% de los que aprobaron dichos cuestionarios, lograron notas por encima de cuatro (4,0). De los estudiantes que no alcanzaron a aprobar, el 46% obtuvieron calificaciones cercanas al tres (3,0), lo que indica que solo el 10% de los estudiantes tuvieron un rendimiento bajo en los cuestionarios realizados durante el semestre. Los resultados anteriores son semejantes al desempeño global en la asignatura, salvo “casos atípicos” en el curso D2, (al ser el segundo grupo en aplicar los cuestionarios, se presentaron inconvenientes con algunos estudiantes por suplantación y fraude en los mismos), los estudiantes que obtuvieron buenos resultados en la práctica, terminaron aprobando la asignatura con una nota equivalente e inclusive superior a la obtenida durante la práctica, e inclusive algunos estudiantes que no aprobaron los cuestionarios pero estuvieron cerca de hacerlo, al final también aprobaron la asignatura. Se considera que el modelo de evaluación continúa apoyado en actividades en el aula virtual, solo debe hacerse para un curso, o procurar que exista un horario similar, dado a los inconvenientes mencionados con el curso D2 (algunos estudiantes llegan a descuidar el trabajo independiente a costa de averiguar cómo se evalúa el grupo en el horario inmediatamente anterior).
Conclusiones
Dentro de los resultados obtenidos del modelo empírico de regresión en la etapa de validación de la prueba piloto, se concluye que existen diferencias en el rendimiento académico entre los cursos, siendo el curso B1 el que mejor resultados obtuvo en la valoración final de la asignatura, lo que implica factores de incidencia no previstos en el rendimiento académico de los estudiantes y genera una oportunidad de investigar qué otros elementos influyen en el desempeño académico. Por otra parte, la implementación de la propuesta pedagógica basada en el modelo de evaluación continua, permitió elevar el nivel de dedicación (medidos en tiempo, uso de recursos pedagógicos y comprensión de lectura) de los estudiantes en la asignatura del que estaban teniendo en asignaturas previas cursadas hasta ese momento, ya que al generar material de estudio constante y programar actividades evaluativas de forma continua, el estudiante reforzaba permanentemente su aprendizaje. Además, dentro del análisis del modelo de regresión es posible corroborar que la dedicación que los estudiantes tuvieron con la asignatura influye directamente en su desempeño académico por lo que los estudiantes que presentaron mayor dedicación, obtuvieron mejores resultados en su nota definitiva (producto de su proceso académico). Además, los estudiantes con mejor desempeño académico perciben que la estrategia de enseñanza-aprendizaje bajo enfoque por competencias es alto.
Referencias bibliográficas
Bakhru, S. A., & Mehta, R. P. (2020). Assignment and Project Activity Based Learning Systems as an Alternative to Continuous Internal Assessment. Procedia Computer Science, 172, 397-405. Retrieved from https://linkinghub.elsevier.com/retrieve/pii/S1877050920314022
Berry, J., Kannan, H., Mukherji, S., & Shotland, M. (2020). Failure of frequent assessment: An evaluation of India’s continuous and comprehensive evaluation program. Journal of Development Economics, 143, 102406. Retrieved from https://linkinghub.elsevier.com/retrieve/pii/S0304387818315748
Box, J. F. (1987). Guinness, Gosset, Fisher, and Small Samples. Statistical Science, 2 (1), 45-52. Retrieved from http://projecteuclid.org/euclid.ss/1177013437
Cifrian, E., Andrés, A., Galán, B., & Viguri, J. R. (2020). Integration of different assessment approaches: application to a project-based learning engineering course. Education for Chemical Engineers, 31, 62-75. Retrieved from https://linkinghub.elsevier.com/retrieve/pii/S1749772820300282
Coll-Salvador, C., Rochera-Villach, M. J., Mayordomo-Saíz, R. M. y Naranjo-Llanos, M. (2007). Evaluación continua y ayuda al aprendizaje. Análisis de una experiencia de innovación en educación superior con apoyo de las TIC. Electronic Journal of Research in Educational Psychology, 5 (3), 783-804.
Duarte-Duarte, J.B., Talero-Sarmiento, L.H., & Arias-Tabares, J.C. (2017). Academic strategies identification using text-mining: a case study at the industrial University of Santander - Colombia. In Editorial Universitat Politècnica de València (ed.), innodoct/17 “International Conference on Innovation, Documentation and Education” (pp. 249-263). Valencia.
Duarte-Duarte, J. B., Talero-Sarmiento, L. H. y Rodríguez-Padilla, D. C. (2017). Identificación de perfiles turísticos en Santander mediante técnicas de aprendizaje automático. In U. E. de Colombia (Ed.), Conference: Encuentro Internacional de Investigadores en Administración 2017 (pp. 1364-1386). Bogotá.
Fernández, A. (2010). La evaluación orientada al aprendizaje en un modelo de formación por competencias en la educación universitaria. Revistade Docencia Universitaria, 8 (1), 11-34.
Fernández-March, A. & Bolonia, T. (2006). Metodologías activas para la formación de competencias. EducaciónSiglo XXI, 35-56.
Galili, T. (2015). dendextend: An R package for visualizing, adjusting and comparing trees of hierarchical clustering. Bioinformatics, 31 (22), 3718-3720.
García-Serna, O. L. (2009). Aministración financiera: fundamentos y aplicaciones. (Caferno Bernal, Ed.)CafernoBernal (9789584454th ed.). Bogotá.
George, D., & Mallery, P., George, D., & Mallery, P. (2003). SPSS for Windows step by step: A simple guide and reference. 11.0 update (4th ed.). Boston: Allyn & Bacon. BrJHaematol (Vol. 11.0).
Huertas-Bustos, A. P., Vesga-Bravo, G. J., & Galindo-León, M. (2014). Validación del instrumento ‘inventario de habilidades metacognitivas (Mai)’ con estudiantes colombianos. Praxis & Saber, 5 (10), 55. Recuperado de http://revistas.uptc.edu.co/revistas/index.php/praxis_saber/article/view/3022
Li, J., Chu, C. H., Wang, Y. F., Yan, W. L., & Ieee, I. (2002). An improved fuzzy C-means algorithm for manufacturing cell formation. Proceedings of the 2002 Ieee International Conference on Fuzzy Systems, Vol 1 & 2.
Montanero-Fernández, J. (2008). Análisis Multivariante - Colección manuales UEX (Universidad de Extremadura) (Vol. 59). Extremadura: Extremadura.
Montgomery, D. C. (1991). Diseño y Análisis de Experimentos. (Segunda Ed.). Limusa Wiley.
Moodle. (2014). Filosofía. MoodleDocs. Recuperado de https://docs.moodle.org/all/es/Filosofía
Moodle. (2017). Características Generales. MoodleDocs. Recuperado de https://docs.moodle.org/all/es/Características_de_Moodle_3.4
Rafael, U., Chacín, B., Virla, M. Q. & De, G. (2010). Confiabilidad y coeficiente Alpha de Cronbach, 12 (2), 248-252.
Ramon-Muñoz, R. (2015). The Evaluation of Learning: A Case Study on Continuous Assessment and Academic Achievement. Procedia - Social and Behavioral Sciences, 196, 149-157. Retrieved from https://linkinghub.elsevier.com/retrieve/pii/S1877042815040124
Sanz-Pérez, E. S. (2019). Students’ performance and perceptions on continuous assessment. Redefining a chemical engineering subject in the European higher education area. Education for Chemical Engineers, 28, 13-24. Retrieved from https://linkinghub.elsevier.com/retrieve/pii/S1749772818301180
Scherer, R., Tondeur, J., Siddiq, F., & Baran, E. (2018). The importance of attitudes toward technology for pre-service teachers’ technological, pedagogical, and content knowledge: Comparing structural equation modeling approaches. Computers in Human Behavior, 80, 67-80. Retrieved from https://linkinghub.elsevier.com/retrieve/pii/S0747563217306246
Steinbach, M., Karypis, G., & Kumar, V. (2000). A Comparison of Document Clustering Techniques. KDD Workshop on Text Mining, 1, 1-20.
Talero-Sarmiento, L. H., Rodríguez-Escobar, L. Y. & Garavito-Hernández, E. A. (2017). Agrupamiento de productos agrícolas mediante el análisis de plagas y enfermedades como metodología para facilitar la gestión de insumos. Anais do V Simpósio de Engenharia de Produção -SIMEP 2017 , 5 (1), 298-310.
Vega-García, R. (2005). La Educación Continua a Distancia en México: Transformaciones y Retos. Revistade la Educación Superior, 133 (1), 79-86. Retrieved from http://www.redalyc.org/articulo.oa?id=60411915007
Voronov, M., Chasovskykh, V., Popov, V., Anyanova, E., & Krainova, T. (2015). Effectiveness Research of the new Learning Elements, Initiated by the Change to Competency-based Education Model in Russia. Procedia - Social and Behavioral Sciences, 214, 758–768. Retrieved from https://linkinghub.elsevier.com/retrieve/pii/S187704281506067X
Walpole, R., & Myers, R. H. (2012). Probability and Statistics for Engineers and Scientists. Power (Vol. 3rd).
Walsh, J. N., & Rísquez, A. (2020). Using cluster analysis to explore the engagement with a flipped classroom of native and non-native English-speaking management students. The International Journal of Management Education, 18 (2), 100381. Retrieved from https://linkinghub.elsevier.com/retrieve/pii/S1472811719303374
Wang, F. H. (2019). On the relationships between behaviors and achievement in technology-mediated flipped classrooms: A two-phase online behavioral PLS-SEM model. Computers & Education, 142, 103653. Retrieved from https://linkinghub.elsevier.com/retrieve/pii/S0360131519302064
Anexos
Instrumento de recolección de datos para estudio longitudinal
Respuestas a cada pregunta: Siempre o sí, Casi siempre, Algunas veces, Nunca o no
Antes
1. ¿Dedica las horas de trabajo independiente recomendadas para el complemento del aprendizaje en las asignaturas vistas hasta ahora
2. Las guías y talleres suministrados por los docentes durante su proceso académico hasta ahora, ¿han complementado su aprendizaje reforzando los conceptos vistos en el aula de clase?
3. ¿El docente le ha asignado lecturas obligatorias como complemento en el aprendizaje de las asignaturas cursadas?
4. ¿Comprende los conceptos o ideas explicadas por los autores de los textos guías o lecturas asignadas por el docente en las asignaturas cursadas?
5. ¿La comunicación con los docentes ante consultas, entrega de notas (talleres, quices, parciales) y feedback han sido buenas?
6. Teniendo en cuenta lo anterior, los canales de comunicación ofrecidos por los docentes (correo, plataformas, redes sociales, consultas oficina etc.) ¿Han sido buenas alternativas ante espacios en los que no esté a su disposición, ya sea en hora de clase o fuera del aula?
7. De acuerdo con cómo ha sido evaluado durante su proceso académico, ¿desde el inicio de su carrera, su nivel de motivación e interés por la carrera ha aumentado?
8. De acuerdo con cómo ha sido evaluado durante su proceso académico, ¿comprende la relación entre los objetivos propuestos de cada asignatura cursada hasta ahora y el desarrollo de su perfil profesional?
9. De acuerdo con cómo ha sido evaluado durante su proceso académico, ¿participa activamente en las clases? (haciendo talleres asignados por el docente, respondiendo y haciendo preguntas.)
Después de implementar prueba piloto
1. ¿Dedicó las ocho horas de trabajo independiente recomendadas para el complemento del aprendizaje en la asignatura?
2. Las guías y talleres suministrados por el docente durante el semestre académico, ¿han complementado su aprendizaje reforzando los conceptos vistos en el aula de clase?
3. ¿El docente le ha asignado lecturas obligatorias como complemento en el aprendizaje de la asignatura?
4. ¿Comprende los conceptos o ideas explicadas por los autores de los textos guías o lecturas asignadas por el docente en la asignatura?
5. ¿La comunicación con los docentes ante consultas, entrega de notas (talleres, quices, parciales) y feedback han sido buenas?
6. Teniendo en cuenta lo anterior, los canales de comunicación ofrecidos por el docente (correo, plataformas, redes sociales, consultas de oficina, etc.), ¿han sido buenas alternativas ante espacios en los que no esté a su disposición?
7. De acuerdo con cómo ha sido evaluado durante su proceso académico este semestre en la asignatura, ¿su nivel de motivación e interés por la carrera ha aumentado?
8. De acuerdo con cómo ha sido evaluado durante su proceso académico este semestre en la asignatura, ¿comprende la relación entre los objetivos propuestos en la asignatura y el desarrollo de su perfil profesional?
9. De acuerdo con cómo ha sido evaluado durante su proceso académico este semestre en la asignatura, ¿participa activamente en las clases? (haciendo talleres asignados por el docente, respondiendo y haciendo preguntas).
Información adicional
Cómo citar:: Duarte-Duarte, J. B., Talero-Sarmiento, L. H. y Arias-Tabares, J. C. (2021). Modelo de evaluación de las experiencias de enseñanza-aprendizaje en el área de finanzas y presupuestos mediante un estudio longitudinal. Revista Latinoamericana de Estudios Educativos, 17(1), 95-119. https://doi.org/10.17151/rlee.2021.17.1.6