Resumen: Pese a la abundante evidencia de que los niños pueden categorizar perceptiva, temática y taxonómicamente, pocos estudios indagan si los patrones hallados en adultos -asociación de seres vivos con atributos taxonómicos y perceptivos, y de objetos con información temática- se encuentran también en población infantil. Por eso el objetivo del trabajo fue estudiar los tipos de atributos -principalmente taxonómicos y temáticos- utilizados por niños de 6 a 11 años de 1°, 3° y 5° año de educación primaria de Mar del Plata, mediante una tarea que consistió en solicitar características de conceptos de seres vivos y no vivos (ANIMALES, FRUTAS, OBJETOS y MUEBLES). Las relaciones temáticas predominaron en los OBJETOS y MUEBLES, y no en las FRUTAS y ANIMALES, en apoyo a la idea de que las características contextuales y funcionales son más importantes para reconocer y describir artefactos que seres vivos. Las relaciones taxonómicas primaron en los ANIMALES y FRUTAS, y no en los OBJETOS y MUEBLES, avalando la idea de que las relaciones taxonómicas, por su vinculación con el procesamiento visual, son más pertinentes para reconocer y categorizar seres vivos.
Palabras clave: categorizacióncategorización,atributos semánticosatributos semánticos,niñosniños.
Abstract:
Although many studies show that children are able to perform perceptive, thematic and taxonomical characterization, few studies investigate whether adults' patterns -living things mostly associated with taxonomic and perceptive attributes, and nonliving things, with thematic information- resemble those of children. Thus, this paper undertook to study the types of -mainly taxonomic and thematic- attributes used by 6- to- 11-year-old children attending 1st, 3rd and 5th year of basic primary education in Mar del Plata city. This was done through a task that consisted of asking for conceptual attributes of living and nonliving things (ANIMALS, FRUITS, OBJECTS, FURNITURE). We found that thematic relations prevailed in OBJECTS and FURNITURE but not in FRUITS and ANIMALS, which matches with the idea that contextual and functional characteristics are more important for artifacts than living things. Likewise, taxonomic relations prevailed in ANIMALS and FRUITS, and its presence was much lower in OBJECTS and FURNITURE. In conclusion, we found a reverse pattern vis-à-vis that of thematic relations, in accordance with the idea that taxonomic relations are more relevant for living things given their relation to visual processing.
Keywords: categorization, semantic attributes, children.
Artículos
Diferencias en la categorización de seres vivos y objetos Estudio en niños de edad escolar
Differences in the categorization of living and non-living things. Study in school-age children
Recepción: 19 Octubre 2017
Aprobación: 19 Febrero 2018
La categorización es un componente fundamental de la cognición y una herramienta muy poderosa para organizar lo que, de otro modo, sería un mundo caótico, debido al inconmensurable volumen de información al que estamos expuestos, y a nuestras capacidades de procesamiento limitadas (Fisher, Godwin, Matlen, & Unger, 2015; Johansen, Savage, Fouquet, & Shanks, 2015; Unger, Fisher, Nugent, Ventura, & MacLellan, 2016). Tradicionalmente, la atención se ha centrado en la categorización taxonómica, basada en que sus miembros comparten propiedades, formando una clase (e.g., animal o mueble), pero existen otras formas de categorización, como la perceptiva, guiada por los atributos físicos de los objetos, y la temática, que se rige por relaciones espaciales y/o temporales de contigüidad e involucra miembros heterogéneos que pertenecen a un mismo evento o escena (Antonucci & Alt, 2011; Estes, Golonka, & Jones, 2011; Landrigan & Mirman, 2017; Lewis, Poeppel, & Murphy, 2015; Sadeghi, McClelland, & Hoffman, 2015; Unger, Fisher, & MacLellan, 2014; Unger et al., 2016).
Las relaciones temáticas son externas dado que ocurren entre múltiples objetos, personas o situaciones. Se caracterizan por ser intrusivas; se captan involuntariamente en tareas en las que son irrelevantes e incluso contraintuiti-vas (Golonka & Estes, 2009; Estes et al., 2011; Wisniewski & Bassok, 1999). Además, encontrar un concepto familiar activa automáticamente los otros conceptos con los que es más probable que coocurra, facilitando la percepción de aquellos conceptos temáticamente relacionados (Sadeghi et al., 2015). En suma, las relaciones temáticas son advertidas de manera incontrolable y relativamente rápida.
Las categorías taxonómicas hacen referencia a constructos mentales que unifican dos o más objetos para que sean percibidos como la misma clase de cosa y subsumidos en una sola etiqueta clasificatoria (Ford, 2003). Los miembros de una categoría taxonómica comparten propiedades; e.g., las ballenas y los caballos comparten características importantes (como ser de sangre caliente y producir leche) y, por ende, pertenecen a la misma categoría taxonómica -MAMÍFEROS- (Estes et al., 2011). Así, los conceptos que pertenecen a una categoría taxonómica se relacionan con los otros miembros de la categoría en virtud de las características que comparten (Mirman & Graziano, 2012; O'Connor, Cree, & McRae, 2009; Rogers & McClelland, 2004); como consecuencia, los conceptos relacionados taxonómicamente tienden a parecerse (Estes et al., 2011). Otro aspecto destacado de las categorías taxonómicas es que se organizan jerárquicamente en niveles crecientes de abstracción o inclusividad (Rosch, Mervis, Gray, Johnson, & Boyes-Braem, 1976). En el nivel más inclusivo se marca la distinción entre cosas vivas y no vivas. Las vivas incluyen seres humanos, plantas y animales, mientras que las no vivas incluyen artefactos, tales como muebles y medios de transporte. Las categorías de nivel superordinado son más acotadas e incluyen un subconjunto de elementos del nivel anterior (e.g., animales y muebles). Las categorías de nivel base son aún más acotadas y comprenden un subconjunto de elementos del nivel superordinado (e.g., perros y mesas).
Numerosos factores inciden en la categorización semántica, como son la edad o el nivel de desarrollo (Borghi & Caramelli, 2003; Favarotto, García Coni, Magani, & Vivas, 2014; Piaget & Inhelder, 1971; Smiley & Brown, 1979), la cultura y la ocupación (Ji, Zhang, & Nisbett, 2004; Luria, 1984), e incluso la crianza (Bornstein, Azuma, Tamis-LeMonda, & Ogino, 1990). El dominio al que pertenece el concepto también condiciona la forma de categorizar, puesto que los seres vivos y los objetos varían en cuanto a las propiedades que son más salientes para su reconocimiento (Hughes, Woodcock, & Funnell, 2005). Según estudios realizados en población adulta, las características visuales son particularmente salientes (ya sea por cantidad o peso relativo) para los seres vivos, mientras que para los objetos, lo son las características funcionales y motoras (Beauchamp & Martin, 2007; Cree & McRae, 2003; Garrard, Lambon Ralph, Hodges, & Patterson, 2001; Kalénine et al., 2009; Mahon & Caramazza, 2009; .Roversi, Borghi, & Tummolini, 2013; Sachs, Weis, Krings, Huber, & Kircher, 2008; Tulving & Craik, 2000; Vigliocco, Vinson, Lewis, & Garrett, 2004).
Hughes et al. (2005), motivados por la falta de estudios en población infantil, se preguntaron si esos patrones de propiedades generados por adultos tenían sus orígenes en la infancia. Así, a partir de solicitarles a niños de 3 a 11 años de edad que definieran objetos, encontraron que la función y otras características no sensoriales o perceptivas eran más frecuentes en objetos que en seres vivos. Concretamente, hallaron que las respuestas perceptivas superaban a las funcionales para seres vivos en una proporción de 7:1, mientras que las respuestas funcionales superaban a las perceptivas para objetos en una proporción de 2:1.
Del mismo modo, Wright, Poulin-Dubois y Kelley (2015) encontraron que niños de 5 años extendían propiedades biológicas y perceptivas a seres vivos pero no a objetos, y Kalénine y Bonthoux (2006) hallaron tiempos de reacción más rápidos al identificar relaciones contextuales/funcionales para objetos manipulables, y relaciones basadas en la similitud para objetos no manipulables (particularmente de categorías animadas), tanto en niños como en adultos. Por eso, vinculando el procesamiento visual con la categorización taxonómica, estas autoras predijeron que los niños que fuesen más sensibles a ese tipo de categorías se desempeñarían mejor en el emparejamiento de seres vivos que en el de objetos, dada su tendencia a comparar estímulos y detectar propiedades comunes, y que, por el contrario, una mayor sensibilidad a las relaciones temáticas facilitaría la categorización de objetos. En parcial coincidencia con sus predicciones, los niños más sensibles a las relaciones taxonómicas categorizaron mejor a los seres vivos, en tanto los niños más sensibles a las relaciones temáticas no mostraron diferencias entre dominios.
Rosch et al. (1976) observaron que los seres vivos comparten más propiedades distintivas y, por eso, constituyen categorías más ajustadas que otros grupos de objetos, y esto sucede desde la infancia. Así, encontraron que si bien niños de 5 años agrupaban taxonómicamente ANIMALES y VEHÍCULOS, proveyendo la etiqueta verbal superordinada para los animales, menos del 20% de los vehículos eran etiquetados. Al respecto, Kalenine y Bonthoux (2006) encontraron más agrupamientos superordinados de seres vivos que de objetos en niños de 3 años. Un estudio más actual muestra en niños de 4 años una mayor tendencia a hacer inferencias con animales que con artefactos (Fisher, Godwin, & Matlen, 2015).
Los resultados expuestos muestran que existiría una diferenciación en el procesamiento de entes vivos y no vivos, vinculada con diferencias concomitantes en el procesamiento de atributos perceptivos, que suelen relacionarse con la categorización taxonómica, y de atributos funcionales, contextuales y acciones, más ligados con la categorización temática.
Por otra parte, algunos autores han considerado que la categorización semántica requiere modelos explicativos que no se apoyen únicamente en la correlación de atributos, puesto que los conceptos están influidos por sistemas de creencias (Carey, 2000; Gelman &Meyer, 2011; Murphy, 2002). Así, el concepto "agente de bolsa" provendría de nuestro conocimiento implícito sobre la sociedad, el trabajo, el dinero, etcétera (Bloom, 2000).
Dicha perspectiva sugiere que los seres vivos pero no los objetos comparten propiedades esenciales (Gelman & Die-sendruck, 1999; Gelman, 2009; Gutheil, Vera, & Keil, 1998; Heyman & Gelman, 2000; Keil, 1992; Simons & Keil, 1995). Así, los animales pero no los artefactos retienen cualidades que persisten a pesar de los cambios en su apariencia externa. Asimismo, se usa información sobre las partes internas cuando se extienden etiquetas nuevas para animales pero no para artefactos, sugiriendo que la relevancia de partes internas no obvias -o esencias- es de dominio específico (Gelman & Opfer, 2002; Waxman & Leddon, 2011). Estos hallazgos sugieren que las personas poseen creencias esencialistas sobre seres vivos pero no sobre objetos (ver Fisher, 2015; Fisher, Godwin, & Matlen, 2015; Roversi et al., 2013). O que, en todo caso, habría una esencia biológica en los seres vivos, y una esencia funcional en los artefactos (Hashimoto, McGregor, & Graham, 2007).
De modo que desde la propuesta de las teorías intuitivas, que enfatiza el contexto teórico en el cual los conceptos se enmarcan, también se han planteado diferencias en la forma de razonar sobre los dominios.
Para estudiar la categorización semántica, suelen usarse tareas en las que se muestra un objeto (e.g., un perro) y el niño debe responder cuál, de otros dos objetos, "es como" o "va con" el primero. Uno de esos dos objetos se relaciona taxonómicamente (e.g., una vaca) y el otro, temáticamente (e.g., un hueso; Murphy, 2002). Este paradigma tiene varios parámetros: el modo de presentación (dibujos o palabras), el número de opciones (dos o más), la relación entre las opciones y la base (e.g., taxonómica, temática o no relacionada), y el criterio para elegir (e.g., "va con", "es del mismo tipo que", "es como"). Así, seleccionar una opción temática sobre una no relacionada indicaría discernimiento de relaciones temáticas, mientras que elegir una opción temática sobre una taxonómica indicaría preferencia por el pensamiento temático (Lewis et al., 2015; Wright et al., 2015).
Unger et al. (2016) y Waxman y Namy (1997), entre otros, señalan algunos inconvenientes en estas tareas, ya sea porque las instrucciones sesgan la elección del tipo de relación, o porque más que explorar el conocimiento sobre los tipos de relación, indagan preferencias. En este sentido, en la mayoría de estos estudios las relaciones conceptuales compiten entre sí (e.g., perro-correa vaca), llevando necesariamente a seleccionar una única relación, a pesar de que ambas se encuentran relacionadas con el estímulo-base. En otras palabras, seleccionar una relación no demuestra ignorar la otra (Nguyen & Murphy, 2003).
Otro de los métodos más utilizados es simplemente pedir a los niños definiciones de términos. Dicho método ha sido incluido en pruebas psicométricas como el test de inteligencia de Binet-Simon. Por último, otra tarea que se utiliza es la de asociación libre de palabras, que puede presentarse de la siguiente manera: se muestra un cuadernillo con un círculo en el medio de cada página, en el que se halla escrito un concepto-sustantivo. Se pide a los niños que escriban en el círculo de cinco a 10 sustantivos u oraciones que se les ocurran a partir del estímulo escrito, uniéndolos a él con una flecha para evitar la producción de asociados en cadena. Al finalizar la tarea, se pide a los niños que expliquen sus producciones (Borghi &Caramelli, 2003). En opinión de Estes et al. (2011), este tipo de tareas provee una medida más simple y precisa de la organización conceptual que las tareas de emparejamiento con la muestra.
La desventaja que presenta esta tarea es que algunos participantes, dada la libertad de la consigna, tienden a referirse a su experiencia personal con el objeto (e.g., lo veo seguido) o a la reacción afectiva que les provoca (e.g., no me gusta). Es probable que si se solicita definir un concepto o al menos brindar información que permita identificarlo, aparezcan más relaciones conceptuales compartidas, como las temáticas y las taxonómicas.
Además, al no haber opciones preestablecidas por el experimentador, este último tipo de tareas despeja el problema del sesgo de las consignas y resulta menos transparente para el participante que las tareas más estructuradas, propiciando la aparición de aspectos estables y también variables y flexibles de los conceptos (Borghi & Caramelli, 2003; Roversi et al., 2013). En esas tareas se evoca lo que está almacenado en la memoria semántica, no algo predefinido en la tarea (Nelson, 1974).
Por todo lo anterior, y porque la mayoría de los estudios se han enfocado en la perspectiva adulta, nuestro principal interés es aportar evidencia empírica sobre los criterios de categorización elegidos por niños de edad escolar para seres vivos y objetos, utilizando una tarea que permita captarlos de manera precisa y no sesgada.
Está conformada por 133 niños de 6 a 11 años que, al momento de la recolección de datos, cursaban 1°(n = 48, edad promedio = 6.19, DS = .40), 3° (n = 45, edad promedio = 8.09, DS = .42) y 5° (n = 40, edad promedio = 10.5, DS = .56) año de educación primaria básica en dos escuelas del área metropolitana de la ciudad de Mar del Plata (62 niños pertenecen a una escuela, y 71 a la otra). Se tomó como criterio de exclusión tener antecedentes de repetición escolar y de trastornos psiquiátricos o psicológicos diagnosticados, de modo que de 139 niños evaluados, seis fueron excluidos. Con respecto a la distribución por género, 66 son mujeres.
Con respecto a las instituciones que intervinieron en el estudio, una de las escuelas (llamada 1) es de gestión privada, laica con orientación católica. Cuenta con una matrícula de 371 alumnos que provienen mayoritariamente del barrio en el que se sitúa la escuela -de nivel adquisitivo medio-. Las familias son de clase media trabajadora; empleados o cuentapropistas. En relación con otras escuelas de características similares, la cuota es media en términos económicos. La otra escuela (llamada 2) es municipal y cuenta con una matrícula de 336 alumnos que provienen de familias de clase media y clase media baja, que poseen una ocupación laboral estable como empleados, comerciantes o profesionales. Vale decir que ambas escuelas se encuentran en barrios aledaños.
Con el fin de identificar qué tipos de relación conceptual (e.g., perceptiva, temática, taxonómica) utilizaban los niños según el dominio de pertenencia de los conceptos, se confeccionó una tarea de producción de atributos de conceptos presentados en forma de imágenes. Se utilizaron 12 conceptos pertenecientes a cuatro categorías semánticas (ANIMALES: mariposa, gato y gallina; FRUTAS: banana, manzana y uvas; OBJETOS: vela, silbato, regla; MUEBLES: escritorio, mecedora y sillón), extraídos del set estandarizado de imágenes para niños de Cycowicz, Friedman, Rothstein y Snodgrass (1997), normalizado en nuestro país por Manoiloff, Artstein, Canavoso, Fernández y Segui (2010). Las dos primeras categorías pertenecen al dominio de lo vivo, y las dos últimas, al de lo no vivo.
Se trata de estímulos frecuentemente estudiados y familiares para los niños. Si bien la denominación OBJETOS es más amplia y general que las de las otras categorías, se eligió esa etiqueta puesto que los tres objetos que la componen, que son naturales y manipulables, no suelen llevar una etiqueta léxica unívoca.
La tarea fue presentada como un juego: Los dibujos se mostraron de a uno; los participantes debían primero nombrarlos (como garantía de que los conocían) y luego describírselos a un supuesto niño que no los podía ver. Luego de dar la consigna, se mostró un ejemplo que ilustraba que debían mencionar los atributos que definen a los conceptos, y no cualquier asociación, para evitar respuestas puramente afectivas o personales, y para evitar también el estilo narrativo. Como los niños de 6 años recién habían comenzado el aprendizaje de la lectoescritura, el registro escrito de los atributos corrió por cuenta del experimentador.
Se procedió a la recolección de datos a partir del consentimiento informado de los padres o cuidadores de los alumnos.
Dicho consentimiento se extendió a través de una nota donde se explicó con claridad el procedimiento general, su duración, la utilización de los resultados y una breve descripción de la tarea. Asimismo, los niños dieron su asentimiento en forma oral y fueron entrevistados en horario escolar, uno a la vez, en salas de las escuelas destinadas para tal fin.
Los participantes podían interrumpir su participación si así lo deseaban. Tanto el consentimiento como la realización del proyecto respetaron los lineamientos dados por el CONI-CET para el comportamiento ético en las Ciencias Sociales y Humanidades (2857/06), las normas éticas internacionales y de las instituciones participantes.
Las respuestas se clasificaron según el tipo de relación conceptual involucrado (Taxonómico superordinado, coordinado y subordinado; Temático espacial, temporal, situacional, funcional y de acción; Atributivo; Comportamiento; Evaluativo egocéntrico y estereotipado; Otro), siguiendo a Borghi y Caramelli (2003) y Wu y Barsalou (2009).
Criterio Taxonómico superordinado: concepto de nivel más amplio que el del concepto base (GATO-"es un animal"); coordinado: concepto del mismo nivel (SILLÓN-"es como una silla"); subordinado: nivel inferior (GATO-"algunos son salvajes"). Criterio Temático espacial: dónde se lo suele encontrar (GALLINA-"está en la granja"); temporal: cuándo (MARIPOSA-"se ve en primavera"); situacional: situación compleja en la que aparece/interviene (MECEDORA-"las abuelas tejen y duermen la siesta ahí"); funcional: para qué sirve (VELA-"sirve para iluminar"); acción: lo que hace sobre o con otros objetos, y lo que se le hace (SILBATO-"se le puede poner un piolín").
Criterio Comportamiento: acciones características e independientes de otros objetos y del contexto (MARIPOSA-"vuela"). Criterio Atributivo: propiedades intrínsecas del objeto -perceptivas o valorativas- (GATO-"es lindo", "tiene bigotes"). Criterio Evaluativo egocéntrico: experiencias personales con el objeto o reacciones afectivas (GATO-"en mi casa teníamos uno", "no me gusta"); estereotipado: expresiones idiomáticas o culturales idiosincráticas (GALLINA-"cuando tenés frío, tenés piel de este animal").
Criterio Otros: respuestas que no cumplen con los otros criterios (BANANA- "empieza con la letra b"; cabe recordar que los estímulos fueron presentados como dibujos, no como palabras).
Se realizaron análisis de varianza (ANOVA) de una vía para determinar la distribución de los criterios temático, taxonómico y atributivo en cada categoría (ANIMALES, FRUTAS, OBJETOS y MUEBLES), y la preeminencia de los criterios temático y taxonómico según la categoría.
Se reportan los análisis post-hoc en los casos en que hubo diferencias de medias. Se utilizó la aproximación de Welch y el método de análisis Games-Howell en los casos de varianzas no homogéneas.
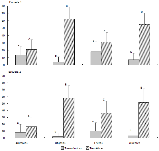
Se hallaron diferencias significativas en la distribución de las relaciones temáticas, taxonómicas y atributivas en las cuatro categorías semánticas (Escuela 1, ANIMALES: F = 66.95, gl = 2, 210, p = .00; FRUTAS: F = 48.94, gl = 2, 210, p = .00; OBJETOS: F = 424.25, gl = 2, 119, p = .00; MUEBLES: F = 296.29, gl = 2, 130, p = .00. Escuela 2, ANIMALES: F = 116.89, gl = 2, 183, p = .00; FRUTAS: F = 83.88, gl = 2, 183, p = .00; OBJETOS: F = 390.39, gl = 2, 93, p = .00. MUEBLES: F = 257.24, gl = 2, 97, p = .00).
En ANIMALES y FRUTAS, las relaciones conceptuales de mayor aparición fueron las atributivas, en ambas escuelas. En OBJETOS y MUEBLES, en la escuela 1 imperaron las relaciones temáticas; en la escuela 2, también imperaron las relaciones temáticas en OBJETOS, en tanto en MUEBLES la presencia de las temáticas y las atributivas fue pareja. Las relaciones taxonómicas fueron las de menor aparición en las cuatro categorías semánticas, en ambas escuelas (ver Tabla 1).

Con respecto a la preeminencia de las relaciones temática y taxonómica según la categoría semántica, se halló que las relaciones taxonómicas se presentaron en mayor medida en los seres vivos (FRUTAS y ANIMALES) que en los no vivos (OBJETOS y MUEBLES). Por su parte, con el criterio temático ocurrió lo inverso: se presentó en mayor medida en las categorías de entes no vivos que en las de vivos (ver tabla 2 y figura 1).


No es de extrañar que los rasgos atributivos (que incluyen lo perceptivo) y temáticos hayan tenido una mayor presencia que los taxonómicos en todas las categorías. Como estos últimos se rigen por relaciones abstractas y lógicas como la inclusión (Deák & Wagner, 2003), se los considera más complejos que los perceptivos y los temáticos, que están atados al contexto y a características superficiales, resultando menos costosos y más prominentes, especialmente para los niños (Estes et al., 2011; Piaget & Inhelder, 1971).
Las relaciones temáticas predominaron en la caracterización de OBJETOS y MUEBLES (entes inanimados) y no en la de seres vivos, en apoyo a la idea de que las características contextuales y funcionales -cómo se usan los objetos, en qué lugares y situaciones se los suele encontrar, etcétera- son más importantes para reconocer y describir artefactos que seres vivos (Beauchamp & Martin, 2007; Cree & McRae, 2003; Garrard et al., 2001; Hughes et al., 2005; Mahon & Caramazza, 2009; Kalenine et al., 2009; Roversi et al., 2013; Sachs et al., 2008; Tulving & Craik, 2000; Vigliocco et al., 2004).
Asimismo, la presencia de relaciones taxonómicas fue mucho más alta en ANIMALES y FRUTAS que en OBJETOS y MUEBLES. Es decir, se encontró el patrón inverso al temático, en concordancia con la idea de que las relaciones taxonómicas son más pertinentes para categorizar seres vivos (Kalénine & Bonthoux, 2006; Wright et al., 2015). Al respecto, Sachs et al. (2008) señalan que el procesamiento taxonómico depende mayormente de información perceptiva; esto se debe a que los objetos relacionados taxonómicamente (e.g., pato-gallina) comparten muchas dimensiones a partir de las cuales se los puede comparar (e.g., tamaño, forma), activando redes visuales (Kalenine et al., 2009; Tulving & Craik, 2000).
En relación con lo anterior, la presencia de relaciones atributivas fue mayor en ANIMALES y FRUTAS; esto apoya la idea de que las características perceptivas/visuales son esenciales para procesar seres vivos, tanto en niños como en adultos (Cree & McRae, 2003; Garrard et al., 2001; Hughes et al., 2005; Kalénine et al., 2009; Mahon & Caramazza, 2009; Roversi et al., 2013; Vigliocco et al., 2004).
En suma, nuestros resultados muestran, en coincidencia con los de otros estudios que abordan el problema desde modelos de rasgos o de teorías intuitivas, que los dominios de seres vivos y no vivos sacan mejor provecho de diferente tipo de información. Así, el aspecto de los objetos, el conocimiento sobre otros miembros de su clase, la función que desempeñan o el contexto espacio-temporal en el que aparecen resultan ser cuestiones importantes dependiendo del dominio de que se trate.
Aún más, explorando el desarrollo de la categorización en estos mismos niños, se encontraron más relaciones taxonómicas en los de 10-11 años que en los de 6-7, debido al aumento de atributos superordinados justamente en la categoría ANIMALES. Asimismo, el criterio temático apareció con igual fuerza en esos dos grupos de edad (los mayores y los menores de la muestra) en la categoría OBJETOS, y con menor frecuencia en los de 8, mostrando un desarrollo no lineal, a la vez que la importancia de lo temático en el dominio de lo inanimado con independencia de la edad (García Coni, 2013).
Consideramos que el estudio de las representaciones conceptuales de diferentes categorías en niños resulta novedoso e interesante, puesto que la mayoría de los estudios se refieren a adultos y han sido a menudo criticados por los métodos empleados. Cabe señalar que aquí los participantes debieron caracterizar un conjunto de objetos presentados como imágenes, y no brindar definiciones, justamente porque los niños mayores conocen más palabras y se encuentran escolarizados desde hace más tiempo que los otros niños de la muestra; por lo tanto, solicitar definiciones hubiera sesgado necesariamente los resultados.
Podemos concluir, a partir de nuestros resultados, que los patrones observados en adultos también se encuentran en niños de 6 a 11 años de edad. Por lo tanto, el presente trabajo contribuye al estudio de la categorización semántica al indagar uno de los factores que inciden en ella, a saber, la categoría y el dominio semántico a los que pertenecen los conceptos. Más específicamente, se vislumbra su aporte al estudio del desarrollo de la organización conceptual al proporcionar evidencia de que en edad escolar los criterios temático y taxonómico se asocian diferencialmente con los dominios de objetos y seres vivos.
El presente trabajo de investigación ha sido financiado por el CONICET. Se agradece la colaboración de las instituciones educativas y de los alumnos que participaron en el estudio
*Autor para correspondencia. Correo electrónico: anagconi@gmail.com


