Investigación
Determinantes de la calidad, la satisfacción y el aprendizaje percibido de la e-formación del profesorado universitario
Determining Factors in the Quality, Satisfaction, and Perceived Learning in Electronic Learning Courses Taken by University Professors
Determinantes de la calidad, la satisfacción y el aprendizaje percibido de la e-formación del profesorado universitario
Revista mexicana de investigación educativa, vol. 23, núm. 78, 2018
Consejo Mexicano de Investigación Educativa A.C.
Recepción: 14 Julio 2017
Aprobación: 11 Abril 2018
Resumen: El objetivo de esta investigación fue determinar la influencia de los factores pedagógicos y de diseño instruccional, controlados por los instructores, sobre el aprendizaje, la satisfacción y la calidad percibidos por los participantes en cursos de formación de profesorado universitario impartidos en formato e-learnig. Participaron 109 profesores universitarios. Como procedimiento de análisis estadístico se utilizó la regresión por mínimos cuadrados parciales (Partial Least Squares, PLS). Los resultados mostraron que los factores rigor y contenido del curso fueron los predictores de satisfacción (R2 = .66) y calidad (R2 = .55); en tanto los factores contenido del curso, estructura del curso, rigor, interacción profesor-instructor e interacción entre profesores mostraron un impacto positivo y significativo sobre el aprendizaje percibido (R2 = .70).
Palabras clave: aprendizaje virtual, calidad de la educación, satisfacción en los estudios, educación superior, educación continua.
Abstract: The objective of this research was to determine the influence of pedagogical factors and instructional design, controlled by instructors, on the learning, satisfaction, and quality that participants perceive in electronic learning for training university professors. The participants were 109 university professors. The statistical analysis used partial least squares, PLS. The results showed that rigor and course content predicted satisfaction (R2 = .66) and quality (R2 = .55); while course content, course structure, rigor, teacher/student interaction, and interaction among professors had a significant positive impact on perceived learning (R2 = .70).
Keywords: electronic learning, educational quality, student satisfaction, higher education, lifelong learning.
Introducción
Las Tecnologías de la Información y la Comunicación (TIC) se consideran importantes herramientas para apoyar los procesos de enseñanza-aprendizaje, de tal manera que están apareciendo nuevos ecosistemas formativos que suponen un giro hacia el e-learning (Abella et al., 2011). Ante el crecimiento de esta modalidad de aprendizaje numerosas líneas de investigación se han dirigido a conocer y comprender qué factores afectan, respecto del curso, a la satisfacción del estudiante, al aprendizaje percibido y la calidad (Kurucay e Inan, 2017; Sebastianelli, Swift y Tamimi, 2015; Uppal, Ali y Gulliver, 2017). Al diseñar un curso, los instructores deben decidir, entre otros elementos, aquellos relacionados con su estructura, los materiales y la forma de proporcionarlos. Estas decisiones pueden tener un impacto directo sobre la experiencia de aprendizaje de los estudiantes y la percepción que tengan del curso. Conocer el impacto que tales disposiciones sobre el diseño del curso tienen sobre el aprendizaje o la satisfacción es un aspecto fundamental para desarrollar estrategias instruccionales efectivas en la enseñanza en línea. Por ello, y como guía para la revisión de la literatura, nos centraremos en la distinción sobre los tipos de interacción que propuso Moore (1989) dentro de la enseñanza en línea: alumno-contenidos, alumno-alumno y alumno-profesor.
Los contenidos son un aspecto fundamental en cualquier curso, y sobre ellos el profesorado debe decidir los conceptos a trabajar, el número de temas o la dificultad de los mismos. Los contenidos y su comprensión es uno de los aspectos más valorados por los estudiantes en la e-formación (Holsapple y Lee-Post, 2006; Palmer y Holt, 2009), de tal manera que Peltier, Schibrowsky y Drago (2007) concluyeron que es la principal influencia sobre la percepción de la calidad de un curso impartido en línea. Asimismo, se ha sugerido que el nivel de rigor o exigencia influye de modo importante al apreciar la calidad de este tipo de cursos (Sebastianelli, Swift y Tamimi, 2015). Un estudio desarrollado por Paechter, Maier y Macher (2010) puso de manifiesto que las expectativas de los estudiantes en cuanto a los objetivos de aprendizaje fueron el predictor más importante del éxito a la finalización del curso.
Otro factor relacionado con los contenidos sobre el que se ha investigado es la estructura del curso, la cual se relaciona directamente con el nivel de satisfacción mostrado por los estudiantes en la finalización del curso (Lee y Rha, 2009; Murphy y Rodríguez-Manzanares, 2008). Gran parte de la investigación en esta línea se ha centrado en cómo se debe presentar la información, y una de las principales recomendaciones es que se utilice un formato estandarizado de presentación en las diferentes unidades del curso y entre los propios cursos (Bruckman, 2002). Esta consistencia fomenta un aprendizaje más eficaz, puesto que permite a los estudiantes centrarse en los contenidos y tareas, en vez de tener que hacerlo en adaptarse continuamente a las nuevas estructuras de presentación de los contenidos. Sun y Ganesh (2014) encontraron que los estudiantes prefirieron mantener la estructura de los cursos antes que cambiar la forma de acceder a los materiales. En este sentido, Uppal, Ali y Gulliver (2017) indican que la capacidad de respuesta del profesorado, la concreción del material, el sitio web y el contenido de aprendizaje tienen una correlación positiva con la percepción de un e-aprendizaje de calidad. El estudio de Blau, Drennan, Hochner y Kapanjie (2016) determinó, con una muestra de 265 participantes, que las variables más efectivas para explicar el aprendizaje obtenido fueron la efectividad del instructor y la motivación del estudiante.
La interacción alumno-alumno tiene lugar entre un estudiante y otro, entre pequeños grupos o incluso entre todos los participantes de un curso. En la e-formación esta intercomunicación se da a través de foros, correos electrónicos, redes sociales o sistemas de videoconferencia. Investigaciones recientes han puesto de manifiesto que la interacción entre estudiantes aumenta su grado de satisfacción (Lee, Srinivasan, Trail, Lewis y Lopez, 2011; Oncu y Ozdilek, 2013). Sher (2009) analizó si este proceso estaba relacionado con el aprendizaje percibido y con la satisfacción por parte de los estudiantes, encontrando una asociación significativa en ambos casos. Sin embargo, Cheng y Chau (2016) consideran que los trabajos que relacionan la participación en línea y la satisfacción son muy limitados, por lo que se hacen necesarios estudios que profundicen en estos aspectos. Kurucay e Inan (2017) demostraron que los alumnos que desarrollaron el curso en grupo realizaron una valoración significativamente más elevada que aquellos que lo hicieron de manera individual. Además, esta percepción positiva de trabajar en línea en grupo se mantuvo después de realizar el curso.
La interacción profesor-alumno dentro de la formación en línea tiene lugar de forma tanto síncrona como asíncrona, por lo general a través de las mismas herramientas que se han comentado en el caso de la interacción entre estudiantes, si bien hay algunas características diferenciadoras. Mientras que en la forma asíncrona no existe una coordinación temporal, la síncrona se caracteriza porque profesor y alumno mantienen diversos canales de comunicación abiertos. La interacción básica que podemos tener en un curso en línea tiene lugar a través de las correcciones que el profesor realiza sobre las tareas de los estudiantes. Oyarzun, Stefaniak, Bol y Morrison (2017) concluyeron que quienes participaron en cursos en los que existía una mayor intención colaborativa/cooperativa tuvieron mejor percepción de aprendizaje que aquellos cuya interacción atendía al contexto. Además, se demostró cómo una mayor presencia del instructor favoreció el rendimiento del alumno y su satisfacción con el aprendizaje. Respecto de la retroalimentación está bien determinado que ésta tiene que ser rápida, significativa y consistente (Dykman y Davis, 2008), si bien se suele recomendar que el profesorado establezca unas normas claras sobre los tiempos de respuesta en lo que respecta a calificaciones, revisiones, correos, dudas en los foros, entre otros (Perrault, Waldman, Alexander y Zhao, 2002). Pero la interacción entre estudiantes y profesores no se puede circunscribir solamente a las correcciones de las tareas, sino que dentro de los procesos de e-formación los profesores intervienen en los foros de discusión, videoconferencias o salas de chat, a menudo para fomentar el debate sobre conceptos relacionados con la materia pero que no forman parte del temario de la misma. Este tipo de interacción también es considerada como un factor clave que repercute sobre el nivel de satisfacción de los estudiantes (Eom, Wen y Ashill 2006; Kauffman, 2015; Paechter, Maier y Macher, 2010).
La formación es un recurso social y económico fundamental, pero para que resulte efectiva ha de entenderse como un proceso que no se circunscribe a un periodo concreto, sino que dura a lo largo de toda la vida (lifelong learning). Es innegable que la formación permanente del profesorado es un aspecto fundamental en el desarrollo profesional del docente universitario, contribuyendo a la mejora en la calidad de la docencia y permitiendo la construcción de la identidad docente (De Juanas y Diestro, 2011).
En este sentido, actualmente se está experimentando un incremento de cursos ofertados en modalidad remota ya que, a nivel institucional, suponen una reducción de costos. Por otro lado, desde el punto de vista de los profesores, la modalidad en línea está ganando en aceptación, ya que les permite una mayor flexibilidad horaria, pudiendo hacer el curso compatible con sus actividades docentes, de gestión y de investigación.
Centrándonos en la e-formación del profesorado universitario y con la intención de evitar confusiones terminológicas, a partir de aquí, no denominaremos estudiantes a los asistentes al curso sino profesores, mientras que referiremos como instructores a los encargados de diseñarlo e impartirlo.
El objetivo de esta investigación es determinar la influencia de los factores pedagógicos y de diseño instruccional controlados por los instructores sobre la percepción del aprendizaje, la satisfacción y la calidad.
Material y métodos
Diseño de la investigación
Este estudio se ha realizado en el marco de cuatro actividades de formación permanente del profesorado universitario y que se ofertaron en formato e-learning, en las universidades de Valladolid y de Extremadura (España), y estaban dirigidos a la mejora de las competencias tecnológicas, didácticas y de gestión del profesorado.
Estos cursos tuvieron una duración de dos semanas, con una carga de trabajo estimada de 12.5 horas para los participantes. El curso, que se impartió en cuatro ediciones, se diseñó tomando ADDIE como modelo instruccional (Morrison, 2010), bajo el paradigma constructivista y con una orientación eminentemente práctica. Fue impartido por cuatro instructores.
El curso contaba con un tablón de anuncios utilizado para avisar a los profesores matriculados de cualquier incidencia que tuviera lugar; también con un foro en el que podían plantear dudas e interactuar con compañeros e instructores. Con la intención de mantener la interacción, en todo el curso se adquirió el compromiso de resolver las dudas dentro de las 24 horas después de publicadas en el foro. Asimismo, se dio retroalimentación de las tareas en las 48 horas siguientes al plazo de finalización de entrega.
Desde el inicio del curso se ofreció un calendario en el que estaban marcadas las fechas de apertura de temas, de entrega de actividades y de las sesiones virtuales a través del sistema de videoconferencia.
Pasando a los factores relacionados con los contenidos, el curso se diseñó con la intención de fomentar la participación activa de los estudiantes y el aprendizaje a través de tareas. Todos los temas impartidos en el curso contaban con una estructura similar para facilitar a los participantes el acceso a los contenidos. En todos los casos se hacía una breve introducción al tema mediante una clase virtual impartida a través de un sistema de videoconferencia, la cual quedaba grabada y a disposición de los profesores en la plataforma. Además, se hacía una breve presentación de las tareas a realizar, estructuradas según las recomendaciones realizadas por Salomon (2013).
Modelo de investigación e hipótesis
Con base en la literatura revisada se ha propuesto un modelo que analiza la influencia de seis factores sobre la calidad, el aprendizaje percibido y la satisfacción de un curso recibido en línea (ver, más adelante, Figura 1). Para definirlos hemos seguido la propuesta de Sebastianelli, Swift y Tamimi (2015), quienes propusieron tres factores relacionados con los contenidos (contenido del curso, estructura del curso y rigor) y tres asociados con la interacción (profesor-estudiante, estudiante-estudiante y tutoría). Estos, además, son acordes con la propuesta de Marks, Sibley y Arbaugh (2005), quienes consideraron que la influencia que tienen factores que no dependen de las decisiones que tome el profesorado (por ejemplo, la flexibilidad) son comunes a todos los cursos en línea:
Contenido del curso: se refiere a que los contenidos presentados son útiles, no superfluos, y a la aplicabilidad de los mismos.
Estructura del curso: especifica cómo es presentado el curso, organizado y secuenciado en función de los objetivos de aprendizaje propuestos.
Rigor: este constructo indica el reto cognitivo y la dificultad que plantean los contenidos y actividades presentadas en el curso.
Interacción instructor-profesor: se refiere al grado de participación de los instructores dentro de la comunidad en línea.
Interacción profesor-profesor: explica el grado de participación de los profesores dentro de la comunidad en línea y la utilidad de las aportaciones para el aprendizaje.
Tutoría: se refiere al apoyo dado por los tutores tanto a nivel formativo como de resolución de problemas técnicos.
Satisfacción: indica el grado de cumplimiento de las expectativas del curso.
Calidad: explica el grado en que el curso se ha ajustado a los objetivos planteados.
Aprendizaje percibido: se refiere a la creencia subjetiva de los participantes en el curso sobre los conocimientos, habilidades o destrezas adquiridas en el desarrollo del curso.
Con base en el modelo teórico propuesto en la Figura 1 (ver más adelante), se proponen las siguientes hipótesis:
Contenido del curso:
será un predictor positivo de la satisfacción de los profesores que recibieron el curso de formación permanente.
predecirá de forma positiva la calidad que ha tenido el curso para los participantes.
predecirá de forma positiva el aprendizaje percibido por parte del profesorado que realizó el curso.
Estructura del curso:
será un predictor positivo de la satisfacción de los profesores que recibieron el curso de formación permanente.
predecirá de forma positiva la calidad que ha tenido el curso para los participantes.
predecirá de forma positiva el aprendizaje percibido por parte del profesorado que realizó el curso.
Rigor:
será un predictor positivo de la satisfacción de los profesores que recibieron el curso de formación permanente.
predecirá de forma positiva la calidad que ha tenido el curso para los participantes.
predecirá de forma positiva el aprendizaje percibido por parte del profesorado que realizó el curso.
Interacción instructor-profesor:
será un predictor positivo de la satisfacción de los profesores que recibieron el curso de formación permanente.
predecirá de forma positiva la calidad que ha tenido el curso para los participantes.
predecirá de forma positiva el aprendizaje percibido por parte del profesorado que realizó el curso.
Interacción profesor-profesor:
será un predictor positivo de la satisfacción de los profesores que recibieron el curso de formación permanente.
predecirá de forma positiva la calidad que ha tenido el curso para los participantes.
predecirá de forma positiva el aprendizaje percibido por parte del profesorado que realizó el curso.
Tutoría:
será un predictor positivo de la satisfacción de los profesores que recibieron el curso de formación permanente.
predecirá de forma positiva la calidad que ha tenido el curso para los participantes.
predecirá de forma positiva el aprendizaje percibido por parte del profesorado que realizó el curso.
Muestra
Los cursos sobre los que se ha realizado la investigación se ofrecieron a 2 mil 293 profesores de la Universidad de Valladolid y a los mil 193 con los que cuenta la Universidad de Extremadura. La admisión en cada uno estaba limitada a 40 docentes, y de los 160 matriculados, 109 fueron los que lo completaron y respondieron el cuestionario final. De este total, 64 (58.72%) participantes eran mujeres y 45 varones (41.28%). Respecto de la edad, el rango varió entre los 24 y los 63 años, siendo la media de 44.66 años (DT = 10.19). El 23.7% de los participantes manifestó no haber recibido nunca algún curso en línea, mientras que el 76.3% restante respondió afirmativamente.
Cuestionario
El cuestionario (Anexo 1) se elaboró a partir del utilizado en Sebastianelli, Swift y Tamimi (2015) para evaluar ocho factores: contenido del curso (3 ítems); estructura del curso (3); rigor (3); interacción instructor-profesor (3); interacción profesor-profesor (3); tutoría (3); calidad (2); satisfacción (2). A este cuestionario se añadió un ítem a la dimensión interacción profesor-profesor, elaborado por los investigadores, relativo a la resolución de dudas a través del foro, ya que era un aspecto fundamental dentro del curso. De Richardson y Swan (2003) se extrajeron dos ítems que se añadieron a la dimensión satisfacción, con lo que finalmente este factor quedó compuesto por 4 ítems. También se consideró apropiado añadir otro, relativo al calendario proporcionado, con la intención de que los participantes valorasen si les había ayudado a organizar el tiempo de forma más eficaz, por lo que la dimensión estructura del curso quedó configurada finalmente por cuatro ítems.
Para evaluar el aprendizaje percibido se optó por el cuestionario desarrollado por Alavi (1994), con la intención de valorarlo en entornos formativos en línea. Se compone de seis ítems y recoge alguna de las dimensiones clave de la taxonomía de Bloom.
Todos los ítems del cuestionario se respondieron mediante una escala tipo Likert de 1 (muy en desacuerdo) a 5 (muy de acuerdo), ya que tal y como señalan Revilla, Saris y Krosnick (2014), los datos que se obtienen ofreciendo 7 u 11 opciones de respuesta son de menor calidad que los de aquellos de 5 opciones de respuesta.
Procedimiento de recogida de datos
Previamente a la aplicación del cuestionario se obtuvo el consentimiento informado por los participantes en la investigación. Se informó sobre el carácter voluntario de la respuesta, garantizando en todo momento el anonimato y confidencialidad de los datos obtenidos.
El instrumento fue adaptado a formato en línea utilizando la opción de formularios que ofrece Google Drive y, al finalizar cada uno de los cursos impartidos, se proporcionó, mediante correo electrónico, a cada participante un enlace al cuestionario. A partir de las respuestas dadas por cada sujeto, Google Drive generó una base de datos que se recuperó para el posterior análisis estadístico.
Al tratarse de un estudio de tipo retrospectivo no fue necesario que lo valorase un comité ético.
Análisis de datos
Los Modelos de Ecuaciones Estructurales (SEM) son un conjunto de técnicas estadísticas que están adquiriendo una notable popularidad en las investigaciones dentro del área de las Ciencias sociales. Se pueden distinguir dos tipos de SEM: los basados en la varianza o en la covarianza. Los primeros se suelen utilizar para desarrollar teorías en la investigación exploratoria, puesto que se centran en explicar la varianza en las variables dependientes cuando se examina el modelo; mientras que los basados en la covarianza (CBM) se usan principalmente para determinar en qué medida un modelo teórico puede estimar la matriz de covarianzas en un conjunto de datos (Hair, Hult, Ringle y Sarstedt, 2014). Dentro de los primeros se encuentra la técnica de los Mínimos Cuadrados Parciales (PLS), la cual estima los parámetros de un conjunto de ecuaciones en un modelo de ecuaciones estructurales mediante la combinación del análisis de componentes principales con análisis de regresión path (Sarstedt, Ringle y Hair, 2017).
La técnica PLS, frente a los CBM, puede ser utilizada tanto para la investigación explicativa como para la predictiva (Henseler, Hubona y Ray, 2016) y, además, no impone ninguna suposición de distribución específica para los indicadores, sin necesitar que las observaciones sean independientes unas de otras (Chin, 2010). Otra importante diferencia es que PLS no requiere uniformidad de las escalas de medida y que trabaja de forma eficiente con muestras más pequeñas que los CBM. Por otro lado, se recomienda utilizar PLS frente a CBM cuando el objetivo de la investigación es de carácter exploratorio y predictivo; además la aplicación de PLS ha mostrado una mayor eficiencia en la estimación de parámetros que los modelos CBM y, por lo tanto, una mayor potencia estadística (Hair et al., 2014).
No obstante, la técnica PLS no está exenta de limitaciones, ya que se recomienda no aplicarla cuando existen relaciones circulares entre las variables latentes. También ha recibido críticas por no contar con medidas de bondad de ajuste, si bien en los últimos años se ha realizado una profunda revisión de la misma y han aparecido propuestas para evaluar el ajuste del modelo (Dijkstra y Henseler 2015). Sin embargo, tal y como indican Hair et al. (2014), los resultados de CBM y PLS no difieren demasiado, si bien el sesgo producido por PLS es menor que el de CBM en términos absolutos (Sarstedt, Ringle y Hair, 2017). Finalmente, estudios recientes han mostrado que PLS posee una mayor capacidad predictiva que CBM (Evermann y Tate, 2016).
El presente estudio se centra específicamente en la e-formación del profesorado universitario. Si bien trabajos similares han utilizado CBM (por ejemplo, Peltier, Schibrowsky y Drago, 2007; Sebastianelli, Swift y Tamimi, 2015), en este se utilizó como técnica PLS. La decisión se ha basado en los objetivos de la investigación y en los análisis previos realizados. En primer lugar, se hicieron análisis de normalidad de la muestra mediante la prueba de Kolmogorov-Smirnov. Los resultados revelaron la necesidad de rechazar la hipótesis de normalidad (n.s. .05). Posteriormente, se calcularon los coeficientes de asimetría y kurtosis, comprobando que no había valores extremos que desaconsejaran la utilización de PLS.
En definitiva, debido a al carácter exploratorio y predictivo en el que se centra la investigación, el tamaño de la muestra y la falta de normalidad de su distribución, se ha optado por un enfoque PLS en vez de uno CBM para la evaluación del modelo propuesto.
Resultados
Para mostrar los resultados de los tres modelos propuestos primero se evaluaron los de medida. Para ello, se realizó la valoración global del modelo siguiendo la propuesta de Henseler, Hubona y Ray (2016). Posteriormente, seguimos las recomendaciones de Yu (2011), donde las cargas factoriales se utilizaron para evaluar la fiabilidad individual de cada ítem, mientras que para los constructos se empleó el Índice de Fiabilidad Compuesta (IFC). La varianza media extraída (AVE) se usó para evaluar la validez convergente. Para la validez discriminante se comprobó si las raíces cuadradas del AVE superaban o no las correlaciones entre constructos. Una vez concluido este proceso se valoró el modelo estructural (Figura 1).

Evaluación del modelo de medida
La evaluación del modelo de medida comienza con la del ajuste global del modelo saturado. Este proceso analiza la adecuación del modelo examinando la raíz cuadrada media residual estandarizada (SRMR), la discrepancia geodésica (dG) y la discrepancia de mínimos cuadrados no ponderados (dULS) del modelo saturado (Henseler et al., 2014). En la Tabla 1 puede observarse que los valores obtenidos para los tres modelos propuestos son adecuados.
| Discrepancia | Valor | HI95 | Conclusión | |
|---|---|---|---|---|
| Satisfacción | SRMR | .063 | 0.093 | Soportado |
| dG | 3.059 | 6.692 | Soportado | |
| dULS | 3.28 | 6.34 | Soportado | |
| Calidad | SRMR | .085 | 0.094 | Soportado |
| dG | 2.789 | 5.513 | Soportado | |
| dULS | 4.96 | 6.66 | Soportado | |
| Aprendizaje percibido | SRMR | 0.042 | 0.063 | Soportado |
| dG | 2.051 | 6.612 | Soportado | |
| dULS | 2.14 | 5.46 | Soportado |
La validez convergente de un conjunto de ítems con respecto a su constructo asociado se evalúa examinando las cargas factoriales de los ítems en el constructo. Barclay, Higgins y Thompson (1995) sugirieron mantener todos aquellos ítems con cargas factoriales iguales o superiores a .70 en el factor correspondiente, si bien se puede considerar aceptable a partir de .55 (Falk y Miller, 1992).
En el primer modelo se ha incluido la satisfacción como variable independiente y algunos ítems no han superado el criterio establecido; concretamente, uno relativo a la estructura del contenido y otro a la interacción estudiante-estudiante. El constructo más problemático ha sido tutoría ya que dos de sus tres ítems no alcanzaron el .70. Sin embargo, si tomamos como referencia el criterio establecido por Falk y Miller (1992), tan solo los ítems de la dimensión tutoría (-.33 y .21) no alcanzarían .55. En el segundo modelo la variable independiente fue la calidad del curso percibida por los estudiantes, y en este caso presentaron problemas los mismos ítems, excepto el relacionado con la estructura del contenido. Si aplicamos el criterio de .55 nuevamente los ítems de la dimensión tutoría (-.46 y .50) no lo alcanzan. En el modelo en el que se ha considerado como variable independiente aprendizaje percibido, cinco ítems no superaron el criterio establecido de .70, pero tan solo uno de la dimensión tutoría (.14) no superó el de .55.
La fiabilidad del constructo se ha evaluado mediante el IFC para todos los modelos propuestos. Fornell y Larcker (1981) propusieron medidas iguales o superiores a .70 como criterio indicativo de que los errores de medida eran relativamente pequeños. El único que no supera el umbral es tutoría. Respecto de la AVE, Fornell y Larcker (1981) recomendaron que el valor fuera superior a 0.50, de tal forma que más de 50% de la varianza del constructo se deba a sus indicadores. La dimensión tutoría no supera este valor ni para el modelo de satisfacción (Tabla 2) ni para el de aprendizaje percibido (ver, más adelante, Tabla 4). En el modelo propuesto para calidad, todas las dimensiones superan la puntuación de .50 (ver, más adelante, Tabla 3). De forma general, excepto en el caso de la dimensión tutoría, los resultados muestran una razonable validez convergente del modelo de medida con respecto a los constructos del modelo.
| IFC | AVE | CC | EC | IAA | IPA | RI | TT | SA | |
|---|---|---|---|---|---|---|---|---|---|
| Contenido del curso | .88 | .72 | .85 | ||||||
| Estructura del curso | .87 | .63 | .73 | .80 | |||||
| Interacción estudiante-estudiante | .90 | .56 | .48 | .34 | .75 | ||||
| Interacción profesor-estudiante | .95 | .86 | .65 | .74 | .51 | .93 | |||
| Rigor | .73 | .65 | .77 | .69 | .43 | .69 | .81 | ||
| Tutoría | .35 | .33 | -.03 | -.11 | -.21 | -.28 | -.19 | .57 | |
| Satisfacción | .81 | .75 | .76 | .62 | .44 | .61 | .77 | .12 | .87 |
| IFC | AVE | CC | EC | IAA | IPA | RI | TT | CA | |
|---|---|---|---|---|---|---|---|---|---|
| Contenido del curso | .88 | .81 | .90 | ||||||
| Estructura del curso | .87 | .72 | .71 | .85 | |||||
| Interacción estudiante-estudiante | .90 | .64 | .50 | .35 | .80 | ||||
| Interacción profesor-estudiante | .95 | .56 | .65 | .73 | .51 | .75 | |||
| Rigor | .75 | .86 | .76 | .70 | .45 | .69 | .93 | ||
| Tutoría | .31 | .51 | -.05 | -.25 | -.10 | -.28 | -.14 | .71 | |
| Calidad | .89 | .81 | .67 | .53 | .39 | .55 | .70 | .23 | .90 |
| IFC | AVE | CC | EC | IAA | IPA | RI | TT | AP | |
|---|---|---|---|---|---|---|---|---|---|
| Contenido del curso | .88 | .72 | .85 | ||||||
| Estructura del curso | .88 | .64 | .70 | .80 | |||||
| Interacción estudiante-estudiante | .90 | .56 | .50 | .31 | .75 | ||||
| Interacción profesor-estudiante | .95 | .86 | .65 | .72 | .53 | .93 | |||
| Rigor | .79 | .56 | .69 | .70 | .45 | .68 | .75 | ||
| Tutoría | .01 | .30 | .03 | .20 | .23 | .22 | .17 | .55 | |
| Aprendizaje percibido | .97 | .83 | .75 | .72 | .51 | .70 | .74 | .23 | .91 |
En PLS la validez discriminante se considera adecuada cuando un constructo comparte más varianza con sus indicadores que con otros constructos del modelo. La diagonal de la matriz contiene las raíces cuadradas de las AVE de cada dimensión, la cual nos proporciona una medida comparable a una correlación (la raíz cuadrada de la varianza compartida entre dos variables). Para que la validez discriminante sea adecuada, los valores de la diagonal deben ser mayores que los que aparecen debajo de la diagonal en las correspondientes filas y columnas. En el modelo de satisfacción (Tabla 2) el constructo tutoría presenta problemas de validez discriminante, ya que su valor de la diagonal únicamente es superior al obtenido en su interacción con contenido del curso y estructura del curso. Para el modelo de calidad (Tabla 3) y el de aprendizaje percibido (Tabla 4) todos los constructos presentan una adecuada validez discriminante.
A partir de los resultados obtenidos en la evaluación del modelo de medida se ha procedido a la depuración de los modelos propuestos, tomando la decisión de eliminar el constructo tutoría en todos ellos.
Evaluación del modelo estructural
La evaluación del modelo estructural consiste en analizar el valor predictivo de las relaciones existentes entre los constructos del modelo. El proceso se lleva a cabo mediante los coeficientes path (β) y la varianza explicada (R2 ) en las variables endógenas, los cuales servirán como indicadores del ajuste del modelo dentro de la muestra (Chin, 1998). Se realizó un bootstraping de 500 submuestras para comprobar la significatividad estadística de cada coeficiente path usando pruebas-t (Chin, 1998).
Para el modelo de satisfacción solo dos de los coeficientes path fueron significativos en la dirección propuesta (Tabla 5). En este caso solo son soportadas dos de las seis hipótesis planteadas para este modelo: H1 y H7. Son las únicas relaciones con p< .05 y cuyos intervalos de confianza no incluyen el valor 0. Por lo tanto, se confirma la relación positiva y significativa entre contenidos del curso y rigor con la satisfacción.
| β | p | t | f2 | IC 5% | IC 95% | Resultado | |
|---|---|---|---|---|---|---|---|
| CC → SA | .28 | .04 | 1.95 | .09 | .04 | .58 | Soportado |
| EC → SA | -.03 | .84 | .19 | .00 | -.31 | .34 | No soportado |
| IAA → SA | .09 | .33 | .98 | .02 | -.08 | .26 | No soportado |
| IPA → SA | .16 | .31 | 1.01 | .03 | -.17 | .44 | No soportado |
| RI → SA | .48 | .01 | 2.55 | .29 | .01 | .69 | Soportado |
En cambio el resto de hipótesis para el modelo de satisfacción no son soportadas ya que estructura del curso (H4), interacción instructor-profesor (H10), ni interacción entre profesores (H13) han sido significativas. Eliminando las relaciones no significativas obtenemos un modelo que cumple con todos los criterios del análisis de medida y el estructural (Figura 2). Los constructos rigor y contenido son predictores de la satisfacción de los participantes en el curso con un R2 = .66.

Examinando de forma individual el tamaño del efecto de los predictores se proporciona información sobre la contribución individual de cada uno de los constructos. Un f2 de .02, .15 y .35 se pueden tomar como indicadores para determinar si el modelo predictivo tiene un efecto débil, moderado o fuerte a nivel estructural (Chin, 1998). Con respecto a la satisfacción, rigor tiene el mayor tamaño del efecto (.29), clasificado como medio, en cambio el tamaño del efecto de contenido del curso (.09) se considera pequeño. Estos resultados indican que la mayor parte de la varianza explicada estaba representada por el efecto combinado de ambos constructos más que por el efecto individual de cada uno de ellos.
Para el modelo de calidad nuevamente solo dos de los coeficientes path fueron significativos (Tabla 6). Solo en dos hipótesis de las planteadas se ha mostrado un efecto directo y significativo sobre la calidad del curso: rigor (H8) y de contenido del curso (H2).
| β | p | t | f2 | IC 5% | IC 95% | Resultado | |
|---|---|---|---|---|---|---|---|
| CC → CA | .20 | .02 | 1.248 | .036 | .154 | .452 | Soportado |
| EC → CA | .02 | .90 | .130 | .000 | -.283 | .278 | No soportado |
| IAA → CA | .02 | .83 | .221 | .001 | -.129 | .261 | No soportado |
| IPA → CA | .18 | .26 | 1.136 | .032 | -.151 | .465 | No soportado |
| RI → CA | .46 | .00 | 2.858 | .203 | .111 | .745 | Soportado |
Al igual que ocurrió en el modelo de satisfacción, solo dos de las hipótesis planteadas se han mostrado significativas y con un intervalo de confianza adecuado. Nuevamente, no se encontraron relaciones significativas de estructura del curso (H5), interacción instructor-profesor (H11) ni interacción entre profesores (H14) con la calidad. Eliminando las relaciones no significativas obtenemos un modelo depurado (Figura 3) en el que rigor y contenidos del curso explican 55% de la varianza de la calidad del curso.

El mayor efecto individual en la varianza explicada le corresponde a rigor (f2 = .20), considerado como moderado, mientras que el efecto de contenido del curso (f2 = .03) fue pequeño. Al igual que en el anterior modelo la mayor parte de la varianza explicada estaba determinada por la combinación de rigor y contenido del curso.
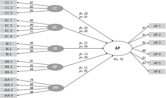
En el caso del modelo propuesto para aprendizaje percibido se han confirmado 5 de las 6 hipótesis propuestas. Si tenemos en cuenta que la dimensión tutoría fue eliminada del modelo todos los coeficientes path fueron significativos y en la dirección propuesta, cumpliendo además con el criterio de incluir el valor 0 en su intervalo de confianza (Tabla 7). Por lo tanto, se confirma la relación positiva y significativa de contenido del curso (H3), estructura del curso (H6), interacción profesor-profesor (H15), interacción instructor-profesor (H15) y rigor (H9).
| β | p | t | f2 | IC 5% | IC 95% | Resultado | |
|---|---|---|---|---|---|---|---|
| CC → AP | .28 | .00 | 2.947 | .16 | .097 | .539 | Soportado |
| EC → AP | .20 | .04 | 1.176 | .088 | .137 | .444 | Soportado |
| IAA → AP | .12 | .04 | 1.945 | .03 | .081 | .298 | Soportado |
| IPA → AP | .13 | .03 | 1.906 | .028 | .155 | .350 | Soportado |
| RI → AP | .27 | .02 | 2.272 | .027 | .001 | .457 | Soportado |
Contenido del curso, estructura del curso, interacción profesor-profesor, interacción instructor-profesor y rigor fueron predictores del aprendizaje percibido con un R2 = .70 (Figura 4).

Desde el punto de vista del efecto individual, su mayor tamaño lo presentó contenido del curso (f2 = .16), cuyo efecto fue moderado, mientas que los efectos correspondientes a rigor (f2 = .088), estructura del curso (f2 = .03), interacción profesor-profesor (f2 = .028) e interacción instructor-alumno (f2 = .027) fueron pequeños. De nuevo el efecto combinado de todos los constructos contribuye a la varianza en mayor grado que el efecto de cada uno de ellos por separado.
Discusión y conclusiones
La intención de este trabajo ha sido analizar qué factores son determinantes de la calidad, la satisfacción y el aprendizaje percibidos en la formación que recibe en línea el profesorado universitario. De forma global nuestros resultados proporcionan evidencia empírica encaminada a realizar recomendaciones para la elaboración de cursos en línea dirigidos a profesorado universitario con la intención de mejorar sus percepciones sobre el aprendizaje, la calidad y la satisfacción con los cursos que reciben.
Los resultados han mostrado que los profesores dan más importancia a unas variables que a otras en función del objetivo deseado; en este caso, ya sea la valoración del aprendizaje percibido, la calidad o la satisfacción del curso. Estas variables deben ser consideradas por los instructores ya que las decisiones que tomen desde el punto de vista del diseño y de la pedagogía tendrán importantes implicaciones en los cursos impartidos en formato e-learning.
Respecto de la satisfacción, los contenidos y el rigor del curso son los dos factores más importantes. Ninguno de los otros relacionados con los contenidos se ha mostrado como predictor significativo. Estos resultados son consistentes con investigaciones previas (Beqiri, Chase y Bishka, 2010; Sebastianelli, Swift y Tamimi, 2015); sin embargo, en el caso de los factores relacionados con la interacción ninguno de los dos ha entrado en el modelo predictivo. De estos resultados se desprende que facilitar a los participantes en el curso el tomar un rol activo en las discusiones y fomentar la interacción no tiene un efecto directo sobre la satisfacción, si bien -tal y como indicaron Tessema, Ready y Yu (2012)- esta depende más de los contenidos que de la calidad de la instrucción.
Desde el punto de vista de la calidad percibida por los profesores que participaron en los cursos, de nuevo el contenido y el rigor fueron los factores más importantes. Sebastianelli, Swift y Tamimi (2015) ya mostraron que el factor contenido era el predictor con mayor peso de la calidad percibida para los estudiantes, sin embargo, en esa investigación también evidenciaron como factores significativos la interacción entre los aprendices y la función tutorial. En esta misma línea, estudios más actuales han demostrado también una fuerte relación entre los contenidos de aprendizaje y la calidad sobre una muestra de 490 estudiantes (Uppal, Ali y Gulliver, 2017).
Respecto del aprendizaje percibido, todos los factores incluidos en el modelo final se han mostrado como predictores significativos. Como en estudios previos (Peltier, Schibrowsky y Drago, 2007; Sebastianelli, Swift y Tamimi, 2015), el contenido del curso fue el factor más importante. En segundo lugar se ubica el rigor, evidenciando que el profesorado valora aspectos como que el curso le ha resultado estimulante o la dificultad del mismo. La estructura del curso también se mostró como predictor significativo, por lo tanto presentar unos objetivos bien definidos, proveer una estructura consistente a lo largo del curso y unas actividades bien estructuradas son aspectos valorados por los profesores y que inciden directamente sobre el aprendizaje percibido. Estudios previos comprobaron el impacto de este predictor sobre la satisfacción de los estudiantes (Bruckman, 2002; Shea, Swan, Fredericksen y Pickett, 2002); sin embargo, nuestros resultados no han mostrado esa relación. Debemos tener en cuenta que la mayor parte de los trabajos realizados se han centrado más en valorar la satisfacción de los estudiantes con el curso recibido y menos en el aprendizaje percibido, lo que abre la línea a investigar sobre modelos que tengan en cuenta la posible relación entre satisfacción y aprendizaje percibidos.
Los factores relacionados con la interacción solamente fueron significativos en el modelo de aprendizaje percibido. La interacción que se da entre profesores, como la que tiene lugar en los foros de discusión, tiene impacto sobre esta percepción. En el caso de la formación de profesorado universitario puede ser un factor especialmente relevante, ya que todos ellos cuentan con experiencia profesional en distintos campos formativos y que pueden compartir. La interacción instructor-profesor también incide en la percepción que los profesores tienen sobre el aprendizaje. Estos resultados contradicen algunos restudios previos, en los que se muestra que los factores relacionados con la interacción no tienen un impacto significativo en la enseñanza en línea (Halawi, McCarthy y Pires, 2009). En este sentido, debemos tener en cuenta que en los últimos años hemos asistido a la revolución de las redes sociales, gracias a las cuales se ha facilitado la interacción y, desde el campo educativo, se ha promovido mucho más el trabajo cooperativo y grupal. También debemos considerar que los participantes forman parte de un grupo muy homogéneo, ya que todos son docentes en instituciones de educación superior, lo cual facilitaría el intercambio de experiencias y vivencias con muchos puntos en común. Algunos trabajos más sí han encontrado relaciones entre la interacción entre estudiantes y la satisfacción con el curso (Lee, et al., 2011; Oncu y Ozdilek, 2013), así como con el aprendizaje percibido (Sher, 2009), y entre la interacción profesor alumno y la satisfacción (Lee et al., 2011; Kauffman, 2015). Sin embargo un reciente estudio de corte cuasi-experimental no observó relaciones significativas entre la interacción entre estudiantes con la satisfacción ni con el aprendizaje percibido (Kurucay e Inan, 2017). En esta misma línea, Uppal, Ali y Gulliver (2017) tampoco encontraron resultados que muestren la relación entre la interacción entre alumnos y la calidad percibida con el curso. Tal y como indican estos mismos autores resulta llamativa las reducidas expectativas que tienen los participantes en los cursos en línea, ya que no esperan ni elevados niveles de empatía ni apoyo personal.
A tenor de los resultados obtenidos en este y otros estudios para los factores relacionados con la interacción se debe distinguir entre las interacciones diseñadas (tienen una alta intencionalidad cooperativa) y las contextuales (dan oportunidad de interactuar pero su objetivo instruccional no es la colaboración). Los resultados obtenidos en nuestro estudio y en otros similares pueden estar relacionados con que las oportunidades de interacción propuestas eran contextuales, ya que Oyarzun et al. (2017) han encontrado que las interacciones diseñadas tienen una importante influencia sobre la satisfacción y los resultados obtenidos por los estudiantes. Promocionar la interacción entre estudiantes les ayuda a sentirse parte de una comunidad y a mejorar sus resultados, pero deben tener pautas y guías claras sobre el funcionamiento y sobre cómo utilizar la tecnología para colaborar, ya que una baja competencia digital puede ser un importante obstáculo para la interacción (Kurucay e Inan, 2017).
En resumen, podemos decir que se valoran más los contenidos que la interacción dentro de la formación en línea, como ya señalaran anteriores investigaciones (Peltier, Schibrowsky y Drago, 2007; Tessema, Ready y Yu, 2012). El profesorado universitario divide su tiempo fundamentalmente en labores docentes, investigadoras y de gestión, siendo una de las principales quejas la falta de tiempo para desarrollar todas estas tareas, por lo que ofrecerles cursos con un adecuado nivel de exigencia y que a su vez no incorporen contenidos superfluos es un factor clave que incidirá positivamente en la percepción de la calidad, la satisfacción y el aprendizaje percibidos. Los factores vinculados con la interacción solo han mostrado relación significativa con el aprendizaje percibido, sin presentarla con la satisfacción o la calidad. El profesorado asistente a los cursos ha recibido la mayor parte de su formación en entornos presenciales centrados en modelos de enseñanza-aprendizaje tradicionales, enfocados en el trabajo individual, y cuya evaluación generalmente era una única prueba de evaluación final (Ausín, Abella, Delgado y Hortigüela, 2016). En estos modelos tradicionales no se solía valorar la interacción y el trabajo colaborativo, por lo que son necesarios estudios que valoren el efecto moderador de la edad y la experiencia en cursos en línea sobre la relación entre los factores relacionados con la interacción y otras variables como la satisfacción con el curso o la calidad percibida.
De forma global, nuestros resultados proporcionan evidencia empírica encaminada a realizar recomendaciones para el diseño de cursos en línea dirigidos al profesorado universitario, con la intención de mejorar sus percepciones sobre el aprendizaje, la calidad y la satisfacción recibidos. Sin embargo, no debemos olvidar que nuestro trabajo no está exento de limitaciones. En primer lugar, existen otros factores relacionados con los contenidos y con la interacción que no se han tenido en cuenta y que podrían ser importantes; por ejemplo, el impacto de las actividades grupales, los estilos de aprendizaje o sobre el tipo de herramientas que se utilizan para la resolución de las tareas (Schoonenboom, 2014). Por otro lado, se centra en un grupo de población muy concreto, como es el profesorado universitario, si bien en este tipo de estudios es bastante común que las investigaciones se enfoquen en un programa o curso específicos (Sebastianelli, Swift y Tamimi, 2015). Por esta razón, consideramos que futuras líneas de investigación deben centrarse en buscar modelos personalizables en función de las características del curso, con la intención de llegar a crear y establecer un modelo independiente del contexto formativo o a quienes se dirija. En esta misma línea y viendo la poca importancia que en muchas ocasiones se otorga a los factores relacionados con la interacción, se hacen necesarias investigaciones que analicen la influencia del sentimiento de soledad del estudiante en línea sobre la calidad percibida o los resultados de aprendizaje.
Referencias
Alavi, Maryam (1994). “ComputerMediated collaborative learning: An empirical evaluation”, MIS Quarterly, vol. 18, núm. 2, pp. 159-174. DOI: 10.2307/249763.
Abella, Víctor; López, Carlos; Ortega, Natividad; Sánchez, Pedro y Lezcano, Fernando (2011). “Implantación de UBUVirtual en la Universidad de Burgos: evaluación y expectativas de uso”, EDUCTEC: Revista Electrónica de Tecnología Educativa, vol. 38. Disponible en: http://edutec.rediris.es/Revelec2/Revelec38/implantacion_ubuvirtual_universidad_burgos.html.
Ausín, Vanesa; Abella, Víctor; Delgado, Vanesa y Hortigüela, David (2016). “Aprendizaje Basado en Proyectos a través de las TIC. Una experiencia de innovación docente desde las aulas universitarias”, Formación Universitaria, vol. 9, núm. 3, pp. 31-38. DOI: 10.4067/S0718-50062016000300005.
Barclay, Donald; Higgins, Chistopher y Thompson, Ron (1995). “The partial least squares (PLS) approach to causal modeling: personal computer adoption and use as an illustration”, Technology Studies, vol. 2, núm. 2, pp. 285-309.
Beqiri, Mirjeta S.; Chase, Nancy M. y Bishka, Atena (2010). “Online course delivery: An empirical investigation of factors affecting student satisfaction”, Journal of Education for Business, vol. 85, núm. 2, pp. 95-100. DOI: 10.1080/08832320903258527.
Blau, Gary; Drennan, Rob B.; Hochner, Arthur y Kapanjie, Darin (2016). “Perceived learning and timely graduation for business undergraduates taking an online or hybrid course”, Journal of Education for Business, vol. 91, núm. 2, pp. 347-353. DOI: 10.1080/08832323.2016.1218319.
Bruckman, Amy (2002). “The future of e-learning communities”, Communications of the ACM, vol. 45, núm. 4, pp. 60-63.
Cheng, Gary y Chau, Juliana (2016). “Exploring the relationships between learning styles, online participation, learning achievement and course satisfaction: An empirical study of a blended learning course”, British Journal of Educational Technology, vol. 47, núm. 2, pp. 257-278. DOI: 10.1111/bjet.12243.
Chin, Wynne (1998). “The partial least squares approach to structural equation modeling”, en G. Marcoulides (coord.), Modern methods for business research, Mahwah: Lawrence Erlbaum Associates, pp. 295-336.
Chin, Wynne (2010). “How to write up and report PLS analyses”, en V. Esposito, W. Chin, J. Henseler y H. Wang (coords.), Handbook of partial least squares: Concepts, methods and applications, Berlín: Springer-Verlag, pp. 655-690.
De Juanas, Ángel y Diestro, Alfonso (2011). “Implicaciones en la formación del profesorado universitario en la actualidad”, en J. Maquilón, A. Mirete, A. Escarbajal y A. Giménez (coords.), Cambios educativos y formativos para el desarrollo sostenible, Universidad de Murcia: Servicio de Publicaciones edit.um, pp. 557-570.
Dijkstra, Theo y Henseler, Jörg (2015). “Consistent and asymptotically normal PLS estimators for linear structural equations”, Computational Statistics and Data Analysis, vol. 81, pp. 10-23. Disponible en: http://dx.doi.org/10.1016/j.csda.2014.07.008
Dykman, Charlene y Davis, Charles (2008). “Online education forum - Part three: A quality online educational experience”, Journal of Information Systems Education, vol. 19, núm. 3, pp. 281-290.
Eom, Sean B.; Wen, H. Joseph y Ashill, Nichollas (2006). “The determinants of students’ perceived learning outcomes and satisfaction in university online education: an empirical investigation”, Decision Sciences Journal of Innovative Education, vol. 4, núm.2, pp. 215-235. DOI: 10.1111/j.1540-4609.2006.00114.x
Evermann, Joerg y Tate, Mary (2016). “Assessing the predictive performance of structural equation model estimators”, Journal of Business Research, vol. 69, núm. 10, pp. 4565-4582. Disponible en: https://doi.org/10.1016/j.jbusres.2016.03.050.
Falk, Frank y Miller, Nancy (1992). A primer for soft modeling, Akron, Ohio: The University of Akron.
Fornell, Claes y Larcker, David F. (1981). “Evaluating structural equation models with unobservable variables and measurement error”, Journal of Marketing Research, vol. 18, núm. 1, pp. 39-50. DOI: 10.2307/3151312
Hair, Joseph; Hult, Tomas; Ringle, Chiristian y Sarstedt, Marko (2014). A primer on partial least squares structural equation modeling (PLS-SEM), Thousand Oaks: SAGE Publications.
Halawi, Leila A.; McCarthy, Richard V. y Pires, Sandra (2009). “An evaluation of e-learning on the basis of Bloom’s taxonomy: An exploratory study”, Journal of Education for Business, vol. 84, núm. 6, 374-380. DOI: 10.3200/JOEB.84.6.374-380.
Henseler, Jorg; Dijkstra, Theo; Sarstedt, Marko; Ringle, Christian; Diamantopoulos, Adamantios; Straub, Detmar; Ketchen, David; Hair, Josehp; Hult, Thomas y Calantone, Roger (2014). “Common beliefs and reality about PLS: Comments on Ronkko and Evermann (2013)”, Organizational Research Methods, vol. 17, núm. 2, pp. 182-209.
Henseler, Jorg; Hubona, Geoffrey y Ray, Pauline (2016). “Using PLS path modeling in new technology research: updated guidelines”, Industrial Management & Data Systems, vol. 116, num. 1, pp. 2-20.
Holsapple, Clyde W. y Lee-Post, Anita (2006). “Defining, assessing, and promoting e-learning success: An information systems perspective”, Decision Sciences Journal of Innovative Education, vol. 4, núm. 1, pp. 67-85. DOI: 10.1111/j.1540-4609.2006.00102.x.
Kauffman, Heather (2015). “A review of predictive factors of student success in and satisfaction with online learning”, Research in Learning Technology, vol. 23. DOI: 10.3402/rlt.v23.26507.
Kurucay, Murat e Itnan, Fethi A. (2017). “Examining the effects of learner-learner interactions on satisfaction and learning in an online undergraduate course”, Computers & Education, vol. 115, pp. 20-37. DOI: 10.1016/j.compedu.2017.06.010.
Lee, Sang; Srinivasan, Sandhya; Trail, Trudian; Lewis, David y Lopez, Samantha (2011). “Examining the relationship among student perception of support, course satisfaction, and learning outcomes in online learning”, Internet and Higher Education, vol. 14, núm. 3, pp. 158-163. DOI: 10.1016/j.iheduc.2011.04.001.
Lee, Hye y Rha, Ilju (2009). “Influence of structure and interaction on student achievement and satisfaction in web-based distance learning”, Educational Technology & Society, vol. 12, núm. 4, pp. 372-382.
Marks, Ronald B.; Sibley, Stanley D. y Arbaugh, J. B. (2005). “A structural equation model of predictors for effective online learning”, Journal of Management Education, vol. 29, núm. 4, pp. 531-563. DOI: 10.1177/1052562904271199.
Moore, Michael G. (1989). “Editorial: Three types of interaction”, The American Journal of Distance Education, vol. 3, núm. 2, pp. 1-7. DOI: 10.1080/08923648909526659.
Morrison, Gary (2010). Designing Effective Instruction, Nueva York: John Wiley & Sons.
Murphy, Elisabeth y Rodríguez-Manzanares, María (2008). “Revisiting transactional distance theory in a context of web-based high-school distance education”, Journal of Distance Education, vol. 22, núm. 2, pp. 1-14.
Oncu, Semiral y Ozdilek, Zehra (2013). “Learning with peers: an interdisciplinary comparative study of learner interaction and satisfaction on an instructional design course”, Educational Sciences: Theory and Practice, vol. 13, núm. 2, pp. 1251-1261.
Oyarzun, Beth; Stefaniak, Jill; Bol, Linda y Morrison, Gary (2017). “Effects of learner-to-learner interactions on social presence, achievement and satisfaction”, Journal of Computing in Higher Education, vol. 1, pp. 1-22.
Paechter, Manuela; Maier, Brigitte y Macher, Daniel (2010). “Students’ expectations of, and experiences in e-learning: Their relation to learning achievements and course satisfaction”, Computers & Education, vol. 54, núm. 1, pp. 222-229. DOI: 10.1016/j.compedu.2009.08.005.
Palmer, S. R. y Holt, D. M. (2009). “Examining student satisfaction with wholly online learning”, Journal of Computer Assisted Learning, vol. 25, núm. 2, pp. 101-113. DOI: 10.1111/j.1365-2729.2008.00294.x.
Peltier, James; Schibrowsky, John y Drago, William (2007). “The interdependence of the factors influencing the perceived quality of the online learning experience: A causal model”, Journal of Marketing Education, vol. 29, núm. 2, pp. 140-153.
Perrault, Heidi; Waldman, Lila; Alexander, Melody y Zhao, Jensen (2002). “Overcoming barriers to successful delivery of distance-learning courses”, Journal of Education for Business, vol. 77, núm. 6, pp. 313-318. DOI: 10.1080/08832320209599681.
Revilla, Melanie; Saris, Willem y Krosnick, Jon (2014). “Choosing the number of categories in agree-disagree scales”, Sociological Methods & Research, vol. 47, núm. 1, pp. 73-97.
Richardson, Jennifer y Swan, Karen (2003). “Examining social presence in online courses in relation to students’ perceived learning and satisfaction”, Journal of Asynchronous Learning Networks, vol. 7, núm. 1, pp. 68-88.
Salomon, Gilly (2013). E-tivities, the key to active online learning, Nueva York: Routledge.
Sarstedt, Marko; Ringle Christian y Hair Joseph (2017). “Partial least squares structural equation modeling”, en C. Homburg, M. Klarmann y A. Vomberg (coords.), Handbook of Market Research, Cham: Springer, pp. 1-40.
Schoonenboom, Judith (2014). “Using an adapted, task-level technology acceptance model to explain why instructors in higher education intend to use some learning management system tools more than others”, Computers & Education, vol. 71, núm. 2, pp. 247-256. DOI: 10.1016/j.compedu.2013.09.016.
Sebastianelli, Rose; Swift, Caroline y Tamimi, Nabil (2015). “Factors affecting perceived learning, satisfaction, and quality in the online MBA: A Structural Equation Modeling”, Journal of Education for Business, vol. 90, núm. 6, pp. 296-305. DOI: 10.1080/08832323.2015.1038979.
Shea, Peter; Swan, Karen; Fredericksen, Eric y Pickett, Alexandra (2002). “Student satisfaction and reported learning in the SUNY learning network”, en J. Bourne y J. Moore (coords.), Elements of quality online education: Learning effectiveness, cost effectiveness, access, faculty satisfaction, student satisfaction, Needham: Olin College-Sloan Consortium, pp. 145-156.
Sher, Ali (2009). “Assessing the relationship of student-instructor and student- student interaction to student learning and satisfaction in web based online learning environment”, Journal of Interactive Online Learning, vol. 8, núm. 2, pp. 102-120.
Sun, Qin y Ganesh, Gopala (2014). “Developing and teaching an online MBA marketing research class: Implications for online learning effectiveness”, Journal of Education for Business, vol. 89, núm. 7, pp. 337-345. DOI: 10.1080/08832323.2013.806885.
Tessema, Mussie; Ready, Kathryn y Yu, Wei-Choun (2012). “Factors affecting college students’ satisfaction with major curriculum: Evidence from nine years of data”, International Journal of Humanities and Social Science, vol. 2, núm. 2, pp. 34-44.
Uppal, Muhammad Amaad, Ali, Samnan y Gulliver, Stephen R. (2017). “Factors determining e-learning service quality”, British Journal of Educational Technology, publicado en línea: marzo de 2017, pp. 1-15. DOI: 10.1111/bjet.12552.
Yu, Chian-Son (2011). “Construction and validation of an e-lifestyle instrument”, Internet Research, vol. 21, núm. 3, pp. 214-235. DOI: 10.1108/10662241111139282.
Anexo 1.
| Factor | Ítem |
|---|---|
| Contenidos | 1. El contenido del curso online añade valor a mi experiencia de formación permanente |
| 2. El contenido del curso online es útil y se puede aplicar a mi trabajo | |
| 3. Los formadores han diseñado el curso haciendo hincapié en los conceptos más importantes | |
| Estructura | 4. La estructura del curso y los objetivos identifican con claridad las metas de aprendizaje a alcanzar |
| 5. Seguir la misma estructura y formato en cada uno de los temas me ha facilitado acceder a los contenidos que he necesitado | |
| 6. El calendario del curso me ha ayudado a conocer las fechas de entrega de trabajos | |
| 7. El calendario proporcionado me ha ayudado a organizar mi tiempo de dedicación al curso | |
| Rigor | 8. El contenido del curso online me ha resultado estimulante |
| 9. El contenido del curso online es menos complicado de lo que me esperaba | |
| 10. No he dedicado mucho tiempo a la resolución de las tareas | |
| Interacción instructor-profesor | 11. Los formadores han interactuado activamente en los foros de discusión |
| 12. Los formadores han respondido a las dudas de forma oportuna | |
| 13. Los formadores han sido receptivos a las dudas de los participantes | |
| Interacción profesor-profesor | 14. La mayoría de los participantes han intervenido más de lo requerido en los foros de discusión |
| 15. Los mensajes de otros participantes en el foro son útiles para comprender diferentes puntos de vista | |
| 16. Los mensajes de otros participantes en el foro son útiles para aprender sobre los contenidos del curso | |
| 17. Los mensajes de otros participantes han sido útiles para resolver dudas sobre el contenido del curso | |
| Tutoría | 18. No me he sentido intimidado para preguntar dudas a los formadores |
| 19. No me he sentido cómodo pidiendo asesoramiento a mis formadores | |
| 20. Problemas tecnológicos han interferido con mi aprendizaje online | |
| Satisfacción | 21. Estoy muy satisfecho con el curso online |
| 22. He aprendido mucho en este curso online | |
| 23. De forma general, estoy decepcionado con el curso online | |
| 24. De forma general este curso ha cubierto mis expectativas de aprendizaje | |
| Calidad | 25. El curso ha tenido una calidad elevada |
| 26. Mi nivel de aprendizaje en este curso ha sido de alta calidad | |
| Aprendizaje percibido | 27. He adquirido una buena comprensión de los contenidos básicos del curso |
| 28. He desarrollado competencias para comunicar con claridad sobre los temas tratados | |
| 29. He aprendido a interrelacionar los aspectos importantes del contenido del curso | |
| 30. He aprendido gran cantidad de contenidos prácticos en este curso | |
| 31. He aprendido a identificar los conceptos más importantes deI curso | |
| 32. He mejorado mi capacidad para aplicar a la práctica los contenidos del curso |

Notas de autor
Autor para correspondencia: Víctor Abella, email: vabella@ubu.es