PRODUCCION DE JITOMATE EN INVERNADERO EN SAN JUAN TILCUAUTLA, HIDALGO, MEXICO
Production of tomato in greenhouse in San Juan Tilcuautla Hidalgo, Mexico
PRODUCCION DE JITOMATE EN INVERNADERO EN SAN JUAN TILCUAUTLA, HIDALGO, MEXICO
Revista Mexicana de Agronegocios, vol. 44, pp. 170-183, 2019
Sociedad Mexicana de Administración Agropecuaria A.C.
Recepción: 13 Noviembre 2018
Aprobación: 06 Mayo 2019
Resumen: El objetivo de esta investigación fue determinar la rentabilidad privada de la producción de jitomate bajo invernadero en San Juan Tilcuautla municipio de San Agustín Tlaxiaca, Hidalgo durante el ciclo marzo-diciembre de 2018. En enero de 2019 se aplicó una encueta semi-estructurada a cinco productores de jitomate en una superficie total de 25,200 m2, obteniendo costos derivados de estructura del invernadero, renta del terreno, equipo, preparación del terreno, siembra, trasplante, riego, fertilización, fungicidas, mano de obra, cosecha y comercialización e ingresos generados por la venta del producto con el fin de calcular la Relación Beneficio Costo (RBC) y obtener la rentabilidad privada de los sistemas de producción. Los cinco proyectos estudiados generaron 1,037.8 toneladas que fueron vendidos en la central de abastos de Iztapalapa a un precio promedio de $9.00 por kilogramo; todos éstos resultaron rentables ya que la RBC fue de 1.59, 1.72, 1.77, 1.89 y 1.92 de los proyectos 1, 2, 3, 4 y 5, respectivamente.
Palabras clave: Rentabilidad privada, costos de producción, jitomate en invernadero, comercialización de jitomate.
Abstract: The objective of this investigation was to determine the private profitability of the production of tomato in greenhouse in San Juan Tilcuautla municipality of San Agustín Tlaxiaca, Hidalgo during the March-December 2018 cycle. In January 2019 a semi-structured survey was applied to five tomato producers in a total area of 25 200 m2, obtaining greenhouse structure costs, land rent, equipment, land preparation, sowing, transplantation, irrigation, fertilization, fungicides, labor, harvesting and merchandising and revenues generated by the sale of the product in order to calculate the Cost Benefit Ratio (CBR) and obtain the private profitability of the production systems. The five projects studied generated 1 037.8 tons that were sold at the Iztapalapa supply centre at an average price of $9.00 per kilogram; all these were profitable since the CBR turned out to be 1.59, 1.72, 1.77, 1.89 and 1.92 of projects 1, 2, 3, 4 and 5, respectively.
Keywords: Private profitability, production costs, tomato in greenhouse, tomato marketing.
INTRODUCCIÓN
El municipio de San Agustín Tlaxiaca, Hidalgo se localiza a 19 km de la ciudad de Pachuca formando parte de la zona metropolitana de Pachuca, se encuentra a una altura de 2,358 metros sobre el nivel del mar (m.s.n.m.), sus coordenadas geográficas son: 20°06’ latitud norte y 98° 53’ latitud oeste. Colinda al norte con los municipios de Actopan, El Arenal, Mineral del Chico y Ajacuba; al sur con Zapotlán de Juárez, Tolcayuca y con el estado de México; al este con Pachuca de Soto, Zapotlán de Juárez y Mineral del Chico y al oeste con Ajacuba y el estado de México (INEGI, 2019). Tiene una superficie de 297.20 km2, representa el 1.43% del estado, donde el 44.72% tiene uso agrícola, 21.69 pastizal, 1.85% bosque, 28.04% matorral y 3.70% otro. La superficie sembrada de los principales cultivos son 3,316 ha de maíz de grano, 1,415 ha de frijol, 400 ha de avena forrajera y 20 ha de trigo grano (INEGI, 2017).
El municipio cuenta con una población de 36,079 habitantes. Tiene una Población Económicamente Activa (PEA) de 14,406 personas, donde el 6.14% labora en el sector primario, 43.17% en el secundario, 49.98% en el terciario y el resto no está especificado (INEGI, 2015a).
San Juan Tilcuautla, localidad objeto de estudio, está ubicada a 20°09’ latitud norte y 98° 48’ latitud oeste a 2,520 m.s.n.m., con una temperatura media anual de 13.20 oC, con precipitación anual de 773 mm, cuenta con 2,183 habitantes con grado de marginación media (INEGI, 2015b). Para 2018 se registró una superficie sembrada de 48.70 ha de jitomate tipo saladette.
En México, el cultivo de jitomate se desarrolla mayoritariamente bajo condiciones de invernadero debido a incrementos en el rendimiento y adaptación a diferentes esquemas de producción (Sánchez et al., 2010; Barrios et al., 2015). La producción de hortalizas en invernadero genera mayor calidad y rendimiento del producto (Espinoza y Ramírez, 2016). La rentabilidad privada de un cultivo es una condición necesaria para producir y un criterio importante en la toma de decisiones de política pública agrícola (Timofti y Latisin, 2013).
Como antecedente del análisis de rentabilidad privada de la producción de jitomate en invernadero en Hidalgo, se tiene el estudio realizado por Terrones y Sánchez (2011), en Acaxochitlán, los autores determinaron la RBC de cuatro proyectos y concluyeron que todos éstos fueron rentables con valores que oscilaron entre 1.57 y 3.09.
El objetivo de esta investigación fue determinar la rentabilidad privada de la producción de jitomate bajo invernadero en San Juan Tilcuautla municipio de San Agustín Tlaxiaca Hidalgo, mediante la obtención de la RBC de cinco proyectos estudiados en el ciclo marzo-diciembre de 2018, bajo el supuesto que dicha actividad es rentable.
MATERIALES Y MÉTODOS
Para determinar la rentabilidad privada de la producción de jitomate bajo condiciones de invernadero, en San Juan Tilcuautla, en el ciclo marzo-diciembre de 2018, se aplicó una encuesta simi-estructura en enero de 2019, dirigida a cinco productores con el fin de obtener costos e ingresos de la actividad productiva. Las preguntas hacían referencia a costos de construcción del invernadero (estructura y plástico), renta del terreno, equipo, siembra, fertilizantes, mano de obra, pesticidas, fungicidas, riego, cosecha, pos-cosecha y comercialización. Los ingresos se determinaron preguntando la producción total obtenida por proyecto y el precio de venta.
Estructura de costos
Considerando que la vida útil de la estructura del invernadero es de 20 años; para un ciclo se consideró el 5% del costo de construcción y el 20% del costo del plástico ya que éste se cambia cada cinco años. El monto vigente para la utilización de la tierra en la producción de jitomate fue tomado como renta del terreno. Para la siembra, fueron tomados en cuenta los costos de la semilla, semillero (lugar donde germina la semilla), mano de obra para el trasplante. En fertilización, se considerados los costos de nitrato de calcio, nitrato de potasio, sulfato de potasio, magnesio, mono potásico y micronutrientes. Para fortalecer el desarrollo de las raíces de la planta se usaron enraizadores. Los costos de los productos químicos para la prevención y control de plagas (mosca blanca) y enfermedades (tizón y hongos) fueron etiquetados en el rubro de pesticidas. Como costo de riego se tomó en cuenta el pago mensual que realiza el productor por el uso de agua. Para cosecha, se consideró el costo de la mano de obra para realizar los cortes. El productor realiza labores de pos-cosecha con el fin de preparar el terreno para el próximo ciclo, los costos generados se contabilizaron en este rubro, cabe señalar que también pueden registrarse como parte de las actividades de preparación de pre-siembra. La comercialización incluye costos de transporte del producto de la finca al centro de venta, compra de cajas, empacadores, renta de anden en la central de abastos y ayudante de ventas. Este último es un sujeto importante en la cadena de comercialización ya que conoce la logística de venta desde el precio del producto hasta los compradores reales y potenciales.
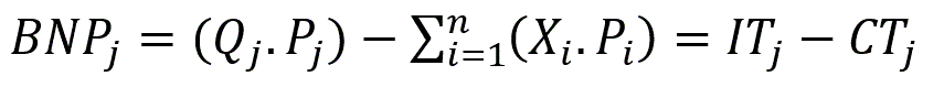
Beneficio Neto del Productor (BNP)
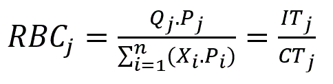
El costo total de producción y comercialización del producto se define como los desembolsos que realiza el productor para generar jitomate. Para simplificar, los diferentes componentes del costo los denominaremos insumos. De esta manera, el Costo Total del productor j (CTj) se obtuvo como:
[1]donde Xi es la cantidad del insumo i, Pi es el precio del insumo i.
El Ingreso Total del productor j (ITj) se calculó como:
[2]donde Qj es la cantidad de jitomate generada por el productor j, Pj es el precio de venta del jitomate vendido por el productor j.
El Beneficio Neto del Productor j (BNPj) se determinó como:
[3]Rentabilidad privada
Para determinar la rentabilidad privada de la producción de jitomate se consideró la RBC de cada productor. La RBC se obtuvo como (Bierman y Smidt, 2006; Sapag, 2011; Terrones y Sánchez, 2011):
[4]si la RBCj = 1, el productor recupera lo invertido; si la RBCj < 1, genera pérdidas; y si la RBC > 1, el productor tiene rentabilidad económica y genera ganancias (Perdomo, 2001; Romero et al., 2009; Terrones y Sánchez, 2011).
RESULTADOS Y DISCUSIÓN
Proceso de producción de jitomate
En el ejido de San Juan Tilcuautla existen nueve proyectos de producción de jitomate de la variedad Saledette bajo condiciones de invernadero con extensiones de 1,700 m2, 3,000 m2 (dos proyectos), 3,500 m2 (dos proyectos), 7,000 m2 (dos proyectos) y 10,000 m2 (dos proyectos); de éstos, cinco se consideraron para el análisis de la rentabilidad privada, representado el 55.50% de las unidades de producción (Cuadro 1).

El proyecto 1 cuenta con una superficie de 1,700 m2. En siembra, el productor llevó 7,000 semillas a un semillero en la ciudad de Actopan, Hidalgo para su germinación (8 de marzo de 2019). El 15 de abril la planta se transportó en charolas, con capacidad de 200 plantas/charola, para ser trasplantadas en el invernadero. El tipo de material donde se lleva a cabo el trasplante fue tierra del propio terreno. El ciclo del cultivo, desde el trasplante hasta el último corte, fue de 245 días (del 15 de abril al 15 de diciembre de 2018). La estructura del invernadero es PTR galvanizado y plástico con una vida útil de 20 y tres años, respectivamente.
La fertilización es importante ya que proporciona nutrientes a la planta, útil para su crecimiento y desarrollo (Borja et al., 2016). Se prepara una mezcla con 3 kilogramos (kg) de nitrato de calcio, 1.3 kg de nitrato de potasio, 1.5 kg de sulfato de potasio, 1.30 kg de magnesio, 1.30 kg de mono potásico y 0.13 kg de micronutrientes vertidos en un tinaco de 10, 000 litros (l) de agua, aplicándose cada tres días durante todo el ciclo. Para fortalecer las raíces de las plantas, el productor aplicó durante todo el ciclo los enraizadores: Xplendor, en una dosis de 0.30 litros en 100 l de agua cada 15 días; Syntek, 0.30 litros en 100 l de agua cada 15 días (éste se aplica intercalado con el primero) y una mezcla con 1 litro de Puhs, 0.50 litros de Rooting y 0.50 litros de Roo factor vertidos en 1,000 litros de agua cada 20 días.
Para el control y combate de plagas, como la mosca blanca, utiliza los pesticidas: Cursate, en una dosis de 0.30 litros en 100 l de agua cada 15 días, dejando un mes sin aplicar y al siguiente sí; Beleaf, 0.08 kg en 100 litros de agua con la misma periodicidad que el anterior y Allectus, 0.08 kg en 100 litros de agua, con la misma periodicidad que el anterior. En el control y combate de enfermedades, como el tizón, emplea los fungicidas: Infinito, 0.30 litros en 100 l de agua cada 15 días y Ziram granuflo, 0.30 litros en 100 l de agua cada 15 días, aplicado de manera intercalada con el primero.
El riego se realizó cada tercer día durante los 245 días del ciclo productivo, utilizando 10,000 litros por cada riego. El agua proviene de la presa la Estanzuela que se encuentra en la parte alta de la región de estudio, el líquido se transporta por gravedad en un sistema de mangueras administradas por las autoridades ejidales, por lo que los usuarios cubren una cuota mensual por su uso.
Con relación a la cosecha del jitomate, el 15 de julio (tres meses después del trasplante) se llevó a cabo el primer corte obteniéndose 500 kg, ocho días después se realizó el segundo corte cosechando dos toneladas de producto, el tercer corte y posteriores se dieron cada ocho días, registrándose en total 24 cortes (el 15 de diciembre fue el último corte) con un volumen de 70 toneladas en el ciclo productivo.
Las actividades de post-cosecha son importantes puesto que se prepara el terreno para el siguiente ciclo; estas actividades iniciaron el 16 de diciembre y consisten en tirar la planta, limpiar y remover el suelo y acomodar el sistema de riego. Para desinfectar el terreno, se aplicó busan 30w con una dosis de 1 litros en 10 000 l de agua y como desinfectante de estructura y plástico se usó Anibac, empleando 0.50 litros en 100 l de agua.
Cabe señalar que el proceso productivo para los demás proyectos fue similar, las diferencias en cuanto a la cantidad de semillas, plantas, riego, fertilizantes, pesticidas, desinfectantes, producción, ventas y mano de obra dependieron de la superficie del invernadero.
Comercialización del jitomate
La venta del producto se realizó en la central de abasto de la alcaldía de Iztapalapa de la Ciudad de México, el jitomate se empaca en cajas de cartón de 15 kg, trasportadas en camión con capacidad para 700 cajas. El productor renta un andén dentro del mercado y contrata un vendedor que conoce la logística de venta, desde las estrategias de venta hasta el perfil de los compradores, pagándole el 5% del valor de las ventas realizadas. El precio del jitomate osciló entre 8 y 10 pesos por kg con un promedio de 9 pesos por kg.
Estructura de costos e ingresos de la producción de jitomate
Para el productor 1, el costo más importante es el de la comercialización del producto (42.14%), seguido del trabajador permanente, plástico y estructura del invernadero, representando el 17.18, 10.86 y 5.60%, respectivamente (Cuadro 2). Estos cuatro rubros contribuyen con el 75.78% al costo total de la producción de jitomate. Si bien el ciclo productivo, desde el trasplante hasta cosecha, fue de 265 días. El trabajador labora los 365 días del año ya que después del último corte realiza actividades de pos-cosecha que consisten en limpiar y desinfectar el terreno y tirar los residuos de la planta con el fin llevar a cabo el siguiente ciclo. El productor obtuvo 70 toneladas de jitomate con un valor de 630,000 pesos, vendiendo a un precio promedio de 9 pesos por kg (Cuadro 2).

2Se considera el 33.33% del costo total del plástico ya que tiene una vida útil de tres años.
3Se tomó en cuenta el 33.33% del costo total de la instalación del plástico ya que tiene una vida útil de tres años.
4Es el 33.33% del costo de la bomba fumigadora ya que tiene una vida útil de tres años.
5Se considera el 25% del costo de la motobomba puesto que tiene una vida útil de cuatro años.
Con relación al productor 2, la comercialización constituyó el costo más importante al representar el 46.15% del total, seguido del plástico, trabajador permanente, y estructura del invernadero con 11.59, 10.49, y 6.06%, respectivamente (Cuadro 3). Estos cuatro rubros representaron 74.29% del costo total. El productor obtuvo 123.70 toneladas de jitomate siendo comercializado en la central de abastos de Iztapalapa a un precio promedio de 9.00 pesos por tonelada, con un valor de 1 ҆113,300 pesos.

2Se considera el 33.33% del costo total del plástico ya que tiene una vida útil de tres años.
3Se tomó en cuenta el 33.33% del costo total de la instalación del plástico ya que tiene una vida útil de tres años.
4Es el 33.33% del costo de la bomba fumigadora ya que tiene una vida útil de tres años.
5Se considera el 25% del costo de la motobomba puesto que tiene una vida útil de cuatro años.
El proceso de producción del productor 3 presentó un costo de comercialización del 46.5% con relación al gasto total, seguido del 12.05, 9.26 y 6.25% de los rubros plástico, trabajador permanente y estructura del invernadero, respectivamente (Cuadro 4). Estos cuatro rubros constituyen el 74.06% del costo de producción. La mano de obra es importante en la producción de jitomate ya que realiza las labores de cultivo y cosecha del producto, representa el 15.30% del costo total. En este proyecto se obtuvieron 144.10 toneladas, vendidas en la central de abastos de Iztapalapa a un precio promedio de 9 pesos por tonelada con un valor de 1296, 900 pesos.

2Se considera el 33.33% del costo total del plástico ya que tiene una vida útil de tres años.
3Se tomó en cuenta el 33.33% del costo total de la instalación del plástico ya que tiene una vida útil de tres años.
4Es el 33.33% del costo de la bomba fumigadora ya que tiene una vida útil de tres años.
5Se considera el 25% del costo de la motobomba puesto que tiene una vida útil de cuatro años.
La comercialización del productor 4 representó el mayor costo de producción con el 49.63%, debido principalmente al costo de las cajas de cartón y al ayudante de ventas en andén de la central de abastos. Ante esto, es necesario la venta del producto en otros centros como la central de bastos de Pachuca, Tulancingo de Bravo, Actopan, Ixmiquilpan y Ciudad Sahagún en el Estado de Hidalgo. El plástico constituyó el 12.86% del costo total de producción, seguido de la estructura del invernadero, siembra y fertilización, representando el 6.67, 6.01 y 5.21%, respectivamente (Cuadro 5). La mano de obra participó con el 14.65% de costos de producción. Este proyecto generó una producción de 288.20 toneladas, vendidas en la central de abastos de Iztapalapa a un precio promedio de 9 pesos por kilogramo con un valor de 2 593,800 pesos.

2Se considera el 33.33% del costo total del plástico ya que tiene una vida útil de tres años.
3Se tomó en cuenta el 33.33% del costo total de la instalación del plástico ya que tiene una vida útil de tres años.
4Es el 33.33% del costo de la bomba fumigadora ya que tiene una vida útil de tres años.
5Se considera el 25% del costo de la motobomba puesto que tiene una vida útil de cuatro años.
La estructura de costos del proyecto 5 es similar a los demás, la comercialización es el más representativo al representar el 50.42% del total, seguido del plástico, estructura del invernadero y fertilización, significando el 13.06, 6.77 y 5.29%, respectivamente. La mano de obra contribuyó con el 6.99% del costo total, utilizándose 720 jornales. La producción total fue de 411.80 toneladas, vendidas en la central de abastos de Iztapalapa a un precio promedio de 9 pesos por kilogramo, con valor de 3 ҆706 200 pesos. El rendimiento obtenido fue mayor a 300 toneladas por ha, criterio de producción de jitomate rentable en condiciones de invernadero definido por Nuez (2001), Resh (2001), y Sánchez et al., (2010).

2Se considera el 33.33% del costo total del plástico ya que tiene una vida útil de tres años.
3Se tomó en cuenta el 33.33% del costo total de la instalación del plástico ya que tiene una vida útil de tres años.
4Es el 33.33% del costo de la bomba fumigadora ya que tiene una vida útil de tres años.
5Se considera el 25% del costo de la motobomba puesto que tiene una vida útil de cuatro años.
La producción total de los cinco proyectos considerados fue de 1,037.80 toneladas, con un valor de 9 ҆340, 200 pesos, generando 2,828 jornales. Considerando los cuatro proyectos restantes que existen en la región de estudio y haciendo inferencia de los resultados de los productores analizados, la producción de éstos asciende a 967.8 toneladas, con un valor de 8 ҆710,200 pesos y generaron 2,394 jornales. Por lo tanto, en la región de estudio se obtuvo una producción de 2,005.60 toneladas de jitomate con un valor de 18 ҆050,400 pesos, generando 5,222 jornales en 2018. La importancia de esta actividad en la generación de empleos, volumen y valor de la producción fue también encontrada por Nieto y Velasco (2006) y Hernández et al., (2013).
El beneficio neto diario del productor 5 fue el más alto de los proyectos estudiados, siendo de 4 858.96 pesos, seguido del productor, 3, 2, y 1 (643.64 pesos) (Cuadro 7). El beneficio neto diario de los cinco proyectos considerados fue superior al salario mínimo vigente en México durante 2018 (88.36 pesos diarios) [Comisión Nacional de Salarios Mínimos (Conasami, 2019)]; el beneficio neto diario del proyecto 5 fue 55 veces mayor al salario mínimo vigente el 2018, y para el proyecto con menor beneficio (productor 4) fue 6.80 veces mayor.
Con relación a la rentabilidad privada de la producción de jitomate bajo condiciones de invernadero, la RBC obtenida oscila entre 1.59 y 1.92, indicando que los cinco proyectos analizados resultaron económicamente rentables; además, la rentabilidad privada es mayor a medida que la superficie cultivada aumenta. El proyecto 5 fue el más rentable, donde cada peso invertido generó una utilidad neta de 92 centavos. La RBC de los productores de la región de estudio fue similar a la obtenida por Terrones y Sánchez (2011) para el municipio de Acaxochitlán que fue mayor a 1.57.

CONCLUSIONES
La producción de jitomate bajo condiciones de invernadero en San Juan Tilcuautla es una actividad productiva que data del 2010, año donde se estableció el primer invernadero. El cultivo se desarrolla en el ciclo marzo-diciembre de cada año. El éxito productivo se extendió a otros productores que aprendieron a cultivar el jitomate con asesoría técnica del primer productor, ya que éste, periódicamente, se capacita mediante la asistencia a seminarios, cursos, y talleres sobre el cultivo del jitomate, lo que le ha permitido convertirse en un facilitador de transferencia tecnológica. La producción de jitomate intensiva surge como una alternativa al abandono de la actividad agrícola tradicional inviable, aumento de la población y urbanización, y cambio en el uso del suelo debido al establecimiento de centros educativos. En el lugar se encuentra la Universidad del Futbol de Pachuca; el Instituto de Ciencias Económico Administrativas y el Instituto de Ciencias de la Salud, ambos pertenecientes a la Universidad Autónoma del Estado de Hidalgo; la Universidad la Salle y el Centro Cultural Europeo.
Con relación a la estructura de costos del cultivo, la comercialización de jitomate es el gasto más importante, seguido del plástico, y estructura del invernadero. Como mecanismo de reducción de costos de venta del producto, se recomienda la venta en otras centrales de abasto como la de Pachuca, Tulancingo de Bravo, Tizayuca, Actopan Estado de Hidalgo y tiendas de autoservicio de la región. Esto para evitar pagar el andén de la central de abastos de Iztapalapa y el ayudante de ventas que cobra el 5% del valor vendido. Para ello, es necesario un estudio de mercado para determinar los adecuados canales de comercialización del producto.
El cultivo de jitomate es una actividad rentable en San Juan Tilcuautla ya que los cinco proyectos analizaron presentaron una RBC mayor a la unidad, observándose mayor viabilidad económica en mayores superficies. Además del beneficio económico para el productor, esta actividad contribuye a la disponibilidad de alimentos a la población. Este tipo de proyectos productivos son rentables y se pueden implementar en otras localidades afines lo que contribuiría a la generación de alimentos, empleos e ingresos para el productor y sus familias; elementos importantes para alcanzar la autosuficiencia alimentaria y reducir los altos índices de pobreza en zonas rurales de Hidalgo y el país, esto implica el diseño e implementación de una política pública agrícola secto-regional que fomente la producción y comercialización de jitomate bajo condiciones de invernadero.
Referencias
Barrios, J. M., B. Suárez, W. Cruz, B. Barrios, G. Vázquez, A. Ibáñez y D. Moreno. 2015. Fertilización fosfatada en rendimiento y calidad de tomate en invernadero. Revista Mexicana de Ciencias Agrícolas 6(4): 897-904.
Bierman, Y. y S. Smidt. 2006. The Capital Budgeting Decision: Economic Analysis of Investmen Projets. Ninth edition, New York, USA: Macmillan. 402 p.
Borja, M., J. A. García, L. Reyes y S. Arellano. 2016. Rentabilidad de los sistemas de producción de uva (Vitis vinífera) para mesa e industria en Aguascalientes, México. Agricultura, Sociedad y Desarrollo 13(1): 151-168.
Canasami. 2019. Evolución del salario mínimo. Comisión Nacional de Salarios Mínimos. México: Comisión Nacional de Salarios Mínimos. Disponible en: https://www.gob.mx/conasami/documentos/evolucion-del-salario-minimo?idiom=es (Consultado el 12 de abril de 2019).
Espinosa, L. E. y O. Ramírez. 2016. Rentabilidad de chile manzano (Capsicum pubescens R Y P) producido en invernadero en Texcoco, Estado de México. Revista Mexicana de Ciencias Agrícolas 7(2): 325-335.
Hernández, E., R. Lobato, J. J. García, D. Reyes, A. Méndez, O. Bonilla y A. Hernández. 2013. Comportamiento agronómico de poblaciones F2 de híbridos de tomate (Solanum lycopersicum L.). Revista Fitotecnia Mexicana 36(3): 209-215.
INEGI. 2015. Dirección General de Estadísticas Sociodemográficas. Encuesta Intercensal 2015. Instituto Nacional de Estadística y Geografía. México: Instituto Nacional de Estadística y Geografía. Disponible en: https://www.inegi.org.mx/programas/intercensal/2015/. Consultado el 20 de abril de 2019.
INEGI. 2017. Anuario estadístico y geográfico de Hidalgo 2017. Instituto Nacional de Estadística y Geografía. México: Instituto Nacional de Estadística y Geografía. Disponible en: http://internet.contenidos.inegi.org.mx/contenidos/Productos/prod_serv/contenidos/espanol/bvinegi/productos/nueva_estruc/anuarios_2017/702825095093.pdf. Consultado el18 de abril de 2019.
INEGI. 2019. Dirección General de Geografía y Medio Ambiente. Catálogo Único de Claves de Áreas Geoestadísticas Estatales, Municipales y Localidades. Instituto Nacional de Estadística y Geografía. México: Instituto Nacional de Estadística y Geografía. Disponible en: http://www.inegi.org.mx/geo/contenidos/geoestadistica/catalogoclaves.aspx. Consultado el 19 de abril de 2019.
Nieto, A. R. y E. Velasco. 2006. Cultivo de Jitomate en Hidroponía en Invernadero. Segunda edición, Departamento de Fitotecnia, Universidad Autónoma de Chapingo, Chapingo: México. 130 p.
Nuez, F. 2001. El cultivo del tomate. Madrid, España: Ediciones Mundiprensa. 793 p.
Perdomo, A. 2001. Métodos y modelos básicos de planeación financiera. México: Ediciones Pema. 317 p.
Resh, H. M. 2001. Cultivos Hidropónicos. Madrid, España: Ediciones Mundi–Prensa. 558 p.
Romero, O., J. M. Barrios, A. Macías, A. Simón, A. Ibáñez y F. Juárez. 2009. Análisis de rentabilidad de un sistema de producción de hongos seta bajo condiciones de invernadero, en el municipio de Amozoc de Mota en el estado de Puebla. Revista Mexicana de Agronegocios XIII (25):34-44.
Sánchez, F., E. C. Moreno, R. Coatzín, M. T. Colinas y A. Peña. 2010. Evaluación agronómica y fisiotécnica de cuatro sistemas de producción en dos híbridos de jitomate. Revista Chapingo Horticultura 16(3): 207-214.
Sapag, N. 2011. Proyectos de inversión: Formulación y evaluación. Segunda edición, Chile: Pearson educación. 544 p.
Terrones, A. y Y. Sánchez. 2011. Análisis de la rentabilidad económica de la producción de jitomate bajo invernadero en Acaxochitlán, Hidalgo. Revista Mexicana de Agronegocios 17(29):752-761.
Timofti, C. and T. Latisin. 2013. Analysis and forecast of financial results in the vineyard farms in Moldova. Scientific papers series management, economic engineering. Agriculture and Rural Development 13(2): 417-420.
Notas