Recepción: 24 Enero 2020
Aprobación: 12 Abril 2020
Resumen: El objetivo del trabajo fue aportar evidencia empírica a lectores de la formulación y evaluación de proyectos de inversión sobre la estimación, importancia, interpretación y demostración manual de los indicadores tradicionales y complementarios de rentabilidad Valor Actual Neto (VAN), Tasa Interna de Retorno (TIR), Relación Beneficio/Costo (RBC), Índice de Deseabilidad (ID) y demostrar que la Tasa Interna de Retorno Modificada (TIRM) es un mejor indicador financiero que la TIR para evaluar la rentabilidad de un proyecto de inversión. Se propuso un ejercicio hipotético y se realizaron diversas simulaciones con la Tasa de Rentabilidad Mínima Aceptable (TREMA) para observar el comportamiento entre esta y los indicadores de rentabilidad. Se encontró que los indicadores, VAN, RBC, ID, TIR y TIRM incrementan la precisión del análisis financiero, por lo cual, su utilización por analistas y académicos tanto para evaluar una inversión como para complementar la información proporcionada por el VAN aumenta la eficiencia en la toma de decisiones para cualquier análisis de proyectos de inversión. Se demostró que la TIRM es un mejor indicador de rentabilidad que la TIR y que su resultado depende del comportamiento de la TREMA, la cual presentó una relación inversa con el ID; sin embargo, este indicador puede utilizarse en conjunto con la TIRM para complementar una adecuada decisión de inversión.
Palabras clave: proyectos de inversión, evaluación privada, indicadores, TIRM.
Abstract: The objective of the work was to provide empirical evidence to readers of the formulation and evaluation of investment projects on the estimation, importance, interpretation and manual demonstration of traditional and complementary profitability indicators Net Present Value (NPV), Internal Rate of Return (IRR), Benefit/Cost Ratio (BCR), Desirability Index (DI) and demonstrate that the Modified Internal Return Rate (IRRM) is a better financial indicator than the IRR to assess the profitability of an investment project. A hypothetical exercise was proposed, and various simulations were performed with the Minimum Acceptable Profitability Rate (MAPR) to observe the behavior between it and the profitability indicators. It was found that the indicators, NPV, BCR, DI, IRR and IRRM increase the accuracy of the financial analysis, therefore, their use by analysts and academics both to evaluate an investment and to complement the information provided by the NPV increases efficiency in Decision making for any investment project analysis. It was shown that the IRRM is a better indicator of profitability than the IRR and that its result depends on the behavior of the MAPR, which presented an inverse relationship with the DI; however, this indicator can be used in conjunction with the IRRM to complement an appropriate investment decision.
Keywords: investment projects, private evaluation, indicators, IRRM.
INTRODUCCIÓN
El análisis de proyectos de inversión de acuerdo con Baca (2016) y Coss (2018), se divide en dos etapas; la primera relacionada con la formulación y evaluación, la cual inicia identificando la idea del proyecto, transita por el análisis de viabilidad comercial, técnica, financiera e impacto ambiental (Rodríguez et al., 2008), la segunda, se relaciona con el conjunto de antecedentes que permiten justificar la decisión de inversión. Para cumplir cada etapa y tomar la decisión de aceptar o rechazar la propuesta de inversión (Mete, 2014), el analista debe considerar puntos clave que sustenten su decisión entre los cuales destacan; el año cero, definido como aquel periodo donde se considera la inversión total inicial, el capital de trabajo, préstamos, subsidios, donaciones, entre otros apoyos; el horizonte o vida útil del proyecto (generalmente caracterizado en años), la corriente de flujos netos en efectivo (FNE) periodo tras periodo y la Tasa de Rentabilidad Mínima Aceptable (TREMA), el adecuado conocimiento y estimación de estos puntos permitirán al analista tomar la mejor decisión de inversión (Araujo, 2017). En este contexto, la evaluación de proyectos, permite desde el punto de vista empresarial, analizar la decisión de inversión en escenarios específicos acoplándose a las necesidades del empresario y estas pueden dividirse en dos; 1) la evaluación económica (que no considera el endeudamiento con terceros) caracterizada porque todo el monto de la inversión total inicial, capital de trabajo y costos de operación, se cubren por el socio o socios del proyecto y; 2) la evaluación financiera (que considera el endeudamiento con terceros), en la que un porcentaje del costo total del proyecto lo aportan los socios y otro se obtiene mediante endeudamiento o préstamo (Baca, 2016; Ramírez et al., 2017).
Una vez que el analista tiene claro cuál será la forma en que se capitalizará la inversión inicial, la teoría financiera ofrece una amplia gama de herramientas e indicadores de rentabilidad que permiten evaluar y seleccionar proyectos en condiciones de riesgo y certidumbre o incertidumbre “que pasa si…”. Bajo estas características es extensa la literatura impresa (Rebollar y Jaramillo, 2012; Baca, 2016; Araujo, 2017; Coss, 2018), que habla sobre indicadores tradicionales de rentabilidad como el Valor Actual Neto (VAN), la Relación Beneficio/Costo (RBC) y Tasa Interna de Retorno (TIR) como los más utilizados para aceptar o rechazar proyectos de inversión (Fontaine, 2008; Holopainen et al., 2010a y 2010b; Sarper et al., 2010; Glover et al., 2014; Coss, 2018). Sin embargo, son limitadas las investigaciones donde se encuentra el cálculo manual de estos indicadores, su relación con la TREMA y el análisis de indicadores complementarios de rentabilidad como la Tasa Interna de Retorno Modificada (TIRM) o Tasa Verdadera de Rentabilidad (TVR) y el Índice de Deseabilidad (ID) (Weston y Brigham, 1994; Ramírez et al., 2017), los cuales resultan indicadores imprescindibles para garantizar un correcto análisis financiero y toma de decisiones (Mete, 2014).
Por tanto, con base en lo anterior, el objetivo del trabajo es brindar a lectores de formulación y evaluación de proyectos de inversión un guía sencilla y fácil de utilizar para estimar, interpretar y demostrar el cálculo manual de los indicadores tradicionales y complementarios de rentabilidad como la TIRM e ID. Dado que el objetivo del trabajo es generar un aporte técnico, no fue posible escribir una hipótesis; sin embargo, se puede afirmar que la TIR ordinaria no presenta una relación directa con la TREMA, en tanto que la TIRM sí presenta relación directa. Por otro lado, se supone que la TIRM en análisis de proyectos de inversión siempre es menor que la TIR; no obstante, la primera se considera un mejor indicador de la verdadera rentabilidad de una inversión.
MATERIAL Y MÉTODOS
Para dar respuesta al objetivo planteado se utilizaron conceptos de teoría económica y financiera inherentes al lenguaje de proyectos de inversión y se acoplaron mediante expresiones matemáticas para determinar la TREMA de forma manual, considerando dos escenarios de financiamiento; en el primero se evalúa sólo aportación de socios y en el segundo un financiamiento mixto (aportación de socios y endeudamiento), estas opciones pueden utilizarse en alguna situación de evaluación “con” y “sin” proyecto.
También se realizaron escenarios, con datos hipotéticos, para obtener e interpretar el VAN, la TIR con varias tasas de actualización y se efectuaron simulaciones con el indicador RBC para determinar hasta cuánto pueden aumentar los costos o reducirse los ingresos totales de un proyecto. Así mismo, se demostró el cálculo manual e interpretación de la TIRM o Tasa Verdadera de Rentabilidad (TVR) y el ID con base en Weston y Brigham (1994) y Murcia (2009), con el objetivo de que el público usuario conozca diferentes indicadores de rentabilidad a los ya tradicionales que puedan complementar una adecuada decisión de inversión.
RESULTADOS Y DISCUSIÓN
La Tasa de Rentabilidad Mínima Aceptable (TREMA), tasa de actualización (TA), tasa de descuento (TD).
En evaluación de proyectos, un aspecto primordial que debe considerar el analista es la estimación de la TA, la cual es parte fundamental para determinar la viabilidad de los proyectos, al demostrarse en diversas investigaciones que un incremento en la TA genera como resultado proyectos más exigentes que requieren mayor rentabilidad para recuperar la inversión y generar los beneficios esperados por quienes asumen el riesgo de la financiación (Sánchez, 2010; Almarales-Popa et al., 2019). De acuerdo con Baca (2016), la TA puede estimarse considerando dos factores; el primero una ganancia que compense los efectos inflacionarios porque estos reducen el poder adquisitivo de las unidades monetarias futuras (pesos futuros) y el segundo un premio o sobretasa por arriesgar su dinero en determinada inversión. Con las características anteriores, la TA o TREMA puede entenderse como aquella que permite descontar el valor del dinero de los flujos de ingresos futuros (flujos de efectivo esperados) a su equivalente en el presente. Esta tasa, representa el rendimiento que se le debe exigir al proyecto por renunciar a un uso alternativo de los recursos financieros en proyectos de riesgos similares, por ello, de su correcta estimación depende el adecuado cálculo del VAN o Valor Presente Neto (VPN), los flujos de efectivo esperados de un proyecto y la decisión final de la inversión (Baca, 2016).
Algunas de las expresiones matemáticas que frecuentemente se utilizan para calcular la TA para proyectos sin financiamiento y con inflación son las siguientes:
[Ecuación 1]Donde:
TA = Tasa de actualización
i= Tasa Riesgo- País proyectada al horizonte del proyecto
f= Tasa de inflación proyectada al horizonte del proyecto.
Considerando los siguientes datos hipotéticos se estimó el valor de la TA en un escenario específico:
i = 10%
f = 3.5%
El lector debe contemplar en la aplicación de la fórmula (1) que los valores en porcentaje de la tasa riesgo-país y tasa de inflación deben utilizarse como valores absolutos, para ello, simplemente se divide cada porcentaje entre cien. La solución al ejemplo hipotético es la siguiente:
TA= 0.10 + 0.035 + 0.10*0.035
Al realizar la operación aritmética (suma de los primeros dos términos) y la multiplicación el resultado es el siguiente:
TA = 0.0135 + 0.0035 = (0.1385) * 100TA = 13.85%
A menudo una de las interrogantes con mayor frecuencia que realizan los usuarios para evaluar una decisión de inversión se relaciona con la forma de estimar los valores en los componentes de la fórmula (1). Al respecto Baca (2016), mencionó que la respuesta a esta interrogante no es fácil; sin embargo, en términos generales la tasa riesgo país o premio al riesgo debe considerarse entre 10 a 15%, pero se aclara que el riesgo de cada inversión es distinto, no obstante, Baca (2016), menciona que esta tasa puede tomarse como referencia. En tanto que la inflación proyectada puede consultarse en el Banco Central del país donde se realice el análisis de inversión.
Tasa de actualización para proyectos con financiamiento mixto.
En situaciones donde la inversión total inicial de un proyecto sea financiada con aportación de socios y endeudamiento vía crédito y/o préstamo; o cuando parte de la inversión inicial se financie mediante algún subsidio o donación a tasa cero. El procedimiento para estimar la TA puede realizarse con la siguiente fórmula:
[Ecuación 2]Donde:
C. P. = Capital prestado
i. C. P. = Tasa de interés para atraer al capital prestado
C. S. = Capital social
i. C. S. = Tasa de interés para atraer al capital social.
Con los siguientes datos hipotéticos, el valor de la TA para evaluar el proyecto es el siguiente (las unidades monetarias se expresan en pesos mexicanos):
C. P. = $100,000.0
i. C. P. = 13%
C. S. = $ 200,000.0
i. C. S. = 18%

Tasa de actualización ponderada
Un procedimiento adicional que puede utilizarse para estimar la TA en proyectos que presentan financiamiento mixto es a través de la ponderación, mismo que puede observarse en el Cuadro 1.
Aportación de socios: $100,000.0
Aportación, vía préstamo: $200,000.0

La TA ponderada que se utiliza para evaluar el proyecto es 16.75%. El procedimiento para su obtención consiste en determinar el porcentaje de aportación que tienen sobre el capital total los socios y las instituciones donde se solicitó el préstamo, la cantidad o monto en dinero que aportará cada uno de ellos se divide entre el monto total de la inversión y se multiplica por cien. Posteriormente cada porcentaje de aportación (1) se multiplica por la tasa de financiamiento (2) y luego se suma cada producto para obtener la TA. En esta estimación no se recomienda utilizar el promedio de la tasa de financiamiento como TA debido a que este procedimiento presenta error de estimación, observe porqué: al multiplicar 13% por $100,000.0 y 18% por $300,000.0 el resultado es $67,000.0 (pesos mexicanos); sin embargo, al multiplicar la tasa promedio del financiamiento (13%+18%)/2 = 15.5%; por $400,000.0, el resultado es $62,000.0, el cual difiere de los $67,000.0 obtenidos mediante la ponderación de la TA. Este procedimiento puede comprobarse porque al multiplicar la TREMA estimada 16.75% por el monto total del financiamiento ($400,000.0) el resultado es $67,000.0, lo cual confirma el hecho de que no debe utilizarse el promedio de la tasa de financiamiento como TA ponderada debido a que este procedimiento subestima el valor del monto total de la inversión.
Indicadores de rentabilidad para evaluar la aceptación o rechazo en proyectos de inversión privada
Es normal que en todos los proyectos de inversión privada (ya sea a nivel económico o financiero), se realicen estudios previos para obtener indicadores, que permitan determinar o tomar la decisión de realizar una inversión; que en la mayoría de los casos se conoce como “proyecto definitivo, puesta en marcha, nivel de prefactibilidad económica” y comúnmente como “la decisión” (Baca, 2016). Tales estudios predisponen de información viable, que una vez revisada por especialistas en la materia, permiten, dependiendo de la situación económica vigente, tomar la decisión de poner en marcha la idea de negocio (Sapag y Sapag, 2002; Sapag et al., 2014), posterior a ello, se realiza un estudio de mercado del bien y/o servicio que se pretende implementar, el cual permitirá calcular la capacidad instalada y de producción del proyecto, continuando con el análisis de ingeniería, económico y financiero. Con lo anterior, se indica que se ha generado información suficiente para realizar la evaluación privada y con ello la obtención de indicadores de rentabilidad útiles en la decisión sobre la inversión y puesta en marcha del proyecto (Baca, 2001; Hernández et al., 2005; Baca, 2006; Sapag, et al., 2014).
Bajo el escenario anterior, se utilizan diferentes criterios para evaluar un proyecto, medir su eficiencia económica y tomar decisiones sobre el mismo (Marchioni y Magni, 2018). El VAN se considera una de las herramientas financieras e indicador tradicional más confiable desde el punto de vista teórico, para tomar decisiones ex ante como para la evaluación ex post en proyectos de inversión (Magni, 2013). Sin embargo, en la práctica, se utilizan muchas otras métricas; en particular, medidas relativas de valor como la TIR, RBC, TIRM e ID como indicadores complementarios para garantizar un análisis financiero y económico más robusto y eficiente (Marchioni y Magni, 2018). Por estas características, y para cumplir el objetivo central de este trabajo el cual pretende introducir a lectores y usuarios de herramientas financieras en las cuestiones inherentes a su cálculo e interpretación se realizaron estimaciones de estos indicadores con diferentes tasas de actualización o descuento a través de simulaciones con datos hipotéticos. Un paso previo para realizar por el analista financiero antes del cálculo definitivo de los indicadores tradicionales y complementarios de rentabilidad es llevar a cabo la actualización de la corriente de costos y beneficios brutos a una TA pertinente, para después obtener el Flujo Neto de Efectivo (FNE) en cada periodo y, consecuentemente, el Flujo de Fondos Actualizado (FFA = es la diferencia que resulta de restar a los beneficios los costos, en cada uno de los periodos (que pueden ser años, semestres, bimestres, etc.) = del proyecto).
Con la realización de los cálculos anteriormente recomendados y los datos hipotéticos propuestos en este trabajo se realizaron simulaciones incrementando o disminuyendo el valor de la TA, para observar el comportamiento del VAN, RBC, N/K y TIR. Los resultados de estos cálculos; sin duda alguna, ayudarán a generar conclusiones comparativas importantes sobre la TREMA y TIR, incluyendo la relación que puede o no existir entre estos dos conceptos. Las expresiones de administración financiera utilizadas y adaptadas para cumplir con este objetivo fueron tomadas de Rebollar y Jaramillo (2012) y Baca (2016):
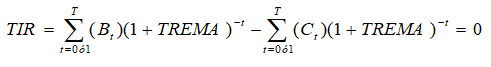
Valor Actual Neto o Valor Presente Neto:

[Ecuación 3]Donde:
VAN = Valor Actual Neto
Bt= Corriente de beneficios del periodo t al periodo T
Ct = Corriente de costos en el periodo t
VS = Valor de salvamento de activos fijos
RCT = Recuperación del capital de trabajo
T = Horizonte o vida útil del proyecto (en periodos de tiempo)
t = Cada periodo de tiempo
TREMA = Tasa de rentabilidad mínima aceptable (tasa de actualización o tasa de descuento).
El VAN puede definirse como el valor actual o presente de los flujos de efectivo netos de una propuesta de inversión (Mete, 2014), o simplemente como un indicador que mide el valor económico creado (Marchioni y Magni, 2018). Este indicador representa la ganancia acumulada neta que generará el proyecto durante un periodo determinado y sus resultados se expresan en unidades monetarias en el año cero del proyecto (Walter, 2011). El VAN parte del supuesto que una determinada suma de dinero tiene mayor valor en el presente que, en el futuro, debido al efecto que tiene la inflación sobre el poder adquisitivo y se caracteriza por tener una relación inversa con la TA o TREMA, si la TA se incrementa disminuye el VAN y viceversa.
Relación Beneficio/Costo (RBC):
[Ecuacion 4]Donde:
RBC = Relación Beneficio Costo
Bt = Corriente de beneficios en el periodo t
Ct= Corriente de costos en el periodo t.
El análisis del indicador relación beneficio-costo permite evaluar un determinado proyecto con el objetivo de tomar decisiones sobre el mismo. Para ello, involucra de manera explícita o implícita, la determinación del total de costos y beneficios de todas las alternativas de inversión para seleccionar la mejor o más rentable (Aguilera, 2017), y se considera un indicador de evaluación económica en donde los costos y consecuencias vienen expresados en términos monetarios (García et al., 2010).
Retorno Sobre la Inversión (RSI)
El retorno sobre la inversión (RSI) de acuerdo con Rodríguez et al. (2008) y Ramírez et al. (2017), es el cociente que resulta de dividir la corriente de beneficios incrementales netos a partir de los periodos en los que esta corriente es positiva, entre el monto de la inversión total inicial, descrita por el año cero.
[Ecuación 5]Donde:
RSI = Retorno Sobre la Inversión
Nt= Monto de beneficios incrementales netos positivos, cifras en unidades monetarias
r = Tasa de descuento del proyecto
t = Horizonte del proyecto, para t = 1, 2, … . T periodos
Kt = Monto de la inversión total inicial del proyecto (I0), cifras en unidades monetarias.
Índice de Deseabilidad (ID):
[Ecuacion 6]Donde:
VAN = Valor Actual Neto y,
I0 = Inversión inicial actualizada a la tasa de descuento del proyecto.
Tasa Interna de Retorno (TIR):
[Ecuación 7]Donde:
TIR = Tasa Interna de Retorno
Bt = Corriente de beneficios en el periodo t
Ct = Corriente de costos en el periodo t
TREMA = Tasa de Rentabilidad Mínima Aceptable.
La TIR, es un indicador que puede calcularse con softwares o programas computacionales o de forma manual cuando no se dispone de algún paquete en específico, para realizar su cálculo manual se utiliza la siguiente expresión:
[Ecuación 8]Donde:
TREMA1= Tasa menor de actualización, la que se utilizó para evaluar el proyecto
TREMA2= Tasa mayor de actualización, la cual hace que el VAN sea negativo
FFA1 = Flujo de Fondos Actualizados a la tasa menor
FFA2 = Flujo de Fondos Actualizados a la tasa mayor.
El indicador TIR se puede definir como la tasa de actualización que reduce a cero el VAN (Papendiek et al., 2016), o como aquella tasa que hace que el valor actualizado de la corriente de beneficios se iguale al valor actualizado de la corriente de costos. De otra manera, se puede entender como la TA que permite al valor actualizado del Flujo de Fondos (FF) o beneficios incrementales netos (BIN) igualarse a cero (Glover et al., 2014), y se considera después del VAN como una de las métricas más utilizadas para aceptar o rechazar un proyecto (Hurley et al., 2017).
Una consideración importante que debe tomarse en cuenta por el analista financiero antes de estimar la TIR, es que su cálculo sólo puede realizarse cuando el FF (flujo de fondos) presenta por lo menos un valor negativo en los años iniciales del proyecto. Si todos los valores son positivos, entonces ninguna TA podrá hacer que el valor del FF se iguale a cero. En su forma tradicional, la TIR se calcula por tanteo o interpolación, al buscar tasas de actualización que igualen a cero el FFA. Este procedimiento se basa en obtener dos FFA (La tasa de actualización que se acerca a cero, la corriente del FFA es precisamente, I2 = Tasa de Actualización 2) que más se acerquen a cero, con la condición de que uno debe ser positivo y el otro negativo, y la diferencia entre las TA utilizadas para obtener el FFA sea de cinco puntos porcentuales como máximo, con el objeto de que el resultado tenga un mínimo de error. Al obtener las dos TA puede realizarse la interpolación aplicando la fórmula ocho. La TIR interpolada, ofrece un resultado superior al del verdadero rendimiento; lo cual se debe a que la técnica lineal de interpolación parte del supuesto implícito de que, a medida que se pasa de una TA a otra, la TIR cambia siguiendo una función curvilínea cóncava, el error introducido es pequeño y desaparece cuando el resultado se redondea al punto porcentual más próximo.
Para observar este comportamiento y el de los restantes indicadores tradicionales y complementarios de rentabilidad en el Cuadro 2, se presenta el análisis de un proyecto hipotético considerando información de egresos totales (ET) e ingresos totales (IT) que se obtendrán año con año durante la vida útil del proyecto. Adicionalmente como propuesta para realizar este ejercicio hipotético la TA utilizada fue 10%. Sin embargo, los lectores hasta este punto tienen ya el conocimiento de cómo estimar una TA bajo diferentes escenarios con y sin financiamiento.

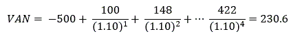
Al aplicar la Fórmula 3, se puede obtener fácilmente el VAN o VPN para el ejercicio hipotético planteado:
VAN = - 500.0 + 90.9 + 122.3 + 229.2 + 288.2 = 230.60
El criterio formal de selección a través de este indicador, es aceptar todos los proyectos en los que el VPN sea igual o mayor que cero, a la tasa de actualización seleccionada.
VAN(10%) ≥ 0
La interpretación del VAN puede realizarse de la siguiente manera: “durante el horizonte del proyecto con una Tasa de Descuento de 10%, se obtendrá una utilidad neta de 230.6 pesos mexicanos”. El CTA e ITA se obtienen al realizar dos pasos; en el primero se calculan los valores de la TA durante la vida útil del proyecto, procedimiento, que se realiza elevando la TA a la potencia del año que se requiera actualizar; por ejemplo, (1.10) ^-0 = 1.0…. (1.10) ^-4 = 0.683 y en el segundo se multiplica el costo e ingreso total por los valores actualizados estimados en el primer paso; esto es, 130 * 0.683 = 88.8, con ello, se puede obtener el FFA para cada año restando al ITA el CTA.
Un procedimiento adicional que puede utilizarse para estimar el VAN es adaptar la Fórmula 3, de la siguiente manera:
[Ecuación 9]Donde:
VAN = Valor Actual Neto o Presente Neto
I0 = Inversión inicial
FNE1…… FNEn = Flujos netos de efectivo del periodo t al periodo T
TREMA = Tasa de actualización o Tasa de Rentabilidad Mínima Aceptable
VS = Valor de salvamento de activos fijos
RCT = Recuperación del capital de trabajo.
Con los datos del Cuadro 2, se estiman los FNE realizando una resta de los IT menos los CT (Cuadro 3) y se utiliza la fórmula 9, para obtener el VAN.


En términos generales, el procedimiento matemático para obtener el VAN muestra la ganancia adicional actualizada que genera el proyecto por encima de la TA. Si lo anterior es cierto, cuando en un proyecto el VAN es igual a cero, no significa que existan pérdidas, y este resultado puede interpretarse como una inversión que recupera la rentabilidad de la TREMA seleccionada, sin ganancia adicional. Una interpretación diferente que se le puede dar al VAN es considerarlo como la cantidad máxima que podría pagar un inversionista por la oportunidad de realizar la inversión sin perjudicar su posición financiera y representa la variación entre la riqueza o bienestar del propietario del proyecto. Un punto importante que debe considerar el lector para interpretar adecuadamente el VAN es el signo que se obtiene al momento de su cálculo, si este es positivo representa la utilidad en el momento de la inversión, es decir, el monto que podría pagarse en exceso por el proyecto (margen de error en los cálculos de inversiones) recuperando la inversión a la tasa deseada. Cuando el VAN, calculado a la tasa de crédito, es negativo, representa el monto del proyecto que no puede ser financiado con crédito. De acuerdo con estos conceptos en el ejemplo hipotético se tiene una inversión inicial de 500 pesos (mexicanos), y un VPN de 230.6 pesos, el cual representa 46.1% de la inversión inicial, tal porcentaje indica el incremento máximo que podría tener la inversión inicial del proyecto, para que el VAN se iguale a cero con una TA del 10%.
Relación Beneficio-Costo (RBC)
El criterio formal de selección a través de este indicador es aceptar todos los proyectos siempre y cuando la RBC sea igual o mayor que uno, a la TA seleccionada.
RBC(10%)≥1
La relación Beneficio-Costo calculada es:

Una RBC igual a 1.289, se interpreta de la siguiente manera; “durante la vida útil u horizonte del proyecto a una TA de 10%, por cada peso invertido se obtendrán 28.9 centavos de beneficios”. Si el resultado de la RBC < 1, indica pérdidas y no es viable económicamente la realización del proyecto con esa TREMA. Un factor importante por considerar es la correlación negativa que presenta la RBC con la TA, si esta aumenta, la RBC disminuye y viceversa. La RBC puede expresarse también en forma porcentual, restándole al valor obtenido la unidad y multiplicándolo por cien, el valor que se obtenga, positivo o negativo, indicará el porcentaje de utilidad o pérdida sobre los costos. Así mismo, este indicador muestra hasta qué porcentaje podrían incrementar o disminuir los costos a fin de que se igualen a los beneficios. El procedimiento para realizar esta operación es el siguiente:
(RBC – 1)*100
(1.289 – 1)*100 = 28.9%
Los costos totales actualizados podrán incrementarse hasta un 28.9% a fin de que se igualen a los ingresos totales actualizados.
Método de prueba:
ITA = CTA + 28.9% de los CTA
ITA = 796.1 + 28.9% de 796.04
ITA = 796.12 + 230.07
ITA = 1,026.19 (diferencia: 0.52)
Por cuestiones de decimales que no se contabilizaron, la cifra debería cerrar en 1,026.7. Al tomar el recíproco de la RBC, restándolo de uno y multiplicándolo por cien, el valor obtenido, positivo o negativo, indicará hasta qué porcentaje podría aumentar o disminuir los beneficios actualizados a fin de que se igualen a los costos actualizados.

Los beneficios totales actualizados podrán disminuir hasta en 22.42% a fin de igualarse a los costos totales actualizados.
Método de prueba:
CTA = ITA - 22.42% de ITA
CTA = 1,026.72 – 22.42% de 1,026.4
CTA = 1,026.72 – 230.19
CTA = 796.53 (diferencia: 0.41)
Retorno Sobre la Inversión (RSI) (Relación Beneficio-Inversión Neta (N/K), Índice de Rentabilidad (IR) o Ratio Beneficio-Costo).
El criterio formal de selección a través de este indicador es aceptar todos los proyectos cuya relación N/K o IR sea igual o mayor que uno, a la tasa de descuento seleccionada.
RSI (10 %) ≥ 1
El Retorno sobre la inversión calculado, es:
RSI = 90.91 + 122.31 + 229.15 + 288.23 = 730.61
K = │-500│ = 500
RSI = 730.61 / 500 = 1.46
El resultado anterior se interpreta como: “durante la vida útil del proyecto a una TA de 10%, por cada peso invertido de forma inicial se obtendrán beneficios netos totales de 46 centavos”. El RSI expresa los beneficios netos obtenidos por unidad monetaria de inversión inicial. Si el valor es menor que uno, indicará que la inversión inicial actualizada es mayor que los beneficios netos actualizados; por tanto, la diferencia (RSI – 1), cuyo valor será negativo, indicará las pérdidas por unidad monetaria invertida inicialmente y viceversa. Un criterio adicional, ya mencionado, que se utiliza en evaluación de proyectos es el llamado índice de rentabilidad (IR), que es el cociente del valor actual de los flujos futuros esperados después de la inversión inicial, entre el monto total de la inversión inicial. El IR puede representarse con la siguiente fórmula: IR = VA de los flujos subsecuentes a la inversión o valor actual de los beneficios (VAB) / Inversión inicial. Para utilizar el IR como indicador de la conveniencia de un proyecto se pueden identificar tres distintas posibilidades:
· Cuando se evalúa un proyecto independiente
· Cuando se comparan proyectos mutuamente excluyentes y,
· Cuando existe racionamiento de capital.
· Proyectos independientes.
En principio solo conviene aceptar proyectos cuyo VAN resulte positivo y esto implica un RSI o IR mayor a 1. De esta forma el criterio de decisión es:
RSI > 1 Aceptar el proyecto
RSI < 1 Rechazar el proyecto
Cuando se comparan proyectos mutuamente excluyentes
En algunas ocasiones, un proyecto (A) con un VAN mayor al de otro proyecto (B) puede tener un RSI menor. Si ambos proyectos son mutuamente excluyentes, el uso del RSI puede llevar a una toma de decisiones errónea. Esto sucede porque el RSI es un cociente y no toma en cuenta que algunos proyectos pueden tener una mayor inversión, lo que reduce su RSI.
En estos casos, lo más conveniente es realizar un análisis de tipo marginal o incremental entre ambos proyectos. Cuando existe racionamiento de capital. Esta posibilidad puede darse cuando una empresa o un municipio no tienen presupuesto suficiente para hacer todas las inversiones rentables, se dice entonces que existe racionamiento de capital. En estos casos se debe buscar maximizar el VAN de las inversiones que se pueden realizar con el presupuesto limitado; es decir, aceptar el o los proyectos que conjuntamente sumen el VAN más alto para cierto monto de inversión. En este caso, no se pueden ordenar los proyectos de acuerdo con su VAN, sino de acuerdo con su TIR; de hecho, este es el caso en el que el uso de la TIR es más útil.
En forma porcentual, el RSI se obtiene restándole al valor inicial la unidad y multiplicándolo por cien. El resultado obtenido, indicará el porcentaje de utilidad o pérdida sobre la inversión inicial y, además, hasta que porcentaje podrían incrementarse estos costos a fin de que se igualen a los beneficios.
(RSI -1)*100
(1.461-1)*100 = 46.1%
La Inversión Inicial Actualizada (IIA) podrá incrementarse hasta 46.1% a fin de que se iguale a los Beneficios Totales Actualizados (BTA).
Método de prueba:
BTA = IIA + 46.1% de la IIA
BTA = 500 + 46.1% de 500
BTA = 500 + 230.6 = 730.6 (diferencia: 0.0)
Al tomar el recíproco del RSI, restándolo de uno y multiplicándolo por cien, el valor obtenido, positivo o negativo, indicará hasta qué porcentaje podrían aumentar o disminuir los beneficios actualizados a fin de que se igualen al monto de inversión inicial actualizada.

Los beneficios netos totales actualizados podrán disminuir hasta 31.5% a fin de igualarse a la inversión inicial actualizada.
Método de prueba:
IIA = BTA – 31.55% de los BTA
IIA = 730.61 - 31.5% de 730.429
IIA = 730.61 – 230.142
IIA = 500.34 (diferencia: 0.46)
Índice de Deseabilidad (ID)

El ID expresa el monto de beneficios (B) que arroja un proyecto, después de haber pagado la inversión (I0) por peso invertido. El criterio de aceptación de un proyecto con base en este indicador es, si el ID ³ 0, el proyecto debe aceptarse. El resultado del ID puede interpretarse como: “durante el horizonte del proyecto, a una TREMA de 10%, el proyecto paga toda la inversión y genera una ganancia de 46 centavos por cada peso invertido”.
Tasa Interna de Retorno (TIR)
El criterio formal de selección a través de este indicador es aceptar todos los proyectos independientes (cuando se trata de un proyecto único en particular, al cual no se le está comparando con ninguna otra alternativa de inversión o de los proyectos cuya realización no impide la de otros) cuya TIR sea igual o mayor que la TA seleccionada.
TIR ≥ TA
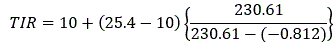
La TA o la TREMA que permite calcular la TIR, es aquella con la que se obtiene un segundo FFA negativo pero lo más cercano a cero; tal tasa es 25.3%. En el Cuadro 4, se presenta la información de costos y beneficios actualizados a la tasa anterior. Se puede observar que se obtiene un VAN negativo, y con la tasa estimada se pondera el cálculo de la TIR para obtener su valor respectivo. Esto es:

Cálculo de la TIR:

TIR =10 + 15.4 (0.9964912584)
TIR = 10 + 15.34584252
TIR = 25.33%
El resultado se interpreta como: “durante la vida útil del proyecto, se recupera la inversión y se obtiene una rentabilidad promedio de 25.3%”. La TIR también representa la tasa de interés real máxima que podría pagar un proyecto por los recursos monetarios utilizados, una vez recuperados los costos de inversión y operación. En sí, representa la rentabilidad del dinero en el proyecto. Como la TIR es la tasa de actualización que hace el VPN igual a cero, entonces, al evaluar el proyecto a la tasa de actualización de 25.3 %, se obtendrán los indicadores: VAN = 0, RBC = 1, RSI = 1 y TIR = 25.3% (Cuadro 5).

VAN = $ 0.0
RBC = 713.0/713.0 = 1.0
RSI = (79.8 + 94.2 + 154.9 + 171.1) /500.0 = 1.0

TIR = 25.3 + 0.08 (0.0)
TIR = 25.3 + 0.0
TIR = 25.3%
Así, al evaluar el proyecto utilizando el valor de la TIR como la tasa de descuento, se llega a lo que se conoce como “valor crítico de los indicadores”. Lógicamente, una TA o TREMA mayor al valor obtenido de la TIR, obtendría un VAN < 0, RBC < 1, RSI < 1 y una TIR = 25.3%. Para probar estos resultados y observar su efecto sobre los indicadores tradicionales y complementarios de rentabilidad se realizaron simulaciones del proyecto hipotético incrementando la TA de manera arbitraria, los resultados se observan en el Cuadro 6, 7 y 8.
Simulación 1 y 2.
TA= 15%



Los resultados de la simulación indican que el VAN, RBC y RSI cambian a medida que se modifica la TA. En este caso, conforme aumenta la TA el valor de los indicadores de evaluación económica, excepto la TIR, disminuye, dado que la relación de éstos con la TA o TREMA es inversa. Con este comportamiento, es claro que al continuar incrementando la TA en algún momento la magnitud del VAN presentará valores negativos, consecuentemente, también el resultado de la RBC y el RSI. Se demostró en los diferentes escenarios simulados que la TIR permanece constante a cualquier variación en la TA, lo anterior se explica porque no existe ninguna relación entre la TIR y la TA; siempre y cuando no se modifiquen los valores tanto de los costos como de los beneficios totales generados en el proyecto. Sin embargo, si algún valor de los rubros mencionados cambia en magnitud, también se modificará el valor de la TIR y el resto de los indicadores.
Finalmente, la rentabilidad de un proyecto, dependerá de la eficiencia con la que el analista determine la TA que utilizará en la evaluación. Puede suceder que algunos analistas de proyectos cometan errores al momento de calcular la TA y con ello, pueden concluir que un proyecto no es rentable cuando en realidad si lo es.
Periodo de recuperación de la inversión (PR)
Es el número de periodos necesarios que requiere un proyecto, para recuperar la inversión inicial (Ramírez et al., 2017). Su cálculo puede realizarse sobre los valores actualizados o sin actualizar. Sin embargo, dado que los análisis se realizan sobre la base de la TA, entonces el PR (Cuadro 9) para el ejemplo hipotético se calculará utilizando los datos actualizados.
La expresión para estimar el periodo de recuperación de la inversión es:


Así, el PR se calcula como sigue:

Si los periodos están dados en años, entonces, la inversión inicial se recupera en 3.2 años. Para convertir en meses, basta con multiplicar el 0.2 por 12, esto es: (0.2) (12) = 2.4 meses. Es decir, la inversión inicial se recuperará en tres años y 2.4 meses.
Método de prueba:
$ 90.9 + $ 122.3 + $ 229.2 + 0.2 ($ 288.2) = $ 500. Que es igual a la inversión inicial.
Determinación de la Tasa Interna de Retorno Modificada (TIRM)
Al adaptar la definición de Weston y Brigham (1994) y de Ordoñez et al. (2019), la TIRM o TVR (Tasa Verdadera de Rentabilidad), es aquella tasa de descuento a la cual el valor presente del costo de un proyecto de inversión (es decir, de la inversión inicial e incluso también a los flujos de efectivo negativos) es igual al valor presente de un valor terminal. El valor terminal (VT) se obtiene (Cuadro 10) como la suma de los valores futuros de los flujos de entrada de efectivo positivos, al calcular su valor compuesto al costo de capital (que se refiere a la tasa de descuento o actualización) del proyecto o empresa.
La TIRM o la TVR, se define como:

Donde:
Io = Costo inicial del proyecto
n = Es el horizonte del proyecto o total de periodos que durará el proyecto (vida útil)
t = Se refiere a cada uno de los periodos del proyecto. Ejemplo: n = 5 y t = 1. Por tanto, la expresión n – t sería igual a: 5 – 1 = 4
TREMA = Tasa de rentabilidad mínima aceptable o tasa de descuento o de actualización utilizada en la evaluación del proyecto
Bt = Flujos de entrada de efectivo (todas las cantidades positivas)
TIRM = Tasa Interna de Retorno Modificada.
El Cuadro 10 presenta información hipotética de ingresos y costos totales necesaria para la determinación de la TIRM.

VT = 53,620 + 68,850 +…+ 80,000 = $ 343,446
Por tanto, de forma manual, el valor de la TIRM se obtiene de la siguiente manera:

La forma de probar que la TIRM es la tasa que iguala el VT del proyecto al valor presente del costo del mismo, es la siguiente:

La información y cálculos del Cuadro 10, muestran que la tasa de descuento que iguala el valor presente de los costos del proyecto al valor presente del valor terminal es 18.02%, valor inferior al obtenido con la TIR ordinaria (23%). Resultados similares fueron reportados por Ordoñez et al. (2019), en una investigación sobre plátano en Ecuador, al concluir que al utilizar la misma TREMA, se obtuvo una TIRM menor a la TIR ordinaria. En este trabajo, al realizar distintas simulaciones con incrementos de la TREMA, se observó que el valor de la TIR siempre es mayor al de la TIRM; similar a los hallazgos reportados en México por Benítez et al. (2016), para la evaluación financiera de un rastro TIF y de Ramírez et al. (2017), en un trabajo sobre viabilidad económica en una engorda de bovinos carne en corral. En Excel, el procedimiento que se sugiere para estimar el valor de la TIRM es el siguiente:
a) En una celda, que usted seleccione, escriba la TA con la que evaluará el proyecto; por ejemplo, la columna A
b) Coloque en otra columna los FNE por periodo, sin actualizar; por ejemplo, columna B
c) Debe teclear el signo + o = para cualquier operación de Excel, luego escriba la palabra TIRM (seleccione la columna de los FNE, TREMA) y de “enter”. El Excel le dará, en su pantalla, el resultado de la TIRM o TVR del proyecto.
La TIRM tiene una ventaja significativa sobre la TIR ordinaria, tal como lo afirman Benítez et al. (2016), Ramírez et al. (2017) y Ordoñez et al. (2019), al suponer que los flujos de efectivo del proyecto se reinvierten a la tasa del costo del capital (TREMA), mientras que la TIR ordinaria supone que los flujos de efectivo se reinvierten a la propia TIR del proyecto. Puesto que la reinversión al costo de capital (TREMA) es generalmente más correcta, la TIRM resulta un mejor indicador que la TIR ordinaria para evaluar la verdadera rentabilidad de un proyecto. Sin embargo, el método del VAN sigue representando el mejor indicador de rentabilidad tradicional para hacer elecciones entre proyectos competitivos que difieren entre su magnitud, al proporcionar un mejor estimador del grado en que cada proyecto aumentará el valor de la empresa.
CONCLUSIONES
El conocimiento tanto de la estimación como interpretación de los indicadores de rentabilidad en proyectos de inversión, bajo condiciones de certidumbre, permitirá al evaluador de proyectos, disponer de más y mejores herramientas que le auxiliarán para minimizar los riesgos de una inversión. En este trabajo se encontró que los indicadores, VAN, RBC, ID, TIR y TIRM incrementan la precisión del análisis financiero, por lo cual, su utilización por analistas y académicos tanto para evaluar una inversión como para complementar la información proporcionada por el VAN aumenta la eficiencia en la toma de decisiones para cualquier análisis de proyectos de inversión. Se demostró que la TIRM es un mejor indicador de rentabilidad que la TIR y que su resultado depende del comportamiento de la TREMA, la cual presentó una relación inversa con el ID; sin embargo, este indicador puede utilizarse en conjunto con la TIRM para complementar una adecuada decisión de inversión.
REFERENCIAS BIBLIOGRÁFICAS
Aguilera, D. A. 2017. El costo-beneficio como herramienta de decisión en la inversión en actividades científicas. Cofín Habana 12(2):322-343.
Almarales-Popa, L. M., Estrada-Hernández J. A. y Chong-Martínez M. 2019. La tasa de descuento en la gestión empresarial del proceso inversionista cubano. Ciencias Holguín 25(2):1-12.
Araujo, A. D. 2017. Proyectos de inversión. Análisis, formulación y evaluación práctica. 1ra Reimpresión. Trillas. México, CDMX. 203 p.
Baca, U. G. 2001. Evaluación de proyectos. 5ta Edición. Mc Graw Hill. México, D. F. 339 p.
Baca, U. G. 2006. Formulación y evaluación de proyectos informáticos. 7ma Edición. Mc Graw Hill. México, D. F. 503 p.
Baca, U. G. 2016. Evaluación de proyectos. 8ava Edición. Mc Graw Hill. Ciudad de México. 419 p.
Benítez, A. G., Rebollar, R. S., Rebollar, R. A., Hernández, M. J. y Rebollar, R. E. 2016. Evaluación financiera para la construcción y operación de un rastro Tipo Inspección Federal (TIF). Revista Mexicana de Agronegocios XX (38):329-342. https://www.redalyc.org/articulo.oa?id=14146082006.
Coss, B. R. 2018. Análisis y evaluación de proyectos de inversión. 1ra Edición. Limusa. México, CDMX. 369 p.
Fontaine, E. R. 2008. Evaluación social de proyectos. Decimotercera Edición. Pearson. México, D. F. 622 p.
García, R. J. F., García F. A., Rodríguez L. G. A. y Gálvez G. A. M. 2010. Herramientas de la evaluación económica y la investigación operacional que apoyan la toma de decisiones en salud. Salud en Tabasco 16(2–3):933–938.
Glover, M., Buxton M., Guthrie S., Hanney S., Pollitt A. and Grant, J. 2014. Estimating the returns to UK publicly funded cancer-related research in terms of the net value of improved health outcomes. BMC Medicine 12(1). https://doi.org/ 10.1186/1741-7015-12-99.
Hernández, H. A., Hernández, V. A. y Hernández, S. A. 2005. Formulación y evaluación de proyectos de inversión. Quinta Edición. Thompson. México, D. F. 425 p.
Holopainen, M., Mäkinen A., Rasinmäki J., Hyytiäinen K., Bayazidi S. and Pietilä I. 2010a. Comparison of various sources of uncertainty in stand-level net present value estimates. Forest Policy and Economics, 12(5):377–386. https://doi.org/10.1016/j.forpol.2010.02.009.
Holopainen, M., Mäkinen A., Rasinmäki J., Hyytiäinen K., Bayazidi S., Vastaranta,M. and Pietilä I. 2010b. Uncertainty in forest net present value estimations. Forests 1(3):177–193. https://doi.org/10.3390/f1030177.
Hurley, T. M., Rao X. and Pardey, P. G. 2017. Re-examining the reported rates of return to food and agricultural research and development: Reply. American Journal of Agricultural Economics 99(3):827–836. https://doi.org/10.1093/ajae/aaw079.
Magni, C. A. 2013. The internal rate of return approach and the airr paradigm: A refutation and a corroboration. Engineering Economist 58(2):73–111. https://doi.org/10.1080/0013791X.2012.745916.
Marchioni, A. and Magni, C. A. 2018. Investment decisions and sensitivity analysis: NPV-consistency of rates of return. European Journal of Operational Research 268(1):361–372. https://doi.org/10.101 6/ j.ejor.2018.01.007.
Mete, M. R. 2014. Valor actual neto y tasa de retorno: Su utilidad como herramientas para el análisis y evaluación de proyectos de inversión. Fides et Ratio- Revista de Difusión Cultural y Científica de La Universidad La Salle En Bolivia 7(7):67–85.
Murcia, M. J. D. 2009. Proyectos, formulación y criterios de evaluación. Alfaomega. Ciudad de México D.F. 492 p.
Ordoñez, J., Vite C. H. y Barrezueta, U. S. 2019. Análisis de rentabilidad económica del plátano (Musa balbisiana AAB Simmond) en el sitio Río Negro, Provincia el Oro. Revista Metropolitana de Ciencias Aplicadas 2(2):160-170. http://remca.umet.edu.ec/index.php/REMCA/article/view/148/225.
Papendiek, F., Tartiu V. E., Morone P., Venus J. and Hönig A. 2016. Assessing the economic profitability of fodder legume production for Green Biorefineries - A cost-benefit analysis to evaluate farmers profitability. Journal of Cleaner Production 112, 3643–3656. https://doi.org/10.1016/j. jclepro.2015.07.108
Ramírez, E. J. I., Rebollar R. A., Rebollar R. S., Jaramillo P. B. y González, R. F de J. 2017. Estudio de viabilidad económica para una engorda de bovinos en corral en el sur del Estado de México. Revista Mexicana de Agronegocios XXI(41):742-753.
Rebollar, R. S. y Jaramillo J. M. 2012. Formulación y Evaluación de Proyectos. Aspectos Básicos.1ra Edición. Editorial Académica Española. Madrid, España. 311 p.
Rodríguez, C. B., Bao G. R. y Cárdenas L. L. 2008. Formulación y Evaluación de Proyectos. 1ra Edición. Limusa. México, D. F. 454 p.
Sánchez, S. J. H. 2010. La tasa de descuento en países emergentes la aplicación al caso Colombiano. EAN 69:120-135.
Sapag, Ch. N. y Sapag Ch. R. 2002. Preparación y Evaluación de Proyectos. 4ta Edición. Mc Graw Hill. Santiago de Chile, Chile. 439 p.
Sapag, Ch. N., Sapag Ch. R. y Puelma J. M. 2014. Preparación y Evaluación de Proyectos. 6ta Edición. Mc Graw Hill. México, D. F. 354 p.
Sarper, H., Palak G., Chacon P. R. and Fraser J. M. 2010. Probability distribution function of the internal rate of return for short-term projects with some random cash flows and extensions. Engineering Economist 55(4):350–378. https://doi.org/ 10.1080/0013791X.2010.524279.
Walter, A. V. 2011. Indicador de Rentabilidad de Proyectos: el Valor Actual Neto (VAN) o el Valor Económico Agregado (EVA). Industrial Data 14(1):15-18.
Weston, F. J. y Briham F. E. 1994. Fundamentos de Administración Financiera. 10ma Edición. Mc Graw Hill. México, D. F. 1 148 p.