DISEÑO Y DESARROLLO DE UN APLICATIVO PARA EL CÁLCULO DE COSTOS EN ACTIVIDADES DE PRODUCCION EN EL SECTOR AGROPECUARIO – SimulAgroCostApp-
DISEÑO Y DESARROLLO DE UN APLICATIVO PARA EL CÁLCULO DE COSTOS EN ACTIVIDADES DE PRODUCCION EN EL SECTOR AGROPECUARIO – SimulAgroCostApp-
Revista Mexicana de Agronegocios, vol. 50, pp. 137-148, 2022
Sociedad Mexicana de Administración Agropecuaria A.C.
Recepción: 30 Noviembre 2021
Aprobación: 09 Abril 2022
Resumen: Resultado de un estudio planteado desde el nodo desarrollo de software libre, del colectivo de trabajo Gefinagro se diseñó, desarrolló e implementó, una App para dispositivos móviles inteligentes con el propósito de que un funcionario del nivel estratégico, propietario o dueño de una explotación agrícola o pecuaria, estuviera en capacidad a través del uso de las TI (Tecnologías de la Información), de costear producciones en el ámbito de la producción agrícola o pecuaria, para determinar o calcular los costos, actuales o futuros de la producción de su cultivo o explotación pecuaria, garantizando la sostenibilidad económica y financiera en sus unidades de negocio. El reconocimiento de estructuras de operación y de costos, en la actividad económica del agronegocio inserto en el sector agropecuario del País; fueron variables que se analizaron en este estudio, utilizando las técnicas de recolección de información primaria suministrada por los propietarios y la simulación del funcionamiento y la aplicabilidad de la App, a través de pruebas piloto de la usabilidad del aplicativo, por parte de la población objetivo de la investigación.
Palabras clave: Aplicativo, App, costos, explotación agrícola, explotación pecuaria.
Abstract: As a result of a study carried out from the free software development node, the Gefinagro collective work designed, developed and implemented an App for smart mobile devices with the purpose of a strategic level official, the owner or owner of an agricultural or livestock holding, whether it is able through the use of IT –Information Technology-, to pay for production in the field of agricultural or livestock production, in order to determine or calculate costs, current or future production of their crop or livestock, ensuring economic and financial sustainability in their business units. The recognition of operating structures and costs, in the economic activity of agribusiness inserted in the agricultural sector of the Country; were variables that were analyzed in this study, using the primary information collection techniques provided by the owners and the simulation of the operation and applicability of the App, through pilot tests of the usability of the application, by the target population of the research.
Keywords: Application, App, costs, farm, livestock.
INTRODUCCIÓN
El sector agropecuario ha sido un rubro importante en la economía colombiana, siendo su territorio en gran parte rural y donde sus principales exportaciones se basan en commodities. Pero este siempre ha mostrado un factor común a lo largo de la historia, y es que su explotación siempre ha carecido de innovación, se evidencia que en los territorios predominan las tradiciones y los campesinos basan sus conocimientos en lo transmitido entre generaciones familiares o en las labores culturales de cada zona geográfica.
Gracias a la globalización, las economías se vuelven cada vez más dinámicas, más exigentes y más competitivas. Prueba de esto es que Colombia cada vez busca más acceso a la exportación de sus productos, demostrando el potencial económico en el sector agropecuario que representa Colombia en el ámbito de la economía internacional.
Pero, a pesar de tener en prospectiva una ventaja comparativa por la extensión de terreno agrícola y climas óptimos para la diversificación de su producción se evidencia la falta de tecnificación que ha sufrido el campo a lo largo de su historia; desde las primeras reformas agrarias en los años 60’s.
Colombia se ha enfocado en resolver los problemas de restitución de tierras y crear fondos económicos que permitan a los campesinos acceder a préstamos para establecer, sostener o solventar sus predios productores. Pero se deja de lado factores importantes como el desarrollo íntegro del campo como se establece en el artículo 65 de CPC (Constitución Política de Colombia).
Al dejar de lado la investigación y el avance tecnológico del campo, las producciones se vuelven poco competitivas en los entornos internacionales y nacionales, causando en muchas ocasiones que sea más barato importar productos gracias a los beneficios de los TLC (Tratados de Libre Comercio), con algunos países o incluso por su alta tecnificación que adquirir productos de campesinos nacionales o de origen local.
Lo que demuestra que la C+I (ciencia más innovación) es un factor determinante que debe estar presente en el entorno agropecuario; sistemas de tecnificación de la producción y sistemas óptimos de costeo, que permitan no solo llevar registros sino además analizar datos de los costos y gastos incurridos en cada tipo de producción ya sea agrícola o pecuaria, permitiendo así, un análisis y trazabilidad de la información de la cadena de producción y poder realizar cambios pertinentes en la cadena de valor que permita que las producciones sean cada vez más competitivas en los entornos locales, regionales, nacionales e internacionales.
Bajo esta misma ideología se debe de tener en cuenta el avance tecnológico y las nuevas tendencias del mercado, donde cada vez se vuelve más indispensable el uso de la tecnología, por medios electrónicos inalámbricos como celulares Smartphone y el uso del WIFI. Esta tendencia se soporta bajo las estrategias del gobierno, a través del Ministerio de Tecnologías de la Información y las Comunicaciones (MinTIC) el cual en sus propósitos misionales busca “promover y potenciar la creación de negocios a partir del uso de las TIC (Tecnologías de la Información y las Comunicaciones), poniendo especial interés en el desarrollo de aplicaciones móviles, software y contenidos.” (Ministerio de Tecnologías de la Información y las Comunicaciones, 2020).
Pero es evidente que este tipo de propuestas pocas veces trascienden al campo, muchas veces por la idiosincrasia de las personas, ya que sus dinámicas de trabajo se basan en las tradiciones y en las labores culturales, donde es más el conocimiento que se transfiere de generación en generación, que la aplicación de conocimientos especializados resultado de la formación o la capacitación, dejando de lado factores tan importantes como el análisis de costos y gastos, y la profundización en aspectos del área administrativa, para poder tener la fundamentación en la toma de decisiones y que no solamente los resultados de las producciones, se fundamenten en las labores culturales y el mejoramiento técnico, sino en la optimización de los recursos monetarios, por medio de la implementación de aplicaciones informáticas, que permiten realizar procesos de costeo y llevar la trazabilidad de los registros en todo momento, haciendo uso de los dispositivos móviles.
Lo que se propuso con esta investigación, fue diseñar y crear una App pensada por gente del campo, pensando en lo práctico y validar que cada función o módulo de la aplicación fuera amigable con el usuario y que esta le genere información valiosa para la toma de decisiones, no basada en la intuición, sino en información de datos de costos y gastos, en actividades de producción agrícola o de especies mayores o menores.
La App le permite al productor agropecuario, hacer filtros de periodos de tiempo, jornales, costos, gastos, bienes e insumos de la producción, materiales, entre otros factores relevantes de la producción. Lo anterior lo beneficia en los siguientes aspectos: 1. Llevar toda la trazabilidad de la información productiva de su explotación o unidad de negocio agropecuaria, al alcance de su mano; 2. Conocer los datos asociados a costos y gastos, según la tipología específica de la producción agropecuaria y 3. Identificar, calcular, determinar y reportar costos y gastos, y niveles de producción asociados a las erogaciones incurridas en la explotación agropecuaria.
Este trabajo es una contribución sobre la implementación de las TIC, en las actividades productivas del sector agropecuario que permite comprender la trazabilidad en la información de los datos asociados a los costos y gastos, para la toma óptima de decisiones.
REVISIÓN DE LITERATURA
El desarrollo de software y de aplicaciones para dispositivos inteligentes, y su posterior implementación ha sido una estrategia creciente por parte de las organizaciones, resultado de la optimización y eficacia que permiten este tipo de herramientas en labores y actividades específicas para la cual han sido creadas, pero su implementación en el sector agropecuario se ha visto limitada solo a una parte operativa, la cual permite llevar registros de las labores de manera muy superficial y con énfasis en los procesos y procedimientos de índole administrativo.
A nivel internacional la tecnificación de los procesos es una evidente tendencia en cada sector de la economía dado que, en el panorama económico totalmente globalizado, donde las economías son abiertas y hay nacientes competidores que buscan posicionarse en el mercado basados en una diferenciación por costos, por lo que buscan siempre optimizar sus procesos y reducir o disminuir las erogaciones incurridas en costos y gastos, haciendo uso de la trazabilidad del impacto de la tecnología implementada como fuente de aplicación.
Colombia no es ajeno a esta realidad y por ello el gobierno nacional ha optado por invertir en los procesos de C+I, además de cerrar la brecha de la conectividad digital en el país por medio de la cuarta revolución industrial -4RI-. Según el MinTIC (Ministerio de Tecnologías de la Información y las Comunicaciones), realiza una especialización regional en su Plan TIC (2018-2022) en el que informa que; “Esta iniciativa tiene como objetivo el fortalecimiento de la industria de TI colombiana a través del desarrollo de soluciones tecnológicas innovadoras para la solución de problemas transversales en los sectores productivos de la economía del país. La industria TI está conformada por la industria de software, empresas de hardware y servicios asociados a las TI.
La Especialización Regional Inteligente busca que la industria TI especialice su portafolio de servicios en sectores, de acuerdo con las capacidades a nivel nacional en cuatro focos: salud, gobierno, turismo y agro y a nivel regional en sectores como banca, energía, logística y transporte.” (Ministerio de Tecnologías de la Información y las Comunicaciones de Colombia, 2020).
La industria TI es un renglón de la economía que se consolida como un motor de desarrollo económico. La industria colombiana de tecnologías de información requiere posicionarse como un sector económico de talla mundial, que puede competir con las empresas de talla internacional. Cuenta con las ventajas competitivas necesarias para responder a los retos de la economía digital, aumentar su aporte al Producto Interno Bruto (PIB) nacional y posicionarse en mercados internacionales.
“La importancia que han venido adquiriendo las Tecnologías de la Información y las Comunicaciones -TIC-, para toda la población, lo cual puede permitir una expansión de las actividades sociales, el mayor dinamismo de la economía, la cual puede posibilitar el aplicar estrategias para el mejoramiento de la interacción con filiales y otras empresas, y la compra de insumos y ventas de productos de manera competitiva; así mismo, la forma cómo son creadas las nuevas ideas en pro de la innovación y el desarrollo” (Fukuda, 2020).
“En los últimos años, la industria TI ha tenido un crecimiento medio del 13,4%, muy por encima del promedio de otras industrias. El subsector de software y servicios relacionados representa un porcentaje del 1,19% en el PIB del país a 2015, las líneas de negocio más frecuentes en la industria son servicios de software y el desarrollo a la medida de acuerdo con datos del Observatorio TI, iniciativa del Ministerio de Tecnologías de la Información y las comunicaciones y FEDESOFT.” (Marco Nacional de Cualificaciones Colombia, 2017).
Dentro del componente de producción de servicios TIC se encuentran los servicios y redes de telecomunicaciones, así mismo, la industria de software que hace referencia a licencias, sistemas informáticos, paquetes de software de aplicaciones. Los servicios en TI -tecnología e información- se refieren a los servicios de gestión de procesos empresariales, soporte, diseño y desarrollo de TI para aplicaciones App. En Colombia viene tomando fuerza esta industria. Desde los periodos del año 2012 al año 2014 se obtuvo un crecimiento del 29%. En 2015 Software Engineering Institute situó a Colombia en primer lugar en el modelo CMMI -Capability Maturity Model Integration- un modelo que evalúa los procesos de desarrollo, mantenimiento, adquisición y operación de sistemas de software.
“Las cifras demuestran- que la industria de software de Colombia está creciendo a un paso acelerado y que ya empezamos a figurar y puntear en los rankings internacionales.” (Ministerio de Tecnologías de la Información y las Comunicaciones de Colombia, 2015). Gracias a 56 empresas en el Modelo CMMI entre los niveles III y V, todo esto muestra el potencial que tiene Colombia en el ámbito informático y en la creación de softwares, pero, ¿Qué tanto se enfoca la industria en la creación de software y de aplicaciones APP para el sector agropecuario?
En el Plan de Desarrollo del Departamento de Antioquia, “Unidos por la Vida 2020-2023”, en la línea No. 2 NUESTRA ECONOMÍA, en sus recomendaciones propone, “aprovechar la visibilización de la importancia de la agricultura para dar a esta un impulso sin precedentes y resolver temas de inclusión tecnológica, financiera y logística del mundo rural, en particular de los sectores tradicionales y la pequeña agricultura familiar” (Gobernación de Antioquia, 2020).
La línea en sus diferentes componentes y programas inmersos en estos se enfoca en trabajar temas que posibiliten el mejor desempeño económico del Departamento, y considera especialmente fomentar la promoción del uso de las Tecnologías de la Información y la Comunicación -TIC- generando mayor innovación y transformación en las actividades productivas, lo que permite, entre otros componentes, la inserción de la Cuarta Revolución Industrial 4.0.
Componente: Competitividad para la Antioquia del futuro, Antioquia 4.0
Programa: Ecosistema subregional de CTeI. Uno de los indicadores de este programa en específico, está definido en los proyectos para el fomento de capacidades y vocaciones en CTeI poblaciones jóvenes y el cual está enmarcado en los Objetivos de Desarrollo Sostenible (ODS) números 8 -trabajo decente y crecimiento económico- y 9 -industria, innovación e infraestructura- respectivamente.
El programa considera la siguiente acción para el fortalecimiento en contexto de Covid-19, en el escenario de la pandemia que debe propender por la generación de inversión en procesos con base en la tecnología y que promuevan la generación de soluciones para actividades agroindustriales provenientes de los sectores agrícolas y pecuarios, reactivando la economía después de la emergencia.
Componente: Antioquia global. Programa: Ciencia, Tecnología e Innovación para la productividad, competitividad y el desarrollo institucional.
Es de resaltar, el tema de investigación y desarrollo -I+D-, ya que las inversiones realizadas en este programa pueden dinamizar la producción interna, haciendo posible un mejor desempeño de la economía.
Esto muestra la importancia de la incorporación de las actividades económicas del departamento en las nuevas tendencias que ha traído la cuarta revolución industrial -4RI- para incursionar en el desarrollo de nuevos procesos productivos y productos para su mejor desempeño, y lograr por consecuencia, un mayor desarrollo económico en el Departamento.
Componente: Antioquia digital. Las tecnologías de la información y las comunicaciones -TIC- es un componente fundamental para el desarrollo económico. En todos los escenarios la transformación digital deberá incorporar los componentes asociados a tecnologías emergentes, definidos como aquellos de la Cuarta Revolución Industrial -4RI-, entre otros.
“El posible desconocimiento de las TIC junto con problemas en las características, conocimientos y habilidades de la población en el uso de estas herramientas tecnológicas, implica un desequilibrio para el desarrollo regional, lo que es un factor limitante para alcanzar aspectos de innovación, diversificación productiva y competitividad.” (Banco Mundial, 2009).
Los indicadores de este componente en forma general consideran, que se debe hacer uso de los avances tecnológicos y tecnologías disruptivas de las últimas décadas, que realmente actividades económicas de las organizaciones, la calidad de vida de las personas y que faciliten el acceso a la información. Los propósitos del componente enmarcan los siguientes tres programas en mención;
· Transformación para una Antioquia digital.
· Uso y apropiación de las tecnologías de información para el departamento de Antioquia.
· Conectividad e infraestructura TIC.
Los programas en su conjunto consideran las siguientes acciones para el fortalecimiento en contexto de Covid-19, como es de una parte, el apoyo a la innovación tecnológica orientada a las pequeñas y medianas empresas con el objetivo de enfrentar los retos de poscrisis. Y de otra, la vinculación de proyectos de CTeI a la tecnificación del campo, priorizando a los pequeños y medianos productores en términos de distribución y comercialización de sus productos.
Con la nueva generación de tecnologías de conectividad y teléfonos inteligentes, tabletas y computadores portátiles, existe una gran variedad de aplicaciones a las cuales el sector agropecuario puede acceder para realizar trazabilidad de la información y llevar un control de la producción, tanto en el sector agrícola como pecuario.
Según (Tirado y Molano, 2017), en su estudio de viabilidad para el montaje y puesta en marcha de una empresa desarrolladora de software para el sector agropecuario del municipio de Villavicencio -Meta-, exponen sobre diversidad de aplicaciones de tipo informático más representativas en los diferentes mercados objetivos del sector agropecuario.
MATERIAL Y MÉTODOS
El estudio se realizó bajo la planeación y ejecución de actividades enmarcadas en los respectivos aspectos componentes de la metodología propuesta a continuación;
Tipología de la investigación
Bajo el marco, tanto de la investigación cualitativa como cuantitativa, se inscribió el estudio, no sólo por la integralidad que exigió al momento de haber sido abordado, sino además por la singularidad y complejidad que suscitó el tema objeto de estudio, como fue el diseño y desarrollo de un aplicativo
App, para dispositivos móviles inteligentes -inserción de la Cuarta Revolución Industrial 4.0 (4RI)- con el propósito de costear producciones de actividades del sector agropecuario, definiendo e identificando las principales variables que determinaran las erogaciones en cuanto refiere a los costos y gastos incurridos, y otras variables de tipo técnico asociadas a las dinámicas productivas de las diferentes unidades de negocio del sector agropecuario.
Por lo que fue clave, haber identificado los elementos cualitativos y cuantitativos involucrados en el estudio, para determinar las variables que explican el modelamiento y la simulación en costos de producción.
Población objeto de estudio
El espectro espacial del ámbito de aplicación del estudio comprendió las unidades de negocio principal, inherentes a las dinámicas de operación en la actividad económica específica, enmarcada en las diferentes producciones de tipo agrícola o pecuario, de las nueve (9) subregiones del departamento de Antioquia.
Estrategia metodológica
El estudio en su estrategia metodológica comprendió los siguientes componentes en cuanto refirió a; a) recolección de información, b) modelamiento, diseño y desarrollo de la App, c) Evaluación técnica de funcionamiento del aplicativo, tanto para el usuario, como pruebas de compatibilidad y d) documentación y socialización. Los instrumentos para la recolección de la información comprenden entre otros los siguientes; fuentes de información primaria, bases de datos y modelos de costeo, y encuesta para los productores.
Instrumentos de recolección de información
Fuentes de información primaria: Para las fuentes de información primaria, se tuvieron en cuenta los siguientes referentes de información al respecto; revisión bibliográfica, productores agropecuarios, expertos en el tema, y observaciones en campo.
Revisión bibliográfica. Se tuvo el acceso a información disponible en bases de datos o en motores de búsqueda, disponibles en la Internet.
Productores agropecuarios. Se accedió a la información de tipo empírica y resultado de la experticia de diferentes tipologías de productores del sector agropecuario -pequeños, medianos y grandes-, que eran propietarios o desempeñaban actividades en producciones de tipo agrícola o pecuario, de las subregiones del departamento de Antioquia.
Expertos en el tema. Se realizó bajo diferentes metodologías, la consulta a expertos sobre el tema en estudio para la validación de información.
Observaciones de campo. Se realizaron visitas en campo o in situ, con el propósito de validar variables o información de actividades en producciones de tipo agrícola o pecuario, en las cuales se incurre en erogaciones o desembolsos asociadas a costos o gastos, para el desempeño de la actividad productiva y económica de la explotación.
Bases de datos y modelos de costeo
Se diseñó y desarrolló una base de datos en formato de Microsoft Excel, que permitió calcular y simular los costos y gastos incurridos en la actividad económica de una explotación agropecuaria típica y específica. La base de datos en referencia fue la plantilla base para modelar en explotaciones o producciones de tipología agrícola o pecuaria, la información asociada a variables reales de las dinámicas de producción de las explotaciones, en las cuales se harán visitas periódicas que nos permitan la trazabilidad y el control de los costos reales y gastos incurridos durante el proceso de producción.
Los modelos de costeo se diseñaron en macros avanzadas de Microsoft Excel, los cuales están estructurados y fundamentados en las tipologías de naturaleza contable y estado de la naturaleza.
Estos modelos aplicarán de una parte, para explotaciones de producciones agrícolas, las cuales podrán categorizarse como transitorias o permanentes, y de otra parte, las producciones pecuarias las cuales poseen un componente de valor agregado, como es el caso de módulo simulador de dietas, cuyo propósito es analizar el impacto del uso de los excedentes de las producciones agrícolas como material vegetal y mermas de producción, buscando alternativas reales que permitan diversificar y generar flujos de caja, por medio de la complementación de las dietas y lograr la disminución en costos de producción.
En cuanto refiere en específico a la base de datos y los modelos de costeo, se consideró en el espectro general de las diferentes variables a tener en cuenta en las explotaciones agropecuarias, las siguientes: Tipo de producción, adaptación -msnm-, clima, nivel nutricional, kg de semilla por hectárea, precio de semilla, nivel de precipitación requerido, tiempo de recolección, tiempo a primera cosecha, producción por hectárea por año, entre otras. Variables que permitirán el diseño y la construcción de los indicadores que entregará al usuario la App, de tipo cuantificable que están enmarcados en el contexto general de la valoración de costos y gastos totales y unitarios de las diferentes producciones agropecuarias.
Las macros dinámicas que se desarrollaron en Microsoft Excel con programación en Visual Basic Applications (VBA), son un conjunto de comandos que se almacenan en un lugar especial de la hoja de Excel, de manera que están siempre disponibles cuando se necesitan de su ejecución y fueron implementadas, para eliminar la necesidad de repetir los pasos en aquellas tareas o procedimientos, que se realizan para determinar la trazabilidad de información y variables asociadas a costos y gastos en actividades del sector agropecuario. Las macros funcionan en sus dinámicas a través de botones, que se encuentran vinculados en dos rutinas. De una parte, la rutina o módulo de producciones agrícolas y de otra, las explotaciones pecuarias.
Encuesta para los productores
La encuesta que fue diseñada por el colectivo de trabajo en el nodo de desarrollo de software se aplicó en un espectro muestral estratificado, definido de un número específico de productores del sector agropecuario, localizados inicialmente en tres (3) subregiones del departamento de Antioquia, lo que corresponde al 33,33% del espacio geográfico. Regiones geográficas que, en el espacio geográfico territorial, enmarcan en un alto porcentaje el área rural y semiurbana, de un gran número de municipios.
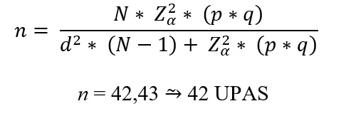
El espectro muestral estratificado proveniente del marco poblacional de las regiones en mención estuvo enmarcado en el ámbito de una población de tipología normal, que correspondió a un n muestral estratificado mínimo de 30 individuos para las diferentes unidades de producción agropecuaria -UPAS-, productores de explotaciones agrícolas o pecuarias.
De un total de cien (100) productores agropecuarios -población finita-, categorizados según su tipología productiva; hortalizas, frutales, cultivos industriales, forrajes y productores pecuarios, en las
tres (3) subregiones, se tuvieron en cuenta los siguientes parámetros para definir el espectro muestral a ser estratificado:
N: población
Zα: 1,96 (seguridad del 95%)
p: proporción esperada del 0,05
q: 1 – p
d: precisión 5%
La siguiente fue la formulación estadística del n muestral estratificado;

Del tamaño del espectro muestral estratificado, bajo el criterio de afijación proporcional del muestreo probabilístico estratificado asignamos, como fracción para las explotaciones agrícolas un 60% equivalente al 0,75 y a las explotaciones pecuarias el 40%, equivalente al 0.25:
n (productores explotaciones agrícolas): 25,458 ⥲ 25 UPAS
n (productores explotaciones pecuarias): 16,972 ⥲ 17 UPAS
La información que se obtuvo de la aplicación del instrumento de la encuesta a los productores del sector agropecuario, fue analizada y procesada tanto de manera cualitativa como cuantitativa y aquellos ítems asociados a las variables del estudio, que requirieron del análisis estadístico se realizó a través de las metodologías, herramientas e instrumentos de la estadística descriptiva como la construcción e interpretación de intervalos de confianza -IC- en el aspecto cuantitativo y el análisis de proporciones en lo cualitativo. La trazabilidad del estudio y análisis estadístico de la información recopilada por medio de la encuesta fue un insumo de gran importancia que se tuvo en cuenta en la investigación, puesto que nos proporcionó datos valiosos para la toma de decisiones en cuanto al diseño y desarrollo de la App, en los aspectos de técnicos de usabilidad, facilidad, y amabilidad del usuario.
Modelamiento, diseño y desarrollo de la App
El modelamiento, diseño y desarrollo de la App, se fundamentó en la sistematización y estandarización de las dinámicas de los modelos de las tipologías de naturaleza contable y estado de la naturaleza, para determinar la trazabilidad y el valor de costos y gastos en los procesos de producción de las explotaciones agropecuarias, procedimiento que se desarrolló en cuatro (4) etapas, que se explican de manera sucinta a continuación;
PRE-ALPHA: comenzó con el análisis de los datos para evaluar las necesidades exactas de los usuarios potenciales y en esta fase se incluyeron los bocetos, prototipos y wireframes necesarios.
ALPHA: se continuó con el desarrollo de las macros dinámicas en Microsoft Excel, teniendo en cuenta las necesidades exactas de información del usuario. En esta fase, se realizaron pruebas de funcionamiento y simulaciones de información con datos históricos y reales in situ de la explotación agropecuaria.
BETA: se liberó el desarrollo de las macros dinámicas de Microsoft Excel, a un software de tipología libre a Google Play Store, App Store y al Hosting y se realizaron pruebas con usuarios reales. En esta fase, se tuvieron en cuenta todos los errores posibles encontrados en el aplicativo para su debida corrección.
RTM: es la fase de disponibilidad general en donde los errores fueron corregidos en su totalidad, teniendo en cuenta todos los feedback realizados en la fase anterior, por parte de los potenciales usuarios de la aplicación.
Evaluación técnica del sistema
La implementación del sistema informático o aplicativo App, para coadyuvar al proceso de la toma de decisiones, en la gestión gerencial de la trazabilidad de la información de costos y gastos en la producción de explotaciones del sector agropecuario, fundamentada en modelos de las tipologías de naturaleza contable y estado de la naturaleza, se fundamentó en los siguientes aspectos:
· El estudio, análisis, comprensión y transferencia de las dinámicas de los modelos de costeo fundamentados en la naturaleza contable y el estado de la naturaleza, para emplearlas en el proceso de la toma de decisiones.
· El establecimiento de las prioridades de la aplicación App.
· Implementación de la metodología propuesta en una herramienta de desarrollo apropiada.
· Realización de pruebas de campo que garantizaron el funcionamiento de la aplicación.
A continuación, se señalan los criterios de la determinación de las pruebas que fueron ejecutadas en la implementación de la aplicación:
· Ejecución de la totalidad de las pruebas de la aplicación App.
· La totalidad de las pruebas se ejecutaron de acuerdo con los criterios de evaluación.
· Las pruebas de carga demostraron que se posee un grado satisfactorio de capacidad operativa y funcional, tanto desde el diseño como de usabilidad por parte del usuario.
· Los incidentes que se encontraron en las pruebas fueron corregidos y probados.
Documentación y socialización
Se dispuso del respectivo manual de instalación y del usuario, Aplicativo Manejo Costos Agropecuarios - AMCA APP Versión 1.0®
RESULTADOS
Los resultados que se han obtenido en este estudio propuesto desde el nodo desarrollo de software libre, del colectivo de trabajo Gefinagro para el diseño, desarrollo e implementación de una App para dispositivos móviles inteligentes con el propósito de que un funcionario del nivel estratégico, propietario o dueño de una explotación agrícola o pecuaria, este en la capacidad del uso de las TI para costear producciones en el ámbito de la producción agrícola o pecuaria; están enmarcados en dos aspectos, primero los resultados más relevantes que fueron obtenidos de la aplicación del instrumento de la encuesta y segundo, el diseño y la implementación del Aplicativo Manejo Costos Agropecuarios - AMCA APP Versión 1.0®
Instrumento encuesta
La encuesta se aplicó al 57% los propietarios, dueños o productores de las UPAS agrícolas y al 43% de las UPAS pecuarias respectivamente, según la Cuadro 1.
| n | % | ||
| Productores explotaciones agrícolas – UPAS | 29 | 5.3 | = 0.75 |
| Productores explotaciones pecuarias - UOAS | 22 | 47 | = 0.25 |
| Totales | 51 | 100 |
En relación con el seguimiento a la inversión y a la identificación del costo final de la producción, por parte de los propietarios, dueños o productores de explotaciones agrícolas o pecuarias, tenemos que en las UPAS agrícolas el 100% realiza el seguimiento a la inversión e identifica el costo final de sus producciones. En las UPAS pecuarias, solamente el 51% realiza el respectivo seguimiento y conoce sobre el costo final de su producción. El 49% restante, no realiza seguimiento sobre la inversión ni identifica costo final de la producción pecuaria (Figura 1).

El 100% de los encuestados consideran que para ellos es muy importante el uso de TIC móviles, en las dinámicas de operación de sus diferentes actividades en el sector agropecuario. El 90% de los propietarios, dueños o productores de las explotaciones agrícolas o pecuarias, desearía disponer de un programa o aplicativo informático que les suministre información sobre los costos de producción de su explotación agropecuaria (Figura 2).

AMCA APP Versión 1.0®
Se realizó el diseño, desarrollo y formulación de macros dinámicas y bases de datos en Microsoft Excel, inicialmente para el módulo de producción agrícola -cultivos-, y la respectiva simulación de la información de variables conexas a las erogaciones de costos y gastos. El desarrollo de la App, para Google Play o App Store funciona en el sistema operativo Android en su versión 5 o posterior. Para el desarrollo de la aplicación se empleó la tecnología de SvelteNative, la cual hace uso de nativescript para el desarrollo de aplicaciones nativas tanto para Android como para iOS. Dicha tecnología se apoya también en lenguajes como JavaScript y un lenguaje de maquetado propio que se asemeja a HTML y CSS. La base de datos usada corresponde a la tecnología de SQLite en su versión 3, la cual permite integración sin problemas con Svelte Native Figura 3.

La App instalada en el dispositivo móvil inteligente, le permite al usuario a través de la administración del respectivo menú ejecutar las acciones dentro de la aplicación (Figura 4).

De igual manera permite descargar o guardar la información en formato.pdf (Figura 5).

CONCLUSIONES
El diseño, desarrollo e implementación de la aplicación SimulAgroCostoApp, en su primera versión para el módulo de producción agrícola -cultivos-, para dispositivos inteligentes a través de Google Play o Play Store -AMCA APP Versión 1.0®-, tiene como propósito que a través de la trazabilidad de la información de los recursos o erogaciones desembolsadas en las dinámicas de operación de una explotación agrícola o unidad de negocio, el productor puede determinar o calcular los costos, actuales o futuros de la producción de su cultivo, para garantizar la sostenibilidad económica y financiera en las unidades productivas del agronegocio.
AMCA APP Versión 1.0® fue pensada por gente del campo, y diseñada en los aspectos prácticos con el propósito de validar que cada función o módulo de la aplicación fuera amigable con el usuario y que esta le genere información valiosa para la toma de decisiones, no basada en la intuición, sino en información de datos de costos y gastos, en actividades de producción agrícola -cultivos-.
El impacto de este trabajo está determinado por la contribución desde el nodo de desarrollo de software libre, del colectivo de trabajo Gefinagro sobre la implementación de las TIC, en las actividades productivas del sector agropecuario que permiten comprender la trazabilidad en la información de los datos asociados a los costos y gastos, para la toma óptima de decisiones. Socialización de la aplicación en los eventos Encuentro Departamental de Semilleros de Investigación -Nodo Antioquia 2021- y 2º Encuentro de Investigación 2021: Investiga Poli, conociendo, aplicando y transformando.
REFERENCIAS BIBLIOGRÁFICAS
Banco Mundial. 2009. Informe sobre el desarrollo mundial 2009: remodelando la geografía económica. Banco Mundial. © Banco Mundial. https://openknowledge.worldbank.org/handle/10986 /5991. Consultado el 21 de mayo de 2021.
Fukuda, K. 2020. Transformación del ecosistema de ciencia, tecnología e innovación hacia la sociedad 5.0. Revista Internacional de Economía de la Producción Vol 220(c). doi: https://doi.org/10.1016/j .ijpe.2019.07.033. Consultado el 16 de Julio, 2021.
Gobernación de Antioquia. 2020. Plan de Desarrollo del Departamento de Antioquia. “Unidos por la vida 2020-2023”. https://plandesarrollo.antioquia.gov.co. Consultado el 28 de noviembre de 2021.
Marco Nacional de Cualificaciones Colombia -MNC. 2017. Sector TIC. http://aprende.colombia aprende.edu.co /sites/default/files/naspublic/mnc/TIC.pdf. Consultado el 25 de Julio de 2021.
Ministerio de Tecnologías de la Información y las Comunicaciones de Colombia. - MinTIC. 2015. https://mintic.gov.co/portal/inicio. Consultado el 15 de junio de 2021.
Ministerio de Tecnologías de la Información y las Comunicaciones de Colombia. - MinTIC. 2020.. Especialización Regional Inteligente. https://mintic.gov.co/portal/inicio/Iniciativas/. Consultado el 07 de mayo, de 2021.
MinTIC - Plan TIC. 2018-2022. Fortalecimiento industria TI en Colombia. Recuperado de https://mintic.gov.co/micrositios/plan_tic_2018_2022/777/w3-channel.html. Consultado el 16 de septiembre de 2021.
Tirado A. y Molano Y. 2018. Estudio de viabilidad de una empresa desarrolladora de software para el sector agropecuario del municipio de Villavicencio-Meta. Facultad de Ciencias Empresariales. Tesis de Licenciatura. Corporación Universitaria Minuto de Dios, Yopal. Villavicencio, Meta Colombia. 114p.