Sistema difuso para la detección automática de estilos de aprendizaje en ambientes de formación web
Fuzzy system for automatic detection of learning styles in web training environments
Sistema difuso para detecção automática de estilos de aprendizagem em ambientes de formação web
Sistema difuso para la detección automática de estilos de aprendizaje en ambientes de formación web
Ciencia, Docencia y Tecnología, vol. 27, núm. 52, pp. 269-294, 2016
Universidad Nacional de Entre Ríos

Recepción: 11 Marzo 2015
Aprobación: 09 Septiembre 2015
Resumen: Este trabajo presenta un sistema difuso que permite detectar estilos de aprendizaje para un entorno formativo personalizado orientado a la web, donde las características individuales de aprendizaje, se convierten en el insumo principal de estos escenarios innovadores de formación. Se presentan tres factores que se tuvieron en cuenta al momento de formalizar las distintas variables difusas: una adaptación del Test de Felder y Silverman, la ruta o traza de aprendizaje y una prueba de conocimientos, se describe la naturaleza y respectiva connotación de cada una de ellas, al igual que los criterios para la construcción de las reglas difusas, además se exponen algunos de los resultados obtenidos al momento de simular con diversos datos de entrada.
Palabras clave: Estilos de aprendizaje, Ambientes de formación web, Adaptabilidad, Sistemas difusos, Personalización.
Abstract: This paper shows a fuzzy system to detect learning styles through a virtual training environment, with the aim of contributing to improved levels of personalization. Here, the individual learning characteristics become the main ingredient scenarios innovative virtual training. It is shown three factors that were taken into account when formalizing the fuzzy variables: an adaptation of Felder and Silverman test, the path or trace of learning and a knowledge test. They explain the nature and respective connotation of each of them as the criteria for the construction of fuzzy production rules. Also, they show some of the results obtained when simulating with various input data.
Keywords: Learning styles, Web training environments, Adaptability, Fuzzy systems, Personalization.
Resumo: Este trabalho apresenta um sistema difuso para detectar estilos de aprendizagem em um ambiente de aprendizagem personalizado orientado à web, em que as características individuais de aprendizagem, tornam-se o principal insumo desses cenários inovadores de formação. São apresentados três fatores levados em conta na formalização das diferentes variáveis difusas: uma adaptação do Teste de Felder e Silverman, o caminho ou traço de aprendizagem e uma prova de conhecimentos, são descritas a natureza e respectiva conotação de cada uma delas, bem como os critérios para a construção das regras difusas, também são expostos alguns dos resultados obtidos na simulação com diversos dados de entrada.
Palavras-chave: Estilos de aprendizagem, Ambientes de formação web, Adaptabilidade, Sistemas difusos, Personalização.
I. Introducción
El enorme potencial que ofrecen las tecnologías de la información y comunicación en la Educación han permitido nuevas formas de concebir los procesos formativos, dando lugar a innovadores escenarios de enseñanza y aprendizaje. Dentro de la gama de posibilidades educativas mediadas por tecnología, se encuentra los ambientes virtuales de aprendizaje adaptativos, los cuales basan su filosofía de trabajo en la personalización, la colaboración y la ubicuidad de la información y la comunicación. En ese contexto se ubica al estudiante en el centro de la actividad de formación, teniendo presente sus necesidades, expectativas y estilos de aprendizaje. Según Camacho y Alandro (2011), cuando se hace alusión a los estilos de aprendizaje, se ponen de manifiesto una serie de aspectos y estructuras cognitivas comportamentales y actitudinales de las personas tales como:
-La capacidad para el aprendizaje.
-Actitud ante el éxito y el fracaso.
-De qué manera se solicita, utiliza, transfiere y ofrece la ayuda.
-Cómo se comporta a nivel de autonomía, creatividad e iniciativa.
-Vías que utiliza.
-Alternativas que emplea.
-Características de la orientación, ejecución y control.
-Rasgos de la atención y capacidad ante el trabajo.
-Motivos, intereses, inclinaciones, ritmo de aprendizaje.
-Preferencia sensorial.
-Actitud ante el reforzamiento y los resultados de las evaluaciones.
-Uso de estrategias para el aprendizaje. -Autovaloración.
-Nivel de socialización, entre otros elementos
En la práctica son pocos los sistemas adaptativos o personalizados que asumen los estilos de aprendizaje de los usuarios de una manera específica y coherente con la realidad, lo que limita la eficiencia y pertinencia de estos sistemas, por tanto, poder determinar el estilo de aprendizaje de una comunidad heterogénea de usuarios en ambientes de formación web, se convierte en una tarea que requiere precisar varios aspectos desde el punto de vista computacional, así como desde el punto de vista de la psicología educativa, que faciliten desarrollar verdaderos sistemas adaptativos/personalizados a los intereses y capacidades de aprendizaje de los estudiantes.
Existen una serie de proyectos que sirven como punto de referencia y los cuales están enmarcados en la personalización y la adaptabilidad en los contextos de formación web, el trabajo de Hsu et al. (2010) se enfoca a diagnosticar el estilo de aprendizaje de un usuario, para luego hacer recomendaciones en cuanto al contenido digital que se amolde precisamente con dicho estilo. El trabajo estuvo dirigido a 102 estudiantes universitarios, los cuáles fueron agrupados por estilo de aprendizaje. Para el diagnóstico se basaron solamente en aplicar el Test de Felder y Silverman, de igual manera, Manish et al. (2011) adoptan el mismo criterio pero utilizando técnicas de lógica difusa, al igual que Lopez et al., (2011) utilizan estos criterios para definir el perfil del estudiante en su modelo de replanificación de actividades o Modelo de Optimización de Recursos de Enseñanza (more), que se basa principalmente en la configuración inteligente de una matriz de actividades para generar cursos a partir de procesos combinatorios, obteniendo un alto nivel de personalización en el proceso de enseñanza.
El trabajo realizado por Graf et al. (2010) permitió analizar el comportamiento navegacional de los estudiantes en un curso en línea de un sistema de gestión contenidos de aprendizaje lcms (Learning Content Managment System). Se pudo establecer que estudiantes con diversos estilos de aprendizaje tienen también distintos patrones de navegación en el proceso formativo. Estos hallazgos tienen varias implicaciones para la mejora de la adaptabilidad. En primer lugar; los estudiantes con diferentes estilos de aprendizaje utilizan distintas estrategias para aprender y navegar a través del curso. En segundo lugar; los resultados proporcionan información para poder ampliar la funcionalidad de adaptación, en los típicos sistemas de gestión contenidos de aprendizaje. En tercer lugar; la información acerca de las diferencias en el comportamiento navegacional, puede contribuir a la detección automática de los estilos de aprendizaje, esto ayuda a que la estructura del modelado del estudiante sea más precisa en los sistemas de formación en línea.
De otra parte, Eyuboglu y Orhan (2011), llevaron a cabo un estudio para determinar si existe una relación entre los patrones de navegación (paginación y desplazamiento) de los estudiantes en un sistema de formación basado en la hipermedia y los logros de aprendizaje. En este caso se adoptó el inventario de estilos de aprendizaje de Sternberg (1997), se conformaron dos grupos de seguimiento, un grupo usaba paginación como elemento de navegación y el otro utilizaba desplazamiento, además se elaboró un cuestionario para recopilar el nivel de satisfacción de los usuarios. El estudio mostró que el estilo de aprendizaje y la paginación/desplazamiento, juntos o separados no afectan el aprendizaje ni la satisfacción de los estudiantes.
Villaverde et al. (2006) cuestionan la veracidad de los resultados ofrecidos al aplicar los test con el objetivo de determinar los estilos de aprendizaje, para ello proponen un método alternativo en ambientes de formación on-line, basado en las acciones que realiza el usuario en el entorno. Las redes neuronales se convierten en el paradigma computacional utilizado. Las acciones que se observan y que se convierten en los datos de entrada del sistema neuronal (Input layer) son: lectura de materiales, acceso a los ejemplos, cambios en las respuestas, ejercicios, tiempo de realización de las pruebas, uso de herramientas comunicacionales sincrónicas y asincrónicas (chat, foros, mail, etc.) y acceso a la información.
La salida del sistema (output layer) está basada en tres dimensiones mostradas a continuación:

Bolliger y Supanakorn (2011) examinaron la relación que se puede establecer entre los distintos estilos de aprendizaje de los educandos con las respectivas percepciones en cuanto al uso de tutoriales interactivos en línea. Los estudiantes fueron divididos en cinco categorías de estilos de aprendizaje: auditivos, kinestésicos, basados en lectura/escritura, visuales, y multimodales, además se definieron cuatro modalidades de aprendizaje: unimodal, bimodal, trimodal, y multimodal. Se aplicó un cuestionario con el fin de determinar las diferencias basadas en estilos de aprendizaje respecto a sexo, y rendimiento académico. Los resultados del estudio muestran que los estudiantes perciben los tutoriales accesibles y útiles. De igual forma se evidenció una relación estadísticamente significativa entre género y estilo de aprendizaje. En otras palabras, los hombres y las mujeres parecen tener diferentes preferencias de estilo de aprendizaje.
Otra investigación relevante tienen que ver con un sistema tutorial inteligente conversacional denominado Oscar (Crockett, 2011), el cual predice de forma dinámica y se adapta al estilo de aprendizaje del estudiante a lo largo de una conversación guiada. Oscar pretende imitar a un tutor humano para mejorar la eficacia de la experiencia de aprendizaje utilizando el lenguaje natural y la adaptación de materiales para acoplarse al estilo de aprendizaje de un individuo. La predicción del estilo de aprendizaje se lleva a cabo mediante la captura de variables independientes durante la conversación. La variable con el valor más alto determina el estilo de aprendizaje de los individuos. Para ello utiliza un árbol de clasificación difusa para construir un modelo predictivo difuso utilizando estas variables que son captadas a través de experimentos con diálogos naturales. En ese sentido asumen dos de las dimensiones de los estilos de aprendizaje propuestos por Felder y Silverman: la percepción (sensorial-intuitivo) y comprensión (secuencial-global).
La Personalización y modelado de aprendizaje son cada vez más importantes en el área de aplicaciones móviles de aprendizaje, teniendo en cuenta los intereses de los alumnos, las preferencias y la información contextual. Los estudiantes hoy en día son capaces de aprender en cualquier lugar y en cualquier momento. El contenido móvil de aplicaciones de aprendizaje es uno de varios factores que juegan un papel importante en el éxito del proceso de adaptación. La gran cantidad de datos involucrados en cualquier proceso de adaptación exitosa crea la complejidad y plantea serios desafíos. El trabajo (Al-Hmouz et al., 2010) propone un sistema de aprendizaje móvil. La estructura planteada ofrece la personalización mediante la adopción de un enfoque híbrido que combina técnicas provenientes del aprendizaje de máquinas, como son la lógica difusa y las redes neuronales.
A pesar de existir un gran variedad de trabajos enmarcados en la detección de estilos de aprendizaje, adopción del Test de Felder y Silverman se observa que en muchos casos asumen un solo criterio para determinar el estilo, donde se basan en la información que suministra el usuario respecto a sus preferencias de aprendizaje, otros sistemas recomendados se basan en la tendencia navegacional del estudiante y un entorno con una variedad de formatos para la presentación de contenidos. La propuesta planteada está encaminada en definir un modelo difuso que abarque elementos puntuales que permitan determinar el estilo de aprendizaje más apropiado en un contexto formativo para la web, en ese sentido se toman en cuenta tres criterios que definitivamente marcan la diferencia respecto a otro tipos de trabajo similar. Este trabajo basa su funcionalidad en el paradigma computacional de los sistemas difusos, donde se permite utilizar el lenguaje ordinario como lenguaje de descripción para la máquina, incorporando así el conocimiento de un experto en una tarea determinada. Introduce la imprecisión y la subjetividad, propia de la actividad humana en un procesamiento automatizado (Pajarez y Santos, 2006). El sistema propuesto asume tres criterios para poder detectar el estilo de aprendizaje de un estudiante; el Test de Felder y Silverman (Felder y Silverman, 1988), que ha mostrado ser una herramienta importante desde la Psicología educativa, ya que establece la forma de cómo concibe el aprendizaje el estudiante, desde sus preferencias en cuanto al tipo de información que percibe, y cómo progresa en su aprendizaje. Estos aspectos tienen gran relevancia en los ambientes de formación web.
Un segundo criterio está relacionado con la ruta de aprendizaje del usuario ante un contenido temático en particular, para ello se propone una serie de temáticas desarrolladas para diversos estilos de aprendizaje, donde el usuario puede escoger la ruta de acuerdo a sus preferencias de aprendizaje, este seguimiento es asumido por agentes computacionales, ya que estos presentan unas ventajas descritas por Jhonson et al. (2000) como son:
-Los estudiantes pueden realizar preguntas en cualquier momento.
-El agente está en todo momento «observando» el actuar del estudiante.
-El agente puede reconstruir y redefinir su actuar en cada momento a partir del actuar del estudiante.
-El agente puede adaptar su actuar a situaciones inesperadas.
-El estudiante puede tomar el control en cualquier momento.
-En caso de errores el agente ayuda a que el estudiante aprenda de ellos.
-En cualquier momento, el estudiante puede consultar en que parte del proceso se encuentra y las tareas faltantes.
En tal sentido los agentes, estarán permanentemente monitoreando la actividad del estudiante, que además de almacenar la ruta recorrida, ayudará al usuario en muchos casos en la toma de decisiones navegacionales y como alarma ante situaciones restrictivas del sistema.
Y como tercer aspecto se presenta una prueba de conocimientos que ha de realizar el usuario al finalizar el recorrido de las unidades temáticas, se pretende con esta valoración, formalizar el nivel de asimilación de los temas previamente mostrados en diversidad de formatos acorde a los estilos de aprendizaje por determinar. Para representar el conocimiento común de los tres aspectos mostrados anteriormente, que son esencialmente de carácter lingüístico cualitativo y no necesariamente de corte cuantitativo, se asume la lógica difusa como estrategia principal de representación, ya que esta permite trabajar con datos numéricos y términos lingüísticos a la vez. La información aportada por los términos lingüísticos a pesar de ser menos precisos que los datos numéricos, en muchos casos son más útiles para el razonamiento humano o para la toma de decisiones.
II. Análisis teórico
El modelo propuesto se fundamenta en un conjunto de teorías y enfoques, con una perspectiva psicopedagógica y computacional, las cuales se detallan a continuación.
II.1. Clasificación de las teorías de los estilos de aprendizaje
Al hacer una revisión sobre las distintas clasificaciones se puede evidenciar que no existen criterios unificados ni absolutos en cuanto a la manera de comprender la naturaleza de los estilos de aprendizaje. Una primera clasificación es asumida por Curry (1987), el cual toma las distintas herramientas y modelos de estilos de aprendizaje como capas o niveles, que conforman una estructura similar a la de una cebolla. Ver Figura 1.

La capa o nivel más externa «Preferencias Institucionales y de contexto» hace alusión al conjunto de teorías e instrumentos basados en las preferencias instruccionales del estudiante es decir, que existe una serie de orientaciones externas en cuanto al proceso de aprendizaje individual, la cual está asociada con una serie de necesidades del contexto que requieren ser solventadas.
Un segundo nivel o capa denominada «Preferencias en el proceso de información», el cual basa su funcionalidad en la manera de como el estudiante interioriza o procesa la información que percibe.
El tercer nivel o capa «Preferencias relacionadas con la personalidad», y se relaciona con las preferencias de aprendizaje acordes a la personalidad. En ese sentido el estudiante tiene un cúmulo de información acerca de su autoconocimiento que le permite una mejor asociación entre los contextos y formas de aprendizaje. Otro modelo de clasificación de teorías para los estilos de aprendizaje es el propuesto por Grigorenko y Sternberg (1995). Estos autores clasifican los Estilos de Aprendizaje en tres categorías:
- Centrados en la cognición: esta categoría aborda todos los estudios relacionados con los estilos cognitivos. Donde se asume que,
«los estilos cognitivos se refieren a patrones específicos inconscientes y automáticos a través de los cuales las personas adquieren conocimiento. El énfasis reside en los procesos involucrados en el manejo de información en la mente del individuo. La percepción, el juicio, la atención y la memoria son elementos identificados en estos patrones. De aquí que se deriven implicaciones en el aprendizaje debido a estas tendencias cognitivas en lo referente a la percepción, el procesamiento, el almacenamiento y la recuperación de la información» (Lozano, 2000).
- Una segunda categoría propuesta es centrada en la personalidad: comprende los estilos de personalidad relacionados con la cognición. Donde se establece que los estilos de aprendizaje no tienen un vínculo directo con aquellos rasgos que definen la personalidad, y más bien apuntan a definirlos como factores diferenciadores entre sujetos que inciden sobre las competencias de la función cognitiva, interés, valores y desarrollo de la personalidad.
- Una tercera categoría es aquella Centrada en la actividad, donde se precisa formalizar todo lo concerniente a las diferencias individuales, que no pueden ser explicadas por los tests de inteligencia en el acto mismo de aprender. Esta clasificación incluye modelos de estilos de aprendizaje y estilos de enseñanza.
Dentro de la gama de tipificaciones para clasificar estilos de aprendizaje se encuentra el trabajo de Rayner y Riding (1997), que se basa fundamentalmente en la clasificación de Grigorenko y Sternberg; estableciendo tres aproximaciones conceptuales: la centrada en la cognición, la centrada en la personalidad y la centrada en el aprendizaje. Un par de años más tarde, estos mismos autores Riding y Rayner (1999), proponen una clasificación más simplificada de los modelos de aprendizaje basados en procesos y seleccionan sólo aquellos que cumplen las siguientes características: Modelos que hayan contribuido históricamente en el desarrollo de los estilos de aprendizaje Modelos que cuenten con estudios empíricos y evaluación psicométrica Modelos que sean considerados relevantes en el desarrollo del constructo de estilos de aprendizaje.
Otro tipo de clasificación es la presentada por Alonso y Gallego (2004), los cuales especifican las teorías en cuatro modelos: Modelos basados en el proceso de aprendizaje por la experiencia, modelos centrados en la orientación hacia el estudio, modelos basados en las preferencias instruccionales y modelos basados en el desarrollo de destrezas cognitivas.
Para el desarrollo del sistema difuso se adopta la clasificación propuesta por Curry (1987), ya que asume unas teorías e instrumentos acordes con la realidad del proceso de aprendizaje, por otro lado algunos de los instrumentos definidos en esta clasificación son más prácticos al momento de establecer los estilos de aprendizaje predominantes en entornos de formación web.
III. Sistema difuso
La premisa inicial de este trabajo parte de que es posible definir mecanismos mucho más prácticos ajustados a la acción real educativa, para la detección de estilos de aprendizaje de los estudiantes en entornos de formación web, utilizando técnicas asociadas a la lógica difusa.
La lógica difusa se puede concebir como un método para la formalización del razonamiento impreciso, dicho razonamiento representa cierta capacidad humana de inferir y juzgar aproximadamente en condiciones de incertidumbre (Timothy, 2010). El poder determinar el estilo de aprendizaje de un estudiante, se convierte en un problema de naturaleza difusa, ya que se deben tener en cuenta situaciones y características valorativas con un cierto nivel de imprecisión que requieren un tratamiento acorde a la naturaleza del problema. En ese sentido, se hizo una caracterización de los aspectos directamente involucrados para determinar el estilo de aprendizaje predominante.
En la construcción del sistema difuso, se tuvieron presentes las siguientes etapas:
1. Definición de las variables lingüísticas del sistema.
2. Creación del conjunto de reglas.
3. Simulación con valores de prueba.
En la Figura 2 se puede ver el esquema general que presenta el sistema.

Cada etapa del sistema se describe a continuación.
III.1. Definición de las variables lingüísticas del sistema
El sistema difuso propuesto, tiene tres variables de entrada y una variable de salida definidas respectivamente por:
Test de Felder y Silverman: este instrumento clasifica a los estudiantes según la forma de percibir la información en cinco grupos:
-Sensitivos/Intuitivos
-Visuales/Verbales
-Inductivos/Deductivos
-Activos/Reflexivos
-Secuenciales/Globales
No obstante, esta clasificación se acotará más debido a que en los ambientes de aprendizaje virtual, se hacen evidentes aspectos relacionados con el aprendizaje visual, auditivo, y textual, para efectos de cómo se percibe la información o el contenido temático. El test básicamente consta de 44 preguntas que abordan el aprendizaje desde cuatro dimensiones diferentes como se puede apreciar en la Tabla 1.

Cada dimensión consta de 11 preguntas, de las cuatro dimensiones se adoptan la 2 y 4, como las más representativas y significativas en los ambientes de formación web, ya que se debe tener presente que el estudiante se enfrenta con materiales educativos multimedia que explotan los aspectos visuales, textuales y sonoros de manera continua y progresiva; por otro lado, la hipertextualidad ofrece la posibilidad de establecer secuencias no necesariamente lineales al momento de aprender.
Cabe notar, que el resto de dimensiones presentan también un nivel de importancia, pero se debe tener presente, que el proceso inicial de aprendizaje es una actividad que se aborda de manera individual y personalizada. Para tal efecto se plantea que los estilos de aprendizaje a determinar van encaminados en esas dos dimensiones, agrupados de la siguiente manera: Visual-Global (vis-glo), Visual-Secuencial (vis-sec), Verbal-Global (ver-glo), Verbal-Secuencial (ver-sec). Para ello se toman 14 preguntas (del total de 44), agrupadas en subgrupos de 7 preguntas (Visual-verbal, Secuencial-Global).
Para determinar los valores correspondientes a cada subgrupo, se tomaron en cuenta el máximo y mínimo de respuestas por subgrupo, es decir si de las siete preguntas se eligieron siete de un estilo, ese es el máximo valor a tomar y representa en absoluto a dicho estilo; en su defecto, si se distribuyen 4 de un estilo y tres del otro, se hace la diferencia, que es uno y representa el valor mínimo. El estilo predominante es aquel que tuvo mayor peso o ponderación. Esta discriminación de valores permite determinar el rango de valores de la variable Test.
Por tanto se define la variable de entrada difusa .= «Test» [-23, 23], con cuatro conjuntos difusos «ver-sec», «ver-glo», «vis-sec», «vis-glo».
Luego para todos los conjuntos difusos ., estos quedan expresados por (1)
[Ecuación 1]Donde μB(x) es la función de pertenencia definida por (2)
[Ecuación 2]Siendo a, b, c, d parámetros.
La Figura 3 ilustra la variable lingüística «Test», con sus respectivos conjuntos difusos.

Los valores asociados con cada uno de los conjuntos difusos representados con sus correspondientes etiquetas, pertenecientes al universo de discurso de la variable lingüística Test, se muestran en la Tabla 2.

Ruta de Aprendizaje: se pretende establecer el tipo de preferencia que tienen los usuarios respecto a cómo perciben y procesan la información. El sistema donde está inmerso el modelo difuso, define que se debe mostrar una serie de contenidos de una temática en particular, desglosada en cuatro unidades desarrolladas de manera secuencial, las cuales tienen cuatro formatos distintos acorde a los estilos de aprendizaje a diagnosticar.
El usuario está en la libertad de escoger el formato que considere más apropiado, con las siguientes restricciones:
1. Al asumir una unidad temática no puede volver a verla, ni en el mismo formato, ni en otro.
2. Para la segunda, tercera y cuarta unidad temática el usuario puede cambiar de formato si así lo considera pertinente.
La manera de estructurar y formalizar los contenidos, permite determinar la ruta de aprendizaje que tiene el usuario, es decir cuál o cuáles fueron las preferencias que tuvo el estudiante al momento de afrontar un proceso de aprendizaje (para este caso existen 44= 256 posibles rutas). El seguimiento es abordado utilizando agentes Inteligentes, cuya función es hacer el rastreo respecto a la ruta escogida, además sirven de ayuda a los usuarios en cuanto al suministro de información alusiva al contexto dado. Por tanto se define la variable de entrada difusa .= «Ruta»: [1, 5] , con tres conjuntos difusos «difusa», «alterna», «óptima».
Luego para todos los conjuntos difusos C, estos quedan expresados por (3)
[Ecuación 3]Donde μc(x) es la función de pertenencia definida por (4)
[Ecuación 4]Siendo a,b,c parámetros.
Los valores asociados con cada uno de los conjuntos difusos representados con sus correspondientes etiquetas, pertenecientes al universo de discurso de la variable lingüística Ruta, se muestran en la Tabla 3.

La Figura 4 ilustra la variable lingüística «Ruta», con sus respectivos conjuntos difusos.

Prueba de conocimiento: cuando el estudiante termina de ver las unidades temáticas, acorde al formato de presentación escogido por él, procede a realizar una prueba, esto con el fin de estipular el nivel de asimilación de los contenidos presentados anteriormente.
Por tanto se define la variable de entrada difusa X= «Prueba»: [0, 100], con cinco conjuntos difusos «bajo», «medio_bajo», «medio», «medio_alto», «alto». Luego para todos los conjuntos difusos D, estos quedan expresados por (5)
[Ecuación 5]Donde μd (x) es la función de pertenencia definida por (6)
[Ecuación 6]Siendo a,b,c parámetros.
Los valores asociados con cada uno de los conjuntos difusos representados con sus correspondientes etiquetas, pertenecientes al universo de discurso de la variable lingüística Prueba, los cuales se muestran en la Tabla 4.

La Figura 5 ilustra la variable lingüística «Prueba», con sus respectivos conjuntos difusos.

Estilo de aprendizaje: después de aplicar las respectivas reglas de inferencia con base a los valores de entrada del sistema difuso, se obtiene el valor correspondiente del estilo de aprendizaje asociado. Se define la variable de salida .= «estilo de aprendizaje» :[0, 100] , con seis conjuntos difusos «vis_sec_mod, vis_sec_apro, vis_glo_mod, vis_glo_apro, vis_glo_fue, ver_sec_mod, ver_sec_apro, ver_sec_fue, ver_glo_mod, ver_glo_apro, ver_glo_fue» Luego para todos los conjuntos difusos, estos quedan expresados por(7)
[Ecuación 7]Donde μe(x) es la función de pertenencia definida por (8)
[Ecuación 8]Siendo a, b, c, d parámetros
Los valores asociados con cada uno de los conjuntos difusos representados con sus correspondientes etiquetas, pertenecientes al universo de discurso de la variable lingüística Estilo de aprendizaje, se muestran en la Tabla 5.

La Figura 6 ilustra la variable lingüística «Estilo de Aprendizaje», con sus respectivos conjuntos difusos.

III.2. Creación del conjunto de reglas
Las reglas difusas permiten establecer una categorización, es decir, la posibilidad de detectar cierto tipo de patrón de comportamiento que en este caso representa el estilo de aprendizaje más significativo o representativo de un usuario, basado en un conjunto de pruebas y escenarios de confrontación temática. El sistema difuso propuesto, obedece a un tipo de estructura que se modela con base a la definición de un conjunto de reglas de la forma:
Si X1= A1 y X2=A2 y…….y Xn=An Entonces Z=B
Donde tanto los valores de las variables lingüísticas del antecedente (X1,X2,…Xn) y del consecuente (Z) son conjuntos difusos, en esencia, resultados lingüísticos con una semántica asociada.
Las reglas existentes obedecen a una serie de criterios pedagógicos, recogidos principalmente de la experticia (aplicación de encuestas) de un grupo de 8 profesionales de la educación mediada por tecnologías de la información y comunicación pertenecientes al programa de Licenciatura en Informática y Medios Audiovisuales de la Universidad de Córdoba, Colombia.
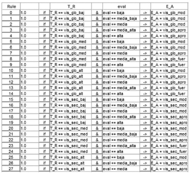
Un primer grupo de reglas establece una relación entre las variables «Test» y «ruta», para definir la coherencia entre lo que el estudiante expresa en el test de Felder y Silverman, y otra el ejercicio práctico de confrontar un contenido acorde con sus tendencias de aprendizaje. El resultado (T_R), establece un primer nivel en cuanto al estilo de aprendizaje del estudiante (bajo, medio, alto). En la figura 7, se observa el conjunto de reglas construidas con el programa Xfuzzy 3.0 (Xfuzzy, 2008).

Con las conclusiones obtenidas a partir del primer conjunto de reglas, éstas se convierten en uno de los criterios en conjunto con los resultados de la prueba realizada por parte del usuario, para conformar un segundo conjunto de reglas (ver figura 8) que definen el estilo de aprendizaje de un estudiante (E_A) y su correspondiente nivel (moderado, apropiado, y fuerte).

El modelo propuesto presenta un primer grupo de 12 reglas y un segundo grupo conformado por 60 reglas, para un total de 72 reglas de producción. La superficie de la base de reglas correspondientes a cada conjunto se muestra en la figura 9.

III.3. Simulación con valores de prueba
El sistema de inferencia adoptado, es del tipo Mamdani (Mamdani y Assilian, 1999), y el método establecido para la defuzzificación es el centroide. Se espera que con los resultados obtenidos en el test de Felder y Silverman adaptado a los cuatro estilos en los que se basa esta propuesta, la traza o ruta de aprendizaje frente a un temario con diversidad de formatos, y la prueba de conocimientos de los temas vistos, permitan una aproximación lo más cercana posible al estilo de aprendizaje del usuario, donde además del estilo, se define su nivel en la escala moderado, apropiado y fuerte. Esta información en una etapa posterior permitirá formalizar los contenidos basados en las tendencias halladas. En ese sentido, lo que se busca es que el material educativo digital esté directamente relacionado con el estilo de aprendizaje diagnosticado, y en la proporción del nivel detectado.
La figura 10 ilustra el comportamiento del sistema respecto a los valores de entrada Test= -4 (visual-secuencial), Ruta=3 (apropiada), Prueba=73 (entre media y media alta). Los dos valores de entrada Test y Ruta, activan el primer motor de inferencia, donde se dispara una regla de la forma:
Si Test== Vis_Sec . Ruta== alterna Entonces T_R== Vis_Sec_Med

El resultado obtenido ingresa en conjunto con el valor de la variable prueba al segundo motor de inferencia, aquí se disparan dos reglas de la forma:
Si T_R == Vis_Sec_Med . eval == media Entonces E_A == Vis_Sec_Apro.
Si T_R == Vis_Sec_Med . eval == media_alta Entonces E_A == Vis_Sec_Fuer.
Por tanto, hay dos áreas de posibles soluciones, se aplica el método centroide para encontrar el resultado, en el ejemplo mostrado es E_A= 39,1 esto indica que el estilo de aprendizaje es visual-secuencial-apropiado.
La Tabla 6 muestra algunos de los resultados obtenidos con una variedad de datos de entrada.

La interpretación lingüística de algunos casos se describe así:
No 1: Si test arroja estilo «visual secuencial» y ruta de aprendizaje «difusa» y prueba «medio_bajo» entonces Estílo_de_Aprendizaje «Visual_Secuencial_Moderado».
No 5: Si test arroja estilo «verbal secuencial» y ruta de aprendizaje «alterna» y prueba «media» entonces Estílo_de_Aprendizaje «Verbal_Secuencial_Apropiado».
De los resultados obtenidos, con base en una diversidad de datos de entrada, se puede comprobar que el sistema difuso se amolda satisfactoriamente a las expectativas planteadas, generando conclusiones pertinentes en cuanto al estilo de aprendizaje de los estudiantes y su respectivo nivel, del mismo modo, el sistema responde adecuadamente ante situaciones críticas como las que se pueden evidenciar en la tabla anterior.
IV. Conclusiones
Ese trabajo presenta una propuesta innovadora desde el punto de vista de la utilización de técnicas basadas en lógica difusa para detectar estilos de aprendizaje en ambientes mediados por tecnología web, por tanto, se concluye que :
- La definición de cada una de las variables lingüísticas, y de los respectivos conjuntos difusos, se ajustaron en términos generales a los requerimientos cualitativos de los atributos que conforman el sistema.
- El sistema difuso propuesto, permite una mejor caracterización en cuanto a la forma de detectar el estilo de aprendizaje más representativo de un estudiante, ya que toma información suministrada por el mismo estudiante, datos generados por la confrontación práctica del ejercicio de aprendizaje, y por último los resultados de una prueba, como mecanismo de comprobación del aprendizaje.
- El sistema difuso presentado, tiene la posibilidad de ser ampliado en el sentido de incorporar nuevas variables que vayan en consonancia con el modelo original. - Identificar los estilos de aprendizaje propuestos en este trabajo, permitirá a los desarrolladores de materiales educativos digitales, centrarse precisamente en la elaboración de contenidos educativos mucho más personalizados y orientados a explotar al máximo aquellos aspectos que faciliten el proceso de aprendizaje de una diversidad de individuos con características de aprendizaje diferentes.
- En comparación con otros instrumentos que tienen la misma intencionalidad, donde solo manejan la apreciación o el punto de vista del estudiante (como es la aplicación de un test), el sistema difuso propuesto maneja además de ese criterio, un aspecto asociado a la escogencia de materiales basados en distintos estilos de aprendizaje, y una evaluación diagnóstica de los temas previstos, que permiten una mayor aproximación en la determinación del estilo de aprendizaje predominante de una persona.
- El modelo propuesto se puede incorporar a sistemas adaptativos educativos para determinar con una gran aproximación los estilos de aprendizaje predominantes de los estudiantes en los ambientes de formación web.
Referencias bibliográficas
Al-Hmouz, A.; Shen, J.; Jan, J. (2010). Enhanced Learner Model For Adaptative Mobile Learning, en :12th International Conference on Information Integration and Web-Based Applications & Services, 43-51.
Alonso, C.; Gallego, D. (2004). Estilos de Aprendizaje: Teoría y Práctica, Madrid: uned.
Bolliger, D.; Supanakorn, S. (2011). Learning Styles and Student Perceptions of the Use of Interactive Online Tutorials, en :British Journal of Educational Technology, 470–481.
Camacho, Y.; Alandro, M. (2011). Estilos y Tipos de Aprendizaje: Un Problema Contemporáneo de la Educación. Cuadernos de Educación y Desarrollo, Vol.(3): 21-28.
Crockett, K. (2011). On Predicting Learning Styles in Conversational Intelligent Tutoring System Using Fuzzy Clasification Trees, en: ieee International Conference,77-86.
Curry, L. (1987). Integrating Concepts of Cognitive or Learning Style: A Review With Attention to Psychometric Standards, en: College of Health Service Executives,12-18.
Eyuboglu, F.; Orhan, F. (2011). Paging and Scrolling: Cognitive Styles in Learning from Hypermedia, en: British Journal of Educational Technology, 50-65.
Felder, R.; Silverman, L. (1988). Learning and Teaching Style, en: Engineering Education , 674-681.
Graf, S.; Kinshuk , A.; Liu, T. (2009). Supporting Teachers in Identifying Students’ Learning Styles in Learning Management Systems: An Automatic Student Modelling Approach, en: Educational Technology & Society , 3–14.
Graf, S.; Liu, T.; Kinshuk, A. (2010). Analysis of Learners Navigational Behaviour and Their Learning Styles in an Online Course, en: Journal of Computer Assisted Learning, 116–131.
Grigorenko, E.; Sternberg, R. (1995). Thinking Styles, en: International Handbook of Personality and Intelligence, 205-229.
Hsu, C.; Wang, K.; Huang, Y. (2010). Modeling Personalized Learning Styles in a Web-Based Learning System, en: Lecture Notes in Computer,12-21.
Jhonson, W.; Rickel, J.; Lester, J. (2000). Animated Pedagogical Agents: Face to Face Interaction in Interactive Learning Enviroments, en: International Journal of Artificial Intelligence in Education, 47-78.
Lopez, K.; Duque, N.; Brochero, D. (2011). Replanificación de Actividades en Cursos Virtuales Personalizados con Arboles de Decisión, Lógica Difusa y Colonias de Hormigas, en: Avances en Sistemas e Informática, vol(8): 71-84.
Lozano, A. (2000). Estilos de Aprendizaje y Enseñanza. Un Panorama de la Estilística Educativa. México: itesm.
Mamdani, E., & Assilian, S. (1999). An Experiment in Linguistic Synthesis With a Fuzzy Logic Controller, en: International Journal Of Human-Computer Studies, vol(51): 135-147.
Manish, J.; Ravindra, V.; Pawan, L. (2011). Automatic Determination of Learning Styles, en: 2nd International Conference on Education and Managment Technology, 45-51.
Pajarez, G.; Santos, M. (2006). Inteligencia Artificial e Ingeniería del Conocimiento, Mexico: Alfaomega.
Rayner, S.; Riding, R. (1997). Towards a Categorisation of Cognitive Styles and Learning Styles, en: Educational Psycology, 5-27.
Riding, R.; Rayner, S. (1999). A Cognitive Style Preventative Intervention for Improving Behaviour and Learning in School, en: 4th Annual Conference of the European Learning Styles Information Network, 351-368.
Sternberg, R. (1997). Thinking styles, Cambridge, University Press.
Timothy, R. (2010). Fuzzy Logic With Engineering Aplications, Singapore, Wisley.
Villaverde, J.; Godoy, D.; Amandi, A. (2006). Learning Styles’ Recognition in e-Learning Environments with Feed-Forward Neural Networks, en: Journal Of Computer Assisted Learning, 197-206.
XFUZZY. (2008). Sitio Web de Xfuzzy. Disponible en: http://www2.imse-cnm.csic.es/Xfuzzy/ [18 de Febrero de 2015].