Resumen: Se analizan las características demográficas, crecimiento y productividad de la literatura publicada sobre los pueblos indígenas de México e indizada en Web of Science y Scopus. Se encontraron 2,457 trabajos publicados, sobre todo en revistas académicas (94%) y reseñas de libros (25.5%) en idioma inglés (89%). 732 títulos de revistas que publicaron un total de 1,642 artículos y se identificaron 9 títulos de revistas en la zona núcleo, entre las cuales están Ancient Mesoamerica, Latin American Antiquity, American Journal of Physical Anthropology, Journal of Archaeological Science, Economic Botany y Science, entre otras. Se encontraron 2,905 autores (80.6%) que publicaron un único artículo, mientras que 392 autores (11%) publicaron dos artículos. La literatura sobre este asunto crece exponencialmente con una tasa anual de 4.4% y con una tasa de duplicación cada 16 años. Las palabras clave más frecuentemente utilizadas para especificar este tipo de literatura son “Indians of North American”, “Human”, “México”, “Adult” y “American Indian”. Se encontraron 11 grupos de autores o colegios invisibles.
Palabras clave:Indios de MéxicoIndios de México,CienciometríaCienciometría,BibliometríaBibliometría,Crecimiento de la literatureCrecimiento de la literature,Co-palabrasCo-palabras,Co-autoresCo-autores.
Abstract: Demographic characteristics, growth and productivity of the published literature on the indigenous peoples of Mexico and indexed in Web of Science and Scopus are analyzed. 2,457 works published, especially in academic journals (94%) and book reviews (25.5%) in English (89%) were found. 732 titles of journals publishing a total of 1,642 items and 9 magazine titles identified in the core area, among which are Ancient Mesoamerica, Latin American Antiquity, American Journal of Physical Anthropology, Journal of Archaeological Science, Economic Botany and Science, among others. 2,905 authors (80.6%) who published a single article, while 392 authors (11%) published two articles were found. The literature on this issue grows exponentially with an annual rate of 4.4% and a rate of doubling every 16 years. Key words most frequently used to specify such literature is "North of American Indians", "Human", "Mexico", "adult" and "American Indian". 11 groups of authors or invisible colleges were found.
Keywords: Indians of Mexico, Scientometrics, Bibliometrics, Growth of literatura, Co-words, Co-authors.
Artigos
Métrica de la literatura sobre los indígenas de México
Literature metrics on the indigenous people of Mexico

Recepción: 01 Marzo 2016
Aprobación: 31 Marzo 2016
El propósito de este estudio es analizar las características demográficas de la literatura publicada sobre los indígenas de México e indizada en las bases de datos Web of Science (WoS) y Scopus. El estudio de este tipo de literatura con técnicas cienciométricas posibilitará identificar asuntos estudiados, autores, revistas, crecimiento de la literatura, etc. Estas técnicas permiten mapear la literatura y obtener datos objetivos para conocer el desarrollo y la evolución de las publicaciones producidas por arqueólogos, antropólogos, sociólogos, etc. También contribuye al trabajo de los bibliotecarios en áreas como desarrollo de colecciones y referencia, ya que ofrece información para la adquisición de recursos de información, almacenamiento de materiales bibliográficos impresos, esboza las preferencias de los autores y los temas que éstos publican.
Los indígenas de México son grupos étnicos reconocidos por el Estado en la Constitución Política en su artículo dos que establece: “la Nación tiene una composición pluricultural sustentada originalmente en sus pueblos indígenas que son aquellos que descienden de poblaciones que habitaban en el territorio actual del país al iniciarse la colonización y que conservan sus propias instituciones sociales, económicas, culturales y políticas, o parte de ellas. La conciencia de su identidad indígena deberá ser criterio fundamental para determinar a quiénes se aplican las disposiciones sobre pueblos indígenas” (México. Cámara de Diputados, 2014). México es un país pluricultural, porque existen más de 62 grupos etnolingüísticos que mantienen su propia lengua, tradiciones y costumbres ancestrales. Estos grupos suman casi 10% de la población total (Navarrete Linares, 2008). Cabe destacar que los pueblos étnicos mexicanos comienzan a llamar la atención del Estado a partir del siglo XX con la creación de instituciones y políticas públicas; por ejemplo, en 1948 se creó el Instituto Nacional Indigenista (INI). Este instituto era guiado por “el ‘indigenismo’, que había sido definido a principios del siglo por antropólogos como Manuel Gamio […] Esta doctrina buscaba usar los aportes de la ciencia antropológica para conocer mejor las culturas indígenas y así poder promover más eficientemente su ‘aculturación’; es decir, la adopción voluntaria de los elementos centrales de la ‘cultura nacional’, definida a partir de la cultura de la mayoría ‘mestiza’ del país” (Navarrete Linares, 2008, p. 15). Esta doctrina no solamente fue el pilar de las políticas públicas planeadas por el Estado mexicano, sino también la base de las investigaciones que se realizaron sobre estos grupos indígenas en buena parte del siglo XX, aunque en el siglo XXI esta política se transformó principalmente porque este instituto cambió de nombre en 2003 por “Comisión Nacional para el Desarrollo de los Pueblos Indígenas, [cuyos...] objetivos actuales […] son contribuir al desarrollo integral y sustentable de los pueblos indígenas, y coadyuvar a su libre determinación y al ejercicio de su autonomía, de acuerdo con el texto de la Constitución mexicana” (Navarrete Linares, 2008, p. 16).
A pesar de la importancia histórica y social de los grupos étnicos de este país solamente se han elaborado bibliografías sobre los indígenas de México y América Central (Quezada, 1995; Echenique March, 1992; Welch y Gutiérrez, 1987; Weeks, 1987; Magee, 1981; Parra y Jiménez, 1954), pero no se ha analizado cientométricamente la literatura producida y publicada. La literatura analizada más cercana al asunto de esta investigación fue realizada por Ocholla y Onyancha (2005) quienes analizaron la literatura publicada sobre “conocimiento indígena” y “conocimiento tradicional” indizado en 6 bases de datos alojadas en EBSCOHost y Sabinet en el periodo de 1990-2002. Estudiaron el tipo de documento, el crecimiento de la literatura, la afiliación y el tema de dominio, entre otros aspectos. Encontraron un total de 3,256 referencias indizadas en estas bases de datos, de las cuales sobresale Medline con 2,806 documentos indizados. El artículo es el tipo de documento con el mayor número de registros con 70%. Hallaron que el crecimiento de esta literatura es notable, pero no presentan indicadores sobre la tasa de crecimiento y duplicación.
Gupta, et al. (2002) analizaron el crecimiento de la literatura de varias disciplinas de las ciencias sociales y humanidades utilizando las bases de datos Sociofile, Econolit y Psycht desde 1963 a 1997. Estudiaron el crecimiento de la literatura antropológica y aplicaron el modelo logístico y éste se ajustó a la literatura observada con R. de 0.998, pero no mencionaron cuál es el periodo de duplicación y la tasa de crecimiento. Hider (1996) estudió las citas de los artículos en antropología en las revistas publicadas en el Reino Unido. Halló que el tipo de documento más citado por los antropólogos es el libro y que la edad media de las referencias citadas muestran que esta disciplina es de lento crecimiento, porque mayoritariamente se citan documentos antiguos.
En Brasil Urbizagástegui y Oliveira (2001) estudiaron la productividad de los antropólogos brasileños en el periodo de 1970 a 1988. Encontraron una media de 5.8643 trabajos por autor y una elite de 14 autores más productivos en este campo. También Vanti (2001) analizó las tesis y disertaciones en el periodo de 1945 a 1999 que están en el banco de datos de la Asociación Brasileña de Antropología (ABA). Encontró 1,229 tesis y disertaciones de las cuales estudió la institución que otorgó el grado donde destaca la Universidad de Sao Paulo y el grado académico que prevalece es el grado de maestría con 80% y doctorado con 20%. También encontró que 68% de las tesis fueron elaboradas por mujeres y 32% fueron elaboradas por hombres. Los temas más estudiados en estas tesis son antropología urbana (149 tesis), religión/mito (145 tesis), etnología indígena (138 tesis) y relaciones étnicas (124 tesis).
En México Villanueva, Villa y Serrano (2000) estudiaron la producción de la antropología física. Encontraron 2,432 referencias bibliográficas publicadas desde 1889 hasta 1990, de las cuales 61.5% fueron publicadas por investigadores mexicanos en este país; 11.5% de los investigadores mexicanos publicaron en el extranjero; y 27% de esa literatura fueron publicados por autores extranjeros. También hallaron que las áreas más estudiadas son osteología, genética, demografía y somatología.
Evidenciándose la carencia de estudios cienciométricos en este campo, esta investigación pretende dar respuesta a las siguientes preguntas:
¿Qué tipos de documentos y en cuáles idiomas se publica la literatura sobre los indígenas de México?
¿Cuáles son las revistas más productivas que difunden la literatura publicada sobre este asunto?
¿Cuál es la productividad de los autores que publican sobre este tema?
¿Cuáles es el índice h de las revistas con el mayor número de artículos publicados sobre este tema?
¿Cómo crece esta literatura?
¿Cuáles son los temas más estudiados?
¿Cuáles son las redes de co-palabras?
¿Cuáles son las redes de co-autores?
Para lograr el propósito de este trabajo y dar respuesta a las preguntas de investigación está organizado en cuatro partes. La primera explica qué datos se usaron, cómo se recogieron y analizaron; la segunda presenta los resultados obtenidos; la tercera presenta las conclusiones; y la cuarta lista las referencias bibliográficas usadas en este trabajo.
Para localizar la literatura publicada sobre este asunto se utilizaron los 86 encabezamientos de materias elaborados por Library of Congress (Apéndice A) para identificar a los grupos indígenas de México. Utilizando estos encabezamientos se realizó la búsqueda de los documentos publicados en los títulos, los resúmenes y los asuntos de las bases de datos Web of Science y Scopus desde 1800 hasta 2014. Los documentos recuperados se exportaron a una base de datos específicamente creada con el administrador de bibliografías Endnote (versión 5.0). Se normalizaron los nombres de los autores y títulos de revista y se eliminaron las referencias bibliográficas duplicadas, o bien, aquellas referencias que no trataban sobre el tema en cuestión; por ejemplo, Aztec Software, Aztec grass, Aztec diamond, etc.
Para el análisis de las características demográficas como idioma y tipo de documentos se usó el software estadístico SPSS (versión 20 para Windows).
Para identificar el núcleo básico de revistas se utilizó el modelo de dispersión de la literatura de Bradford, pero se siguió el modelo de Egghe (1986). Este modelo establece que:
Calcular además,
donde,
A = número total de ítems (artículos) en la bibliografía
p = número de grupos conteniendo y/o ítems
Ahora denotemos por,
T = número total de fuentes (revistas)
En el ith grupo de Bradford habrá
de aquí que,
De modo que:
Como A y T son conocidos de los datos observados, ro y yo pueden ser fácilmente calculados usando la siguiente ecuación:
Para modelar la productividad científica de los autores se aplicó la ley de Lotka según el modelo de la máxima probabilidad:
donde,
C = número total de autores con un único documento
n = parámetro que se estima de los datos
X = número de autores con 1, 2, 3, … n documentos producidos
Para analizar el crecimiento de la literatura producida se usó la función matemática que se representa como:
Siguiendo a Egghe y Ravichandra Rao (1992), esta función puede ser re-escrita como:
donde c > 0, g > 1, y t ≥ 0.
El cálculo de los parámetros de la distribución exponencial se realizó por el método de la determinación de la regresión de la curva no lineal. Como se espera una alta correlación entre las variables dependientes e independientes, esa correlación fue explorada usándose el coeficiente de determinación R2 al 0.05 nivel de significancia.
Para el análisis de co-palabras y las redes de coautores se usaron los softwares BibExcel y Ucinet ambos son de uso público. BibExcel es un software que permite la manipulación de información bibliográfica. Ucinet es un software que permite el análisis y la creación de redes sociales.
Se encontraron 2,457 trabajos sobre los “indígenas de México”. La Tabla 1 presenta el número de trabajos publicados por idioma y tipo de documento. Los tipos de documentos que sobresalen son artículos publicados en revistas académicas (94%) y reseñas de libros (25.5%), mientras que en una menor proporción se encontró ponencias en congresos (3.5%), capítulos de libros (3%); y libros (1%). Este predominio de los artículos y las reseñas de libros también fue observado por Ocholla y Onyancha (2005) en la literatura sobre “conocimiento indígena” y “conocimiento tradicional” indizada en EbscoHost y Sabinet desde 1990 hasta 2002, también Hua, et al. (2012) encontraron que las reseñas críticas de libros (2,096) y los artículos (1,732) son los documentos con mayor ocurrencia en la literatura publicada sobre los aspectos humanísticos y sociales del Ártico.
En relación con el idioma, el inglés fue utilizado en 89% de los documentos, el español y el francés conjuntamente suman 4% de los documentos, mientras que el alemán, el ruso, el portugués, el italiano, el rumano, el japonés y el resto de idiomas que se mencionan en la Tabla 1 no superan 0.3%. También Hua, et al. (2012) encontraron que el inglés es el idioma predominante en la literatura sobre el Ártico publicada en las ciencias sociales y humanidades, aunque al igual que este trabajo hallaron otros idiomas de publicación, sobre todo idiomas europeos como alemán, francés y español.

Cabe destacar que idiomas como el alemán, el ruso, el portugués, el italiano, el rumano y el japonés no tienen una representación equitativa en relación con el inglés, a pesar de eso muestran que en países donde esos idiomas son la lengua oficial también hay investigadores interesados en esta temática. Es importante resaltar la variedad de tipos de publicaciones, aunque el artículo es el documento predominante, también las reseñas de libros ocupan un lugar destacado en este abanico de producción documental. Las reseñas son escritas por un académico conocedor de la temática para “informar a la comunidad académica de una nueva adición al cuerpo del conocimiento; evaluar los méritos académicos de un libro y determinar cómo éste se integra entre la literatura existente; alentar o desalentar la lectura de un libro; servir como un foro del discurso disciplinario; y proveer de una manifestación visible de un sistema de revisión por pares” (East, 2011, p. 53). Las ponencias, los capítulos de libros y los libros no ocupan un lugar representativo, no necesariamente porque no hayan suficientes publicaciones sobre este tema, sino porque las bases de datos utilizadas para recopilar las publicaciones indizan preferentemente revistas, dejando de lado la indización de libros. En otras palabras, bases de datos como Web of Science recoge información mayoritariamente del mundo anglosajón y de las ciencias aplicadas y puras, es decir, revistas publicadas en idioma inglés, por ejemplo, en el 2005 aproximadamente 99% de las revistas que indiza esta base de datos son en inglés y solamente 20% de las revistas son del área de ciencias sociales y humanidades (Páez y Salgado, 2009). Además de esto hay que agregar que el WoS es un proyecto que comenzó en la década de los 60 e indiza publicaciones periódicas producidas y editadas en países anglosajones. Una situación similar representa Scopus, por eso las posibilidades de que la literatura producida en América Latina y especialmente en México sea prioritariamente indizada en estas bases de datos es mínima.
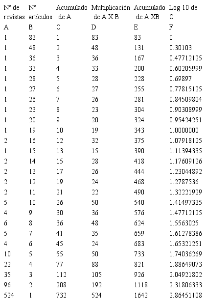
Se encontraron 732 revistas por medio de las cuales se diseminaron 1,642 artículos sobre los indígenas de México. La Tabla 2 muestra el número de revisas y contribuciones ordenadas descendentemente según el número de artículos. Una única revista publicó 83 artículos, mientras que 524 revistas publicaron un único artículo, es decir, 32% del total de la producción de artículos está dispersa en 524 títulos de revistas diferentes.

Los resultados de la aplicación del método de Egghe (1986) para la división zonal de la ley de dispersión de Bradford se muestran en la Tabla 3. Los 1,642 artículos publicados fueron divididos en cinco zonas bradfordianas como las más coherentes para medir la dispersión de los artículos publicados sobre los “indígenas de México”. El núcleo está conformado por nueve revistas que se presentan en la Tabla 4. La segunda zona está compuesta por 27 revistas que se presentan en la Tabla 5. Ésta es también llamada zona de frontera, porque generalmente agrupa las revistas más cercanas al área de estudio. Se identificaron tres zonas de dispersión, la tercera zona está representada por 66 revistas y 272 artículos. La cuarta zona está representada por 257 revistas y 373 artículos. La zona cinco está representada por 373 revistas y 373 artículos.
Las zonas 1 y 2 concentran 5% de las revistas, en las cuales se han diseminado 38% de las investigaciones. Para divulgar el otro 62% de las publicaciones los investigadores seleccionaron 95% del total de las revistas restantes.

De las 732 revistas que han publicado artículos sobre este tema solamente 9 revistas (1.2%) publicaron entre 83 y 20 artículos (Ver Tabla 4). Estas 9 revistas identificadas como las más productivas se publican en inglés y son editadas en países anglosajones y europeos. Estas revistas serían consideradas el núcleo básico de títulos que publican un número representativo de artículos sobre los pueblos indígenas mexicanos y son consideradas de “corriente principal”, porque están indizadas en las dos principales bases de datos que indizan revistas en todas las áreas del conocimiento y que tienen unos criterios extremadamente exigentes a la hora de indizar títulos de revistas, pero también excluyentes como lo muestran estos resultados. Esas revistas son las que frecuentemente aceptan artículos sobre el tema únicamente escritos en idioma inglés, mientras que las revistas mexicanas no son indizadas en estas bases de datos principalmente por dos razones. La primera, publican artículos en español; la segunda, son del campo de las ciencias sociales y ciencias humanas. En otras palabras las bases de datos como WoS y Scopus no indizan revistas publicadas en español ni de las ciencias sociales y ciencias humanas, pues, prefieren las revistas en inglés y de las ciencias aplicadas y naturales. Estas bases de datos tampoco indizan revistas de difusión latinoamericanas que son editadas en español y que publican artículos para un público más amplio que no necesariamente sus lectores son académicos; sin embargo, este tipo de revistas son un medio de comunicación y de difusión de los investigadores en arqueología y antropología, éstas generalmente están disponibles en bibliotecas universitarias.

Para identificar el índice de visibilidad de las revistas del núcleo básico se procedió a buscarlas en el Web of Science el día 28 de febrero de 2015. La revista con el mayor índice h fue Science (121) y así sucesivamente Journal of Ethnopharmacology (109), Journal of Archaeological Science (85), Economic Botany (65), Journal of Field Archaeology (32), Latin American Antiquity y American Journal of Physical Anthropology (29) y Journal of the Soutwest (10). Ancient Mesoamerica, es la revista que publicó la mayor cantidad de artículos y obtuvo el menor índice h que fue de 9. Estas revistas aparecen indizadas en WoS desde 1980.
La Tabla 5 presenta los títulos de revistas que se obtuvieron en la zona 2 con la aplicación de la ley de Bradford. Esta zona concentra 27 títulos de revistas, de las cuales 23 son en inglés publicadas en países anglosajones y 4 revistas corresponden a títulos publicados en Hispanoamérica como Anthropos (11 artículos), Gaceta Médica de México (10 artículos), Historia (8 artículos) y Revista de Investigación Clínica (8 artículos). En esta investigación se encontraron en total 732 títulos de revistas, de las cuales 46 títulos de revistas (6.2%) publican artículos en español y sobresalen Anthropos (España) con 11 trabajos, Gaceta Médica de México con 5 artículos. Le siguen Revista de Investigación Clínica (México), Salud Pública de México, América Indígena (México), Palabra y el Hombre (México), Revista Española de Antropología con 4 artículos cada una. Mientras que 39 títulos de revistas que se publican en español solamente tienen entre 3 a 1 artículo indizados en estas bases de datos. Llama la atención que de los títulos en español publicados en México con el mayor número de artículos indizados, solamente América Indígena sea la revista que más relación tiene con el tema en cuestión.
Tabla 5: Revistas que forman la zona 2 según el modelo de Bradford

De acuerdo con estos datos, podría sugerirse que los títulos que están distribuidos en la zona 1 y 2 deberían estar disponibles en las bibliotecas académicas de universidades mexicanas que estudian los diversos aspectos relacionados con los indígenas de México, especialmente en los centros de información y documentación que apoyan los programas de pregrado y/o postgrado en antropología, arqueología, sociología e historia. Esta recomendación se justifica, porque las revistas en español y publicadas en hispanoamerica pueden considerarse una “pequeña elite de revistas” que publican artículos sobre este tema.
Estos resultados también muestran el sesgo geográfico e idiomático de estas bases de datos (WoS y Scopus), ya que tanto en la zona 1 y 2 prevalecen los títulos editados en países anglosajones y en idioma inglés (Bordons y Zuleta, 1999; Borrego, Ángel y Urbano, 2006; Gonzalez-Brambila y Veloso, 2007; Torres-Salinas, Delgado López-Cózar y Jiménez-Contreras, 2009). Por ejemplo, en México existen revistas dedicadas al estudio de los pueblos indígenas como es el caso de la revista Arqueología Mexicana, que podría considerarse una revista de divulgación, pero es una importante publicación que se edita desde 1993 con números monográficos sobre el patrimonio arqueológico o cultural del país. También hay otros títulos como es el caso de Alteridades de la Universidad Autónoma Metropolitana, Cuicuilco que edita la Escuela de Antropología e Historia, Desacatos del Centro de Investigaciones y Estudios Superiores en Antropología Social, Nueva Antropología, Asociación Nueva Antropología, A.C., y así hay muchos otros casos de revistas que no están indizadas en WoS y Scopus y que pueden considerarse primordiales para la investigación de este tema.
Para analizar la productividad de autores se aplicó la ley de Lotka por el método de la máxima probabilidad. Para desarrollar este modelo se fraccionaron las contribuciones de los autores con la ayuda del software Bibexcel para redistribuir y agrupar las frecuencias de los artículos. Se obtuvo un valor de c = 3372.955 con un error típico de 2.968 y con un valor de n = 4.309 con un error típico de 0.024. El R. = 1.000. Los resultados obtenidos se muestran en la Tabla 6 que presenta el número de contribuciones de los autores.

Se encontró que 3.373 autores (93.7%) han publicado un único artículo, mientras que 168 autores (4.6%) han publicado dos artículos. Estas dos categorías acumulan 98.3%, de la producción total; en otras palabras, las publicaciones sobre este tema se concentran en 6.3% del total de autores. Estos resultados muestran claramente como un reducido número de investigadores producen el mayor volumen de documentos. Este hallazgo es el mismo encontrado por Ramsden (1994) quien afirma que la tasa de productividad es baja entre los científicos y altamente variable. También Fox (1983, p. 286) sostiene que “la tasa promedio de publicación tiende a ser baja, la variación entre los científicos es muy alta. Si se observa la publicación durante un año, un período de cinco años, o toda la vida profesional, la productividad varía enormemente entre los científicos”. Hua, et al. (2012) hallaron que 80% de los autores publicaron un único trabajo sobre el Ártico en la literatura publicada en las ciencias sociales y humanidades. Estas observaciones también son confirmadas en este trabajo, dada la concentración de publicaciones en unos cuantos autores.
La Gráfica 1 presenta la forma de crecimiento de los documentos producidos sobre los “indígenas de México” que fueron indizados en el Web of Science y Scopus. Desde 1858 hasta 1954 no hay crecimiento. A partir del año de 1954 esta literatura ha crecido con pequeñas fluctuaciones hasta el año 2012. El pico más alto de este crecimiento aparece en el año 2012, pero con una caída en 2013 y 2014. La caída en la producción de estos dos años, puede deberse a que esta investigación incluyó la literatura indizada hasta junio del 2014 y la producción de muchas revistas probablemente aún se no han indizado en estas bases de datos. Normalmente lleva entre 3 a 5 años para que una revista sea indizada en una base de datos.

La Gráfica 2 muestra el modelo de crecimiento estimado para esta literatura. La literatura publicada sobre los “indígenas de México” crece exponencialmente. El R2 ajustado estimado por el método de la regresión no lineal fue igual a 0.809. El valor estimado de c fue de 5.169 con un error padrón de 1.114. El valor estimado de g fue igual a 1.044 y con un error padrón de 0.004.

Por lo tanto la ecuación que predice el crecimiento exponencial de la literatura sobre indígenas de México es:
C(t) = 5.169 x 1.044t
Esta literatura está creciendo a una tasa de 4.4% al año. Para estimar el periodo de duplicación se usó la siguiente ecuación:
(1.044) n = 2.0
Tomando los logaritmos de ambos lados de la ecuación se obtiene:
n(log 1.044) = log 2.0
Eso significa que las publicaciones se duplican aproximadamente cada 16 años. Esta tasa de crecimiento es similar a la observada en la ciencia donde “[...] a juzgar por el número de documentos publicados [...ésta] se duplica de forma exponencial cada diez años” (Brookes, 1973, p. 500). Otros autores como Urbizagástegui Alvarado (2008), destacan que la literatura ya sea en las ciencias puras o ciencias sociales y humanidades crece exponencialmente.
La Gráfica 3 muestra el análisis de co-palabras que presenta las relaciones temáticas entre las palabras clave asignadas por los autores de los artículos. El análisis de co-palabras posibilita identificar las tendencias temáticas de un área y también debe considerar otros aspectos relacionados con la producción del documento que incluye las palabras clave, sobre todo por los significados que le puede dar un autor a una o unas palabras clave. El uso de las palabras clave como forma de representación del contenido de un documento se convierten en un “código” que permite el “intercambio lingüístico” entre científicos. Este código es establecido por la misma comunidad de científicos de un área del conocimiento que ha sido “aceptado socialmente” por éstos, con base en la condiciones del “mercado” de producción simbólica. Esto significa que las palabras clave representan el “lenguaje científico” y que son usadas por un “productor autorizado” que forma parte de una elite académica que selecciona del “lenguaje autorizado” las palabras más adecuadas y socialmente aceptadas para representar el contenido de un documento (Bourdieu, 2001).

La palabra clave con el mayor grado de centralidad fue México, es decir, esta palabra clave es el nodo central de la red y actúa como fuente principal para la interacción y vinculación con otras palabras clave en los 2,457 documentos analizados. También hay otras palabras clave que son centrales en esta red como son “Indians of North American” y “Human”. Las palabras clave con el mayor grado de intermediación fueron 5 que son “México”, “Human”, “Adult”, “American Indian” e “Indians, North American”. Estas palabras son las facilitadoras de información en la red de co-palabras. Las palabras clave con el mayor grado de cercanía son “Middle Aged”, “History 16th Century” y “History Ancient”.
La Gráfica 4 presenta la red de co-autores de las publicaciones indizadas sobre indígenas de México en Web of Science y Scopus. El análisis de las redes sociales se basa en las relaciones entre los actores que se pueden visualizar, por medio de un gráfico de conexiones, para lograr esa visualización los grupos se forman sobre la base de patrones de relaciones establecidas entre los actores. Una fuerte relación directa entre los actores aumenta la probabilidad que puedan ser agrupadas conjuntamente. En el caso de los autores, cuanto más trabajos producen en colaboración las relaciones se convierten en más cohesivas, formando un grupo identificable de colaboradores. La colaboración científica es uno de los fenómenos más visiblemente observados y estudiados en la construcción de la ciencia y está directamente relacionada a la evaluación realizada por las instituciones. Esta red de colaboradores juega un papel trascendental en la construcción del conocimiento, ya que a través de la colaboración se pueden obtener mejorías en las teorías que circulan en un campo científico determinado.
El análisis de la co-autoría permite ver las relaciones entre autores que se traducen en los llamados “colegios invisibles”. En esta red se encontraron 11 colegios invisibles o grupos de autores. De estos grupos se destaca la red formada por 11 investigadores entre los cuales se encuentran Moscoso, J., Gamboa, R., Zúñiga, J., Hernández Pacheco, G., Martínez Laso, J., Álvarez, M., Gómez Casado, E., Arnaiz Villena A., Alcocer Varela, J., Vargas Alarcón, G., Granados, J., y Rodríguez Pérez, J.M. Los demás grupos tienen entre 2 y 4 autores.

Los autores con el mayor grado de centralidad, o bien, los autores con la mayor cantidad de conexiones con sus pares fueron Vargas Alarcón, G., Martínez Laso, J., Zúñiga, J. y Granados, J., estos autores son los nodos centrales de la red de co-autores y representan los nodos principales para la interacción y vinculación en la red de coautoría. Es decir, que tienen el mayor número de conexiones, por lo tanto mayor sociabilidad en la red.
El grado de intermediación mide el grado en que un autor actúa como puente entre otros autores de la red. Analizando todos los pares de autores se identifica al autor que se localiza en el camino más corto entre otros dos autores. Cuanto más se coloca en la ruta más corta a otros autores mayor será la intermediación y el autor será visto más como un “intermediario”, altos valores de intermediación significan que otros autores tienen que pasar a través de este autor para conectarse con otros autores. Los autores con el mayor grado de intermediación son Arnaiz Villena, A., Granados, J., Martínez Laso, J., Vargas Alarcón, G., Gómez Casado, F. y Dickinson, F. que son los autores facilitadores en esta red.
El grado de cercanía es la capacidad que en promedio tiene un autor de estar más cerca a los otros autores en la red. Calcula la distancia existente entre un autor hasta los otros autores de la red. Los autores con el mayor grado de cercanía son Zúñiga, J., Vargas Alarcón, G., Martínez Laso, J., Rodríguez Pérez, J. M. y Granados, J.
Los tipos de documentos predominantes en la literatura publicada sobre los “indígenas de México” e indizada en las bases de datos Web of Science y Scopus son los artículos publicados en revistas académicas (94%) y reseñas de libros (25.5%) que se difundieron en inglés (89%), mientras que otros idiomas como español y francés conjuntamente suman 4% de los documentos.
Se encontró que las revistas más productivas sobre este asunto se publican en inglés y son editadas en países anglosajones y europeos. Las revistas mas productivas fueron Ancient Mesoamerica, Latin American Antiquity, American Journal of Physical Anthropology, Journal of Archaeological Science, Economic Botany, Science, Journal ot the Soutwest, Journal of Field Archaeology y Journal of Ethnopharmacology.
Los autores más productivos sobre la literatura de los “indígenas de México” indizadas en WoS y Scopus han producido 8.5% del total, mientras que 2,905 autores (80.6%) han publicado un único artículo y 392 autores (11%) han publicado dos artículos.
La literatura sobre los “indígenas de México” crece exponencialmente con una tasa anual de 4.4% y con una tasa de duplicación cada 16 años.
Las palabras clave más frecuentemente utilizadas para especificar este tipo de literatura son “Indians North American”, “Human”, “México”, “Human”, “Adult” y “American Indian”. Llama la atención de la red de co-palabras obtenida en esta investigación que los encabezamientos de materia de la Library of Congress no están representados en los trabajos publican los investigadores sobre este tema, exceptuando “Mayas” y “Aztecas”, pero estas dos palabras no están presentes en los términos más usados por los autores de esta literatura. ¿A qué se debe esto? Talvez esto esté sucediendo por tres razones. La primera, indizadores y autores desconocen estas listas; la segunda, los autores e indizadores prefieren asignar palabras clave más generales; la tercera, los encabezamientos de materia de la Library of Congress no se ajustan a la realidad de la investigación, porque son un lenguaje artificial y arbitrario.
Se encontraron 11 grupos de autores o colegios invisibles. De estos grupos se destaca la red formada por 11 investigadores entre los cuales se encuentran Moscoso, J., Gamboa, R., Zúñiga, J., Hernández Pacheco, G., Martínez Laso, J., Álvarez, M., Gómez Casado, E., Arnaiz Villena A., Alcocer Varela, J., Vargas Alarcón, G., Granados, J., y Rodríguez Pérez, J.M. Los demás grupos tienen entre 2 y 4 autores.

Editores do artigo: Adilson Luiz Pinto e Rafaela Paula Schmitz










