Evaluación del Apantallamiento electromagnético del concreto
Evaluation of electromagnetic shielding of concrete
Avaliação da blindagem eletromagnética do concreto
Evaluación del Apantallamiento electromagnético del concreto
Revista EIA, vol. 17, núm. 34, pp. 1-12, 2020
Escuela de Ingeniería de Antioquia
Recepción: 09 Marzo 2018
Aprobación: 18 Junio 2020
Resumen: Este artículo analiza la efectividad de apantallamiento electromagnético de varias estructuras de concreto en función de la variación del grosor y el contenido o nivel de humedad (NH), para un rango de frecuencias definido. El estudio se fundamenta en la implementación de simulaciones en dos dimensiones (2D) usando un software basado en el método de elementos finitos (FEM) y se desarrolló a partir de un conjunto de valores obtenidos de la aplicación de modelos matemáticos para medios dieléctricos. Inicialmente, se caracterizan las propiedades eléctricas complejas (permitividad dieléctrica y conductividad) de las estructuras aplicando el modelo matemático de Jonscher de tres variables. Posteriormente, se evalúan dichas propiedades en un rango de frecuencias determinado. Como resultado, se observa que el blindaje electromagnético ofrecido por el concreto aumenta cuando se incrementa el NH y el grosor de las estructuras. Adicionalmente, las pruebas evidencian que las pérdidas de energía por absorción son mayores en comparación con los demás tipos de pérdidas analizadas en el estudio.
Palabras clave: Apantallamiento electromagnético, concreto, propiedades eléctricas complejas, modelo de Jonscher.
Abstract: This article analyzes the effectiveness of electromagnetic shielding of several concrete structures based on the variation of the thickness and the content or humidity level (NH), for a defined frequency range. The study is based on the implementation of simulations in two dimensions (2D) using a software based on the finite element method (FEM) and was developed from a set of values obtained from the application of mathematical models for dielectric media. Initially, the complex electrical properties (dielectric permittivity and conductivity) of the structures are characterized by applying the Jonscher mathematical model of three variables. Subsequently, these properties are evaluated in a specific frequency range. As a result, it is observed that the electromagnetic shielding offered by the concrete increases when the NH and the thickness of the structures are increased. Additionally, the evidence shows that energy losses due to absorption are greater compared to the other types of losses analyzed in the study.
Keywords: Electromagnetic shielding, concrete, complex electrical properties, Jonscher model.
Resumo: Este artigo analisa a eficácia do blindagem eletromagnética de várias estruturas de concreto com base na variação da espessura e do conteúdo ou nível de umidade (NH), para uma faixa de frequência definida. O estudo baseia-se na implementação de simulações em duas dimensões (2D) usando um software baseado no método de elementos finitos (FEM) e foi desenvolvido a partir de um conjunto de valores obtidos a partir da aplicação de modelos matemáticos para mídia dielétrica. Inicialmente, as propriedades elétricas complexas (permissividade e condutividade dielétricas) das estruturas são caracterizadas pela aplicação do modelo matemático Jonscher de três variáveis. Posteriormente, essas propriedades são avaliadas em uma faixa de frequência específica. Como resultado, observa-se que a blindagem eletromagnética oferecida pelo concreto aumenta quando o NH e a espessura das estruturas são aumentados. Além disso, a evidência mostra que as perdas de energia devidas à absorção são maiores em comparação com os outros tipos de perdas analisadas no estudo.
Palavras-chave: blindagem eletromagnética, concreto, propriedades elétricas complexas, modelo Jonscher.
Introducción
El desarrollo elevado de la tecnología en los últimos años ha creado en el hombre una dependencia a innumerables dispositivos de tipo electrónico y eléctrico, los cuales en mayor o menor medida generan emisiones electromagnéticas (contaminación electromagnética radiada). Esta clase de emisiones dan origen a ambientes electromagnéticos artificiales, los cuales se definen como la totalidad de fenómenos electromagnéticos existentes en un lugar específico y se estiman midiendo o calculando por separado o en conjunto ciertos parámetros eléctricos asociados, tales como: tensiones, corrientes, campos electromagnéticos etc. Cantidades que en muchas ocasiones varían en función del tiempo International Electrotechnical Commission IEC. (2000); Kaur, Kakar and Mandal. (2011).
En las últimas décadas se han desarrollado diversos esquemas de protección con el propósito de reducir el efecto que produce la contaminación electromagnética radiada sobre equipos y dispositivos electrónicos sensibles a interferencias electromagnéticas (IEM). Algunos de estos métodos incluyen el uso de blindajes o apantallamientos electromagnéticos con diferentes materiales, generalmente de tipo metálico Keshtkar, Maghoul and Kalantarnia. (2010). Esta necesidad de nuevos esquemas de apantallamiento contra emisiones electromagnéticas no controladas y presentes en el entorno, ha promovido el desarrollo de esquemas de protección adicionales contra este tipo de emisiones. Esto ha sido posible gracias al estudio y exploración de las propiedades físicas y eléctricas de diferentes materiales de construcción que componen las estructuras urbanas o edificaciones, que en su gran mayoría son hechas en concreto Antonini, Orlandi, Stefano. (2003); Romanca, et al. (2008); Ogunsola, Reggiani and Sandrolini. (2009).
Varias investigaciones se han realizado con el fin de analizar la capacidad del concreto para inhibir la propagación de ondas electromagnéticas externas a las estructuras Guan et al. (2006); Ogunsola, Reggiani and Sandrolini; (2006); Ogunsola, Reggiani and Sandrolini. (2005); Sandrolini, Reggiani and Ogunsola. (2007). A partir de estos trabajos, ha sido posible evaluar la eficiencia de este material como elemento de blindaje o apantallamiento frente a perturbaciones electromagnéticas radiadas, mostrando cualidades como la reflexión y absorción de ondas electromagnéticas y un comportamiento similar al de un material dieléctrico polar Guan, et al. (2006)Sandrolini, Reggiani and Ogunsola. (2007). Adicionalmente, se ha establecido que la eficiencia del concreto como material de blindaje ante perturbaciones radiadas depende especialmente de su conductividad, su permitividad dieléctrica y su permeabilidad magnética Ogunsola, Reggiani and Sandrolini. (2005); Sandrolini, Reggiani and Ogunsola. (2007). Respecto a esta última, dado que el concreto es un material no magnético, se ha definido que la permeabilidad del concreto es igual a la del espacio libre Laurens, et al. (2003).
Debido a las características porosas que habitualmente presenta el concreto es posible descomponer este material en fases líquida, sólida y gaseosa Ogunsola, Reggiani and Sandrolini. (2006); Laurens, et al. (2003); Askeland. (1998). Las distintas fases y su combinación determinan el comportamiento de sus propiedades eléctricas con respecto a la frecuencia de la señal electromagnética que penetra el material. Por ejemplo, la fase sólida sólo presenta componente real para su permitividad dieléctrica compleja, lo cual se debe a que sus pérdidas son depreciables (componente imaginaria). Por su parte, la mezcla de la fase gaseosa y sólida resulta en un medio no dispersivo en el cual no existe variación de la permitividad dieléctrica compleja con respecto a la frecuencia Laurens, et al. (2003). A partir de este comportamiento, la permitividad dieléctrica del concreto se representa como un número complejo que varía con respecto a la frecuencia, tal y como se muestra en la ecuación (1)Soutsos, et al. (2001); Robert. (1998); A Shaari, Millard and Bungey. (2002); Feitor, et al. (2011).
(1)donde,
es la frecuencia del campo eléctrico externo aplicado y
son las permitividades absolutas real e imaginaria, respectivamente.
En este contexto, la dispersión en el concreto se debe principalmente a la presencia de agua entre sus poros. Dado que la permitividad dieléctrica compleja del agua varía con la frecuencia, se deduce que el grado de dispersión del concreto puede depender de su contenido o nivel de humedad (NH) Yada, Nagai and Tanaka. (2008). El NH es logrado a partir de la comparación entre el peso en [kg] de una probeta de concreto totalmente seco (humedad 0 %) y el peso de otra probeta con cierto contenido de humedad.
Por lo general, con el propósito de conocer el blindaje electromagnético ofrecido por el material estructural, se emplea una herramienta computacional basada en el método de elementos finitos (FEM). En dicho entorno de simulación se implementan las estructuras o muros virtuales en dos dimensiones (2D), incluyendo las propiedades eléctricas complejas de cierta configuración de concreto (mezcla). De esta manera, es posible modelar las estructuras como una guía de onda (con un puerto de entrada y uno de salida, o red de dos puertos) aplicando ecuaciones específicas de la teoría de campos y ondas electromagnéticas.
Teniendo en cuenta lo anterior, este artículo analiza la efectividad de apantallamiento por absorción, reflexión, múltiples reflexiones y total, ofrecida por determinados muros de concreto cuando se modifica el NH y el grosor de la estructura. Para las simulaciones, la mezcla establecida para los muros, y sus propiedades eléctricas complejas (permitividad dieléctrica y conductividad), se obtienen a partir de los resultados presentados por Pokkuluri. (1998). Finalmente, puesto que las propiedades eléctricas usadas en este estudio se han obtenido de forma experimental para ciertas frecuencias, se aplica el modelo matemático de Jonscher para ampliar el intervalo de frecuencias en las simulaciones.
Materiales y Métodos
Modelo de Jonscher de tres variables
Antes de evaluar el blindaje electromagnético ofrecido por diferentes muros de concreto es necesario seleccionar un modelo que permita determinar la respuesta dieléctrica del concreto a través de funciones matemáticas. El modelo de tres variables propuesto por Jonscher describe la respuesta dieléctrica del concreto, incluyendo la relación en el dominio de la frecuencia de parámetros como la permitividad dieléctrica y la susceptibilidad eléctrica asociadas al material dieléctrico Jonscher. (1990a); Jonscher. (1990); Jonscher. (1990b). Esta relación se muestra en la ecuación (2)Jonscher. (1990ª).
(2)donde, Importar imagen es la permitividad dieléctrica compleja absoluta Importar imagen ,
donde,
es la permitividad dieléctrica compleja absoluta
,
es la susceptibilidad eléctrica compleja y
es la permitividad dieléctrica absoluta a alta frecuencia
. La susceptibilidad eléctrica compleja propuesta por Jonscher es definida por la ecuación (3).
(3)donde,
es la susceptibilidad eléctrica a la frecuencia de referencia,
es la frecuencia angular de referencia
y
es el nivel de pérdidas dieléctricas. Este último factor se encuentra en el intervalo de valores de
, y se puede calcular mediante la ecuación (4).
(4)Durante el análisis, la frecuencia de referencia (
) se elige arbitrariamente en un rango cualquiera que depende únicamente de la curva de dispersión del material que se quiera modelar matemáticamente. Esta curva de dispersión se obtiene evaluando la permitividad dieléctrica absoluta en función de la frecuencia del campo eléctrico incidente. De esta manera, remplazando la ecuación (3) en la ecuación (2) se obtiene en la ecuación (5) la permitividad dieléctrica compleja absoluta según el modelo de Jonscher.
(5)Despejando la parte real e imaginaria de la ecuación (5) se obtienen las ecuaciones (6) y (7), respectivamente.
(6)
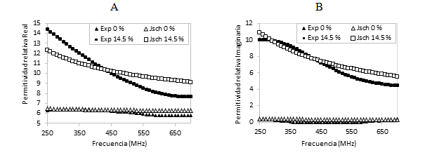
(7)A partir de este modelo es posible definir las propiedades eléctricas complejas del concreto (permitividad dieléctrica y conductividad) usando los resultados presentados en Pokkuluri. (1998). En este trabajo, los autores realizaron pruebas usando una probeta de concreto con dos NH (0% y 14,5 %), caliza como único agregado, sin ninguna clase de aditivo y con una relación agua-cemento de 0,5 para un rango de frecuencias entre 250 y 700 MHz.
Para aplicar el modelo, inicialmente es necesario conocer la susceptibilidad eléctrica compleja del concreto Pokkuluri. (1998). Luego, es preciso obtener algunos parámetros eléctricos como la susceptibilidad eléctrica real a cierta frecuencia de referencia (
), el factor de pérdidas dieléctricas (
) y la permitividad relativa real a alta frecuencia (
). La
y el
se obtienen a partir de optimización lineal (minimización). Por último, la Importar imagen se obtiene al considerar el valor de la permitividad relativa real para un NH de 0 % (700 MHz).
La Tabla 1 muestra los parámetros eléctricos obtenido luego de aplicar el modelo de Jonscher a la mezcla de concreto seleccionada con dos NH, los cuales fueron el mayor rango de humedad analizado en Pokkuluri. (1998).

La
y el
en cada NH (ver Tabla ) fueron obtenidos fijando como frecuencias de referencia (
) 250 y 431,86 MHz. En cada caso, los parámetros fueron obtenidos calculando el menor error medio cuadrático (MSE) entre la permitividad relativa real obtenida experimentalmente en Pokkuluri. (1998) y la obtenida con ayuda del modelo matemático Achedad and Giménez. (2008); Render. (2004), usando la ecuación (8).
(8)En esta expresión
y
son las permitividades relativas complejas obtenidas por el modelo de Jonscher y de manera experimental, respectivamente. A partir de lo anterior, la Figura 1 muestra el comportamiento de la permitividad relativa experimental (Exp) frente a las permitividades calculadas con el modelo de Jonscher (Jsch). En ambos casos, la permitividad fue estimada para los NH de 0 y 14,5 %.

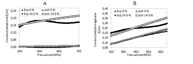
A partir del vector de densidad de corriente, en la Figura 2 se ilustra el comportamiento de la conductividad eléctrica real e imaginaria correspondientes a las probetas de concreto analizadas en la Figura 1 con diferentes niveles de humedad.

Es importante mencionar que otros autores como Chahine, et al. (2009) y Villain, Ihamouten and Dérobert. (2011) utilizan métodos similares para lograr los parámetros del modelo de Jonscher. Sin embargo, estos omiten relaciones matemáticas como las mostradas en las ecuaciones (2) y (4), limitándose únicamente a variar los parámetros del modelo hasta lograr un buen ajuste entre las curvas Villain, Ihamouten and Dérobert. (2011); Ihamouten, et al. (2011).
Parámetros S
Los parámetros de dispersión o S “Scattering” son la forma más eficiente y sencilla para conocer el apantallamiento otorgado por cualquier estructura a partir de resultados que pueden ser obtenidos con ayuda de simulaciones. Estos parámetros son identificados como los coeficientes de transmisión y reflexión de una onda electromagnética incidente en un punto determinado ante un cambio de medio o material. Además, describen el comportamiento de estos medios en condiciones lineales y en un rango de frecuencias definido Hernández. (1999); Colombo. (2012).
Los subíndices de los parámetros S indican el puerto de llegada y salida de la señal. De esta manera, el parámetro
indica que llega al puerto 2 y sale del puerto 1, representando el coeficiente de transmisión de la onda electromagnética. Por otra parte, el parámetro
es identificado como la salida y llegada de la señal al puerto 1 y se conoce como el coeficiente de reflexión de la onda electromagnética Galao. (2012). En la Figura 3 es posible observar ondas reflejadas y transmitidas luego de aplicar los paramentos S en una red de dos puertos.

Este tipo de parámetros son utilizados habitualmente para conocer la efectividad de apantallamiento electromagnético o SE “Shielding Effectiveness” a través de las potencias electromagnéticas incidentes y transmitidas en determinado medio. En este sentido, es posible descomponer la SE en tres (3) tipos de pérdidas de energía (reflexión, absorción y múltiples reflexiones), las cuales habitualmente están presentes en una condición de frontera dada entre dos medios distintos. La definición de la SE es presentada en la ecuación (9)Saini, et al. (2009); Choudhary, Dhawan and Saini. (2012); Singh, et al. (2012); Saini, et al. (2011); Anoop, et al. (2011); Kim, et al. (2004).
(9)siendo,
la efectividad de apantallamiento por reflexión,
la efectividad de apantallamiento por absorción y
la efectividad de apantallamiento por múltiples reflexiones. La
ocurre cuando la onda incidente es parcialmente reflejada debido al cambio de impedancia (medios distintos).
se presenta cuando la porción de onda trasmitida (no reflejada) es atenuada al penetrar en el material Guzman. (1992); Chung. (2000). Por último, la
tiene en cuenta las múltiples reflexiones internas en el material luego que la onda lo ha atravesado.
Dadas las condiciones para el cálculo de la
es necesario establecer algunas relaciones que vinculen los parámetros S con el blindaje electromagnético ofrecido por las estructuras. Para ello se definen los parámetros de transmitancia (T), reflectancia (R) y absorción (A), los cuales pueden ser relacionados directamente con los parámetros
(o
) y
(o
) obtenidos de las simulaciones. En las expresiones (10) y (11) son mostradas dichas relaciones Saini, et al. (2009); Choudhary, Dhawan and Saini. (2012); Kim, et al. (2004).
(10)
(11)A partir de estas relaciones, el parámetro de absorción se obtendrá a partir la trasmitancia y reflectancia usando la ecuación (12)Saini, et al. (2009); Choudhary, Dhawan and Saini. (2012); Kim, et al. (2004).
(12)La relación entre
y el parámetro de reflectancia se muestra en la ecuación (13)Saini, et al. (2009); Choudhary, Dhawan and Saini. (2012); Singh, et al. (2012); Anoop, et al. (2011); Kim, et al. (2004). Si en esta ecuación se sustituye la reflectancia expresada en (11), se tiene que:
(13)La
está relacionada con los parámetros de reflectancia y transmitancia a través de la ecuación (14) Saini, et al. (2009); Choudhary, Dhawan and Saini. (2012); Singh, et al. (2012); Anoop, et al. (2011); Kim, et al. (2004). Sin embargo, si se remplazan los parámetros definidos en (10) y (11), se obtiene una expresión de
en función de los parámetros de dispersión obtenidos en la simulación.
(14)Finalmente,
se obtiene a partir de
, tal y como se muestra en la ecuación (15)Saini, et al. (2011).
(15)A manera de ejemplo, se calcularon las efectividades
,
,
y
ofrecidas por la estructura de concreto mostrada en la Figura 4. Esta estructura tiene un espesor de 0,15 m y 1 m de alto y presenta la misma mezcla caracterizada con el modelo de Jonscher, la cual fue descrita en la sección anterior. Las simulaciones fueron realizadas usando el software COMSOL Multiphysics® COMSOL. (2013); COMSOL Multiphysics. (2013). El comportamiento de los parámetros
y
con respecto a la frecuencia se ilustran en la Figura 5.


A partir de los los parámetros S presentados en la Figura 5, y usando de las ecuaciones (9), (13), (14) y (15), se estimaron las SE por reflexión, absorción, múltiples reflexiones y reflexión total. Los resultados de este proceso se muestran en la Figura 6.

Resultados y Discusión
Para evaluar el apantallamiento que ofrecen diferentes estructuras de concreto se analizó la SE ofrecida por seis muros simulados en 2D. Todas las estructuras tienen una altura de 1 m y se cambiaron los espesores (0,05 m, 0,15 m y 0,3 m). Estos espesores fueron seleccionados teniendo en cuenta los análisis de apantallamiento para estructuras de concreto realizados por Ogunsola, Reggiani and Sandrolini, (2009); Sandrolini, Reggiani and Ogunsola; (2007); Dalke, et al. (2000) y Antonini, Orlandi and Stefano. (2003). Adicionalmente, tres de los muros poseen un NH de 0 % y los restantes de 14,5 % y todas las estructuras tienen la misma mezcla de material caracterizada en la sección 2.
Para los seis casos de estudio se analizó la SE por absorción, reflexión, múltiples reflexiones y reflexión total para un rango de frecuencias entre 200 MHz y 3000 MHz con intervalos de 10 MHz. Este rango fue seleccionado considerando la banda de UHF (Ultra High Frequency), la cual abarca muchas de las fuentes de interferencia que se presentan en un entorno electromagnético habitual, incluyendo señales de radio, tv digital y comunicaciones móviles. La Figura 7 muestra el apantallamiento ofrecido por las estructuras con NH de 0 % y los tres espesores definidos.
Como se observa en la Figura 7, la
posee mayor magnitud a bajas frecuencias y tiende a disminuir a altas frecuencias, variando desde 20 dB (muro con espesor de 0.05 m) hasta 2 dB (muro con grosor de 0,3 m). De igual manera, se evidencia que la
aumenta con la frecuencia y es más significativa a medida que el espesor del muro aumenta. Sin embargo, esta efectividad de apantallamiento en ningún caso no supera los 10 dB. Finalmente, se aprecia que la
está por debajo de 3dB para todos los casos y en todo el rango de frecuencias. Esto se debe a que el concreto es un medio dieléctrico imperfecto (
), por lo tanto, las pérdidas por reflexión son despreciables Soutsos, et al. (2001); Robert. (1998); Haddad and Al-Qadi. (1998); Rhim and Buyukozturk. (1998).
En términos generales, el grosor de las estructuras de concreto con NH de 0 % influye de manera significativa sobre la
a baja frecuencia. Cuando el espesor del muro aumenta el apantallamiento en baja frecuencia disminuye de 20 dB a 14 dB, mientras que en alta frecuencia la reducción es de solo 1,5 dB con un valor mínimo de 7 dB. Esta conducta en el apantallamiento se debe al efecto de las pérdidas por múltiples reflexiones, las cuales se incrementan en muros con grosores pequeños y bajos contenidos de humedad Hemming. (1992); Celozzi, Araneo and Lovat. (1999).

Por otra parte, en la Figura 8 se muestra el blindaje electromagnético ofrecido por las estructuras de concreto con un NH de 14,5 % y grosores de 0,05, 0,15 y 0,3 m. De estas pruebas se observa que al aumentar el NH las pérdidas por absorción se incrementan considerablemente a medida que el espesor de la estructura aumenta, registrando un crecimiento de hasta 50 dB en altas frecuencias. Caso contrario sucede con las pérdidas por múltiples reflexiones, donde ocurre un decaimiento exponencial de la amplitud de la onda cuando pasa a través del concreto. Este decaimiento ocurre debido a que las corrientes inducidas en el material producen pérdidas óhmicas y calentamiento Guzman. (1992); Hemming. (1992).
Finalmente, la
obtenida para las estructuras analizadas aumenta cuando existe humedad en el concreto, se incrementa el espesor del muro y crece la frecuencia. Estos resultados concuerdan con los presentados por otros autores como Ogunsola, et al. (2009) donde se analiza la SE en muros de concreto cuando se añaden a la mezcla partículas de materiales conductores. En dichos trabajo se han logrado apantallamientos de aproximadamente 7,9 dB a 4 GHz con un NH de 5,5 % Ogunsola, Reggiani and Sandrolini. (2009), o efectividades de aproximadamente 27 dB a 1 GHz en muros con NH 12 % Ogunsola, Reggiani and Sandrolini. (2005).

Conclusiones
A partir de las pruebas y los resultados presentados en este artículo, se presentan las siguientes conclusiones:
· El modelo de Jonscher ofrece una buena respuesta al ser aplicado a las propiedades eléctricas complejas (permitividad dieléctrica, conductividad) de la mezcla de concreto seleccionada para las estructuras, en un rango de frecuencia de 250 a 700 MHz.
· Al variar el grosor y el NH en las estructuras de concreto se evidenció un aumento en la efectividad de apantallamiento electromagnético total (
) para el intervalo de frecuencia evaluado (entre 200 MHz y 3 GHz). El aumento en la
es debido a una mayor presencia de las pérdidas de energía por absorción (
). Adicionalmente, al disminuir el grosor y el NH se observó una mayor participación de las pérdidas de energía por múltiples reflexiones (
) en el apantallamiento.
· Dado que el concreto es un medio dieléctrico imperfecto las pérdidas de energía por reflexión (
) en el material estructural son bajas comparadas con los demás tipos de pérdidas analizadas en el estudio (
,
). Aun así, este material estructural puede ser usado como apantallamiento natural contra perturbaciones electromagnéticas radiadas en la banda de UHF.
Referencias
Achedad, C.; Giménez, L. (2008). Ingeniería de organización: Modelos y aplicaciones. Madrid, España.
Antonini, G.; Orlandi, A.; Stefano, D. (2003). ‘Shielding Effects of Reinforced Concrete Structures to Electromagnetic Fields due to GSM and UMTS Systems’, IEEE Transactions on Magnetics. New York, USA, 39(3), pp. 1582–1585. DOI: 10.1109/TMAG.2003.810327.
Askeland, D. (1998). Ciencia e Ingenieria de los Materiales. USA, New York.
Celozzi, S.; Araneo, R.; Lovat, G. (1999). Electromagnetic Shielding. Italy, Roma. doi: 10.1002/047134608X.W3403.
Chahine, K.; Ihamouten, A.; Baltazart, V.; Villain, G,; Dérobert, X. (2009). ‘On the variants of Jonscher’s model for the electromagnetic characterization of concrete’, IEEE International Conference on Ground Penetrating Radar (GPR). Nantes, Francia, (9), pp. 1–6. DOI: 10.1109/ICGPR.2010.5550083.
Choudhary, V.; Dhawan, S.; Saini, P. (2012). ‘Polymer based nanocomposites for electromagnetic interference ( EMI ) shielding’, Indian Institute of Technology, 661(2).
Chung, D. (2000). ‘Materials for Electromagnetic Interference Shielding’, Journal of Materials Engineering and Performance volume 9, pages350–354(2000)
Colombo, J. (2012). Análisis y mediciones de los parámetros de dispersión o Scattering parameters en un cuadripolo o en una red de n puertos (multipolo). Universidad tecnológica nacional.
COMSOL. (2013). Meshing Considerations for Linear Static Problems.
COMSOL ,Multiphysics. (2013). Introduction to COMSOL Multiphysics, Version 4.3b. U.S.
Dalke, R.A.; Holloway, C.L.; McKenna, P.; Johansson, M. (2000). ‘Effects of Reinforced Concrete Structures on RF Comunications’, IEEE Transactions on Electromagnetic Compatibility. New York, USA, 42(4), pp. 486–496. DOI: 10.1109/15.902318
Feitor, B.; Caldeirinha, R.F.S.; Fernandes, T.R.; Ferreira, D. (2011). Estimation of Dielectric Concrete Properties from Power Measurements at 18 . 7 and 60 GHz. Leiria, Portugal. WIRELESS TECHNOLOGIES
Guan, H.; Liu, S.; Duan, Y.; Cheng, J. (2006). ‘Cement based electromagnetic shielding and absorbing building materials’, Cement and Concrete Composites, 28(5), pp. 468–474. doi: 10.1016/j.cemconcomp.2005.12.004.
Galao, O. (2012). Matrices cementicias multifuncionales mediante adición de nanofibras de carbono. Universidad de Alicante.
Guzman, G. (1992). Verificación de efectividad de blindaje electromagnético por teorema se reciprocidad. Universidad Autónoma de Nuevo León.
Haddad, R.; Al-Qadi, I. (1998). ‘Characterization of portland cement concrete using electromagnetic waves over the microwave frequencies’, Elsevier Science Ltd, 28(10), pp. 1379–1391.
Hemming, L. (1992). Architectural Electromagnetic Shielding Handbook. USA, New York: IEEE The institute of Electrical and Engineer.
Hernández, J. (1999). Teoría de líneas de trasmisión e ingeniería de microondas. Mexicali, México.
Ihamouten, A.; Chahine, K.; Baltazart, V.; Villain, G.; Derobert, X. (2011). ‘On Variants of the Frequency Power Law for the Electromagnetic Characterization of Hydraulic Concrete’, 60(11), pp. 3658–3668.
International Electrotechnical Commission IEC (2000). International standard IEC 61000 1-1, Electromagnetic compatibility (EMC) - Part 1-1: General - Application and interpretation of fundamental definitions and terms. Suiza.
Jonscher, A. (1990a). ‘The “Universal” Dielectric Reponse: Part I’, IEEE Electrical Insulation Magazine, 6(2), pp. 16–22.
Jonscher, A. (1990). ‘The “Universal” Dielectric Reponse: Part II’, IEEE Electrical Insulation Magazine, 6(3), pp. 24–28.
Jonscher, A. (1990b). ‘The “Universal” Dielectric Reponse: Part III’, IEEE Electrical Insulation Magazine, 6(4), pp. 19–24.
Kaur, M.; Kakar, S.; Mandal, D. (2011). ‘Electromagnetic interference’, IEEE International Conference on Electronics Computer Technology (ICECT). Punjab, India: IEEE, 4, pp. 1–5.
Keshtkar, A.; Maghoul, A.; Kalantarnia, A. (2010) ‘Investigation of Shielding Effectiveness Caused by Incident Plane Wave on Conductive Enclosure in UHF Band’, IEEE International Conference on Mechanical and Aerospace Engineering. Tabriz, Iran, 110, pp. 485–490.
Kim, H. M.; Kim, K.; Lee, C. Y.; Joo, J. (2004) ‘Electrical conductivity and electromagnetic interference shielding of multiwalled carbon nanotube composites containing Fe catalyst’, Applied Physics Letters, 84(4), p. 589. https://doi.org/10.1063/1.1641167
Kumar, A.; Kumar Singh, V.; Pratap Singh, A.; Saini, P. (2011). ‘Synthesis, charge transport studies, and microwave shielding behavior of nanocomposites of polyaniline with Ti-doped γ-Fe2O3’, Journal of Materials Science, 47(5), pp. 2461–2471. DOI: 10.1007/s10853-011-6068-5
Laurens, S.; Balayssac, J. P.; Rhazi, J.; Klysz, G.; Arliguie, G. (2003). ‘Non destructive evaluation of concrete moisture by GPR technique: experimental study and direct modeling’, Materials and Structures, 38(9), pp. 827–832.
Ogunsola, A.; Reggiani, U.; Sandrolini, L. (2005). ‘Shielding effectiveness of concrete buildings’, IEEE International Symposium Electromagnetic Compatibility and Electromagnetic Ecology, pp. 65–68.
Ogunsola, A.; Reggiani, U.; Sandrolini, L. (2006). ‘Modelling shielding properties of concrete’, IEEE International Zurich Symposium on Electromagnetic Compatibility. Londres, Inglaterra, pp. 34–37.
Ogunsola, A.; Reggiani, U.; Sandrolini, L. (2009). ‘Shielding properties of conductive concrete against transient electromagnetic disturbances’, IEEE International Conference on Microwaves, Communications, Antennas and Electronics Systems. Bologna, Italia, 1, pp. 1–5. doi: 10.1109/COMCAS.2009.5385975.
Pokkuluri, K. (1998). Effect of Admixtures , Chlorides , and Moisture on Dielectric Properties of Portland Cement Concrete in the Low Microwave Frequency Range. Ph.D. dissertation, Civil Eng. Dept.,Virginia Polytechnic Institute and State University.
Render, B. (2004). Principios de administración de operaciones. Seguin, USA.
Rhim, H.; Buyukozturk, O. (1998) ‘Electromagnetic Properties of Concrete at Microwave Frequency Range’, ACI Materials, 95(3), pp. 262–271.
Robert, A. (1998). ‘Dielectric permittivity of concrete between 50 Mhz and 1 Ghz and GPR measurements for building materials evaluation’, Journal of Applied Geophysics. Montreal, Canadá, 40(1–3), pp. 89–94.
Romanca, M.; Ogrutan, P.; Aciu, L.E.; Nicolae, G. (2008). ‘Methods of Investigating Construction Materials used for Intelligent Building Shielding’, IEEE International Conference on Optimization of Electrical and Electronic Equipment. Braşov, Romania, 1, pp. 191–196.
Saini, P.; Choudhary, V.; Singh, B.P.; Mathur, R.B.; Dhawana, S.K. (2009). ‘Polyaniline–MWCNT nanocomposites for microwave absorption and EMI shielding’, Materials Chemistry and Physics, 113(2–3), pp. 919–926. doi: 10.1016/j.matchemphys.2008.08.065.
Saini, P.; Choudhary, V.; Singh , B.P.; Mathur, R.B.; Dhawana, S.K. (2011). ‘Enhanced microwave absorption behavior of polyaniline-CNT/polystyrene blend in 12.4–18.0GHz range’, Synthetic Metals. Elsevier B.V., 161(15–16), pp. 1522–1526.
Saini, P.; Choudhary, V.; Saini, P.; Mathur, R.B. (2012). ‘Designing of epoxy composites reinforced with carbon nanotubes grown carbon fiber fabric for improved electromagnetic interference shielding’, AIP Advances, 2(2).
Sandrolini, L.; Reggiani, U.; Ogunsola, A. (2007). ‘Modelling the electrical properties of concrete for shielding effectiveness prediction’, Journal of Physics D: Applied Physics, 40(17), pp. 5366–5372. doi: 10.1088/0022-3727/40/17/053.
Soutsos, M.N.; Bungey, J.H.; Millard, S.G.; Shaw, M.R.; Patterson, A. (2001). ‘Dielectric properties of concrete and their influence on radar testing’, NDT and E International. Liverpool, Inglaterra, 34(6), pp. 419–425.
Shaari, A.; Millard, S.; Bungey, J. (2002). ‘Measurement of Radar Properties of Concrete for in Situ Structural Elements’, IEEE International Conference on Ground Penetrating Radar (GPR), pp. 756–758.
Villain, G.; Ihamouten, A.; Dérobert, X. (2011). Use of Frequency Power Law to Link the Results of Two EM Testing Methods for the Characterization of Humid Concretes. Nantes, Francia.
Yada, H.; Nagai, M.; Tanaka, K. (2008) ‘Origin of the fast relaxation component of water and heavy water revealed by terahertz time-domain attenuated total reflection spectroscopy’, Chemical Physics Letters. Elsevier B.V., 464(4–6), pp. 166–170.