ARTICLES
PROSPECT THEORY: A PARAMETRIC ANALYSIS OF FUNCTIONAL FORMS IN BRAZIL
Teoria do prospecto: Uma análise paramétrica de formas funcionais no Brasil
Teoría prospectiva: Análisis paramétrico de formas funcionales en Brasil
PROSPECT THEORY: A PARAMETRIC ANALYSIS OF FUNCTIONAL FORMS IN BRAZIL
Revista de Administração de Empresas, vol. 57, no. 5, pp. 495-509, 2017
Fundação Getulio Vargas, Escola de Administração de Empresas de S.Paulo
Received: 20 December 2016
Accepted: 23 May 2017
Funding
Funding source: National Council for Scientific and Technological Development - CNPq
Contract number: 305842/2013-7
ABSTRACT: This study aims to analyze risk preferences in Brazil based on prospect theory by estimating the risk aversion parameter of the expected utility theory (EUT) for a select sample, in addition to the value and probability function parameter, assuming various functional forms, and a newly proposed value function, the modified log. This is the first such study in Brazil, and the parameter results are slightly different from studies in other countries, indicating that subjects are more risk averse and exhibit a smaller loss aversion. Probability distortion is the only common factor. As expected, the study finds that behavioral models are superior to EUT, and models based on prospect theory, the TK and Prelec weighting function, and the value power function show superior performance to others. Finally, the modified log function proposed in the study fits the data well, and can thus be used for future studies in Brazil.
KEYWORDS: Behavioral finance, prospect theory, value function, weighting function, Brazil.
RESUMO: Este estudo teve o objetivo de analisar as preferências ao risco no Brasil seguindo os preceitos da Teoria do Prospecto. Para tal, foi estimado o parâmetro de aversão ao risco da Teoria da Utilidade Esperada para uma amostra selecionada, e foram sugeridos os parâmetros da função e probabilidade, supondo diversas formas funcionais e uma nova função de valor - a log modificada. Este foi o primeiro estudo realizado no Brasil para a estimação de tais valores. Os resultados mostraram parâmetros ligeiramente diferentes daqueles encontrados em estudos realizados em outros países, apontando que, no caso da amostra estudada, os indivíduos são mais avessos ao risco e exibem uma menor aversão à perda. A distorção de probabilidade é o único elemento semelhante ao de outros países. Como esperado, o estudo constatou a superioridade dos modelos comportamentais em relação à Teoria da Utilidade Esperada (TUE). Além disso e correspondente às expectativas, o desempenho de modelos baseados na Teoria do Prospecto, TK, Função de Ponderação de Prelec e Função Valor Potencia foi superior aos demais. Por fim, a função de log modificada sugerida no estudo encaixa-se bem nos dados e pode assim ser aplicada em futuros estudos no Brasil.
PALAVRAS-CHAVE: Finanças comportamentais, teoria do prospecto, função valor, função peso, Brasil.
RESUMEN: El presente estudio tiene como objeto analizar las preferencias de riesgo en Brasil con base en la teoría prospectiva al estimar el parámetro de aversión al riesgo de la teoría de la utilidad esperada (EUT por sus siglas en inglés) para una muestra seleccionada, además del parámetro de la función de valor y probabilidad, asumiendo diversas formas funcionales, y una función de valor recientemente propuesta, el log modificado. Este es el primer estudio de su clase en Brasil y los resultados de los parámetros difieren levemente de estudios realizados en otros países, indicando que los individuos son más reacios al riesgo y muestran una menor aversión a pérdidas. La distorsión de probabilidades es el único factor en común. Como se previó, el estudio muestra que los modelos comportamentales son superiores a la EUT y los modelos basados en la teoría prospectiva, la función de ponderación de TK y Prelec, y la función de potencia de valor muestran desempeño superior a otros. Por último, la función de log modificado propuesta en el estudio se adecua bien a los datos y, por lo tanto, puede usarse para futuros estudios en Brasil.
PALABRAS CLAVE: Finanzas comportamentales, teoría prospectiva, función de valor, función de ponderación, Brasil.
INTRODUCTION
For many years traditional finance models were based on neo-classical economics, which is based on certain assumptions about the behavior of decision-makers, such as rational preferences, the maximization of expected utility, and the possession of complete information at any given moment.
The modeling of investor preferences is based on the so-called expected utility theory (EUT), first developed by von Neuman and Morgenstern (von Neumann & Morgenstern, 1944), and used by Markowitz to structure his mean-variance model (Markowitz, 1952). However, recent behavioral finance studies have found evidence that prospect theory (Kahneman & Tversky, 1979) and cumulative prospect theory (Tversky & Kahneman, 1992) provide a better description of investor choice than Markowitz’s mean-variance model.
Prospect theory has been used, amongst other things, to explain the low participation of individual investors in the stock market, high trading intensity in capital markets (Gomes, 2005), investor preference for returns with positive asymmetric distributions (Barberis & Huang, 2008) and the stock market’s risk premium and volatility (Barberis, Huang, & Santos, 2001). To date, most studies have used samples composed of students to test decision making from a prospect theory standpoint (Stott, 2006, Abdellaoui, Bleichrodt, & L’Haridon, 2008, Harrison & Rutström, 2009; Zeisberger, Vrecko, & Langer, 2012).
In all these studies, various values and weighting functions were estimated using parametric and/or non- parametric techniques. The majority of these studies used samples from developed countries and, on a smaller scale, from developing countries. Thus, there is a lack of studies that model value and weighting curves in developing countries, in particular Brazil.
This study seeks to contribute to the study of behavioral finance in Brazil by attempting to model individuals’ decision-making using prospect theory to estimate parameters. Thus, analyses will be performed on 27 models constructed using nine different functions, and a newly proposed value function, the modified log.
THEORETICAL REFERENCES
Developed by Bernoulli in 1738 (Bernoulli, 1954), EUT only became widely known in 1944 when von Neumann and Morgenstern (1944) demonstrated that the theory can be systematically explained by a set of basic axioms of choice. For a long time, EUT was the basis for the analysis of the decision-making process in situations involving risk, and was the cornerstone of classical economics. However, beginning with the famous Allais paradox (Allais, 1953) and later the Ellsberg paradox (Ellsberg, 1961), it gradually became evident that an individual’s decision-making process does not follow an absolutely rational model. This led to the development of the non-EUT, which embraces the prospect theory developed by Kahneman and Tversky (Kahneman & Tversky, 1979). Non-EUT refers to the set of alternative models of decision making that attempt to accommodate the systematic violations of many of the key assumptions of the expected utility model of choice under uncertainty (Machina, 2008).
Prospect theory presents an alternative to the EUT by introducing an observed probability distortion function (“weighting function”) and a value function that expresses the variation of wealth. Over the past 30 years, several variants of this theory have been proposed, such as the cumulative prospect theory developed by Tversky and Kahneman (1992) and the normalized prospect theory (Rieger & Wang, 2008, Karmarkar, 1979 and Karmarkar, 1978). These alternatives encompass variations in theoretical modeling and the weighting and value functions.
Utility theory
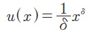
Gerber and Pafum (1998) summarized the various types of utility functions used in modern finance theory. The utility function is typically represented by a power function, as in eq. (1) below.
(1)where δ ≤ 1.The Arrow-Pratt absolute risk aversion coefficient (Wakker, 2008), is defined in eq. (2).
(2)where x represents final wealth (i.e., initial wealth plus the final value of the lottery). The δ parameter can be interpreted as the relative risk aversion coefficient (Palacios-Huerta & Serrano, 2006 and Holt & Laury, 2002).
EUT affirms that if decision makers must choose between two alternatives, they will choose the one that maximizes their utility (i.e., where the value of expected utility is greater). EUT is presented in eq. (3) below.
(3)where Ai and Bi are the results of lottery i (Ai < Bi), p is the probability of obtaining the highest result Bi, u is the utility function, and w is initial wealth. In the case of a lottery with xi results (already incorporating initial wealth), each one with probability pi, eq. (3) can be generalized and defined as in eq. (3a) below.
(3a)Prospect theory and its variants
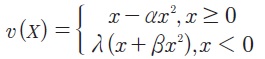
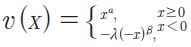
Kahneman and Tversky (1979) proposed an alternative model for describing choice under uncertainty with the propspect theory. In prospect theory, the value function (v(x)) replaces the utility function in the EUT. According to Kahneman and Tversky (1979), the value function (v) can be parameterized as a power function, as follows in eq. (4).
(4)where α and β measure the curvature of the value function for gains and losses respectively and λ is the loss aversion coefficient.
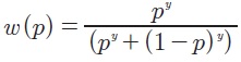
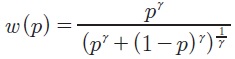
A second characteristic of the prospect theory refers to the estimation of probabilities of the occurrence of events. Whereas the EUT uses simple probabilities, prospect theory uses decision weights. Tversky and Kahneman (1992) defined and calibrated a weighting function based on experiments, which assigns a weight w (p) to each probability p. This weight, in turn, reflects the impact of p on the prospect’s total value. In most cases, the sum of the weights is less than 1 (i.e., w(p) + w(p-1) < 1). The weighting function (w(p)) is parametrized as follows in eq. (5).
(5)where γ ε (0.1). A characteristic of this weighting function is that it assigns a higher weight to low probabilities and a lower weight to high probabilities. The value of γ will determine the degree of over or under assessment of the weights assigned to absolute probabilities. The lower the parameter, the greater the distortion of probabilities given that most of the function’s range lie below the 45-degree line.
Originally, the weighting function permitted the existence of different parameters in the gain and loss area (Tversky & Kahneman, 1992). However, as previous studies estimated very similar parameters in the gain and loss area (Tversky & Kahneman, 1992, Camerer & Ho, 1994 and Tversky & Wakker, 1995), it is common to model w(p) estimating only one γ for both gains and losses (Rieger, Wang & Hens, 2011).
According to prospect theory, the value of a lottery prospect with xi results each with probability pi, (Rieger & Bui, 2011), can be defined as in eq. (6) below.
(6)where w(p) is the weighting function and v(x) the value function.
Tversky and Kahneman (1992) presented a new version of the prospect theory, which they called cumulative prospect theory. The main difference between the two is that the latter includes cumulative instead of individual probability distortions to include non-linear preferences (rank dependence), and satisfies the stochastic dominance condition.
Similar to eq. (6), we can define the value of a lottery prospect with xi results each with probability pi as defined in eq. (7) below.
(7)where v(x) is the value function as in prospect theory, and w(p) is the subjective weighting function derived from the probabilities of results (Rieger & Bui, 2011), as defined in eq. (8) below.
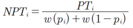
(8)A variant of the prospect theory, known as normalized prospect theory, was perfected by Rieger and Wang (2008), drawing on Karmarkar (1978). The value of the lottery prospect with xi results each with probability pi is defined as in eq. (9) below.
(9)In this case, the prospect function is normalized by the sum of subjective probabilities. This normalization makes it possible to extend prospect theory to non-discrete lotteries.
Additional functions
Over the years, various types of functions have been suggested within the theoretical and empirical formulation of prospect theory, involving different specifications of the value and weighting functions.
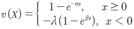
Regarding the value function, it should be highlighted that, in addition to the power function used by Kahneman and Tversky (1979) and defined in eq. (4), the exponential and quadratic functions are also cited in the literature (Rieger & Bui, 2011).
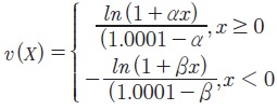
The logarithmic function (Köbberling & Wakker, 2005) is defined as in eq. (10) below.
(10)Although the logarithmic function is often cited (Camerer & Ho, 1994, Fishburn & Kochenberger, 1979) and generally considered to be the first utility function developed by Bernoulli in the 18th century (Stott, 2006), it has also been criticized because of its inability to differentiate high values of x due to its steeper slope. It only functions well with high values if α and β are relatively small (Bui, 2009).
The quadratic function has played an important role in finance. Its advantage lies in its ability to price the value of a prospect solely in its mean and variance, widely used in finance, mainly in asset pricing (Stott, 2006). The quadratic function is defined as follows in eq. (11).
(11)The exponential function, in turn, is defined as follows in eq. (12).
(12)The weighting function also exhibits some functional variants in addition to those developed by Tversky and Kahneman (1992) and defined in eq. (5). We cite the functions proposed by Karmarkar (1978), Karmarkar (1979) and Prelec (1998). Karmarkar’s weighting function (Karmarkar, 1978; Karmarkar, 1979) is defined in eq. (13) below.
(13)Meanwhile, Prelec (1998) proposed the invariant composite form of the weighting function, which is characterized below in eq. (14).
(14)This function makes it possible to explain distortions such as the common consequence effect (Allais, 1953) more consistently. Probability functions with two parameters have also been developed; among the most important are Goldstein and Einhorn (1987) and Prelec’s (1998) functions.
Stott’s (2006) work is the main study relating to the estimation of functional forms, in which he analyzed 256 model variations from a cumulative prospect theory perspective. The study found that the best model was the one that included the power value function and the two-factor Prelec weighting function. Bui’s (2009) study, meanwhile, found that prospect theory was superior to the cumulative prospect theory, normalized prospect theory and EUT.
METHODOLOGY
Sample and questionnaire
This study was performed using Qualtrics, an online platform. It assembled a group of 251 respondents found through a search conducted in Brazilian universities, firms, and social media networks. Applying the inconsistency filters described below led to the selection of 75 effective respondents to participate in the analysis.
Table 1 presents a description of the samples.

The data collected in this work differs in certain aspects to the average Brazilian population. In relation to gender, there is a greater concentration of women. Income was more heterogeneous, with a higher concentration in the middle and upper classes. Educational level was highly concentrated in individuals with bachelor’s degrees.
The lotteries used in this study are based on Rieger et.al (2011), as presented in Table 2. Risk preferences are calculated in the area of gains in the first six lotteries by asking participants about their propensity to pay for these lotteries. The lotteries have binary results in Brazilian reals (R$) associated with the probability of each result’s occurrence. The lotteries were structured by combining different levels of results (R$ 10, R$ 100, R$ 400, R$ 10,000) with different levels of probabilities (0.1, 0.4, 0.5, 0.6 and 0.9). To differentiate the area of risk propensity from the area of risk aversion, attitude towards risk in the area of losses was measured in the case of two lotteries (7 and 8).

The third measure, after the subjects have priced the eight lotteries, calculates the loss aversion coefficient. It is based on lotteries 9 and 10 (mixed lotteries) and asks the minimum amount of R$ that the participant would accept to participate in a bet with a 50% chance of losing a certain amount.
To filter the lotteries’ database and make it more robust, the following consistency rules were adopted to exclude individual lotteries from the sample. The aim of the rules is to avoid outliers by excluding inconsistent responses, which reflect the respondent’s lack of understanding, or their haste in completing the questionnaire survey.
If the amount given in the response for lottery 1 is less than or equal to R$ 10 or if it is more than or equal to R$ 100;
If the amount for lottery 3 is greater than the amount for lottery 1;
If the amounts for lotteries 2 or 5 are greater than R$ 100;
If the amount for lottery 7 is equal to or greater than R$ 80;
If the amount for lottery 8 is equal to or greater than R$ 100;
If the amount for lottery 7 is greater than the amount for lottery 8;
If the amount for lottery 9 is greater than R$ 500 and if the amount for lottery 10 is greater than R$ 2,000;
If the amount for lottery 9 is less than R$ 5 and the amount for lottery 10 is less than R$ 20;
If the amount for lottery 2 is R$ 100, if the amount for lottery 5 is R$ 100, and if the amount for lottery 6 is R$ 400.
Regarding the replication of lotteries used in Rieger et.al. (2011), some studies suggest that the values should be converted into local currency using each country’s purchasing power parity (Harrison, Humphrey, & Verschoor, 2010, Rieger & Bui, 2011). However, it should be highlighted that these studies include a comparison between countries, which is not the case in this study. Considering that the average nominal Brazilian household income was R$ 1,052.00 in 2014 (IBGE, 2014), the monetary values of the lotteries seem to be quite realistic given the purpose of our analysis.
Estimation of parameters
This study will be based on the three theories defined respectively in eqs. (6), (7) and (9) (prospect theory-PT; cumulative prospect theory-CPT; normalized prospect theory-NPT), three value functions (power, exponential, and modified logarithmic), and three weighting functions (Tversky-Kahneman-TK; Karmarkar; and Prelec), generating 27 models that are exhibited in Table 3. The utility fuuction, defined in eq. (1), will also be considered.

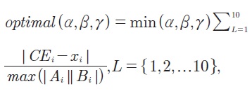
In line with Bui (2009), this study uses the grid search methodology, which is explained below, to estimate all weighting and value function parameters, in order to minimize the sum of errors. Parameters are estimated for each individual and the error function is defined as the sum of the differences between the certainty equivalent (CE) and the responses for all ten lotteries.
Each response should represent the individual’s CE to each of the ten prospects presented, as these responses represent the amount he/she has indicated for which they are indifferent in participating in the lottery or not. However, for each combination of α, β and δ, there is a fair CE amount, which in the case of optimal choice should be the same as the one in the individual’s response. The difference between the fair value of the CE for a prospect and the individual’s response to prospect i of the questionnaire is the fitting error. The optimization process seeks to obtain the best combination of parameters α, β, δ and λ that exhibits the smallest sum of adjustment errors of the ten prospects.
To undertake this estimation, the study developed a Delphi algorithm, based on Bui (2009) to perform the grid optimization. Grid optimization uses nested loops with pre-determined value leaps to estimate the parameters. Once an optimal value is obtained, the result is refined, using smaller leaps consecutively around the optimal value found in the previous step. In this study, the parameters ranged from 0 to 1 in steps of 0.001. Mathematically the estimation process can be defined in the following way: in eqs. (6), (7) and (9), PT, CPT, and NPT were defined for a lottery with xi results, each with probability pi.
For this study, in which there are ten lotteries (Table 1) each with 2 results (Ai and Bi), the value of each lottery prospect is defined as follows in eqs. (16), (17) and (18).
(15)
(16)
(17)where pi is the probability of result B occurring in lottery i.
Grid search optimization methodology consists of finding the optimal combination of α, β and γ parameters that minimizes the error function, defined in eq. (19).
(18)where value xi is defined as each individual’s response to the data, which is the propensity to pay if xi ≥ 0, and the propensity to accept (negative value of the propensity to pay) if xi < 0. This method is summarized in eq. (20).
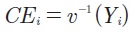
(19)CEi is defined for each lottery as the inverse of the value function in the calculation result for the prospect (Yi) for PT, CPT and NPT, as defined in eq. (21).
(20)Meanwhile, the λ value is estimated using prospects 9 and 10, estimating the relation between the value function in the region of gains, and the value function in the region of losses. Note that as the CE of these lotteries is defined as 0, the value of λ is calculated using the α, β and γ values of answers X9 and X10 and the value of prospects A9 and A10, with probability 0.5. As the calculation of λ is different for each theory and functional form of the value function, Table 4 shows how this is estimated.

In addition to the 27 combinations of value and weighting functions of the 3 variants of prospect theory, it is also important to assess the robustness of the EUT relative to prospect theory.
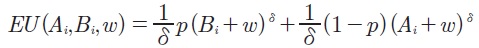
Given a prospect [(B, p; A, (1-p)], replacing u(x) in eq. (3) by eq. (1), we obtain the expected utility of this lottery as defined in eq. (22).
(21)where w is defined as initial wealth.
Meanwhile, the CE is defined in eq. (23) below.
(22)The EUT optimization process is performed employing the same methodology used in prospect theory. The aim is to estimate the optimal value of δ that minimizes the error function.
(23)Simultaneously, the level of initial wealth (w) is considered as the best value that minimizes the error function for a given value of δ. The limitation of this study relates to the size of the sample (75 respondents), which prevents us from generalizing its results to the entire Brazilian population. Additionally, as mentioned above, the sample is only partially representative of the general Brazilian population. However, the sample is justified, because the aim of this study was to analyze the adequacy of behavioral models given the reality of Brazil. We consider this study to be an exploratory one given the lack of studies in this area to date.
RESULTS
Analysis of the Models
For each theory/weighting/value combination, we found the results that exhibited the fewest errors, as well as all the results within a certain percentage tolerance. The calibration of the tolerance percentage is an input of the model, and is based on the observed standard deviation to retain only those results that are statistically similar to the minimum error as optimal results.
In the results presented, we used a 30% tolerance percentage. To illustrate this concept, for example, if in the case of an observation using a NPT/KAR/LOG combination, the minimum error resulting from the optimization process was 0.3, all combinations that exhibited errors up to 30% above 0.3 (i.e., 0.39), were considered equally optimal. Table 5 shows the average, median and standard deviation of the risk aversion coefficient.

The δ coefficient result of 0.55 is in line with the literature (Wakker, 2008, Palacios-Huerta & Serrano, 2006) and indicates relatively strong risk aversion (Holt & Laury, 2002). The results are similar to other studies such as Gonzalez and Wu (1999) (δ = 0.52), Tanaka, Camerer, and Nguyen (2010) (δ = 0.48) and Liu (2012) (δ = 0.44).
Table 6 shows the average, median and standard deviation of the α, β, γ and λ parameters of all models analyzed in this study, as listed in Table 2, in addition to each model’s associated error.

Table 7 presents the consolidation of Table 6, considering the average, median and standard deviation resulting from optimization. Analyzing both tables, we draw the following conclusions: starting with the average of parameters α and β, which measures the slope of the utility function of money in the gains and losses areas respectively, we observe that, in all models, α < 1 and β < 1. This is expected, given that the psychological concept of diminishing sensitivity implies that α < 1 and β <1 (i.e., the further individuals are from the point of reference, the more sensitive they are to change (Booij, Van Praag & Van De Kuilen., 2010)). In addition, the results show a typical S-shaped value function (i.e., concave in the region of gains and convex in the region of losses). However, S-shaped value function differ according to each model.

In general, models based on the exponential function exhibited a steeper S-shaped function than power and modified log functions, while the modified log function had a less steep curve than the power function. Another important characteristic is that β > α in both models 111 and 131, which is in line with results of other studies that demonstrate that losses are assessed in a more linear fashion than gains (Booij et al., 2010). This suggests that people are less sensitive to additional gains than to additional losses (Booij et al., 2010).
The mean of the probability distortion parameter γ is less than 1 in all the models, showing that there is a clear distortion of probabilities in the subjects studied. In addition, there is a clear loss aversion given that the mean of the loss aversion parameter is greater than 1 in all models.
The values found in this study for parameters α and β in the individual models are, in the majority of cases, lower than the values found in studies performed in developed countries (Table 8). The same holds for the probability distortion (γ) and the risk aversion parameter (λ).


As expected, the results of this study differ in part from those found in other studies. Booij et al. (2010) surveyed several studies and found a large variability in estimated parameters. According to the authors, a possible explanation is the hypothetical bias, which means people do not behave in a realistic manner when the stakes are not real (and are just for ‘play’). Some studies have tried to circumvent this by offering real financial incentives. Another explanation is related to the econometric methodology, as some studies use a non-parametric approach, while others use a parametric methodology. Finally, there are explanations of a cultural nature as explained in Rieger et al. (2017).
The next step is to analyze the list of optimal results for each combination. The results are presented in descending order of the combination of optimal results. Table 10 shows the number of optimal models in each theory combination in the sample of 75 individuals. For example, for 54 individuals models 111 and 131 have the best optimization results. This represents 8.3% of the distribution of all theory combinations. We note that exponential functions dominate in the best optimization results as they are prevalent in the ten best results.

Regarding the data consolidation shown in Table 11, we note that, in terms of theory, PT exhibits the best performance with 51.53%, while CPT exhibits the worst with 20.34%. When analyzed according to weighting, PRC registers the best performance with 36.85%, immediately followed by TK with 35.17%, and KAR recording the worst performance. In the case of value functions, the exponential function exhibited the best result with 44.04% and the worst was the power function.

Table 12 presents the median, average and standard deviation errors according to theory and weighting. We observe the superiority of behavioral models relative to EUT. In addition, models based on prospect theory with weighting functions TK and Prelec, value functions power and modified log performed better than the others. This is in line with the literature (Stott, 2006 and Bui, 2009) and, in our case, it shows the superior performance of the function proposed in this study, the modified log.

The superior performance of the modified log function is that it fits well in the reality of individual decision making (i.e., it remains concave to high values of “x”, even for α and β values close to one). For alpha and beta values above 1, the function ceases to be concave in the gain region and convex in the loss region. Also, the function is not valid for negative values of α and β. The valid values of α and β for the modified log function are in the interval [0,1], with good sensitivity to increments of 0.01. A basic difference of this function and the power function is that the power function tends to be linear for all ranges of values when α and β approach 1, which does not fit well with the observed data.
CONCLUSIONS
This study analyzed risk preferences in Brazil based on prospect theory. To achieve these estimations were performed of the risk aversion parameter of the Expected Utility Theory for a selected sample, and of the value and probability function parameters, assuming various functional forms, and a new value function - the modified log - was suggested.
This study was the first to estimate these values in Brazil, finding slightly different parameter values from those found in studies carried out in other countries. The results for the sample studied showed that subjects are more risk averse and exhibit a smaller loss aversion. Probability distortion is the only common element with other countries. Explanations for these differences are presented in the literature, such as in studies related to econometric methodology and the hypothetical bias. Recent studies has also added cultural influence as a possible explanatory variable.
As expected, the study found that behavioral models were superior to the EUT. In addition, models based on the prospect theory, TK and Prelec weighting functions and the power value function performed better than others, thus confirming prior expectations. Finally, the modified log function proposed in the study fit the data well, and can thus be used in future studies in Brazil. This can be due to specific characteristics of this function, which make it robust to possible outliers.
There are important applications of the results of studies such as this one, especially with regards to the allocation of resources. For banks and brokerage firms, it is important to know the level of risk aversion and deviations from behavior considered rational when offering investment options. Often, the questionnaires used by these agents fail to determine the exact risk profile of the investors, and may lead to a misallocation of investor resources within an expected risk-return context.
ACKNOWLEDGMENT
This work was carried out with the support of Conselho Nacional de Desenvolvimento Científico e Tecnológico (National Council for Scientific and Technological Development - CNPq), number 305842/2013-7.
REFERENCES
Abdellaoui, M. (2000). Parameter-free elicitation of utility and probability weighting functions. Management Science, 46(11), 1497-1512.
Abdellaoui, M., Bleichrodt, H., & L’Haridon, O. (2008). A tractable method to measure utility and loss aversion under prospect theory. Journal of Risk and Uncertainty, 36(3), 245-266. doi:10.1007/s11166-008-9039-8
Abdellaoui, M., Bleichrodt, H., & L’Haridon, O. (2013). Sign-dependence in intertemporal choice. Journal of Risk and Uncertainty, 47(3), 225-253. doi:10.1007/s11166-013-9181-9
Abdellaoui, M., Bleichrodt, H., & Paraschiv, C. (2007). Loss aversion under prospect theory: A parameter-free measurement. Management Science, 53(10), 1659-1674.
Abdellaoui, M., Vossmann, F., & Weber, M. (2005). Choice-based elicitation and decomposition of decision weights for gains and losses under uncertainty. Management Science, 51(9), 1384-1399.
Allais, M. (1953). Le comportement de l’homme rationnel devant le risque: Critique des postulats et axiomes de l’ecole americaine. Econometrica, 21(4), 503-546. doi:10.2307/1907921
Attema, A. E., Brouwer, W. B. F., & L’Haridon, O. (2013). Prospect theory in the health domain: A quantitative assessment. Journal of Health Economics, 32(6), 1057-1065. doi:10.1016/j.jhealeco.2013.08.006
Barberis, N., & Huang, M. (2008). Stocks as lotteries: The implications of probability weighting for security prices. American Economic Review, 98(5), 2066-2100.
Barberis, N., Huang, M., & Santos, T. (2001). Prospect theory and asset prices. The Quarterly Journal of Economics, 116(1), 1-53. doi:10.1162/003355301556310
Bernoulli, D. (1954). Exposition of a new theory on the measurement of risk. Econometrica, 22(1), 23-36. doi:10.2307/1909829
Booij, A., van Praag, B., & van de Kuilen, G. (2010). A parametric analysis of prospect theory’s functionals for the general population. Theory and Decision, 68(1-2), 115-148. doi:10.1007/s11238-009-9144-4
Bui, T. (2009). Prospect Theory and Functional Choice. A Dissertation Submitted to the Graduate School in Partial Fulfillment of the Requirements for the Degree Erasmus Mundus Master: Models and Methods of Quantitative Economics (QEM), Bielefeld University and The University of Paris 1 Panthéon-Sorbonne.
Camerer, C. F., & Ho, T.-H. (1994). Violations of the betweenness axiom and nonlinearity in probability. Journal of Risk and Uncertainty, 8(2), 167-196. doi:10.1007/BF01065371
Ellsberg, D. (1961). Risk, ambiguity, and the savage axioms. The Quarterly Journal of Economics, 75(4), 643-669.
Fishburn, P. C., & Kochenberger, G. A. (1979). Two-piece Von Neumann-Morgenstern utility functions. Decision Sciences, 10(4), 503-518. doi:10.1111/j.1540-5915.1979.tb00043.x
Gerber, H. U., & Pafum, G. (1998). Utility functions: From risk theory to finance. North American Actuarial Journal, 2(3), 92-94. doi:10.1080/10920277.1998.10595731
Goldstein, W. M., & Einhorn, H. J. (1987). Expression theory and the preference reversal phenomena. Psychological Review, 94(2), 236-254. doi:10.1037/0033-295X.94.2.236
Gomes, F. J. (2005). Portfolio choice and trading volume with loss-averse investors. The Journal of Business, 78(2), 675-706. doi:10.1086/427643
Gonzalez, R., & Wu, G. (1999). On the shape of the probability weighting function. Cognitive Psychology, 38(1), 129-166. doi:10.1006/cogp.1998.0710
Harrison, G., & Rutström, E. (2009). Expected utility theory and prospect theory: One wedding and a decent funeral. Experimental Economics, 12(2), 133-158. doi:10.1007/s10683-008-9203-7
Harrison, G. W., Humphrey, S. J., & Verschoor, A. (2010). Choice under uncertainty: Evidence from Ethiopia, India and Uganda. The Economic Journal, 120(543), 80-104. doi:10.1111/j.1468-0297.2009.02303.x
Holt, C. A., & Laury, S. K. (2002). Risk aversion and incentive effects. American Economic Review, 92(5), 1644-1655.
Instituto Brasileiro de Geografia e Estatística (IBGE). (2014). Pesquisa Nacional por Amostra de Domicílios (Pnad) Contínua. Brasilia, DF.
Kahneman, D., & Tversky, A. (1979). Prospect theory: An analysis of decision under risk. Econometrica, 47(2), 263-292. doi:10.2307/1914185
Karmarkar, U. S. (1978). Subjectively weighted utility: A descriptive extension of the expected utility model. Organizational Behavior and Human Performance, 21(1), 61-72. doi:10.1016/0030-5073(78)90039-9
Karmarkar, U. S.. (1979). Subjectively weighted utility and the Allais Paradox. Organizational Behavior and Human Performance, 24(1), 67-72. doi:10.1016/0030-5073(79)90016-3
Köbberling, V., & Wakker, P. P. (2005). An index of loss aversion. Journal of Economic Theory, 122(1), 119-131. doi:10.1016/j.jet.2004.03.009
Liebenehm, S., & Waibel, H. (2014). Simultaneous estimation of risk and time preferences among small-scale cattle farmers in West Africa. American Journal of Agricultural Economics, 96(5), 1420-1438. doi:10.1093/ajae/aau056
Liu, E. M. (2012). Time to change what to sow: Risk Preferences and technology adoption decisions of cotton farmers in China. Review of Economics and Statistics, 95(4), 1386-1403. doi:10.1162/REST_a_00295
Machina, M. J. (2008). Non-expected utility theory. In S. N. Durlauf & L. E. Blume (Eds.), The New Palgrave Dictionary of Economics, 2nd Edition. London, UK: Palgrave Macmillan.
Markowitz, H. (1952). Portfolio selection. The Journal of Finance, 7(1), 77-91. doi:10.1111/j.1540-6261.1952.tb01525.x
Nguyen, Q., & Leung, P. (2009). Do Fishermen have Different Attitudes Toward Risk? An Application of Prospect Theory to the Study of Vietnamese Fishermen. Journal of Agricultural and Resource Economics, 34(3), 518-538.
Nguyen, Q., & Leung, P. (2010). How nurture can shape preferences: An experimental study on risk preferences of Vietnamese fishers. Environment and Development Economics, 15(5), 609-631. doi:10.1017/S1355770X10000203
Palacios-Huerta, I., & Serrano, R. (2006). Rejecting small gambles under expected utility. Economics Letters, 91(2), 250-259. doi:10.1016/j.econlet.2005.09.017
Prelec, D. (1998). The probability weighting function. Econometrica, 66(3), 497-527. doi:10.2307/2998573
Rieger, M. O., Wang, M., & Hens, T. (2011). Prospect theory around the world (October 31, 2011). NHH Dept. of Finance & Management Science Discussion Paper No. 2011/19.
Rieger, M., & Wang, M. (2008). Prospect theory for continuous distributions. Journal of Risk and Uncertainty, 36(1), 83-102. doi:10.1007/s11166-007-9029-2
Rieger, M. O., & Bui, T. (2011). Too risk-averse for prospect theory? Modern Economy, 2(4), 691-670. doi:10.4236/me.2011.24077
Rieger, M. O., Wang, M., & Hens, T. (2017). Estimating cumulative prospect theory parameters from an international survey. Theory and Decision, 82(4), 567-596. doi:10.1007/s11238-016-9582-8
Schmidt, U., & Traub, S. (2002). An experimental test of loss aversion. Journal of Risk and Uncertainty, 25(3), 233-249. doi:10.1023/A:1020923921649
Scholten, M., & Read, D. (2014). Prospect theory and the “forgotten” fourfold pattern of risk preferences. Journal of Risk and Uncertainty, 48(1), 67-83. doi:10.1007/s11166-014-9183-2
Stott, H. P. (2006). Cumulative prospect theory’s functional menagerie. Journal of Risk and Uncertainty, 32(2), 101-130. doi:10.1007/s11166-006-8289-6
Tanaka, T., Camerer, C. F., & Nguyen, Q. (2010). Risk and time preferences: Linking experimental and household survey data from Vietnam. American Economic Review, 100(1), 557-571. doi:10.1257/aer.100.1.557
Tu, Q. (2005). Empirical analysis of time preferences and risk aversion. Tilburg University: CentER, Center for Economic Research.
Tversky, A., & Kahneman, D. (1992). Advances in prospect theory: Cumulative representation of uncertainty. Journal of Risk and Uncertainty, 5(4), 297-323.
Tversky, A., & Wakker, P. (1995). Risk attitudes and decision weights. Econometrica, 63(6), 1255-1280. doi:10.2307/2171769
von Neumann, J., & Morgenstern, O. (1944). Theory of Games and Economic Behavior. Princeton, USA: Princeton University Press.
Wakker, P. P. (2008). Explaining the characteristics of the power (CRRA) utility family. Health Economics, 17(12), 1329-1344. doi:10.1002/hec.1331
Wu, G., & Gonzalez, R. (1996). Curvature of the probability weighting function. Management Science, 42(12), 1676-1690.
Zeisberger, S., Vrecko, D., & Langer, T. (2012). Measuring the time stability of Prospect Theory preferences. Theory and Decision, 72(3), 359-386. doi:10.1007/s11238-010-9234-3