Articles
Integración comercial y reasignación intersectorial de los trabajadores en Colombia, 1986-2006
Trade integration and inter–sectoral reallocation of workers in Colombia, 1986–2006
L'intégration commerciale et la réaffectation intersectorielle des travailleurs en Colombie, 1986–2006
Integración comercial y reasignación intersectorial de los trabajadores en Colombia, 1986-2006
Lecturas de Economía, núm. 84, pp. 59-102, 2016
Universidad de Antioquia
Recepción: 31 Agosto 2015
Aprobación: 12 Noviembre 2015
Resumen:
Este trabajo analiza el efecto de la creciente integración comercial de Colombia sobre los flujos intersectoriales de trabajadores, para luego determinar cómo éstos afectaron la productividad agregada. Por medio de un acercamiento empírico basado en microdatos, se evidencia que la evolución del grado de integración comercial ha inducido transiciones intersectoriales de los trabajadores hacia sectores de menor productividad, por lo cual se concluye que dichas transiciones afectaron negativamente la productividad agregada. Los resultados también muestran que el efecto de la integración comercial sobre los flujos intersectoriales de trabajadores se manifiesta, esencialmente, dentro de la población de los trabajadores menos educados. Un cambio de la variación del grado de integración comercial en una desviación estándar genera un aumento de la probabilidad de cambiarse a un sector de menor productividad en más de tres puntos porcentuales. Para los trabajadores menos cualificados, el aumento en esta probabilidad alcanza cinco puntos porcentuales. Clasificación JEL: F63, F66, F16, O54, J62
Palabras clave: cambio estructural, comercio internacional, productividad agregada, mercado laboral, Colombia.
Abstract:
This paper investigates empirically the impact of the deepening trade integration of Colombia on the transitions of workers across sectors, and then the effect of these transitions on aggregate productivity. Using microdata on workers, I find that the evolution of trade integration induced net flows of workers towards less productive sectors, resulting in a negative impact on aggregate productivity. While this effect of the increasing trade integration on inter–sectoral transitions is statistically identifiable among the whole sample of workers, it is actually driven by the subsample of least educated workers. A one–standard deviation change in the variation of the trade integration indicator raises the probability of moving to a less productive sector by more than three percentage points for the whole sample, whereas the probability raises by five percentage points within the subsample of least educated workers. JEL classification: F63, F66, F16, O54, J62
Keywords: structural change, international trade, aggregate productivity, labour market, Colombia.
Résumé:
Cet article analyse l'effet de l'intégration commerciale croissante de Colombie sur les flux intersectoriels des travailleurs, à fin de savoir comment ceux–ci affectent la productivité globale. À travers une approche empirique fondée sur des microdonnées, nous montrons que l'évolution du degré d'intégration commerciale déplacé les travailleurs vers des secteurs moins productifs, raisons pour laquelle la productivité globale est affectée négativement. Les résultats montrent également que l'effet de l'intégration commerciale sur les flux intersectoriels des travailleurs se manifeste essentiellement sur la population des travailleurs les moins qualifiés. En effet, un changement dans la variation du degré d'intégration commerciale avec un écart type, entraîne une hausse de plus de trois points de pourcentage dans la probabilité de se déplacer d'une secteur à un autre moins productif. Pour les travailleurs les moins qualifiés, la hausse de cette probabilité atteint cinq points de pourcentage. Classification JEL : F63, F66, F16, O54, J62.
Mots clés: changement structurel, commerce international, productivité globale, marché du travail, Colombie.
INTRODUCCIÓN
Este artículo caracteriza el efecto de la creciente integración comercial en Colombia sobre los flujos de trabajadores entre los principales sectores de actividad económica con el fin de determinar si dichos flujos contribuyeron a aumentar o disminuir la productividad agregada. Aunque el periodo cubierto por esta investigación corresponde a los años desde 1986 al 2006, los resultados encontrados arrojan enseñanzas valiosas en el contexto de la multiplicación de los tratados de libre comercio entre Colombia y sus principales socios comerciales durante los últimos años. Así, este trabajo muestra que el aumento en el grado de integración comercial de la economía colombiana desde los años ochenta generó una reasignación intersectorial de los trabajadores a favor de sectores de menor productividad. Se evidencia que este efecto de la evolución de la integración comercial sobre dicha reasignación se manifiesta particularmente dentro de la población de los trabajadores menos educados, por lo cual se infiere que el ajuste de las firmas ante la mayor apertura de la economía afectó, esencialmente, los trabajadores menos productivos. Más específicamente, según los resultados de las estimaciones econométricas, un cambio de la variación del grado de integración comercial en una desviación estándar induce a un aumento de la probabilidad de cambiarse a un sector de menor productividad en más de tres puntos porcentuales. Para los trabajadores menos cualificados, el aumento en esta probabilidad alcanza cinco puntos porcentuales. Adicionalmente, la mayor integración comercial causó un flujo neto de salida de trabajadores del sector manufacturero hacia el sector de Comercio, Restaurantes y Hoteles.
Este artículo se relaciona con dos ramas de la literatura: la que se enfoca en los ajustes del mercado laboral frente a una mayor apertura de la economía al comercio internacional, y la literatura sobre la relación entre la globalización –una de cuyas manifestaciones consiste en el peso creciente del comercio internacional en el PIB– y la reasignación de los factores de producción entre los sectores económicos de un país. McMillan y Rodrik (2011) resaltan la importancia de considerar qué tipo de cambio estructural –definido como el cambio en la asignación intersectorial de la mano de obra en una economía– resulta del proceso de globalización al momento de diagnosticar el efecto de dicho proceso sobre la productividad agregada de un país.
En varios aspectos Colombia constituye un caso representativo de un país latinoamericano cuya inserción en la economía mundial se profundizó significativamente en las últimas décadas, sin experimentar con ello un incremento significativo de la productividad agregada. A partir de mediados de los años ochenta Colombia implementó una política de apertura comercial que culminó con la liberalización comercial de 1990–1991. La literatura evidencia el efecto favorable de esta política de apertura sobre la productividad de los sectores industriales expuestos a la competencia internacional (ver Fernandes, 2007; Eslava et al., 2004; Eslava et al. 2013); no obstante, el incremento de la productividad dentro del sector industrial no se tradujo en un crecimiento dinámico de la productividad agregada y del PIB. Por otro lado, el cambio estructural observado en Colombia en las últimas décadas es similar al de muchos países de América Latina (ver IADB, 2010). El cambio de la distribución de la mano de obra entre sectores ha beneficiado principalmente al sector de comercio, restaurantes y hoteles, cuya productividad es una de las más bajas (sino la más baja) entre los principales sectores económicos, mientras que la proporción de trabajadores en el sector manufacturero ha disminuido. La combinación de estos tres hechos –incremento sustancial en la productividad del sector manufacturero como resultado de la mayor apertura de la economía, estancamiento de la productividad agregada y cambio estructural desfavorable o poco favorable a ésta– sugiere la interpretación siguiente: la liberalización comercial y la integración comercial creciente de la economía estimularon la productividad de los sectores expuestos a la competencia internacional a través de la restructuración de los mercados, de la racionalización de los procesos de producción o de la innovación. No obstante, estos mecanismos de ajuste también se han traducido en salidas de firmas y despidos de trabajadores, una parte de los cuales se desplazaron a sectores de baja productividad. Así, este trabajo analiza cómo la evolución de la integración comercial en Colombia afectó los desplazamientos de trabajadores hacia sectores de menor productividad con base en microdatos que permiten identificar las transiciones intersectoriales de los trabajadores.
Varias razones legitiman un acercamiento empírico de la relación entre integración comercial y cambio estructural. Para empezar, no existen predicciones unívocas de la teoría económica en cuanto al efecto de una mayor integración comercial sobre el tipo de cambio estructural que resulta1. Las múltiples interacciones potencialmente activadas en la relación entre los dos fenómenos implican que, en función de los supuestos, los modelos teóricos pueden desembocar en predicciones opuestas sobre las características del cambio estructural generado por una mayor integración comercial. Además, en el caso de considerar una descomposición de la actividad económica más compleja que la descomposición canoníca en tres sectores (primario, segundario, terciario) para tener en cuenta la heterogeneidad del sector de servicios, la teoría encuentra aún más dificultades para enunciar predicciones sobre el tipo de reasignación intersectorial del empleo susceptible de suceder tras una mayor integración de un país al comercio internacional. La evidencia empírica sobre la relación entre globalización/comercio internacional y reasignación de los trabajadores entre sectores es escasa. A excepción de las contribuciones de Wacziarg y Wallack (2004) y Menezes–Filho y Muendler (2011), los artículos que tratan de tal reasignación como resultado del comercio internacional se enfocan en subsectores del sector manufacturero. Los resultados de esta investigación contribuyen no solamente a comprender mejor el papel de la integración comercial en la reasignación intersectorial del trabajo, permiten igualmente matizar el diagnóstico acerca del impacto favorable de la liberalización comercial sobre la productividad agregada y abren un espacio de intervención para políticas públicas.
I. Literatura relacionada
De forma directa o indirecta, la teoría económica ha sustentado la existencia de una relación de causalidad entre el comercio internacional y el cambio estructural de la economía desde la época clásica; sin embargo, esta relación no ha sido un objeto de investigación central hasta hace poco. Además, los diferentes modelos teóricos disponibles para analizar el efecto del comercio internacional sobre la reasignación intersectorial del trabajo proponen una multiplicidad de canales de transmisión que dificulta cualquier predicción acerca de dicho efecto. Este artículo recurre a un análisis empírico del efecto del grado de integración comercial de una economía –como proxy de qué tanto dicha economía está de facto abierta– sobre los flujos intersectoriales de trabajadores, con el fin principal de responder a la siguiente pregunta: ¿fueron los flujos de trabajo intersectoriales impulsados por el proceso de inserción creciente de la economía colombiana en la economía mundial favorables, desfavorables o neutros para la productividad agregada?
Como lo resaltan McMillan y Rodrik (2011), la evolución de la productividad agregada de una economía entre dos periodos puede ser descompuesta entre un componente within, correspondiente a la variación de la productividad dentro de cada sector de actividad, y un componente between, que consiste en el cambio de la distribución de los factores de producción entre los diferentes sectores de actividad. Este último componente captura al concepto de cambio estructural. Al aproximar la medición de la productividad agregada por la del factor trabajo, como hacen McMillan y Rodrik (2011) y se hace en este artículo, el componente between corresponde a la variación en la cantidad de trabajadores en cada sector. Los trabajos empíricos que analizan la relación de causalidad entre la globalización (o el comercio internacional) y la reasignación intersectorial del factor trabajo se enfocan esencialmente en los desplazamientos de trabajadores dentro de los sectores transables, y particularmente dentro del sector manufacturero. No tener en cuenta todas las ramas de actividad en el análisis de los flujos intersectoriales de trabajadores conduce a una representación incompleta de las características del cambio estructural atribuible a una mayor apertura de la economía. En particular, no permite determinar si al nivel de toda la economía del país la reasignación de los trabajadores entre sectores es favorable o no a la productividad agregada.
Incluyendo en su análisis los diferentes sectores de la economía, Wacziarg y Wallack (2004) y Menezes–Filho y Muendler (2011) proponen dos formas complementarias de analizar el efecto de políticas de liberalización comercial sobre la reasignación intersectorial de los trabajadores. Wacziarg y Wallack (2004) recurren a datos macroeconómicos sobre 25 países que experimentaron episodios de liberalización comercial entre 1976 y 1994 para identificar el efecto de éstos sobre los desplazamientos de trabajadores entre los diferentes sectores de la economía. No encuentran un efecto significativo de las políticas de liberalización comercial sobre la reasignación intersectorial de los trabajadores. Sin embargo, cabe precisar que en el caso de varios países, el número de años postliberalización para los cuales los autores disponían de datos era limitado. Esto puede constituir una limitación, puesto que la literatura ha evidenciado la lentitud del proceso de ajuste del mercado laboral. Así, Artuç, Chaudhuri y McLaren (2010) y Dix–Carneiro (2011) encuentran con datos de los Estados Unidos y de Brasil, respectivamente, que los desplazamientos de trabajadores inducidos por una liberalización comercial son de magnitud importante, pero la reasignación es lenta debido a los costos incurridos por los trabajadores al cambiar de sector de actividad. Adicionalmente, Wacziarg y Wallack (2004) muestran que, en ciertos países, existe un efecto significativo de la liberalización –positivo o negativo– sobre la reasignación intersectorial del trabajo.
Lo anterior resalta el interés de analizar dicho efecto dentro de un país, como hacen Menezes–Filho y Muendler (2011) para Brasil. Con una metodología distinta basada en microdatos sobre las firmas del sector manufacturero y los trabajadores en Brasil, los autores evidencian un efecto substancial de la liberalización comercial, iniciada en 1990, sobre los desplazamientos de trabajadores entre sectores de actividad. Más específicamente, los autores identifican transiciones de los trabajadores del sector manufacturero a los otros sectores de la economía como resultado de la política de apertura comercial. El presente artículo extiende el análisis de Menezes–Filho y Muendler (2011) sobre los flujos intersectoriales de trabajadores inducidos por una mayor apertura de la economía al determinar si dichos flujos contribuyeron a aumentar o disminuir la productividad agregada. Para ello, se utilizan también microdatos que permiten observar directamente flujos intersectoriales y no deducirlos a partir de cálculos basados en datos agregados como en Wacziarg y Wallack (2004).
En el caso de Colombia se documentó ampliamente que las políticas de apertura comercial implementadas al inicio de los años noventa estimularon la productividad agregada por el canal del componente within, según la terminología de McMillan y Rodrik (2011). En efecto, Eslava et al. (2004; 2013) y Fernandes (2007) evidencian incrementos en la productividad del sector manufacturero tras la liberalización comercial por la reasignación de los recursos y de la producción a favor de las firmas más productivas, la salida de las firmas menos productivas, y el aumento en la productividad de las firmas sobrevivientes. Este artículo complementa estas contribuciones al investigar cómo los flujos intersectoriales de trabajadores, resultantes de la mayor apertura de la economía, afectaron la productividad agregada: si, en neto, estos flujos intersectoriales se hicieron hacia sectores de menor productividad, mitigaron el incremento en productividad debido al componente within; si se hicieron hacia sectores de mayor productividad, lo amplificaron. Eslava et al. (2010) también examinan el efecto de la liberalización comercial del 1991 sobre el desplazamiento de los trabajadores, y encuentran que la apertura comercial y despidos debidos a cierres de plantas alargaron la duración del desempleo. Este trabajo complementa también el de Eslava et al. (2010) puesto que considera otro modo de ajuste del mercado laboral frente al efecto del comercio internacional. La mayor duración del desempleo tras la apertura comercial debería haber desembocado en un aumento de las transiciones intersectoriales. Por último, cabe subrayar que los artículos mencionados anteriormente explotan las variaciones de aranceles resultantes de episodios de liberalización comercial para identificar un efecto del comercio exterior sobre las variables de interés. En este trabajo, la variable de apertura comercial de la economía no es una medida de jure sino de facto que permite capturar un fenómeno que moldea continuamente la economía.
II. Contextualización y estrategia empírica
A. El contexto colombiano
La política comercial constituye un determinante fundamental de la evolución del grado de integración comercial. Por tanto, cabe recordar sus principales inflexiones desde los años ochenta. A principios de la década de 1980, las medidas del gobierno Betancur para contrarrestar los efectos de la apreciación del peso aumentaron el grado de protección de la economía colombiana hasta el año 1984. Luego, un proceso de apertura creciente de la economía colombiana sucedió entre 1985 y 1994 gracias a dos episodios de liberalización comercial, iniciados en 1985 y, sobre todo, en 1990–1991. Cabe mencionar que la liberalización comercial iniciada en 1990 se enmarca en una serie de reformas –en particular del mercado laboral– implementadas con el propósito de flexibilizar la economía colombiana. Las reformas de la política comercial de inicio de los años noventa condujeron a una fuerte caída de los aranceles y de las barreras no arancelarias. La elección del presidente Ernesto Samper en 1994 interrumpió la dinámica de liberalización impulsada por el gobierno anterior, aunque se preservaron las medidas de apertura ya tomadas. El gráfico 1 muestra la evolución de la política comercial a través de las variaciones de los aranceles medios. Allí se evidencia una fase alcista a principios de los ochenta; luego un periodo de reducción continua de los aranceles medios con dos saltos significativos en 1985 (–27%) y entre 1990 y 1992 (–54%); finalmente, se observa una estabilización de los aranceles a partir de 1993. La liberalización comercial de 1990–1991 se tradujo en un aumento sustancial del coeficiente de apertura comercial (ratio de la suma de las exportaciones e importaciones sobre el PIB en dólares constantes): de 22% en 1991 a 38% en 2006 (ver gráfico 2), es decir un aumento de 71% en 15 años. En comparación, el coeficiente aumentó 1,8 puntos porcentuales entre 1980 y 1991.


Tras la liberalización comercial y el aumento subsiguiente del grado de apertura de la economía, ¿cuál fue el desempeño de la economía y sus diferentes ramas de actividad en términos de productividad? y ¿qué tipo de cambio estructural se manifestó en la economía colombiana? Tomando la productividad laboral media (valor agregado sobre personas empleadas) como aproximación de la productividad global de la economía2, el crecimiento de ésta, posterior a la liberalización comercial de 1990–1991, se mostró despreciable. Así, la tasa de crecimiento anual compuesta de la productividad alcanzó apenas 0,5% entre 1991 y 2006. Para cuatro sectores de actividad (Construcción, Comercio Restaurantes y Hoteles, Transporte y Comunicación, Finanzas e Inmobiliario) la tasa de crecimiento de la productividad fue incluso negativa entre 1991 y 2006 (ver gráfico 4). Estos sectores son también los que tuvieron mayor crecimiento de su fuerza laboral (ver gráfico 5): representaban 42% de los ocupados en 2006 contra un tercio 15 años antes. El sector Comercio, Restaurantes y Hoteles se destaca por el crecimiento de su participación en el empleo total (+4,3 p.p.) mientras que es el segundo sector menos productivo (ver gráfico 3). Así, el cambio estructural postliberalización comercial parece poco favorable a la productividad agregada. Cabe notar que la tasa de crecimiento de la productividad más importante fue la del sector manufacturero. Este resultado, consistente con el efecto estimulador de la apertura comercial de 1990–1991 sobre la productividad del sector manufacturero, tiene como contraparte una disminución del personal. En efecto, la participación de este sector en el empleo total fue la que más se contrajo después de la del sector agropecuario3. En este contexto surge la cuestión de la relación entre la mayor integración comercial y la reasignación de los trabajadores hacia sectores de menor productividad.

Nota: agr: Agropecuario; min: Minería; mfg: Industria Manufacturera; pu: Electridad, Gas y Agua; con: Construcción; wrt: Comercio, Restaurantes y Hoteles; tsc: Transporte y Comunicación; fire: Finanzas e Inmobiliario; cspsgs: Servicios Comunales, Sociales y Personales, Administración Pública y Defensa.
Fuente: cálculos del autor con base en datos del DANE.

Nota: agr: Agropecuario; min: Minería; mfg: Industria Manufacturera; pu: Electridad, Gas y Agua; con: Construcción; wrt: Comercio, Restaurantes y Hoteles; tsc: Transporte y Comunicación; fire: Finanzas e Inmobiliario; cspsgs: Servicios Comunales, Sociales y Personales, Administración Pública y Defensa.
Fuente: cálculos del autor con base en los datos del Groningen Growth and Development Centre (10 sectores) y del DANE.

Nota: agr: Agropecuario; min: Minería; mfg: Industria Manufacturera; pu: Electridad, Gas y Agua; con: Construcción; wrt: Comercio, Restaurantes y Hoteles; tsc: Transporte y Comunicación; fire: Finanzas e Inmobiliario; cspsgs: Servicios Comunales, Sociales y Personales, Administración Pública y Defensa.
Fuente: cálculos del autor a partir de la encuesta de hogares del DANE (ECH 2006, trimestre II) y de las tasas de crecimiento de la población ocupada en cada sector de actividad, disponibles en la base de datos del Groningen Growth and Development Centre con 10 sectores.B. Estrategia empírica
1.Metodología
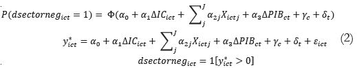
Para determinar el efecto de las fluctuaciones del grado de integración comercial sobre los flujos intersectoriales, se explota la variación en el grado de integración comercial entre departamentos, y se recurren a microdatos que permiten identificar las transiciones intersectoriales de los trabajadores. En primer lugar, se estima el modelo probit dado por la ecuación (1) para encontrar el efecto de los cambios en el grado de integración comercial sobre la ocurrencia de las transiciones intersectoriales.
(1)La variable cambiosectict es una variable indicadora que toma el valor uno si el trabajador i, del área metropolitana c, observado el año t, cambió de sector entre su trabajo anterior y su trabajo actual. La variable ΔIC mide la variación en el grado de integración comercial en el departamento correspondiente al área metropolitana c entre el año de observación y el año del último trabajo. Se puede medir el grado de integración comercial de diferentes formas; la más común es el coeficiente de apertura, pero dados los datos disponibles y los instrumentos utilizados para corregir la endogeneidad del modelo (ver más abajo), se elige el ratio de las importaciones sobre el PIB. Xict es un vector de J características individuales de los trabajadores susceptibles de influir en la probabilidad de que cambien de sector (modelo (1)) o que cambien de sector y terminen en un sector de menor productividad (modelo (2) más abajo). ΔPIBct mide la variación anual del PIB en el departamento asociado al área metropolitana c. ΔPIBct constituye una buena aproximación de las variaciones del ciclo económico de las áreas metropolitanas, dada la preponderancia del PIB de éstas en el PIB departamental. Por último, γc y δt corresponden, respectivamente, a los efectos fijos de área metropolitana y de año.
En segundo lugar, se estiman el modelo econométrico (2) para determinar si los flujos intersectoriales de trabajadores, causados por la evolución del grado de apertura comercial, contribuyeron a aumentar o disminuir la productividad agregada. En el modelo probit dado por la ecuación (2), dsectornegict es una variable indicadora que toma el valor uno si la transición intersectorial del trabajador i, en el área metropolitana c, es tal que la productividad del sector actual es menor que la del sector de origen; toma el valor cero si, al contrario, el sector del trabajo actual es más productivo que el sector del trabajo anterior. Esta variable dicotómica permite determinar si el impacto neto de las transiciones intersectoriales sobre la productividad agregada fue neutro, negativo o positivo. Por ejemplo, si el coeficiente α1 de la ecuación (2) es positivo, la integración comercial induce un flujo neto de trabajadores hacia sectores de menor productividad.
(2)Se estiman los modelos (1) y (2) con la muestra de los trabajadores recién llegados a la empresa (presencia de máximo un año en la empresa). Al enfocarse sobre esta población en cada encuesta de hogares, la estimación de los modelos se lleva a cabo sobre flujos anuales de trabajadores entrantes en su nuevo puesto. Se computan errores estándar robustos a correlaciones entre los residuales de las observaciones dentro de cada área metropolitana para las pruebas estadísticas de significancia. La migración interdepartamental de los trabajadores puede dificultar la estimación de los modelos; sin embargo, dada la relativa baja magnitud del fenómeno de la migración interdepartamental, la imposibilidad de detectar los migrantes en la muestra no debería afectar sensiblemente la estimación de los modelos. Según el DANE (2003), la proporción de personas que migraron entre 1988 y 1993 era de 6,9% y de 8,5% entre 1988 y 2003. En el censo nacional de 2005, la proporción de las personas que vivían en un departamento diferente del actual, cinco años antes, es de apenas el 5%.
La principal dificultad radica en identificar el efecto de las fluctuaciones del grado de integración comercial sobre las transiciones intersectoriales; en los modelos (1) y (2) resulta de la probable endogeneidad de la variable ΔIC por dos causas principales. La primera, por omisión de una variable susceptible de explicar el tipo de transición intersectorial y que esté correlacionada con las variaciones en el grado de integración comercial. Por ejemplo, las reformas de los años noventa, que influyen sobre la flexibilidad del mercado laboral, pueden tener un efecto sobre la probabilidad de transiciones intersectoriales y sobre el indicador de apertura comercial de los departamentos a través de sus diferentes repercusiones sobre la competitividad de las firmas. La segunda fuente principal de endogeneidad resulta del coeficiente de apertura basado en variables cuantitativas del comercio exterior, las cuales están sujetas a error de medición y pueden sufrir de un sesgo de simultaneidad. Por ejemplo, la pérdida de competitividad del sector manufacturero de un departamento puede causar a la vez un incremento en las transiciones intersectoriales y variaciones del grado de apertura de la economía a través de la evolución de las importaciones y exportaciones manufactureras. Para controlar por estas fuentes de endogeneidad, se recurren a dos variables instrumentales: la primera consiste en la variación entre dos periodos (como la variable ΔIC) del componente extranjero del índice de tasa de cambio real departamental (ditcrex); la segunda corresponde a la variación de un indicador de protección comercial de las economías departamentales (dprotec).
El componente extranjero del índice de tasa de cambio real (ITCR) consta de dos variables: el índice de precios de los países–socios comerciales de los departamentos y el índice de tasa de cambio de la divisa de dichos países4. El cálculo de ITCR departamentales no es estándar, por lo cual se averiguó la consistencia de éstos con el ITCR nacional comparando la evolución del promedio de los ITCR departamentales con la del ITCR nacional reportado por el Banco de la República (ver gráfico A2 en el apéndice). Se observa que ambos índices son muy parecidos a lo largo del periodo de observación. El segundo instrumento está basado en la diferencia de un índice de protección comercial a nivel departamental entre los dos mismos periodos. Se deriva el índice de protección del producto entre el nivel de arancel promedio en los diferentes departamentos y la proporción de los sectores agropecuario y manufacturero en el valor agregado del departamento en 1986. El índice de protección efectiva, así calculado, se basa en las diferentes estructuras económicas entre departamentos para inferir un efecto diferenciado de las variaciones en los aranceles sobre el grado de integración comercial de los departamentos. El supuesto subyacente a ambos instrumentos es el siguiente: influyen sobre las fluctuaciones del grado de integración comercial de los departamentos pero no tienen un efecto directo sobre la decisión de cambiar de sector de actividad por parte de los trabajadores.
2. Datos
Para construir las variables dependientes en los modelos (1) y (2), se recurre a las encuestas de hogares que incluyen el módulo de informalidad, pues éste contiene una pregunta sobre la rama de actividad del trabajo anterior que permite identificar las transiciones intersectoriales5. El vector de características individuales incluyen: género, edad, nivel educativo, estado civil, tamaño del hogar, número de hijos menores a tres años, y tiempo transcurrido entre el término del trabajo anterior y el inicio del trabajo actual. Se adiciona, además, una variable de control dicotómica que toma el valor uno si el sitio de trabajo es un local fijo, para capturar en cierta medida la calidad del trabajo.
Dado que la encuesta de hogares con cobertura nacional solo está disponible a partir del año 2000, y teniendo en cuenta que la reasignación de la fuerza laboral subsiguiente a una mayor exposición al comercio internacional es un proceso lento como se evidenció en la literatura, se utilizaron los datos de la encuesta de hogares de las áreas metropolitanas6 para extender el inicio del periodo de observación al año 1986. Aunque el enfoque sobre las grandes áreas metropolitanas limita el alcance de este trabajo a la zona urbana, cabe subrayar que Colombia es un país cuya tasa de urbanización ha sido relativamente alta a lo largo del periodo de observación. Así, según el censo nacional de 1993, 72% de la población colombiana ya vivía en zona urbana ese año.
Debido a la frecuencia del módulo de informalidad y a la supresión de la pregunta acerca del sector anterior en el segundo semestre 2006, la base de datos consta de 14 años de observación entre 1986 y 2006: 1986, 1988, 1990, 1992, 1994, 1996, 1998, 2000 a 2006.
En el modelo (2), la variable dependiente está construida a partir del ranking de las productividades sectoriales en cada departamento en 2006. Esta elección no es problemática en la medida en que el ranking es estable a lo largo del tiempo. Con el fin de clasificar las productividades, se calculó la razón entre el valor agregado y el número de horas trabajadas para cada sector. Dos fuentes de datos fueron utilizadas: las cuentas departamentales publicadas por el DANE, que proveen los valores agregados por ramas de actividad, y la encuesta de hogares nacional del primer y segundo trimestre 20067, de la cual se puede calcular el número de horas trabajadas en cada sector. En lugar de basarse en la productividad media del trabajo para clasificar los sectores, se podría recurrir al nivel promedio de los salarios reales, ya que, en el marco de la teoría neoclásica estándar, la productividad marginal del trabajo es igual al salario real en el equilibrio, y es la productividad marginal la que debe igualarse entre sectores. Sin embargo, siguiendo a McMillan y Rodrik (2011) y De Vries et al. (2012), se usa la productividad media para medir las diferencias de productividad entre sectores. Aunque esta medida presenta inconvenientes al momento de tener en cuenta las diferencias en la intensidad de la utilización de los diferentes insumos en la producción, utilizar el salario como indicador de productividad conlleva igualmente sus limitaciones.
En el plano teórico, la igualdad entre salario y productividad marginal se cumple solamente bajo los supuestos de competencia perfecta en el mercado laboral, lo cual es difícilmente aceptable en países como Colombia, donde el grado de rigidez del mercado laboral es relativamente alto. Adicionalmente, la igualación de la productividad marginal al salario real se fundamenta en el comportamiento maximizador de las firmas. Tal comportamiento caracteriza sobre todo al sector privado de la economía, y no tanto al sector público o parapúblico, en el cual las reglas de fijación de la remuneración suelen depender, en parte, de criterios desconectados de la productividad. Ahora bien, en el caso de funciones de producción de tipo Cobb–Douglas, la productividad marginal es igual a la productividad media multiplicada por la proporción del trabajo en la producción. Si dicha proporción es parecida entre sectores, la productividad media es una buena aproximación de la productividad marginal. Los resultados de Gollin, Lagakos y Waugh (2014) tienden a sustentar que las diferencias en la productividad media entre sectores reflejan diferencias en la productividad marginal al no encontrar una variación substancial de la participación del trabajo en la producción entre el sector agrícola y el sector no agrícola. Así, se asume en este trabajo que las diferencias en la productividad media entre sectores están fuertemente correlacionadas con las diferencias en la productividad marginal. No obstante, dado que la intensidad en capital del sector de Electricidad, Gas y Agua parece ser significativamente más alta que en las otras grandes ramas de actividad, se excluyó este sector del análisis, aunque su inclusión no hubiera afectado sensiblemente los resultados por la baja proporción de los trabajadores ocupados en dicho sector8.
En la tabla 1 se puede observar la heterogeneidad importante en el ranking de los sectores entre departamentos. En efecto, aunque el sector financiero e inmobiliario es el más productivo en todos los departamentos y el sector de Comercio, Restaurantes y Hoteles el menos productivo, existe una variabilidad importante del ordenamiento de los otros sectores entre departamentos. En ciertos casos, la diferencia de productividad entre dos sectores es relativamente baja. Cada vez que la diferencia de productividad entre dos sectores consecutivos en el ranking era menor a 5%, la productividad en los dos sectores se consideró como equivalente para excluir del análisis las transiciones entre sectores de productividad similar9.

Los tres principales flujos netos de trabajadores intersectoriales tienen por sector de origen el sector manufacturero (gráfico 6), y representan el 45% de los flujos netos totales de desplazamiento de los trabajadores entre las seis principales ramas de actividad. Cabe agregar que los tres principales sectores de destino de los trabajadores provenientes del sector manufacturero tienden a presentar una productividad menor que la de éste.

Nota: agr: Agropecuario; min: Minería; mfg: Industria Manufacturera; pu: Electridad, Gas y Agua; con: Construcción; wrt: Comercio, Restaurantes y Hoteles; tsc: Transporte y Comunicación; fire: Finanzas e Inmobiliario; cspsgs: Servicios Comunales, Sociales y Personales, Administración Pública y Defensa.
Fuente: cálculos del autor con base en la encuesta de hogares del DANE.El gráfico 7 representa la evolución de los flujos netos de trabajadores hacia sectores de menor productividad como proporción de los trabajadores que cambiaron de sector de actividad y que fueron reclutados durante el último año. En 1990, año que precede la liberalización comercial, la proporción de los flujos netos de trabajadores hacia sectores de menor productividad cae al mínimo y luego inicia un alza hasta el año 2000, alimentado por el efecto de la crisis a final de los noventa sobre el mercado laboral. Aunque dicha proporción empieza a caer desde 2001, las transiciones intersectoriales negativas siguen superando las transiciones positivas hasta el final del periodo de observación.

Puesto que las variables instrumentales tienen un efecto opuesto sobre las importaciones y las exportaciones, la medición del grado de integración comercial excluye del numerador las exportaciones. Se usaron las cifras del DANE acerca del comercio exterior de los departamentos para computar la proporción de las importaciones no agrícolas ni mineras en el PIB del sector transable de cada departamento10. Esta decisión es motivada, principalmente, por el hecho de que los datos disponibles no incluyen las zonas rurales donde se concentran las actividades agrícola y minera. El gráfico 8 muestra que el comportamiento del coeficiente de penetración de las importaciones en el PIB es similar al del coeficiente de apertura, aunque su varianza es menor.

El gráfico 9 representa la evolución del ratio importaciones/PIB en cada uno de los departamentos asociados a las 10 áreas metropolitanas. Este gráfico muestra una heterogeneidad en la evolución del grado de integración comercial entre departamentos, tanto en nivel como en su variación a lo largo del tiempo. Así, al lado de departamentos con un nivel de integración comercial relativamente alto y una tendencia clara a la alza como Antioquia, Atlántico Bogotá/Cundinamarca o Valle del Cauca, coexisten departamentos poco ''integrados'' y en los cuales el coeficiente de apertura no se caracterizó por una tendencia alcista como en el Meta, Norte de Santander o Santander.

Los diferentes perfiles de departamentos en materia de integración comercial que sobresalen del gráfico 9 parecen influir sobre la reasignación de la fuerza laboral subsiguiente a la liberalización comercial de 1990–1991. En efecto, el gráfico 10 pone en evidencia una correlación negativa entre el grado de integración comercial de los departamentos, que prevalecía en 1989, y el cambio en la participación del sector manufacturero en el empleo total de las áreas metropolitanas entre 1990 y 2006. Tal correlación tiende a validar el escenario de un efecto del comercio internacional sobre la reasignación intersectorial de los trabajadores, a través de los ajustes de las firmas sobrevivientes en el sector manufacturero, que se manifestó particularmente en los departamentos de mayor integración comercial.

III. Resultados
A. Efecto de la evolución del grado de apertura comercial sobre la ocurrencia de las transiciones intersectoriales
En la tabla 2 se presentan los coeficientes de la estimación del modelo probit dado por el modelo (1), recurriendo a los instrumentos descritos anteriormente. La columna (1) de la tabla corresponde a la estimación sobre la muestra de todos los trabajadores que llevan máximo un año en la empresa actual. La columna (2) corresponde a la submuestra de los trabajadores cuyo nivel educativo máximo es secundaria completa, y la columna (3) reúne los que tienen un nivel educativo universitario (completo o incompleto). Los resultados de la estimación indican un efecto positivo significativo de las variaciones en el grado de apertura sobre la probabilidad de que los trabajadores cambien de sector. En efecto, un incremento en una desviación estándar del cambio en el coeficiente de ΔIC aumenta la probabilidad de transición intersectorial en cuatro puntos porcentuales. La magnitud de los otros coeficientes de la columna (1) es sensiblemente inferior a la variable de integración comercial. Cabe resaltar que la variable indicadora mujer y la variable edad están correlacionadas negativamente con la probabilidad de cambiar de sector. Adicionalmente, se observa una correlación heterogénea entre los niveles educativos y dicha probabilidad: los menores niveles educativos (inferiores al nivel de secundaria completa) están asociados con una menor probabilidad de cambiar de sector, mientras que los mayores niveles de educación (secundaria completa en adelante) están correlacionadas positivamente con esta probabilidad. Sin embargo, los resultados de las columnas (2) y (3) ponen en evidencia que las variaciones en el coeficiente de integración comercial solo afectan a los trabajadores menos educados. Esto sugiere que la mayor inserción de la economía en el comercio internacional genera ajustes en la demanda laboral enfocados en los trabajadores menos cualificados, aunque estos trabajadores tienden a cambiar de sector con menos frecuencia que los más educados.

En la tabla A1 del apéndice se presentan los resultados del modelo (1) cuando se recurre al método de estimación lineal de mínimos cuadrados en dos etapas. Este método requiere supuestos menos fuertes y ofrece herramientas para diagnosticar la calidad de los instrumentos. El valor del estadístico F de los dos instrumentos en la primera etapa es significativamente superior a 1011. La magnitud del coeficiente encontrado para el efecto de las variaciones en el grado de integración comercial sobre la probabilidad de cambiar de sector es parecida a la derivada de la especificación probit, y los niveles de significancia son igualmente similares. Para ambas estimaciones, la prueba de Sargan–Hansen no rechaza la hipótesis nula de validez de los instrumentos.
B. Caracterización de la reasignación de la fuerza laboral debida a las variaciones del grado de integración comercial: ¿Impacto sobre la productividad agregada?
En la tabla 3 se presentan los resultados de la estimación del modelo (2), excluyendo solamente el sector de electricidad gas y agua (columna (1)) más los sectores de minería y agropecuaria (columna (2)).

Estos resultados ponen en evidencia un impacto significativo de los cambios en el grado comercial sobre la probabilidad de los trabajadores de experimentar una transición intersectorial hacia un sector de menor productividad. Un cambio en una desviación estándar de ΔIC genera una variación de la probabilidad de dicha transición de más de tres puntos porcentuales. Este efecto es estadísticamente significativo a un nivel de confianza del 5% o menos, según la prueba de significancia esté basada en la distribución T(9) o más restrictivamente, como lo recomiendan Donald y Lang (2007), en la T(7)12 para corregir por el posible sesgo hacia abajo de los errores estándar, debido al bajo número de clusters.
Se observa que la variable indicadora mujer y la edad están positivamente correlacionadas con la probabilidad de desplazarse hacia un sector de menor productividad, pero la magnitud de las correlaciones es relativamente baja. Por otra parte, en comparación con los trabajadores de educación universitaria completa, los trabajadores con educación primaria o inferior (columna (2)) y secundaria (columnas (1) y (2)) están más sujetos a transiciones intersectoriales negativas.
Los resultados de la tabla 4 confirman que la influencia de la evolución del grado de integración comercial sobre las transiciones hacia sectores de menor productividad difiere según el nivel de educación de los trabajadores: incrementa la probabilidad de una transición intersectorial negativa para los trabajadores cuyo nivel de educación no supera el nivel secundario y disminuye la probabilidad de tal evento para los trabajadores de nivel universitario13. Un aumento en una desviación estándar de ΔIC causa un aumento en cinco puntos porcentuales de la probabilidad de un desplazamiento a un sector de menor productividad para los trabajadores menos educados. Tal efecto diferenciado según lo que se podría asimilar al nivel de calificación de los trabajadores es tanto más notable cuanto que no está establecido por la teoría y depende de características idiosincráticas de la economía.

Los resultados de la tabla 4 se ven reflejados en las estadísticas de la tabla 5 y en el gráfico 11, el cual representa la evolución de la proporción de las transiciones intersectoriales negativas en el total de transiciones en cada nivel de educación. La tabla 5 muestra que los trabajadores que experimentaron una transición negativa presentan un nivel educativo más bajo en promedio que los que se desplazaron hacia sectores de mayor productividad. Tomando el año 1986 como año de referencia, se puede observar en el gráfico 11 que en el periodo postliberalización comercial, que coincidió con un aumento substancial en el grado de apertura de la economía, la proporción de transiciones negativas alcanzó niveles superiores al de 1986 en todos (primaria o menos) o casi todos (secundaria incompleta) los años. Al contrario, en el caso de los trabajadores con educación universitaria, la proporción de transiciones negativas estuvo por debajo del nivel alcanzado en 1986 durante este periodo. De esta forma, el gráfico 11 indica un patrón diferente entre los trabajadores más y menos educados, en cuanto a la evolución de las transiciones hacia sectores de menor productividad en el periodo posterior a la liberalización comercial.


La transición intersectorial más frecuente a lo largo del periodo de observación es la del sector manufacturero al sector de Comercio, Restaurantes y Hoteles. Los resultados de la tabla 6 muestran que la evolución del grado de integración comercial contribuyó a aumentar la ocurrencia de las transiciones del sector manufacturero al de Comercio, Restaurantes y Hoteles, mientras que no tuvo un efecto estadísticamente significativo sobre las transiciones del último sector hacia el primero. Los trabajadores con educación secundaria o inferior no son –estadísticamente– más propensos que los con educación universitaria a experimentar una transición del sector manufacturero al sector de Comercio, Restaurantes y Hoteles (columna (1)), pero sí son menos propensos a desplazarse de este último sector al sector manufacturero (columna (2)). Asimismo, los resultados de las columnas (3) y (4) evidencian que el efecto del grado de integración comercial es solamente identificable dentro la población de los trabajadores menos cualificados. Para esta población, un aumento de ΔIC en una desviación estándar conduce a un aumento en 5,7 puntos porcentuales de la probabilidad de una transición del sector manufacturero al sector de Comercio, Restaurantes y Hoteles.

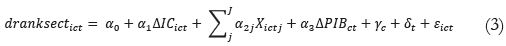
IV. Ejercicios de robustez
En el modelo (2), puesto que la variable dependiente dsectorneg mide los flujos netos de trabajadores hacia sectores de menor productividad, se excluyen los trabajadores que llevan menos de un año en la firma pero que no cambiaron de rama de actividad. La significancia del efecto de la variable ΔIC podría estar condicionada a la exclusión de esta población de la muestra. Para descartar esta posibilidad, se estima el modelo alternativo (3), en el cual la variable dependiente dranksectict corresponde a la diferencia entre el ranking del sector actual y el del sector anterior. Esta variable toma valores positivos en caso de transiciones hacia sectores de menor productividad, negativos en caso de transiciones hacia sectores de mayor productividad y toma el valor cero si el trabajador no cambió de sector. Además de incluir la población de trabajadores que no cambiaron de sector, la especificación (3) presenta dos ventajas: permite una mayor varianza de la variable de resultado, y su variable dependiente incluye, parcialmente, una dimensión de intensidad. Mayores valores de dranksectict tienden a indicar un diferencial de productividad más importante entre el sector de origen y el sector actual.
(3)La estimación del modelo (3) (tabla 7) confirma la significancia estadística del efecto que conlleva la evolución del grado de integración comercial sobre la ocurrencia de las transiciones hacia sectores de menor productividad. Adicionalmente, la tabla 7 confirma también que este efecto es solo identificable dentro de la población de trabajadores menos educados.

Entre los trabajadores que se desplazaron a un sector de menor productividad, algunos que ocupaban un empleo informal consiguieron un trabajo formal. En tal caso, es posible que a pesar de experimentar una transición intersectorial negativa, estos trabajadores hayan terminado en un trabajo más productivo, puesto que, en Colombia, el trabajo informal tiende a ser menos productivo que el trabajo formal. Por esta razón, se comprueba que los resultados se mantienen al excluir de la muestra a los trabajadores que se beneficiaron de una formalización de su trabajo tras una transición intersectorial negativa. Los resultados de la estimación de los modelos (2) y (3), presentados en la tabla 8, muestran que el efecto de la evolución de la integración comercial sobre las transiciones intersectoriales negativas sigue siendo significativo, a pesar de una menor magnitud y una pérdida de precisión del coeficiente estimado. La menor magnitud y precisión del estimador es difícil de interpretar, dado que no se puede comprobar que la población excluida de la muestra se caracterice realmente por un trabajo de mayor productividad que el anterior.

El último ejercicio de robustez está motivado por la siguiente observación: la estimación de los modelos (1) a (3) se basa en los trabajadores recién reclutados, y dentro de esta población a algunos trabajadores les tomó más tiempo que a otros encontrar un nuevo puesto.
Esta heterogeneidad induce una mayor varianza en la variable ΔIC, pero aquellos trabajadores que les tomó más tiempo encontrar un nuevo trabajo pueden presentar características específicas que inflen el efecto de ΔIC. Para averiguar la sensibilidad de los resultados a la inclusión de esta población, se estima de nuevo el modelo (2) con la submuestra de los trabajadores para los cuales el tiempo transcurrido entre el momento en el que se observa el trabajador y el momento de salida del trabajo anterior no excede un año. Asimismo, se computa ΔIC como el cambio en el grado de integración comercial entre el periodo t y el periodo t–1, de tal forma que ya no depende del tiempo gastado en encontrar un nuevo trabajo. Los resultados en la columna (1) de la tabla 9 son similares a los resultados de la tabla 3, tanto en los signos de los coeficientes como en su significancia estadística. De la misma forma, si se incluyen en la muestra a los trabajadores que no cambiaron de sector (columna (2) de la tabla 9), los resultados se mantienen. Igualmente, en la columna (3) donde la variable dependiente corresponde a los flujos netos de trabajadores del sector manufacturero al de comercio, restaurantes y hoteles, la estimación arroja las mismas enseñanzas que la tabla 6. Se observa que los coeficientes estimados de la variable de integración comercial en la tabla 8 son de mayor magnitud que en las estimaciones basadas en la muestra más grande, lo cual sugiere que la relación entre ΔIC y las transiciones intersectoriales es más laxa para aquellos trabajadores que les tomó más tiempo encontrar un nuevo puesto.

Conclusión
Este trabajo caracteriza empíricamente el efecto de la integración comercial creciente en Colombia sobre los flujos intersectoriales de trabajadores. Los resultados evidencian que la mayor integración comercial de la economía colombiana indujo flujos netos de trabajadores hacia sectores de menor productividad, y que tal efecto recayó, esencialmente, sobre los trabajadores menos cualificados. Enfocarse en el sector manufacturero es interesante, pues fue particularmente afectado por las medidas de liberalización comercial. A consecuencia de los ajustes realizados por las firmas del sector frente a estas dichas medidas, la productividad del sector manufacturero creció, pero, en contraparte, su participación en el empleo total disminuyó. Parte de este aumento en la productividad se explicaría por la salida de trabajadores poco o nada cualificados; éstos serían los primeros afectados por los ajustes de las firmas ante la intensificación de la competencia, y también son los que disponen de menores recursos para mantenerse en un sector de actividad en el cual la exigencia de productividad aumenta.
Al efecto negativo sobre la productividad agregada de los flujos netos de trabajadores hacia sectores de menor productividad, se suman los costos de desplazamiento de los trabajadores, ya sea por el desempleo transitorio entre dos trabajos o por la pérdida de capital humano. No se concluye por lo tanto que el efecto global de la mayor apertura económica sobre la productividad agregada sea negativo. En efecto, la literatura evidenció ampliamente el impacto favorable de la apertura comercial sobre la productividad de los sectores transables y, particularmente, del sector manufacturero. Contrarrestar totalmente el incremento de la productividad debido a este efecto within de la apertura implicaría una magnitud de los flujos intersectoriales inducidos y una brecha entre las productividades sectoriales que no parecen caracterizar el caso de Colombia. Por otro lado, cabe resaltar que el presente trabajo no distingue dentro de cada sector de actividad los trabajadores formales de los trabajadores informales. La inclusión de tal distinción en el análisis permitiría diagnosticar con más precisión el efecto de las transiciones intersectoriales sobre la productividad agregada. No obstante, este trabajo permite matizar el diagnóstico acerca del efecto de la integración comercial creciente sobre la productividad agregada.
Por terminar, se puede constatar que los resultados presentados son consistentes con los de Menezes–Filho y Muendler (2011) para el caso de Brasil. Muy posiblemente, existe una problemática común a los países de América Latina en cuanto a la relación entre la apertura económica y los ajustes del mercado laboral. En esta medida, este trabajo podría contribuir a la reflexión, no solamente en Colombia sino también en toda la región, al momento de pensar en formas para optimizar las ganancias de una mayor integración al comercio mundial.
REFERENCIAS
Artuç, Erhan; Chaudhuri, Shubham & McLaren, John (2010). ''Trade Shocks and Labor Adjustment: A Structural Empirical Approach'', The American Economic Review, Vol. 100, No. 3, pp. 1008–1045.
Dix–Carneiro, Rafael (2011). ''Trade Liberalization and Labor Market Dynamics'', WTO Staff Working Paper, ERSD–2011–19. World Trade Organization.
DANE (2003). Evidencia reciente del comportamiento de la migración interna en Colombia a partir de la Encuesta Continua de Hogares. Bogotá: Departamento Administrativo Nacional de Estadística.
De Vries, Gaaitzen; Erumban, Abdul; Timmer, Marcel; Voskoboynikov, Ilya & Wu, Harry (2012). ''Deconstructing the BRICs: Structural Transformation and Aggregate Productivity Growth'', Journal of Comparative Economics, Vol. 40, No. 2, pp. 211–227.
Donald, Stephen & Lang, Kevin (2007). ''Inference with Diference–in–Diferences and Other Panel Data'', The Review of Economics and Statistics, Vol. 89, No. 2, pp. 221–233.
Eslava, Marcela; Haltiwanger, John; Kugler, Adriana & Kugler, Maurice (2004). ''The effects of structural reforms on productivity and profitability enhancing reallocation: evidence from Colombia'', Journal of Development Economics, Elsevier, Vol. 75, No. 2, pp. 333–371.
Eslava, Marcela; Haltiwanger, John; Kugler, Adriana & Kugler, Maurice (2010). ''Trade liberalization and worker displacement: Evidence from trade reforms in Colombia'', Mimeo.
Eslava, Marcela; Haltiwanger, John; Kugler, Adriana & Kugler, Maurice (2013). ''Trade and Market Selection: Evidence from Manufacturing Plants in Colombia'', Review of Economic Dynamics, Vol. 16, No. 1, pp. 135–158.
Fernandes, Ana (2007). ''Trade policy, trade volumes and plant–level productivity in Colombian manufacturing industries'', Journal of International Economics, Vol. 71, No. 1, pp. 52–71.
Gollin, Douglas; Lagakos, David & Waugh, Michael E. (2014). ''The Agricultural Productivity Gap'', The Quarterly Journal of Economics, Vol. 129, No. 2, pp. 939–993.
IADB (2010). The Age of Productivity: Transforming Economies from the Bottom Up. New York: Palgrave Macmillan.
McMillan, Margaret & Rodrik, Dani (2011). ''Globalization, Structural Change, and Productivity Growth'', NBER Working Papers, No. 17143. National Bureau of Economic Research.
Menezes–Filho, Naercio Aquino & Muendler, Marc–Andreas (2011). ''Labor Reallocation in Response to Trade Reform'', NBER Working Papers, No. 17372. National Bureau of Economic Research.
Staiger, Douglas & Stock, James (1997). ''Instrumental Variables Regression with Weak Instruments'', Econometrica, Vol. 65, No. 3, pp. 557–586.
Timmer, Marcel & de Vries, Gaaitzen (2007). ''A Cross–Country Database for Sectoral Employment and Productivity in Asia and Latin America, 1950–2005'', Memorandum GD–98, Groningen Growth and Development Centre Research.
Wacziarg, Romain & Wallack, Jessica Seddon (2004). ''Trade Liberalization and Intersectoral Labor Movements'', Journal of International Economics, Vol. 64, No. 2, pp. 411– 439.
Apéndice



Notas
Notas de autor