Resumen: En el presente trabajo se estima la demanda de agua para uso residencial urbano en la ciudad de Manizales, Colombia, usando un modelo estructural que considera tanto la elección discreta del bloque de consumo como la elección continua sobre la cantidad a consumir. La demanda se estimó econométricamente utilizando una base de datos única para un país en desarrollo y que contiene información completa sobre el consumo mensual de agua, el tamaño del hogar, las características de la vivienda, variables climáticas, precio marginal por bloque de consumo e ingreso virtual para 490 hogares durante el período 1997-2013. Los resultados sugieren que el modelo estructural estimado, además de ser consistente con la maximización de la utilidad, parece ser la mejor aproximación empírica para la estimación econométrica de la demanda de agua para uso residencial urbano. La demanda de agua es inelástica, información que es relevante para la adopción de políticas y la regulación del recurso hídrico en áreas urbanas de Colombia.
Palabras clave: demanda de aguademanda de agua,maximización de la utilidadmaximización de la utilidad,estimación econométricaestimación econométrica,elasticidad precio de la demanda.elasticidad precio de la demanda..
Abstract: The water demand for urban residential use is estimated for the city of Manizales, Colombia, using a structural model that includes both the discrete choice associated with the consumption block and the continuous choice related to the monthly amount of water consumed. The water demand is econometrically estimated using a unique database for a developing country, which contains data on monthly consumption of water, household size, housing characteristics, weather variables, the marginal price of the respective consumption block and the virtual income for 490 households during the period 1997-2013. The results suggest that the estimated structural model is consistent with utility maximization and seems to be the most appropriate empirical approach to estimate econometrically the water demand for urban residential use. Water demand is inelastic, information that is relevant for policy making and the regulation of water resources in urban areas of Colombia.
Keywords: water demand, utility maximization, econometric estimation, price elasticity of demand..
Résumé: Cet article estime la demande en eau à usage résidentiel urbain dans la ville de Manizales, Colombie. Pour ce faire, nous utilisons un modèle structurel qui tient en compte à la fois le choix discret sur la consommation et à la fois le choix continu sur la quantité consommée. La demande est estimée économétriquement en utilisant une seule base de données pour un pays en développement qui contient des informations complètes sur la consommation mensuelle d’eau, la taille des ménages, les caractéristiques du logement, les variables climatiques, le prix marginal de la consommation et le revenu virtuel pour 490 ménages, au cours de la période 1997-2013. Les résultats suggèrent que le modèle structurel estimé, en plus d’être compatible avec maximisation de l’utilité, semble être la meilleure approche empirique de l’estimation économétrique de la demande en eau pour un usage résidentiel urbain. D’après le modèle, la demande en eau est inélastique ce qui constitue une information important pour l’élaboration des politiques et pour la réglementation des ressources en eau dans les zones urbaines de Colombie.
Mots-clés: Demande en eau, maximisation de l’utilité, estimation économétrique, élasticité du prix de la demande..
Artículos
Estimación de la demanda de agua para uso residencial urbano usando un modelo discreto-continuo y datos desagregados a nivel de hogar: el caso de la ciudad de Manizales, Colombia
Estimating water demand for urban residential use using a discrete-continuous model and disaggregated data at the household level: the case of the city of Manizales, Colombia
L’estimation de la demande en eau à usage résidentiel urbain à l’aide d’un modèle discret-continu et des données désagrégé au niveau des ménages: le cas de la ville de Manizales, Colombie
Recepción: 23 Febrero 2015
Aprobación: 08 Agosto 2016
Conflictos por el uso del agua podrían originarse por la asignación in correcta de este recurso entre usos alternativos o entre regiones geográficas (Arbués, García & Martínez 2003; Hartwick & Olewiler, 1998; Worthington & Hoffmann, 2006 y 2008). Dichos conflictos podrían intensificarse por la creciente escasez relativa de agua, su menor calidad, la deficiente gestión de los recursos hídricos (OCDE 2003, 2010), la variabilidad climática debido a la ocurrencia del fenómeno del Niño o la fase cálida del ENSO (por su sigla en inglés), el cambio climático (Hiscock & Tanaka, 2006; IPCC, 2007) y el cre cimiento de la población (Schewe et al., 2014). Una gestión eficiente del agua en un escenario de creciente escasez y aumento de la demanda representa un propósito relevante en países en desarrollo, específicamente en áreas urbanas (MacDonald et al., 2014) de Latinoamérica y el Caribe (BID, 2014).
En las áreas urbanas el interés se centra en la estimación de la deman da de agua para uso residencial, por ser usualmente el uso más importante (Arbués et al., 2003). Aunque existe abundante literatura sobre la estimación de la demanda de agua para uso residencial urbano en países desarrollados (Foster & Beattie, 1979; Al-Qunaibet & Johnston, 1985; Pint, 1999; Nauges & Thomas, 2000; Martins & Fortunato, 2007; Olmstead, Hanemann & Sta vins, 2007; Schleich & Hillenbrand, 2009; Miyawaki, Omori & Hibiki, 2011), son pocos los estudios en Latinoamérica que consideran un sistema de tarifas por bloques crecientes de consumo (BCC), el más usado en países en desa rrollo (Whittington et al., 2015), junto con métodos econométricos que sean consistentes con la elección discreta-continua (bloque de consumo-cantidad) (Jaramillo-Mosqueira, 2005; Medina & Morales, 2007).
En el sistema de BCC la cantidad consumida de agua y el precio se deter minan simultáneamente (Hewitt & Hanemann, 1995; Olmstead et al., 2007), y la restricción presupuestaria del consumidor está constituida por segmentos li neales (Pint, 1999). Tanto la endogeneidad como la restricción por segmentos lineales requieren el uso de métodos econométricos apropiados, los cuales son exigentes tanto en su especificación como en su estimación. Además, se con sidera como apropiado el uso de bases de datos desagregadas a nivel de hogar para la estimación de la demanda de agua (Danielson, 1979), las cuales general mente no están disponibles en países en desarrollo (Nauges & Whittington, 2010). En la estimación econométrica de funciones de demanda de agua se han usado variables instrumentales (Terza & Welch, 1982; Nieswiadomy & Molina, 1989; Schleich & Hillenbrand, 2009), modelos de efectos fijos (Pint, 1999) y modelos de elección discreta-continua (MDC) (Hewitt & Hanemann, 1995; Miyawaki et al., 2011). La literatura más reciente sobre demanda de agua para uso residencial se fundamenta en el uso de MDC (Kleiber et al., 2014).
Usando una base de datos desagregada a nivel de hogar, el presente tra bajo aporta evidencia empírica adicional sobre el uso de MDC para la estima ción econométrica de la demanda de agua para uso residencial en Manizales, Colombia. La demanda de agua se estimó, para el período 1997-2013, con datos de consumo mensual de este recurso, así como el tamaño del hogar, la características de la vivienda (dummy para casa y posesión de lavadora, así como el número de baños), variables de clima (temperatura y precipitación media mensual), precio marginal por bloque de consumo e ingreso virtual de 490 hogares de la ciudad de Manizales. Los resultados de esta investigación constituyen información valiosa para la adopción de políticas y regulación del recurso agua en áreas urbanas de Colombia, donde el sector residencial cons tituye el segundo mayor consumo de agua luego de la producción agrícola, y la oferta de agua muy probablemente se podría reducir por la ocurrencia de El Niño (IDEAM, 2015).
La literatura existente sobre estimación de modelos de demanda de agua para uso residencial urbano reporta el uso de distintas técnicas econométricas. Se han usado mínimos cuadrados ordinarios (MCO), mínimos cuadrados ge neralizados (MCG), mínimos cuadrados en dos y tres etapas (MC2E y MC3E), estimaciones no lineales y de variable instrumental (VI) (Terza & Welch, 1982; Nieswiadomy & Molina, 1989; Schleich & Hillenbrand, 2009). Para datos de panel se han aplicado MCO, MCG, máxima verosimilitud (ML), MC2E y mo delos de efectos mixtos (Billings & Agthe, 1980; Chicoine & Ramamurthy, 1986; Pint, 1999; Martínez-Espiñeira, 2002). Para datos de series de tiempo se han usado modelos autorregresivos vectoriales y técnicas de cointegración (Martínez-Espiñeira, 2004); también se ha usado el MDC (Hewitt & Hane mann, 1995; Olmstead et al., 2007; Miyawaki et al., 2011). Algunos modelos se han estimado con observaciones de consumo de agua agregados por ciudad, y pocos se han estimado usando observaciones a nivel de hogar. Aunque datos desagregados a nivel de hogar parecen ser los adecuados para la estimación de la demanda (Danielson, 1979), éstos generalmente no están disponibles en países en desarrollo (Nauges & Whittington, 2010).
En un sistema de tarifas BCC la cantidad consumida de agua y el precio se determinan simultáneamente, y la restricción presupuestaria del consumidor está constituida por segmentos lineales (Hewitt & Hanemann, 1995; Hewitt & Hanemann, 1995; Pint, 1999; Olmstead et al., 2007). Por tanto, para deri var las funciones de demanda se requiere el uso de métodos econométricos apropiados, los cuales podrían ser exigentes tanto en su especificación como en su estimación (Moffitt, 1986). El MDC se empleó para analizar el efecto de un impuesto al ingreso sobre la oferta de trabajo (Burtless & Hausman, 1978), y la primera aplicación a demanda de agua fue realizada por Hewitt & Hanemann (1995). Desde entonces otros autores, aunque pocos, han usado el MDC para estudiar la demanda de agua para uso residencial urbano (Pint, 1999; Rietveld, Rouwendal & Zwart, 2000; Olmstead et al., 2007; Olmstead, 2009; Miyawaki et al., 2011; Baerenklau, Schwabe & Dinar, 2014). En Lati noamérica, solo Jaramillo-Mosqueira (2005) y Medina & Morales (2007) lo han hecho.
El consumo de agua para uso residencial urbano considera como determi nantes de la demanda tanto el ingreso como el precio (Moncur, 1987; Dandy, Nguyen & Davies, 1997; Gaudin, Griffin & Sickles, 2001; Arbués et al., 2003; Worthington & Hoffmann, 2006; Olmstead et al., 2007). La demanda tam bién podría estar influenciada por variables demográficas de los hogares co mo cantidad de personas que los conforman y número de hombres y mujeres; variables relacionadas con características de la vivienda como antigüedad, nú mero de cuartos de baño, tamaño del lote, área de la construcción; y variables de clima como temperatura y precipitación (Danielson, 1979; Foster & Beat tie, 1979; Nieswiadomy & Molina, 1989; Espey, Espey & Douglass, 1997; Hanemann, 1998; Höglund, 1999; Arbués et al., 2003; Dalhuisen et al., 2003; Olmstead et al., 2007; Worthington & Hoffman 2008; Sebri, 2014). Con ex cepción de la demanda de agua para consumo humano, la demanda para uso residencial es una demanda derivada del uso de bienes y servicios que necesi tan este recurso, específicamente lavadoras y uso de baños (Olmstead et al., 2007).
Los estudios de agua para uso residencial urbano tienen como objetivo principal estimar la función de demanda y calcular las elasticidades corres pondientes, las cuales constituyen información relevante para el diseño e im plementación de políticas adecuadas para la gestión del agua (Sebri, 2014). La evidencia empírica sugiere que la elasticidad ingreso de la demanda es menor que uno pero no cero (Moncur, 1987; Dandy et al., 1997; Gaudin et al., 2001), mientras es inelástica en precio (Espey et al., 1997; Arbués et al., 2003; Wort hington & Hoffmann, 2006), aunque no perfectamente inelástica y que el cli ma podría también explicar variaciones en la demanda de agua (Dandy et al., 1997; Pint, 1999). Una elasticidad precio de la demanda promedio de −0,51 se obtuvo en un metaanálisis en el que se incluyeron 124 valores estimados de elasticidad en el período 1963-1993 (Espey et al., 1997). Otro metaanálisis con casi 300 valores estimados de elasticidad en el período 1963-1998 reportó un valor medio de elasticidad precio de la demanda de −0,41 (Dalhuisen et al., 2003). La estimación de un MDC con una excepcional base de datos de Esta dos Unidos y Canadá, y un sistema BCC, arrojó un valor de elasticidad precio condicionada al bloque en que se observó el consumo de −0,59, mientras la elasticidad no condicionada fue −0,33 (Olmstead et al., 2007). Un MDC tam bién se usó en estudios empíricos de demanda de agua para uso residencial en México y Colombia, arrojando valores de elasticidad precio condicionada al bloque de consumo de −0,22 (Jaramillo-Mosqueira, 2005) y −0,24 (Medina & Morales, 2007), respectivamente. Baerenklau et al. (2014) utilizaron datos de California para estimar un MDC para el período 2003-2011, y reportaron una elasticidad precio de −0,58. La evidencia empírica sugiere que la demanda de agua para uso residencial es inelástica. Excepciones son Rietveld et al. (2000), quienes usaron un MDC y obtuvieron una elasticidad precio de −1,28 en In donesia, y Miyawaki et al., (2011) quienes obtuvieron una elasticidad precio de −1,61 en la estimación de la demanda de agua residencial en Japón para el período 2006-2007, pero usando un modelo de efectos aleatorios basado en una elección discreta continua.
En este trabajo se usó una forma funcional log-log de la demanda de agua para uso residencial urbano, la cual suele ser la forma estimada en anteriores estudios y permite comparar los resultados obtenidos con estudios empíricos previos. La función de demanda estimada fue:
[1]donde ω es la demanda de agua; Z es una matriz que contiene la informaciónsobre características del hogar, la vivienda y variables de clima; p es el precioal que se enfrenta cada hogar y
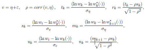
es el ingreso virtual o el ingreso mensualdel hogar ajustado por la diferencia de Nordin (Nordin, 1976). El términode error η denota la heterogeneidad de los consumidores, mientras que π re presenta error de optimización, equivalente a la diferencia entre el consumoobservado y el consumo óptimo, que en estudios de demanda de agua po dría explicarse por la existencia de fugas en los sistemas de provisión de esta.Los términos de error se asumen independientes con media cero y varianza ση2y σε2, respectivamente. Los parámetros a estimar son {δ, β, γ} (Burtless & Hausman, 1978; Moffitt, 1990; Olmstead et al., 2007). El sistema de tarifas delagua en la ciudad de Manizales consiste en dos BCC. Por tanto, el consumo deagua de un hogar podría ubicarse en el primer bloque, en el segundo bloque o el punto donde cambia la pendiente de la restricción presupuestaria o kink point. Basado en Olmstead et al., (2007) las posibles decisiones de consumose representan por la ecuación (2), donde ω? denota el consumo óptimo en un bloque de consumo y ω1 denota el consumo en el kink point.
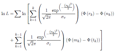
[2]Los parámetros de la ecuación (1) se estiman al maximizar el logaritmo de la función de verosimilitud representada por la ecuación (3) (Olmstead et al., 2007), en la cual la primera sumatoria corresponde al consumo en los K segmentos lineales de la restricción presupuestaria y la segunda al consumo en K − 1 kink points; Φ(·) representa la función de distribución acumulada de una variable normal estándar.

Donde,

El municipio de Manizales, Colombia, está ubicado en la región centro-occidente de la región andina del país. Tiene una superficie total aproximada de 392 km2, de los cuales el 92 % (360 km2) corresponde a la zona urbana y 8 % (31 km2) a la zona rural. Manizales tiene 11 sectores y 7 corregimientos (Alcaldía de Manizales, 2012), correspondientes a divisiones político adminis trativas definidas por el Instituto Geográfico Agustín Codazzi (IGAC). Las principales actividades económicas del municipio son el comercio, los ser vicios, la agricultura y ganadería y, en menor proporción, la industria. En el municipio se encuentran instaladas aproximadamente 12.504 empresas; 57 % de los establecimientos están dedicados al comercio, 17 % a hotelería y res taurantes, y 7 % a la industria manufacturera (Alcaldía de Manizales, 2012). La población de Manizales en el año 2014 fue 369.981 (Departamento Adminis trativo Nacional de Estadística -DANE-, 2011), con una tasa de crecimiento muy cercana a cero (Alcaldía de Manizales, 2012). La población mayor de 60 años es cada vez más abundante, mientras la población infantil tiende a dis minuir. La empresa Aguas de Manizales S.A.E.S.P. es una empresa de capital mixto, constituida bajo la forma de sociedad por acciones. En enero de 2014 la empresa tenía 89.467 suscriptores para uso de agua residencial urbano, de los cuales 61.074 corresponden a estratos uno, dos y tres y reciben subsidios; 14.497 pertenecen a estrato cuatro o de referencia para el establecimiento de las tarifas de agua y 13.946 corresponden a estratos cinco y seis, los cuales hacen contribución según el criterio de solidaridad vigente en la legislación colombiana. Para el año 2013 la cobertura del servicio de agua potable en Manizales fue del 99 %, la continuidad del servicio del 100 % y el agua no contabilizada el 25 % (Aguas de Manizales, 2013).
La información sobre características del hogar y de la vivienda se reco lectó mediante una encuesta. Para el cálculo del tamaño de la muestra se usó el consumo de agua mensual por suscriptor y su varianza de series de con sumo de agua por estrato publicados por la Superintendencia de Servicios Públicos, asumiendo un error de muestreo de 0,3 m3 mensual de agua por estrato y vivienda, y un nivel de confianza del 95 %. El tamaño de la mues tra fue de 490 suscriptores. La consolidación de la base de datos se realizó entre febrero y mayo de 2014. El tamaño de la muestra se calculó con el mé todo de muestreo aleatorio simple para poblaciones finitas (Bartlett, Kotrlik & Higgins, 2001). La información sobre consumo medido de agua y tarifas fue proporcionada por Aguas de Manizales S.A.E.S.P., para el período 1997 2013. En el Gráfico 1 se presentan todos los consumos observados para los 490 hogares encuestados para el período señalado. En el Gráfico 2 se presen ta el consumo histórico de agua para un consumidor representativo para cada estrato socioeconómico, durante el mismo período.
La información de clima fue proporcionada por el Instituto de Estudios Ambientales de la Universidad Nacional de Colombia (IDEA), Sede Maniza les. La información proviene de la compilación y procesamiento de registros históricos mensuales de estaciones climáticas ubicadas en la zona urbana de la ciudad de Manizales. Para la variable precipitación se usaron los registros de 25 estaciones, y la superficie continua de valores se obtuvo mediante métodos de kriging. Para la variable temperatura se usaron los registros de siete estacio nes y modelos de interpolación lineal en función de la altitud. Los datos de altitud se obtuvieron de un modelo de elevación digital del terreno propor cionado por el Servicio Geológico de Estados Unidos (USGS por sus siglas en inglés). Los valores de precipitación presentaron mayor variabilidad tem poral si se compara con los valores de temperatura. La variabilidad espacial y temporal de la temperatura y precipitación en la ciudad de Manizales facilitó la inclusión de estas variables en la estimación de las demandas.

La selección de las variables explicadoras de la demanda de agua para uso residencial urbano se realizó con base en lo reportado por estudios empíricos previos (Espey et al., 1997; Dalhuisen et al., 2003; Arbués et al., 2003; Olms tead et al., 2007; Worthington & Hoffman 2008; Sebri, 2014), y se presentan en la Tabla 1.

La variable diferencia de Nordin (Nordin, 1976) denotada por dk se define como la diferencia entre el costo de consumir una cantidad de agua pagando todas las unidades de consumo al mismo precio marginal y lo que se paga como resultado del sistema de tarifas en bloques de consumo. Para el cálculo de dk para cada hogar se usó la ecuación (4):
[4]donde wj es el límite superior del bloque de consumo o kink point y pj y pj+1 denotan los precios marginales en el j-ésimo y j +1-ésimo bloque de consumo, respectivamente. El cargo fijo podría considerarse como el costo de conexión al servicio de provisión de agua y no se incluye como argumento en la función de demanda. El valor de dk puede ser positivo o negativo, y depende del cargo fijo, del sistema de tarifas por bloques crecientes o decrecientes y del bloque de consumo observado. Si dk es positiva se considera un subsidio que se agrega al ingreso, y si es negativa se considera una suma única que se deduce del ingreso (Hewitt & Hanneman, 1995).

En la Tabla 2 se presentan los resultados econométricos de la estimación del MDC para una función de demanda log-log de agua para uso residencial urbano en Manizales, para el período 1997-2013. Los coeficientes estimados del ingreso mensual ajustado por la diferencia de Nordin
y el coeficiente del precio (p) fueron estadísticamente significativos. El signo del coeficiente estimado de ingreso fue positivo, consistente con el supuesto de considerar el agua como un bien normal. El signo del coeficiente del precio fue negati vo y es consistente con la teoría económica. La curva de demanda estimada usando el MDC y valores medios de las variables explicadores se presenta en el Gráfico 3.


* Se estimó el MDC con la inclusión de otras variables. Algunas de ellas fueron: aquellas rela cionadas con el número de personas en el hogar con educación por lo menos equivalente a básico medio; variables representando la presencia de niños y adultos mayores en el hogar; una variable dummy de ahorro de agua; una variable dummy con valor de 1 para hogares que reutilizaron agua; y una variable dummy para los hogares de los estratos que recibieron sub sidios. Las variables no fueron estadísticamente significativas y por ello no se incluyeron en el modelo final. Las funciones de demanda también se estimaron por MCO y con un mo delo de efectos fijos, obteniéndose un signo positivo del coeficiente estimado de la variable precio, lo cual no es consistente con la teoría económica. También se estimó un modelo de efectos aleatorios, obteniéndose un valor de elasticidad precio de la demanda de −8,38, cuyo valor no parece ser razonable. No se utilizó VI por la dificultad de seleccionar instrumentos correctos con la estructura del sistema de tarifas, como lo expresan Nieswiadomy & Molina (1989).
El coeficiente estimado de la variable precio fue -0,10 y corresponde a la elasticidad condicionada al bloque de consumo. Por tanto, la demanda de agua para uso residencial urbano en Manizales es inelástica. Este resultado es consistente con estudios previos de demanda de agua que usaron el MDC (Jaramillo-Mosqueira, 2005; Olmstead et al., 2007; Medina & Morales, 2007; Baerenklau et al., 2014), y podría explicarse por la inexistencia de sustitutos cercanos del agua (Foster & Beattie, 1979; Savenije & van der Zaag, 2002; Arbués et al., 2003; Worthington & Hoffmann, 2006) y por el uso del agua para satisfacer necesidades tan básicas como la preparación de alimentos o el consumo humano (Savenije & van der Zaag, 2002). En países con ingresos per cápita altos en Europa, Schleich & Hillenbrand (2009) sugieren que la baja sensibilidad de los hogares ante cambios en los precios del agua se debe prin cipalmente a que el gasto de un hogar en el servicio de provisión de agua es muy bajo en comparación con los gastos totales del hogar.
La elasticidad ingreso en el modelo MDC fue 0,05, consistente con la evi dencia empírica que sugiere un valor bajo de elasticidad ingreso de la demanda en las estimaciones de demanda de agua para uso residencial (Chicoine & Ra mamurthy, 1986; Moncur, 1987). El resultado obtenido en esta investigación es similar al valor de elasticidad ingreso reportado por Baerenklau et al. (2014), quienes estimaron un MDC en Estados Unidos para el período 2003-2011. El resultado para Manizales es similar a 0,02, que fue el valor de elasticidad in greso de la demanda obtenido con un MDC en México (Jaramillo-Mosqueira, 2005). No obstante, el resultado difiere del 0,17 obtenido en Estados Unidos y Canadá (Olmstead et al., 2007), y del 0,14 reportado por Medina & Morales (2007) para Colombia.
Las variables de características del hogar y la vivienda en los modelos correlacionaron positivamente con la demanda de agua (Tabla 2). En la Tabla 3 se presenta el cambio porcentual en el consumo mensual de agua ante un cambio unitario en las variables de características del hogar, la vivienda y el clima en la ciudad de Manizales Los resultados sugieren que la demanda de agua en una casa es mayor en ~34 % si se compara con el consumo en un apartamento (Tabla 3). El mayor consumo de agua en casa podría explicarse por un mayor consumo de agua para uso discrecional, específicamente el uso asociado con el lavado de patios y el riego de jardines. Un total de 161 hogares encuestados (~33 %) que habitaban una casa reportaron el uso de agua para el lavado de patios. El consumo promedio mensual de agua de los hogares encuestados que residían en casas y que usaron agua para el lavado de patio fue de 16,11 m3, lo cual es mayor a 14,86 m3, que corresponde al consumo promedio de agua en casas que no usaron agua en este uso discrecional.

Al aumentar en uno el número de baños y el número de ocupantes en una vivienda, la demanda de agua se incrementa 3 y 1 %, respectivamente (Tabla 3), lo que es explicado, posiblemente, por un mayor consumo de agua para uso no discrecional, específicamente preparación de alimentos y aseo personal. En estudios previos que usaron el MDC se obtuvieron signos positivos en los coeficientes de las variables número de ocupantes del hogar y número de baños, como ocurrió en Estados Unidos y Canadá (Olmstead et al., 2007), México (Jaramillo-Mosqueira, 2005) y Colombia (Medina & Morales, 2007). Finalmente, la posesión de lavadora aumenta la demanda de agua en '10 % (Tabla 3).
Se obtuvo un signo negativo para las variables de clima temperatura y precipitación media mensual. La demanda mensual de agua disminuye ~2% y ~0,03 % por un incremento de 1°C y 1 mm en la temperatura y la preci pitación, respectivamente (Tabla 3). Los resultados de las variables de clima indican que en los períodos que aumenta la temperatura, en los cuales tam bién suele presentarse poca precipitación, el consumo de agua es menor. El resultado se podría explicar al asumir que la temperatura y la precipitación influencian más el uso discrecional del agua que el no discrecional. En un es tudio realizado en el norte de España en el que se usó un modelo de efectos fijos, las variables de clima mensuales fueron estadísticamente significativas, pero sus respectivos coeficientes fueron de baja magnitud. Se concluyó que el clima no fue un determinante de la cantidad demandada de agua porque el consumo discrecional no fue significativo con respecto al consumo total (Martínez-Espiñeira, 2002). En general, la demanda discrecional de agua tien de a ser menos inelástica que la demanda no discrecional, en la que el agua se usa para satisfacer necesidades básicas (Savenije & van der Zaag, 2002; Martínez-Espiñeira & Nauges, 2004).
En Manizales, un aumento en la temperatura podría disminuir el uso dis crecional del agua, que se relaciona con una menor frecuencia del lavado de patios en las casas, el tipo de vivienda que prevalece en la ciudad. El resultado de la variable temperatura difiere de la relación positiva encontrada entre tem peratura y consumo de agua reportada en trabajos empíricos previos (Foster & Beattie, 1979; Espey et al., 1997; Dalhuisen et al., 2003; Olmstead et al., 2007; Worthington & Hoffman 2008; Sebri, 2014) que fueron realizados en países con estaciones climáticas, y en los cuales las variables de clima fue ron utilizadas para el control de la estacionalidad en el consumo de agua. El consumo en verano se asocia principalmente al consumo no discrecional co rrespondiente al mantenimiento de jardines. Resultados previos sugieren que la demanda de agua es más elástica en verano, lo cual se explica por la mayor variabilidad en el consumo de agua no discrecional. Un trabajo en California en el que se estimó un MDC usando datos de 599 hogares, durante el período 1982-1992, reportó elasticidades precio de la demanda en valor absoluto en el rango 0,02-1,24, con el mayor valor de elasticidad observado en verano (Pint, 1999).
El signo negativo del coeficiente de la variable precipitación sugiere que cuando llueve más los hogares usan una menor cantidad de agua proporciona da por la empresa Aguas de Manizales S.A. E.S.P. Es decir, una mayor cantidad de precipitación implicaría un aumento de la adquisición del agua de fuentes alternas. En Manizales, aproximadamente 11 % de los hogares encuestados reportaron la recolección de agua lluvia como fuente alterna de suministro de agua, usada fundamentalmente en el mantenimiento de los jardines y el lavado de patios. Un estudio previo en el que evaluó la respuesta del consumo diario de agua a cambios en variables de clima (Maidment & Miaou, 1986) concluyó que la influencia de la precipitación está determinada por la ocurrencia de un evento de lluvia y por su magnitud. Según Maident y Miaou (1986) y Miaou (1990) la precipitación inicialmente reduce la demanda de agua, pero su efec to disminuye con el tiempo; ello podría ser consistente con el argumento de Schleich y Hillenbrand (2009) sobre la importancia de la variación temporal de la precipitación en la demanda de agua para uso residencial.
Finalmente, en el modelo MDC los errores fueron estadísticamente sig nificativos. La especificación del modelo MDC que tiene en cuenta dos tér minos de error es intuitivamente más plausible, dado que los investigadores podrían no observar todas las características relevantes de las viviendas y los hogares para la estimación de la demanda de agua, y que es muy probable que los hogares no controlen de manera eficiente su consumo de agua (Pint, 1999). La magnitud del error de optimización fue mayor que la magnitud del error relacionado con la heterogeneidad de las preferencias. Los resultados del error de optimización podrían estar relacionados con las pérdidas técni cas y no técnicas de agua, que se asocian principalmente con las fallas en la red de transporte, las conexiones y el sistema de distribución de agua. Ello es consistente con un valor reportado de pérdidas técnicas y no técnicas de aproximadamente 25 % en la ciudad de Manizales para el año 2013 (Aguas de Manizales, 2013). Según el error de preferencias, los hogares encuestados en Manizales podrían ser un tanto homogéneos en sus preferencias con respec to a la demanda de agua para uso residencial. En estudios previos que usaron el MDC las magnitudes de los errores fueron contrarias a las obtenidas en Manizales; es decir, la magnitud del error de preferencias fue mayor que la magnitud del error de optimización (Hewitt & Hanemann, 1995; Jaramillo-Mosqueira, 2005; Olmstead et al., 2007; Medina & Morales, 2007; Rietveld et al., 2000; Miyawaki et al., 2011; Baerenklau et al., 2014).
Los estudios de agua para uso residencial urbano se suelen centrar en la estimación de funciones de demanda y sus correspondientes elasticidades. En la ciudad de Manizales, Colombia, la demanda de agua para uso residencial se estimó usando un modelo estructural que considera tanto la elección discreta del bloque de consumo como la continua sobre la cantidad a consumir. La demanda se estimó econométricamente utilizando información de 490 hoga res sobre el consumo mensual de agua, el tamaño del hogar, las características de la vivienda (dummy para casa y la posesión de lavadora, así como el número de baños), variables de clima (temperatura y precipitación media mensual), precio marginal por bloque de consumo e ingreso virtual, para el período 1997-2013. Las variables de características del hogar y la vivienda correla cionaron positivamente con la demanda de agua, mientras que las variables de clima correlacionaron negativamente. La demanda de agua resultó inelás tica en precio, lo cual es consistente con lo reportado en estudios previos que usaron el MDC y bases de datos con información a nivel de hogar. Los resultados sugieren que el modelo estructural estimado, además de ser con sistente con la maximización de la utilidad, parece ser la mejor aproximación empírica para la estimación econométrica de la demanda de agua para uso re sidencial urbano, si se compara con estimaciones econométricas alternativas como MCO o modelos de efectos fijos o aleatorios. Por tanto, la información provista por el modelo es relevante para la adopción de políticas y regulación del recurso del agua en áreas urbanas de Colombia. Futuras investigaciones deberían separar el consumo de agua discrecional del no discrecional, para así evaluar su correspondiente elasticidad precio de la demanda y verificar la hipótesis que plantea que las variables de clima influencian principalmente la demanda de agua para uso discrecional. Finalmente, en el presente trabajo se utilizó información promedio mensual de las variables de clima temperatura y precipitación, pero sería deseable usar valores máximos cuando éstos estén disponibles.





