Artículos
Globalización y desigualdad: evidencia en América Latina
Globalization and income inequality: evidence for Latin America
La mondialisation et l’inégalité: une étude pour l’Amérique latine
Globalización y desigualdad: evidencia en América Latina
Lecturas de Economía, núm. 87, pp. 9-33, 2017
Universidad de Antioquia
Recepción: 13 Mayo 2016
Aprobación: 27 Diciembre 2016
Resumen: Este artículo investiga la relación entre globalización y desigualdad en doce economías latinoamericanas durante el periodo 2000-2013 mediante análisis de datos de panel. Con base en la importancia que da la literatura a la estructura de una economía, se dividieron los países según niveles de corrupción, educación, tamaño del país y apertura comercial. Los resultados sugieren que la apertura de mercado genera una disminución de la desigualdad, mientras que la inversión extranjera la aumenta. Estructuralmente, los países con mayor corrupción, mayor apertura de mercado y mayor tamaño aprovechan mejor las ventajas de la globalización con el fin de disminuir la desigualdad
Palabras clave: desigualdad, datos de panel, globalización financiera, inversión extranjera directa.
Abstract: This study explores the relationship between globalization and income inequality in twelve Latin American economies during the period 2000-2013 using panel data analyses. Based on the importance that the literature gives to a country’s structure, the sample is grouped according to corruption levels, educational attainment levels, gross domestic product (GDP) and trade openness. The results show that higher trade openness generates a decrease in income inequality, while higher foreign direct investment increases it. Countries characterized by higher levels of corruption, trade openness and GDP take better advantage from globalization to decrease income inequality.
Keywords: income inequality, panel data, financial globalization, foreign direct investment.
Résumé : Cet article étudie la relation entre la mondialisation et l’inégalité dans douze pays d’Amérique latine au cours de la période 2000-2013, en utilisant l’analyse des données de panel. Sur la base de l’importance accordée dans la littérature à la structure d’une économie, les pays ont été divisés par leurs niveaux de corruption et d’éducation, ainsi que par leurs tailles et leurs niveaux d’insertion dans le commerce international. Les résultats suggèrent que l’insertion dans le commerce international entraîne une diminution des inégalités, alors qu’elles augmentent avec l’investissement étranger. Enfin, nous montrons que les pays plus grands, avec plus de corruption et plus insérés au commerce international, profitent mieux de la mondialisation afin de réduire leurs inégalités.
Mots-clés: inégalité, données de panel, mondialisation financière, investissement étranger direct.
Introducción
“Es simplemente imposible revertir la penuria económica de los pobres a lo largo y ancho del mundo, manteniéndolos al margen de los avances de la tecnología contemporánea, la probada eficiencia del intercambio y el comercio internacionales y los beneficios sociales y económicos que se derivan de una sociedad abierta. El problema central reside en cómo hacer uso de las ventajas que encierran el intercambio económico y el progreso tecnológico, de tal manera que la atención se centre en los intereses de los explotados y los marginados” (Sen, 2001).
En general, la desigualdad en los ingresos puede aumentar debido a los cambios que afectan a la oferta laboral (la inmigración, el trabajo temporal, el salario mínimo, los sindicatos, etc.) y a la demanda de trabajo (tales como la apertura de mercado de capitales, la subcontratación, cambios tecnológicos, etc.) (Alderson, Beckfield & Nielsen, 2005). Por otra parte, la globalización es un fenómeno multidimensional que se logra a través de una gama de diferentes procesos. Sus principales impulsores son la liberación del comercio, la apertura financiera y los movimientos de capital, las tecnologías de la información y la migración (Asteriou, Dimelis & Moudatsou, 2014). El rápido crecimiento de la globalización en las últimas décadas, ha dado lugar a un creciente debate sobre sus implicaciones para la desigualdad y la distribución de los ingresos entre países (Giovanni et al., 2008). A pesar de esto, no existe suficiente evidencia empírica con respecto a que la globalización haya contribuido al aumento de la desigualdad en los países en vías de desarrollo, incluidos entre ellos los países de América Latina (Giovanni et al., 2008; Beck, Demirgüç-Kunt & Levine 2007; Goldberg & Pavcnik, 2007).
Basado en el estudio aplicado en el contexto de Europa por Asteriou et al. (2014), se busca encontrar una relación empírica entre la desigualdad y distintas métricas de globalización en 12 economías de América Latina1. Para ello se estima un modelo de panel de datos con los países analizados. Dada la heterogeneidad de estas economías, se lleva a cabo el análisis en subgrupos elegidos en base a: países con mayor y menor corrupción, países con mayor y menor puntaje en la prueba PISA2, países con menor y mayor tamaño, y países con mayor y menor apertura de mercado.
Esta investigación se diferencia de la literatura existente, principalmente, en que se centra en los efectos de la globalización comercial y financiera, y no en el crecimiento o la pobreza, que han sido ampliamente abordados en la literatura (Bertola & Ocampo, 2010). Con esto, se contribuye a tener una mayor y más actualizada visión sobre la desigualdad en América Latina, la cual puede ser de gran utilidad para economistas, políticos, gobernantes y cualquier persona interesada en la realidad de estos países; en particular, para los legisladores y ministros en la elaboración de leyes y políticas que busquen reducir la desigualdad.
Para empezar, en la sección I, se hará una revisión bibliográfica sobre la desigualdad y se revisarán estudios realizados sobre las diferentes componentes de la globalización. En la sección II se planteará el modelo propuesto. A Continuación se darán a conocer los resultados obtenidos y, finalmente, se presentará una conclusión sobre estos.
I. Revisión de literatura
Los países de América Latina tienen la peor distribución del ingreso del mundo (Bertola & Ocampo, 2010). La primera globalización y la crisis de la deuda de los años 1980 han generado efectos distributivos desfavorables para los países latinoamericanos, como también lo han hecho los impactos iniciales de la liberalización económica de fines del siglo XX. De hecho, y pese a la mejora distributiva de comienzos del siglo XXI, en varios países latinoamericano el nivel promedio de desigualdad sigue siendo peor que el de 1980 (Bertola & Ocampo, 2010).
En la Tabla 1 se puede ver una disminución al 2009 de la desigualdad entre el siglo XIX y principios del siglo XX, pero aún sigue siendo alta comparada con los países de la Unión Europea (0,31) y países desarrollados como Noruega (0,23), Eslovenia (0,24) e Islandia (0,24), según Bertola y Ocampo (2010).

Fuente:Bertola y Ocampo (2010); Cepal (2004).
Bertola y Ocampo (2010) explican que la economía ha discutido principalmente la desigualdad desde el punto de vista de la distribución del ingreso, analizando el crecimiento como un proceso de asignación de recursos, pero también enfatizan que en un mundo globalizado esta visión es limitada y no necesariamente explica todas las relaciones existentes.
Una forma de acotar los aspectos de la globalización es considerar tres componentes: los vínculos con la apertura de mercado, los enlaces a la integración financiera y el vínculo a la tecnología, educación, empleo, entre otros (Asteriou et al., 2014).
Goldberg y Patrick (2007), en su estudio de un panel de 51 países desarrollados y en vías de desarrollo, asociaron la apertura de mercado con una reducción de la desigualdad en el período 1981-2003. De otro lado, la evidencia encontrada por Wu y Hsu (2012) sugiere un efecto igualador del comercio internacional sobre la distribución de ingresos; mientras que Jalil (2012), que utiliza cinco medidas alternativas de apertura para el período 1952-2009, concluye que la desigualdad está aumentando con la apertura comercial. Por su parte, Stiglitz (1998) concluye que la apertura de mercado empeora la desigualdad a causa de las disparidades en los retornos según la calificación de la mano de obra.
Winters, McCulloch y McKay (2004) demuestran que la apertura de mercados en los países en vías de desarrollo implica necesariamente cambios en la distribución que pueden contribuir a la reducción de la pobreza, pero bajo muchos factores. Estos factores están relacionados con las medidas de reforma del comercio, las instituciones y otros factores específicos de cada país.
Por su parte Behrman, Birdsall y Székely (2001) muestran evidencia empírica de que la liberalización financiera tiene un impacto positivo sobre la desigualdad en América Latina. Esto lo explican dado que la liberalización financiera permite un flujo mayor de capitales, lo que tiende a estar asociado a reducciones en el precio del capital, el cual es un factor relativamente escaso en América Latina. Si el capital y el trabajo calificado son factores de producción complementarios, mientras que el capital y el trabajo poco calificado son sustitutos, una reducción en el precio del capital tenderá a generar mayor demanda por empleo calificado. En este escenario, la brecha relativa entre trabajadores con buen nivel de educación y aquellos con bajo nivel de escolaridad aumentará, generando un deterioro en la distribución del ingreso.
Beck (2007) concluye que una mayor liberación de la cuenta de capital puede aumentar el acceso a recursos a las personas de estratos económicos bajos, lo que llevaría a que sus ingresos crezcan más rápido que el PIB per cápita, reduciendo la desigualdad. Por otra parte, el riesgo de las crisis financieras o la calidad de las instituciones financieras puede dañar el ingreso de las personas de menores recursos, como se documenta en un estudio realizado por el Fondo Monetario Internacional (Goldberg & Pavcnik, 2007).
La composición de los flujos financieros influye en el efecto neto de la globalización en la desigualdad. Kose et al. (2006) proporcionan un análisis exhaustivo, para los países en desarrollo, de los posibles beneficios y costos que surgen de la globalización financiera. Concluyen que, además de los canales tradicionales (por ejemplo, la acumulación de capital), los beneficios de la globalización financiera sobre el crecimiento y la volatilidad también se realizan indirectamente a través de un conjunto de “beneficios colaterales”, como el desarrollo institucional, un mejor gobierno y la disciplina macroeconómica, lo que puede no ser totalmente evidente en el corto plazo.
Un componente importante de la globalización financiera son los flujos de capital internacionales, por ejemplo, la inversión extranjera directa, la cual habitualmente está dirigida a los sectores de alta calificación del país (Kose et al., 2006). Esto es importante para América Latina, la cual, a partir de la década de 1990, se ha convertido en uno de los principales destinos de la inversión extranjera directa (Suanes, 2016). Debido a la alta demanda de mano de obra calificada por la inversión extranjera, hay una mayor demanda de ésta tanto en el país que invierte como en el que recibe la inversión, por lo cual habrá un aumento de la desigualdad en ambos países. Por esto, se espera un aumento de la desigualdad en países desarrollados y en vías de desarrollo (Acharyya, 2011). El efecto de la inversión extranjera directa puede depender de otros factores tales como la capacidad de absorción; así lo demuestran Wu y Hsu (2012) quienes, utilizando un conjunto transversal de 54 países en el período de 1980-2005, encontraron que es probable que la inversión extranjera aumente la desigualdad si el país tiene poca capacidad de absorción.
En su revisión sobre el impacto de la inversión extranjera en los países en desarrollo, Harrison y Rodríguez-Clare (2009) reportan que los trabajadores de las empresas extranjeras obtienen salarios más altos, posiblemente porque los mercados laborales de los países en desarrollo no son perfectamente competitivos y porque las empresas extranjeras tienden a ser más productivas, lo que induce a desigualdades superiores. Suanes (2016), mediante un panel de datos para 13 economías en el período 1980-2009, encuentra evidencia empírica de un efecto positivo de la inversión extranjera directa en la desigualdad de los ingresos, provocada por aquellas inversiones localizadas en los sectores de servicios e industria manufacturera. Sin embargo, estas diferencias salariales pueden atribuirse a otros factores, por ejemplo, si las empresas extranjeras atraen a los trabajadores más productivos, entonces sería razonable esperar que estos trabajadores exijan salarios más altos. En ese caso, la brecha salarial entre las empresas extranjeras y nacionales se explica por el tipo de trabajadores que contratan.
Beyer (2000), refiriéndose a Chile, muestra evidencia empírica de que la educación superior da un aumento en los salarios. Pero no es una realidad solo de Chile, en América Latina el 10% más rico de la población tiene 8 años más de educación que el 30% más pobre; la brecha se amplía en la población rural y los grupos excluidos. En particular, los grupos más pobres de las zonas rurales e indígenas tienen menos posibilidades de ir cualquier escuela (Aponte-Hernández, 2008). Sylwester (2000) muestra evidencia de que la desigualdad de ingresos aumenta el gasto para la educación pública.
Castells (1999) define cuatro desafíos que tenía América Latina con respecto a la globalización en el siglo XXI. Uno de ellos es lograr adaptarse a las nuevas tecnologías de la información, no solo el pueblo, sino también los Estados. El cambio tecnológico es, en parte, un cambio estructural, medido según la variación, que muestra una elevada correlación con la tasa de crecimiento (Cimoli et al., 2005). Goldberg y Pavcnik (2007) estimaron que el cambio tecnológico explica la mayor parte del incremento anual promedio de 0,45% en el coeficiente de Gini en la década de 1980. La introducción de nuevas tecnologías en un país, por ejemplo, mediante la inversión en tecnologías de la información, crea un cambio en la demanda: de trabajadores poco calificados a una fuerza de trabajo basada en el conocimiento más calificado (Brown & Campbell, 2002). Por lo tanto, las tecnologías de la información podrían tener un efecto adverso sobre la distribución del ingreso. Ese efecto puede ser diferente dependiendo del país, en economías avanzadas la tecnología no ha contribuido tanto como la globalización, mientras que en los países en desarrollo ha sido uno de los principales factores (Goldberg & Pavcnik, 2007). Estas diferencias pueden explicarse a través de los diferentes canales de la globalización. Los países desarrollados se caracterizan por una globalización financiera, mientras que los países en vías de desarrollo por una globalización de apertura de mercado. Se sugiere que las políticas destinadas a reducir las barreras comerciales, a ampliar el acceso a la educación y a aumentar el crédito pueden permitir que los beneficios de la globalización sean compartidos de manera más equitativa.
Eakin y Lemos (2006) y Sen (2011) muestran la importancia de la adaptación de los países para poder aprovechar los beneficios de la globalización. Pero la construcción de una capacidad de adaptación bajo la globalización es compleja, ya que exige nuevas calificaciones y funciones de los responsables de tomar decisiones en todos los niveles de gobierno. En el caso de América Latina, ha surgido una forma de adaptación que se contrapone a resultados obtenidos en otros sectores: la corrupción. Bigio y Ramírez-Rondán (2006) entregan evidencia de que la corrupción está asociada directa y significativamente a la desigualdad, es decir, un menor control de la corrupción de un país, está asociado a un aumento en el coeficiente de Gini, pero en América Latina el caso es distinto. Rodríguez y Ramlogan-Dobson (2011) encuentran evidencia empírica de que la corrupción baja la desigualdad en el contexto de América Latina, explicado por el mercado laboral informal que hay en estos países. En América Latina las actividades informales son una fuente importante de empleo, que es generado por la necesidad económica, la falta de regulación del Estado y otras oportunidades que ha dado la tecnología (Rosenbluth, 1994).
En relación a la Investigación y Desarrollo (I&D), hay evidencia de que la inversión en investigación y el aumento de patentes puede aumentar la desigualdad de ingresos por el aumento de la rentabilidad de los activos (Chu, 2010). Para un nivel dado de la tecnología, se espera que un mayor acceso a la educación pueda reducir la desigualdad de ingresos, ya que una mayor parte de la población puede estar involucrada en actividades de alta cualificación. En los países en desarrollo, se espera que la transformación desde la agricultura a la industria mejore la distribución del ingreso mediante el aumento de salarios de los grupos más desposeídos. Del mismo modo, se espera que un crecimiento en la productividad relativa de la agricultura reduzca las disparidades de ingresos mediante el aumento de la renta de las personas empleadas en ese sector.
América Latina se encuentra muy rezagada en comparación con otras regiones del mundo en términos de I&D: mientras Estados Unidos, Japón y la República de Corea invierten en este rubro entre 2,5 y 3 puntos de su Producto Interno Bruto (PIB) y la Unión Europea cerca de 2 puntos, Latinoamérica en su conjunto destina apenas 0,5 puntos del PIB a éste (Cepal, 2004).
II. Datos y metodología
Los datos del estudio fueron extraídos de las bases de datos del Banco Mundial, la Cepal, las Naciones Unidas y del Fondo Monetario Internacional. Los países analizados son Argentina, Bolivia, Brasil, Chile, Colombia, Costa Rica, Ecuador, México, Panamá, Perú, Paraguay y El Salvador3 en el periodo 2000 a 2013. Las variables se eligieron en base al estudio hecho por Asteriou et al. (2014), que considera el logaritmo del coeficiente de Gini como la variable dependiente del panel. Para modelar la globalización se extraen los siguientes índices: Apertura de Mercado, Exportación de TIC e Importación de TIC para representar la Apertura de Mercado; Inversión Extranjera Directa, Capitalización en el mercado y Apertura de la cuenta de capital para representar la Integración Financiera; Gasto en Investigación. Además de estos, Asteriou et al. (2014) agregaron otras variables de control para representar otros fenómenos en la desigualdad: Fuerza Laboral con Educación Secundaria4, Empleo en Agricultura, Empleo en Industria y Empleo en Servicios5. En la Tabla 2 se detallan las variables y sus fuentes.

El problema presentado abarca múltiples variables que cambian en el tiempo. Dada la estructura y su aplicación, en base a Asteriou et al. (2014), se usan datos de paneles. Dada la existencia de autocorrelación, heteroscedasticidad y correlación contemporánea en la data utilizada, se aplican Mínimos Cuadrados Generalizados (MCG) en vez de Mínimos Cuadrados Ordinarios (MCO).
El modelo a estimar tiene la forma de:
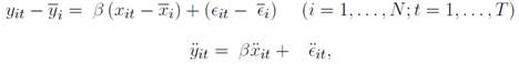
[1]donde i = 1,…,m es el número de unidades o paneles (países, en este estudio); t = 1,…,Ti el número de periodos por panel (al ser un panel balanceado solo T); yit = ln(gini) , para representar la desigualdad; αi los efectos inobservables; xit es el vector de variables explicativas nombradas en los datos; β es el vector de parámetros a estimar y ϵit un término de perturbación. Siguiendo la transformación por efectos fijos, para cada i se promedia la ecuación en el tiempo, obteniendo:
[2]donde yi = T-1ΣTT-1 yit y así sucesivamente. Dado que αi permanece constante en el tiempo, se resta la ecuación (1) con la ecuación (2) para cada t se obtiene:
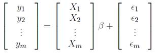
[3]Donde ÿit = yit - yi son los datos con el tiempo deducido para y, lo mismo para Ẍit y ϵit . Terminada la transformación por efectos fijos, donde se elimina αi , se podría aplicar MCO, pero en este punto se hace por MCG. La ecuación (3) en término de matrices puede escribirse como:
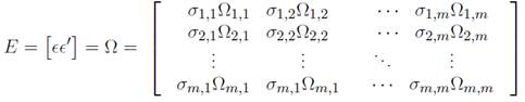
[4]La matriz de varianza de los términos del error, usada en los cálculos de MCG, sería:
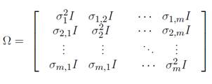
[5]En la cual Ωi;j son las matrices de correlación entre los errores de cada panel (o grupos de datos de cada país en este estudio). Así se logra que la variabilidad del modelo sea asumida por la estructura de la matriz Ω y el vector β constante para todos los paneles.
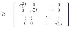
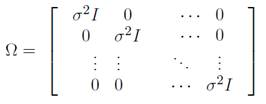
Cuando el modelo no presenta ninguno de los problemas anteriormente nombrados, la estructura de Ω es:
[6]Siendo I la matriz identidad de tamaño TxT. En el caso de modelos con heterocedasticidad, donde la varianza del error es diferente para cada panel, es:
[7]En el caso de correlación contemporánea, es decir, los términos del error son correlacionados entre diferentes paneles, es:
[8]En lo referente a autocorrelación, se cambia la estructura de las matrices I de la diagonal Ω para considerar la autocorrelación entre los errores de un periodo u otro, siendo esta distinta en cada uno de los paneles.
Para poder estimar los σm,m que componen la matriz Ω se usa el método de “Errores Estándar Corregidos para Panel” (Parks, 1967), que calcula los errores de cada panel por separado y su varianza individualmente.
Para la determinación de existencia de autocorrelación, heteroscedasticidad y correlación contemporánea se usarán las siguientes pruebas de hipótesis:
i. Prueba de Pesaran (2004) para la estimación de correlación contemporánea. Esta prueba permite estimar si los residuos están correlacionados en una amplia variedad de modelos. En el caso del estudio se aplicará al modelo de efectos fijos.
ii. Estadístico de Wald modificado (Greene, 2011) para la estimación de heteroscedasticidad en los modelos de efectos fijos.
iii. Prueba de Wooldridge (2010), la cual determina la presencia de autocorrelación serial indicando que la variable dependiente se caracteriza por la persistencia o la dinámica media revertida, implicando que las variables omitidas tienen un mayor impacto sobre la variable dependiente.
Los resultados de estas tres pruebas indican que es necesario corregir en el modelo, por lo que se utilizará MCG. Este método se aplicará a los paneles que se generan dividiendo los países en diferentes grupos: países según corrupción6, puntaje en la prueba PISA7, países según su tamaño8 y apertura de mercado. Esta corrección es un complemento a la metodología de Asteriou et al. (2014), lo que se considera necesario dada la revisión biblográfica realizada.
III. Análisis de los resultados
La Tabla 3 muestra el modelo de datos de panel para todos los países, que confirma lo esperado por Goldberg y Pavcnik (2007); es decir, que la apertura de mercado es una de las claves en los países en vías de desarrollo, siendo significativas dos variables pertenecientes a esta: apertura de mercado y exportación de TIC, las cuales disminuyen la desigualdad. Al contrario de la Integración Financiera, donde la Inversión Extranjera directa aumenta de forma significativa la desigualdad, lo cual, según Wu y Hsu (2012), significa una falta de absorción de los beneficios de ella por parte de los países estudiados. Dentro de las variables de control se destaca el Gasto en Investigación y Desarrollo, sobre la cual la Cepal (2004) argumenta que América Latina está muy rezagada, y dado que es una variable significativa es aconsejable que sea desarrollada por los países estudiados. En el apartado estadístico, las tres pruebas afirman la presencia de los problemas anteriormente mencionados.

En la Tabla 4 se encuentran los resultados para los países segmentados según corrupción. Hay que recordar en este punto que la corrupción se ve desde el punto de vista del comercio informal, que es un importante fenómeno en América Latina (Rosenbluth, 1994). En comparación con el modelo general, existe una división de los efectos en el apartado de Apertura de Mercado: las dos variables Apertura de Mercado y Exportación de TIC son significativas en dos modelos diferentes: Apertura de Mercado en el modelo con Mayor Corrupción, mientras que Exportación de TIC en el modelo con Menor Corrupción. Esto es coherente con lo demostrado por Winters (2004), donde el tipo de cambio en la desigualdad entregada por la globalización se relaciona directamente con factores específicos de cada país. Esto se puede explicar desde el punto de vista del comercio informal, ya que al lograr mayor facilidad para traer artículos del exterior, el comercio informal lograría mayor variedad en sus ventas y así mayores ganancias. En el apartado de Integración Financiera, donde la variable Inversión Extranjera Directa deja de ser significativa, tiene una explicación similar, ya que, a pesar de su importancia en América Latina, el comercio informal logra aplacar su significancia en la desigualdad, dando más alternativas de ingresos. En el apartado estadístico, los dos modelos presentan autocorrelación y heteroscedasticidad en sus errores, siendo, por ende, modelados sin la corrección de correlación contemporánea.

Al realizar los modelos segmentados según resultado de la prueba PISA, (Tabla 5) se observa en los países con mayor puntaje una relevancia en el fenómeno de Apertura de Mercado, y en los de menor puntaje en la Integración Financiera, tomando relevancia la apertura de la cuenta de capital, pero con significancia al 10%. En los anteriores modelos, en el apartado de Variables de Control, la variable Fuerza Laboral con Educación Secundaria fue significativa en el modelo general, pero en ninguno en corrupción, lo que lleva a pensar que hay países donde no es significativa. En este caso la fuerza laboral es más relevante en los países con menor puntaje, generándose así un efecto de mayor diferencia entre la población con educación y sin educación.

La Apertura de Mercado, variable que a pesar de estar en el modelo se consideró como divisora de grupos por lo planteado por Goldberg y Pavcnik (2007), es la forma de globalización de los países subdesarrollados. Los resultados de la Tabla 6 no hacen más que apoyar esa afirmación, dado que los países con mayor apertura muestran más variables significativas que todos los modelos que se han calculado.

Siguiendo la idea de Winters (2004), de la importancia de la estructura de un país para repartir los beneficios de la globalización y la inmensa diferencia entre los tamaños de los países considerados en la muestra9, se realiza el análisis de los modelos segmentados por tamaño. En los países de Mayor Tamaño se ve que son significativas todas las variables de Apertura de Mercado, y en los países con menor tamaño todas las variables de la Integración Financiera (Tabla 7). También se ve un comportamiento distinto en lo referente a la Integración Financiera, donde la Apertura de la cuenta de capital aumenta la desigualdad en el Modelo de Menor Tamaño, y el de Mayor Tamaño disminuye la desigualdad. Estos cambios solo se pueden explicar por la estructura de los países.

IV. Conclusiones
Al analizar la relación entre la globalización y la desigualdad en este estudio de 12 países latinoamericanos, se pudo constatar que la globalización a través de la apertura de mercado disminuye la desigualdad, mientras que la Integración Financiera la aumenta. De las dos, las variable Apertura de Mercado e Inversión Extranjera Directa han sido las más importantes en los dos fenómenos. Esto es algo preocupante, dado que desde la década de los noventa, Latinoamérica se ha convertido en uno de los principales destinos de la inversión extranjera directa (Suanes, 2016). Esto es coherente con lo concluido por Wu y Hsu (2012),quienes señalan que los países deben trabajar en la absorción de los beneficios de la inversión extranjera directa.
Los países con mayor y menor corrupción tienen distintas variables que afectan a la desigualdad, teniendo la globalización un efecto diferente para cada grupo. La explicación del mercado informal, dada por Rodríguez y Ramlogan-Dobson (2011), responde bien a los resultados mostrados. En la región, los países con mayor corrupción logran aprovechar de mejor manera la globalización, en especial la apertura de mercado; pero no se aconseja confiar en ella como vía de desarrollo, ya que en otros lugares del mundo, por diversas razones, como muestran Bigio y Ramírez-Rondán (2006), disminuye la desigualdad.
El tamaño de la economía del país muestra que los países con PIB mayores tienen más variables asociadas a la globalización que afectan a la desigualdad. Pero a diferencia de los modelos segmentados por corrupción, se ve claramente que en los países de mayor tamaño la globalización es más significativa. La capacidad económica no es algo que se pueda cambiar significativamente, pero da la base para pensar que el crecimiento ayuda a que la globalización sea más significativa para cambiar la desigualdad.
En el aspecto estadístico, las correcciones de autocorrelación de los errores, correlación y heterocedasticidad lograron modelos con menores errores y más robustos. La desigualdad y la globalización es un tema que estará presente por mucho tiempo y los estudios entorno a ella seguirán aportando más información para la toma de decisiones de los legisladores y gobernantes. El futuro se ve optimista en ese ámbito, ya que cada vez hay más datos y más estimadores que miden los diferentes fenómenos. Entre tanto, se espera que este estudio pueda ayudar a visualizar los problemas de la desigualdad en los países de América Latina
Referencias
1. Acharyya, Rajat (2011). “A note on quantitative trade restrictions, income effects and wage inequality”, Economic Modelling, Vol. 28, No. 6, pp. 2628-2633.
2. Alderson, Arthur S.; Beckfield, Jason & Nielsen, François (2005). “Exactly how has income inequality changed? Patterns of distributional change in core societies”, International Journal of Comparative Sociology, Vol. 46, No. 5-6, pp. 405-423.
3. Aponte-Hernández, Eduardo (2008). “Desigualdad, inclusión y equidad en la educación superior en América Latina y el Caribe: tendencias y escenario alternativo en el horizonte 2021”, En: Gazzola, Ana & Didriksson, Axel (Eds.), Tendencias de la educación superior en América Latina y el Caribe (113-154). Caracas: UNESCO.
4. Asteriou, Dimitrios; Dimelis, Sophia & Moudatsou, Argiro (2014). “Globalization and income inequality: A panel data econometric approach for the EU27 countries”, Economic Modelling , Vol. 36, pp. 592-599.
5. Beck, Thorsten; Demirgüç-Kunt, Asli & Levine, Ross (2007). “Finance, inequality and the poor”, Journal of Economic Growth, Vol. 12, No. 1, pp. 27-49.
6. Behrman, Jere; Birdsall, Nancy & Székely, Miguel (2001). “Pobreza, desigualdad, y liberalización comercial y financiera en América Latina”, Working Paper, No. 449. Inter-American Development Bank, Research Department.
7. Bertola, Luis & Ocampo, José Antonio (2010). Desarrollo, vaivenes y desigualdad: Una historia económica de América Latina desde la Independencia. España: Secretaría General Iberoamericana.
8. Beyer, Harald (2000). “Educación y desigualdad de ingresos: una nueva mirada”, Estudios Públicos, No. 77, pp. 97-130.
9. Bigio, Saki & Ramírez-Rondán, Nelson (2006). “Corrupción e indicadores de desarrollo: Una revisión empírica”, Serie de Documentos de Trabajo, No. 2006-007. Banco Central de Reserva del Perú.
10. Brown, Clair & Campbell, Benjamin A. (2002). “The impact of technological change on work and wages”, Industrial Relations: A Journal of Economy and Society, Vol. 41, No. 1, pp. 1-33.
11. Castells, Manuel (1999). Globalización, identidad y estado en América Latina. Santiago de Chile: PNUD.
12. CEPAL (Comisión Económica para América Latina y el Caribe) (2004). Desarrollo productivo en economías abiertas. Recuperado de: Recuperado de: http://repositorio.cepal.org/bitstream/handle/11362/13057/1/S0400002_es.pdf (Noviembre/2015).
13. Cimoli, Mario; Porcile, Gabriel; Primi, Annalisa & Vergara, Sebastián (2005). “Cambio estructural, heterogeneidad productiva y tecnología en América Latina”, En: Cimoni, Mario (Ed.), Heterogeneidad estructural, asimetrías tecnológicas y crecimiento en América Latina (pp. 9-37). Santiago de Chile: CEPAL.
14. Chu, Angus C. (2010). “Effects of patent policy on income and consumption inequality in a R&D growth model”, Southern Economic Journal, Vol. 77, No. 2, pp. 336-350.
15. Dell’Ariccia, Giovanni; Mauro, Paolo; Ostry, Jonathan David; di Giovanni, Julian; Schindler, Martin; Kose, Ayhan; Faria, André & Terrones, Marco (2008). Reaping the Benefits of Financial Globalization. Washington D.C.: International Monetary Fund.
16. Eakin, Hallie & Lemos, Maria Carmen (2006). “Adaptation and the state: Latin America and the challenge of capacity-building under globalization”, Global Environmental Change, Vol. 16, No. 1, pp. 7-18.
17. Goldberg, Pinelopi K. & Pavcnik, Nina (2007). “Distributional effects of globalization in developing countries”, Journal of Economic Literatura, Vol. 45, No. 1, pp. 39-82.
18. Greene, William (2011). Econometric Analysis (7th Ed.). New Jersey, United States of America: Pearson Education.
19. Harrison, Ann & Rodríguez-Clare, Andrés (2009). “Trade, foreign investment, and industrial policy for developing countries”, NBER Working Paper Series, No. 15361. National Bureau of Economic Research.
20. Jalil, Abdul (2012). “Modeling income inequality and openness in the framework of Kuznets curve: New evidence from China”, Economic Modelling , Vol. 29, No. 2, pp. 309-315.
21. Kose, M. Ayhan; Prasad, Eswar; Rogoff, Kenneth & Wei, Shang-Jin (2006). “Financial globalization: a reappraisal”, NBER Working Paper Series, No. 12484. National Bureau of Economic Research.
22. Mills, Melinda (2009). “Globalization and inequality”, European Sociological Review, Vol. 25, No. 1, pp. 1-8.
23. Parks, Richard W. (1967). “Efficient estimation of a system of regression equations when disturbances are both serially and contemporaneously correlated”, Journal of the American Statistical Association, Vol. 62, No. 318, pp. 500-509.
24. Pesaran, M. Hashem (2004). “General Diagnostic Tests for Cross Section Dependence in Panels”, Cambridge Working Papers in Economics , No. 0435. Faculty of Economics, University of Cambridge.
25. Rodríguez, Antonio R. & Ramlogan-Dobson, Carlyn (2011). “Is corruption really bad for inequality? Evidence from Latin America”, Journal of Development Studies, Vol. 47, No. 7, pp. 959-976.
26. Rosenbluth, Guillermo (1994). “Informalidad y pobreza en América Latina”, Revista de la CEPAL, Vol. 52, pp. 157-177.
27. Sen, Amartya (2001). “Juicios sobre la globalización”, Fractal, Vol. 6, No. 22, pp. 37-50.
28. Stiglitz, Joseph E. (1998, January). More instruments and broader goals: moving toward the post-Washington consensus. The 1998 WIDER Annual Lecture. Helsinki, Finland.
29. Suanes, Macarena (2016). “Inversión extranjera directa y desigualdad de los ingresos en América Latina. Un análisis sectorial”, Revista CEPAL, No. 118, pp. 49-66.
30. Sylwester, Kevin (2000). “Income inequality, education expenditures, and growth”, Journal of Development Economics, Vol. 63, No. 2, pp. 379-398.
31. Winters, L. Alan; McCulloch, Neil & McKay, Andrew (2004). “Trade liberalization and poverty: the evidence so far”, Journal of Economic Literature , Vol. 42, No. 1, pp. 72-115.
32. Wooldridge, Jeffrey (2010). Econometric Analysis of Cross Section and Panel Data (2nd Ed.). Cambridge, MA: MIT Press.
33. Wu, Jyun-Yi & Hsu, Chih-Chiang (2012). “Foreign direct investment and income inequality: Does the relationship vary with absorptive capacity?”, Economic Modelling , Vol. 29, No. 6, pp. 2183-2189
Notas
Notas
Notas
Notas
Notas
Notas
Notas
Notas
Notas