Artículos
Recepción: 09 Mayo 2018
Aprobación: 13 Diciembre 2018
DOI: https://doi.org/10.17533/udea.le.n91a08
Resumen: En Colombia, los bajos niveles de servicio de las vías terciarias afectan el desarrollo económico y, especialmente, el desarrollo rural. Ante las limitaciones presupuestales de los municipios, es importante contar con métodos de mantenimiento preventivo y correctivo de bajo costo frente a las alternativas existentes. La estabilización de suelos con subproductos industriales procesados es una alternativa para mejorar los niveles de servicio de las vías y para reducir la producción de sedimentos. En este artículo se presenta un caso de estudio en el que se usan tres subproductos industriales procesados para la estabilización de un tramo de vía en Urrao, Antioquia. Para estimar los costos de la estabilización usando dichos subproductos, se adaptó el análisis de costos del ciclo de vida, en el que, además, se consideraron factores técnicos, geográficos y de disponibilidad de materiales. Se encontró que el costo de estabilización es muy sensible a la disponibilidad y ubicación de materiales, al volumen procesado y al costo de transporte.
Clasificación JEL: H54, O22, R42.
Palabras clave: análisis de costos del ciclo de vida, estabilización de vías, subproductos industriales, desarrollo rural.
Abstract: Low serviceability of rural road networks in Colombia hinders economic development, and especially rural development. Municipalities have budget constraints, so it is important to develop low cost techniques for preventive and corrective maintenance of rural roads. Stabilization of rural roads using industrial by-products is an alternative to improve road conditions and to prevent negative impacts from sediment production. This paper presents a case study in which three non-commercial materials produced from industrial waste are used for stabilizing a road section in Urrao, Antioquia. Stabilization costs are compared for the three alternatives by adapting the life cycle cost analysis to the information available. In addition, assessed costs consider geographic and technical factors, as well as availability of residues. It is found that stabilization costs are highly sensitive to waste availability and location, to processed volumes and to transportation costs.
Clasificación JEL: H54, O22, R42.
Keywords: life cycle cost analysis, road stabilization, industrial by-products, rural development.
Résumé: En Colombie, les faibles niveaux de service des routes tertiaires ont une incidence sur le développement économique et, en particulier, sur le développement rural. Compte tenu des limites budgétaires des municipalités, il est important de disposer de méthodes d’entretien préventif et correctif à faible coût par rapport aux solutions de remplacement existantes. La stabilisation des sols avec des sous-produits industriels transformés est une alternative pour améliorer les niveaux de service des routes, afin de réduire la production de sédiments. Cet article présente une étude de cas dans laquelle trois sous-produits industriels transformés sont utilisés pour la stabilisation d’un tronçon de voie conduisant à ville de Urrao, Antioquia (Colombie). Afin d’estimer les coûts de la stabilisation des sols à l’aide des sous-produits, une analyse du coût par la méthode de cycle de vie a été adaptée, en tenant compte des facteurs techniques, géographiques et de disponibilité des matériaux. Il a été constaté que le coût de la stabilisation de sols est très sensible à la disponibilité et à l’emplacement des matériaux, au volume traité et au coût du transport.
Clasificación JEL: H54, O22, R42.
Mots clés: analyse des coûts du cycle de vie, stabilisation d’une route, sous-produits industriels, développement rural.
Introducción
Debido a las limitaciones presupuestales, para los municipios y distintas entidades colombianas encargadas, es muy difícil mantener la infraestructura vial terciaria en un nivel de servicio adecuado (Villar & Ramírez, 2014). El aprovechamiento de subproductos industriales es una alternativa para estabilizar y mantener un nivel de transitabilidad de las vías terciarias, lo que responde, además, a la necesidad de contar con materiales constructivos rentables y con buenas propiedades para sustituir materiales convencionales. Adicionalmente, se aprovechan diversos desechos y se mitigan los daños ambientales derivados de la disposición de estos (Schroeder, 1994).
En Estados Unidos, Suecia, Dinamarca, Alemania, Países Bajos, Francia y otros países europeos se ha investigado el uso de residuos y subproductos industriales reciclados para la construcción de la infraestructura vial (Schimmoller et al., 2000). Dentro de los materiales estudiados se encuentran: escorias de alto horno, escorias de acero (Gökalp et al., 2018; Motz & Geiseler, 2001), residuos de roca de minería, suelo contaminado con petróleo (Tuncan, Tuncan & Koyuncu, 2000) subproductos de cenizas de carbón (incluidas cenizas volantes( (Colangelo et al., 2012), cenizas de fondo y residuos de desulfurización de gases (FGD), concreto triturado recuperado, relaves de molinos, neumáticos de goma, residuos de vidrio, basura de fibra de alfombra, residuos de tejas de techos y arena de fundición, entre otros (SAMARIS, 2006; Schimmoller et al., 2000; Schroeder, 1994).
Para establecer si la estabilización de vías terciarias con subproductos industriales procesados es viable, se requiere de una estimación de costos y desempeños que permita comparar dichas alternativas con las usadas en la actualidad. Tanto los costos como el desempeño dependen del tipo de material, su disponibilidad y usos alternativos, así como del tipo de suelo, de vía y otros factores como el clima. Desde la perspectiva financiera, la alternativa de estabilización óptima es la que tiene menores costos de construcción y mantenimiento, o costos de agencia, y costos de usuario asociados con la utilización de la vía (Praticò, Saride & Puppala, 2011).
Los costos de ciclo de vida, los cuales incluyen beneficios económicos, suelen estimarse en la evaluación de proyectos viales de gran envergadura, en particular en aquellos que requieren cobro de peajes (Guciute, 2011; Mikolaj & Remek, 2014; Rodden, 2012; State of California, 2013; Walls III & Smith, 1998; Wennström, 2014). No obstante, determinar los beneficios económicos del mejoramiento de vías terciarias para Colombia es difícil porque los volúmenes de tránsito son en general bajos, no hay un inventario de las vías terciarias ni su estado y hay debilidades administrativas y presupuestales en las instituciones responsables del mantenimiento de las vías, entre otros (Fedesarrollo, 2012; Villar & Ramírez, 2014; Yepes et al., 2013).
El Banco Mundial ha propuesto herramientas como el Highway Development and Management Model (HDM-4) y el Road Economic Decision Model (RED), las cuales proporcionan un marco de análisis económico para las inversiones viales en carreteras pavimentadas y sin pavimentar (Archondo-Callao, 2004b). Sin embargo, dichas herramientas requieren de información que no suele estar disponible para las vías terciarias colombianas y para los materiales alternativos. En consecuencia, y con el fin de apoyar la evaluación de proyectos de estabilización de vías terciarias, es necesario adaptar las herramientas existentes y estimar los costos de estabilización con materiales alternativos.
Este artículo busca contribuir al análisis de alternativas de mejoramiento de vías terciarias en Colombia de dos maneras: primero, identificando los principales componentes de los costos de producción de materiales estabilizantes a partir del procesamiento de subproductos industriales y segundo, proponiendo una adaptación de la metodología de costeo del ciclo de vida para la evaluación de alternativas de estabilización de vías terciarias en Colombia. Al incluir los costos de construcción y de uso, el análisis de costos de ciclo de vida presentado es una herramienta útil para la planeación y la priorización de inversiones en las redes viales terciarias.
I. Las vías terciarias en Colombia
Las vías terciarias (o de tercer orden) son vías con tránsito inferior a 150 vehículos por día, están construidas en calzada sencilla con ancho igual o inferior a seis metros y comunican las veredas entre sí y con las vías de segundo orden (Ministerio de Transporte, 2015). Dichas vías cumplen un papel fundamental dentro de la economía colombiana, pues ayudan a impulsar y fortalecer los sectores agrícola y minero por medio de una eficiente movilización de materias primas e insumos y de una adecuada articulación de los centros de producción con los de recepción y distribución (Fedesarrollo, 2013; Yepes et al., 2013). Además, las vías terciarias permiten que las economías campesinas obtengan sus ingresos a través de la comercialización de sus productos en las cabeceras municipales (Lozano-Espitia & Restrepo-Salazar, 2016), a la par que facilitan el acceso de la población rural a servicios públicos y básicos (Villar & Ramírez, 2014).
Pese a su importancia, a la fecha no se ha terminado el inventario de vías terciarias y hay poca información disponible sobre su estado. Para 2009 se estimó que un 34% de las vías terciarias estaba en mal estado y un 56% en estado regular (Villar & Ramírez, 2014). Entre las causas del mal estado de las vías están los fenómenos climáticos de gran magnitud, las complejas condiciones geográficas, la calidad de técnicas de construcción y materiales, la falta de mantenimiento y la ausencia de buenas prácticas en los procesos de contratación y ejecución de proyectos viales (Departamento Nacinal de Planeación -DPN-, 2016; Fedesarrollo, 2012; Villar & Ramírez, 2014; Yepes et al., 2013). Respecto al mantenimiento, los niveles de inversión para la intervención en la red terciaria son bajos (Fedesarrollo, 2012; Villar & Ramírez, 2014; Yepes et al., 2013). En la actualidad, y después de la eliminación del Fondo de Caminos Vecinales y de la Ley 105 de 1993, un 70% de las vías terciarias (100748 km) están a cargo de los municipios.
De acuerdo con Villar y Ramírez (2014), el mal estado de la red terciaria se relaciona con la pobreza rural multidimensional, pues genera un aislamiento de la población y dificulta su acceso a los mercados, al transporte y a los servicios básicos, al tiempo que encarece la adquisición de materias primas para los procesos agrícolas. En este sentido, en abril de 2016, el Gobierno Nacional de Colombia aprobó el Documento Conpes 3857: “Lineamientos de política para la gestión de la red terciaria”, el cual busca apoyar a las entidades territoriales en los procesos de conservación y mantenimiento de la red vial terciaria en óptimas condiciones mediante la implementación de un sistema de gestión (DNP, 2016).
Alcanzar los objetivos propuestos por el Conpes 3857 es un proceso que requiere años, así como de la participación, el apoyo y la coordinación de diferentes instituciones nacionales e internacionales (Campos & Managemente Systems International, 2016). Simultáneamente, se requiere desarrollar alternativas de intervención para la red terciaria que sean de bajo costo, tengan estándares técnicos aceptables y contribuyan a la sostenibilidad, por ejemplo, reutilizando desechos industriales de las zonas a intervenir o de regiones aledañas. Así mismo, es necesario proponer metodologías adecuadas para evaluar dichas alternativas.
En este artículo se presenta una adaptación del costeo del ciclo de vida para la evaluación de alternativas de estabilización de suelos en vías terciarias. La metodología se ilustra con un caso de aplicación al municipio de Urrao (Antioquia). De acuerdo con la circular 9 de la Secretaría de Infraestructura Física de la Gobernación de Antioquia, para 2015 Urrao contaba, aproximadamente, con 170,3 km de vías terciarias, de los cuales el 100% presentaba superficie de rodadura en afirmado y se encontraba en el orden de jerarquía 3 (Gobernación de Antioquia, 2015). En su mayoría, las vías terciarias de Urrao estaban en mal estado, debido, principalmente, a la falta de material afirmado en puntos críticos, las pocas intervenciones realizadas en las vías y a la carencia de obras de contención y drenaje (Instituto de Investigación de Recursos Biológicos Alexander Von Humboldt, 2015). A continuación, se describen las alternativas de estabilización evaluadas en el caso de estudio.
II. Estabilización vial
La estabilización de suelos es un proceso que busca mejorar la resistencia mecánica del suelo, su capacidad de soporte, su durabilidad y disminuir su sensibilidad frente al agua y a condiciones medioambientales desfavorables (ANCADE, ANTER & IECA, 2008). Esta estabilización puede ser granulométrica o mecánica, compuesta por la mezcla de dos o más suelos de diferentes características e incluir aditivos que actúan química o física (Ministerio de Trasporte y Comunicaciones de Perú, 2008). Entre estos aditivos pueden considerarse estabilizantes no tradicionales derivados del reciclaje de materiales de diferentes industrias (Henning, Kadar & Bennet, 2006; Steyn & Visser, 2011).
En el marco del proyecto de investigación Innovial (2017) se consideraron cinco alternativas de estabilización físico-química, de las cuales tres se elaboraron a partir del procesamiento de los siguientes subproductos industriales: polvo de ladrillo, ceniza y aceite. Estos tres materiales se consideran subproductos, pues pueden reaprovecharse en el proceso productivo que los genera o reusarse en otro proceso. Adicionalmente, se consideró la estabilización con un material comercial de referencia (cemento), con polímero y la estabilización mecánica del suelo sin agregar materiales (tramo de control o alternativa cero). En las secciones siguientes, el término “material” denota el producto estabilizante de suelos.
Al estar en estado experimental, la estabilización con los materiales no comerciales mencionados no está normalizada ni se encuentra en las especificaciones del Instituto Nacional de Vías (INVÍAS). Por esta razón, para definir si estos productos son una alternativa viable para el mejoramiento de vías, es necesario estudiar su desempeño técnico, ambiental y económico bajo distintas condiciones. Entre los aspectos económicos a considerar en la evaluación se encuentran los costos de las alternativas.
La evaluación de los costos que se presenta en este trabajo se basa en la metodología de análisis de costos de ciclo de vida (LCCA)1, los cuales incluyen los costos de construcción, mantenimiento y rehabilitación. Como las alternativas de estabilización evaluadas se basan en productos no comerciales, es necesario estimar los costos de elaboración de los productos estabilizantes y dada la incertidumbre en los procesos, los rangos de variación de dichos costos. A continuación, se presenta una revisión de la aplicación de LCCA a procesos viales con el fin de proponer su adaptación a las alternativas estudiadas en este trabajo.
III. Metodologías de evaluación de alternativas de estabilización
El LCCA es una técnica de análisis basada en principios económicos que ha sido empleada en procesos de toma de decisiones para evaluar y comprar diferentes alternativas de inversión en infraestructura (Praticò et al., 2011; Rodden, 2012; Walls & Smith, 1998). Esta técnica incorpora los costos iniciales y los costos futuros descontados que se asocian al ciclo de vida de cada una de las alternativas consideradas, con el fin de identificar el mejor valor o el costo más bajo a lo largo del tiempo (Tighe, 2001). En los proyectos viales, el ciclo de vida se compone de 5 fases: 1. La adquisición o producción de materias primas, 2. La construcción de la vía, 3. El uso de la vía, 4. El mantenimiento de la vía, y, la última fase, 5. El fin de su vida útil (Santero, Masanet & Horvath, 2011).
El LCCA considera tres tipos de costos:
Costos de agencia: son los costos en los que incurre la entidad ejecutora del proyecto vial por concepto de inversión de capital inicial durante la etapa de construcción o diseño y posteriormente, en procesos asociados a rehabilitaciones sucesivas, reconstrucciones y mantenimientos (Harbuck & Brinckerhoff, 2009; Praticò et al., 2011; Rodden, 2012).
Costos de usuario: son los costos que asumen los usuarios de la vía, e incluyen los costos de operación vehicular (gasto de combustible, consumo de neumático y lubricante, mantenimientos del vehículo, entre otros), costos por demoras en el tráfico, por accidentes en la vía y costos asociados a la seguridad vial (Harbuck & Brinckerhoff, 2009; Praticò et al., 2011; Rodden, 2012).
Costos de externalidades: son los costos asociados a la contaminación, el cambio climático, el agotamiento del medio ambiente, el ruido, la calidad del aire, la calidad del suelo, entre otros factores ambientales derivados de la ejecución del proyecto vial (Praticò et al., 2011; Wilde, Waalkes & Harrison, 1999).
Los costos de externalidades pueden o no incluirse en el análisis (ISO, 2007), de acuerdo con el alcance definido para la implementación de la metodología LCCA. Según Praticò et al. (2011) y Wilde et al. (1999), los costos de externalidades abordan parámetros que no se reflejan en los pecios del mercado y por lo tanto son difíciles de cuantificar y valorar.
Los pasos para la implementación del LCCA se presentan en la Figura 1:

El LCCA se utilizó por primera vez en la legislación de 1930 de Estados Unidos como una metodología enfocada en proyectos para el control de inundaciones. Entre 1950 y 1960 su uso se extendió a proyectos de infraestructura de transporte, en los cuales se abordó la evaluación de alternativas para la construcción de autopistas, calles urbanas, pistas de aterrizaje, el diseño de pavimentos y la construcción y rehabilitación de puentes (Harbuck & Brinckerhoff, 2009; Rodden, 2012; Walls III & Smith, 1998; Wilde et al., 1999).
En los presupuestos departamentales, las vías de bajo volumen de tránsito (que incluyen muchas vías terciarias) suelen tener menor prioridad que las autopistas y vías con mayor volumen de tránsito. La falta de información acerca del tránsito y las condiciones de las vías de bajo volumen también limita su planeación y mantenimiento (Hafez, Ksaibati & Atadero, 2018). Esta incertidumbre en la información limita la aplicación de métodos de evaluación como el LCCA y, por tanto, es necesario adaptar las metodologías y aplicaciones existentes de acuerdo con las características del país o la región analizados y las condiciones de sus vías terciarias (Archondo-Callao, 2004a).
Walls III y Smith (1998), Harbuck y Brinckerhoff (2009) y State of California (2013) presentan recomendaciones para la definición y tratamiento de las variables en cada uno de los pasos del LCCA en vías. Estas guías se usaron para definir los costos a incluir (agencia y usuario) en esta investigación y para delimitar las etapas del proceso.
La mayor parte de los estudios encontrados que aplican el LCCA en vías se enfocan, principalmente, en el diseño de pavimentos (Walls III & Smith, 1998; Tighe, 2001; Rodden, 2012; Mikolaj & Remek, 2014) y comparan alternativas de pavimentación, por lo general en autopistas (Ozbay et al., 2004) y con materiales comerciales (Bushman, Freeman & Hoppe, 2004; Wilde et al., 1999).
Bushman et al. (2004) presentan uno de los primeros trabajos enfocados en vías rurales, en el cual muestran un caso de aplicación del LCCA para la comparación de siete estabilizantes comerciales en una vía sin pavimentar de tipo secundario. En cuanto al mejoramiento de las vías de bajo volumen de tránsito, o vías terciarias, la literatura destaca la importancia de emplear materiales y fuerza de trabajo locales, así como la cuantificación de los beneficios sociales y los impactos ambientales del mejoramiento y mantenimiento de dichas vías (Southern African Development Community -SADC-, 2003).
Para la evaluación de alternativas de estabilización en vías de bajo volumen de tránsito, se destaca el trabajo de Praticò, Saride y Puppala (2011) donde se ilustra la aplicación de la metodología LCCA a dos casos de estudio.
Como alternativa para apoyar la evaluación de inversiones en proyectos de mejoramiento de vías de bajo volumen, el Banco Mundial propone el modelo RED2 , el cual tiene en cuenta la incertidumbre de los datos y la necesidad de incluir los costos de los usuarios, el tráfico no motorizado y otros servicios prestados por estas vías (Archondo-Callao, 2004b).
En Colombia se encontró una aplicación del modelo RED para la evaluación de la viabilidad económica de vías rurales (Arbeláez, 2007), y se han realizado otros trabajos que buscan analizar la factibilidad financiera, socioeconómica y ambiental del mejoramiento de la malla vial terciaria (Botero & Parra, 2002).
En cuanto a la selección de pavimentos y alternativas de estabilización, en la literatura se encuentran guías para considerar elementos técnicos y económicos (Chavarro & Pinzón, 2015; Henning et al., 2006), así como casos de evaluación de estabilización con productos químicos (Gutiérrez, 2010) y no tradicionales (Campbell & Jones, 2011).
IV. Caso de estudio
Para esta investigación se aplicó la metodología LCCA a un caso de estudio donde se implementaron las cuatro alternativas de estabilización propuestas por Innovial (2017), junto con la alternativa comercial de referencia y el tramo de control, con el objetivo de encontrar aquella que es viable desde la perspectiva económica.
La vía terciaria del caso de estudio (Urrao-Encarnación) se ubica en el Municipio de Urrao, al suroeste del Departamento de Antioquia (Colombia). Está a un costado del Aeropuerto Alí Piedrahita y comunica la cabecera municipal de Urrao con veredas como La Venta, El Saladito, Granja Bonita, Chaqué, La Honda, San Fernando. De acuerdo con Instituto de Investigación de Recursos Biológicos Alexander Von Humboldt (2015), el estado de la vía es regular. La Tabla 1 resume los alcances de la formulación y el análisis del caso de estudio con la metodología LCCA.
De acuerdo con lo descrito en la Tabla 1, la Figura 2 ilustra la adaptación de la metodología LCCA al análisis y selección de alternativas de estabilización en vías de bajo volumen de tránsito, elaborada a partir del modelo propuesto por Praticò et al. (2011).
Las alternativas de estabilización se consideran no tradicionales porque se basan en la recolección y el procesamiento de subproductos industriales, a los cuales se les añaden otras materias primas. Para estimar un rango de costos para cada estabilizante elaborado a partir de subproductos procesados, se hicieron dos suposiciones respecto a las materias primas de todos los estabilizantes: i)los costos de producción (capital y operación) del estabilizante no incluyen el costo del subproducto a procesar, pero sí el de otras materias primas; ii) los costos de producción (capital y operación) del estabilizante se calculan a partir de un valor de mercado para el subproducto a procesar y del costo de otras materias primas.
Además, para los estabilizantes con sustitutos comerciales, se compararon los costos estimados a partir de las dos suposiciones anteriores con el valor comercial del producto sustituto. Estas referencias de costo de estabilizante se denominaron: 1. Subproducto sin costo, 2. Subproducto con costo estimado y 3. Sustituto comercial.

El análisis económico de las alternativas de estabilización tiene tres etapas (Figura 3): primero, la estimación del costo de producción del estabilizante; segundo, la estimación de los costos de las obras de estabilización y, tercero, el costeo de las obras necesarias para mantener la vía con niveles aceptables de transitabilidad y servicio. Los costos de los usuarios hacen parte de las segunda y tercera etapa.


Después de estimar los costos de las etapas de producción, estabilización y uso se estima el valor presente neto para el flujo de caja incremental para cada alternativa. El flujo de caja incremental corresponde a la resta del flujo de fondos con proyecto, o de la alternativa menos el flujo sin proyecto o del tramo de control (Ministerio de Obras Públicas y Comunicaciones de Paraguay, 2011). La alternativa óptima es la que tiene menores costos.
Los costos estimados para cada etapa se basaron en las siguientes suposiciones:
Recolección y procesamiento de materias primas y subproductos. Se analizó la disponibilidad de subproductos y materias primas adicionales dentro del Área Metropolitana del Valle de Aburrá (Antioquia, Colombia) y municipios aledaños, y se estimaron costos de su transporte hasta el lugar de producción de cada tipo de estabilizante.
Producción del estabilizante. Se partió de procesos productivos simplificados y se estimaron los componentes principales del costo de capital y operación (transportes de insumos, maquinaria y equipos; mano de obra; materias primas y subproductos; energía, agua, ACPM, etc.) (ver Figuras 1A-4A en los anexos).
Transporte del estabilizante a la vía. Los procesos productivos simplificados se localizaron en un punto medio dentro de las zonas con mayor cantidad de proveedores potenciales de subproductos y materias primas adicionales. La estimación de los costos de transporte se basó en la distancia recorrida y la cantidad de producto transportado, y siguió la metodología descrita por (Zuluaga & Calle, 2008).
Proceso de construcción. Para cada alternativa se elaboró un presupuesto de obra con las cantidades y rendimientos necesarios para la construcción de un kilómetro de vía. En el análisis de precios unitarios se identificaron actividades generales que se consideran comunes para todos los estabilizantes y actividades que son propias a los procesos de estabilización de cada alternativa, así como los costos y las cantidades de cada producto y de su transporte hasta la vía.
Las dosificaciones de materiales para la unidad funcional de análisis (1 km) se estimaron a partir de datos de diseño para las pistas de prueba elaboradas por Innovial (2017) y corresponden al tipo de suelo del caso de estudio, que es arcillo-limoso (Muñoz, 2016). El espesor de la capa tratada es de 0,2m y la dosificación se resume en la Tabla 2

Mantenimientos rutinarios o periódicos. Las actividades en el plan de mantenimiento periódico fueron seleccionadas a partir del criterio de expertos del proyecto Innovial (2017) y de la comparación de las actividades propuestas para este tipo de mantenimiento en las investigaciones de Figueroa et al. (2007), Jaimes (2014), Menéndez (2003) y Perafán (2013). Para el costeo se elaboró un presupuesto de obra con cantidades y rendimientos necesarios para el mantenimiento de 1 kilómetro de vía. Para el plan de mantenimiento rutinario se siguieron los criterios, rendimientos y costos por kilómetro publicados por INVIAS (2016). Así mismo, la frecuencia de los mantenimientos se basó en el Manual para el mantenimiento de la red vial secundaria (pavimentada y en afirmado) de Figueroa et al. (2007).
Costos de operación vehicular y costos por retrasos. Se recolectó información sobre las dinámicas socioeconómicas de la zona de estudio; sin embargo, no se contó con información histórica de la vía. Los costos de usuario se estimaron a partir de cotizaciones, entrevistas con usuarios y el conteo de vehículos realizado dentro del proyecto Innovial (2017). Además, se usó el análisis del tránsito promedio diario anual y el modelo de costos de usuario (RUC)3 del Banco Mundial. Las estimaciones realizadas para cada estabilizante se basaron en aproximaciones a las trayectorias de deterioro de la vía, representadas por cambios en el valor del índice de rugosidad internacional (IRI) (ver Figura 5A en los anexos).
V. Resultados
A continuación, se presentan los resultados del análisis de costos de agencia y usuario para cada una de las alternativas de estabilización consideradas.
A. Costos de agencia
Los costos de agencia del proceso de construcción de la estabilización y los mantenimientos del tramo de vía se estimaron a partir del diseño de presupuestos de obra para 1 kilómetro de carretera tratada con cada una de las alternativas propuestas. En los diseños presupuestales se consideraron variaciones del costo aproximado del producto estabilizante, de acuerdo con lo discutido en la sección IV.
Con el fin de comparar los costos estimados de las alternativas, se costearon la estabilización y los mantenimientos con cemento (alternativa comercial de referencia) y el tramo de control (alternativa sin proyecto) como alternativa base de comparación. Para el tramo de control se asumió que se seguían las mismas actividades que para la vía tratada con estabilizantes, pero sin adicionar ningún producto o agregado.
1. Costos de la estabilización
Como se discutió en la sección IV, los costos de estabilización incluyen los costos del estabilizante, del transporte de materiales y maquinaria a la vía más los costos de las actividades de construcción. Los costos de producción de los estabilizantes se basan en un proceso productivo simplificado (ver Figuras 1A-4A en los anexos) y en un análisis de proveedores potenciales para el caso de estudio.
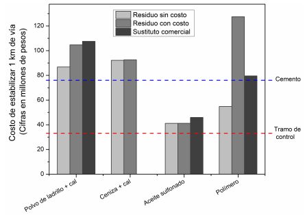
La Figura 4 resume los costos estimados para la etapa de estabilización de 1 kilómetro de vía en el tramo analizado en Urrao, Antioquia; en ella se observa que las variaciones del costo de producción de los estabilizantes no se traducen en cambios significativos para el presupuesto de estabilización en las alternativas ceniza + cal y aceite sulfonado. En ambos casos, la diferencia entre el extremo superior e inferior del rango de variación para el costo de presupuesto de la estabilización es inferior al 11%.

En términos generales, la variación de los costos de estabilización con cada alternativa es coherente con las suposiciones de los costos de adquisición del producto estabilizante. En todos los casos, el extremo inferior del intervalo de variación de costos corresponde al costeo cuando el residuo no tiene costo y, con excepción del polímero, el extremo superior corresponde al costeo cuando se utiliza un sustituto comercial del producto estabilizante. Para la alternativa ceniza + cal no se encontró un sustituto comercial con características técnicas similares, por lo que el rango de variación del estabilizante depende únicamente del costo comercial del residuo.
El valor comercial del polímero usado para estabilización es alto y tiene un peso del 79% en el costo del material estabilizante elaborado. En este caso, cuando se adquiere el polímero en el comercio, el costo es un 57% mayor que cuando se aprovecha un sobrante de producción y un 37,6% mayor que cuando se usa un estabilizante comercial comparable.
El aceite sulfonado presentó los menores costos de estabilización, con un rango de variación entre $41,2 y $45,9 millones de pesos por kilómetro y con una diferencia comprendida entre $34,6 y $29,9 millones de pesos por kilómetro respecto a la estabilización con cemento.
Estos resultados sugieren, por una parte, que, comparada con alternativas comerciales, la estabilización con productos elaborados con aceite sulfonado tiene costos competitivos y, por otra parte, que se necesita un mayor análisis de proveedores para determinar si es posible aprovechar excedentes de polímeros en la elaboración de estabilizantes.
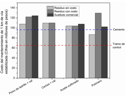
2. Costos de mantenimiento anuales
La estimación de costos de agencia por mantenimiento sigue la metodología de la estimación de costos del proceso de estabilización. Al igual que en el proceso de estabilización, se estimaron rangos de variación para los costos totales de las alternativas consideradas en función del costo del producto estabilizante; posteriormente, los costos de mantenimiento de todas las alternativas se comparan con la alternativa cemento y tramo de control.
Los costos estimados para los planes de mantenimiento consideran las actividades rutinarias y periódicas para una vía de bajo volumen de tránsito, así como su frecuencia de ejecución recomendada (sección IV). Los análisis de costos realizados corresponden a un año de mantenimiento; seguidamente, este dato se utilizó como variable de entrada en la proyección del flujo de caja de cada alternativa, según la vida útil definida de 20 años.
La Figura 5 presenta los resultados del proceso de costeo de los planes de mantenimiento anuales de 1 kilómetro de vía estabilizada para las alternativas de estabilización. Nuevamente, el aceite sulfonado presenta los menores costos de mantenimiento respecto a las demás alternativas, con un rango de variación que oscila entre $104,1 y $107,9 millones de pesos por kilómetro. A pesar de esto, los costos de mantenimiento son comparables para todas las alternativas y superiores a los costos de mantenimiento de la alternativa cemento, excepto para el rango inferior del polímero.

Las actividades de mantenimiento de una vía estabilizada requieren la reposición de material en cantidades inferiores a las utilizadas para la etapa de construcción; así mismo, el costo de transporte de los estabilizantes es sensible tanto a los volúmenes transportados como a la forma en que se empaque y transporte el estabilizante. En el caso de un estabilizante líquido como el aceite sulfonado, los bajos volúmenes transportados implican altos costos de transporte por litro.
De acuerdo con lo anterior, al comparar el plan de mantenimiento anual del aceite sulfonado con el del cemento, se observa que el costo de la alternativa propuesta es mayor al del referente comercial (cemento), con una diferencia aproximada de entre $7,7 y $11,5 millones de pesos por kilómetro.
De acuerdo con estas estimaciones, la magnitud de los costos de mantenimiento es alta, comparada con los costos de aplicación. Esto se explica porque durante la aplicación los costos de transporte y maquinaria se prorratean por unidad de medida, y dado que las cantidades y tiempos de obra en el mantenimiento son menores que en la construcción, los costos de transporte y maquinaria por unidad son mayores.
B. Costos de usuario
Para el análisis de los costos de usuario se recolectaron variables que describen las dinámicas socioeconómicas de la población rural que utiliza la vía estabilizada. Entre la información recopilada están: los rendimientos y costos de la operación de los vehículos que transitan por la zona, las características geométricas de la vía, el tránsito promedio diario (86 vehículos) y datos asociados a la seguridad vial. Así mismo, con el fin de establecer los periodos en los cuales se ejecutarían actividades de mantenimiento o reconstrucción del tramo a lo largo de la vida útil definida, se aproximaron las trayectorias de deterioro del estado de la vía usando el valor del IRI como referencia y con base en criterio de expertos (ver Figura 5 A en los anexos).
La información obtenida se ingresó al modelo RUC (Banco Mundial, 2010) para estimar los costos de usuario por alternativa. El módulo RUC estima costos en términos de valores unitarios por vehículo para una sección de vía de 1 km ($/Vel - Km); a partir de estos, se establecieron los costos anuales de usuario para cada estabilizante para el tramo estudiado (Urrao, Antioquia), los cuales se presentan en la Tabla 3.
Los costos de usuario estimados para la etapa previa a la estabilización (I) son similares para todas las alternativas, pues se asumió que la vía estaba en condiciones iguales antes de la intervención. Las diferencias en los costos de usuario se observan en la etapa posterior a la estabilización (II), para la cual se usaron datos de mediciones directas del deterioro para cada alternativa, las cuales se realizaron dentro del marco del proyecto. Finalmente, para la etapa de reconstrucción (III), se realizó una aproximación teórica al deterioro de la capa de rodadura, cuyos parámetros son similares entre alternativas.

Se evidencia entonces que los costos de usuario son menores a los costos de agencia, ya que dependen del tránsito promedio diario registrado en la zona. Los datos encontrados se ingresaron al flujo de caja de cada estabilizante, de acuerdo con la etapa de deterioro de la capa de rodadura y según los parámetros definidos en la proyección de los costos.
C. Comparación de alternativas
Una vez identificados los costos de agencia y los costos de usuario, en la proyección del flujo de fondos para cada alternativa se tuvo en consideración el año de la construcción inicial, los años asociados a mantenimientos y los años en los cuales era necesario realizar una reconstrucción del tramo con cada estabilizante.
La tasa de proyección para el flujo de caja de cada alternativa corresponde a la proyección macroeconómica del índice de precios al consumidor (IPC) de Colombia para el período 2017-2021, realizada por Bancolombia (2017). Se asumieron precios constantes para los demás años hasta alcanzar la vida útil del tramo de vía estabilizado (20 años). Posteriormente, se estimaron los flujos de caja incrementales para todos los estabilizantes analizados, de acuerdo con las hipótesis de costeo (residuo sin costo, residuo con costo estimado, sustituto comercial), y se calcularon los respectivos valores presentes.
En la en la Tabla 4 se presenta el resultado de la estimación del valor presente neto (VPN) para las alternativas de estabilización de acuerdo con las hipótesis de costeo de los productos estabilizantes. Como las dimensiones del caso de estudio no permiten cuantificar los beneficios sociales de la intervención vial, estos VPN son negativos, pues corresponden a los costos.

En la Tabla 4 puede verse que no hay una alternativa que sea dominante en todos los casos costeados ya que, cuando se asume que el residuo no tiene costo, el estabilizante óptimo es el Polímero, pero para los demás casos es el aceite sulfonado. Luego, la alternativa óptima se definió con los costos de ciclo de vida que asumen subproductos con costo. Esto porque, en un contexto real, con una planta de producción a escala industrial y una demanda constante del residuo, habría un mercado para dicha materia prima y, por tanto, un precio comercial para su adquisición.
De acuerdo con lo anterior, en el caso de estudio del tramo de vía en Urrao, la alternativa óptima es el aceite sulfonado, el cual tiene un VPN aproximado de -$ 243 millones de pesos y una diferencia de -$55,9 millones de pesos respecto a la siguiente alternativa (cemento).
La estimación de costos anterior considera el desempeño técnico de las alternativas de forma indirecta, a través de las trayectorias de deterioro de la vía representado por el IRI, y no incluye costos ambientales. Con el fin de incorporar criterios técnicos y ambientales en la selección de alternativas de estabilización, Martínez (2017) propone aplicar el método analítico jerárquico (AHP)e ilustra su aplicación para las alternativas del caso de estudio usando criterios financieros y ambientales. Entre los criterios ambientales considerados por Martínez (2017) están la huella hídrica azul, la cual es cinco veces menor para el polvo de ladrillo + cal que para la ceniza+cal y el aceite sulfonado, y las emisiones de CO2 asociadas con el transporte de materiales a la vía que, las cuales, en el caso del aceite sulfonado, son entre 5 y 17 veces menores que las del polvo de ladrillo + cal y ceniza + cal.
D. Análisis de sensibilidad
Como se discutió antes, una de las características de las vías terciarias es la falta de información acerca de su estado, tránsito y otros parámetros. Esta falta de información, junto con la incertidumbre sobre los costos de las alternativas, exige realizar un análisis de sensibilidad para cuantificar el impacto de las variables inciertas en los resultados. El análisis de sensibilidad se centra en los parámetros que aportaron mayor incertidumbre a la estimación de los costos totales de cada alternativa. Se analizó entonces la sensibilidad de los costos de agencia a la variación de los costos de las materias primas adicionales, de los subproductos y del costo de transporte de los estabilizantes a la vía, así como la tasa social de descuento para la estimación del VPN. Para el análisis de sensibilidad de los costos de usuario se variaron los valores de entrada de la flota vehicular, los costos de operación vehicular y IRI.
Desde los costos de agencia se pudo establecer que tanto las alternativas del polvo de ladrillo + cal como la de ceniza + cal son más sensibles a variaciones en el costo de la materia prima adicional (cal) que, al costo del residuo, y que el aceite sulfonado es más sensible a cambios en los costos de las materias primas adicionales que al costo del subproducto requerido. De otra parte, como se observó en la sección IV, el polímero es más sensible a las variaciones en el costo del residuo.
El costo total del presupuesto de obra de la estabilización es altamente sensible a cambios en el costo del transporte y a la ubicación de los procesos productivos simplificados. Se encontró también que el comportamiento del VPN es poco sensible a cambios en el porcentaje de la tasa social de descuento.
Para los costos de usuario, el estado de la vía (IRI) y la textura del pavimento son las dos únicas variables asociadas directamente con las alternativas de estabilización, pues los demás datos describen características geométricas de la vía o de la zona de análisis, o características de la población. Luego, para este análisis se generaron escenarios de deterioro del estado de la vía en los que el IRI incluyera valores extremos, de 1,2 m/km a 12 m/km, y en los que el valor base medido del IRI cambiara en +/-20%. Esta suposición se validó con expertos.
El análisis de sensibilidad mostró que cambios en el valor del IRI afectan de manera significativa los resultados de los costos de usuario, los cuales también son sensibles a parámetros de la flota vehicular, como el número de pasajeros por vehículo, el peso del vehículo, el costo del vehículo en condiciones nuevas, el costo del combustible y el costo en el tiempo del pasajero.
Conclusiones
La metodología de análisis de costos del ciclo de vida puede apoyar la toma de decisiones de mantenimiento y rehabilitación de vías de bajo volumen, como es el caso de muchas de las vías terciarias en Colombia. Entre los factores que limitan la aplicación de la metodología LCCA a vías terciarias se encuentran la falta de información sobre el estado y uso de las vías, así como la falta de capacidad técnica de las entidades a cargo del mantenimiento y la rehabilitación.
En Colombia existen reglamentaciones para las tecnologías de estabilización aceptadas y de desempeño conocido, como la estabilización de subrasante con cal, de la base con cemento y de la malla asfáltica, por lo que es importante caracterizar otras tecnologías desde lo técnico, lo económico y lo ambiental. Este análisis ofrece un punto de partida en la evaluación de alternativas para el mejoramiento de las vías terciarias, cuyo cuidado depende de los municipios. Con ello se busca mitigar las dificultades presupuestales de los decisores, al ofrecerles alternativas más económicas que las comerciales, y ayudar a la reducción de impactos ambientales derivados de la disposición de desechos.
Las alternativas consideradas en este estudio se derivan del procesamiento de subproductos industriales. Dichas alternativas fueron diseñadas y ensayadas en condiciones de laboratorio y de campo. De acuerdo con el LCCA para el caso de estudio, la aplicación de estabilizantes derivados de subproductos industriales puede hacerse con costos comparables a los de estabilización con materiales convencionales como el cemento. Para conocer los costos y el desempeño de estos estabilizantes en suelos distintos a los del caso de estudio, se requieren análisis particulares.
Para el caso de estudio en Urrao (Antioquia), se encuentra que el aceite sulfonado tiene ventajas de costos en el ciclo de vida y que estas ventajas son consistentes bajo distintas condiciones. No obstante, el análisis de sensibilidad indica que es necesario reducir la incertidumbre en las estimaciones de los costos de mantenimiento por medio de un análisis más completo del deterioro, como el IRI, y de otros parámetros que también afectan el deterioro de la vía y los costos de usuario, como el tránsito y la flota vehicular.
De igual manera, los procesos simplificados planteados para estimar los costos de elaboración de estabilizantes a partir de subproductos deben ser refinados a partir de diseños de planta de detalle. Pese a la incertidumbre en los costos de elaboración de estabilizantes, se encuentra que otros componentes de los costos de agencia, como los costos de transporte hasta la vía y los costos de estabilización, pueden tener más peso a la hora de determinar las alternativas de menor costo.
Finalmente, la estimación de costos es solo un componente del análisis económico. Por tanto, en trabajos futuros se requiere analizar los costos de externalidades y los beneficios sociales derivados de las intervenciones viales, de los cuales no se tiene conocimiento en esta etapa de análisis. Otra línea de trabajo futura es el desarrollo de metodologías y herramientas de selección de alternativas óptimas que permitan priorizar intervenciones viales que tengan en cuenta no solo criterios técnicos y económicos, sino también criterios ambientales y las preferencias de los usuarios.
Referencias
ANCADE, ANTER & IECA (2008). Manual de estabilización de suelos con cemento o cal. Madrid, España: IECA.
Arbeláez Arenas, Ó. E. (2007). Viabilidad económica de vías rurales con bajo volumen vehicular (Monografía de Especialización, Escuela de Ingeniería Civil, Universidad Nacional de Colombia - Sede Medellín, Medellín, Colombia).
Archondo-Callao, R. (2004a). Economically Justified Levels of Road works expenditures on unpaved roads (Transport Note Series, No. TRN-2). Recuperado del sitio web Open Knowledge Repository - Banco Mundial: https://openknowledge.worldbank.org/handle/10986/11808
Archondo-Callao, R. (2004b). Roads Economic Decision Model for the Economic Evaluation of Low Volume Roads: Software User Guide and Case Studies (SSA Transport Policy Program Papers, No. 78). Recuperado del sitio web Open Knowledge Repository - Banco Mundial: https://openknowledge.worldbank.org/handle/10986/17770?show=full&locale-attribute=es
BANCOLOMBIA (2017). Tabla Macroeconómicos Proyectados - Abril 2017. Inflación al consumidor (var. % anual). Recuperado de: https://www.grupobancolombia.com/wps/portal/empresas/capital-inteligente/investigaciones-economicas/publicaciones/tablas-macroeconomicos-proyectados/
Botero Parra, V. & Parra Valencia, J. M. (2002). Estudio de factibilidad financiera, socioeconómica y ambiental del proyecto Mejoramiento de la vía alterna municipio de Villamaría - municipio de Manizales (Monografía de Especialización, Universidad Nacional de Colombia - Sede Manizales, Manizales, Colombia).
Bushman, W. H., Freeman, T. E. & Hoppe, E. J. (2004). Final Report Stabilization Techniques for Unpaved Roads. Recuperado de: http://www.virginiadot.org/vtrc/main/online_reports/pdf/04-r18.pdf
Campbell, A. E. & Jones, D. (2011). Soil Stabilization in Low-Volume Roads: Obstacles to Product Implementation from Additive Supplier's Standpoint. Transportation Research Record: Journal of the Transportation Research Board, 2204(1), 172-178. doi: 10.3141/2204-22.
Campos, J., Serebrisky, T. & Suárez-Alemán, A. (2016). Tasa de descuento social y evaluación de proyectos: Algunas reflexiones prácticas para América Latina y el Caribe. Washington, D.C.: Banco Interamericano de Desarrollo.
Campos Cruz, C. & Management Systems International (2016). Modelo participativo de base comunitaria para la gestión de la red vial terciaria en Colombia. Agencia de los Estados Unidos para el Desarrollo Internacional. Recuperado de: http://pdf.usaid.gov/pdf_docs/PA00N1BD.pdf
Chavarro Acuña, W. & Pinzón Molina, C. (2015). Evaluación alternativas pavimentación vías bajos volúmenes de tránsito evaluación de alternativas de pavimentación para vías de bajos. Monografía para optar el título de Especialista en Ingeniería de Pavimentos. Universidad Católica de Colombia. Bogotá, Colombia.
Colangelo, F., Cioffi, R., Montagnaro, F. & Santoro, L. (2012). Soluble salt removal from MSWI fly ash and its stabilization for safer disposal and recovery as road basement material. Waste Management, 32(6), 1179-1185.
Departamento Nacional de Planeación (DPN) (2015). Manual conceptual de la Metodología General Ajustada (MGA). Bogotá D.C: Dirección de Inversiones y Finanzas Públicas, Departamento Nacional de Planeación. Recuperado de: https://colaboracion.dnp.gov.co/CDT/MGA/Tutoriales de funcionamiento/Manual conceptual.pdf
Departamento Nacional de Planeación (DPN) (2016). Lineamientos de política para la gestión de la Red Terciaria (Documento CONPES, No. 3857). Recuperado del sitio web Departamento Nacional de Planeación, Colombia: https://colaboracion.dnp.gov.co/CDT/Conpes/Económicos/3857_RedTerciaria.pdf
FEDESARROLLO (2012). Tendencia Económica. Informe mensual de Fedesarrollo. No. 125, Noviembre 2012 (125th ed.). Bogotá D.C. Recuperado de: https://www.repository.fedesarrollo.org.co/bitstream/handle/11445/2948/TE_No_125_Noviembre_2012.pdf?sequence=2&isAllowed=y
Fedesarrollo (2013).Tendencia Económica. Informe mensual de Fedesarrollo . No.136, Octubre 2013. Recuperado de: http://www.repository.fedesarrollo.org.co/handle/11445/645
Figueroa, A. S., Flórez, C. F., León, M. P., Muñoz, É. E., Ojeda, B. J., Reyes, F. A., & Rodríguez, J. A. (2007). Manual para el mantenimiento de la red vial secundaria (pavimentada y en afirmado). Bogotá D.C: Ministerio de Trasporte.
Gobernación de Antioquia (2015). Circular 9. Inventario de la Red Vial en el Departamento de Antioquia. Medellín. Recuperado de: http://secretariainfraestructura.antioquia.gov.co/descargas/InformacionRedVialAntioquia/Circular%209%20Inventario%20Red%20Vial%20Antioquia%20Diciembre%202015.pdf
Gökalp, I., Uz, V. E., Saltan, M. & Tutumluer, E. (2018). Technical and environmental evaluation of metallurgical slags as aggregate for sustainable pavement layer applications, Transportation Geotechnics, 14, 61-69. doi: 10.1016/J.TRGEO.2017.10.003
Guciute Scheving, A. (2011). Life Cycle Cost Analysis of Asphalt and Concrete Pavements (Tesis de Maestría, Reykjavík University, Islandia). Recuperado de: https://skemman.is/bitstream/1946/7684/1/Life%20Cycle%20Cost%20Analysis%20of%20Asphalt%20and%20Concrete%20Pavements.pdf
Gutiérrez Montes, C. A. (2010). Estabilización química de carreteras no pavimentadas en el Perú y ventajas comparativas del Cloruro de Magnesio (Bischofita) frente al Cloruro de Calcio (Monografía de Pregrado, Universidad Ricardo Palma, Escuela profesional de ingeniería civil, Lima, Perú). Recuperado de: http://cybertesis.urp.edu.pe/bitstream/urp/116/1/gutierrez_ca.pdf
Hafez, M., Ksaibati, K. & Atadero, R. (2018). Best Practices to Support and Improve Pavement Management Systems for Low-Volume Paved Roads - Phase I (Report No. CDOT-2018-03). Colorado Department of Transportation. Recuperado del sitio web Departamento de Transporte de Colorado: https://www.codot.gov/programs/research/pdfs/2018-Research-Reports/LVR-Phase-I/
Harbuck, R. H. & Brinckerhoff, P. (junio de 2009). Life cycle cost analysis for transportation projects. AACE International Transactions, 13p. Seattle, WA, United States. Recuperado de: http://www.scopus.com/inward/record.url?eid=2-s2.0-70449506946&partnerID=tZOtx3y1
Henning, T., Kadar, P. & Bennett, C. R. (2006). Surfacing Alternatives for Unsealed Rural Roads (Transport Note, No. TRN-33). Recuperado del sitio web Open Knowledge Repository - Banco Mundial: https://openknowledge.worldbank.org/handle/10986/11775
INNOVIAL (2017). Procesos de transferencia e innovación tecnológica para la construcción sostenible de vías terciarias. Reporte técnico. Medellín, Colombia.
INSTITUTO DE INVESTIGACIÓN DE RECURSOS BIOLÓGICOS ALEXANDER VON HUMBOLDT. (2015). Estudios técnicos, económicos, sociales y ambientales complejo de páramos Frontino - Urrao. Bogotá, Colombia. Recuperado de:http://repository.humboldt.org.co/handle/20.500.11761/9537
INVIAS (2016). Estudios y documentos previos para contratar el mantenimiento rutinario, en las vías a cargo del Instituto Nacional de Vías, dirección territorial Antioquia. Grupo 5, en el sector 2510, Hoyo rico - Los llanos, pr84+0370 - pr87+1295 y 2511 Los llanos - Tarazá. Bogotá: Autor.
ISO (2007). ISO 15686-5: Buildings and constructed assets - Service-life planning - Part 5: Life-cycle costing. Recuperado de: http://www.iso.org/iso/home/store/catalogue_tc/catalogue_detail.htm?csnumber=61148
Jaimes Guarín, J. P. (2014). Análisis de la conservación de la red vial terciaria del departamento de Boyacá en la actualidad (Monografía de Especialización, Universidad Católica de Colombia, Bogotá, Colombia).
Lozano-Espitia, I. & Restrepo-Salazar, J. C. (2016). El papel de la infraestructura rural en el desarrollo agrícola en Colombia. Coyuntura Económica, Investigación Económica y Social, 46(1), 107-147. doi: 10.13140/RG.2.1.2061.9766
Martínez Murillo, L. I. (2017) Análisis de los factores económicos y ambientales que influyen en la elección de alternativas de estabilización físico-química para vías terciarias en Colombia a partir de subproductos industriales procesados. Caso de aplicación Urrao, Antioquia (Tesis de maestría, Universidad Nacional de Colombia Sede Medellín).
Menéndez, J. R. (2003). Mantenimiento Rutinario de Caminos con Microempresas. Lima, Perú: Oficina Internacional del Trabajo.
Mikolaj, J. & Remek, L. (2014). Life Cycle Cost Analysis - Integral Part of Road Network Management System. Procedia Engineering, 91, 487-492. doi: 10.1016/j.proeng.2014.12.031
Ministerio de Obras Públicas y Comunicaciones de Paraguay (2011). Manual de carreteras del Paraguay. Tomo I, Vol. I: Normas para la evaluación de proyectos y geometría vial. Paraguay. Recuperado de: https://www.mopc.gov.py/userfiles/files/gap.pdf
Ministerio de Transporte de Colombia (2015). Resolución 1530 de 23 de Mayo de 2017. Adopta los criterios técnicos, la matriz y la guía metodológica para efectuar la caracterización de las vías de la red vial nacional a cargo de la nación, los departamentos, municipios y distritos. Diario oficial No 50242. Bogotá, Colombia.
Ministerio de Transporte y Comunicaciones de Perú (2008). Manual de diseño de carreteras no pavimentadas de bajo volumen de tránsito. Recuperado de: http://www.trianglegironi.cat/images/imatges%20i%20documents/cerdanya/urus/disseny%20carreteres.pdf
Motz, H. & Geiseler, J. (2001). Products of steel slags an opportunity to save natural resources. Waste Management, 21(3), 285-293.
Ozbay, K., Jawad, D., Parker, N. & Hussain, S. (2004). Life-Cycle Cost Analysis: State of the Practice Versus State of the Art. Transportation Research Record: Journal of the Transportation Research Board , 1864(1), 62-70.
Perafán, W. (2013). Guía para el mantenimiento rutinario de vías no pavimentadas. (Monografía de Especialización, Universidad de Medellín, Medellín, Colombia).
Praticò, F.; Saride, S. & Puppala, A. (2011). Comprehensive Life-Cycle Cost Analysis for Selection of Stabilization Alternatives for Better Performance of Low-Volume Roads. Transportation Research Record: Journal of the Transportation Research Board , 2204(1), 120-129. doi: 10.3141/2204-16.
Rodden, R. (2012). Análisis del costo del ciclo de vida: una herramienta para evaluar mejor las inversiones y decisiones técnicas en pavimentación. Recuperado de: http://www.acpa.org/wp-content/uploads/2014/07/EB011-Análisis-del-Costo-del-Ciclo-de-Vida.pdf
Southern African Development Community (2003). Guideline on Low-volume Sealed Roads. Gaborone: Autor. Recuperado de: http://www.vegvesen.no/_attachment/336352/binary/585507
SAMARIS (2006). Competitive and Sustainable Growth (GROWTH) Programme (SAM-D32). Recuperado de Transport Research and Innovation Monitoring and Information System − TRIMIS: https://trimis.ec.europa.eu/sites/default/files/project/documents/20100310_134040_3529_Samaris_Final_Summary_Report.pdf
Santero, N. J., Masanet, E. & Horvath, A. (2011). Life-cycle assessment of pavements. Part I: Critical review. Resources, Conservation and Recycling, 55(9-10), 801-809.
Schimmoller, V. E., Holtz, K., Eighmy, T. T., Wiles, C., Smith, M., Malasheskie, G., Rohrbach, G. J., Schaftlein, S., Helms, G., Campbell, R. D., Van Deusen, C. H., Ford, B., & Almborg, J. A. (2000). Recycled Materials in European Highway Environments: Uses, Technologies, and Policies. Washington, D.C.: Federal Highway Administration U.S., Department of Transportation. Recuperado de: https://international.fhwa.dot.gov/pdfs/recycolor.pdf
SCHROEDER, R. L. (1994). The Use of Recycled Materials in Highway Construction. Public Roads, 57(2). Recuperado de: https://www.fhwa.dot.gov/publications/publicroads/94fall/p94au32.cfm
STATE OF CALIFORNIA. (2013). Life-cycle cost analysis procedures manual. Department of Transportation Division of Maintenance Pavement Program. Recuperado de: http://www.dot.ca.gov/hq/maint/Pavement/Offices/Pavement_Engineering/LCCA_Docs/LCCA_25CA_Manual_Final_Aug_1_2013_v2.pdf
STEYN, W. M. & VISSER, A. (2011). Evaluation of Sustainability of Low-Volume Roads Treated with Nontraditional Stabilizers. Transportation Research Record: Journal of the Transportation Research Board , 2204, 186-193. Recuperado de: http://trrjournalonline.trb.org/doi/abs/10.3141/2204-24
The World Bank (2010). Road Software Tools - Road User Costs Model (HDM-4 RUC) Version 2.00. Recuperado de: http://worldbank.org/roadsoftwaretools/.
Tighe, S. (2001). Guidelines for Probabilistic Pavement Life Cycle Cost Analysis. Transportation Research Record: Journal of the Transportation Research Board , 1769, 28-38. doi: 10.3141/1769-04
Tuncan, A., Tuncan, M., & Koyuncu, H. (2000). Use of petroleum-contaminated drilling wastes as sub-base material for road construction. Waste Managementand Research, 18(5), 489-505. doi: 10.1034/j.1399-3070.2000.00135.x
Villar, L. & Ramírez, J. M. (2014). Infraestructura regional y pobreza rural. (Working Paper, No. 61 2014-2). Recuperado de Fedesarrollo: http://www.repository.fedesarrollo.org.co/handle/11445/234
Walls Iii, J. & Smith, M. R. (1998). Life-Cycle Cost Analysis in Pavement Design. In Search of Better Investment Decisions. Recuperado de: http://trid.trb.org/view.aspx?id=497646
Wennström, J. (2014). Life Cycle Costing in Road Planning and Management: A Case Study on Collision-free Roads (Tesis de Maestría, KTH Royal Institute of Technology, Suecia). Recuperado de: http://www.diva-portal.org/smash/record.jsf?pid=diva2%3A756353&dswid=-2853
Wilde, W. J., Waalkes, S., & Harrison, R. (1999). Life Cycle Cost Analysis of Portland Cement Concrete Pavements (Research Report SWUTC/01/167205-1). Recuperado de: http://citeseerx.ist.psu.edu/viewdoc/download?doi=10.1.1.198.6462&rep=rep1&type=pdf
Yepes, T., Ramírez, J. M., Villar, L. & Aguilar, J. (2013). Infraestructura de transporte en Colombia (Cuadernos Fedesarrollo, No. 46). Recuperado de Fedesarrollo: http://www.repository.fedesarrollo.org.co/handle/11445/153
Zuluaga Vélez, A. G. & Calle Mejía, S. (2008). Cálculo de los fletes terrestres, tiempos de tránsito y nivel de seguridad para las empresas del Valle de Aburrá y oriente cercano canalizando su comercio exterior por el puerto de Urabá, en el año 2006 (Monografía de pregrado, Universidad EAFIT, Medellín, Colombia).
Anexos





Notas