Artículos
El costo económico de los desastres naturales: el caso del tsunami y la emergencia nuclear en Japón en 2011
The economic cost of natural disasters: the case of the tsunami and nuclear emergency in Japan in 2011
Le coût économique des catastrophes naturelles: le cas du tsunami et d’urgence nucléaire au Japon en 2011
El costo económico de los desastres naturales: el caso del tsunami y la emergencia nuclear en Japón en 2011
Lecturas de Economía, núm. 93, pp. 225-260, 2020
Universidad de Antioquia

Recepción: 15 Noviembre 2019
Aprobación: 11 Abril 2020
Resumen: En este trabajo estamos interesados en estimar el costo económico del tsunami ocurrido en 2011 en Japón, el cual afectó dramáticamente las prefecturas (provincias) de la región nororiental (Fukushima, Itawe y Miyagui) y originó la posterior emergencia nuclear causada por el daño del reactor de Fukushima. Para lograr el objetivo, se utiliza la metodología de control sintético (MCS) construyendo “prefecturas sintéticas” y utilizando las prefecturas que no fueron afectadas por el tsunami. Los resultados muestran que el costo del desastre en 2011 ascendió a 2,5 billones de yenes (23000 millones de USD), equivalente al 18 % de un bloque del PIB (sumatoria de los PIB sectoriales relevantes para la economía de las tres prefecturas); así mismo, evidenciaron que el efecto causal positivo medido entre 2012 y 2014 fue de alrededor de 1,4 billones de yenes (12800 millones de USD), equivalente al 10 % del PIB. Los resultados de este artículo son relevantes, pues proveen una metodología para estimar el efecto causal económico de desastres naturales o de conflictos.
Palabras clave: contrafactual sintético; nuclear; Fukushima; ponderación óptima; tsunami.
Abstract: In this paper we are interested in estimating the economic cost of the tsunami occurred in 2011 in Japan (as well as the subsequent nuclear emergency caused by the damage to the Fukushima’s reactor) and that affected the prefectures (provinces) of the northeast region (Fukushima, Itawe and Miyagui). To this goal, we perform the synthetic control methodology (MCS), by constructing “synthetic prefecture” using the prefectures that were not affected by the Tsunami. The results show that the cost of disaster in 2011 amounted to 2.5 billion yen (23.000 million US $), equivalent to 18 % of GDP (sum of the sectoral GDP relevant to the economy of the three prefectures) and the positive causal effect measured between 2012 and 2014 was around 1.4 billion yen (12.800 million US $), equivalent to10 % of GDP. The results of this paper are relevant due to they provide us a methodology for estimating the economic causal effect of disasters and conflicts.
Keywords: synthetic counterfactual; nuclear; Fukushima; optimal weighting; tsunami.
Résumé: Dans ce travail nous souhaitons estimer le coût économique du tsunami survenu en 2011 au Japon, lequel a touché de façon spectaculaire les provinces de la région nord-est du pays (Fukushima, Itawe et Miyagui) et qui a endommagé le réacteur nucléaire de Fukushima. Pour atteindre l’objectif, la méthodologie de contrôle synthétique (MCS) est utilisée, ce qui implique distinguer les « provinces synthétiques » touchées et les provinces qui n’ont pas été touchées par le tsunami. Les résultats montrent que le coût de la catastrophe s’est élevé à 2,5 billions de yens (23 milliards USD), soit 18 % d’un bloc du PIB (la somme du PIB des secteurs essentiels des trois provinces). De même, nous montons que l’effet causal positif entre 2012 et 2014 était d’environ 1,4 billion de yens (12,8 milliards USD), soit 10 % du PIB. Les résultats de cet article fournissent une méthodologie pour estimer l’effet causal économique, soit des catastrophes naturelles ou bien des conflits.
Mots clés: contrefactuel synthétique; nucléaire; Fukushima; pondération optimale; tsunami.
Introducción
El 11 de marzo del 2011 aproximadamente a las 2 p. m. (hora local), se produjo un terremoto en la costa nororiental de Japón que causó posteriormente un tsunami que golpeó la costa 30 minutos después. Esta combinación de sucesos produjo una emergencia adicional en la planta nuclear de Fukushima Daiichi en donde se registraron tres fusiones nucleares y emisiones de material radiactivo, lo que implicó la evacuación de 154000 personas en un área de 20 km2 alrededor de la planta. Estos eventos no solo se tradujeron en la pérdida de vidas humanas sino también en cuantiosos daños materiales para una parte importante de las prefecturas del nororiente de Japón. Tales detalles pueden encontrarse en Kazama y Noda (2012), en especial sobre las prefecturas de Iwate, Miyagi y Fukushima; mientras que las demás prefecturas sufrieron daños leves, principalmente causados por el terremoto (Norio et al., 2011).
Lo ocurrido en la costa noreste de Japón puede ser considerado entonces como un experimento natural. En primer lugar, la ocurrencia de un terremoto o un tsunami no depende de ninguna característica particular de las prefecturas de Japón. En segundo lugar, el terremoto, y posterior tsunami, afectó solamente a un grupo de prefecturas bien definidas, mientras que las demás prefecturas no sufrieron mayores daños, lo que garantiza que el evento es exógeno. Esto se mantiene aun cuando se considera que las prefecturas afectadas fueron costeras, ya que existen otras prefecturas costeras que no fueron afectadas debido a la ubicación aleatoria del terremoto. Esto implica que la asignación del tratamiento (entre afectados y no afectados) es completamente aleatoria y, por lo tanto, las características no observables de la población objeto de estudio no influyen en el efecto del desastre. En consecuencia, este accidente de la naturaleza provee la información adecuada para llevar a cabo una evaluación de impacto (véase DiNardo, 2010 y Bernal & Peña, 2011).
A pesar de lo anterior, hay poca literatura enfocada en determinar el costo económico y el efecto causal del tsunami en 2011, y en los años posteriores, sobre la economía japonesa. De hecho, una revisión literaria de lo ocurrido en Japón indica que la atención se centró sobre todo en el efecto del desastre sobre la opinión pública acerca de la pertinencia de continuar con el uso de energía nuclear, sobre este tema se pueden ver, por ejemplo, los trabajos de Davies (2011), Wittneben (2012), Kim et al. (2013), Bird et al. (2014) y Welsch y Biermann (2014), entre otros. Otra literatura relacionada se concentró en hacer un inventario de los daños materiales, como, por ejemplo, Norio et al. (2011). Por otro lado, trabajos como los de Rehdanz et al. (2015) y Schnell et al. (2012), a pesar de que intentan mostrar los efectos causales del desastre nuclear, no logran medir el impacto económico, ya que, el primero utiliza técnicas de diferencias-en-diferencias con el propósito principal de medir la pérdida de bienestar de las personas, mientras que el segundo solo hace un análisis descriptivo de las series de tiempo de variables económicas —antes y después— del desastre natural y la posterior emergencia nuclear.
Teniendo en cuenta lo anterior, este artículo tiene como objetivo llevar a cabo una evaluación de los costos económicos, así como el efecto causal del tsunami y la subsecuente emergencia nuclear, sobre la economía de la región nororiental de Japón, la más afectada y que está constituida por las prefecturas de Fukushima, Itawe y Miyagi (véase Figura 1A en el Anexo). Para lograr el objetivo implementamos una metodología de control sintético (MCS) para cada prefectura. Las principales razones esgrimidas en la literatura para usar esta metodología son que permite separar los efectos de otros eventos y producir coeficientes estimados con ausencia de sesgo sin necesidad de muchos datos anteriores al evento en estudio. De aquí que, para este artículo, se eligiera esta metodología para evaluar el impacto socioeconómico del tsunami y la emergencia nuclear en Fukushima.
En este sentido, las contribuciones de este artículo se pueden resumir del siguiente modo: primero, este trabajo está entre los pocos artículos que usa una MCS para evaluar efectos de desastres naturales; segundo, este artículo contribuye con una cuantificación del costo en términos de producto interno bruto (PIB) del desastre; tercero, evaluamos el efecto causal del desastre natural, es decir, que se determina si la evolución del PIB de las regiones afectadas es positiva a partir de 2012 y el mecanismo de transmisión; cuarto, el artículo es una contribución a la literatura nacional sobre estadística causal. Nuestros resultados indican que el costo económico del tsunami ascendió a 2,5 billones[1] de yenes, equivalente, en promedio, al 18% de PIB sectorial de Japón (suma de los PIB industrial, agrícola, inmobiliario, servicios, minero y manufacturero). Se eligieron estos sectores por ser lo más relevantes para la economía de las regiones de las prefecturas afectadas. Además, el efecto causal positivo del desastre asciende a 1,4 billones de yenes, aproximadamente 10% del PIB sectorial.
Los artículos dedicados a evaluar los efectos del tsunami y la emergencia nuclear de Fukushima son los siguientes: Kajitani y Tatano (2014), Tanaka y Managi (2016) y Kawaguchi y Yukutake (2017), quienes utilizan técnicas de valoración económica (precios hedónicos) con el fin de evaluar la pérdida de valor sobre el suelo causada por el desastre nuclear. De otra parte, Ando y Kimura (2012), Cavallo et al. (2014) y Carvalho et al. (2016) calcularon el impacto económico a través del análisis de la disrupción de la cadena de suministro provocada por el desastre natural. Ambos autores realizan los estudios basados en análisis de supervivencia para concluir, de un lado, que el impacto sobre las exportaciones y la cadena de suministro fue menor al producido por la crisis financiera del 2008 y, de otro lado, que el impacto del terremoto sobre la disponibilidad de bienes implicó una disminución de 17% en el stock de productos, pero no afectó significativamente el nivel de precios. Carvalho et al. (2016) desarrollan un modelo teórico y empírico para estimar los choques en la cadena de suministro, y concluyeron que el desastre significó una desaceleración del 1,2% del PIB en el año 2012.
Los artículos y documentos de trabajo relacionados con la evaluación de los efectos de desastres sobre la economía (usando inferencia causal u otras técnicas) no son tan habituales como se pudiera esperar, debido a la poca frecuencia de estos eventos (por fortuna). Strobl (2001) estima el impacto de los huracanes en la tasa de crecimiento económico usando un panel de datos de condados costeros de EUA, y construye un índice de destrucción de huracanes basado en una ecuación de pérdida monetaria, velocidad estimada de vientos locales y características de los condados. Sus resultados sugieren que la tasa de crecimiento anual de los condados cae 0,45%, y 28% de esta caída se debe a que las personas más ricas abandonan las zonas afectadas.
Pelling et al. (2002) estudian el impacto macroeconómico de los desastres naturales y concluyen que, a pesar de 30 años de estudios, las políticas internacionales de desarrollo están lejos de generar las medidas de protección para las personas más vulnerables durante los desastres. Benson y Clay (2004) en un reporte del Banco Mundial exploran las implicaciones de los desastres naturales sobre la macroeconomía y las finanzas públicas, incluyendo el papel de la información y los mecanismos de propagación del riesgo, para lo cual toman evidencia de Bangladesh, Dominica y Malawi. Los autores concluyen que los desastres naturales grandes tienen efectos negativos muy fuertes sobre el crecimiento económico de corto plazo y fuertes impactos presupuestarios; y en el largo plazo tienen efectos sobre el crecimiento, la reducción de la pobreza y el desarrollo.
Athukorala y Rosesudarmo (2006) documentan y analizan los efectos económicos inmediatos del tsunami en el océano Índico generado por el terremoto en Sumatra el 26 de diciembre de 2004, con epicentro en Indonesia (provincia de Aceh) y Sri Lanka, y evalúan los resultados de la gestión del desastre. Hallazgos preliminares señalan la importancia de educar a las personas sobre simples medidas de precaución, o reiterando sobre la necesidad de políticas costeras de regulación ambiental. Pereira (2009), combinando datos existentes y archivos históricos, provee estimaciones del impacto del terremoto de Lisboa en 1755, la catástrofe natural más grande y recordada en Europa. El costo directo fue la pérdida de entre el 32% y el 48% del PIB portugués; además, a pesar del estricto control, los precios y salarios se mantuvieron volátiles en los años siguientes a la tragedia.
Fomby et al. (2009) usan la metodología de vectores autorregresivos con variables exógenas (VARX) que aplicada a un panel de datos provee evidencia de efectos heterogéneos de una variada dimensión. Primero, evidencia que los efectos de los desastres naturales son más fuertes sobre los países en desarrollo que en los desarrollados. Segundo, que los desastres de moderada intensidad pueden ser beneficios. Tercero, que no todos los desastres naturales son iguales en términos del crecimiento que puedan inducir y que, sorprendentemente, algunos pueden conllevar beneficios respecto al crecimiento económico.
Finalmente, artículos más cercanos a la metodología usada en este trabajo se encuentran recopilados en la amplia revisión de la literatura de Cavallo y Noy (2009); también en artículos empíricos como el de Halim et al. (2013) y Heger (2016). Estos últimos muestran el efecto causal del tsunami ocurrido en Indonesia en 2004, ambos usando técnicas de control sintético. Halim et al. (2013) muestran que después del tsunami existieron impactos positivos sobre la provincia de Aceh que fue la más afectada por el tsunami, mientras que Heger (2016) estima el impacto total del desastre en 4,5 billones de dólares.
Este trabajo se divide en las siguientes secciones, además de esta introducción: la sección I presenta la metodología a implementar y la descripción estadística de los datos usados en la estimación de los efectos causales. La sección II presenta una detallada exposición de todos los resultados y los efectos del tsunami y la emergencia nuclear en las variables económicas de interés. Finalmente, se presentan las conclusiones y la discusión de estas.
I. Metodología
Las técnicas de inferencia causal para evaluar el impacto de los desastres naturales son de reciente uso, como se ve, por ejemplo, en Toya y Skidmore (2007); Padli et al. (2010); Cavallo et al. (2011); Xiao (2011), Coffman y Noy (2012); Cavallo et al. (2013), y los ya mencionados Heger (2016), Halim et al. (2013). Se destacan estos últimos por usar controles sintéticos, como la propuesta en este artículo, para evaluar el impacto de desastres naturales. Esta técnica consistente en construir un contrafactual que reensamble las características de la unidad tratada antes del shock exógeno, es utilizada sobre todo para aprovechar la data a nivel regional tomando ventaja de las propiedades de los experimentos naturales.
En este sentido, la construcción de un adecuado contrafactual sintético consiste en diseñar, a partir de otras regiones que no fueron afectadas por el fenómeno (tratamiento) una región con características similares a la región tratada, permitiendo así la posterior comparación y estimación del impacto del desastre, como está demostrado en Abadie y Gardeazabal (2003). Debido a las características de Japón y de la zona de desastre (las prefecturas de Iwate, Miyagi y Fukushima), se pueden analizar varios efectos causales: primero, se puede mostrar el efecto causal del desastre nuclear creando un control sintético de Fukushima a partir de las regiones que no fueron afectadas ni por el tsunami ni por la emergencia nuclear, esto se debe a que, si bien existieron daños causados por el tsunami en estas regiones, no hubo daños significativamente grandes, como sí los hubo en las prefecturas de Iwate y Miyagi (véase Norio et al., 2011); de hecho, la mayoría de afectaciones se produjeron debido al desastre nuclear (véase Kazama & Noda, 2012). Segundo, el efecto solamente del terremoto y posterior tsunami puede ser cuantificado a través del diseño de controles sintéticos para Iwate y Miyagi, en donde existieron efectos significativos del terremoto y tsunami, pero no hubo emergencia nuclear.
Con este propósito se tomaron las 44 prefecturas de Japón, excluyendo a Fukushima, Iwate y Miyagi, con el fin de elaborar el control sintético, ya que las tres prefecturas mencionadas fueron las que sufrieron graves daños (Kazama & Noda, 2012) y, además, se encontraban sobre la isla principal de Japón. Adicionalmente, las variables de PIB[2] real de 6 ramas de la economía, el número de universidades, el ingreso gravable y la tasa de mortalidad fueron tomadas como las características a recrear en el control sintético y cuyos datos fueron tomados de la página web de estadísticas oficiales de Japón para el periodo entre el 2001 y el 2014; mientras que la variable resultado fue el PIB real de las regiones medida en millones de yenes. En este punto, cabe aclarar que las variables de mercado laboral como el desempleo, los salarios y la inflación no se encontraban disponibles a nivel regional al momento de la consulta, por lo que fueron excluidas del análisis. La Tabla 1 muestra las estadísticas descriptivas de los datos utilizados.
| Variable | Min | Mediana | Media | Máximo |
| PIB Industrial | 1405574 | 5056662 | 9706940 | 92260783 |
| PIB Agricultura | 16546 | 69402 | 96575 | 583252 |
| PIB Energía | 32973 | 163733 | 268764 | 1295921 |
| PIB Mayoristas | 72340 | 242018 | 598102 | 11943583 |
| PIB Financiero | 238719 | 672060 | 1411690 | 12272792 |
| PIB Bienes Raíces | 55861 | 262274 | 518353 | 4099566 |
| PIB Transporte | 54042 | 179250 | 566341 | 11556342 |
| PIB Comunicaciones | 347745 | 1123297 | 2055919 | 19980581 |
| PIB Servicios | 278057 | 642986 | 973199 | 6497848 |
| PIB Forestal | 269 | 10786 | 16072 | 178794 |
| PIB Pesca | 259 | 7000 | 10627 | 141794 |
| PIB Minería | 152050 | 1234828 | 2064023 | 13612800 |
| PIB Manufactura | 102344 | 352850 | 601530 | 4818080 |
| Universidades | 1 | 5 | 9,43 | 72 |
| Ingreso gravable | 612368 | 1948830 | 3867110 | 28369721 |
| Población | 574000 | 1727000 | 2717105 | 13390000 |
| Tasa de mortalidad | 6 | 9,8 | 9,8 | 17,1 |
| Formación de capital | 3726 | 1285,2 | 2147,8 | 14984,5 |
| Gasto del Gobierno | 150025 | 403201 | 557503 | 2996149 |
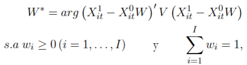
Sea el número de regiones de control y
un vector de ponderadores no-negativos que suman 1. El escalar
representa el peso de la región en la región sintética; diferentes produce diferentes regiones sintéticas y, siguiendo a Abadie y Gardeazabal (2003), la elección de un subconjunto de regiones de control está incorporada en la elección . La metodología de control sintético consiste en estimar la diferencia entre la variable de resultado del grupo tratado de la región en el año , denotado por
y su contrafactual sintético denotado por
después de que se genere el choque exógeno, y donde
puede escribirse como la combinación lineal de las variables de resultado de las regiones de control, tal que
, donde es un vector de pesos que se le asigna a cada una de las regiones de control.
Abadie et al. (2011) y Abadie y Gardeazabal (2003) muestran que en aplicaciones empíricas una matriz podría no existir, ya que las variables explicativas de la unidad tratada
están por fuera del conjunto convexo de las variables explicativas de las unidades de control
, y por tanto la matriz de pesos debe hallarse de tal forma que la combinación lineal de las características de las unidades de control reconstruyan las características de la unidad tratada, es decir, que la óptima será tal que minimice el MSE entre las características de las unidades tratadas y de control. Esto puede expresarse como (1):
(1)donde es una matriz definida positiva que se usa en la elección óptima de . Una vez se encuentra la matriz de ponderación óptima, se procede a construir la variable de resultado en la prefectura sintética de acuerdo con
. Finalmente, una vez obtenidas las ponderaciones que minimizan
se puede calcular el promedio ponderado de cada variable antes y después del tratamiento (desastre) para encontrar el efecto causal, y así proceder a estimar la diferencia entre la unidad tratada y la sintética después de ocurrido el choque exógeno en de acuerdo a la expresión:
(2)En otras palabras, se trata de medir la diferencia entre lo que sucedió con el tratamiento (desastre) y lo que habría ocurrido si no hubiera existido el desastre, es decir el contrafactual. De acuerdo a la ecuación (2), para que el modelo tenga validez, debería observarse que tal diferencia estuviera muy cercana a 0 en el periodo 2001-2010, puesto que entre esos años no existió ningún choque exógeno y que solo a partir del 2011 existe una diferencia estadísticamente significativa entre estas variables, producto de la ocurrencia del tsunami y la subsecuente emergencia nuclear. Adicionalmente, el efecto causal se considera que ha terminado una vez la variable real converge de nuevo al control sintético.
En este punto, es importante resaltar que, si bien existían variables que controlaban el nivel de empleo, así como la movilidad del trabajo, no fue posible incluirlas, puesto que la medición de estas a nivel regional se lleva a cabo de manera quinquenal y el proceso de extrapolar estos datos para obtener información entre quinquenios podría introducir sesgos de selección en la muestra de control. Los datos se analizaron usando el software R y la rutina Synth que permite encontrar la raíz de las ponderaciones para construir el contrafactual sintético (para más detalles véase Abadie et al., 2011).
II. Resultados
Debido a los tres efectos causales que se pueden encontrar con esta metodología, esta sección se divide en tres subsecciones. Primero, se presentan las estadísticas descriptivas de los datos utilizados, en especial la situación del PIB de Fukushima y el comportamiento de los sectores antes y después del desastre. Segundo, se muestran los resultados del impacto del desastre nuclear en Fukushima. Tercero, se presentan los resultados para las prefecturas de Iwate y Miyagi, con el fin de estimar el efecto del desastre natural.
Es importante anotar que, en términos prácticos, la MCS es una especie de regresión de diferencias en diferencia, que aprovecha las diferencias en las unidades tratadas y no tratadas en el caso a estudiar. Tiene como característica principal que restringe los pesos de las variables a sumar 1, y que construyen sintéticamente unidades de análisis muy parecidas a las afectadas (contrafactual de tratamiento). En consecuencia, la metodología no proporciona los errores estándar clásicos para evaluar la significancia de las variables, por lo que los autores Abadie y Gardeazabal (2003) sugieren realizar pruebas de placebo o de permutación. Tales pruebas arrojan como resultado que el Gasto de Gobierno y la rápida Formación de capital son fundamentales, entre otras variables, para acelerar la economía agregada (PIB) regional y la economía de Japón a los niveles previos al desastre natural.
A. Análisis descriptivos de las series de tiempo
Con el fin de mostrar la situación económica de Japón, la Figura 1 muestra el desempeño del PIB real del país en el periodo entre 2002 y 2014 en el cual se logra observar una tendencia creciente de estas variables a pesar de existir una profunda recesión entre los años 2007 y 2009. A pesar de lo anterior, la Figura 2 muestra que en el 2010, Japón recuperaba su ritmo de crecimiento, y para el 2011 ya el PIB se encontraba en el mismo nivel del 2007; a partir de allí, Japón experimentó un leve decrecimiento en el 2014.

La anterior dinámica de PIB japonés, en especial la que comprende el periodo 2010-2011, puede proveer evidencia sobre la economía del desastre ocurrido en 2011. Debido a que el PIB durante el 2011 creció, se puede intuir que el terremoto-tsunami y el posterior desastre nuclear en el noroeste de Japón no tuvo efectos significativos sobre el crecimiento económico y que los mayores efectos se sintieron en 2012, cuando el PIB decreció levemente, en casi el 2%.
Este primer análisis puede deberse a que los países desarrollados son menos sensibles a desastres naturales que los países en desarrollo, como lo sugieren Loayza et al. (2012). Adicionalmente, puede estar ocurriendo que el efecto del desastre ocurrido en la prefectura de Fukushima haya sido absorbido por las demás prefecturas, y de allí la necesidad de observar si a nivel regional hubo algún impacto económico, como analizaremos más adelante.
Como se logra observar en la Figura 2, a nivel regional sí se logra observar una alteración en el comportamiento del PIB real de Fukushima frente al promedio nacional. En este sentido, vemos cómo el PIB de esta prefectura disminuye de manera pronunciada en el año 2011, mientras que el promedio nacional aumenta. Adicionalmente, se observa un rápido crecimiento en los 2 años posteriores al desastre, lo que provee evidencias de que la duración del impacto económico de este pudo haber sido corto.

A pesar de que la comparación anterior muestra que probablemente sí existió efecto causal producido por el terremoto, tsunami y posterior desastre nuclear en la prefectura de Fukushima, puede que aún existan efectos de agregación en el análisis que se realizó a partir de la Figura 2. En este sentido, con el fin de disminuir el sesgo por agregación, se comparará el PIB de Fukushima frente a las prefecturas que componen la región de Tohoku y en donde se encuentra la prefectura a analizar. De esta manera se aseguraría una mayor homogeneidad en las características idiosincráticas como la cultura, la economía y, más importante aún, la presencia de plantas nucleares; de este modo se puede observar si pudo haber existido un efecto causal de manera un poco más transparente.
La Figura 3 muestra cómo en el 2011 en la región de Tohoku se produjo una caída abrupta del ingreso cuando el PIB promedio de la región, excluyendo a Fukushima, pasó de 27268 millones de yenes en el 2010 a 11142 millones de yenes al finalizar el 2011. La figura anterior muestra que tanto a nivel de región como a nivel de Fukushima existieron variaciones significativas del PIB regional frente al promedio nacional y que en las regiones de Iwate y Miyagi el efecto económico del terremoto y posterior tsunami tuvo una mayor duración. Con el fin de comprobar lo anterior, se analizará gráficamente el comportamiento de las dos prefecturas mencionadas anteriormente.

La Figura 4 muestra que mientras el PIB en la prefectura de Miyagi continuó creciendo en el 2011, en la prefectura de Iwate sí se observa una pequeña disminución del PIB, lo que indicaría que mientras que en Iwate no habría efecto causal apreciable del desastre, sí lo habría en Miyagi. Adicionalmente, en ambos casos después del desastre, el PIB crece rápidamente, lo que implicaría que el desastre, posiblemente debido a las inversiones en capital y esfuerzos de reconstrucción, tuvo impactos económicos positivos (véase Kazama & Noda, 2012). Finalmente, la gráfica muestra que pueden existir problemas en la construcción del control sintético, debido a la fuerte caída del PIB en el año 2009 causada por la crisis financiera internacional. Con el fin de validar este análisis, en la siguiente sección se cuantifican estos posibles impactos económicos.

B. Costo y efecto del desastre nuclear de Fukushima
A continuación, se presentan los resultados de la aplicación de la metodología de control sintético descrita en la sección anterior para establecer el efecto causal del accidente nuclear de Fukushima sobre el PIB. En este sentido, la Tabla 2 muestra las características de la prefectura de Fukushima (la tratada), la del control sintético y la media de la muestra para las demás prefecturas analizadas. Se observa cómo el control sintético es capaz de replicar las características de Fukushima.
| Tratados | Sintético | Media (*) | |
| PIB Industrial | 6643868 | 6540545 | 9706940 |
| PIB Agricultura | 123358 | 123217 | 96575 |
| PIB Bienes Raíces | 302050 | 367435 | 518353 |
| PIB Servicios | 793183 | 723159 | 973199 |
| PIB Minería | 1932714 | 1882100 | 2064023 |
| PIB Manufactura | 410063 | 417735 | 601530 |
| Universidades | 5,00 | 5,16 | 72 |
| Ingreso gravable | 2321811763 | 2443388744 | 3867110 |
| Población | 2076931 | 1955962 | 2717105 |
| Tasa de mortalidad | 1008 | 1008 | 9,8 |
| Formación de capital | 1646 | 1614 | 2147,8 |
Una vez se construye el control, se procede a calcular el PIB sintético de acuerdo a como se mencionó en la sección anterior y que se puede observar en la Figura 5. Allí se muestra cómo el PIB y el PIB sintético son bastante similares hasta antes del año 2011, cuando se produce una fuerte desviación que parece perdurar solamente un año. Esto es consistente con los hallazgos de Toya y Skidmore (2007) quienes concluyen que en países desarrollados los efectos de desastres naturales tienden a durar muy poco frente a los países en desarrollo.

A pesar de lo anterior, se puede observar cómo en el 2010 el PIB de Fukushima comienza a desviarse del control sintético, lo que podría deberse a que entre el 2009 y el 2010 el PIB de Fukushima sufrió una contracción que no fue compartida por las demás regiones utilizadas para la construcción del control sintético y, en este sentido, las variables que no se tuvieron en cuenta para construir este control (debido a la falta de datos a nivel regional) podrían ser un factor que explica estas desviaciones. Sin embargo, si bien esta desviación implica un sesgo a la hora de estimar el efecto del tsunami, no implica la inexistencia del efecto del terremoto, tsunami y posterior emergencia nuclear en el año 2011 y que se puede analizar en la Figura 6.

El costo económico del desastre en 2011 en Fukushima se calcula como la diferencia entre el PIB observado y el sintético; esta brecha asciende a 1,02 billones de yenes, lo que equivale al 7,3% del PIB de Fukushima.
C. Efecto del terremoto y el tsunami en Iwate y Miyagi
Como se mencionó en la metodología, debido a que las prefecturas más afectadas por el terremoto y posterior tsunami, pero no por el desastre nuclear, fueron las prefecturas de Iwate y Miyagi, a continuación, se llevará a cabo el análisis de control sintético sobre las prefecturas mencionadas para observar el efecto causal del desastre natural sobre el PIB real. Para lograr calcular el efecto total del desastre nuclear se adicionará, al final de esta subsección, el impacto del desastre nuclear en ambas regiones.
1. Efecto causal en Iwate
La Tabla 3 muestra el resumen estadístico de las variables utilizadas para la construcción del control sintético de la prefectura de Iwate. Allí podemos observar como las variables de esta prefectura (tratado) son similares a la prefectura sintética, y de este modo se observa también cómo la metodología es capaz de replicar las características de Iwate.
| Tratados | Sintético | Media (*) | |
| PIB Industrial | 3707421 | 3620527 | 9706940 |
| PIB Agricultura | 122008 | 93370 | 96575 |
| PIB Bienes Raíces | 205402 | 206039 | 518353 |
| PIB Servicios | 577443 | 586289 | 973199 |
| PIB Minería | 695274 | 632205 | 2064023 |
| PIB Manufactura | 328969 | 325669 | 601530 |
| Universidades | 5,56 | 5,53 | 72 |
| Impuesto Gravable | 1436449413 | 1542643908 | 3867110 |
| Población | 1372132 | 1320726 | 2717105 |
| Tasa de Mortalidad | 10,6 | 10,6 | 9,8 |
| Formación de Capital | 959 | 975 | 2147,8 |
Una vez se construye el control, se procede a calcular el PIB sintético de acuerdo a lo mencionado en la sección anterior, y que se pueden observar en las Figuras 7 y 8. Allí se muestra cómo el PIB y el PIB sintético son aparentemente similares hasta antes del año 2011, cuando se produce una fuerte desviación que parece perdurar hasta el año 2013. Lo anterior sugiere que el desastre natural tuvo efecto durante un mayor tiempo que el desastre nuclear.


El costo económico del desastre en 2011 en Itawe, de nuevo calculado como la diferencia entre el PIB observado y el sintético, asciende a 605920 millones de yenes, esto es, al 4,3% del PIB de Itawe.
2. Efecto causal en Miyagi
Finalmente, la Tabla 4 muestra el resumen estadístico de las variables utilizadas para la construcción del control sintético de la prefectura de Miyagi. Allí podemos observar como las variables de esta prefectura (tratado) son muy similares a la prefectura sintética, y de este modo se observa también cómo la metodología es capaz de replicar las características de Miyagi.
| Tratados | Sintético | Media (*) | |
| PIB Industrial | 7153997 | 7085771 | 9706940 |
| PIB Agricultura | 88795 | 88810 | 96575 |
| PIB Bienes Raíces | 405308 | 408530 | 518353 |
| PIB Servicios | 940508 | 933058 | 973199 |
| PIB Minería | 1064237 | 1066549 | 2064023 |
| PIB Manufacturero | 494208 | 516337 | 601530 |
| Universidades | 5,44 | 6,82 | 72 |
| Ingreso Gravable | 2920762048 | 2930419212 | 3867110 |
| Población | 2357931 | 2349447 | 2717105 |
| Tasa de Mortalidad | 842 | 8.42 | 9,8 |
| Formación de Capital | 21,42 | 21,18 | 2147,8 |
Una vez se construye el control, se procede a calcular el PIB sintético como se mencionó en la sección anterior, y que se pueden observar en la Figura 9. En esta se muestra cómo el PIB y el PIB sintético son aparentemente similares hasta antes del año 2011, cuando se produce una fuerte desviación que parece perdurar hasta el año 2014. Sin embargo si bien en el 2011 el impacto del desastre natural fue negativo, se observa que de inmediato el PIB comienza a crecer rápidamente, generando desviaciones positivas frente al control sintético; esto confirma la presencia de un impacto positivo del desastre natural sobre la prefectura de Miyagi, lo que puede deberse a la inversión en infraestructura y en capital que se produce normalmente después de grandes desastres naturales en especial en países desarrollados (véase, por ejemplo, Crespo Cuaresma et al., 2008; Loayza et al., 2012 y Gignoux & Menéndez, 2016). Para el caso de Japón, el impacto del desastre natural fue inclusive menor que la crisis financiera del 2008, como lo afirman Ando y Kimura (2012). Adicionalmente, este impacto positivo, aunque pequeño en magnitud, parece perdurar en el tiempo, de tal forma que al año 2014, momento de corte en los datos, este efecto no se había disipado.

Este mismo tipo de impacto positivo de un desastre natural sobre la tendencia de crecimiento del PIB fue encontrado por Heger (2016) en la provincia de Aceh (Indonesia), la cual, al igual que Miyagi, fue la más afectada por el tsunami, debido, principalmente, a que las altas inversiones realizadas para reconstruir dicha provincia generaron una reactivación de la economía a través de la formación de capital a tal punto que generaron un cambio estructural en la economía de la provincia de Aceh.
A pesar de lo anterior, se puede observar cómo en el 2008 el PIB de Miyagi comienza a desviarse del control sintético, lo que podría deberse al impacto de la crisis económica del año 2008; sin embargo, también se observa cómo esta brecha se reduce rápidamente y en el 2011, cuando ocurre el desastre, vuelve a ampliarse la brecha. Lo anterior se puede observar en la Figura 10. Teniendo en cuenta esto, el costo del desastre natural en Miyagi puede estimarse en una brecha que ronda los 889250 millones de yenes, equivalentes al 6,4% del PIB de Miyagui. Lo que implica que, en total, el desastre natural tuvo un impacto cercano a los 31000 millones de yenes. Las posibles razones para que se dé este positivo en Miyagi se explorarán a continuación.

Como se mencionó anteriormente, el mecanismo de transmisión para que haya existido un impacto positivo posterior a 2011 en la prefectura de Miyagi después del desastre pudo ser las inversiones realizadas posteriormente. En total, y solo las realizadas por el gobierno, alcanzaron miles de millones de yenes solo en el 2011, que incentivaron no solo el gasto de los hogares en bienes durables y no durables, a través de los subsidios, sino también la inversión en capital físico, tales como la reconstrucción de puertos, carreteras e infraestructura pública como hospitales y escuelas que fueron destruidos por el tsunami, impulsando de esta manera la demanda agregada de la prefectura.
En este sentido, para que exista evidencia a favor de esta hipótesis, se debería cumplir que, en primer lugar, exista una mayor formación de capital en la prefectura de Miyagi, así como un mayor gasto público, en comparación con el resto de las prefecturas afectadas y frente al resto de Japón. En este sentido, la Figura 11, muestra la formación de capital de Miyagi (rosa claro), el promedio de las prefecturas afectadas —con excepción de Miyagi— (rojo) y el promedio de Japón —excluyendo las prefecturas afectadas— (azul).
La Figura 11 muestra cómo la formación de capital en la prefectura de Miyagi sigue una tendencia decreciente hasta el año 2010, para luego comenzar un espectacular aumento después del año 2011, sobrepasando en el año 2012 al promedio de formación de capital de Japón, que continúa su tendencia descendente. Adicionalmente, el comportamiento del promedio de formación de capital de las prefecturas de Fukushima e Iwate es similar al de la prefectura de Miyagi, pero en un nivel mucho menor, y su crecimiento después del desastre es más lento en comparación con la última prefectura mencionada.

La Figura 12 muestra el comportamiento del gasto del gobierno japonés entre los años 2001-2014 para la prefectura de Miyagi (rosa claro), el promedio de Iwate y Fukushima (rojo) y el promedio de las prefecturas no afectadas por el desastre natural (azul). En ella, se logra observar cómo, en general, el gasto del gobierno venía decreciendo entre los años 2001-2010; sin embargo, en 2011 se logra observar que el gasto en Miyagi y el promedio de Iwate y Fukushima comienza a aumentar, siendo el aumento del primero mayor al segundo, lo que se explica debido a que la prefectura de Miyagi fue la que presentó mayor afectación por el desastre natural, como lo afirman Kazama y Noda (2012), y, por tanto, la que mayor inversión para la reconstrucción necesitaba.
En este sentido, el crecimiento rápido que experimentaron tanto la Formación de capital como el Gasto público en la prefectura de Miyagi, en comparación con las otras prefecturas afectadas y frente al promedio nacional, explica el apreciable aumento del PIB en los años posteriores al desastre natural. La fuerte correlación en el comportamiento de estas variables puede observarse en las Figuras 11 y 13 y en donde se muestra el PIB y el gasto público en Miyagi.


Al igual que Heger (2016), en la Figura 14, se mostrará como el terremoto y posterior tsunami afectó a los diferentes sectores económicos de Miyagi, para así poder observar si existió algún cambio significativo en su estructura.

En la Figura 14 se observa cómo los diferentes sectores de la prefectura de Miyagi reaccionaron al terremoto y posterior tsunami. De allí se destaca el comportamiento del PIB de los sectores Industrial (Figura del lado izquierdo), de Electricidad, Manufacturero y de Bienes raíces debido a que, en primer lugar, entre el 2001 y el 2010 se observa una clara tendencia a la baja del PIB de estos sectores; sin embargo, después de un leve choque negativo en los sectores de Electricidad, Bienes raíces e Industrial, en el 2011, se evidencia un crecimiento pronunciado, especialmente en el sector Industrial y Manufacturero, mientras que en el de Bienes raíces y de Energía se observa que los niveles del PIB retornan a niveles de 2009 en menos de un año. Llama la atención el comportamiento del sector Manufacturero, que pasa de ser el cuarto sector, en términos del PIB, a ser el segundo después del desastre natural; esto aporta evidencia de que pudo haber existido un cambio estructural en la economía de la prefectura de Miyagi.
Finalmente, otros dos factores importantes estarían propiciando también el impacto positivo observado en la prefectura de Miyagi, el efecto sobre los sectores económico de esta prefectura y el relativo bajo impacto en la prefectura de Iwate provocada por el terremoto y posterior tsunami: la resiliencia del aparato productivo de Japón y la eficiencia del Estado para restablecer la infraestructura. En este sentido, en primer lugar, Ando y Kimura (2012) muestran cómo la producción y las exportaciones de Japón, en especial de maquinaria y el sector automotor, solo disminuyeron en abril del 2011 y para junio de ese mismo año, y la producción y las exportaciones superaron los niveles previos al terremoto. En esta misma línea, Todo et al. (2015) muestran cómo estas cadenas de suministro mostraron alta resiliencia al fenómeno natural y posterior emergencia nuclear, lo que generó que la producción se recuperara rápidamente. El segundo factor, la eficiencia del Estado para restablecer la infraestructura económica básica, se observa en estudios como Cimellaro et al. (2014), en el que se muestra cómo, en menos de un mes, el servicio de energía, gas y agua se restablecieron casi en un 100% en las provincias afectadas.
Conclusiones y discusión
El presente artículo evalúa el costo económico y el efecto causal sobre el PIB sectorial de Japón (suma de los PIB industrial, agrícola, servicios, inmobiliario, minero, manufacturero) generado por el terremoto, tsunami y posterior desastre nuclear en el nororiente japonés. De un lado, el costo económico del desastre en 2011 asciende a 2,5 billones de yenes, equivalente al 18% del PIB sectorial de Japón. Es importante notar que estos 2,5 billones de yenes es la suma de las pérdidas en 2011 de Fukushima (1,02 billones de yenes), Itawe (0,6 billones de yenes) y Miyagi (0,88 billones de yenes).
De otro lado, el efecto causal, que es en el neto positivo, asciende a 1,4 billones de yenes, que equivale a 12800 millones de dólares americanos, causado principalmente por el desastre nuclear. Este efecto es calculado como la suma de las brechas del PIB (diferencia entre la evolución del PIB de las prefecturas sintéticas y las tratadas después del desastre y hasta 2014). En algunos años y prefecturas fueron negativas las diferencias. En este sentido, el efecto positivo significó, como porcentaje del PIB sectorial de Japón, cerca del 10%, lo que representa solo 1/3 de lo estimado por Carvalho et al. (2016). Es destacable la rápida recuperación de Japón, pues en un par de años había ya recortado más del 56% del costo registrado en el año 2011.
Dependiendo del nivel y del tipo de afectación, claramente, las zonas afectadas, al recibir más inversiones —como se evidenció en la prefectura de Miyagi— generan incentivos y las condiciones para una rápida expansión de la economía, similar a lo ocurrido en la provincia de Aceh, en Indonesia, después del tsunami de 2004 (para más detalles véase Heger, 2016). En el caso de Japón, los mecanismos que pueden estar detrás de esta rápida expansión pueden ser la alta resiliencia de las cadenas de suministro y la capacidad del estado de responder rápidamente ante estos fenómenos; sin embargo, es necesario investigaciones más profundas para establecer si efectivamente estos son los mecanismos subyacentes.
Otra conclusión importante es que las plantas nucleares parecen representar un riesgo en situaciones de desastres naturales, ya que el mayor impacto lo generó precisamente la emergencia nuclear en la prefectura de Fukushima. Esta conclusión, si bien señala las externalidades que podría generar una planta nuclear, no implica que el uso de estas deba cesar, ya que antes de tomarse una decisión de política, se deben analizar los beneficios perdidos que implicaría abandonar la energía nuclear. En este sentido, los resultados de este documento pueden servir de base para realizar futuros análisis de costo-beneficio para evaluar la factibilidad económica de la construcción de plantas nucleares utilizando técnicas de valoración económica.
Estas dos conclusiones representan un avance en la literatura, pues, en primer lugar, aportan una evaluación causal del efecto del desastre natural y la posterior emergencia nuclear ocurrida en Japón en 2011; al menos en lo correspondiente a la revisión realizada, existen pocos artículos que traten de hacer esta cuantificación con técnicas de inferencia causal. En segundo lugar, la evidencia presentada en este artículo contribuye a destacar la importancia de las cadenas de suministro y de capital social a la hora de revertir los efectos de un desastre natural e incluso de propiciar un cambio estructural de la economía.
A pesar de lo anterior, estos resultados pueden tener sesgos, en especial por lo ocurrido en el año 2010 en la prefectura de Iwate en donde el control sintético no replica perfectamente el comportamiento real del PIB; comportamiento que puede deberse a la cercanía temporal del desastre natural a la crisis financiera del 2008, como lo sugieren Ando y Kimura (2012). No obstante, la información consultada y el ejercicio empírico llevado a cabo no es para confirmar dicha hipótesis. Además, el efecto positivo del desastre natural en la prefectura de Miyagi no alcanzó a estimarse debido a que no existían datos a nivel regional después del año 2014.
Lo anterior implica que existen oportunidades de mejora, en la medida en la que más datos a nivel regional se encuentren disponibles, tales como datos de inflación y mercado laboral; esto ayudaría a que la construcción del control sintético fuese más robusta en términos incorporar otro tipo de mediciones. Adicionalmente, el análisis del control sintético podría acompañarse de un análisis de diferencias en diferencias con el fin de hacer más robustos los resultados presentados en este artículo.
Anexos
Regiones utilizadas (44)
Hokkaido, Aomori-ken, Akita-ken, Yamagata-ken, Ibaraki-ken, Tochigi-ken, Gumma-ken,
Saitama-ken, Chiba-ken, Tokyo-to, Kanagawa-ken, Niigata-ken, Toyama-ken, Ishikawa-ken, Fukui-ken, Yamanashi-ken, Nagano-ken, Gifu-ken, Shizuoka-ken, Aichi-ken, Mie-ken, Shiga-ken, Kyoto-fu, Osaka-fu, Hyogo-ken, Nara-ken, Wakayama-ken, Tottori-ken, Shimane-ken Okayama-ken, Hiroshima-ken, Yamaguchi-ken, Tokushima-ken, Kagawa-ken, Ehime-ken Kochi-ken, Fukuoka-ken, Saga-ken, Nagasaki-ken, Kumamoto-ken, Oita-ken, Miyazaki-ken, Kagoshima-ken, Okinawa-ken.

Agradecimientos
Este documento fue un producto derivado del proyecto de investigación “Efecto de los desastres naturales sobre el desempeño económico: el caso de Japón”, aprobado en la convocatoria CONVVI 2019-01. Fue realizado por el Grupo de Investigaciones Económicas GINVECO, de la Universidad Autónoma Latinoamericana —UNAULA— de Colombia y financiado por la Vicerrectoría de Investigaciones de la Universidad Autónoma Latinoamericana de la misma universidad.
Referencias
Abadie, A., Diamond, A. & Hainmueller, J. (2011). Synth: An R package for synthetic control methods in comparative case studies. Journal of Statistical Software, 42(13).
Abadie, A. & Gardeazabal, J. (2003). The economic costs of conflict: A case study of the basque country. The American Economic Review, 93(1), 113-132.
Ando, M. & Kimura, F. (2012). How did the Japanese exports respond to two crises in the international production networks? The global financial crisis and the great east japan earthquake. Asian Economic Journal, 26(3), 261-287.
Athukorala, P. & Resosudarmo, B. (2006). The Indian Ocean Tsunami: Economic Impact, Disaster Management, and Lessons. Asian Economic Papers, 4(1), 1-39.
Benson, C. & Clay, E. (2004) Understanding the Economic and Financial Impacts of Natural Disasters (Report No. 28406). World Bank Group. http://documents.worldbank.org/curated/en/146811468757215744/Understanding-the-economic-and-financial-impacts-of-natural-disasters
Bernal, R. & Peña, X. (2011). Guía práctica para la evaluación de impacto. Ediciones Uniandes-Universidad de los Andes.
Bird, D. K., Haynes, K., van den Honert, R., McAneney, J. & Poortinga, W. (2014). Nuclear power in Australia: A comparative analysis of public opinion regarding climate change and the Fukushima disaster. Energy Policy, 65, 644-653.
Carvalho, V. M., Nirei, M., Saito, Y. & Tahbaz-Salehi, A. (2016). Supply chain disruptions: Evidence from the great east japan earthquake. http://vasco-m-carvalho.github.io/pdfs/JapanEQ.pdf
Cavallo, A., Cavallo, E. & Rigobon, R. (2014). Prices and supply disruptions during natural disasters. Review of Income and Wealth, 60, S449-S471.
Cavallo, E., Galiani, S., Noy, I. & Pantano, J. (2013). Catastrophic natural disasters and economic growth. Review of Economics and Statistics, 95(5), 1549-1561.
Cavallo, E. & Noy, I. (2009). The economics of natural disasters: a survey (IDB Working Paper Series, No. IDB-WP-124). Inter-American Development Bank. https://publications.iadb.org/es/publicacion/economics-natural-disasters-survey
Cavallo, E. & Noy, I. (2011). Natural disasters and the economy: a survey. International Review of Environmental and Resource Economics, 5(1), 63-102.
Cimellaro, G. P., Solari, D. & Bruneau, M. (2014). Physical infrastructure interdependency and regional resilience index after the 2011 Tohoku earthquake in Japan. Earthquake Engineering & Structural Dynamics, 43(12), 1763-1784.
Coffman, M. & Noy, I. (2012). Hurricane iniki: measuring the long-term economic impact of a natural disaster using synthetic control. Environment and Development Economics, 17(2), 187-205.
Crespo Cuaresma, J., Hlouskova, J. & Obersteiner, M. (2008). Natural disasters as creative destruction? Evidence from developing countries. Economic Inquiry, 46(2), 214-226.
Davies, L. L. (2011). Beyond Fukushima: Disasters, nuclear energy, and energy law (Brigham Young University Law Review, No. 2011). https://papers.ssrn.com/sol3/papers.cfm?abstract_id=2008401
DiNardo, J. (2010). Natural experiments and quasi-natural experiments. In Microeconometrics (139-153). Springer.
Fomby, T., Ikeada, Y. & Loayza, N. (2009). The Growth Aftermath of Natural Disasters (Policy Research Working Papers, WPS5002). World Bank Group.
Gignoux, J. & Menéndez, M. (2016). Benefit in the wake of disaster: Long-run effects of earthquakes on welfare in rural Indonesia. Journal of Development Economics, 118, 26-44.
Halim, S., Ottemo Soe, R. S. D. (2013). The Synthetic Regression Method: How The Indian Ocean Tsunami Affects Growth Trajectories (Ph.D. thesis, Petra Christian University).
Heger, M. (2016). The causal effects of the Indian Ocean tsunami and armed conflict on Acehs economic development (Ph.D. thesis, The London School of Economics and Political Science).
Kajitani, Y. & Tatano, H. (2014). Estimation of Production Capacity Loss Rate after the Great East Japan Earthquake and Tsunami in 2011. Economic System Research: Journal of the International Input-Output Association, 26(1), 13-38. Routledge, T & F Group.
Kawaguchi, D. & Yukutake, N. (2017). Estimating the residential land damage of the Fukushima nuclear accident. Journal of Urban Economics, 99, 148-160.
Kazama, M. & Noda, T. (2012). Damage statistics (summary of the 2011 off the pacific coast of Tohoku earthquake damage). Soils and Foundations, 52(5),780-792.
Kim, Y., Kim, M. & Kim, W. (2013). Effect of the Fukushima nuclear disaster on global public acceptance of nuclear energy. Energy Policy, 61, 822-828.
Loayza, N. V., Olaberria, E., Rigolini, J. & Christiaensen, L. (2012). Natural disasters and growth: Going beyond the averages. World Development, 40(7), 1317-1336.
Map of the regions and prefectures of Japan with Titles (marzo de 2018). In Wikipedia. https://en.wikipedia.org/wiki/Prefectures_of_Japan#/media/File:Regions_and_Prefectures_of_Japan_2.svg
Norio, O., Ye, T., Kajitani, Y., Shi, P. & Tatano, H. (2011). The 2011 eastern japan great earthquake disaster: Overview and comments. International Journal of Disaster Risk Science, 2(1), 34-42.
Padli, J., Shah Habibullah, M. & Baharom, A. (2010). Economic impact of natural disasters’ fatalities. International Journal of Social Economics, 37(6), 429-441.
Pelling, M., Ozerdem, A. & Barakat, S. (2002). The macroeconomic impact of disasters. Progress in Development Studies, October.
Pereira, A. (2009). The Opportunity of a Disaster: The Economic Impact of the 1755 Lisbon Earthquake. The Journal of Economic History, 69(2), 466-499.
Rehdanz, K., Welsch, H., Narita, D. & Okubo, T. (2015). Well-being effects of a major natural disaster: the case of Fukushima. Journal of Economic Behavior & Organization, 116, 500-517.
Schnell, M. K., Weinstein, D. E. (2012). Evaluating the economic response to Japan’s earthquake (Policy Discussion Paper, 12-P003). The Research Institute of Economy, Trade and Industry. https://www.rieti.go.jp/jp/publications/pdp/12p003.pdf
Strobl, E. (2001). The Economic Growth Impact of Hurricanes: Evidence from U.S. Coastal Counties. Review of Economics and Statistics, 93(2).
Tanaka, K. & Managi, S. (2016). Impact of a disaster on land price: evidence from Fukushima nuclear power plant accident. The Singapore Economic Review, 61(01), 1640003.
Todo, Y., Nakajima, K. & Matous, P. (2015). How do supply chain networks affect the resilience of firms to natural disasters? Evidence from the great east japan earthquake. Journal of Regional Science, 55(2), 209-229.
Toya, H. & Skidmore, M. (2007). Economic development and the impacts of natural disasters. Economics Letters, 94(1), 20-25.
Welsch, H. & Biermann, P. (2014). Fukushima and the preference for nuclear power in Europe: Evidence from subjective well-being data. Ecological Economics, 108, 171-179.
Wittneben, B. B. (2012). The impact of the Fukushima nuclear accident on European energy policy. Environmental Science & Policy, 15(1), 1-3.
Xiao, Y. (2011). Local economic impacts of natural disasters. Journal of Regional Science, 51(4), 804-820.
Notas
Información adicional
Clasificación JEL: C21, G14, O11, O40, O53