Artículos
Recepción: 24 Abril 2020
Aprobación: 25 Septiembre 2020
DOI: https://doi.org/10.17533/udea.le.n94a341834
Resumen: El propósito de este artículo es explicar los factores determinantes del rendimiento académico de la educación media en el departamento de Nariño, Colombia. Para tal efecto, se estimaron dos modelos econométricos de respuesta ordinal: probit y logit ordenados a partir de los resultados del examen de Estado de la educación media ICFES-SABER 11 aplicado en 2018. La variable dependiente utilizada es politómica, correspondiente al orden de menor a mayor de los puntajes obtenidos en dicha prueba y como variables explicativas son consideradas la educación de los padres de familia, el estrato socioeconómico, el sexo, el acceso a tecnologías de aprendizaje de uso masivo, la naturaleza jurídica de las instituciones educativas, su ubicación geográfica y el número de horas semanales que una proporción de estudiantes de educación media dedica a actividades laborales. Los resultados muestran que el acceso a herramientas tecnológicas de aprendizaje como computadoras y conexión a internet, el mayor nivel educativo de los padres de familia, la condición de ser varón y el estudiar en una institución educativa oficial urbana aumenta la probabilidad de obtener un mejor rendimiento académico.
Clasificación JEL: C25, I21, H41.
Palabras clave: Rendimiento académico, educación media en Colombia, Prueba Saber 11 ICFES, modelos logit y probit ordenados.
Abstract: This article seeks to illustrate the determining factors of the academic performance of secondary school students in the Department of Nariño, Colombia. Two ordinal regression models were gauged (logit and probit) and arranged based on the results of standardized testing for secondary education (ICFES-SABER 11) conducted in 2018. The dependent variable used is polytomous, correspondingtotherankingfromlowesttohighestofthescoresobtainedwhiletakingthefollowingfactors into consideration: parents’ education levels, socioeconomic status, sex, access to learning technologies, the legal conditions of educational institutions, geographical location, and the number of weekly hours students dedicate to completing complementary activities. The results show that access to technological learning tools such as computers and internet connection, the highest educational level of parents, gender (male), and studying in an official urban educational institution increases the probability of obtaining better academic performance.
Clasificación JEL: C25, I21, H41.
Keywords: Academic performance, secondary education in Colombia, Prueba Saber 11 ICFES, ordered logit and probit models.
Résumé:h L’objectif de cet article est d’expliquer les déterminants des performances scolaires dans l’enseignement secondaire dans le département de Nariño, en Colombie. À cette fin, deux modèles économétriques de réponse ordinale ont été estimés: probit et logit ordonnés à partir des résultats de l’examen d’État de l’enseignement secondaire ICFES-SABER 11 organisé en 2018. La variable dépendante utilisée est polytomique, correspondant à l’ordre du plus bas au plus haut des scores obtenus dans ledit test et comme variables explicatives sont considérés l’éducation des parents, la strate socioéconomique, le sexe, l’accès aux technologies d’apprentissage d’utilisation massive, la nature juridique des établissements d’enseignement, leur localisation géographique et le nombreh d’heures par semaine qu’une partie des élèves de l’enseignement secondaire consacre à des activités professionnelles. Les résultats montrent que l’accès aux outils d’apprentissage technologiques tels que les ordinateurs et la connexion Internet, le niveau d’éducation plus élevé des parents, la condition d’homme et le fait d’étudier dans un établissement d’enseignement officiel urbain augmentent la probabilité d’obtenir de meilleurs résultats scolaires.
Clasificación JEL: C25, I21, H41.
Mots clés: Résultats scolaires, enseignement secondaire en Colombie, Test Saber 11 ICFES, modèles logit et probit ordonnés.
Introducción
La educación es la encargada de formar ciudadanos que adquieren roles en la sociedad. Esta ocupa un lugar destacable en el desarrollo de las naciones, a tal grado que prestigiosos economistas como Solow (1956 y 1957), Schultz (1961), Denison (1962), Becker (1964) y Mincer (1974) en sus trabajos semanales sobre capital humano y la inversión en educación, enfatizan en la educación como motor de desarrollo humano y de reducción de la pobreza. Schultz (1961) desarrolló la teoría del capital humano e hizo énfasis en la educación como una inversión, donde el acceso a la educación y a la salud eran determinados por los diferentes ingresos; además, estableció la rama de la ciencia económica denominada economía de la educación (citado por Cardona et al., 2007:12). Becker (1964) define el capital humano como el conjunto de las capacidades productivas que un individuo adquiere por acumulación de conocimientos generales o específicos (p. 13). Por su parte, Mincer (1974) fue el primero en analizar la relación entre la distribución de las retribuciones y el capital humano; también, es el pionero en desarrollar el análisis empírico de la relación entre capital humano y distribución de ingresos personales, así como del concepto de tasa de rentabilidad de la educación que, sin duda, constituyó la piedra angular de un gran número de investigaciones en esta área (Barceinas, 2001, p. 5).
En Colombia, la educación que se imparte se divide en cuatro niveles de enseñanza, a saber: primaria, secundaria, media y superior. La función del gobierno es incrementar la cobertura en educación del país en los niveles mencionados y, además, garantizar que ésta sea de calidad. Para conocer el nivel de calidad de la educación que se imparte en territorio nacional, se creó el Instituto Colombiano para el Fomento de la Educación Superior (ICFES), encargado de aplicar pruebas en los diferentes niveles de enseñanza, tales como: las Pruebas Saber 3◦, 5◦ y 9◦ para la educación primaria y secundaria; la Prueba Saber 11 para la educación media y la Prueba Saber Pro aplicada a la educación superior. Con estas pruebas se evalúa el nivel de conocimientos de los estudiantes y se toman acciones gubernamentales para la mejora continua de la calidad educativa.
Dado el vínculo entre la necesidad de lograr el mejoramiento de la calidad de la educación y el conocimiento de las circunstancias en que se desarrolla el aprendizaje, es imperativo estudiar el porqué de las variaciones en el desempeño académico de los estudiantes. Dichas variaciones se pueden explicar a través del análisis de los resultados de la Prueba Saber 11; sin embargo, es preciso considerar que, a pesar de que el ejercicio evaluativo que realiza el ICFES adolece de algunos errores de medición, esta prueba es la principal herramienta de evaluación de la calidad educativa y del rendimiento académico en el país. De este modo se pudo identificar determinantes que explican el rendimiento académico en la educación media en el departamento de Nariño, a partir de áreas tales como: Matemáticas, Lectura crítica, Inglés, Ciencias naturales y Ciudadanos y sociedades, consideradas de vital importancia en el proceso enseñanza-aprendizaje.
I. Marco teórico
La educación media en Colombia constituye la culminación, consolidación y avance en el logro de los niveles anteriores y comprende dos grados: el décimo y el undécimo. Tiene como fin la comprensión de ideas y los valores universales y la preparación para el ingreso del educando a la educación superior y al trabajo (Ley 115 de 1994, art. 27).
La Prueba Saber 11 evalúa el nivel de la educación media para proporcionar información a la comunidad educativa en cuanto al desarrollo de las competencias básicas que debe adquirir un estudiante durante el paso por la vida escolar. Según lo dispuesto por el Decreto 869 de 2010, además de ser una herramienta que retroalimenta al sistema educativo, esta prueba tiene los siguientes objetivos: a) comprobar el grado de desarrollo de las competencias de los estudiantes que están por finalizar el grado undécimo de la educación media; b) proporcionar elementos al estudiante para la realización de su autoevaluación y el desarrollo de su proyecto de vida; c) proporcionar a las instituciones educativas información pertinente sobre las competencias de los aspirantes a ingresar a programas de educación superior, así como sobre las de quienes son admitidos, que sirva como base para el diseño de programas de nivelación académica y prevención de la deserción en este nivel; d) monitorear la calidad de la educación de los establecimientos educativos del país, con fundamento en los estándares básicos de competencias y los referentes de calidad emitidos por el Ministerio de Educación Nacional; e) proporcionar información para el establecimiento de indicadores de valor agregado, tanto de la educación media como de la educación superior; f) servir como fuente de información para la construcción de indicadores de calidad de la educación, así como para el ejercicio de la inspección y vigilancia del servicio público educativo; g) proporcionar información a los establecimientos educativos que ofrecen educación media para el ejercicio de la autoevaluación y para que realicen la consolidación o reorientación de sus prácticas pedagógicas y h) ofrecer información que sirva como referente estratégico para el establecimiento de políticas educativas nacionales, territoriales e institucionales.
Cardona et al (2007) argumentan que el desarrollo del concepto de educación se consolidó en la teoría del capital humano, destacando la inversión en la gente como un factor fundamental para el crecimiento y el bienestar de los países. Según Mincer (1974), Thurow (1978) y Becker (1983), el capital humano se consolida entonces como un segmento en el análisis económico, que ha demostrado ser contribuyente en el crecimiento económico, al tener en cuenta que la educación le da la posibilidad al trabajador de acceder a empleos mejor remunerados y de aumentar su bienestar.
La teoría del “capital humano” tiene su punto de inicio en la conferencia pronunciada por Theodore W. Schultz en 1960 en la American Economic Association, donde fue acuñado por primera vez el término como sinónimo de educación y formación. En palabras de Schultz (1960) “al invertir en sí mismos, los seres humanos aumentan el campo de sus posibilidades. Es un camino por el cual los hombres pueden aumentar su bienestar”. Según el autor, cualquier trabajador, al insertarse en el sistema productivo, no sólo aporta su fuerza física y su habilidad natural, sino que, además, viene consigo un bagaje de conocimientos adquiridos a través de la educación. Se observa, por tanto, que ya desde los inicios se resalta la importancia que tiene la formación sobre la productividad individual (Pons, 2004:17 citado por Cardona et al, 2007). Becker (1983) afirma que la educación aumenta la productividad de los individuos y permite el acceso a un mayor salario.
A pesar de la coherencia que presenta la teoría del capital humano, existen diferencias en su interior. Una muy destacada es si el capital humano es homogéneo o heterogéneo. Esta última elección, es una propuesta de Willis (1986), quien supone que cada trabajo está compuesto por diferentes habilidades que el trabajador puede adquirir al unir sus talentos innatos con una apropiada educación. El resultado de esta teoría tiende a corregir un desequilibrio en la literatura del capital humano que tradicionalmente ha destacado más el lado de la oferta que de la demanda. Además, Willis (1986) señal a que este es el principal fallo de la teoría del capital humano tradicional, que se expresa en el tratamiento de la escolaridad como un factor exógeno más que como el resultado de decisiones de inversión que, a su vez, corresponde a ignorar la importancia de la demanda de capital humano por las empresas y las implicaciones del equilibrio del mercado laboral. (Willis, 1986, citado por Barceinas, 2001).
Así mismo, Ruggeri y Yu (2000), consideran al capital humano como resolutivo y heterogéneo, donde sugieren que esta teoría debe incorporar 4 dimensiones: a) el potencial de capital humano, b) la adquisición de capital humano, c) la disponibilidad de dicho capital y d) el uso efectivo de este. (Ruggeri y Yu, 2000, citado en Sandoval y Hernández, 2018).
Sin embargo, algunos críticos de la teoría del capital humano consideran que esta únicamente se centra en el componente económico, es decir, en su efecto productivista, dejando de lado las dimensiones humanísticas y culturales. Además, finalizando los años 70 se desarrolló la “Teoría de la reproducción” la cual señala que el sistema educativo tiene como finalidad la transmisión de los valores, la cultura, los comportamientos, las jerarquías y las desigualdades sociales, lo que significa la reproducción de las relaciones sociales dominantes.
Pierre Bourdieu (2001) representante de la “Teoría de la reproducción” sostiene que ‘el sistema educativo se caracterizaría por una igualdad formal de acceso y desigualdad (real) en el logro, legitimando con el fracaso escolar y los diferentes niveles educativos alcanzados la selección y estratificación social’ (citado por Beneyto, 2013, p. 57).
Autores como Bowles y Gintis (2014) señalan que la educación está acomodada en parte para que los trabajadores tengan conocimientos solicitados por sus empleadores. Estos autores establecen que:
Las escuelas producen trabajadores “mejores” fundamentalmente a través de la correspondencia estructural entre las relaciones sociales de la educación y las de la producción capitalista y no a través del contenido del plan de estudios... La educación y su estado actual son el producto de la elección del individuo restringida, por supuesto, por las tecnologías educativas y de producción existentes (p. 4).
Como se puede apreciar, se trata de enfoques teóricos divergentes de la teoría del capital humano, no obstante, coinciden en valorar a la educación como un importante factor de promoción social, esto lo han reconocido las ciudadanías de las sociedades más avanzadas y no solo las teorías sociológicas y económicas, lo que ha incrementado en las últimas décadas la demanda de mayores niveles de formación por parte de una ciudadanía consciente de sus intereses. Esta demanda ha generado el fenómeno público de la educación formal y su transformación en materia de política de bienestar, además del desarrollo de programas de formación por parte de agencias sociales para facilitar la incorporación de estrategias empresariales y relaciones laborales (Beneyto, 2013).
El concepto de desempeño académico es variado y depende de la mirada de cada autor; así pues, Solano (2015) lo define del siguiente modo:
Cuando hablamos de rendimiento académico nos estamos refiriendo al nivel de conocimientos que el alumno demuestra tener en el campo, área o ámbito que es objeto de evaluación; es decir, el rendimiento académico es lo que el alumno demuestra saber en las áreas, materias o asignaturas en relación con los objetivos de aprendizaje y en comparación con sus compañeros de aula o grupo. Así pues, el rendimiento se define operativamente tomando como criterio las calificaciones que los alumnos obtienen (p. 25).
Para este autor, el rendimiento académico es el resultado del nivel intelectual, familiar e institucional de los estudiantes. Aunque existen muchas variables que influyen en el rendimiento académico, no obstante, a continuación, se citan diferentes estudios que han hecho énfasis en los factores personales, familiares e institucionales que tienen mayor influencia sobre el rendimiento, a saber: el nivel educativo de los padres, el nivel de ingreso del hogar, el género, la naturaleza del colegio y su ubicación, las horas de dedicación al estudio y acceso a la tecnología.
El nivel educativo de los padres de familia es un factor que se relaciona con el rendimiento académico de sus hijos, ya que como se menciona tradicionalmente “la educación empieza en el hogar”. Vila, 1998, citado por Moncayo (2016), afirma:
(...) si las familias de nivel socio profesional medio alto tienen cierto nivel de holgura económica, sintonizan con los proyectos educativos y si tienen problemas, tienen también recursos para poder influir en el contexto escolar. Sin embargo, las familias del nivel sociocultural bajo se encuentran en una situación de inferioridad frente a la institución, cuentan con menos información que las familias de nivel sociocultural medio alto, y conocen menos los canales de relación con la escuela (p. 9).
Además, la UNESCO (2004), destaca:
Los primeros educadores de los niños y niñas son las madres y los padres. El espacio de aprendizaje por excelencia es el hogar, el barrio, la comuna, la ciudad. El Jardín Infantil, la Escuela y el Colegio vienen a continuar y a fortalecer con su conocimiento especializado lo que la familia ha iniciado y continúa realizando. En la institución escolar, los niños y las niñas están prestados para que los docentes preferentemente potencien y enriquezcan lo que ya han aprendido (p. 23).
Por lo tanto, el compromiso de los padres en la educación de sus hijos se refleja en mejores notas y bajos índices de reprobación escolar (Burin y Meler, 2000; De Keijzer, 2001; Nord, 1998; Ortega, Torres y Salguero, 1999).
El origen socioeconómico del estudiante es una variable destacable en el rendimiento académico. Alvarenga et al. (2014) concluyen:
Una peculiaridad de los hogares de nivel económico inadecuado, es que se producen tensiones intrafamiliares que afecta la concentración, atención y motivación de los(as) estudiantes. Así mismo, los padres y madres de familia que no poseen un nivel económico adecuado, utilizan estrategias poco efectivas para estimular a sus hijos(as), aunque valoren la educación y deseen que ellos(as) tengan un rendimiento académico adecuado, ya que interactúan escasamente con ellos en actividades que tengan relación con estrategias de aprendizaje, esta escasa interacción provoca que la experiencia de algunos estudiantes de nivel económico inoportuno, lo que constituye un principal indicador que afecta su capacidad para aprender (p. 55).
Sin embargo, no todos los autores están de acuerdo con la relación entre rendimiento académico y la posición socioeconómica; hay quienes piensan, por ejemplo, Carabaña (1979) manifiesta que, si se controla la inteligencia, el nivel social no tiene influencia sobre las notas. De igual manera, Mella y Ortiz (1999) concluyen que las variables estrictamente económicas no son determinantes en el rendimiento académico, sino que las variables contextuales de los padres son más relevantes. Esto lo reafirman Covadonga (2001) y Pérez-Serrano (1981) quienes destacan los estímulos constantes hacia los alumnos en sus estudios, las actitudes hacia el trabajo escolar y las expectativas depositadas en ellos como determinantes en el rendimiento académico.
Así mismo, autores como Martínez (1992) y Castejón y Pérez (1997) confirman que las percepciones que tienen los estudiantes con respecto a su clima afectivo en el hogar ejerce una influencia significativa en el rendimiento académico.
Además, Valenti et al. (2009) destacan que existe un esfuerzo por parte del estudiante sobre el logro académico y la necesidad de superar sus condiciones adversas. Por consiguiente, el estudiante desarrolla hábitos de estudio y el gusto por la lectura, lo cual genera un impacto positivo sobre el rendimiento escolar. Por último, estos autores concluyen que, para mejorar el rendimiento académico de los estudiantes en México, se necesita un mayor compromiso de los profesores en los procesos pedagógicos, que motiven a los estudiantes creando hábitos de lectura y adecuadas formas de estudio.
También, se debe tener presente el esfuerzo que realiza el estudiante sobre su aprendizaje. Como señala Roemer (1998):
Por tanto, defino la capacidad de un niño para transformar recursos en resultados escolares como su propensión a efectuar esta transformación en virtud de circunstancias que están más allá de su control, entre las que contaremos por el momento sus genes, sus antecedentes familiares, su cultura, y en general, su medio social. Pero dos niños en las mismas circunstancias, y por tanto con la misma capacidad, pueden alcanzar resultados educativos diferentes en virtud de su esfuerzo. Una concepción radical es la de que las circunstancias lo determinan todo, de modo que no hay lugar para un esfuerzo autónomo: si esto fuera cierto, entonces diríamos que lo que aparentemente es fruto de diferentes esfuerzos está en realidad plenamente determinado por circunstancias diferentes. Esta posición, llamémosla determinismo, es sólo una posibilidad metafísica. El caso más general es que los resultados escolares vengan determinados conjuntamente por las circunstancias y el esfuerzo libremente elegido. Por ello, en la medida en que afecten a los resultados escolares, la igualdad de oportunidades exige compensar las diferentes circunstancias de las personas y no que se les compense por las consecuencias que resultan de las diferencias en su esfuerzo. Esta segunda concepción la apoya una gran mayoría, porque suponen que existe el esfuerzo libremente elegido (p. 74).
La desigualdad de género es una problemática que, pese a los grandes avances y a la progresiva apertura mental de los individuos, aún persiste en muchas esferas sociales, donde la educación tampoco es una excepción. Schüssler (2007) señala que:
El 60 % de la población considerada analfabeta está formada por mujeres, ya que a nivel mundial las niñas tienen menor acceso a la educación escolar que los niños. Sin embargo, muchas veces las niñas son presentadas como más exitosas que los niños en su escolaridad (p. 11).
Por su parte, en la investigación realizada por el ICFES (2013), se afirma que las desigualdades de género en cuanto a logro académico marcan diferencias en las rutas educativas y los desempeños laborales posteriores. Desde hace más de tres décadas, el mejor desempeño en matemáticas es para los niños, mientras que las niñas demuestran una pequeña ventaja en lenguaje (p. 14).
En lo que respecta al modelo de institución educativa se tiene en cuenta dos tipos, a saber: pública y privada. La educación privada, al ser gestionada por inversión propia, logra una mejor administración de los recursos, por ende, los resultados en este tipo de modelo suelen ser altos. No obstante, la educación pública en los últimos años ha logrado en muchos casos superar los problemas de gestión de recursos y también han obtenido muy buenos resultados; sin embargo, aún persiste la brecha de calidad entre la educación oficial y la privada. Di Gresia, Porto, y Ripani (2002) presentan evidencia para Argentina donde establecen que los estudiantes que se encuentran matriculados en colegios privados son más exitosos en la educación superior que los estudiantes que pertenecen a colegios públicos.
Con respecto a la ubicación del colegio, se presenta que el rendimiento académico es bajo en las zonas rurales, debido al escaso desarrollo del campo en comparación con la ciudad. En la investigación realizada por Hernández (2017) para México, sobre la desigualdad de la calidad educativa en zonas rurales y urbanas, sostiene que esta se debe a la infraestructura y a la ideología de los centros educativos. Continuando con esta misma línea argumentativa, Juárez y Rodríguez (2016), afirman lo siguiente:
Los textos revisados en el presente artículo coinciden en los planteamientos señalados por otros autores latinoamericanos: la inequidad educativa se ve reflejada por los problemas de acceso, permanencia, logro y resultados. Sin embargo, a través de este documento se han incluido también las causas que originan tales inequidades, como el hecho de que la educación rural recibe menos recursos e insumos de menor calidad. A las escuelas rurales se asignan los maestros, directores y supervisores con menor nivel de preparación, docentes «castigados» con poca experiencia. Además, no existe un sistema de incentivos para atraer y retener en las escuelas rurales a los docentes mejor formados y más experimentados. Proporcionar infraestructura educativa adecuada también es una tarea pendiente del Estado. Así, en el caso de los niños y niñas del medio rural, no se está cumpliendo con el principio de igualdad de trato, y menos aún con el mandato de discriminación positiva previsto en la legislación vigente (p. 12).
Un punto importante a la hora de mejorar el rendimiento académico es el tiempo y esfuerzo que el estudiante dedica por fuera de las aulas (trabajo autónomo). El aprendizaje no solo depende del profesor sino también del compromiso que asuma el estudiante como actor esencial y protagonista de su propio aprendizaje. Sin embargo, debido a dificultades económicas en los hogares, los estudiantes en general suelen trabajar y al mismo tiempo estudiar y, en algunos casos, la situación se torna más crítica, cuyo desenlace final es la deserción escolar. De acuerdo con Díaz (s.f.), quien realizó una investigación centrada en el desempeño escolar y su relación con el trabajo, se destaca que:
Existen alumnos, que por el hecho de tener que trabajar, van dilatando la terminación de sus estudios y cada vez se torna más difícil terminarlos, dentro de ese período, algunos se casan y tienen hijos lo cual incrementa la responsabilidad y los requerimientos de dinero disminuyendo la disponibilidad de tiempo para el estudio (p. 8).
También, agrega que los estudiantes que vuelven a retomar sus estudios después de algunos años, no se desempeñan de la mejor manera, puesto que, la falta de práctica adicional a tener que trabajar se convierte en un gran desafío el volver a estudiar.
Actualmente, la tecnología es un recurso importante en el desarrollo de la humanidad. Esta permite realizar actividades que en un pasado se dificultaban, ya fuera por cuestiones físicas o mentales. Hoy, es impensable la vida sin la tecnología, por lo cual, la educación no es la excepción en el uso de herramientas tecnológicas para facilitar el aprendizaje. Hay que destacar que en Colombia se han implementado políticas para el acceso a las tecnologías de la información y la comunicación (TIC), dado que existe un ministerio dedicado a este objetivo de desarrollo. Por consiguiente, la tecnología en la educación a través de computadoras reduce tiempos y costos, además de permitir el aprendizaje a distancia, como también hacer una medición del aprendizaje del estudiante mediante la recolección de datos obtenidos en sus exámenes y la facilidad de seguir sus avances en clases (Witte & Rogge, 2014).
II. Método
La población objeto de estudio corresponde a 14022 estudiantes de educación media en el departamento de Nariño que presentaron la Prueba Saber 11 en 2018. Los resultados fueron extractados de la base de datos del ICFES, a partir del formulario de registro de cada estudiante, el cual proporciona información socioeconómica del estudiante, el tipo de institución educativa, los resultados obtenidos por asignatura evaluada y el puntaje global.
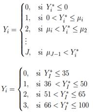
En el análisis econométrico se utilizaron dos modelos de variable dependiente limitada, a saber: logit y probit ordinales. La variable dependiente es politómica de acuerdo con la clasificación establecida por el ICFES discriminada en cuatro categorías excluyentes, así: a) 0 a 35 corresponde a un puntaje insuficiente, b) 36 a 50 como puntaje mínimo, c) 51 a 65 catalogado como satisfactorio y d) 66 a 100 como puntaje avanzado. Los datos obtenidos fueron organizados de menor a mayor puntaje.
(1)donde Yi es el vector de la variable dependiente que toma los siguientes valores:

donde Di es una matriz de variables de respuesta cualitativa o politómica; Xi es una matriz de variables cuantitativas; βi es un conjunto de coeficientes que recogen el impacto de las variables explicativas; µi es el término de perturbación estocástica. A continuación, en la Tabla 1 se enuncian las variables explicativas utilizadas en los modelos:

A. Modelo Logit Ordenado
Si la variable dependiente de un modelo de elección discreta Yi expresa opiniones de los individuos sobre una determinada cuestión, las alternativas del proceso de decisión expresan implícitamente un orden de utilidad y, por lo tanto, tienen carácter ordinal. Una forma natural de interpretar este proceso de decisión consiste en considerar que el individuo tiene una valoración u opinión específica sobre la cuestión que determina su elección.
Los modelos de elección discreta utilizados son apropiados para captar el modo en que ciertos factores familiares, personales e institucionales inciden en los resultados académicos de la educación media en Nariño. Concretamente, y dado que los resultados se encuentran ordenados como se mencionó antes, el modelo logit ordenado permite estimar la probabilidad de que un individuo pueda pertenecer a un grupo o a otro.
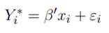
En términos formales, el modelo está constituido por una variable dependiente ordenada Yi que denota el nivel de calificación obtenido por el individuo entre 0 y 100 explicada anteriormente. La respuesta observada puede definirse como una variable latente
que es función de un conjunto de variables explicativas. De este modo, el rango de esta variable puede subdividirse en intervalos ordenados tales que, si la valoración del individuo se sitúa en el intervalo j, el individuo estará en la opción j, es decir:
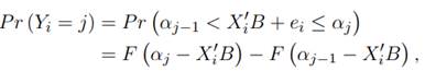
(2)La variable no observable o latente Yi∗ depende de un conjunto de variables explicativas que determinan la elección por parte del individuo i, es decir:
(3)donde εi es un término de perturbación aleatoria. La elección del individuo entre las alternativas 0,...,J es reflejo del valor de
en relación con los umbrales µj , j = 1,...,J lo cual significa que:

Estos umbrales, desconocidos a priori, deben ser tales que 0 < µ1 < µ2 < ··· < µJ−1. Se asume entonces que la especificación del modelo logit ordenado queda definida de la siguiente manera:
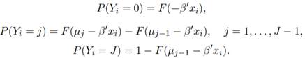
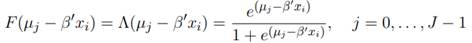
(4)Si la función de distribución de la variable aleatoria εi es F, entonces:
(5)En el caso del modelo logit ordenado, tenemos:
(6)Para Viáfara y Urrea (2006), la probabilidad de que un individuo pertenezca a la categoría de respuesta más elevada frente a otro individuo, es más grande si β′> 0 y es más pequeña si β′< 0, debido a un incremento o cambio en la variable explicativa Xi . La estimación del modelo se llevó a cabo por máxima verosimilitud recurriendo a algoritmos iterativos de optimización. Los umbrales se estiman simultáneamente con los parámetros del vector β, común para todas las alternativas.
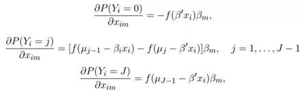
En cuanto a la interpretación de los resultados, los efectos marginales se obtienen de la siguiente forma:
(7)siendo f la función de densidad de la distribución del término de error que se haya elegido. Por tanto, para la primera y última de las alternativas, el signo del coeficiente permite conocer la dirección del cambio en la probabilidad de elección ante una variación en la variable xim . En las alternativas intermedias, el resultado es ambiguo dado que la dirección del cambio depende de los valores del vector de variables explicativas y, por supuesto, de los umbrales. Si la variable explicativa xim es un atributo, puede evaluarse el cambio discreto que experimentan las probabilidades de elección ante cambios en el valor de dicha variable.
B. Modelo Probit Ordenado
Para mayor robustez de la investigación se tomó en cuenta el modelo probit ordenado, debido a que el rendimiento académico es una variable que tiene determinada jerarquización, la cual se puede ordenar desde una categoría inferior (insuficiente) hasta una superior (avanzado) con clasificaciones intermedias, inclusive. Así pues, ya que el proceso de elección involucra un orden, los valores asignados a cada posible alternativa ya no son arbitrarios, sino que ahora tienen un carácter ordinal.
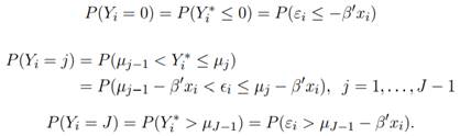
Rodríguez y Cáceres (2007) afirman que formalmente estos modelos suponen la existencia de una variable latente o no observable Yi∗, la cual está en función de un conjunto de variables explicativas que determinarán la elección que hace el individuo, lo que se puede expresar de la siguiente manera:
(8)donde B es el vector de coeficientes, Xi′ el vector de características del individuo y ei el término de perturbación aleatoria. El rango de Yi se subdivide en intervalos ordenados, de tal forma que, si el individuo tiene una característica j, Yi = j, donde j tomará valores de entre 0 y J. Así, la presencia de una característica j mostrará la probabilidad de que el individuo pertenezca a categoría j reflejada en
en relación con los umbrales αj .

Conviene observar que, aunque estos umbrales son desconocidos, dado que Yi es una variable ordinal se deben satisfacer que 0 < α1< α2< ... < αj −1 De esta manera, el modelo estaría definido por:
(9)siendo F la función de densidad acumulada del término de perturbación aleatoria (ei ). A su vez, la distribución de ei determinará el modelo que se ha de estimar. Para ello, se trabajó con la distribución probit mediante el análisis de variables discretas (incluso, la variable dependiente que es ordenada) que se ajustan mejor a esta distribución y que dado el orden de las alternativas en la especificación del modelo, permiten obtener mejores resultados. De esa manera, el modelo quedó definido, así:
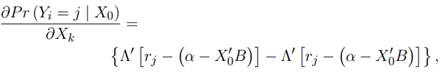
(10)Es así, como la estimación de este modelo se realiza por máxima verosimilitud, el cual nos permite hallar los m − 1 parámetros (Bustamante y Arroyo, 2008). Además, se debe tener en cuenta que en este tipo de modelos los reflejan el sentido de la relación (positiva o negativa), de manera que resultab coeficientes estimados β no indican el cambio en la probabilidad, ya que solo más conveniente analizar los resultados del modelo calculando los efectos marginales, los cuales están definidos para la distribución probit ordenado mediante la siguiente expresión:
(11)en donde la expresión inmediatamente anterior refleja el cambio en la probabilidad de que suceda la alternativa j frente a una variación en Xk (Maddala, 1986).
III. Resultados
El rendimiento académico de los hombres es levemente superior al de las mujeres en las distintas categorías de puntajes analizadas. La mayoría de los estudiantes se ubican en los niveles de mínimo y satisfactorio; únicamente el 11 % de los hombres y el 8 % de las mujeres obtuvieron puntajes avanzados. Esto significa que aún persisten diferencias de género en la educación en Colombia, y en particular en Nariño, dado que las mujeres aún están en condiciones desiguales con respecto a los hombres, reafirmando los resultados obtenidos por Schüssler (2007) sobre género y educación (ver Figura 1).
En cuanto a la posición social de los estudiantes y sus familias, no siempre es concluyente sobre el rendimiento académico, como lo destacan Carabaña (1979), Mella y Ortiz (1999), Covandonga (2001) y Pérez-Serrano (1981), donde las capacidades individuales, valores de los padres y el trabajo escolar son determinante en el rendimiento escolar. Paradójicamente, la Figura 2 muestra que los estudiantes con mejores puntajes pertenecen a los estratos socioeconómicos bajo y medio (1 a 4), mientras que los pertenecientes a los estratos altos (5 y 6) se ubican en las categorías más bajas de la prueba. El hecho de pertenecer a un estrato alto de la población en el caso analizado no es garantía en la obtención de mejores puntajes.

A medida que los estudiantes laboran más horas a la semana disminuye su rendimiento académico, así pues, los estudiantes que no trabajan (se dedican exclusivamente a estudiar) o aquellos que trabajan parcialmente (carga laboral menor a 10 horas semanales) obtuvieron los mejores resultados, como se muestra en la Figura 3. La ocupación laboral de los estudiantes influye en el tiempo que dedican a sus estudios, lo cual reafirma lo planteado por Díaz (s.f.) sobre el desgaste físico, mental y la falta de práctica que genera trabajar en los estudiantes, afectando negativamente su rendimiento académico.

Una de las variables más relevantes en el rendimiento académico es el nivel educativo de las madres. En el departamento de Nariño el nivel educativo de los padres y madres se concentra mayoritariamente en básica y media, y una minoría posee estudios superiores. El nivel de formación de las madres de familia en todos niveles de enseñanza es ligeramente superior al de los padres, lo cual demuestra el acceso progresivo de la mujer a la educación (ver Tabla 2).
En cuanto al acceso de los estudiantes a tecnologías de apoyo al aprendizaje, el 44 % de los estudiantes disponen de computadores y el 38 % tiene acceso a la red de internet, lo cual facilita las consultas y el uso de herramientas electrónicas (ver Tabla 3). Esta situación es preocupante, si se considera que más de la mitad de los estudiantes de educación media en el departamento de Nariño no disponen de computador, ni tampoco poseen conexión a internet, una condición indispensable en un mundo globalizado e interconectado.



La diferencia de puntajes de la Prueba Saber 11 entre instituciones educativas oficiales y no oficiales en el departamento de Nariño es relativamente mínima, al menos en las categorías de insuficiente, mínimo y satisfactorio. En todas ellas, las instituciones educativas oficiales obtuvieron un mejor rendimiento académico, sobresaliendo en la categoría de puntaje avanzado con 16 %, mientras que las no oficiales solo obtuvieron la mitad de dicho puntaje. Vale la pena resaltar este aspecto dada las difíciles condiciones de prestación del servicio educativo en las instituciones oficiales donde el presupuesto de inversión es cada vez más restringido (ver Figura 4).

El 55 % de los estudiantes de las instituciones educativas urbanas se encuentran en las dos mejores posiciones de la prueba Saber 11, mientras que el 61 % de la zona rural se ubicaron en las categorías inferiores. Esto reafirma la tesis de Hernández (2017) quien atribuye esta brecha educativa a la infraestructura e ideología de los centros educativos rurales. Los estudiantes de los estratos 1 a 5 obtuvieron mayores puntajes en Lectura crítica, Matemática e Inglés, y por su parte, los alumnos de estrato 6 sobresalen en Ciencias naturales, Lectura crítica e Inglés, como se muestra en las Figuras 5 y 6.

Los estudiantes de instituciones no oficiales obtuvieron mejor rendimiento en Lectura crítica e Inglés, mientras que los alumnos de instituciones oficiales se destacaron en Ciencias naturales y Matemáticas. Las mujeres presentan un mejor desempeño en Lectura crítica y los hombres en Matemáticas, coincidiendo con la afirmación del ICFES (2013) de que las mujeres son mejores en Lenguaje y los hombres en Matemáticas cuya explicación se relaciona con aspectos culturales, tal como se muestra en las Figuras 7 y 8.

La condición de ser hombre tiene un efecto positivo sobre la probabilidad de obtener un puntaje en las categorías de satisfactorio y avanzado, en armonía con la tesis de Moncayo (2016), según la cual las diferenciales en el rendimiento académico entre hombres y mujeres se deben a factores personales y del entorno social. Por otra parte, la probabilidad de obtener puntajes en las categorías de satisfactorio y avanzado aumenta cuando los estudiantes pertenecen a instituciones oficiales urbanas. Como bien lo señalan Juárez y Rodríguez (2016), en la educación rural hay una menor inversión estatal y una asignación de directivos y docentes con menor preparación académica, sumado a esto, los incentivos para que las personas preparadas se movilicen a las escuelas rurales son mínimos.
El nivel educativo de las madres ejerce una influencia directa y positiva en el rendimiento académico de sus hijos. A medida que el nivel educativo de las madres aumenta, la probabilidad de que los estudiantes obtengan mejores resultados es mayor. De otro lado, a medida que el estudiante eleva su estrato socioeconómico se reduce la probabilidad de obtener puntajes en las categorías de satisfactorio y avanzado. Como se aprecia en las Tablas 4 y 5, en los estratos bajos y medios, aumenta la probabilidad de obtener mayores puntajes, coincidiendo con la tesis de Carabaña (1979) quien destaca que, si se controla la inteligencia, el nivel social no ejerce mayor influencia en el rendimiento académico. Los estudiantes con acceso a computador y conexión a internet tienen mayor probabilidad de obtener puntajes mayores, coincidiendo con Witte & Rogge (2014), quienes sostienen que el disponer de un computador e internet reduce tiempo y costos, y facilita el aprendizaje a distancia puesto que promueve el trabajo autónomo. Por último, los estudiantes que estudian y trabajan al mismo tiempo tienen una menor probabilidad de optimizar su rendimiento académico.




La política nacional de incentivo educativo “Ser Pilo Paga”, que proveía de becas condonables a los mejores estudiantes de bajos recursos, promovió que muchos obtuvieran altos puntajes en la Prueba Saber 11. De acuerdo con el Ministerio de Educación Nacional (2017), el departamento de Nariño ocupó el sexto lugar con 511 becarios. Así mismo, en el programa que lo sucedió, “Generación E”, en 2018 Nariño ocupó la novena posición con 1 925 becarios. Estos programas se han convertido en un gran incentivo de superación de bachilleres en los estratos socioeconómicos bajos, lo cual reafirma la tesis de Valenti et al., (2009), quienes señalan que el logro académico, la necesidad de superar sus condiciones adversas, el apoyo familiar y la capacidad cognitiva del estudiante son determinantes del rendimiento académico.
IV. Discusión
A partir de los resultados y la evidencia empírica aportada por esta investigación, se infiere la importancia de los programas de becas condonables en la motivación de los estudiantes, en particular, los de estratos socioeconómicos bajos por obtener mayores puntajes en la prueba Saber 11, para quienes las becas son una oportunidad valiosa de superar sus difíciles condiciones sociales. Los resultados en el departamento de Nariño son contrarios a lo expuesto por Moncayo (2016) y Chica et al. (2010), para quienes a mayor estrato socioeconómico mayor es la probabilidad de obtener puntajes más altos. Quizás estos resultados estén relacionados con el hecho de que cuando estos autores realizaron sus investigaciones, aún no despegaba por completo el programa “Ser pilo Paga”, dado que su primera convocatoria se hizo en 2014; tampoco existía el programa “Generación E”, cuyo lanzamiento se hizo en 2018 como programa de excelencia y acceso a la educación superior que beneficiará a más de 336.000 estudiantes de todas las regiones del país en el cuatrienio 2018-2022.
En cuanto al desempeño de la educación media se observa que las instituciones educativas oficiales en el departamento de Nariño han mostrado un mejor desempeño académico que las no oficiales. Se destaca que instituciones públicas como el Liceo Integrado de Bachillerato de la Universidad de Nariño se encuentra entre los mejores colegios del país. De igual modo, se visibiliza la brecha existente entre la educación urbana y rural, donde la baja inversión estatal y el conflicto armado interno han provocado que la calidad de educación rural continúe rezagada.
El acompañamiento de los padres de familia en el proceso educativo ejerce una gran influencia en el desarrollo de actitudes y capacidades de sus hijos a lo largo de la vida. A medida que el nivel de escolaridad de los padres aumenta, la probabilidad de que los estudiantes eleven su rendimiento académico es mayor. Por su parte, el mejoramiento del desempeño académico requiere dedicación exclusiva de los estudiantes a sus actividades escolares dentro y fuera de la institución, así como el acceso a tecnologías de la información y la comunicación.
Conclusiones
Los modelos utilizados muestran que la condición socioeconómica no es determinante en el rendimiento académico en la educación media en el departamento de Nariño. Los datos analizados exponen que los estudiantes de estratos socioeconómicos bajos obtuvieron los mejores resultados en la Prueba Saber 11; en cambio, los puntajes más bajos corresponden a estudiantes de estratos altos. Por su parte, factores psicológicos como la inteligencia, la actitud, la personalidad y voluntad influyen en el rendimiento académico.
El acceso a herramientas tecnológicas como computadoras y conexión a la red de internet aumenta la probabilidad de obtener un mejor rendimiento académico, gracias al acercamiento del estudiante al conocimiento global y al acceso a diversas fuentes de información. Este tipo de herramientas permite que los estudiantes puedan realizar pruebas en línea en las áreas de interés.
Los estudiantes que trabajan muestran un menor rendimiento académico. La elección entre estudiar y trabajar, aparte de producir desgaste físico y mental, reduce el número de horas dedicadas al trabajo autónomo y, por ende, a la mejora del desempeño académico.
De otro lado, la educación de los padres es un factor muy relevante en el rendimiento académico de los estudiantes de educación media en Nariño. El acompañamiento de los padres en el proceso educativo de sus hijos es vital para el desarrollo de actitudes y capacidades a lo largo de la vida. Es así, como a medida que el nivel de escolaridad de los padres aumenta, la probabilidad de ubicarse en los niveles de insuficiente y mínimo disminuye; por consiguiente, los padres más ilustrados potencian el aprendizaje de sus hijos.
Los estudiantes varones obtuvieron mejores resultados que las mujeres, los hombres se destacan en matemáticas y las mujeres en lectura crítica. Este resultado coincide con el de otros estudios realizados en el país, donde se resaltan aspectos como la cultura, creencias, actitudes y el contexto socioeconómico como elementos favorecedores.
En cuanto a la naturaleza jurídica de la institución educativa (oficial o privada), este factor es determinante en el rendimiento académico. Estudiar en un colegio público influye en mayor medida en el rendimiento académico que hacerlo en una institución educativa privada.
Por último, los estudiantes de educación media en la zona urbana obtuvieron un mejor rendimiento académico en comparación con los de la zona rural, dadas las mejores condiciones que ofrece la ciudad. La brecha de desigualdad entre la educación urbana y rural en Nariño es persistente, donde la ruralidad impone mayores obstáculos y dificultades de aprendizaje.
Referencias
Alvarenga-Valiente, A. J., Osegueda-de-González, M. G. & Zepeda, M. L. (2014). Incidencia del factor socioeconómico en el rendimiento académico de los/as estudiantes de la Carrera de Licenciatura en Ciencias de la Educación de la Universidad de El Salvador. [Tesis de pregrado, Universidad de El Salvador]. http://ri.ues.edu.sv/id/eprint/6381/1/Incidencia%20del%20factor%20socioecon%C3%B3mico%20en%20el%20rendimiento%20acad%C3%A9mico%20de%20losas%20estudiantes%20de%20la%20Carrera%20de%20Licenciatura%20en%20Ciencias%20de%20la%20Educaci%C3%B3n%20de%20la%20Universidad%20de%20El%20Salvador.pdf
Barceinas-Paredes, F. (2001). Capital humano y rendimientos de la educación en México [tesis de doctorado, Universitat Autónoma de Barcelona]. https://www.tdx.cat/bitstream/handle/10803/3983/fbp1de1.pdf
Becker, G. (1964). Human capital: a theoretical and empirical analysis, with special reference to education. Londres: National Bureau of Economic Research.
Becker, G. S. (1983). El capital humano (2ª ed.). Alianza Editorial S.A.
Beneyto-Calatayud, P. J. (2013). Teoría (y práctica) del capital humano. Un análisis crítico del caso español. Methaodos. Revista de ciencias sociales 1 (1), 53-8. https://doi.org/10.17502/m.rcs.v1i1.25
Bourdieu, P. (2001). Las formas del capital. Capital económico, capital cultural y capital social. En P. Bourdieu. Poder, derecho y clases sociales. Desclée de Brower.
Bowles, S. & Gintis, H. (2014). El Problema de la teoría del capital humano: Una crítica Marxista. Revista de Economía Crítica, 18, 220-228. http://www.revistaeconomiacritica.org/sites/default/files/15_Bowles-Gintis_Teoria-del-capital-humano.pdf
Burin, M. & Meler, I. (2000). Varones. Género y subjetividad masculina. Paidós.
Bustamante, C. D. & Arroyo, J. S. (2008). La raza como un determinante del acceso a un empleo de calidad un estudio para Cali. Ensayos sobre Política Económica, 26(57), 130-175. https://www.banrep.gov.co/sites/default/files/publicaciones/archivos/resu_057-3.pdf
Carabaña, J. (1979). Origen social, inteligencia y rendimiento académico al final de la EGB. https://fracasoacademico.files.wordpress.com/2019/12/carbac3b1a-1979.pdf
Cardona-Acevedo, M., Montes-Gutiérrez, I. C., Vásquez-Maya, J. J., Villegas-González, M. N. & Brito-Mejía, N. (2007). Capital humano: Una mirada desde la educación y la experiencia laboral. Serie Cuadernos de Investigación. Documento 56-042007. Grupo de estudios sectoriales y territoriales EAFIT. https://publicaciones.eafit.edu.co/index.php/cuadernos-investigacion/article/view/1287/1166
Castejón, J. L. & Pérez, A. M. (1997). Factores que distinguen y explican el rendimiento académico diferencial de alumnos repetidores y alumnos cuya edad escolar coincide con su edad cronológica. Revista de Psicodidáctica, 4, 103-118. https://ojs.ehu.eus/index.php/psicodidactica/article/view/61/61
Chica-Gómez, S. M., Galvis-Gutiérrez, D. M. & Ramírez-Hassan, A. (2010). Determinantes del rendimiento académico en Colombia. Pruebas ICFES - Saber 11, 2009*. Revista Universidad EAFIT, 46(160), 48-72. http://publicaciones.eafit.edu.co/index.php/revista-universidad-eafit/article/view/754/665
Congreso de Colombia (1994, 8 de febrero). Ley 115. Por la cual se expide la Ley General de Educación. Diario Oficial 41214. https://www.mineducacion.gov.co/1759/articles-85906_archivo_pdf.pdf
Covadonga, R. (2001). Factores familiares vinculados al bajo rendimiento. Revista Complutense de Educación. 12, 81-113. https://revistas.ucm.es/index.php/RCED/article/view/RCED0101120081A/16850
Denison, E. F. (1962). The Sources of Economic Growth in the United States and the Alternatives Before Us. Supplementary Paper No. 13. New York, Committee for Economic Development, 297 p. Louvain Economic Review, 37(1), 55-55. https://doi.org/10.1017/S0770451800028694
De Keijzer, B. (2001). Para negociar se necesitan dos: procesos de interacción en la pareja con énfasis en la crianza: una aproximación crítica desde lo masculino. En J. G. Figueroa (coord.), Elementos para un análisis ético de la reproducción (pp. 259-273). UNAM/Porrúa.
Di Gresia, L., Porto, A. & Ripani, L. (2002). Rendimiento de los estudiantes de las universidades públicas. Departamento de Economía. Documento de trabajo No. 45 Universidad Nacional de La Plata. http://www.depeco.econo.unlp.edu.ar/wp/wp-content/uploads/2017/05/doc45.pdf
Díaz-Burciaga, S. (s.f.). Investigación Aplicada. Desempeño escolar y su relación con el trabajo. Universidad Autónoma de Chihuahua. http://samai.weebly.com/uploads/1/0/7/4/10748158/investigacion_sobre_rendimiento_academico_2.pdf
Hernández-Miranda, B. (2017). Desigualdad en la calidad educativa de zonas rurales y urbanas no atendidas por la reforma educativa mexicana. II Congreso sobre Desigualdad Social, Económica y Educativa en el Siglo XXI, EDUMED. http://www.eumed.net/libros-gratis/actas/2017/desigualdad/51-desigualdad-en-la-calidad-educativa.pdf
Instituto Colombiano para el Fomento de la Educación Superior (ICFES) (2013). Análisis de las diferencias de género en el desempeño de estudiantes colombianos en matemáticas y lenguaje. https://www.icfes.gov.co/documents/20143/234129/Analisis+de+las+diferencias+de+genero+en+el+desempeno+de+estudiantes+colombianos+en+matematicas+y+lenguaje+2013.pdf
Juárez-Bolaños, D. & Rodríguez-Solera, C. R. (2016). Factores que afectan a la equidad educativa en escuelas rurales en México. Revista de Investigación Educacional Latinoamericana, 53(2), 1-15. https://doi.org/10.7764/PEL.53.2.2016.8
Maddala, G. S. (1986). Limited-dependent and qualitative variables in econometrics. Cambridge University Press.
Martínez, R. A. (1992). Factores familiares que intervienen en el progreso académico de los alumnos. Aula Abierta, 60, 23-40. https://www.unioviedo.es/reunido/index.php/AA/issue/viewIssue/1019/95
Mella, O. & Ortiz, I. (1999). Rendimiento escolar, influencias diferenciales de factores externos e internos. Revista Latinoamericana de Estudios Educativos, 29(1), 69-92. https://rlee.ibero.mx/index.php/rlee/issue/view/122/RLEE.XXIX.1
Mincer, J. (1974). Schooling, Experience and Earnings. NBER.
Ministerio de Educación Nacional, Colombia (2010, 17 de marzo). Decreto 869. Por el cual se reglamenta el Examen de Estado de la Educación Media, ICFES - SABER 11◦. https://www.mineducacion.gov.co/1621/articles-221588_archivo_pdf_decreto_869.pdf
Moncayo-Cabrera, M. A. (2016). Determinantes que influyen en el rendimiento académico: un estudio aplicado para Colombia a partir de las pruebas ICFES - SABER 11. [Tesis de pregrado, Universidad de La Salle]. Repositorio Universidad de La Salle. https://ciencia.lasalle.edu.co/cgi/viewcontent.cgi?article=1231&context=economia
Nord, C. W. (1998). Factors Associated with Fathers’ and Mothers’ Involvement in their Children’s Schools”. ERIC No. ED417872. https://eric.ed.gov/?id=ED417872
Ortega, P., Torres, L. & Salguero, A. (1999). Vivencia de la paternidad desde la perspectiva de género. Iztapalapa. Revista de Ciencias Sociales y Humanidades (45), 41-56. https://revistaiztapalapa.izt.uam.mx/index.php/izt/article/view/619/768
Pérez-Serrano, G. (1981) Origen social y rendimiento escolar. CIS.
Pons, M. (2004). “Determinación Salarial: Educación y Habilidad. Análisis teórico y Empírico del caso español”. Universitat de Valencia. Facultat de Ciències Econòmiques i Empresarials. Departament d’Anàlisi Econòmica. Valencia, España 2004. http://roderic.uv.es/bitstream/handle/10550/15154/pons.pdf?sequence=1&isAllowed=y
Rodríguez, M. & Cáceres, J. (2007). Modelos de elección discreta y especificaciones ordenadas: una reflexión metodológica. Estadística Española, 166 (49), 453-473. https://www.ine.es/ss/Satellite?L=0&c=INERevEstad_C&p=1254735226759&pagename=ProductosYServicios%2FPYSLayout&charset=UTF-8&cid=1259924965499&submit=Ir
Roemer, J. E. (1998). Igualdad de oportunidades. ISEGORÍA 18, 71-87. http://isegoria.revistas.csic.es/index.php/isegoria/article/view/146/146
Ruggeri, G. & Yu, W. (2000). On the Dimensions of Human Capital: An Analytical Framework. University of New Brunswick. https://unbscholar.lib.unb.ca/islandora/object/unbscholar%3A7806/datastream/PDF/view
Sandoval-Vásquez, J. F. & Hernández-Castro, G. (2018). Crítica a la teoría del capital humano, educación y desarrollo socioeconómico. Revista ensayos pedagógicos, 13(2), 137-160. https://doi.org/10.15359/rep.13-2.7
Schultz, T. W. (1960) Capital formation by education. The journal of political economy 68 (6), 571-583
Schultz, T. W. (1961). Investment in human capital. The American Economic Review 51(1), 1-17.
Schüssler, R. (2007). Género y educación. Cooperación Técnica Alemana GTZ. PROEDUCA-GTZ. https://www.oei.es/historico/noticias/spip.php?article1631
Solano-Luengo, L. O. (2015). Rendimiento académico de los estudiantes de secundaria obligatoria y su relación con las aptitudes mentales y las actitudes ante el estudio. [Tesis de doctorado, UNED]. http://e-spacio.uned.es/fez/eserv/tesisuned:Educacion-Losolano/SOLANO_LUENGO_Luis_Oct avio.pdf
Solow, R. M. (1956). A Contribution to the Theory of Economic Growth. Quarterly Journal of Economics, 70, 65-94. http://piketty.pse.ens.fr/files/Solow1956.pdf
Solow, R. M. (1957). Technical Change and the Aggregate Production Function. Review of Economics and Statistics, 39, 312-320. http://www.piketty.pse.ens.fr/files/Solow1957.pdf
Thurow, L. (1978). Inversión en Capital Humano. México: Trillas
UNESCO (2004). Participación de las familias en la educación infantil Latinoamericana. Oficina Regional de Educación para América Latina y el Caribe. http://www.oei.es/inicial/articulos/participacion_familias.pdf
Valenti, G., Salazar E., R., Florez, N. & Luna, M. (2009). Factores asociados al logro educativo. Un enfoque centrado en el estudiante. Facultad Latinoamericana de ciencias sociales. http://www.enlace.sep.gob.mx/content/ba/docs/2011/Estudio_FLACSO.pdf
Viáfara-López, C. A. & Urrea-Giraldo, F. (2006). Efectos de la raza y el género en el logro educativo y estatus socio ocupacional para tres ciudades colombianas. Desarrollo y Sociedad, 58, 115-163. https://doi.org/10.13043/dys.58.4
Witte, K. N. & Rogge, N. (2014). Does ICT matter for effectiveness and efficiency in mathematics education? Computers & Education 75, 173-184. https://doi.org/10.1016/j.compedu.2014.02.012
Willis, R. J. (1986). “Wage determinants: a survey and reinterpretation of human capital earning functions” Handbook of Labor Economics, 1, 525-602. https://doi.org/10.1016/S1573-4463(86)01013-1
Notas