Artículos
Dinámica de los precios en los departamentos de Colombia: estimación de la curva de Phillips neokeynesiana*
Price Dynamics in the Departments of Colombia: Estimation of the Neo-Keynesian Phillips Curve
La dynamique des prix dans les départements colombiens : une estimation de la courbe de Phillips néo-keynésienne
Dinámica de los precios en los departamentos de Colombia: estimación de la curva de Phillips neokeynesiana*
Lecturas de Economía, núm. 97, pp. 11-43, 2022
Universidad de Antioquia
Recepción: 13 Enero 2021
Aprobación: 08 Mayo 2022
Resumen: Este artículo explica la dinámica de la inflación en los departamentos de Colombia entre 2009 y 2019, estimando la curva de Phillips neokeynesiana (NKPC, por sus siglas en inglés). Se encuentran diferencias en la explicación de la inflación y se evidencia que la NKPC permite describir la baja probabilidad de cambios en los precios en algunos departamentos, especialmente de la zona central del país. Los coeficientes estimados apoyan la importancia que tiene la inflación esperada en la formación de precios, y con menor importancia el papel de la inflación rezagada (persistencia de la inflación). Esta persistencia de la inflación es un reflejo de las rigideces estructurales que reducen la capacidad de las empresas de un departamento para modificar sus precios en relación con otros. Estas diferencias en los procesos que determinan la dinámica de la inflación entre departamentos tienen implicaciones importantes para la conducción de política monetaria en Colombia.
Palabras clave: curva de Phillips neokeynesiana, inflación departamental, precios rígidos, método generalizado de momentos.
Abstract: This paper explains the dynamics of inflation in the departmental departments of Colombia between 2009-2019, estimating the Neo Keynesian Phillips curve (NKPC). There are differences in the formation of inflation and evidence that the NKPC allows describing a low probability of changes in prices for departments, mainly in the central zone of the country. The estimated coefficients support the importance of expected inflation on price formation, and less importantly the role of lagged inflation (persistence of inflation). This persistence of inflation is a reflection of structural rigidities, which reduce the ability of firms in one department to modify their prices in relation to others. These differences in the processes that determine the dynamics of inflation between departments have important implications for the conduct of monetary policy in Colombia.
Keywords: Neo Keynesian Phillips curve, departmental inflation, sticky prices, generalized method of moments.
Résumé: Cet article explique la dynamique de l’inflation dans les départements de Colombie entre 2009 et 2019, en estimant la courbe de Phillips néo-keynésienne (NKPC). Nous montrons, d’une part, les différences dans l’explication de l’inflation et, d’autre part, la NKPC permettant de décrire la faible probabilité d’une variation des prix dans certains départements, en particulier dans la zone centrale du pays. Les coefficients estimés confirment l’importance de l’inflation anticipée dans la formation des prix et, dans une moindre mesure, le rôle de l’inflation passée ou persistance de l’inflation. Cette persistance de l’inflation reflète les rigidités structurelles qui réduisent la capacité des entreprises d’un département à modifier leurs prix par rapport à d’autres. Nous concluons que ces différences dans les processus qui déterminent la dynamique de l’inflation entre les départements ont des implications importantes pour la conduite de la politique monétaire en Colombie.
Mots clés: courbe de Phillips néo-keynésienne, inflation départementale, prix rigides, méthode des moments généralisés.
Introducción
La curva de Phillips neokeynesiana es el resultado de la evolución teórica a partir de la regularidad empírica encontrada inicialmente entre salarios y desempleo, que posteriormente se fundamentó en un trade-off entre inflación y la brecha del producto, elemento clave para el modelo de inflación objetivo. Estudios recientes han evidenciado que no es la brecha del producto la que incide en la inflación, sino la brecha de los costos marginales (Galí & Gertler, 1999; Rumler, 2007; Ramos & Torres, 2008).
Galí y Gertler (1999) señalan que las empresas intentan mantener un beneficio fijo sobre el costo marginal, pero si este margen sobre los costos empieza a declinar, entonces las firmas de nuevo fijan sus precios provocando con ello inflación. En este sentido, la nueva curva de Phillips asume la existencia de rigideces en los precios y estos evolucionan acorde con las decisiones de los productores.
Por esta razón, el enfoque neokeynesiano considera que la dinámica inflacionaria se explica no solo por un fenómeno de demanda, sino también por el lado de la oferta con base en los costos de producción. Pues bien, tal enfoque concibe con los distintos mecanismos a través de los cuales las dos variables -inflación y costos marginales- se relacionan, otorgándole distintos grados de importancia a las variables intermedias involucradas en su análisis y establece diferentes direcciones en la causalidad de una sobre otra. Entre ellas se encuentran: efecto de persistencia -rezagos de la inflación-, factores de demanda -procedentes de los desequilibrios reales- y choques de oferta -cambios en los precios procedentes de factores climáticos que recaen sobre los precios de los alimentos, cambios en la regulación que afectan los precios de servicios públicos o del petróleo en el exterior- (Gordon, 1997).
En este contexto, suponer que las empresas en un entorno regional tienen la capacidad de fijar el precio y mantenerlo fijo por algún tiempo debido a las rigideces nominales, dará origen a hallazgos en la dinámica inflacionaria. Las diferencias en el proceso de formación de inflación en los departamentos, es relevante al momento de determinar el grado de efectividad de la política monetaria. Debido a que cada región cuenta con estructuras económicas distintas, la política monetaria podría tener efectos desiguales a partir de variables como: el grado de industrialización y el tipo de especialización o diversificación que tenga la industria de una región; el desarrollo y la profundidad financiera; la posición neta en el sistema financiero; y la posición neta en el comercio exterior (Romero et al., 2008).
Así mismo, la existencia de competencia imperfecta entre las empresas y la persistencia de los precios en el tiempo, dará lugar a la participación de la política económica como herramienta estabilizadora ante los ciclos adversos que enfrenta la economía colombiana. En este sentido, la estimación de la NKPC se realiza pensando en que la dinámica inflacionaria subnacional ha recibido menos atención en la literatura y en los análisis económicos y, sobre todo, en las economías emergentes como la colombiana.
El desarrollo del artículo comienza con esta introducción, seguido por la revisión de literatura donde se define la derivación de la NKPC y se culmina con las discusiones en torno a la NKPC. En la sección II se describe la metodología de estimación y el comportamiento de las principales variables que utilizan en el modelo. Posteriormente, se procede a estimar la NKPC para los departamentos de Colombia junto con los resultados obtenidos. Por último, se esbozan las principales conclusiones.
I. Revisión de literatura
A. La curva de Phillips neokeynesiana
La derivación de la NKPC parte de suponer que las empresas se encuentran en competencia monopolística y tienen una restricción en el ajuste de precios. Esto lleva a definir la fijación de precios a la Calvo (1983) para simplificar el problema de agregación de precios. Esta forma de rigidez de precios lleva a establecer que las empresas tienen una probabilidad θ de mantener sus precios sin cambios en el tiempo. Las empresas procuran maximizar sus beneficios sujetas a la restricción en el ajuste de precios.
La estructura de precios a la Calvo (1983) permite que el nivel de precios agregados se determine como una combinación convexa del nivel de precios rezagados (pt−1 ) y el nuevo precio (zt ) así:

Como θ es la probabilidad de mantener el precio del periodo anterior, entonces la probabilidad de que las empresas fijen un nuevo precio es (1 θ). Esto lleva a la definición dada en Galí y Gertler (1999) sobre la ecuación de la NKPC:

Los costos marginales reales (mcrt ) se expresan como la diferencia entre los costos marginales (mct ) y los precios actuales (pt ). El coeficiente de la relación entre la inflación y los costos marginales reales es
, donde estos son los parámetros profundos del comportamiento de las empresas, siendo θ la probabilidad que las firmas mantenga fijos los precios (λ es decreciente en θ) y β será el factor subjetivo de descuento que lleva a valor presente la pérdida de bienestar de las empresas por no tener la capacidad de ajustar sus precios al nivel deseado. Se asume que los agentes tienen expectativas racionales, y por ende los precios en el presente dependen de lo que esperan sean en el futuro.
B. Evidencia empírica
Los estudios preliminares sobre la NKPC híbrida, como el de Fuhrer y Moore (1995), continuaron utilizando la brecha del producto como la principal variable impulsora de la inflación, pero Galí y Gertler (1999) sugirieron usar los costos marginales reales con base en la participación del ingreso laboral. La aceptación que tuvieron los costos marginales sobre la dinámica inflacionaria en los Estados Unidos dio lugar al uso de modelos de equilibrio general dinámico y estocástico para entender los efectos de la política monetaria en los procesos inflacionarios.
Los resultados obtenidos por Galí y Gertler (1999) muestran que β y λ son significativos, y encuentran que θ = 0,829 lo que implica que el 82,9 % de las empresas dejan fijos los precios en promedio durante cinco trimestres. Igualmente, se explica que alrededor del 17 % de las empresas ajustan su precio según el valor actual de los costos marginales reales en la economía de Estados Unidos para el periodo comprendido entre 1960 y 1997 -en datos trimestrales-.1 En la Tabla 1 se observa un resumen de los resultados en diferentes trabajos acerca de la evidencia de la NKPC de distintos autores, estimada en diferentes países.

Entre estas estimaciones, autores como Neiss y Nelson (2005) se concentraron en analizar la estabilidad de los parámetros de la NKPC y ampliar la discusión sobre la relación de los costos marginales y la brecha del producto en países como Reino Unido, Estados Unidos y Australia. Al mismo tiempo, Céspedes et al. (2005) evidencian en una economía emergente como la chilena el coeficiente de Calvo (1983), y encuentran un rango de 0,55 a 0,80, sin salirse del rango de 2 a 5 trimestres en duración promedio en que los precios permanecen inalterados.
Otros autores interesados en estudiar la formación de precios, se han concentrado en analizar principalmente la incidencia de las expectativas adaptativas -se incluye el rezago de la inflación al estilo de curva de Phillips tradicional- y racionales en la dinámica inflacionaria. Es el caso de Vasicek (2011), quien encuentra que para cuatro países de la Unión Europea existe evidencia que la inflación está determinada por las expectativas de inflación futura, aunque con mayor grado de persistencia de la inflación que el encontrado en economías desarrolladas -consistente con las expectativas adaptativas-.
Por otra parte, Leith y Malley (2007), Rumler (2007), Mihailov et al. (2011) y Galí y Monacelli (2005) coinciden en que la tasa de inflación en las economías pequeñas y abiertas está impulsada por expectativas sobre factores externos. Otros factores como el tamaño específico, la estructura de producción y los patrones comerciales de un país pueden explicar la dinámica inflacionaria (ver resumen en Tabla 2).

A pesar que la NKPC ha tenido la capacidad de explicar la dinámica inflacionaria, los estudios de las economías regionales son escasos. Uno de estos estudios es el de Funke (2006) que, con datos anuales entre 1982- 2002 de China, estima una NKPC con el modelo estándar, y encuentra no significancia estadística de la brecha del producto. Además, el autor considera variables instrumentales como la tasa de inflación rezagadas y las brechas de producto, el precio real del petróleo y el tipo de cambio efectivo nominal para el control de problemas de endogeneidad. En el mismo periodo, pero con datos trimestrales y por medio de encuestas, Scheibe y Vines (2005) evidencian para China que la NKPC se ajusta mejor al futuro que al pasado -mayor importancia del forward-looking-. Por otra parte, Ha et al. (2003) encuentran que la NKPC representó mejor la dinámica de inflación que la Curva de Phillips convencional en China para el periodo 1989-2002.2
Para Mehrotra et al. (2010), 22 de las 29 provincias de China presentan significancia estadística en la brecha del producto y en el componente de inflación esperada para el periodo 1978-2004 -datos anuales-, siendo variables importantes para el proceso de formación de inflación en este país. Particularmente, estas provincias se ubican en la costa de China y comparten características comunes como las de ser más abiertas al comercio internacional y poseer un bajo porcentaje de empresas en donde el Estado controla su producción.
Otros trabajos encargados de estimar la NKPC a escala regional han surgido con diferentes métodos al conocido método generalizado de momentos -GMM por sus siglas en inglés-. Yesilyurt y Elhorst (2014) emplean un enfoque econométrico espacial para estimar la NKPC en 67 provincias de Turquía entre 1987 y 2001, y encuentran que el comportamiento prospectivo es más importante que el comportamiento retrospectivo. De manera más reciente, Saygili (2020) utiliza el enfoque de los errores estándar corregidos de los paneles heterocedásticos de Prais-Winsten -PCSE- para estimar la dinámica inflacionaria entre países de la OCDE entre 1990 y 2016. La estimación de los coeficientes evidencia variaciones entre sectores, lo cual explica las enormes diferencias de la respuesta sectorial en términos de política monetaria. En adición, los tamaños de los coeficientes estarían asociados al grado de integración a las cadenas de valor globales.
En Colombia también se han realizado estimaciones de la NKPC, tales como los trabajos de Bejarano (2005) y Hernández y Guerra (2020), aunque estos no tienen alcance regional -los resultados se resumen en la Tabla 3-.
En el caso de Bejarano (2005), se evidencia empíricamente la NKPC con datos trimestrales durante el periodo 1984-2002, y encuentra que la inflación y la brecha de costos marginales -diferencia entre los costos marginales reales y su tendencia- tienen una relación positiva, indicando con esto que no existirían costos de desinflación en Colombia.

En el caso de Galvis (2010), la verificación empírica de la NKPC se realizó para el periodo 1990-2006. El autor evidencia que los costos marginales explican la dinámica inflacionaria, dado que las empresas fijan el precio en promedio por cinco periodos para mantener cierto margen de ganancia sobre sus costos marginales. Adicionalmente observa que, cuando aumenta la inflación, las empresas comienzan a cambiar el precio con mayor frecuencia. Finalmente, Hernández y Guerra (2020) evidencian rigideces nominales vía precios, aunque con una menor presencia en el grado de rigidez en los precios, lo cual indica que un menor porcentaje de empresas mantienen los precios fijos.
II. Metodología y datos
A. Información y método utilizado
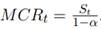
En esta sección se identifican los costos marginales reales que permitirán llevar a cabo la estimación econométrica de la NKPC. De acuerdo con Galí y Gertler (1999), los costos marginales reales parten de una función de producción Cobb-Douglas Yt = Kt{α}Nt{1−α} , donde Kt es el stock de capital y Nt es el número de ocupados. El producto marginal del trabajo se define como
y de esta manera es posible definir el costo marginal real como relación entre el costo laboral unitario y el producto marginal de trabajo:

El valor
se determina con la relación entre los ingresos laborales y el PIB nominal
y por ende
. El valor α se toma de las estimaciones realizadas de la función de producción en Colombia.
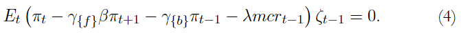
La estimación de la NKPC se realiza con el GMM, el cual es el método tradicional. En la ecuación 4 se define el conjunto de ortogonalidad de la forma reducida de la versión híbrida de la NKPC:

En este caso, ζ es el vector de variables en t, y dada esta condición de ortogonalidad se puede estimar el modelo utilizando el GMM propuesto por Hansen (1982). En adición, se utilizan como instrumentos rezagos de las variables para contener los errores de estimación de los costos marginales, dado que esto permite que el error no se correlacione con la información pasada (Galí et al., 2001). La estimación se realiza por GMM, porque los parámetros no son lineales y el número de instrumentos utilizados para esta estimación son mayores que el número de parámetros a estimar.
Las variables necesarias para la estimación de la NKPC son: πt y mcrt . En primer lugar, πt se obtiene de la tasa de variación mensual año completo del IPC entre 2010 y 2019 para cada una de las 23 ciudades principales, que son representativas de sus respectivos departamentos. Los datos se toman del Departamento Administrativo Nacional de Estadística (DANE, s.f.a.).
En el caso de mcrt , inicialmente se construyen los costos laborales unitarios (St ) a partir de los ingresos laborales de los trabajadores (WtNt ) y el PIB nominal (PtYt ). Los ingresos laborales de los trabajadores en cada departamento se toman de la Gran Encuesta Integrada de Hogares (GEIH) en periodicidad mensuales3. En el caso del PIB (PtYt ) departamental se cuenta con datos de frecuencia anual, por lo que se desagregó mensualmente usando la metodología de Chow y Lin (1971)4.
Para tener comparabilidad con los estudios en Colombia (Bejarano, 2005; Galvis, 2010; Hernández & Guerra, 2020), la elasticidad del producto de la economía al factor trabajo (1 - α) tomada es de 60 %.5 Estos valores se reemplazan en la ecuación 3 para obtener los costos marginales reales. Finalmente, se determina la brecha de los costos marginales reales con la diferencia del logaritmo natural de los costos marginales reales y la tendencia estimada con el filtro Hodrick-Prescott (HP). El procedimiento indicado permite estimar el mcrt .
B. Estadísticas descriptivas
La tasa de inflación en Colombia ha disminuido desde que se implementó el régimen de inflación objetivo. La Tabla 4 muestra que el período comprendido entre 2010 y 2019 la inflación en promedio mantiene un rango entre 3 % y 4 %, a pesar que en el 2013 se alcanzó una inflación en promedio menor al 2 % y superior al 8 % en 2016. También se destaca de Bogotá, Caquetá, Norte de Santander y Risaralda unos costos marginales promedio mayores que el resto de los departamentos. En caso opuesto, según el promedio, los departamentos con menores costos marginales son Meta, Cundinamarca, Cesar y Boyacá. Por períodos, los costos marginales más grandes se encuentran en Norte de Santander, principalmente entre 2010 y 2014, seguido por Risaralda y Caquetá. Por otra parte, Meta conservaría las cifras más bajas durante el período 2010-2014, que luego es reemplazado por departamentos como Cundinamarca y Cesar.

En comparación con la inflación, los costos marginales presentan una mayor volatilidad, principalmente para departamentos como Norte de Santander, Chocó y Atlántico. Estas diferencias regionales pueden observarse en la Figura 1. Por lo general, la tasa de inflación regional con el tiempo presenta comportamientos similares, pero al observar el comportamiento según su ubicación, se puede encontrar ciertas diferencias con la tasa de inflación nacional.6

En el caso de Quibdó no presenta datos de inflación para 2019. En el caso de Cundinamarca, se asume que la inflación de Bogotá es similar a la del departamento, ya que no se cuenta con datos propios. Esto se mantendrá durante las estimaciones econométricas.
En concordancia con la descripción de las dos variables principales del marco de estimación, la tasa de inflación y los costos marginales (HP), la Figura 2 muestra en detalle su comportamiento entre 2010 y 2019. Para la mayoría de las regiones se reflejan dos momentos de mayor presión inflacionaria. Estos ocurren primero en el 2011 por problemas originados por el invierno en Colombia, en donde los alimentos (5,27 %), educación (4,57 %) y vivienda (3,78 %) fueron los sectores que presionaron la inflación. Por ciudades, las capitales de los departamentos de Santander y Huila presentaron mayores variaciones en el año, caso contrario sucedió con Nariño (2,41 %).
El segundo repunte de la inflación sucedió en el 2015, coincidiendo con la fuerte presión de la depreciación del peso colombiano respecto al dólar (debido al aumento en el precio del petróleo) y en parte por fenómenos climáticos. La inflación en Colombia alcanzó el 6,77 %, donde los alimentos tuvieron una variación de precios del 10,85 %, separándose de la meta del Banco de la República. La tasa de inflación fue más alta en la capital del departamento de Norte de Santander para mediados del año 2016 con 10,6 %, junto con una volatilidad pronunciada.

En cuanto a la brecha de los costos marginales, estos difieren más entre departamentos que por las tasas de inflación. Los departamentos con mayor participación en el sector primario (agropecuario y minería) presentan mayores fluctuaciones al momento de observar el comportamiento de la brecha de los costos marginales; es decir, la participación laboral es susceptible a los fenómenos climáticos en departamentos como Chocó, Nariño, Quindío, Caquetá y Magdalena.
Estas diferencias implican que los choques agregados hacen que haya una respuesta desigual entre los departamentos. Carlino y Defina (1998) evidencian que el efecto en el cambio de los precios del petróleo afecta de manera diferente a las regiones productoras y consumidoras. Igualmente, atribuyen que los choques de la política monetaria -caso de la tasa de interés- difiere según las elasticidades de los sectores productivos y la distribución de las industrias en las regiones. Quintero (2019) propuso una agrupación departamental que vinculara el tipo de actividad principal de cada departamento frente al impacto de política monetaria, y coincide que los departamentos mencionados pertenecen al grupo clasificado como “diversos”, es decir, su actividad económica principal no se encuentra en la minería, servicios e industria.
III. Resultados y discusión
Las estimaciones de la forma reducida del NKPC de referencia para cada departamento, se deriva de la especificación en la ecuación 4, tomando las variables instrumentales para datos mensuales que sugiere Ramos y Torres (2008)7. Los coeficientes del término prospectivo (γ{f} ) y retrospectivo (γ{b} ) son positivos y estadísticamente significativos al 1 % con GMM (Tabla 5). En todos los casos, los coeficientes del término prospectivo, γ{f} , es mayor que el coeficiente de inflación rezagada, γ{b} . Este último tiene un tamaño del coeficiente entre 0,213 y 0,399. En el caso de γ{f} , el rango está entre 0,682 y 1,002.
El coeficiente de la brecha de los costos marginales λ se observa que es positivo y negativo con significancia estadística al 5 % y al 1 % para 42 % de los 24 departamentos (incluida Bogotá). La estimación negativa significativa al 5 % se presenta en Bolívar (-0,074), y al 1 % en Cundinamarca (-0,093) y Tolima (-0,111). Un λ positivo y estadísticamente significativo al 1 % varía entre 0,018 (Atlántico) y 0,158 (Caldas).

En el caso de Norte de Santander, Atlántico, Boyacá, Caldas, Caquetá, Huila y Risaralda los datos se ajustan correctamente para validar la NKPC híbrida, dado por los coeficientes son positivos y estadísticamente significativos al 1 %. La no evidencia de la NKPC híbrida en Santander y Sucre se debe a que los coeficientes de la brecha de los costos marginales (λ) no son estadísticamente significativos, y se obtienen altos errores estándar alrededor de las estimaciones. Esto evidencia que el proceso inflacionario no es similar en todos los departamentos, y por ende la heterogeneidad en la dinámica inflacionaria regional es clara.
En concordancia con los resultados, es posible indicar que la fracción de empresas que cambian su precio usando en menor medida una regla empírica retrospectiva (coeficiente γ{b}) es menor a las que toman en consideración la inflación esperada (γ{f}). Esta relación al presentar mayores coeficientes en la inflación esperada y la brecha de los costos marginales explican la baja probabilidad que las empresas mantengan sin cambios los precios en el tiempo, como es el caso de Boyacá y Caldas. Por el contrario, si existe mayor explicación de la persistencia de la inflación (γ{b}) a la dinámica inflacionaria en los departamentos las empresas mantendrán los precios sin cambios por un tiempo considerable.
Los departamentos con estructuras económicas que no pertenecen-según Quintero (2019) - a la industria, servicios y minería como Chocó, Córdoba, Huila, Magdalena, Norte de Santander, Quindío y Sucre, presentan mayor valor del coeficiente de persistencia en la inflación, por lo que sus empresas fijan los precios de manera retrospectiva, así como en la adopción de medidas en materia de política monetaria pueden tener un efecto lento en la actividad económica.
En la Figura 3 se presenta la ubicación geográfica de los coeficientes γ{b}, γ{f}, λ y θ de acuerdo con los resultados de la Tabla 5, permitiendo observar la baja persistencia de la inflación en departamentos que comunican el pacífico y el caribe con el centro del país; en este sentido, el impacto que pueda tener la política monetaria en estas regiones es alta por la importancia que tiene las expectativas de inflación en la causada. En contraste, el coeficiente de la brecha del costo marginal (λ) difiere su tamaño en diferentes regiones, pero un aspecto a destacar es que los departamentos ubicados en la zona central del país y también Bolívar tienen baja probabilidad de que las empresas mantengan los precios sin cambios en el tiempo.

El grado de competencia que tienen las empresas permite entender la forma como estas ajustan sus precios. En mercados altamente competitivos las empresas son más susceptibles de cambiar sus precios como respuesta a un choque, dado que el costo de oportunidad de no hacerlo es alto (Misas et al., 2009). En ese sentido, cuando se observa la probabilidad de mantener sin cambio los precios las empresas en los departamentos parecen operar en mercados poco competitivos, principalmente en lugares aledaños al centro del país.
Para Mehrotra et al. (2010), la posibilidad de que la inflación haya experimentado choques comunes en los departamentos se evidencia en movimientos comunes por parte de los residuos de las regresiones. La correlación de los residuos para el caso de los departamentos de Colombia es alta. En promedio la correlación de los residuos del departamento hacia los demás va desde 0,42 (Chocó) a 0,70 (Meta), con un promedio total de 0,59. Sin embargo, al comparar el comportamiento de la tasa de inflación a partir de los residuos de las regresiones según su estructura económica, los departamentos basados en la minería y la industria presentan una correlación del 61% y 62% respectivamente, mientras que los departamentos que no se agrupan en las anteriores estructuras es 52 %.
Por otro lado, la división entre regiones muestra divergencias más claras en el comportamiento de la inflación. Las correlaciones de los residuos en el modelo planteado indican que las regiones del Centro Oriental y Occidental presentan en promedio movimientos similares del 66 %, mientras que para economías de la región del Caribe y el Pacífico los coeficientes de correlación son más bajos, correspondientes al 62 % y 57 %. Estos hallazgos se asemejan a los encontrados por Quintero (2019), donde las zonas costeras del país presentan mayores efectos diferenciales de la política monetaria.
El modelo estructural detrás de la NKPC sugiere que la transmisión de la política monetaria sobre la inflación se produce cuando las tasas de interés reales inciden en los costos marginales reales a través de la brecha del producto, aunque también la política monetaria puede influir en la inflación a través del canal de expectativas cuando el banco central tiene credibilidad. Los resultados resaltan la participación de la inflación esperada en cada uno de los departamentos, a pesar que el coeficiente λ es estadísticamente significativo y consistente con la teoría en 7 de los 24 departamentos -incluida Bogotá-.
Las diferencias en el proceso de formación de precios entre los departamentos son importantes, porque de ello dependerá directamente la efectividad de la política monetaria. El coeficiente de Calvo (1983) (θ), que explica la probabilidad de mantener los precios fijos en el tiempo, es heterogéneo entre departamentos, dado que se mantiene en un rango de 0,695 a 0,958 con duraciones de precios en promedio entre 3 hasta 24 meses. Al comparar por regiones, la zona cen- tral perteneciente a Boyacá, Cundinamarca, Tolima y Caldas presentan menor rigidez de precios, asociado tanto a una baja persistencia de la inflación (γ{f}) como a una mayor relevancia de la inflación esperada (γ{b}).
Para complementar las estimaciones de la Tabla 5, se construye un panel dinámico para estimar la NKPC. No obstante, Mileva (2007) aclara que este tipo de modelos puede enfrentar diferentes problemas como: problemas de endogeneidad en donde el regresor se correlaciona con el término de error; características invariantes en el tiempo del departamento (efecto fijo), como la correlación de la geografía y la demografía con las variables explicativas; la existencia de autocorrelación; y la naturaleza de los datos panel al tener una dimensión corta de tiempo y amplia dimensión espacial. Por lo anterior, Mileva (2007) sugiere que estos problemas se resuelven usando GMM a partir del método de Arellano y Bond (1991).
Inicialmente, se realizan estimaciones constatando que la NKPC se cumpla para el país. La Tabla 6 considera la ecuación preliminar en πt−3, πt+3 y mcrt. A pesar que los coeficientes γ{b} y γ{f} son estadísticamente significativos al 1 % y para λ al 5 %, aunque este último es negativo. Es de aclarar que la relación entre la inflación y la brecha de los costos marginales es negativa con inclusión de t, t − 3, t − 6 y t − 12 rezagos. Sin embargo, es hasta considerar 18 rezagos (un año y medio) que el coeficiente de la brecha de los costos marginales (λ) es estadísticamente para explicar la dinámica inflacionaria.

En la Tabla 6 se realiza un contraste del modelo estimado entre tres rezagos y adelantos, y por otro lado con seis rezagos y adelantos. Esta última especificación tiene inconvenientes, como son -primero- los errores estándar de sus coeficientes son grandes, y -segundo- a pesar de que se acepta la hipótesis nula de la prueba de Hansen (1982) respecto de la validez de las restricciones de sobreidentificación, al tomar el valor 1 se anula lo mencionado -no se considera la prueba Sargan (1958), lo cual considera la misma hipótesis de Hansen-; por tanto, no se cumple con la prueba de Roodman (2009).
Por lo anterior, el modelo que incluye tres rezagos y adelantos es válido al considerar que el coeficiente de la inflación visto hacia el futuro, γ {f} continúa siendo importante en la explicación de la dinámica inflacionaria del país, tal como se evidenció en cada uno de los departamentos. Así mismo, los bajos errores estándar de los coeficientes y la no autocorrelación serial (AR(2)) lo hace válido desde el punto de vista estadístico. Sin embargo, los resultados son similares a los obtenidos por Galvis (2010), dado que el grado de rigidez de precios en las empresas es de alrededor el 80 %, por lo que las empresas mantienen fijo los precios en promedio durante 5 meses.
En la Figura 4 se muestra un resumen de los coeficientes estimados, donde se evidencia la relación entre el coeficiente λ con el asociado a la inflación pasada (γ{b}) y a la inflación esperada (γ{f}). En general, los coeficientes de la brecha de los costos marginales y de la inflación esperada presentan mayor valor que el de la inflación rezagada, por lo que los resultados son consistentes con el modelo de la NKPC (Galí et al., 2001; Ramos & Torres, 2008; Mehrotra et al., 2010; Vasicek, 2011). Al comparar los coeficientes obtenidos con el panel permanecen distantes a los coeficientes individuales.


Conclusiones
Este artículo emplea una curva de Phillips neokeynesiana (NKPC) híbrida para analizar la dinámica de los precios en los departamentos en Colombia. La evidencia muestra que el proceso inflacionario ha sido más prospectivo en los últimos años, lo que también es consistente con una mayor credibilidad en la meta de inflación, puesto que la eficacia de la política monetaria depende del papel de expectativas en la determinación de la inflación, que es de importancia para la conducción de la política monetaria en una economía con diferencias regionales como la colombiana. No obstante, la inflación rezagada (persistencia de la inflación) también es significativa para todos los departamentos.
Los resultados obtenidos muestran que la formación de precios presenta comportamientos diferenciales entre las regiones geográficas del país. Los departamentos del centro del país tienen menor probabilidad de que sus empresas mantengan los precios sin cambios, destacando el papel de la inflación esperada y los costos marginales. Por el contrario, los departamentos de las zonas costeras evidencian mayor grado de rigidez en los precios, puesto que las empresas tardan más tiempo en modificarlos.
Al evaluar la dinámica inflacionaria independiente sobre cada uno de los departamentos, las diferencias encontradas no están relacionadas con la ubicación geográfica. El fuerte impacto de la política monetaria se encuentra explicado por las expectativas de la inflación, tal como se observa en los departamentos de Bolívar, Nariño, Valle del Cauca, Boyacá, Santander, Tolima y Caldas.
Los resultados dan evidencia de la curva de Phillips neokeynesiana a nivel departamental, y puede brindar una explicación de la dinámica inflacionaria. La importancia de tener una estimación a escala regional sugiere una comprensión del papel de la política monetaria en la estabilización de los ciclos adversos que enfrenta la economía colombiana. En trabajos posteriores se puede abordar una medición del mecanismo de transmisión completo de la política monetaria a los precios en los diferentes departamentos.
Referencias
Arellano, M., & Bond, S. (1991). Some Tests of Specification for Panel Data: Monte Carlo Evidence and an Application to Employment Equations. The Review of Economic Studies, 58(2), 277-297. https://doi.org/10.2307/2297968
Bejarano, J. (2005). Estimación estructural y análisis de la curva de Phillips neokeynesiana para Colombia. Revista Ensayos Sobre Política Económica, 23(48), 64-117. https://doi.org/10.32468/Espe.4802
Calvo, G. A. (1983). Staggered Prices in a Utility-Maximizing Framework. Journal of Monetary Economics, 12(3), 383-398. https://doi.org/10.1016/0304-3932(83)90060-0
Carlino, G., & DeFina, R. (1998). The Differential Regional Effects of Monetary Policy. Review of economics and statistics, 80(4), 572-587. https://doi.org/10.1162/003465398557843
Céspedes, L. F., Ochoa, M., & Soto, C. (2005). The New Keynesian Phillips Curve in an Emerging Market Economy: The Case of Chile [docummento de trabajo No. 355]. Banco Central de Chile. https://si2.bcentral.cl/public/pdf/documentos-trabajo/pdf/dtbc355.pdf
Chow, G. C., & Lin, A.-l. (1971). Best Linear Unbiased Interpolation, Distribution, and Extrapolation of Time Series by Related Series. The Review of economics and statistics , 53(4), 372-375. https://doi.org/10.2307/1928739
Coen, R. M., Eisner, R., Marlin, J. T., & Shah, S. N. (1999). The NAIRU and Wages in Local Labor Markets. American Economic Review, 89(2), 52-57. https://doi.org/10.1257/aer.89.2.52
Cogley, T., & Sbordone, A. M. (2008). Trend Inflation, Indexation, and Inflation Persistence in the new Keynesian Phillips Curve. American Economic Review , 98(5), 2101-26. https://doi.org/10.1257/aer.98.5.2101
Departamento Administrativo Nacional de Estadística (DANE). (s.f.). Gran Encuesta Integrada de Hogares (GEIH). Consultado el 15 de noviembre de 2020. https://microdatos.dane.gov.co/index.php/catalog/MICRODATOS/about_collection/23/1
Departamento Administrativo Nacional de Estadística (DANE). (s.f.a.). Índice de precios al consumidor. Consultado el 15 de noviembre de 2022. https://www.dane.gov.co/index.php/estadisticas-por-tema/precios-y-costos/indice-de-precios-al-consumidor-ipc
DiNardo, J., & Moore, M. P. (1999). The Phillips Curve is Back? Using Panel Data to Analyze the Relationship Between Unemployment and Inflation in an Open Economy [NBER working paper No. 7328]. National Bureau of Economic Research. https://www.nber.org/papers/w7328
Fuhrer, J., & Moore, G. (1995). Inflation Persistence. The Quarterly Journal of Economics, 110(1), 127-159. https://doi.org/10.2307/2118513
Fuhrer, J. C. (1997). The (Un) Importance of Forward-Looking Behavior in Price Specifications. Journal of Money, Credit, and Banking, 29(3), 338- 350. https://doi.org/10.2307/2953698
Funke, M. (2006). Inflation in China: Modelling a Roller Coaster Ride. Pacific Economic Review, 11(4), 413-429. https://doi.org/10.1111/j.1468-0106.2006.00325.x
Galí, J., & Gertler, M. (1999). Inflation Dynamics: A Structural Econometric Analysis. Journal of Monetary Economics , 44(2), 195-222. https://doi.org/10.1016/S0304-3932(99)00023-9
Galí, J., Gertler, M., & López-Salido, J. D. (2001). European Inflation Dynamics. European Economic Review, 45(7), 1237-1270. https://doi.org/10.1016/S0014-2921(00)00105-7
Galí, J., & Monacelli, T. (2005). Monetary Policy and Exchange Rate Volatility in A Small Open Economy. The Review of Economic Studies , 72(3), 707-734. https://doi.org/10.1111/j.1467-937X.2005.00349.x
Galvis, J. C. (2010). Estimación de la curva de Phillips neokeynesiana para Colombia: 1990-2006. Lecturas de Economía, (73), 11-47. https://doi.org/10.17533/udea.le.n73a7863
Gordon, RJ (1997). La NAIRU: variable en el tiempo y sus implicaciones para la política económica. Diario de Perspectivas Económicas, 11(1), 11-32.
Ha, J., Fan, K., & Shu, C. (2003). The Causes of Inflation and Deflation in Mainland China. Hong Kong Monetary Authority Quarterly Bulletin, 30, 23-31. https://www.hkma.gov.hk/media/eng/publication-and-research/quarterly-bulletin/qb200309/fa3.pdf
Hansen, L. P. (1982). Large Sample Properties of Generalized Method of Moments Estimators. Econometrica, 50(4), 1029-1054. https://doi.org/10.2307/1912775
Hassler, U., & Neugart, M. (2003). Inflation-Unemployment Tradeoff and Regional Labor Market Data. Empirical Economics, 28(2), 321-334. https://doi.org/10.1007/s001810200133
Hernández, C., & Guerra, J. D. (2020). Evidencia empírica de la curva de Phillips neokeynesiana: un análisis para la economía colombiana para el periodo 2000-2019 [tesis de grado, Universidad EAFIT]. https://repository.eafit.edu.co/handle/10784/16309?show=full
Leith, C., & Malley, J. (2007). Estimated Open Economy New Keynesian Phillips Curves for The G7. Open Economies Review, 18(4), 405-426. https://doi.org/10.1007/s11079-007-9008-x
Mavroeidis, S., Plagborg-Møller, M., & Stock, J. H. (2014). Empirical Evidence on Inflation Expectations in the new Keynesian Phillips Curve. Journal of Economic Literature, 52(1), 124-88. https://doi.org/10.1257/jel.52.1.124
Mehrotra, A., Peltonen, T., & Rivera, A. S. (2010). Modelling Inflation in China-A Regional Perspective. China Economic Review, 21(2), 237-255. https://doi.org/10.1016/j.chieco.2009.06.010
Mihailov, A., Rumler, F., & Scharler, J. (2011). The Small Open-Economy New Keynesian Phillips Curve: Empirical Evidence and Implied Inflation Dynamics. Open Economies Review , 22(2), 317-337. https://doi.org/10.1007/s11079-009-9125-9
Mileva, E. (2007). Using Arellano-Bond Dynamic Panel Gmm Estimators in Stata. Tutorial with Examples using Stata 9.0 [working paper]. https://www.studocu.com/row/document/university-of-mauritius/law-and-management/elitz-using-arellano-bond-gmmestimators/1633335
Misas, M., López-Enciso, E. A., & Parra-Álvarez, J. C. (2009). La formación de precios en las empresas colombianas: evidencia a partir de una encuesta directa. Borradores de Economía, 569. https://www.banrep.gov.co/es/formacion-precios-las-empresas-colombianas-evidencia-partir-encuesta-directa
Neiss, K. S., & Nelson, E. (2005). Inflation Dynamics, Marginal Cost, and The Output Gap: Evidence from Three Countries. Journal of Money, Credit and Banking, 37 (6), 1019-1045. https://www.jstor.org/stable/3839026
Quintero, J. D. (2019). Impactos regionales y sectoriales de la política monetaria en Colombia. Cuadernos de Economía, 38(76), 259-288. https://doi.org/10.15446/cuad.econ.v38n76.62538
Ramos, M., & Torres, A. (2008). Inflation Dynamics in Mexico: A Characterization Using The New Phillips Curve. The North American Journal of Economics and Finance, 19(3), 274-289. https://doi.org/10.1016/j.najef.2008.04.001
Ravenna, F., & Walsh, C. E. (2006). Optimal Monetary Policy with the Cost Channel. Journal of Monetary Economics , 53(2), 199-216. https://doi.org/10.1016/j.jmoneco.2005.01.004
Roberts, J. M. (1995). New Keynesian Economics and The Phillips Curve. Journal of Money, Credit and Banking , 27 (4), 975-984. https://doi.org/10.2307/2077783
Roberts, J. M. (2005). How Well Does the New Keynesian Sticky-Price Model Fit the Data? The B. E. Journal of Macroeconomics, 5(1). https://doi.org/10.2202/1534-6005.1206
Romero, J. (2008). Transmisión regional de la política monetaria en Colombia [documentos de trabajo sobre economía regional, No. 107]. Banco de la República. https://www.banrep.gov.co/sites/default/files/publicaciones/archivos/DTSER-107.pdf
Roodman, D. (2009). A Note on the Theme of Too Many Instruments. Oxford Bulletin of Economics and Statistics, 71(1), 135-158. https://doi.org/10.1111/j.1468-0084.2008.00542.x
Rudd, J., & Whelan, K. (2005). New Tests of the New-Keynesian Phillips Curve. Journal of Monetary Economics , 52(6), 1167-1181. https://doi.org/10.1016/j.jmoneco.2005.08.006
Rudd, J., & Whelan, K. (2007). Modeling Inflation Dynamics: A Critical Review of Recent. Journal of Money, Credit and Banking , 39(S1), 155- 170. https://doi.org/10.1111/j.1538-4616.2007.00019.x
Rudebusch, G. D. (2002). Assessing Nominal Income Rules for Monetary Policy with Model and Data Uncertainty. The Economic Journal, 112(479), 402-432. https://doi.org/10.1111/1468-0297.00036
Rumler, F. (2007). Estimates of the Open Economy New Keynesian Phillips Curve for Euro Area Countries. Open Economies Review , 18(4), 427- 451. https://doi.org/10.1007/s11079-007-9028-6
Sargan, J. D. (1958). The Estimation of Economic Relationships Using Instrumental Variables. Econometrica , 26 (3), 393-415. https://doi.org/10.2307/1907619
Saygili, H. (2020). Sectoral inflationary dynamics: cross-country evidence on the Open Economy New Keynesian Phillips Curve. Review of World Economics, 156 (1), 75-101. https://doi.org/10.1007/s10290-019-00340-7
Sbordone, A. M. (2002). Prices and Unit Labor Costs: A New Test of Price Stickiness. Journal of Monetary Economics , 49(2), 265-292. https://doi.org/10.1016/S0304-3932(01)00111-8
Sbordone, A. M. (2005). Do Expected Future Marginal Costs Drive Inflation Dynamics? Journal of Monetary Economics , 52(6), 1183-1197. https://doi.org/10.1016/j.jmoneco.2005.08.010
Scheibe, J., & Vines, D. (2005). A Phillips Curve for China [CEPR discussion paper No. 4957]. https://papers.ssrn.com/sol3/papers.cfm?abstract_id=770244
Urrutia, M., Pontón, A., Esteban-Posada, C., & Reyes, C. (1999). El crecimiento económico colombiano en el siglo XX: aspectos globales. Borradores de Economía; No.134. https://repositorio.banrep.gov.co/handle/20.500.12134/5152
Vaona, A., & Ascari, G. (2012). Regional Inflation Persistence: Evidence from Italy. Regional Studies, 46 (4), 509-523. https://doi.org/10.1080/00343404.2010.505913
Vasicek, B. (2011). Inflation Dynamics and the New Keynesian Phillips Curve in Four Central European Countries. Emerging Markets Finance and Trade, 47 (5), 71-100. https://doi.org/10.2753/REE1540-496X470504
Wardhono, A., Nasir, M. A., Qori’ah, C. G., Indrawati, Y., & Krishnabudi, N. G. (2018). Estimated New Keynesian Phillips Curves (Nkpc) Model in Dynamic Inflation Based on Panel Data Perspective in ASEAN [conferencia]. https://repository.unej.ac.id/handle/123456789/89097
Yesilyurt, F., & Elhorst, J. P. (2014). A Regional Analysis of Inflation Dynamics in Turkey. The Annals of regional science, 52(1), 1-17. https://doi.org/10.1007/s00168-013-0570-4
Notas