Artículos
On the Evolution of Manufacturing Production Concentration in Mexican States and its Relationship to Their Level of Economic Complexity*
Sobre la evolución de la concentración de la producción manufacturera en los estados mexicanos y su relación con su nivel de complejidad económica
Sur l’évolution de la concentration de la production manufacturière dans les états mexicains et sa relation avec leur niveau de complexité économique
On the Evolution of Manufacturing Production Concentration in Mexican States and its Relationship to Their Level of Economic Complexity*
Lecturas de Economía, no. 97, pp. 255-290, 2022
Universidad de Antioquia
Received: 05 August 2021
Accepted: 02 February 2022
Abstract: We identify a link between the evolution of the concentration of manufacturing production among Mexican states and their level of economic complexity. Our results suggest that the concentration of manufacturing production among the country’s states evolved according to the predictions of standard models of international trade. However, the North American Free Trade Agreement (NAFTA) had a particular effect on each individual state, depending on its economic structure. More complex states, i.e., those more productively diverse and specialized in more sophisticated manufacturing goods, experienced a higher increase in their level of production concentration after NAFTA and were less affected by competition from Chinese exports to the U.S. In contrast, NAFTA had a less significant impact on the production concentration of less complex states, while competition from China halted their move towards greater specialization and even reversed it somewhat. These findings highlight the important role of international trade in shaping the development of the economic structure of Mexican states in the period under analysis.
Keywords: Economic integration, Economic complexity, NAFTA.
Resumen: En este artículo se identifica un vínculo entre la concentración de la evolución de la producción manufacturera y el nivel de complejidad económica de los estados mexicanos. Los resultados sugieren que la concentración de la producción manufacturera de los estados del país evolucionó acorde con las predicciones de los modelos de comercio internacional. Sin embargo, el Tratado de Libre Comercio de América del Norte (TLCAN) tuvo un efecto particular sobre los estados, dependiendo de su estructura económica. Los estados más complejos, - por ejemplo, aquellos con mayor diversidad productiva y especializados en bienes manufacturados más sofisticados- experimentaron un mayor aumento en su nivel de concentración de producción después del TLCAN y se vieron menos afectados por la competencia de las exportaciones chinas a los EE. UU. Por el contrario, el TLCAN tuvo un impacto menos significativo en la concentración de la producción de los estados menos complejos, en tanto, la competencia de China detuvo su avance hacia una mayor especialización e incluso lo revirtió un poco. Estos hallazgos destacan el importante papel del comercio internacional en la configuración del desarrollo de la estructura económica de los estados mexicanos en el período bajo análisis.
Palabras clave: integración económica, complejidad económica, TLCAN.
Résumé: Cet article établit un lien entre la concentration de l’évolution de la production manufacturière et le niveau de complexité économique des états du Mexique. Les résultats suggèrent que la concentration de la production manufacturière des états mexicains a évolué conformément aux prédictions des modèles de commerce international. Toutefois, l’Accord de Libre-Échange Nordaméricain (ALENA) a eu un effet particulier sur les états mexicains, en fonction de leur structure économique. Les états plus complexes - par exemple, ceux dont la diversité productive est plus grande et qui se sont spécialisés dans des produits manufacturés plus sophistiqués - ont connu une plus grande augmentation de leur niveau de concentration de production après la signature de l’Accord. En même temps, ces états ont été moins affectés par la concurrence des exportations chinoises vers les États-Unis. En revanche, l’Accord a eu un impact moins important sur la concentration de la production dans les états le moins complexes, tandis que la concurrence chinoise a stoppé leur évolution vers une plus grande spécialisation et l’a même légèrement diminuée. Ces résultats soulignent le rôle important du commerce international dans le développement de la structure économique des états mexicains au cours de la période analysée.
Mots clés: intégration économique, complexité économique, ALENA.
Introduction
This study follows on from the work of Gómez-Zaldivar et al. (2017), who, among other things, compute and analyze the dynamics of a manufacturing production concentration measure for Mexico for the period 1993-2013. They do this in order to confirm whether or not the latter evolved according to trade theory predictions.
Classical trade models such as those of Ricardo and Heckscher-Ohlin predict that free trade causes an economy to specialize in the production of goods in which it has a comparative advantage. This implies that trade leads to an increase in the economy’s level of production concentration (greater concentration implies less diversity; with trade, an economy no longer produces every good and instead focuses on those it can produce relatively more cheaply; those that are produced at a relatively higher cost should be left to its trading partners to produce; this is a more efficient distribution of production as it allows economies to increase their aggregate level of production). The only difference between these two models is the source of the comparative advantage; in the former, it is due to productivity differences whereas, in the latter, it is due to a dissimilar relative abundance of factors of production. More recent models, i.e., those that belong to the literature known as “new economic geography”, describe how other factors can cause an economy to increase its level of production concentration as a result of trade, these being the following: trade costs, increasing returns to scale, and input-output linkages, to mention just a few (see Krugman, 1991a, 1991b; Krugman & Venables, 1995, 1996; among others).
GMD (2017) claim that the performance of the Mexican economy was consistent with the predictions of standard models of international trade. They document how, as a consequence of economic integration and North American Free Trade Agreement (NAFTA), Mexico’s manufacturing production became more concentrated during the period 1993-2003. After this, there is a decrease in the level of concentration, which is explained by China’s entry to the World Trade Organization (WTO) in 2001, an event that led to a substantial decrease in Mexico’s share of exports to the U.S. The significant rise in Chinese exports to the U.S. displaced Mexican exports and had an offsetting effect on the shift towards greater specialization that had been triggered in the Mexican economy by NAFTA. Figure 1 shows their estimation of the manufacturing production concentration indicators, G(S) or G(L), for all Mexican states.12
With NAFTA, Mexican states began to specialize (i.e., concentrate their production) in the following subsectors: transportation equipment, chemicals, food products, and primary metal industries. The transportation equipment subsector, which had accounted for 9.5% of all manufacturing production in 1993, experienced outstanding growth. By 2013, the figure had risen to 21.7%; and in the case of food products, it rose from 15.6% to 18.7%, while it went from 11.5% in 1993 to 13.3% in 2013 in the chemicals sector. For primary metal industries, it rose from 3.3% to 7.2%. In 1993, these four subsectors accounted for 40% of all manufacturing production, while 20 years later this had risen to 61%.3

Although this estimation (for all states) shows that there was a substantial increase in concentration after NAFTA and decrease in concentration after 2001, the effect was not homogeneous across all states. Due to the fact that each state has its own economic structure (i.e., each specializes in different economic activities), the two events, NAFTA and China’s accession to the WTO, had a differentiated impact on their economic performance and, therefore, on their production concentration.4 This study shows that the evolution of production concentration was heterogeneous among groups of states.5 Our hypothesis is that the dynamics of the production concentration of any two states are more similar the more alike the states’ economic structures are, because NAFTA and China’s entry to the WTO impacted them in a similar way.6
On the one hand, our findings show that states on the northern border and in the center of the country adjusted rapidly to the new export opportunities provided by NAFTA and specialize in producing goods demanded by our trade partners, which implies that their level of concentration increased. The increase in Chinese exports to the U.S. after its accession to the WTO had little effect on them, given that they were exporting different goods to the U.S.; hence, their level of production concentration did not change a great deal after 2001. On the other hand, southern states were slower to take advantage of NAFTA’s new export opportunities because their economic structures needed time to adjust and to produce goods demanded internationally. Consequently, their level of production concentration increased considerably less than that of northern states after NAFTA. In contrast, the increase in Chinese exports to the U.S. after 2001 had a negative effect on their level of concentration because China was exporting the same types of goods as they were exporting to the North American market.
The groups were chosen using the results of Chávez et al. (2017), who estimated the economic complexity of Mexican states. States with similar levels of complexity belong to the same group because economic complexity reflects, among other things, their economic structure.7
A number of studies document how a reduction in trade barriers produces an economic reorganization in the economies concerned that causes an increase in their level of specialization or concentration. The majority of these studies examine the change in patterns of specialization in developed economies. See, for example, Amiti (1999), Storper et al. (2002), Ezcurra et al. (2006), and Krenz (2010), among others, who study the specialization patterns of E.U. countries that resulted from economic integration. At the regional level, Kim (1995, 1999) and Mulligan and Schmidt (2005) analyze the reorganization of economic activities among U.S. states, while Maurel and Sédillot (1999) study the same for the regions of France, and, Paluzie et al. (2001) examine Spanish regions, to mention just a few.
A developing country such as Mexico represents an interesting case for studying the effects of NAFTA and competition from China on its pattern of production specialization due to the importance of these two events to its entire economy. On the one hand, the increase in market access to the U.S. after NAFTA was instated a major episode in the evolution of the composition of Mexico’s production, given that the U.S. market represents over 85% of Mexican exports. On the other hand, China’s remarkable rates of trade growth have affected Mexico’s production concentration both directly8 and indirectly9.
The effect of these two events on the Mexican economy has been analyzed in previous studies. Iranzo and Ma (2006) analyze the effect that rising Chinese exports had on Mexico’s exports to its most important market, the U.S. According to their findings, a 10% increase in Chinese exports to the U.S. reduced Mexican exports of existing products to the same destination by 5%. This negative impact rose to 7.5% after China joined the WTO. Their results show that trade competition has been changing over time. Traditionally, China was responsible for a large share of exports of products that were intensive in low-skilled work, but over time its share of exports of more sophisticated goods has been increasing. Sargent and Matthews (2009) analyze firm-level data on 101 plants in five major Mexican industrial centers. They find lower mortality rates for larger maquila plants and plants producing auto parts. After controlling for the previous two factors, they find no significant relationship between technology production systems, inventory practices, the quality of human management, resource management practices, and maquila survival. Utar and Torres-Ruiz (2013) use plant-level data on Mexican export maquiladoras during the period 1990-2006 to analyze the effect of Chinese competition on the U.S. market and find a negative impact on employment growth in the most unskilled-labor-intensive sectors. Their results also suggest that Chinese competition compelled the maquiladora industry to shift from low-tech, labor-intensive manufacturing processes towards more sophisticated, higher value-added ones. Mendez (2015) studies the effect of Chinese import competition on Mexican labor markets and documents the negative impact of the substantial increase in Chinese exports to the U.S. on manufacturing employment in Mexico. This negative effect is found to be larger and more significant in municipalities in states not on the U.S.-Mexico border. Furthermore, there is no evidence of any negative effect on non-manufacturing’s share of employment, nor is there any evidence of a negative effect on wages. Chiquiar et al. (2017) analyze Mexican labor market exposure to international markets in order to identify the effects of NAFTA and the accession of China to the WTO.10 Their results show that immediately after NAFTA there was a decrease in unemployment, an increase in the number of unskilled workers employed in manufacturing, and a rise in real wages. In contrast, the rise in U.S. imports from China after the latter joined the WTO led to higher manufacturing unemployment and a decrease in wages. Furthermore, the evidence suggests that the effects were regionally heterogeneous, being greater in those markets more exposed to international markets (e.g., those closer to the U.S. border).
This article contributes to two strands of economic literature. Firstly, it provides an empirical verification of the predictions of standard models of international trade as regards the concentration of production by analyzing the consequences of trade on the economic structure of Mexican states. Secondly, it adds to the literature on regionally heterogeneous responses to international trade: our results offer an explanation for the varied evolution of the dynamics of the production of Mexican states during this period that resulted from these major events, which changed the trading opportunities of the country as a whole and indeed of each individual state.
The remainder of the article is organized as follows. Section 2 presents data on trade between the U.S., Mexico, and China to show the remarkable change in the dynamics of trade between the three economies as a result of the signing of NAFTA in 1994 and the accession of China to the WTO in December 2001. Section 3 describes the methodology proposed by Mulligan and Schmidt (2005) for measuring concentration and explains how to calculate economic complexity, while Section 4 presents our results. Lastly, Section 5 contains the final remarks.
I. Dynamics of trade between the U.S., Mexico, and China
In this section, we show the significant change in the dynamics of trade between the U.S., Mexico, and China as a result of the signing of NAFTA in 1994 and China’s entry to the WTO in December 2001.11
Figure 2 shows the economies that are the main exporters to the U.S. market. At the beginning of the nineties, the U.S. imported primarily from Japan and Canada (95 and 93 billion dollars’ worth per year, respectively).

Mexican exports to the U.S. were barely a third of those of Canada, while the value of exports from Germany and China to the U.S. totaled 27 billion dollars and 20 billion dollars, respectively.
After its accession to the WTO, it took China only a few years to become the main exporter to the U.S., overtaking Canada in 2007. In 2016, Mexico moved up to second place, relegating Canada to third. Japan and Germany have held onto fourth and fifth place, respectively, since 2002.
If we focus solely on China and Mexico, it becomes clear that these two events had a definitive impact on the evolution of those countries’ exports to the U.S. The increase in access to the U.S. market due to NAFTA led to a notable rise in Mexican exports, which grew at an average rate of 19% a year from 1994-2001.12 During this same period, Chinese exports to the U.S. increased by 15% a year. The strengthening of Chinese competition after its accession to the WTO saw a complete reversal in the position of these two countries: during the period 2002-2018, Chinese exports to the U.S. grew by 11.17% a year, while those of Mexico increased by just 6.36% a year.13 After 2001, China’s increased presence in global markets had a negative effect on many countries, Mexico among them, possibly reversing the effects that NAFTA had had on the United States’ preference for Mexican exports.14
Figure 3 shows how the growth of Mexican exports to the U.S. started to slow down after China became a member of the WTO. Meanwhile, China’s exports to the U.S. started growing at a faster rate.

The entry of China to the WTO also had a direct impact on the share of U.S. exports to Mexico, as shown in Figure 4. Imports to Mexico originate mainly from the U.S., which accounted for over 70% of them in the period 1990-2001, whilst China’s share never exceeded 2% in any year. Although the U.S.’s share actually started to fall a couple of years before 2001, it has continued on a similar path for almost twenty years now and it seems unlikely that this situation will be reversed; indeed, by 2018, the U.S. accounted for less than 50% of all imports into Mexico.
Unlike what occurred with U.S. imports from Mexico after NAFTA came into effect, Mexican imports from the U.S. did not increase significantly. In contrast, Mexico’s imports from China increased steadily after the latter’s accession to the WTO. The average annual growth rate of Chinese exports to Mexico in the period 2002-2018 was 20.92%, whilst that of U.S. and Canadian exports was 4.49% and 6.35%, respectively. China’s share of Mexico’s imports went from 2% in 2001 to over 18% in 2018.
Our calculations in the results section (the measure of concentration by groups of states evolve differently) imply that the increase in concentration after NAFTA was not homogenous across every Mexican state; furthermore, the negative effect after 2001 was more marked in some states than in others. It is not possible to determine exactly which states exported more after NAFTA (or exported less after 2001),15 but we can infer this from the information on their economic structures that shows the number of workers per economic activity and the complexity of the goods they are able to produce.

II. Methods
We begin by describing the method for measuring concentration, and then we explain how to compute economic complexity.
A. Data and methodology for measuring manufacturing concentration
The concentration of manufacturing production is calculated following the methodology of Mulligan and Schmidt (2005). To compute it, we use data on the Value-Added (VA) of 21 manufacturing subsectors at different levels of disaggregation (4, 5, and 6 digits).16 We obtain this information from the 1994, 1999, 2004, 2009, and 2014 Economic Censuses published by Mexico’s National Institute of Statistics and Geography (INEGI).17
The VA data of each census is sorted into a 32x21 matrix; i = 1, 2, . . . , 32 denote each Mexican state and j = 1, 2, . . . , 21 each manufacturing subsector. Each entry, xi,j , of the matrix indicates the VA of subsector j in state i. The total VA of state i is calculated by summing all the entries of the rows, it is denoted by Xi,∗ . The total VA of subsector j is calculated by summing all the entries of the columns, it is denoted by X,j . The VA of the country is calculated by summing all the entries of the matrix and it is denoted by X.
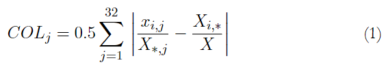
A local indicator for each subsector j is the Coefficient of Localization (COLj ). To compute it, it is necessary to contrasts the share of each industry j in the manufacturing production of each of the states to the share of each of the states on the national manufacturing production:

A COLj close to zero implies that the VA of that subsector is not geographically concentrated in just a few of the country’s states; instead, it is homogeneously distributed among states according to their share of national manufacturing production. The greater the value of this coefficient for an industry j, the more confined this industry is in a specific region.
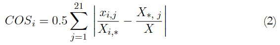
A local indicator for each state i is the Coefficient of Specialization (COSi ). It is computed by comparing the share of the diverse manufacturing industries in each state to the share of the distinct manufacturing industries at the national level:

The closer COSi is to zero, the more diversified the production of the state i, i.e., it is as diversified as the nation. The greater the value of this coefficient for state i, the more specialized the state in some of the industries is.
The localization (COL) and specialization (COS) coefficients previously described are known as local indicators since they evaluate individual subsectors or states. To compute Global coefficients (either the Global Localization coefficient G (L) that measures the localization of all manufacturing industries combined or the Global Specialization coefficient G (S) that measures the degree of specialization of all states), we simply calculate the weighted sum of the local indicators. In particular, G (L) weights the localization coefficients according to the subsectors’ share of national manufacturing VA,
. Thus,

Analogously, G (S) weights the specialization coefficients according to the states’ share of national manufacturing VA,
. Thus,

where G (L) = G (S)
B. Economic complexity
Hausmann and Hidalgo (2009) propose an approach that seeks to measure all the productive capabilities of an economy at once, a measure they refer to as economic complexity. To compute it, the researcher needs to have information on the relative economic structure of various economies. In their original proposal, they use product export data from the Standard International Trade Classification (SITC) at the 4-digit level to calculate the measure for 129 countries.18 To compute the economic complexity of Mexico’s states, we follow Chávez et al. (2017). Due to the absence of sufficiently disaggregated information on export products among states, we use Census Data on people employed by economic activity to provide information on their relative economic structure. Each census considers an average of 880 economic activities.
Studies show that more complex economies (i.e., ones with more productive capabilities)19 tend to be more economically diverse and produce less ubiquitous products. Less complex economies manufacture products that many other economies manufacture, while more complex economies manufacture not only these but also various others. This suggests that less complex economies have accumulated fewer and more commonly found capabilities than more complex ones. Furthermore, more complex economies manufacture more sophisticated products (i.e., products that require more capabilities), while less complex ones tend to manufacture more basic products requiring capabilities that tend to exist in every economy.
Our hypothesis is that the evolution of the states’ production concentration with similar economic structures (i.e., with comparable levels of economic complexity) should be more alike because NAFTA and Chinese competition affect them in a more similar way. Therefore, we expect the measures of production concentration to evolve in a more similar way for states with comparable levels of economic complexity. Analogously, we anticipate that the level of production of manufacturing industries with comparable levels of economic complexity will evolve more similarly during this period. All of this, as a result of international trade, was a very important force in shaping the development of the states and the manufacturing industries in the period being analyzed.
III. Results
We begin by presenting the results of the estimated measure of concentration with the 32 states divided into two groups.20Figures 5 and 6 show the evolution of the measure of manufacturing production concentration for more complex states and less complex states, respectively.
The results in Figure 5 show that, once NAFTA came into effect, there was an immediate increase in the concentration of manufacturing production. This implies that more complex states specialized in the production of particular goods. In the second 5-year period, this increase in concentration continued at a more moderate pace. With China now a member of the WTO and competing for the U.S. market, in the third and fourth 5-year subperiods, the move towards greater specialization came to a halt, perhaps even reversing somewhat.

Figure 6 shows the evolution of the level of concentration of less complex states. It is clear that the dynamics are similar to those of their more complex counterparts; nevertheless, upon closer analysis important differences become apparent. First, the rate at which production in less complex states becomes more concentrated is significantly lower in the first and second 5-year subperiods. Second, the entry of China to the WTO had a stronger impact on their level of specialization. At the end of the period analyzed, these states had almost the same level of concentration as they had had in 1993. It would appear that competition from China for the U.S. market overturned the gains in production specialization achieved following the enactment of NAFTA.

Table 1 below shows the percentage change in concentration. From this table, it is easier to appreciate just how different the changes in concentration were for the two groups of states.21

Tables 2 and 3 show the coefficient of localization (COLj ), percentage share (uj ), and level of localization adjusted according to their share (Coljuj ) of every manufacturing subsector (3-digit). These concepts were described in the methodology section, specifically in Equations (1) and (2). This information shows that, after 1993 and 2001, the two groups of states tended to specialize in different manufacturing goods.22


The information in Tables 2 and 3 combined with the level of economic complexity of the manufacturing subsectors make it clear which class of manufacturing goods each group specialized in after NAFTA.23
Figure 7 shows the relationship between the level of complexity of each manufacturing subsector and the change in its production share from 1993 to 1998,


Since NAFTA came into effect, it became clear that there is a positive relationship between the level of complexity of manufacturing subsectors and their change in production share, i.e., more complex states tend to focus more on the production of more complex or sophisticated goods. The subsector that saw the biggest increase in its share in these five years was transportation at 6.6 %, followed by primary metal industries at 1.7%, electronics at 1.1%, and plant and machinery at 1.0%.
As other studies have found, this may reflect the fact that the economic structures of complex states were ready to produce those goods demanded internationally; therefore, they immediately switched to specializing in these types of goods once NAFTA came into force.
Figure 8 shows the relationship between the level of complexity of each manufacturing subsector and the change in its production share in less complex states in the same period.

This graph shows that less complex states tended to specialize in the production of less complex goods after NAFTA came into effect. The subsector that most increased its share in these five years was non-metal products at 5.8 %, followed by primary metal industries at 4.9%, apparel at 4%, and food products at 3.0%.
These figures make it clear that each group of states specialized in different goods once NAFTA was in place, i.e., those in which they had a comparative advantage.
These findings are in line with those of previous studies mentioned in the introductory section. It would appear that trade competition has been changing over time. Initially (i.e., immediately after 2001), a large proportion of China’s exports were of low-skilled-work-intensive products (i.e., less complex goods); however, over time it has not only continued to export those goods, but also moved towards exporting more sophisticated/complex goods.
The results in Tables 2 and 3 show that the production of almost every manufacturing subsector has been affected by Chinese competition, except that of transportation equipment. Though the latter’s share did fall by 2.8% during the period 2003-2008 (falling from 20.7 in 2003 to 17.9 in 2008), by 2013 it had risen again to reach 25.5% of Mexico’s total manufacturing production.
Finally, we use data on Mexico’s exports of transportation equipment to the U.S. (its main destination market for this type of good) to show the important role of international trade in shaping Mexico’s manufacturing production and that of its states.24
Figure 9 shows how exports of transportation equipment increase throughout the period shown, albeit at different rates.
Table 4 shows that there is a correlation between the percentage change in transportation equipment exports and the change in the production share of transportation equipment
.This would imply that Mexico’s
trading opportunities govern the dynamics of manufacturing production in Mexican states.


Conclusions
This study shows the important role of international trade in bringing about an adjustment of manufacturing industry production in Mexican states and, therefore, in shaping the development of their economic structure in the period 1993-2013.
On the one hand, our results confirm that the production of states behaves in accordance with the predictions of standard models of international trade, i.e., when trading opportunities increase (e.g., after NAFTA), states tend to specialize in goods in which they have a comparative advantage or in which they increase their level of production concentration. In contrast, when trading opportunities decrease (e.g., after China joined the WTO), their level of concentration diminishes or declines. On the other hand, it is clear that the production concentration of states changed heterogeneously. This diverse response to NAFTA and Chinese competition can be explained by the pre-existing economic structures of those states or the types of manufacturing goods they were capable of producing.
More complex states took immediate advantage of the new sources of growth NAFTA offered by specializing in the most sophisticated goods Mexico could manufacture. This was possible because they had the productive capabilities to provide the goods demanded by our trading partners (the U.S. and Canada). Furthermore, the fact that the most complex states tend to be located in the north of the country gave them an additional transport cost advantage. Less complex states also specialized in the production of goods that their economic structure allowed them to manufacture at a relative advantage, i.e., less sophisticated goods.
The accession of China to the WTO and its enhanced presence in U.S. product markets after 2001 had little effect on more complex states because there was no overlap between the goods they were exporting to the U.S. market and those that China was. In contrast, less complex states were more negatively affected. Their manufacturing exports to the U.S. were displaced by those from China, which also had a comparative advantage in the goods it was exporting.
Our study complements the literature describing the transformation of the Mexican economy after the economic liberalization period that started in the mid-80s and culminated with NAFTA. It includes a sectoral and geographical narrative of the main changes brought about by its integration into the greatest free market in the world.
References
Amiti, M. (1999). Specialization Patterns in Europe. Weltwirtschaftliches Archiv(135), 573-593. https://doi.org/10.1007/BF02707385
Autor, D. H., Dorn, D., & Hanson, G. H. (2013). The China Syndrome: Local Labor Markets Effects of Import Competition in the United States. The American Economic Review, 103(6), 2121-2168. https://doi.org/10.1257/aer.103.6.2121
Chávez, J.C., Mosqueda, M.T., & Gómez-Zaldívar, M. (2017). Economic Complexity and Regional Growth Performance: Evidence from the Mexican Economy. The Review of Regional Studies, 47 (2), 201-219. https://doi.org/10.52324/001c.8023
Chiquiar, D., Covarrubias, E., & Salcedo, A. (2017). Labor Market Consequences of Trade Openness and Competition in Foreign Markets [Working Paper No. 2017-01, Banco de México]. https://www.banxico.org.mx/publications-and-press/banco-de-mexico-working-papers/%7BEC38A50D-E60F-3FDE-BB37-CAFD8643B922%7D.pdf
Ezcurra, R., Pascual, P., & Rapún, M. (2006). Regional Specialization in the European Union. Journal of Regional Studies, 40(6), 601-616. https://doi.org/10.1080/00343400600868754
Gómez-Zaldívar, M., Mosqueda, M. T., & Duran, J A. (2017). Localization of Manufacturing Industries and Specialization in Mexican States: 1993-2013. Regional Science Policy & Practice, 9(4), 301-315. https://doi.org/10.1111/rsp3.12111
Hausmann, R., & Hidalgo, C. A. (2009). The Building Blocks of Economic Complexity. Proceedings of the National Academy of Sciences, 106 (26), 10570-10575. https://doi.org/10.1073/pnas.0900943106
Instituto Nacional de Estadística y Geografía (INEGI). (n.d.). Homepage. Accessed on September 15, 2020. https://en.www.inegi.org.mx/
Iranzo, S., & Ma, A. C. (2006). The Effect of China on Mexico-U.S. Trade: Undoing NAFTA? [ Working Paper ]. https://www.etsg.org/ETSG2007/papers/iranzo.pdf
Kim, S. (1995). Expansion of Markets and the geographic distribution of Economic Activities: The Trends in US Regional Manufacturing Structure, 1860-1987. The Quarterly Journal of Economics, 110(4), 881- 908. https://doi.org/10.2307/2946643
Kim, S. (1999). Regions, Resources, and Economic Geography: Sources of US Regional Comparative Advantage, 1880-1987. Regional Science and Urban Economics, 29(1), 1-32. https://doi.org/10.1016/S0166-0462(98)00010-6
Krenz, A. (2010). Industrial Localization and Countries Specialization in the European Union [ Working Paper ]. http://dx.doi.org/10.2139/ssrn.1645897
Krugman, P. (1991a). Geography and Trade. MIT Press. https://mitpress.mit.edu/books/geography-and-trade
Krugman, P. (1991b). Increasing Returns and Economic Geography. Journal of Political Economy, 99(3), 483-499. https://doi.org/10.1086/261763
Krugman, P., & Venables, A. J. (1995). Specialization and the Inequality of Nations. The Quarterly Journal of Economics , 110, 857-880. https://doi.org/10.2307/2946642
Krugman. P and Venables, A. J. (1996). Integration, Specialization and Adjustment. European Economic Review, 40(3-5), 959-967. https://doi.org/10.1016/0014-2921(95)00104-2
Maurel, F., & Sédillot, B. (1999). A Measure of The Geographic Concentration in French Manufacturing Industries. Regional Science and Urban Economics , 29(5), 575-604. https://doi.org/10.1016/S0166-0462(99)00020-4
Mendez, O. (2015). The Effect of Chinese Import Competition on Mexican Local Labor Markets. North American Journal of Economics and Finance, 34, 364-380. https://doi.org/10.1016/J.NAJEF.2015.09.009
Mulligan, G. F., & Schmidt, C. (2005). A Note on Localization and Specialization. Growth and Change, 36 (4), 565-576. https://doi.org/10.1111/j.1468-2257.2005.00295.x
Paluzie, E., Pons, J., & Tirado , D.A. (2001). Regional integration and specialization patterns in Spain. Journal of Regional Studies , 35, 285-296. https://doi.org/10.1080/00343400125457
Sargent, J., & Matthews , L. (2009). China versus Mexico in the Global EPZ Industry: Maquiladoras, FDI Quality, and Plant Mortality. World Development, 37 (6), 1069-1082. https://doi.org/10.1016/j.worlddev.2008.10.002
Storper M., Yun-chung C., & De Paolis, F. (2002). Trade and The Location of Industries in The OECD and European Union. Journal of Economic Geography, 2(1), 73-107. https://doi.org/10.1093/jeg/2.1.73
Utar, H., & Torres-Ruiz, L. B. (2013). International competition and Indus- trial Revolution: Evidence from the Impact of Chinese Competition on Mexican Maquiladoras. Journal of Development Economies, 105, 267- 287. https://doi.org/10.1016/j.jdeveco.2013.08.004
Appendix
Table A1 shows how, in general, when the 32 states are divided into four groups the change in production concentration behaves similarly to when they are divided into two. The more complex the states in a group were, the greater the increase in the group’s specialization after NAFTA (periods 1993-1998 and 1998-2003). After China’s accession to the WTO (periods 1993-1998 and 1998-2003), the more complex the states in a group were, the smaller the reduction in the group’s specialization.

Group 1 (comprising the 8 most complex states) is composed of Nuevo León, Coahuila, Querétaro, Baja California, Chihuahua, Ciudad de México, Tamaulipas, and Jalisco. Group 2 (the second 8 most complex states) is composed of Estado de México, Guanajuato, Sonora, San Luis Potosí, Aguascalientes, Durango, Puebla, and Sinaloa. Group 3 (the third 8 most complex states) is composed of Tlaxcala, Hidalgo, Yucatán, Baja California Sur, Colima, Morelos, Quintana Roo, and Zacatecas. Group 4 (the 8 least complex states) is composed of Nayarit, Michoacán, Veracruz, Campeche, Tabasco, Chiapas, Oaxaca, and Guerrero.

The level of complexity was calculated using classes of economic activities (6-digit level) because the more disaggregated the information, the better the computation (see Hausmann and Hidalgo, 2009).
To obtain the ranking by subsectors, we average the estimated level of complexity for the classes of economic activities that belong to each subsector.
Notes