Artículos
Reçu: 16 May 2022
Accepté: 04 May 2023
DOI: https://doi.org/10.17533/udea.le.n99a349646
Resumen:
Este artículo plantea un contraste entre la productividad total de los factores (PTF) para China y Estados Unidos. Se comparan los cálculos de la PTF entre el residuo de Solow tradicional y la propuesta poskeynesiana desarrollada a partir de la diferencia entre la tasa de crecimiento observada y la ecuación de Harrod. El cálculo de la productividad y su contribución al crecimiento económico para China entre 1952 y 2014 es de -8,7 % según la base de datos de la Penn Word table 9.0, dato poco realista; mientras que desde el punto de vista poskeynesiano, su contribución al crecimiento es del orden del 5,4 % dándole gran importancia al a participación del capital y el trabajo. El mismo ejercicio se realiza para Estados Unidos y se encuentran datos más razonables de su contribución al crecimiento a partir de la propuesta poskeynesiana.
Clasificación JEL:O40, O47, O57.
Palabras clave: Productividad total de los factores, crecimiento económico, ecuación de Harrod.
Abstract: This article presents a comparison of total factor productivity (TFP) for China and the United States. The TFP calculations are compared between the traditional Solow residual and the post-Keynesian proposal developed from the difference between the observed growth rate and the Harrod equation. The calculation of productivity and its contribution to economic growth for China between 1952 and 2014 is -8.7 % unrealistic data, while from the post-Keynesian point of view its contribution to growth is of the order of 5.4 % giving it significant importance to the participation of capital and labor. The same exercise is done for the United States and more reasonable data are found on its contribution to growth based on the post-Keynesian proposal.
Keywords: Total factor productivity, economic growth, Harrod equation.
Résumé: Cet article présente un contraste entre la productivité totale des facteurs (PTF) de la Chine et celle des États-Unis. Les calculs de la PTF sont comparés entre le résidu de Solow traditionnel et la proposition post-keynésienne développée à partir de la différence entre le taux de croissance observé et l’équation de Harrod. Le calcul de la productivité et de sa contribution à la croissance économique pour la Chine entre 1952 et 2014 est de -8,7 % selon la base de données Penn Word table 9.0, un chiffre irréaliste ; tandis que du point de vue post-keynésien, sa contribution à la croissance est de l’ordre de 5,4 %, donnant une grande importance à la participation du capital et du travail. Le même exercice est effectué pour les États-Unis et des données plus raisonnables sur leur contribution à la croissance sont trouvées dans la proposition post-keynésienne.
Mots clés: Productivité totale des facteurs, croissance économique, équation de Harrod.
Introducción
Una de las contribuciones más importantes a la teoría del crecimiento fue propuesta por Solow (1957) en su artículo sobre la función de producción y el progreso tecnológico. A partir de esta propuesta, se puede hallar el cambio técnico por residuo, así como establecer las fuentes del crecimiento económico y la contribución al mismo a partir del crecimiento del capital, el crecimiento del empleo y el crecimiento del cambio técnico o productividad total de los factores (PTF).
Es justamente la PTF la variable que ha generado mayor discusión teórica en las últimas décadas debido a la importancia sobre su contribución al crecimiento económico de un país. Solow (1957) demuestra que la contribución al crecimiento de la economía de Estados Unidos para el periodo de 1909 a 1949 es del 87,5 %. Esto sugiere que el crecimiento del trabajo y el capital solo contribuyeron conjuntamente al crecimiento de la economía americana en un 12,5 %.
Con base en este dato del 87,5 %, no se entiende cómo se puede argumentar que la función de producción explícita Cobb-Douglas sea la que explica la producción a través de algo que no se conoce y ni siquiera se sabe qué es lo que representa, como es el caso de la PTF. Tal como lo dijo el mismo Solow (1957), este hecho solo es el reflejo de nuestra ignorancia sobre los determinantes del crecimiento. Pero, más allá de ser conscientes de nuestra ignorancia sobre la PTF, lo que debemos tener es prudencia al analizar este dato y preguntarnos acerca de su realeza, cosa que no hizo Solow.
La realidad de la contribución al crecimiento a partir de la PTF ha debido observarse con mucho detenimiento. En la tercera conclusión de su artículo, Solow (1957) afirma que “el 87.5 % del incremento es atribuible al cambio técnico y el 12.5 % restante al aumento del capital en uso” (Solow, 1989 p. 401). ¿Son creíbles estos resultados? Pareciera que no. De hecho, ha surgido una diversidad de críticas a lo largo del tiempo sobre la PTF, empezando por Jorgenson y Griliches (1967) hasta llegar a postulados más recientes como es el caso de McCombie (2000a, 2001b) entre muchos otros, quienes han planteado la dificultad y sesgos que se generan en la estimación, así como la tautología existente en la función de producción frente a la sumatoria de salarios y beneficios. No obstante la cantidad de críticas, la mayoría de los países sigue utilizando esta metodología de cálculo a nivel internacional para establecer las fuentes de crecimiento de las economías y para hallar la PTF por residuo; basta con consultar en la red y se mostrarán una cantidad de trabajos sobre este tema.
Este artículo propone una comparación de la PTF entre Estados Unidos y China por su importancia en la producción mundial y se plantea un método alternativo desde una óptica poskeynesiana, desarrollado por Bernal-Bellón (2010) para calcular la PTF. El artículo consta de una introducción, seguido de una revisión de los hechos estilizados de la PTF para Estados Unidos y China. En la segunda y en la tercera sección se plantea el enfoque poskeynesiano de la PTF, mientras que en la cuarta sección se realizan las estimaciones y en la última sección se presentan las conclusiones.
I. Un enfoque poskeynesiano de la PTF
Bernal-Bellón (2010) parte de la misma función de producción utilizada por Solow, desde la función de producción Cobb-Douglas, así:
[1]Esta función después de ser derivada con respecto al tiempo y dividiendo por
Y se llega al siguiente resultado:
[2]donde, de acuerdo con Bernal-Bellón (2010, p. 349): es la tasa de crecimiento del producto, 𝑔𝑎 es la tasa de crecimiento del progreso técnico, 𝑔𝑘 y 𝑔𝑙 son las tasas de crecimiento del stock de capital y trabajo respectivamente y 𝛼 y 𝛽 son las correspondientes participaciones a las remuneraciones del capital y trabajo dentro del producto.
También se puede hallar el producto por trabajador en función del capital por trabajador a partir de una función de producción Cobb-Douglas y se llegará a la siguiente ecuación:
[3]donde y es el producto por trabajador, A es el progreso técnico, k la relación capital trabajo y α sigue siendo la participación de la remuneración al capi- tal dentro del producto. Asimismo, podemos llegar a la siguiente expresión después de linealizar la ecuación 3 de la siguiente manera:
[4]Retomando la ecuación 2, y planteando el producto por trabajador en función del capital por trabajador, se puede hacer un examen mucho más profundo de esa ecuación. Por lo tanto, con base en esta ecuación y calculando la PTF por residuo se tiene:
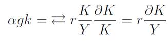
[5]La ecuación 5 se puede descomponer en términos mucho más precisos y concretos: α es la participación de las ganancias dentro del producto, o la participación de la remuneración al capital en el producto, esto es rK/Y , de donde r es la remuneración a una unidad de capital que debe ser igual al producto marginal del capital ∂Y /∂K. En consecuencia, αgk debe ser igual a:
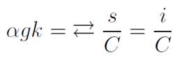
[6]Además, si se asume que las variaciones en el capital ∂K son iguales a la inversión, entonces se puede plantear que:
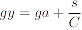
[7]De donde 𝐼 𝑌 es la tasa de inversión “i ” que debe ser igual a la tasa de ahorro
de la economía 𝑆 𝑌 igual a “s”, definida como la propensión marginal o media a ahorrar. Si además se supone que r = 1/C, donde C es la relación incremental capital producto (ICOR), entonces, se llega a la ecuación de Harrod de la siguiente manera:
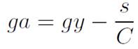
[8]En consecuencia, combinando 5 y 8 podemos llegar a:
[9]de donde se deduce que el progreso técnico, residuo de Solow o la PTF no es más que la diferencia entre la tasa de crecimiento de la economía y la ecuación de Harrod.
Se observará que se ha partido de la misma función de producción propuesta por Solow, en cuyo caso la tasa de crecimiento de la economía viene dada por:
[10]Bajo este contexto, sigue existiendo un residuo que refleja el progreso técnico, pero la pregunta que surge inmediatamente es: ¿el residuo de la ecuación 2 es del mismo tamaño que el residuo de la ecuación 9? Las estimaciones que se realizan más adelante darán la respuesta a este interrogante.
Las ecuaciones 9 o 10 no son más que el reflejo del modelo de crecimiento de Harrod (1939/1989), pero incluyéndole el residuo de Solow o la PTF. Normalmente, la ecuación de Harrod se considera un modelo de crecimiento poskeynesiano muy robusto como lo muestra Bernal-Bellón (2008, 2010), donde se destaca que la relación marginal capital producto es la variable determinante de la tasa de crecimiento de la economía y que el ahorro es apenas una variable acomodaticia, es decir, no importa el tamaño de la tasa de ahorro porque será el ICOR o la productividad de la inversión la que defina la tasa de crecimiento económico. Easterly (1997, 1999) considera que este modelo hay que sacarlo de la literatura de crecimiento porque no sirve para fijar metas de crecimiento o establecer brechas de financiación. Pero la importancia adicional de este modelo es que sirve para calcular la productividad total de los factores y para definir la tasa de crecimiento de las economías.
De la ecuación 9 se puede deducir que entre menos productivas sean las inversiones -es decir, una relación marginal capital producto alta-, entonces mayor será la PTF y su contribución al crecimiento de la economía. Por el contrario, una relación marginal capital producto menor corresponde a una alta productividad de la inversión en cuyo caso la tasa de crecimiento de la economía será alta y la contribución al crecimiento por parte de la PTF se verá reducido.
II. Hechos estilizados y nuevas estimaciones de la PTF
A. Hechos estilizados
La Figura 1 muestra la evolución de la tasa de crecimiento de la economía y de la tasa de crecimiento de la productividad total de los factores o PTF para la economía de China.
Tal como se observa en la Figura 1, entre 1952 y 1976 la economía experimentó tasas de crecimiento negativas desde un -29,9 % en 1961 y un -5,5% y -4 % para 1967 y 1968 respectivamente. Justo para estos años la productividad total de los factores también fue negativa pasando de -30.6 % en 1961 a -9 % y -8% para los años 1967 y 1968. No obstante, entre 1952 y 1970 hubo tasas de crecimiento económico positivas e importantes como en 1964 y 1970 de 14,4 % y 12,6 % respectivamente y así mismo tasas de crecimiento de la PTF del 8,8 % y 7,7 % respectivamente para esos mismos años. A partir de 1978 y hasta 2014 la economía de China experimentó tasas de crecimiento positivas alcanzando valores superiores al 11 % como en 1985, 1995 y 2007 y una tasa promedio importante del 7,6 % entre 1978 y 2014.

La cifra interesante del 7,6 % en promedio en el periodo mencionado no es compatible con el crecimiento promedio de la PTF, la cual fue de 0,95 % y donde tuvo muchos años de crecimiento negativo. Con estos indicadores, se observará en la Figura 2 la contribución de la PTF al crecimiento económico de China.
La Figura 2 muestra que, entre 1952 y 2014, la contribución al crecimiento económico de la PTF en promedio es de -8,7 %. Este hecho contradice la afirmación de Prescott (1998) sobre la cual la contribución de la PTF al crecimiento de las economías industrializadas está entre el 60 % y el 80 % y en las economías en vías de desarrollo entre el 0 y el 40 %.
En primer lugar, esta contribución al crecimiento económico es negativa para China. ¿Como explicar este hecho sobre todo cuando el crecimiento promedio de las patentes entre 1980 y 2014 es del 75 %? En segundo lugar, ¿Cómo entender que existan valores mayores o menores al 100 % descartando así la contribución al crecimiento del capital y el trabajo?, ¿Es esto real? Se hace necesario entonces revisar este cálculo de la PTF para establecer claramente los determinantes del crecimiento para la economía de China.

En la Figura 3 se observa la evolución de la tasa de crecimiento de la economía de Estados Unidos y de la productividad total de los factores (PTF) en el periodo 1951-2014.
La tasa de crecimiento económico promedio fue de 3,1 % y osciló entre
-1,9 % en 1982 la tasa más baja en todo el periodo, y 8,1 % en 1951 la más alta de todo el periodo. Se destacan también crecimientos importantes en 1962 del 6,1 % así como en 1964 y 1965 cercanas al 6,5 %. Sin lugar a duda, esta fue la década de mayor crecimiento en los Estados Unidos alcanzando un promedio de 4,4 % y seguida de la década de 1990 con un 3,1 %. El contraste se da con la década de 2000 donde solo obtuvo apenas un 1,7 % de crecimiento explicado por la crisis que atravesó y llevó a la economía a decrecer en 2008 y 2009 a tasas del -0.3 % y -2,8 %, respectivamente.

Al observar la PTF en este periodo se concluye que sigue el mismo comportamiento de la tasa de crecimiento económico, es decir, cuando esta sube también lo hace la PTF y viceversa. Esta variable creció en promedio 0,88 % en todo el periodo ligeramente inferior al crecimiento de la PTF en China de 0,95 %. También tuvo tasas de crecimiento negativas muy fuertes como del -2,5 en 1974 y del -1,5 % y 1,9 % en 1984 y 1986, respectivamente, los cuales coinciden también con tasas de crecimiento económico negativas.
La Figura 4 expone la dinámica de la contribución al crecimiento de la PTF. En primer lugar, se observa que es muy volátil, al igual que la tasa de crecimiento de la economía. La contribución de la PTF al crecimiento en este periodo en promedio fue del 45 %, muy positivo en comparación con China que obtuvo una contribución negativa del -8,7 %. No obstante, su contribución positiva, ésta presenta variaciones extremas tanto positivas como negativas estando en el rango del -216 % en 1971 y el 594 % en 1981 al igual que una contribución del 225 % en 2009 y una del -100,1 % en 1976. Estos datos indican que la PTF creció o decreció mucho más que la misma tasa de crecimiento de la economía. Entonces, ¿dónde queda la contribución del capital y el trabajo al crecimiento? Se considera que esta metodología utilizada en el cálculo de la PTF no es la apropiada, por lo tanto, se hace necesario realizar nuevas estimaciones y para ello se utilizará la propuesta de Bernal-Bellón (2010).

B. Estimaciones de la PTF desde el enfoque Poskeynesiano
En esta sección se procederá a calcular la PTF y su contribución al crecimiento económico a partir de la ecuación 9, donde se muestra que el progreso técnico o la PTF es igual a la tasa de crecimiento observada o efectiva de la economía menos la ecuación de Harrod; es decir, menos la tasa de ahorro dividida entre la relación marginal capital producto. En este artículo se utiliza la tasa de inversión para establecer la ecuación de Harrod en lugar de la tasa de ahorro, debido a que parte del ahorro es puramente especulativo, mientras que la tasa de inversión representa actividad económica real. Autores como Grabowki y Shields (2000), plantean la diferencia entre la tasa de ahorro y la tasa de inversión para introducir la posibilidad de un persistente exceso de capacidad como fuente potencial de crecimiento lento, así como para explicar las teorías de desarrollo que enfatizan en una falta de ahorro, de inversión o de absorción de trabajo como impedimentos básicos al crecimiento.
Estas estimaciones de la PTF para China y Estados Unidos se realizan con base en la información contenida en la base de datos de la Penn World Table (Pwt90) desde 1950 hasta 2014.
En la Tabla 1 se muestra el cálculo del progreso tecnológico a partir de la diferencia entre la tasa de crecimiento observada y la ecuación de Harrod para China. Los resultados parecen razonables. La contribución al crecimiento a partir de esta estimación no supera el -43 %, que es el dato de mayor relevancia para 1961; su comportamiento es negativo, pero también la tasa de crecimiento cayó al 29,9 %. Con el dato de la Penn World Table (s.f.) esta contribución es del 102 % y en muchos años esta contribución supera más del 100 % hacia arriba o bien en términos negativos. Se observa finalmente que, al comparar esta contribución para todo el periodo de estudio, gaH/gy es positiva en todos los años excepto en dos y su valor es del 5,42 % comparado con una contribución negativa del
-8,70.

La nueva estimación sugiere que la contribución al crecimiento de la economía en China está explicada en un 95 % por el capital por trabajador, contrario a la contribución del residuo de Solow que muestra una contribución negativa. Es decir, el capital por trabajador explica en más del 100 % su contribución entre 1950 y 2014.
La tasa de crecimiento de China en promedio para este periodo fue del 6,22 %, y es razonable pensar que la contribución del progreso técnico fue de 5,42 % y no del 8,0 % sobre todo por la rápida expansión del ingreso per cápita de China y su participación en el mercado mundial así como el crecimiento exponencial de sus patentes.
En la Tabla 2 se presentan las estimaciones del progreso técnico para Estados Unidos y su contribución al crecimiento económico y se compara año tras año con la contribución del residuo de Solow. En el periodo 1950 a 2014 el residuo de Solow contribuyó al crecimiento en 45 % en promedio, pero su alta contribución apenas alcanzó para lograr una tasa de crecimiento económico del 3,1 % en promedio. Desde el punto de vista poskeynesiano, esta contribución es mucho más baja pero razonablemente realista con 3 %. En este caso se pensaría que el crecimiento de esta productividad total en el largo plazo es igual a la tasa de crecimiento de la economía de Estados Unidos validando el hecho de que en el largo plazo la economía no está en un estado estacionario como lo predice el modelo de Solow, sino que su crecimiento es igual al del progreso técnico.

En todos los años el cálculo del progreso técnico a partir de la diferencia entre la tasa de crecimiento de la economía y la ecuación de Harrod es positiva, y esto no ocurre con el residuo de Solow. Este dato parece más realista que la contribución del 45 %.
Para validar este cálculo, sería interesante endogenizar esta productividad total a la luz de las propuestas de Dutt (2001) o Palley (1996, 1997), donde se plantea que esta productividad depende de los procesos de inversión, pero como la inversión forma parte de la demanda agregada, entonces, esta productividad estaría en función positiva de los cambios en la demanda. Este tipo de evidencia supera los alcances de este artículo y será un buen tema de investigación para su comparación entre los países del mundo.
Conclusiones
La contribución al crecimiento económico de la productividad total de los factores calculada a partir de la base de datos PENN World Table 9.0 muestra datos relativamente desproporcionados, tanto para China como para Estados Unidos. Hay contribuciones al crecimiento por encima o por debajo del 200 % que, desde el punto de vista del sentido común, o la realidad no es posible creer en ellas. El -8,7 % promedio de contribución al crecimiento para China entre 1952 y 2014 es un dato nada creíble, pero sí lo es el 5,2 % calculado a partir del enfoque poskeynesiano. De igual manera, para Estados Unidos el cálculo de la contribución media entre 1952 y 2014 al crecimiento es del 45 %, pero con el enfoque poskeynesiano es del 3 %. Ello significa que desde este punto de vista se le da mayor importancia a la contribución del capital y del trabajo y no a algo en lo que ni siquiera la academia se ha puesto de acuerdo en lo que significa.
Es hora de repensar el cálculo de este progreso tecnológico a partir del residuo de Solow tradicional por los datos tan irreales que arroja su contribución al crecimiento económico para China y Estados Unidos. Por esta razón se invita a validar para otros países este cálculo desde el punto de vista poskeynesiano y testear los resultados a fin de garantizar una buena medida de las fuentes del crecimiento económico.
Referencias
Bernal-Bellón, J. R. (2008). La tasa de crecimiento garantizada de Harrod como ley del crecimiento: Una comprobación empírica. Cuadernos de Economía, 27 (49), 57-88. https://revistas.unal.edu.co/index.php/ceconomia/article/view/9292
Bernal-Bellón, J. R. (2010). El residuo de Solow revisado. Revista de Economía Institucional, 23(12), 347-361. https://revistas.uexternado.edu.co/index.php/ecoins/article/view/2533/2162
Easterly, W. (1997). The Ghost of Financing Gap: How the Harrod_Domar Growth Model Still Haunts Development Economics [Policy Research Working Paper]. World Bank. https://doi.org/10.1596/1813-9450-1807
Easterly, W. (1999). The ghost of financing Gap: Testing the growth models used in the Internal Financial Institutions. Journal of Development Economics, 60(2), 423-438. https://doi.org/10.1016/S0304-3878(99)00047-4
Dutt. A. (2001). New Growth Theory: Effective Demand, and Post Keynesian Dynamics [working paper]. Department of Economic. University of Notre Dame. https://www.researchgate.net/publication/242075135_NEW_GROWTH_THEORY_EFFECTIVE_DEMAND_AND_POST-K EYNESIAN_DYNAMICS
Grabowski R. y Shields M. (2000). A Dynamic, Keynesian Model of Development. Journal of Economic Development, 25(1), 1-15. https://econpapers.repec.org/article/jedjournl/v_3a25_3ay_3a2000_3ai_3a1_3ap_3 a1-15.htm
Feenstra, R. C., Inklaar, R., & Timmer, M. P. (2015). The Next Generation of the Penn World Table. American Economic Review, 105(10), 3150-3182. https://doi.org/10.1257/aer.20130954
Harrod, R. F. (1989). La Teoría Dinámica [original publicado en 1939]. En A. Sen (comp.), Economía del Crecimiento (pp. 43-62). Fondo de Cultura Económica.
Jorgenson; D. W., & Griliches Z. (1967). The Explanation of Productivity Change. Review of Economic Studies, 34(3), 249-283. https://doi.org/ 10.2307/2296675
McCombie, J. S. L. (2000a). The Regional Production and the Accounting Identity: A Problem of Interpretation. Australasian Journal of Regional Studies.
McCombie, J. S. L. (2000b). The Solow Residual, Technical Change and Aggregate Production Functions. Journal of Post Keynesian Economics, 23(2), 267-297. https://www.jstor.org/stable/4538725
Palley, T. (1996). Post Keynesian Macroeconomics: Debt, Distribution and the Macroeconomic. Macmillan.
Palley, T. (1997). Growth Theory in a Keynesian Mode: Some Keynesian foundations for the theory of economic growth. Journal of Post Keynesian Economics , 19(1), 113-135. https://www.jstor.org/stable/4538522
Prescott, C. E. (1998). Needed: A theory of total factor productivity. International Economic Review, 39(3), 529-549. https://doi.org/10.2307/2527389
Solow, R. (1989). Progreso técnico y cambio de la productividad (original publicado en 1957). En A. Sen (1989). Economía del Crecimiento (p. 385-401). Fondo de Cultura Económica.
Solow, R. (1957). Technical Change and the Aggregate Production Function. Review of Economics and Statistics, 39(3), 312-320. https://doi.org/10.2307/1926047
Cómo citar / How to cite this item: