Dossier

Recepción: 19 Noviembre 2014
Revisado: 19 Marzo 2015
Aprobación: 16 Julio 2015
Publicación: 01 Enero 2016
DOI: https://doi.org/https://dx.doi.org/10.3916/C46-2016-04
Resumen: El consumo de medios de comunicación se ha incrementado notablemente en los últimos años. Una consecuencia no deseada de ello es la proliferación de consumos de riesgo, como es el caso de la pornografía on-line y off-line. Aunque la literatura ha señalado una serie de variables predictoras (edad, género, etnia, nivel socioeconómico o estructura familiar), estudios recientes han sugerido incluir los valores y los estilos de vida como factores asociados a las decisiones de consumo. El objetivo del presente trabajo fue examinar si los estilos de vida relacionales de los adolescentes son predictores relevantes del consumo de pornografía tanto en Internet como en revistas o vídeos. Se empleó un diseño observacional transversal que incluyó una muestra representativa de 9.942 adolescentes colombianos (Medad=14,93, DT=2,47). Los estilos de vida, controlando el efecto de variables sociodemográficas, estructurales e individuales, fueron sometidos a un análisis de regresión múltiple y a un análisis de mediación. Los resultados indicaron que el estilo intrafamiliar positivo estuvo asociado con una reducción en el consumo de pornografía, sin embargo, tanto el estilo intrafamiliar negativo como el de independencia relacional incrementan el mismo. Además se propone que los estilos relacionales familiares pueden mediar la relación entre los valores positivos y el comportamiento de riesgo on-line y off-line. Finalmente, se realiza una discusión de los resultados desde la perspectiva relacional y su aplicación en programas de educación mediática.
Palabras clave: Internet, pornografía, adolescentes, estilos de vida, valores, familia, tiempo libre.
Abstract: Mass media consumption has increased markedly in recent years. One unintended consequence of this increase is the proliferation of risky consumption, including online and offline pornography. Although the literature has noted a series of predictive variables (age, gender, ethnicity, socioeconomic status, and family structure), recent studies have suggested including values and lifestyles as relevant factors in consumption decisions. The objective of the present study was to examine whether adolescents’ lifestyles were relevant predictors of the consumption of pornography both on the Internet and in magazines or videos. A cross-sectional observational study design that included a representative sample of 9,942 Colombian adolescents (Mage=14.93, SD=2.47) was used. To control the effects of sociodemographic, structural, and individual variables, their lifestyles were examined using a multiple regression analysis and mediation analysis. The results indicated that a positive intrafamilial style was associated with a reduction in the consumption of pornography; however, both a negative intrafamilial style and a relational independence style increased consumption. In addition, the study suggests that family relational styles can mediate the relationship between positive values and risky behavior both online and offline. Finally, we discuss the results from the relational perspective, including its application in media literacy programs.
Keywords: Internet, pornography, adolescents, lifestyles, values, family, leisure.
1. Introducción
Las tecnologías de la información y la comunicación (TIC) han modificado la forma de comunicarse y el consumo de las personas, que pueden acceder fácilmente a nuevas experiencias independientemente de su género y estatus socioeconómico (Mascheroni & Ólafsson, 2014). Este auge ha conllevado un crecimiento de la experiencia virtual que, en algunos casos, puede implicar consumos de riesgo o situaciones involuntarias de interacción con contenidos y sitios pornográficos (Livingstone & al., 2014).
Aunque se trata de un argumento controvertido sobre el que aún no se ha logrado consenso, algunas investigaciones y políticas sociales sostienen que es importante reducir el consumo de pornografía tanto online como off-line entre niños y adolescentes (Byron, 2010). Por este motivo, y teniendo en cuenta estudios que han tratado del tema utilizando variables predictoras de personalidad (Williams & al., 2009) o sociodemográficas (McKee, 2007), y los que han recomendado incorporar sentimientos e intereses ligados a comportamientos concretos para analizar el consumo; en este estudio nos proponemos analizar el fenómeno desde la teoría de los estilos de vida. Además del aporte al conocimiento científico, los resultados pueden ser útiles para el análisis de necesidades y audiencias de programas de prevención y educación mediática, aumentando su eficacia y efectividad.
1.1. El consumo de pornografía: factores predictores
Diversas investigaciones han mostrado que el consumo de pornografía puede estar relacionado con un mayor comportamiento violento, un mayor abuso de sustancias tóxicas, así como con depresión y con bajos niveles de lazos emocionales con el cuidador principal (Ybarra & Mitchell, 2005; Kingston & al., 2008; Vega & Malamuth, 2007). En cuanto a las variables sociodemográficas que moderan el consumo de pornografía, la literatura ha analizado principalmente los efectos del género, la edad, la etnia, la estructura familiar y el estatus socioeconómico; aunque, para algunas de ellas, los resultados de los estudios han sido contrastantes (Wright, 2013).
Los hombres consumen más pornografía que las mujeres (Ybarra & Mitchell, 2005), también entre adolescentes (Sabina, Wolak, & Finkelhor, 2008), especialmente a partir de los 13 y 14 años. Algunos estudios han controlado la asociación entre procedencia étnica y consumo (Lambert & al., 2012) poniendo de manifiesto que tiene un impacto mínimo en el uso de pornografía (Williams & al., 2009).
En relación a la estructura familiar, Rodrigo y otros (2004) han señalado que los adolescentes con estilos de vida más saludables pertenecen a familias biparentales (véase también, por ejemplo, Cabrera & al., 2014, que encontraron que la estructura familiar biparental se relaciona con la reducción de conductas de riesgo en los jóvenes). Con respecto a la relación existente entre el estatus socioeconómico y el consumo de pornografía se ha manifestado que los adolescentes de familias provenientes de un estrato socioeconómico más alto son quienes consumen pornografía con mayor frecuencia (Luder & al., 2011).
Uno de los factores que influye en las decisiones de consumo son los valores (Kahle & Chiagouris, 2014), definidos como convicciones generales, sistemáticas, profundas, durables (aunque modificables) sobre la aceptabilidad social de determinadas acciones, que son transmitidas en el proceso de socialización. Si bien los valores implican una orientación para la acción (Cook & al., 2012), algunos estudios sugieren que la relación entre valores y acción social está mediada por los estilos de vida (Brunsø, Scholderer, & Grunert, 2004). Los estilos de vida, que pueden definirse como un sistema complejo, integrado y dinámico de comportamientos, orientaciones, recursos y estructuras de conocimientos desarrolladas a través de la experiencia que expresan la identidad personal y social (Archer, 2012; Bravo & Rasco, 2013; Faggiano, 2007; Thirlaway & Upton, 2009), son construidos por los adolescentes en un contexto de socialización determinado. Este influye en sus reflexiones y decisiones, ya que las interacciones sociales configuran estilos de vida e influyen en la selección e impacto de los contenidos mediáticos (Bagdasarov & al., 2010).
Entre las dimensiones que destacan en la configuración de los estilos de vida sobresalen las relaciones con amigos, con la familia y actividades de tiempo libre, especialmente las relacionadas con el consumo de medios (Faggiano, 2007). Las relaciones intrafamiliares y con los amigos son claves en el desarrollo de los estilos de vida (Hendry & al., 2003; Archer, 2012) y el desarrollo social y emocional de los niños (Ispa & al., 2013; Stacy, Newcomb, & Bentler, 1991).
El estilo de crianza (Cabrera & al., 2014; Osorio & al., 2009; Kirsh, 2010; Wisenblit & al., 2013) y el tipo de comunicación en la familia (Johnsson-Smaragdi, 1994) moderan el tipo de consumo e impacto que los medios tienen en los adolescentes. Las relaciones intrafamiliares positivas reducen la posibilidad de comportamientos problemáticos en Internet (Noll & al., 2013). El diálogo y la participación en los procesos familiares de los adolescentes en el seno de sus familias, medidas de la calidad de la relación intergeneracional (Currie & al., 2004), son importantes para la prevención de comportamientos de riesgo (Corrado & Freedman, 2011).
El grupo de pares sirve para los adolescentes de modelo normativo (Cheung & al., 2001) y por tanto es un agente fundamental de socialización (Johnsson-Smaragdi, 1994), influyendo en el consumo on-line (Hargrave & Livingstone, 2006; Steele & Brown, 1995), en los comportamientos, valores e identidad social y cultural (Currie & al., 2004). En relación al tiempo libre dedicado al consumo mediático, un estudio reciente ha demostrado que un uso consistente del ordenador (más de 10 horas a la semana) está asociado al consumo de pornografía (Mattebo & al., 2013). Sin embargo, no es claro si ese consumo es intencional o accidental. Por lo tanto, es relevante controlar otros predictores.
3. Método
3.1. Participantes y diseño
Se contó con una muestra probabilística, multietápica, estratificada, con selección aleatoria de 9.942 adolescentes escolarizados de Colombia, con edades entre los 13 y 18 años (Medad=14,93, DT=2,47) de los que 5.111 (53,52%) eran mujeres. Para la definición del universo de estudio se partió de la base de proyecciones 2012 de población cabecera, seleccionando los municipios con población mayor a 75.000 habitantes, dando como resultado 60 municipios agrupados en seis regiones que permitieron representar diferentes zonas geográficas del país. Los estudiantes fueron contactados a través de colegios seleccionados aleatoriamente. La selección de colegios a encuestar se realizó de tal forma que los colegios seleccionados en la muestra, tuvieran una distribución similar a la del universo. En total participaron 150 colegios (67 públicos y 83 privados), 11 con educación diferenciada (2 masculinos y 9 femeninos), 72 laicos y 78 con formación religiosa. Los encargados de recoger la información fueron profesionales de la empresa Cifras y Conceptos que se desplazaron hasta las instituciones educativas, contactaron con el director y obtuvieron el consentimiento informado de participación de los estudiantes. Estos completaron una encuesta semi-estructurada, en la que debían responder a una serie de cuestiones relacionadas con sus estilos de vida, valores, actividades, familia, amigos y colegio. El análisis de datos se llevó a cabo con el programa estadístico SPSS.
3.2. Variables predictoras
3.2.1. Variables sociodemográficas
Se midió la edad con un ítem: «¿Cuántos años tienes?». Las opciones de este ítem fueron desde 12 a 19 años. El género se codificó como una variable «dummy», donde los varones recibieron el valor 1 y las mujeres el valor 0. Se recogió la procedencia étnica de los adolescentes con cinco categorías (mestizo, indígena, afrocolombiano, blanco y ninguna).
3.2.2. Variables estructurales
La estructura familiar se midió con tres categorías según las respuestas al ítem: «En mi casa vivo con: mamá, papá, hermano/s, abuelos, y otros». Las categorías se realizaron en términos de ausencia o presencia de padres en la familia. Concretamente, el primer nivel de estructura familiar estuvo compuesto por aquellos participantes que vivían con otras personas que no fueran sus padres (por ejemplo, abuelos, hermanos e iguales, etc.), el segundo nivel por aquellos que vivían con uno de los dos padres, y el tercer nivel por aquellos que vivían con ambos padres. También se categorizó a los adolescentes en cinco niveles de estatus socio-económico en función a la actividad laboral de sus padres (1= «Estatus socioeconómico bajo» a 5= «Estatus socioeconómico alto») (para una codificación similar del estatus socio-económico, véase EUKids Online, Livingstone & Haddon, 2009; Jiménez & al., 2013).


3.2.3. Variables individuales
Se midieron los valores mediante seis ítems tipo Likert con cinco opciones de respuesta (1=«Nada importante», 5=«Muy importante»). Se les preguntó cómo de importante consideraban cada una de las siguientes afirmaciones: «Ser una persona justa y leal», «Tener una familia», «Respetar la autoridad», «Llevar una vida moral digna», «Ser servicial y mostrar tolerancia y respeto hacia los demás», y «Tener valentía, capacidad de arriesgarme ante las cosas» (para una lista de valores similar, véase Wilson & al., 2005, Experimento 3). Las respuestas a estos 6 ítems estuvieron altamente intercorrelacionados (a=.95) por lo que se formó un índice indicador de los valores de los adolescentes.
3.2.4. Variables relacionales
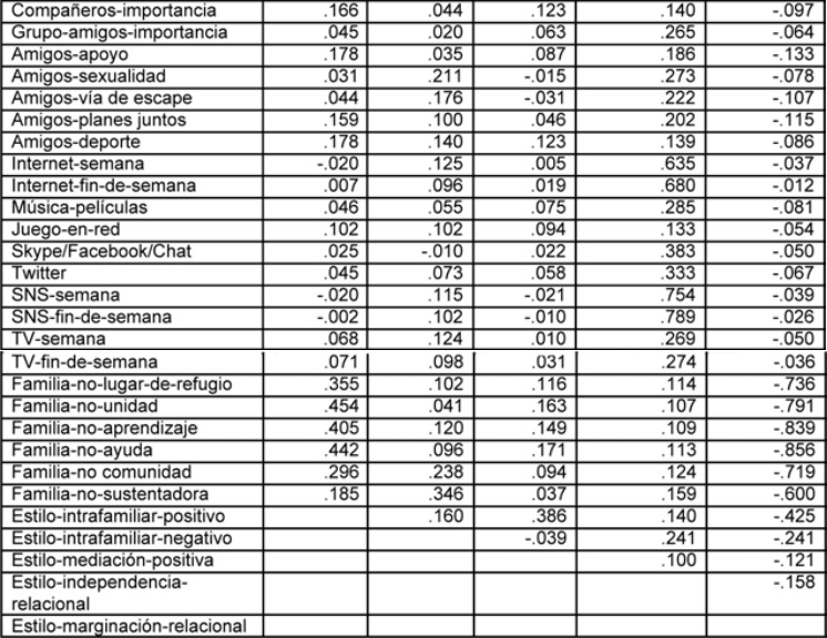
63 ítems sobre consumo de medios, interacciones con grupo de amigos y familia representativos de los estilos de vida de los adolescentes (véase Tabla 1) fueron incluidos en el análisis.
El formato de respuesta fue tipo Likert con cinco categorías de respuesta con un rango de 1 (Nada/Nunca) a 5 (Mucho). Se decidió el número de factores a extraer (5) mediante el gráfico de sedimentación (scree plot) (Cattell, 1966). Después se condujo un análisis factorial exploratorio (AFE) en la muestra total (N=8.685). El método de estimación fue máxima verosimilitud (maximum likelihood, ML) dado que los índices de curtosis y asimetría no indicaron una desviación fuerte de la normalidad (tabla 1). De acuerdo con el marco teórico, se seleccionó como método de rotación de factores la rotación oblicua (oblimin) debido a la expectativa de encontrar correlaciones entre los factores. Los resultados indicaron que los cinco factores extraídos explican un 32,72% de la varianza del test (para las cargas factoriales, véase tabla 1). La consistencia interna de la escala total fue alta (a=.89), por lo que podemos considerar que el instrumento es fiable. La estructura factorial rotada es teóricamente relevante (Corcuera & al., 2010; Faggiano, 2007) y su composición se presenta en la tabla 2.
La composición del primer factor manifiesta una comunicación intrafamiliar positiva, el segundo la situación contraria (familia violenta), el tercero un clima de diálogo positivo entre los adolescentes y sus padres, el cuarto un contexto de socialización externo a la familia de gran relevancia para las decisiones, y el quinto la imposibilidad de contar con el apoyo afectivo y material de la propia familia. La media de cada uno de los factores (comunicación intrafamiliar, violencia intrafamiliar, apoyo paterno, uso de medios, exclusión familiar) se retuvo para emplearlas como variables predictores en un análisis de regresión por bloques.

3.3. Variable criterio
Consumo de pornografía. Se midió el consumo de riesgo en Internet mediante 4 ítems relacionados con el consumo de pornografía, imágenes y vídeos eróticos tanto on-line como off-line. Los ítems preguntaban por la frecuencia de ocurrencia y las opciones de respuesta fueron desde 1 (nunca) a 5 (siempre). Los ítems fueron los siguientes: «Busco imágenes y/o vídeos eróticos o pornográficos», «Busco fotos y vídeos de modelos (como Natalia Paris, David Beckham, etc.)», «Me encuentro accidentalmente con una página de temas de sexo o pornografía», y «Veo películas pornográficas (Playboy, Venus, etc.)». La consistencia interna de estos cuatro ítems fue moderadamente alta (a=.68), por lo que se promediaron las respuestas a los mismos y se utilizó dicha media como un índice de consumo de pornografía.
4. Resultados
4.1. Consumo de pornografía
Para comprobar la primera hipótesis, se llevó a cabo un análisis de regresión lineal múltiple jerárquica tal y como recomiendan Aiken y West (1991). La variable criterio (i.e., el índice de consumo de pornografía) se predijo a partir de las variables predictoras. En el primer bloque se introdujeron las variables sociodemográficas (edad, género y etnia). En el segundo bloque se introdujeron las variables estructurales (estatus socio-económico y estructura familiar). En el tercer bloque se introdujeron las variables individuales (i.e., valores). Finalmente, en el cuarto bloque se introdujeron las variables de estilos de vida (véase tabla 3 para los coeficientes de la regresión). El primer bloque explicó un 10,1% del total de la varianza en el consumo de pornografía (R2=.101, p<.001). El segundo bloque no añadió información (?R2=.0004, p=.26). El tercer bloque explicó un porcentaje significativamente mayor de varianza que el segundo bloque (?R2= .005, p<.001). Por último, el cuarto bloque explicó un 17,4% del total de la varianza en el consumo de pornografía (R2=.174, p<.001). La diferencia de R2 entre bloques fue estadísticamente significativa (?R2= .068, p<.001). En el primer bloque de sociodemográficos, el análisis de regresión indicó un efecto principal significativo de la Edad, ß=.032, t(6558) =6.274, p<.001. También se encontró un efecto principal significativo de la variable Género, de forma consistente con la predicción realizada por la literatura, ß=.383, t(6558)=26.331, p<.001. Los chicos (M=1.71, DT =.72) consumen más pornografía que las chicas (M=1.33, DT=.49). El efecto de la etnia no fue significativo (ß=–.002, p=.6). Dentro del segundo bloque, ni el Estatus socio-económico (ß=.004, p=.39) ni la estructura familiar (ß=.017, p=.17) tuvieron un impacto significativo en el consumo de pornografía. Dentro del tercer bloque, la variable Valores mostró un efecto principal en el consumo de pornografía, ß=–.038, t(6558)=–5.799, p<.001, indicando que a medida que se tienen más valores el consumo de pornografía disminuye. Dentro del cuarto bloque de estilos de vida, se encontró un efecto principal de las relaciones intrafamiliares positivas, ß=–.082, t(6558) =–6.010, p<.001. Si éstas son positivas, el consumo de pornografía disminuye. Se observa un efecto principal del estilo intrafamiliar negativo, ß=.154, t(6558) =11.571, p<.001: el consumo de pornografía aumenta en contextos de socialización violenta. También se observó un efecto principal significativo del estilo de independencia relacional, ß=.241, t(6558)=16.126, p<.001. No se observó efecto significativo ni del estilo mediacional positivo (ß=–.011, p=.17) ni del estilo de marginación relacional (ß=–.009, p=.25).

4.2. Mediación
Para comprobar la segunda hipótesis se realizó un análisis de mediación múltiple con dos mediadores en paralelo. Los estilos de vida intrafamiliares positivo y negativo se sometieron a un análisis de mediación paralelo con el objetivo de explorar si estos estilos de vida mediaron la relación entre los valores de los adolescentes y su decisión de consumir pornografía. Se utilizó el procedimiento «bootstrapping» recomendado por Hayes y Preacher (2013) con el paquete macro Process del programa SPSS (Modelo 4, múltiples mediadores en paralelo). Primero, el efecto directo de los valores sobre el consumo de pornografía fue significativo, ß=-.05, t(8625)=–9.153, p<.001. Segundo, el efecto de los valores sobre los mediadores fue significativo, ß=–.06, t(8625)=–11.482, p<.001 para el estilo intrafamiliar positivo y ß=–.236, t(8625) =–47.131, p<.001 para el estilo intrafamiliar negativo. Tercero, cuando se introdujeron los mediadores y los valores como predictores, el efecto de los mediadores fue significativo, ß=-.08, t(8625)=-7.897, p<.001 para el estilo intrafamiliar positivo y ß=.190, t(8625)=17.197, p<.001 para el estilo intrafamiliar negativo, pero el efecto de los valores dejó de ser significativo, ß=-.007, t(8625)=–1.263, p=.21. Como se ilustra en la Figura 1, tanto el efecto indirecto del estilo intrafamiliar positivo como del estilo intrafamiliar negativo fueron estadísticamente significativos, ß= .005, SE=.001 [IC 95%: (.0034, .0073)] para el estilo positivo y ß=–.045, SE=.004 [IC 95%: (–.0518, –.0385)] para el estilo negativo. Preacher y Hayes (2008) demostraron que cuando el valor cero está fuera del intervalo, la mediación está presente. Debido a que el valor cero está fuera de ambos intervalos, se puede decir que el efecto directo de los valores sobre el consumo de pornografía estuvo mediado tanto por los estilos intrafamiliares positivos como por los negativos.
5. Discusión
Los resultados de esta investigación muestran que los estilos de vida relacionales permiten explicar parcialmente el consumo de pornografía: los estilos intrafamiliares positivos están asociados con una reducción en el consumo y lo contrario sucede con los estilos intrafamiliares negativos (H1). Por otro lado, se ha encontrado que la relación entre los valores y el consumo de pornografía está mediada tanto por los estilos relacionales intrafamiliares positivos como por los negativos (H2).
Respecto a las variables sociodemográficas, los resultados fueron convergentes con los encontrados en la literatura previa sobre edad y género (Sabina & al., 2008; Ybarra & Mitchell, 2005), en cuanto a que los adolescentes informaron consumir mayor cantidad de pornografía que las adolescentes y que aquellos en una adolescencia más avanzada informaron consumir pornografía con mayor frecuencia que aquellos participantes en la adolescencia temprana. El resto de variables sociodemográficas o de estructura tuvieron un efecto insignificante en el consumo de pornografía.
En cuanto a las variables de estilos de vida, los resultados confirman que las relaciones que los adolescentes tienen con sus padres configuran sus procesos decisionales (Archer, 2012). Un clima familiar de diálogo, comprensión y participación permite aumentar las posibilidades de un uso positivo de las TIC. Por el contrario, relaciones intergeneracionales negativas, que muchas veces llevan a buscar referencias fuera de ella, aún en contextos poco confiables, están asociadas con un mayor consumo negativo de las nuevas tecnologías. Un clima familiar violento, vengativo y solitario, y considerar la familia como lugar de conflictos puede llevar a un mayor consumo de pornografía, aumentando los riesgos asociados a éste.

En relación al consumo de medios, el uso intensivo de Internet para visitar redes sociales, descargar música y películas, jugar dinero en red y buscar información sobre sexualidad que la familia no provee (lo que se ha denominado «estilo de independencia relacional») llevan a un mayor consumo de pornografía, que en muchos casos puede ser accidental. Finalmente, utilizar el grupo de amigos y las relaciones virtuales para tratar de temas que en la familia son poco discutidos, como es el caso de la sexualidad, puede incitar a la exploración de nuevas experiencias por parte de los jóvenes.
Los resultados son relevantes no sólo porque confirman la importancia de los estilos de vida relacionales en las decisiones de consumo de riesgo, sino también porque muestran cómo los mismos son mediadores del efecto de los valores sobre el comportamiento del adolescente. Esto confirma la hipótesis de Brunsø y otros (2004), y la necesidad de incorporar en los programas de alfabetización mediática estrategias peer-to-peer, que favorezcan la creación de entornos de amistad positivos para casos en los que prevalezca contextos familiares violentos. En segundo lugar, la promoción de estilos de vida –y uso de TIC– saludables debería incluir la formación en la toma de decisiones cotidianas, aún en aquellos aspectos que en principio no se relacionan directamente con el consumo mediático. Finalmente, es clara la relevancia de los modelos de rol familiares, que son la base para la construcción de estilos de vida armónicos (Corcuera & al., 2010; Osorio & al., 2009).
En relación a las limitaciones del presente trabajo se puede mencionar principalmente que la muestra incluyó únicamente adolescentes escolarizados en colegios ubicados en ciudades de más de 75.000 habitantes. Futuros estudios sobre el argumento podrían aplicar metodologías cualitativas que complementarían la interpretación a un fenómeno tan complejo como el consumo de la pornografía en Internet, que admite diferentes conceptualizaciones por parte de los usuarios de la misma.
Una de las fortalezas principales del presente trabajo es que se trata de un estudio con una muestra representativa de los adolescentes de 12 a 19 años de Colombia, por lo que permite extraer conclusiones que son extrapolables a los adolescentes escolarizados de áreas urbanas de dicho país. La naturaleza correlacional del diseño ofrece garantías ecológicas al mismo, si bien es cierto que reduce la posibilidad de afirmar relaciones de causalidad entre los estilos de vida y el consumo de pornografía, o establecer la dirección de los datos.
Finalmente, la presente investigación sirve para diseñar programas de intervención que tengan como objetivo la reducción del consumo de pornografía y se basen en los estilos de vida de los adolescentes para alcanzar dicho objetivo. Por ejemplo, una intervención diseñada considerando no sólo variable sociodemográficas sino también los estilos de vida de los adolescentes permitiría una mayor adecuación del mensaje contenido en la intervención evitando un posible efecto «boomerang» producido por la naturaleza contra-actitudinal de la intervención para aquellos que más pornografía consumen (Brändle & al., 2011).
Referencias
Aiken, L.S., & West, S.G. (1991). Multiple Regression: Testing and Interpreting Interactions. Newbury Park, CA: Sage.
Archer, M.S. (2012). The Reflexive Imperative in Late Modernity. Cambridge, UK: Cambridge University Press.
Bagdasarov, Z., Greene, K., & al. (2010). I am What I Watch: Voyeurism, Sensation Seeking and Television Viewing Patterns. Journal of Broadcasting and Electronic Media, 54, 299-315. doi: http://dx.doi.org/10.1080/08838151003734995
Bravo, C.B., & Rasco, F.A. (2013). Interacciones de los jóvenes andaluces en las redes sociales. Comunicar, 40(XX), 25-30. doi: http://dx.doi.org/10.3916/C40-2013-02-02
Brunsø, K., Scholderer, J., & Grunert, K.G. (2004). Closing the Gap between Values and Behavior (a Means) end Theory of Lifestyle. Journal of Business Research, 57(6), 665-670. doi: http://dx.doi.org/doi:10.1016/S0148-2963(02)00310-7
Brändle, G., Cárdaba, M.A., & Ruiz-San-Román, J.A. (2011). The Risk of Emergence of Boomerang Effect in Communication against Violence. Comunicar, 37, 161-168. doi: http://dx.doi.org/10.3916/C37-2011-03-08
Byron, T. (2010). Do We Have Safer Children in a Digital World? A Review of Progress since the 2008 Byron Review. (http://goo.gl/vSeI1a) (13-01-2014).
Cabrera, V.E & Salazar, P.A. (2014). Estilos de vida de los jóvenes y las necesidades de educación sexual. Bogotá: Instituto de Estudios del Ministerio Público.
Cattell, R.B. (1966). The Scree Test for the Number of Factors. Multivariate Behavioral Research, 1(2), 245-276. http://dx.doi.org/10.1207/s15327906mbr0102_10
Cheung, C., Lee, T., Liu, S., & Leung, K. (2001). Friends’ Behavior, the Hedonist Lifestyle and Delinquent and Moral Behavior Two Years Later. International Journal of Adolescence and Youth, 9(4), 293-320. http://dx.doi.org/10.1080/02673843.2001.9747884
Cook, J.E., Purdie-Vaughns, V., Garcia, J., & Cohen, G.L. (2012). Chronic Threat and Contingent Belonging: Protective Benefits of Values Affirmation on Identity Development. Journal of Personality and Social Psychology, 102(3), 479-496. doi: http://dx.doi.org/10.1037/a0026312
Corcuera, P., Irala, J., de-Osorio, A., & Rivera, R. (2010). Estilos de vida de los adolescentes peruanos. Piura (Perú): Universidad de Piura.
Corrado, R., & Freedman, L. (2011). Risk Profiles, Trajectories, and Intervention Points for Serious and Chronic Young Offenders. International Journal of Child, Youth and Family Studies, 2(2.1), 197-232. (http://goo.gl/88IBBT) (02-01-2015).
Currie, C., Roberts, C., & al. (2004). Young People’s Health in Context. Health Behaviour in School-Aged Children (HBSC) Study: International Report, 2001/02 Survey. Report, Health Policy for Children and Adolescents, 4. Denmark: World Health Organization, Regional Office for Europe. (http://goo.gl/70JzYM) (10-01-14).
Faggiano, M.P. (2007). Stile di vita e partecipazione sociale giovanile: il circolo virtuoso teoria-ricerca-teoria (Vol. 12). Milán: Franco Angeli.
Hargrave, A.M., & Livingstone, S. (2006). Harm and Offence in Media Content. A Review of the Evidence. Bristol: Intellect.
Hayes, A.F., & Preacher, K.J. (2013). Conditional Process Modeling: Using Structural Equation Modeling to Examine Contingent Causal Processes. In G.R. Hancock, & R.O. Mueller (Eds.), Structural Equation Modeling: A Second Course. Greenwich: Information Age Publishing.
Hendry, L.B., Shucksmith, J., Love, J.G., & Gendinning, A. (2003). Young People’s Leisure and Lifestyles. London: Routledge.
Ispa, J.M., Csizmadia, A., Rudy, D., Fine, M.A., Krull, J.L., & al. (2013). Patterns of Maternal Directiveness by Ethnicity among Early Head Start Research Participants. Parenting: Science and Practice, 13(1), 58-75. doi: http://dx.doi.org/10.1080/15295192.2013.732439
Jiménez, A.G., de-Ayala-López, M.C., & García, B.C. (2013). Hábitos de uso en Internet y en las redes sociales de los adolescentes españoles. Comunicar, 41(21), 195-204. doi: http://dx.doi.org/10.3916/C41-2013-19
Johnsson-Smaragdi, U. (1994). Models of Change and Stability in Adolescents´ Media Use. In K.E. Rosengren (Ed), Media Effects and Beyond: Culture, Socialization and Lifestyles (pp. 127-186). London: Routledge.
Kahle, L.R., & Chiagouris, L. (Eds.). (2014). Values, Lifestyles, and Psychographics. New York: Psychology Press.
Kingston, D.A., Fedoroff, P., Firestone, P., Curry, S., & Bradford, J.M. (2008). Pornography Use and Sexual Aggression: The Impact of Frequency and Type of Pornography Use on Recidivism among Sexual Offenders. Aggressive Behavior, 34(4), 341-351. doi: http://dx.doi.org/10.1002/ab.20250
Kirsh, S. (2010). Media and Youth: A Developmental Perspective. Malden, MA: Wiley-Blackwell.
Lambert, N.M., Negash, S., Stillman, T.F., Olmstead, S.B., & Fincham, F.D. (2012). A Love that doesn’t last: Pornography Consumption and Weakened Commitment to One’s Romantic Partner. Journal of Social and Clinical Psychology, 31(4), 410-438. doi: http://dx.doi.org/101521jscp2012314410
Livingstone, S., & Haddon, L. (2009). EU Kids Online: Final Report. LSE, London: EU Kids Online. (http://goo.gl/NvBtzg) (20-01-2014).
Livingstone, S., Haddon, L., Vincent, J., Mascheroni, G., & Olafsson, K. (2014). Net Children Go Mobile: The UK Report. London: London School of Economics and Political Science. (http://goo.gl/zM2lzF) (17-01-2014)
Luder, M.T., Pittet, I., & al. (2011). Associations between Online Pornography and Sexual Behavior among Adolescents: Myth or Reality? Archives of Sexual Behavior, 40(5), 1.027-1.035. doi: http://dx.doi.org/10.1007/s10508-010-9714-0
Mascheroni, G., & Olafsson, K. (2014). Net Children go Mobile: Risks and Opportunities. Milano, Italy: Educatt.
Mattebo, M., Tydén, T., Häggström-Nordin, E., Nilsson, K.W., & Larsson, M. (2013). Pornography Consumption, Sexual Experiences, Lifestyles, and Self-rated Health among Male Adolescents in Sweden. Journal of Developmental & Behavioral Pediatrics, 34 (7), 460-468. doi: http://dx.doi.org/10.1097/DBP.0b013e31829c44a2
McKee, A. (2007). The Relationship between Attitudes towards Women, Consumption of Pornography, and other Demographic Variables in a Survey of 1,023 Consumers of Pornography. International Journal of Sexual Health, 19(1), 31-45. doi: http://dx.doi.org/10.1300/J514v19n01_05
Noll, J.G., Shenk, C.E., Barnes, J.E., & Haralson, K.J. (2013). Association of Maltreatment with High-risk Internet Behaviors and Offline Encounters. Pediatrics, 131(2), 510-517. doi: http://dx.doi.org/10.1542/peds.2012-1281
Osorio, A., Borrell, S.R., Estévez, J.I., Calatrava, M., & del-Burgo, C.L. (2009). Evaluación de los estilos educativos parentales en una muestra de estudiantes filipinos: implicaciones educativas. Revista Panamericana de Pedagogía, 14, 13-37.
Preacher, K.J., & Hayes, A.F. (2008). Asymptotic and Resampling Strategies for Assessing and Comparing Indirect Effects in Multiple Mediator Models. Behavior Research Methods, 40, 879-891. doi: http://dx.doi.org/10.3758/BRM.40.3.879
Rodrigo, M., Maíquez, M., & al. (2004). Relaciones padres-hijos y estilos de vida en la adolescencia. Psicothema, 16(2), 203-210.
Sabina, C., Wolak, J., & Finkelhor, D. (2008). The nature and Dynamics of Internet Pornography Exposure for Youth. CyberPsychology & Behavior, 11(6), 691-693. doi: http://dx.doi.org/10.1089/cpb.2007.0179
Stacy, A.W., Newcomb, M.D., & Bentler, P.M. (1991). Social Psychological Influences on Sensation Seeking from Adolescence to Adulthood. Personality and Social Psychology Bulletin, 17(6), 701-708. doi: http://dx.doi.org/10.1177/0146167291176014
Steele, J.R., & Brown, J.D. (1995). Adolescent Room Culture: Studying Media in the Context of Everyday Life. Journal of Youth and Adolescence, 24(5), 551-576. doi: http://dx.doi.org/10.1007/BF01537056
Thirlaway, K., & Upton, D. (2009). The Psychology of Lifestyle: Promoting Healthy Behaviour. London: Taylor & Francis.
Vega, V., & Malamuth, N.M. (2007). Predicting Sexual Aggression: The Role of Pornography in the Context of General and Specific Risk Factors. Aggressive Behavior, 33(2), 104-117. doi: http://dx.doi.org/10.1002/ab.20172
Williams, K.M., Cooper, B.S., Howell, T.M., Yuille, J.C., & Paulhus, D.L. (2009). Inferring Sexually Deviant Behavior from Corresponding Fantasies: The Role of Personality and Pornography Consumption. Criminal Justice and Behavior, 36(2), 198-222. doi: http://dx.doi.org/10.1177/0093854808327277
Wilson, T.D., Centerbar, D.B., Kermer, D.A., & Gilbert, D.T. (2005). The Pleasures of Uncertainty: Prolonging Positive Moods in Ways People do not Anticipate. Journal of Personality and Social Psychology, 88(1), 5-21. doi: http://dx.doi.org/10.1037/00223514.88.1.5
Wisenblit, J.Z., Priluck, R., & Pirog, S.F. (2013). The Influence of Parental Styles on Children’s Consumption. Journal of Consumer Marketing, 30(4), 320-327. doi: http://dx.doi.org/10.1108/JCM-02-2013-0465
Wright, P. J. (2013). US males and Pornography, 1973-2010: Consumption, Predictors, Correlates. Journal of Sex Research, 50 (1), 60-71. doi: http://dx.doi.org/10.1080/00224499.2011.628132
Ybarra, M.L., & Mitchell, K.J. (2005). Exposure to Internet Pornography among Children and Adolescents: A National Survey. CyberPsychology & Behavior, 8(5), 473-486. doi: http://dx.doi.org/10.1089/cpb.2005.8.473
Enlace alternativo
https://www.revistacomunicar.com/verpdf.php?numero=46&articulo=46-2016-04 (html)