Revisiones
Proteínas oxidadas de origen animal y su impacto sobre la salud intestinal
Oxidized proteins of animal origin and their impact on intestinal health
Proteínas oxidadas de origem animal e seu impacto na saúde intestinal
Proteínas oxidadas de origen animal y su impacto sobre la salud intestinal
Medicina U.P.B., vol. 42, núm. 1, pp. 49-56, 2023
Universidad Pontificia Bolivariana

Recepción: 22 Marzo 2022
Aprobación: 01 Septiembre 2022
Resumen: Los alimentos de origen animal como la carne de pollo, res, pescado y cerdo poseen una amplia demanda en todo el mundo debido, entre otros aspectos, a su valor nutricional, asociado al alto contenido proteico. No obstante, este tipo de proteínas son susceptibles de sufrir reacciones de oxidación, las cuales pueden mediar procesos de fragmentación, agregación, pérdida de solubilidad, funcionalidad y digestibilidad proteica; eventos implicados en la pérdida de su valor nutricional. En este sentido, las proteínas agregadas tienden a no ser digeridas en el tracto gastrointestinal y acumularse en el intestino (colon), donde la microbiota colónica las degrada a productos mutagénicos como fenol . p-cresol, lo que incrementa el riesgo de cáncer colorrectal. Por otra parte, los aminoácidos o péptidos oxidados liberados en la digestión podrían incorporarse en las vías de señalización celular intestinal y favorecer o exacerbar procesos intestinales crónicos como colon irritable o enfermedad de Crohn. Debido al gran interés de esta temática en los últimos años, el objetivo de esta revisión es realizar una descripción general del impacto de proteínas oxidadas de origen animal sobre la salud intestinal.
Palabras clave: oxidación, proteínas, alimentos, intestino, cáncer.
Abstract: Animal foods such as chicken, beef, fish and pork are in wide demand throughout the world due, among other things, to their nutritional value, associated with their high protein content. However, this type of protein is susceptible to oxidation reactions, which can mediate processes of fragmentation, aggregation, loss of solubility, functionality, and protein digestibility, which are events involved in the loss of their nutritional value. In this sense, aggregated proteins tend not to be digested in the gastrointestinal tract and accumulate in the intestine (colon), where the colonic microbiota degrades them into mutagenic products such as phenol and p-cresol, which increases the risk of colorectal cancer. On the other hand, the oxidized amino acids or peptides released in digestion could be incorporated into intestinal cell signaling pathways and favor or exacerbate chronic intestinal processes such as irritable bowel syndrome or Crohn's disease. Due to the great interest in this topic in recent years, the objective of this review is to provide a general overview of the impact of oxidized proteins of animal origin on intestinal health.
Keywords: oxidation, protein, food, intestine, cancer.
Resumo: Alimentos de origem animal como frango, carne bovina, peixe e carne suína são muito procurados em todo o mundo devido, entre outros fatores, ao seu valor nutricional, associado ao seu alto teor de proteínas. No entanto, esse tipo de proteína é suscetível a reações de oxidação, que podem mediar processos de fragmentação, agregação, perda de solubilidade, funcionalidade e digestibilidade da proteína; eventos envolvidos na perda de seu valor nutritivo. Nesse sentido, as proteínas agregadas tendem a não ser digeridas no trato gastrointestinal e se acumulam no intestino (cólon), onde a microbiota colônica as degrada em produtos mutagênicos como fenol . p - cresol , aumentando o risco de câncer colorretal. Por outro lado, os aminoácidos ou peptídeos oxidados liberados na digestão poderiam ser incorporados às vias de sinalização das células intestinais e favorecer ou exacerbar processos intestinais crônicos, como a síndrome do intestino irritável ou a doença de Crohn. Devido ao grande interesse neste tema nos últimos anos, o objetivo desta revisão é fornecer uma descrição geral do impacto das proteínas oxidadas de origem animal na saúde intestinal.
Palavras-chave: oxidação, proteínas, alimentos, intestino, Câncer.
Introducción
Los alimentos de origen animal como la carne de pollo, res, cerdo y pescado juegan un papel importante en la dieta del hombre, debido a su alto contenido proteico rico en aminoácidos esenciales1,2. No obstante, dichas proteínas son susceptibles a sufrir reacciones de oxidación mediadas por factores internos y externos que promueven la producción de especies reactivas de oxígeno y nitrógeno3,4. Dentro de los factores internos se encuentran la cadena respiratoria y metabolismo enzimático (Citocromo P450, xantina oxidasa), mientras que en los externos influyen la crianza de los animales, sacrificio y procesamiento de la carne (almacenamiento, curado, ahumado, cocción, entre otros)4,5.
La oxidación de proteínas es un fenómeno químico que puede ser reversible o irreversible, reduce la digestibilidad proteica, la formación de agregados y la liberación de péptidos y aminoácidos oxidados3,6. Bajo este contexto, los investigadores se han interesado en conocer el impacto de la ingesta de proteínas oxidadas sobre la salud humana, teniendo en cuenta que la mayoría de los productos de la degradación proteica son liberados a nivel gastrointestinal7,8.
Adicionalmente, el tracto gastrointestinal es una fuente de especies reactivas de oxígeno (EROs), las cuales son contrarrestadas por una barrera protectora proporcionada por la capa epitelial; sin embargo, los alimentos y patógenos pueden causar inflamación, activando el epitelio y produciendo citocinas y otros mediadores que contribuyen a un aumento del estrés oxidativo.. De ahí que el consumo de proteínas oxidadas a través de la dieta sea un factor de riesgo para patologías intestinales como la enfermedad de Crohn (EC), colitis ulcerosa (CU), colon irritable y cáncer de colorrectal7,9.
El objetivo de esta revisión es brindar información general acerca del impacto de las proteínas oxidadas de origen animal en la salud intestinal humana. Para ello, se realizó una búsqueda de artículos en Scielo, Science direct, Springer Link y MedLine (OVID, Pubmed) en inglés y español, sin restricción de tiempo.
Tema central
Estrés oxidativo
El estrés oxidativo es una situación bioquímica que implica desequilibrio entre la generación de especies reactivas de oxígeno/nitrógeno y la capacidad de un sistema biológico para neutralizarlas10,11. Durante el metabolismo celular aeróbico, estas especies son producidas a bajas concentraciones, lo cual permite que sean fácilmente degradas a especies no nocivas por la defensa antioxidante10. Bajo condiciones de estrés oxidativo, la célula experimenta daño general, el cual se manifiesta en el descenso de las concentraciones de adenosín trifosfato (ATP) y el desarrollo de necrosis; proceso que se extiende a las células adyacentes hasta causar daño tisular12.
Como se mencionó, el proceso de estrés oxidativo tiende dos actores: especies reactivas y defensa antioxidante12. Las especies reactivas involucran sustancias que pueden interactuar con los componentes celulares hasta oxidarlos (proteínas, lípidos, ácidos nucleicos y carbohidratos). A este grupo pertenecen los radicales libres, moléculas, átomos o iones que disponen de un electrón sin aparejar y que le confiere inestabilidad y reactividad13. Una vez que el radical libre (Figura 1) se estabiliza por abstracción de electrón a una molécula cercana (reducción), la molécula que era estable pierde su electrón (oxidación), y se convierte en un nuevo radical, evento que se replica hasta desencadenar una reacción en cadena13,14.

Las especies reactivas se clasifican en especies reactivas de oxígeno (ERO) y especies reactivas de nitrógeno (ERN), algunos ejemplos de estas se muestran en la Tabla 114,15. Tanto las ERO como las ERN provienen desde fuentes intrínsecas (mitocondrias, lisosomas, peroxisomas, etc.), mediante reacciones de activación celular, inmunológicas, inflamatorias; así como fuentes extrínsecas tales como la contaminación, exposición a radiaciones ionizantes, consumo de tabaco o alcohol, algunos medicamentos, aditivos químicos en alimentos procesados al igual que sus métodos de preparación (cocción, ahumados o reutilización de aceites, etc.)8,13,14,15.

En condiciones normales, las ERO/ENR se encuentran en un estado de equilibrio que oscila entre generación y eliminación. Las defensas antioxidantes endógenas evitan la formación de ERO/ENR y sus efectos dañinos, manteniendo la función celular normal y la homeostasis. Dentro de los sistemas antioxidantes encontramos el sistema de enzimas antioxidantes, (superóxido dismutasa, catalasa y glutatión peroxidasa) y el sistema de antioxidantes no enzimáticos (vitamina C, vitamina E, glutatión, melatonina y ácido alfa lipoico, carotenoides y oligoelementos (cobre, zinc, selenio). Los antioxidantes endógenos captan radicales libres e inhiben la producción de ERO/ENR mediante la combinación de proteínas (albúmina, lactoferrina, haptoglobina) e iones metálicos necesarios para la producción de radicales15,16.
Alimentos cárnicos
La carne constituye todas las partes comestibles de cualquier mamífero, sin embargo, el término hace generalmente referencia al tejido musculoesquelético17. Las fuentes más comunes son bovinos, cerdos, aves y, en menor extensión, búfalos, ovejas y cabras18. La carne bovina y de pollo son las más consumidas, debido entre otros aspectos a su asequibilidad y precio (12 463.11 y 70 479.65 toneladas, respectivamente)19.
Anatómicamente, el músculo esquelético está formado por la unión de varios fascículos, que están cubiertos por epimisio y, a su vez, cada fascículo está cubierto por perimisio. Los fascículos están formados por varias fibras musculares o miocitos, los cuales están cubiertos por el endomisio18,20.
En lo celular, el músculo esquelético está formado por células musculares o fibras. Este tipo de célula es multinucleada, grande y extremadamente alargada (alcanza varios milímetros a centímetros de longitud). Básicamente, la célula muscular está compuesta por el sarcolema (membrana celular), sarcoplasma (citosol), retículo sarcoplásmico, mitocondrias, varios núcleos y miofibrillas. La célula muscular es rica en mitocondrias y miofibrillas, que ocupan entre 2% y 80% del volumen de la célula, respectivamente. Las miofibrillas no están limitadas por una membrana y consisten enteramente en proteínas que existen como una estructura insoluble a concentraciones fisiológicas. Las principales proteínas de las miofibrillas son la miosina y actina, cuya función es participar en la contracción muscular18,20.
Aporte nutritivo de las proteínas de la carne
El alto consumo de carne se explica por su valor nutricional, representado en su alto contenido proteico y la presencia de minerales como hierro, selenio, zinc y vitamina B1218. Las proteínas de la carne tienen gran valía biológica, ya que son ricas en aminoácidos esenciales, necesarios para la actividad metabólica en todas las etapas de la vida. El contenido promedio de proteína de carne es del 22%, pero este porcentaje puede ser tan alto como 34.5% (pechuga de pollo) o tan bajo como 12.3% (carne de pato)21. Cabe anotar que el consumo de carne también ha sido relacionado con la retención de la masa corporal magra, control del peso, reducción de la inflamación, sensibilidad a la insulina, así como la salud ósea y cardiovascular22..
Calidad proteica y digestibilidad
La calidad proteica describe las características de una proteína en relación con su capacidad para satisfacer los requerimientos humanos (síntesis de proteínas, balance de nitrógeno). Estas cualidades generalmente están asociadas a la capacidad que tienen las proteínas para proporcionar aminoácidos esenciales y no esenciales23. Por lo tanto, el valor nutricional de la carne puede estar condicionado por la presencia o ausencia de estos aminoácidos. La capacidad de las proteínas para proporcionar aminoácidos está relacionada con su digestibilidad, un proceso donde el sistema digestivo las convierte en sus unidades fundamentales (aminoácidos)24,25,26.
Los factores relacionados con el proceso de obtención, almacenamiento y procesamiento de carne, pueden afectar la digestión de proteínas a través de la pérdida de aminoácidos (biodisponibilidad) mediante la formación de cadenas de péptidos reticulados o reacciones de oxidación. Estos resultados, por lo general, se deben a procesos oxidativos23,27.
En adicción, la microbiota intestinal juega un papel importante en la digestibilidad proteica, debido a que ayuda a facilitar la digestión y absorción de proteínas/aminoácidos. No obstante, la microbiota también acelera el metabolismo de proteínas no digeridas (producto del proceso gastrointestinal) y por tanto, se promueve el aumento de metabolitos bacterianos, tales como fenoles, indoles, sulfuro de hidrógeno y ácidos grasos de cadena ramificada, los cuales se asocian con un impacto negativo en este órgano28,29,30.
Oxidación proteica de la carne
Como se indicó, el consumo de productos de origen animal como la carne de res, pollo, cerdo y pescado tiene que ver con su valor nutricional1,2. No obstante, al ser las proteínas el componente mayoritario de este tipo de alimentos, los hace susceptibles a sufrir reacciones de oxidación, evento que puede inducir procesos como fragmentación, agregación, pérdida de solubilidad, funcionalidad y digestibilidad. Esto favorece la pérdida de su valor nutricional31,32.
Las reacciones de oxidación en el aspecto químico promueven: hidroxilación aromática, oxidación de grupos tiol y formación de grupos carbonilo en las cadenas laterales proteicas. Esta última es la modificación oxidativa más notable en los alimentos6,7,33,34,35.
Carbonilación proteica
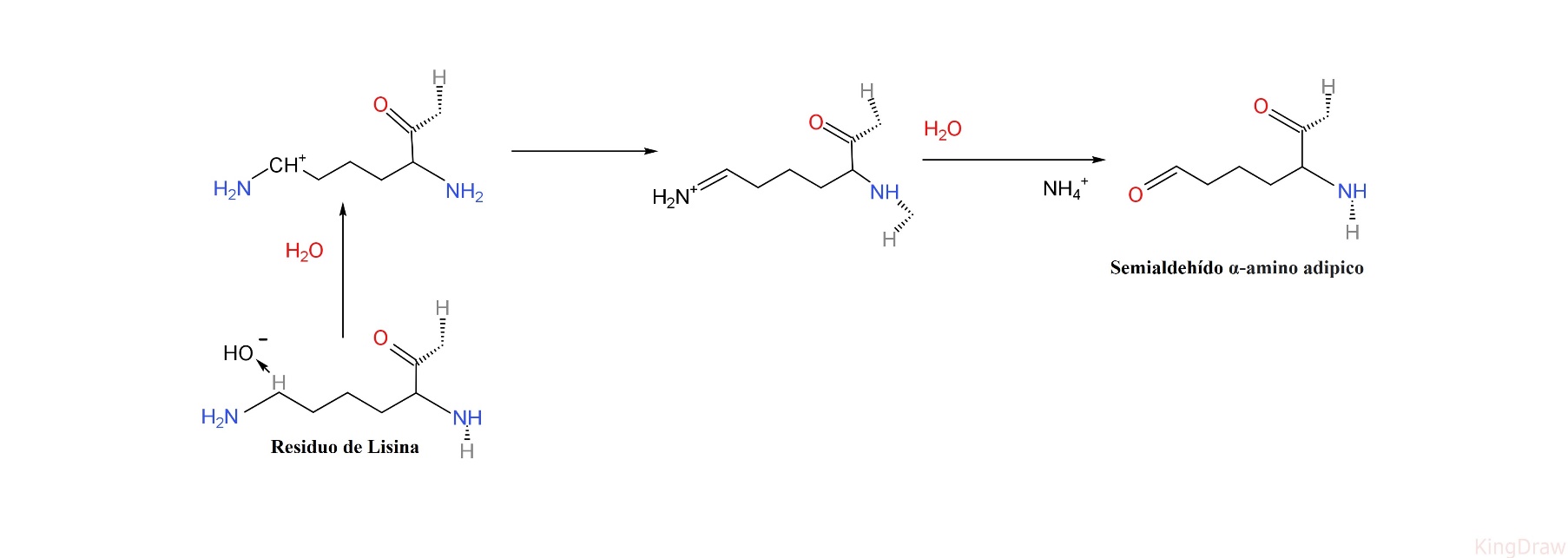
La carbonilación es una modificación oxidativa no enzimática irreversible, caracterizada por la incorporación de grupos carbonilos (=CO) en las cadenas laterales de las proteínas36. Este fenómeno se puede dar por cuatro vías: 1) oxidación directa de las cadenas laterales de residuos de lisina, treonina, arginina y prolina; 2) glicación no enzimática en presencia de azúcares reductores; 3) descomposición oxidativa de la cadena de polipéptidos mediante la α-amidación o mediante la oxidación de las cadenas laterales de glutamato, y 4) unión covalente de compuestos de carbonilo reactivos como 4- Hidroxinenal (4-HNE) o Malondialdehído (MDA) por reacción de Michael. De estas cuatro vías, la oxidación directa es la principal fuente de carbonilación y la más potente descrita en proteínas de origen animal (Figura 2).
En los sistemas alimentarios, la carbonilación se ha relacionado tanto con factores internos (contenido hierro en carnes rojas) como externos, siendo estos últimos los más relevantes4,37,38. Entre los factores externos se encuentran la alimentación del animal, estrés previo al sacrificio, almacenamiento, curado, cocción y presencia de sustancias de uso veterinario en el producto final39,40,41,42.
Bajo este contexto, se ha reportado que la carne envasada, carnes frías (salados, nitritos), carne congelada, el proceso de asado y fritura, así como la presencia de sustancias de uso veterinario (plaguicidas y antimicrobianos) tienen un impacto significativo en la oxidación de proteínas, siendo por tanto un motivo de interés para la comunidad científica en relación con los efectos adversos sobre la salud42,43,44,45,46,47,48,49.

En general, la oxidación de proteínas se relaciona con decremento del color, sabor, terneza y olor de la carne, no obstante, la pérdida de digestibilidad proteica es el efecto de mayor repercusión en su valor nutricional50,51. Al estar carboniladas, las proteínas experimentan cambios en su estructura que conllevan a la formación de agregados, pérdida de funcionalidad y modificación de sitios de reconocimiento de enzimas digestivas. Por tanto, sería de esperarse una disminución de aminoácidos procedentes de la dieta, así como, un incremento de la acumulación de proteínas no digeridas en el zona intestinal12,50,51.
Oxidación de las proteínas y su impacto en el intestino
Muchas patologías han sido relacionadas con la carbonilación proteica, entre ellas las enfermedades neurodegenerativas como Alzheimer, Parkinson y esclerosis sistémica, las cuales se caracterizan por la acumulación de agregados proteicos carbonilados52,53,54,55. No obstante, es poco lo que se conoce sobre el impacto de la ingesta de proteínas oxidadas y promoción de enfermedades, especialmente las de origen intestinal. En este sentido, estudios realizados por Chen et al.56 y Frame et al.57 han evidenciado que la ingesta de proteínas oxidadas en animales de granja (pollos y cerdos) causa una disminución en la función digestiva del animal.
Por otro lado, se ha encontrado que una vez son ingeridas las proteínas oxidadas de la dieta, estas inician un proceso de acumulación intestinal, el cual contribuye a la generación de procesos inflamatorios en el tracto gastrointestinal, también conocido como estrés oxidativo luminal35. Este fenómeno es causado por productos de proteínas oxidadas capaces de desarrollar una activación duradera del factor nuclear NF-κB, responsable de los procesos de síntesis de novo de las citocinas proinflamatorias y la liberación de metabolitos del ácido araquidónico. Además, la presencia de estrés oxidativo y proteínas oxidadas conlleva a la producción de carboximetil-lisina, una proteína modificada responsable de perpetuar los procesos de inflamación intestinal35,58.
Asimismo, productos avanzados de oxidación (PAOP), incluidos los carbonilados, han sido detectados en pacientes con enfermedades inflamatorias intestinales como colon irritable y enfermedad de Crohn (EC)59,60. En este contexto, la presencia de productos oxidados y el estrés oxidativo pueden promover la pérdida de la integridad del intestino, conduciendo así a la inflamación crónica mediada por la muerte de células epiteliales intestinales, las cuales evitan la entrada de toxinas y microrganismos16. Todo lo anterior, podría contribuir a la promoción de patologías inflamatorias crónicas como EC y la colitis ulcerosa (CU), ambas relacionadas con procesos de estrés oxidativo60.
Finalmente, diversos estudios in vivo e in vitro han evidenciado que los péptidos o aminoácidos oxidados liberados de proteínas oxidadas pueden producir alteraciones en las vías de señalización celular (síntesis proteica de novo), microbiota, estado redox del tejido intestinal y aumento de la susceptibilidad a la formación de aductos moleculares (ADN), siendo este último un paso importante para el inicio de neoplasias12,35,61.
Consumo de proteínas oxidadas y cáncer colorrectal
El consumo de proteínas oxidadas se ha relacionado con la aparición de condiciones patológicas locales, como el cáncer colorrectal. Este evento patológico se origina en las células epiteliales que recubren el intestino, que se dividen rápidamente y tienen una alta tasa metabólica, lo que implica un potencial para la oxidación del ADN7,62.
El proceso genotóxico causado por las proteínas dañadas y mal plegadas actúa como inhibidor de la proteasoma a nivel celular; situación que conduce a una reducción de la capacidad de eliminación de proteínas oxidadas y por ende, a su depósito. Este evento a su vez, dificulta el recambio de proteínas y conduce gradualmente al incremento alteraciones estructurales y funcionales de los orgánulos celulares intestinales.. Además, la acumulación de proteínas no digeridas lleva a una fermentación por acción de la microbiota intestinal (Bacteroides y algunos Firmicutes), proceso que conduce a la conversión de aminoácidos aromáticos en productos bioactivos como fenoles y p-cresol, con potencial de promover el cáncer y ejercer efectos carcinógenos a través de la alquilación del ADN (mutación)63,64,65,66. En la Figura 3 se muestra en forma de resumen la implicación del consumo de proteínas oxidadas e impacto a nivel intestinal.
A pesar de lo descrito de forma previa, la literatura que evalúa la relación entre la ingesta de proteínas oxidadas y el desarrollo de patologías intestinales es incipiente, por tanto, se requiere de la realización de nuevos estudios enfocados en la temática, considerando que según reportes estadísticos del Observatorio Global de Cáncer (GLOBOCAN 2020), el cáncer colorrectal ocupa la tercera posición en el mundo con una tendencia a incrementar en los próximos años67,68.

Conclusiones
Las proteínas de origen animal son una excelente fuente de aminoácidos esenciales para el ser humano; además, su consumo ha sido relacionado con retención de la masa corporal magra, control del peso, reducción de la inflamación, sensibilidad a la insulina, así como la salud ósea y cardiovascular. De ahí, la importancia de su incorporación en la dieta, no obstante, estas macromoléculas son susceptibles a sufrir procesos de oxidación, lo cual favorece al decremento de su digestibilidad y conlleva a la formación de moléculas que pueden afectar la salud intestinal.
La evidencia revisada indica que la liberación de aminoácidos o péptidos oxidados, después de la digestión, podría llevar a su incorporación en los distintos procesos metabólicos, incluidos la disrupción en las vías de señalización celular‑intestinal, los cuales favorecen o exacerban procesos intestinales crónicos como colon irritable o enfermedad de Crohn y cáncer. De igual forma, el incremento de proteínas no digeridas (agregadas), promueve, por parte de la microbiota intestinal, la formación de productos mutagénicos como fenol y p-cresol, los cuales han sido implicados en el aumento de riesgo de cáncer colorrectal. No obstante, se requiere de más evidencia que permita soportar los hallazgos reportados hasta el momento.
Referencias
1. Wood JD. Meat composition and nutritional value. Lawrie’s Meat Sci. Eighth Ed. 2017;635-59.
2. Pereira PM, Vicente AF. Meat nutritional composition and nutritive role in the human diet. Meat Sci. 2013;93(3):586-92.
3. Zhang W, Xiao S, Ahn DU. Protein oxidation: Basic principles and implications for meat quality. Crit Rev Food Sci Nutr. 2013;53(11):1191-201.
4. Estévez M. Oxidative damage to poultry: From farm to fork. Poult Sci. 2015;94(6):1368-78.
5. Hrycay EG, Bandiera SM. Involvement of cytochrome P450 in reactive oxygen species formation and cancer. Adv Pharmacol. 2015;74:35-84.
6. Soladoye OP, Juárez ML, Aalhus JL, Shand P, Estévez M. Protein oxidation in processed meat: Mechanisms and potential implications on human health. Compr Rev Food Sci Food Saf. 2015;14(2):106-22.
7. Estévez M, Li Z, Soladoye OP, Van-Hecke T. Health risks of food oxidation. Adv Food Nutr Res. 2017;82:45-81.
8. Domínguez R, Pateiro M, Munekata PES, Zhang W, García-Oliveira P, Carpena M, et al. Protein oxidation in muscle foods: A comprehensive review. Antioxidants. 2022;11(1):34-46.
9. Kim YJ, Kim EH, Hahm KB. Oxidative stress in inflammation-based gastrointestinal tract diseases: challenges and opportunities. J Gastroenterol Hepatol. 2012;27(6):1004-10.
10. Bhattacharyya A, Chattopadhyay R, Mitra S, Crowe SE. Oxidative stress: An essential factor in the pathogenesis of gastrointestinal mucosal diseases. Physiol Rev. 2014;94(2):329-54.
11. Brown K, Molcan E, Rajendiran E, Nusrat A, Baker J, Ruscheinsky S, et al. Free radicals and gastrointestinal disorders. En: Laher I, editor. Systems Biology of Free radicals and antioxidants. Berlin, Heidelberg: Springer Berlin Heidelberg; 2014. p. 1691-727.
12. Yun B, King M, Draz MS, Kline T, Rodriguez-Palacios A. Oxidative reactivity across kingdoms in the gut: Host immunity, stressed microbiota and oxidized foods. Free Radic Biol Med. 2022;178:97-110.
13. Di Meo S, Venditti P. Evolution of the knowledge of free radicals and other oxidants. Oxid Med Cell Longev. 2020;ID9829176:32.
14. Radi R. Oxygen radicals, nitric oxide, and peroxynitrite: Redox pathways in molecular medicine. Proc Natl Acad Sci U S A. 2018;115(23):5839-48.
15. Snezhkina A, Kudryavtseva V, Kardymon OL, Savvateeva MV, Melnikova NV, Krasnov GS, et al. ROS generation and antioxidant defense systems in normal and malignant cells. Oxid Med Cell Longev. 2019;ID:6175804.
16. Poprac P, Jomova K, Simunkova M, Kollar V, Rhodes CJ, Valko M. Targeting free radicals in oxidative stress-related human diseases. Trends Pharmacol Sci. 2017;38(7):592-607.
17. FAO. FAO’s animal production and health division: Meat & meat products. 2021. Disponible en: http://www.fao.org/ag/againfo/themes/en/meat/backgr_sources.html
18. Listrat A, Lebret B, Louveau I, Astruc T, Bonnet M, Lefaucheur L, et al. How muscle structure and composition influence meat and flesh quality. Sci World J. 2016;2016:1-14.
19. OECD Data. Agricultural output - Meat consumption. 2021. Disponible en: https://data.oecd.org/agroutput/meat-consumption.htm
20. Guo X, Qin B, Yang X, Jia J, Niu J, Li M, et al. Comparison of carcass traits, meat quality and expressions of MyHCs in muscles between mashen and large white pigs. Ital J Anim Sci. 2019;18(1):1410-8.
21. De Castro Cardozo P, Dos Reis Baltazar A. Meat nutritional composition and nutritive role in the human diet. Meat Sci. 2013;93(3):586-92.
22. Lupoli R, Vitale M, Calabrese I, Giosuè A, Riccardi G, Vaccaro O. White meat consumption, all-cause mortality, and cardiovascular events: A meta-analysis of prospective cohort studies. Nutrients. 2021;13(2):1-16.
23. Millward DJ, Layman DK, Tomé D, Schaafsma G. Protein quality assessment: Impact of expanding understanding of protein and amino acid needs for optimal health. Am J Clin Nutr. 2008;87(5):1576S-1581S.
24. De la Pomélie D, Santé-Lhoutellier V, Sayd T, Gatellier P. Oxidation and nitrosation of meat proteins under gastro-intestinal conditions: Consequences in terms of nutritional and health values of meat. Food Chem. 2018;243:295-304.
25. Ahmad RS, Imran A, Hussain MB. Nutritional composition of meat. En: Meat Science and Nutrition. InTech; 2018.
26. Gallego M, Mora L, Hayes M, Reig M, Toldrá F. Effect of cooking and in vitro digestion on the antioxidant activity of dry-cured ham by-products. Food Res Int. 2017;97:296-306.
27. Xiong YL. Chemical and physical characteristics of meat| Protein Functionality. En: Encyclopedia of Meat Sciences. Elsevier; 2004. p. 218-25.
28. Yin Y, Zhou L, Pereira J, Zhang J, Zhang W. Insights into digestibility and peptide profiling of beef muscle proteins with different cooking methods. J Agric Food Chem. 2020;68(48):14243-51.
29. Mafra D, Barros AF, Fouque D. Dietary protein metabolism by gut microbiota and its consequences for chronic kidney disease patients. Future Microbiol. 2013;8(10):1317-23.
30. Wu DW, Chen X, Yang X, Leng ZX, Yan PS, Zhou YM. Effects of heat treatment of soy protein isolate on the growth performance and immune function of broiler chickens. Poult Sci. 2014;93(2):326-34.
31. Deb-Choudhury S, Haines S, Harland D, Clerens S, van Koten C, Lee E, et al. Multi-parameter evaluation of the effect of processing conditions on meat protein modification. Heliyon. 2020;6(6):e04185.
32. Ma J, Wang X, Li Q, Zhang L, Wang Z, Han L, et al. Oxidation of myofibrillar protein and crosslinking behavior during processing of traditional air-dried yak (Bos grunniens) meat in relation to digestibility. LWT. 2021;142:110984.
33. Hellwig M. Analysis of protein oxidation in food and feed products. J Agric Food Chem. 2020;68(46):12870-85.
34. Malheiros JM, Braga CP, Grove RA, Ribeiro FA, Calkins CR, Adamec J, et al. Influence of oxidative damage to proteins on meat tenderness using a proteomics approach. Meat Sci. 2019;14864-71.
35. Estévez M, Xiong Y. Intake of oxidized proteins and amino acids and causative oxidative stress and disease: Recent scientific evidences and hypotheses. J Food Sci. 2019;84(3):387-96.
36. Mora L, Gallego M, Aristoy MC, Toldrá F. Protein oxidation. Encycl Food Chem. 2019;17:41-7.
37. Curtis JM, Hahn WS, Long EK, Burrill JS, Arriaga EA, Bernlohr DA. Protein carbonylation and metabolic control systems. Trends Endocrinol Metab. 2012;23(8):399-406.
38. Estévez M. Protein carbonyls in meat systems: A review. Meat Sci. 2011;89(3):259-79.
39. Alessandra de Avila Souza M, Shimokomaki M, Nascimento Terra N, Petracci M. Oxidative changes in cooled and cooked pale, soft, exudative (PSE) chicken meat. Food Chem. 2022;385:132471.
40. Zhang C, Li Y, Xia X, Sun Q, Sun F, Kong B. Changes in protein oxidation, structure, and thermal stability of chicken breast subjected to ultrasound-assisted immersion freezing during frozen storage. Food Chem . 2023;398:133874.
41. Higuero N, Ramírez MR, Vidal-Aragón M del C, Cava R. Influence of high-pressure processing and varying concentrations of curing salts on the color, heme pigments and oxidation of lipids and proteins of Iberian dry-cured loins during refrigerated storage. LWT. 2022;160:113251.
42. Márquez-Lázaro JP, Mora L, Méndez-Cuadro D, Rodríguez-Cavallo E, Toldrá F. In vitro oxidation promoted by sarafloxacin antibiotic residues on myosin and chicken meat proteins. J Food Compos Anal. 2022;111:104622.
43. Villaverde A, Ventanas J, Estévez M. Nitrite promotes protein carbonylation and Strecker aldehyde formation in experimental fermented sausages: Are both events connected? Meat Sci. 2014;98(4):665-72.
44. De Palo P, Maggiolino A, Centoducati P, Tateo A. Effects of two different packaging materials on veal calf meat quality and shelf life1. J Anim Sci. 2013;91(6):2920-30.
45. Hu L, Ren S, Shen Q, Chen J, Ye X, Ling J. Proteomic study of the effect of different cooking methods on protein oxidation in fish fillets. RSC Adv. 2017;7(44):27496-505.
46. Utrera M, Estévez M. Oxidative damage to poultry, pork, and beef during frozen storage through the analysis of novel protein oxidation markers. J Agric Food Chem. 2013;61(33):7987-93.
47. Márquez-Lázaro JP, Mora L, Méndez-Cuadro D, Rodríguez-Cavallo E, Toldrá F. In vitro oxidation promoted by chlorpyrifos residues on myosin and chicken breast proteins. Food Chem. 2020;326:126922.
48. Márquez-Lázaro J, Méndez-Cuadro D, Rodríguez-Cavallo E. Residues of fluoroquinolone antibiotics induce carbonylation and reduce in vitro digestion of sarcoplasmic and myofibrillar beef proteins. Foods.2020;9(2):170.
49. Santé-Lhoutellier V, Engel E, Aubry L, Gatellier P. Effect of animal (lamb) diet and meat storage on myofibrillar protein oxidation and in vitro digestibility. Meat Sci. 2008;79(4):777-83.
50. Bao Y, Ertbjerg P. Effects of protein oxidation on the texture and water-holding of meat: A review. Crit Rev Food Sci Nutr. 2019;59(22):3564-78.
51. Xiong YL, Guo A. Animal and plant protein oxidation: Chemical and functional property significance. Foods. 2021;10(1):40.
52. Ton AMM, Campagnaro BP, Alves GA, Aires R, Côco LZ, Arpini CM, et al. Oxidative stress and dementia in Alzheimer’s patients: Effects of synbiotic supplementation. Oxid Med Cell Longev. 2020;2020:ID 2638703.
53. Tunçel ÖK, Sarisoy G, Bilgici B, Pazvantoglu O, Çetin E, Ünverdi E, et al. Oxidative stress in bipolar and schizophrenia patients. Psychiatry Res. 2015;228(3):688-94.
54. Miletić J, Drakulić D, Pejić S, Petković M, Ilić T V, Miljković M, et al. Prooxidant-antioxidant balance, advanced oxidation protein products and lipid peroxidation in Serbian patients with Parkinson’s disease. Int J Neurosci. 2018;128(7):600-7.
55. Oliveira SR, Kallaur AP, Reiche EMV, Kaimen-Maciel DR, Panis C, Lozovoy MAB, et al. Albumin and protein oxidation are predictors that differentiate relapsing-remitting from progressive clinical forms of multiple sclerosis. Mol Neurobiol. 2017;54(4):2961-8.
56. Chen X, Chen YP, Wu DW, Wen C, Zhou YM. Effects of heat-oxidized soy protein isolate on growth performance and digestive function of broiler chickens at early age. Asian-Australasian J Anim Sci. 2015;28(4):544-50.
57. Frame CA, Johnson E, Kilburn L, Huff-Lonergan E, Kerr BJ, Serao MR. Impact of dietary oxidized protein on oxidative status and performance in growing pigs. J Anim Sci. 2020;98(5):34532.
58. Andrassy M, Igwe J, Autschbach F, Volz C, Remppis A, Neurath MF, et al. Posttranslationally modified proteins as mediators of sustained intestinal inflammation. Am J Pathol. 2006;169(4):1223.
59. Xie F, Sun S, Xu A, Zheng S, Xue M, Wu P, et al. Advanced oxidation protein products induce intestine epithelial cell death through a redox-dependent, c-jun N-terminal kinase and poly (ADP-ribose) polymerase-1-mediated pathway. Cell Death Dis. 2014;5(1):e1006-e1006.
60. Krzystek-Korpacka M, Kempiński R, Bromke MA, Neubauer K. Oxidative stress markers in inflammatory bowel diseases: Systematic review. Diagnostics. 2020;10(8):601.
61. Wu L, Tang Z, Chen H, Ren Z, Ding Q, Liang K, et al. Mutual interaction between gut microbiota and protein/amino acid metabolism for host mucosal immunity and health. Anim Nutr. 2021;7(1):11-6.
62. Pereira C, Grácio D, Teixeira JP, Magro F. Oxidative stress and DNA damage: Implications in Inflammatory Bowel Disease. Inflamm Bowel Dis. 2015;21(10):2403-17.
63. Gagnière J. Gut microbiota imbalance and colorectal cancer. World J Gastroenterol. 2016;22(2):501.
64. Al Hinai EA, Kullamethee P, Rowland IR, Swann J, Walton GE, Commane DM. Modelling the role of microbial p-cresol in colorectal genotoxicity. Gut Microbes. 2019;10(3):398-411.
65. Louis P, Hold GL, Flint HJ. The gut microbiota, bacterial metabolites and colorectal cancer. Nat Rev Microbiol. 2014;12(10):661-72.
66. Russell WR, Duncan SH, Scobbie L, Duncan G, Cantlay L, Calder AG, et al. Major phenylpropanoid-derived metabolites in the human gut can arise from microbial fermentation of protein. Mol Nutr Food Res. 2013;57(3):523-35.
67. Arnold M, Sierra MS, Laversanne M, Soerjomataram I, Jemal A, Bray F. Global patterns and trends in colorectal cancer incidence and mortality. Gut. 2017;66(4):683-91.
68. Sung H, Ferlay J, Siegel RL, Laversanne M, Soerjomataram I, Jemal A, et al. Global cancer statistics 2020: GLOBOCAN estimates of incidence and mortality worldwide for 36 cancers in 185 countries. CA Cancer J Clin. 2021;71(3):209-49.
Notas de autor
johana.marquez@curnvirtual.edu.co
Información adicional
Conflicto de intereses: Los autores declaran no tener ningún conflicto de intereses.