Sección general
Recepción: 15 Febrero 2018
Aprobación: 15 Mayo 2018
DOI: https://doi.org/10.17533/udea.espo.n53a04
Resumen: A finales de 2016 se firmó el Acuerdo Final de Paz entre el Gobierno colombiano y las FARC para poner fin a uno de los conflictos internos más extensos de la historia. Ante las diversas estrategias que el Gobierno ha propuesto para la mejora de la economía y calidad de vida de la etapa posterior al Acuerdo Final de Paz, no se han elaborado valoraciones perceptivas sobre sus posibles consecuencias en algunos sectores económicos. Este artículo propone realizar una evaluación al respecto, aplicando una encuesta basada en el método Delphi, que utiliza retrospectiva sobre la afectación del conflicto armado y prospectiva sobre la percepción del posconflicto en un subsector agroindustrial. Dentro de los resultados se encuentra que el panorama futuro de las empresas del sector es optimista en general, con incremento de su rentabilidad, a pesar de evidentes afectaciones pasadas del conflicto armado.
Palabras clave: Conflicto Armado, Posconflicto, Paz, Economía, Agroindustria, Colombia.
Abstract: The peace agreement was signed at the end of 2016 year between Colombia and the Revolutionary Armed Forces of Colombia (FARC), finishing one of the longest conflicts in the history. Up until now, there has been no assessment on how the economic sector perceives the different strategies that the government have proposed in order to improve the economy and quality of life after the conflict. In this sense, this research proposes an assessment of the impact of these strategies by applying a survey based on the Delphi method, which uses retrospective over the armed conflict affectations and prospective on the perception of the post-conflict context in an agroindustrial subsector. Among the most important results is that the future outlook of the agroindustrial subsector analyzed is optimistic in general, hoping for better profits, despite the evident past affectations caused by the armed conflict.
Keywords: Armed Conflict, Post-Conflict, Peace, Economy, Agro-Industry, Colombia.
Introducción
Desde 1958 Colombia se ha visto envuelta en un conflicto interno entre el gobierno y los grupos insurgentes, especialmente con las FARC, lo que ha generado una considerable afectación en todos los sectores económicos debido a la influencia de dichos grupos en amplias zonas del país, provocando un impacto negativo en la competitividad en comparación a otras naciones, bajos niveles educativos, poca inversión, infraestructura deficiente y, principalmente, una disminución en el desarrollo económico, según la investigación de María Ruiz, John Galeano y Edwin Gil (2015). Históricamente, Colombia se ha caracterizado por contar con innumerables recursos naturales, los cuales no han sido aprovechados de la mejor manera, ya que algunas zonas han sido coartadas por la presencia de dicha guerrilla, trayendo como consecuencia pérdidas económicas, desplazamiento forzado, esterilización de tierras por cultivos ilícitos entre otras (Leiteritz, Nasi, y Rettberg, 2009).
El sector agroindustrial colombiano tiene alta importancia para garantizar unas condiciones adecuadas en la seguridad alimentaria de la población. En este sentido, su organización interna, así como su logística externa es de vital importancia. A diferencia de los problemas durante el conflicto armado, el panorama percibido sobre el posconflicto es positivo, según algunas investigaciones. Ruiz, Galeano y Gil (2015) analizan el posible comportamiento de variables relacionadas con flujos financieros y comerciales económicos del posconflicto en Colombia. Argumentan que el conflicto y los grupos armados ilegales han generado grandes pérdidas económicas, ambientales y humanas. Proponen en su trabajo un modelo prospectivo con tres escenarios —pesimista, neutral y optimista— en los que se evidencian percepciones de efectos financieros positivos en los cinco años posteriores al conflicto, por ejemplo, en índices como la balanza de bienes y servicios, el comercio, el riesgo país, la inversión extranjera directa y una disminución del gasto militar con respecto al PIB.
Diversos artículos analizan los problemas económicos del sector agrícola. Nelson Castaño y María Cardona (2014) exponen los factores relativos a la inestabilidad de dicho sector en Colombia, encontrando un decrecimiento de la participación del sector respecto al PIB del país en los últimos años. Los autores proporcionan elementos que contribuyen a definir políticas de carácter público que promuevan el aumento de la inversión en el sector, de tal modo que se genere una atracción y eficiencia para dicha inversión como fuente de mejoramiento económico, de competitividad y sostenimiento, así como una búsqueda de condiciones de vida dignas para la población rural.
Marisol Valencia, Johana Tróchez, Juan Vanegas y Jorge Restrepo (2016) manifiestan que la falta de innovación tecnológica, la falta de apoyo para los productores y la pobreza —incluye violencia, cultivos ilícitos, entre otros— son algunas de las causas del deterioro de la solvencia financiera. Proponen una evaluación del índice Z Altman y estimaron un modelo lineal mixto, encontrando en los resultados más relevantes que existe un efecto de deterioro paulatino de la solvencia financiera del sector agroindustrial, principalmente del subsector bananero.
Manuel Pérez (2004) realizó un recuento histórico del proceso territorial en Colombia, resaltando las políticas de Estado relacionadas directamente al uso y tenencias de la tierra, así como las marcas que ha dejado el desarrollo en el medio rural del país. Como resultado, se encontró que las políticas en vez de generar mejor calidad de vida y bienestar de los pobladores rurales los han llevado a un sometimiento de escenarios en el que se evidencia un deterioro social, resaltando principalmente el abandono de las comunidades y los índices altos de analfabetismo.
Es evidente que el sector agroindustrial colombiano es de vital importancia para la salud y bienestar de la sociedad, el cual está directamente relacionado con el uso de la tierra y la comunidad rural que desafortunadamente ha sufrido las consecuencias de la violencia y el desplazamiento forzado derivados del conflicto armado, que merece atención y adecuadas políticas del Estado para el mejoramiento de la calidad de vida de sus pobladores, y para mejorar el crecimiento económico de dicha comunidad, en conexión directa con los proceso de la agroindustria colombiana. Lo anterior amerita el análisis de la problemática del conflicto en retrospectiva y la percepción de efectos del posconflicto.
El objetivo de este artículo es evaluar los impactos percibidos sobre el posconflicto para un subsector agroindustrial de la región antioqueña. Se propone, en primer lugar, realizar un análisis de aspectos positivos y negativos encontrados en la literatura, que a su vez faciliten la construcción de un formato de encuesta estructurada para ser aplicada a expertos empresariales del sector agroindustrial, haciendo uso del método Delphi, estudio que constituye una visión que corresponde a expertos y medianos y pequeños empresarios agroindustriales. En este método se propone preguntas usando retrospectiva en relación con el conflicto armado y prospectiva del posconflicto con la intención de visualizar los panoramas anteriores y posteriores a la firma del Acuerdo Final de Paz con las FARC, permitiendo una evaluación del posible impacto percibido por dicho sector.
1. Antecedentes
El 24 de noviembre de 2016 se firmó en Bogotá el Acuerdo Final de Paz entre las Fuerzas Armadas Revolucionarias de Colombia (FARC) y el Gobierno nacional, dándole continuidad a los puntos pactados en La Habana, Cuba, de los cuales el primero y uno de los más importantes es la política de desarrollo agrario integral que busca cerrar las brechas entre el mundo urbano y rural, mejorando la calidad de vida de los que habitan en el campo, teniendo en cuenta que en el país el 0,4% de la población es dueña del 46% del suelo colombiano, hay más de 6 millones de personas desplazadas por la violencia y hay por lo menos 8 millones de hectáreas despojadas (DANE, 2016). Sin embargo, existe incertidumbre frente a los resultados en materia económica y social que puede acarrear el posconflicto, en especial en los sectores de agroindustria, por parte de quienes han vivido directa o indirectamente actos violentos del conflicto en relación con los campesinos, quienes producen parte de su materia prima.
El gobierno colombiano ha organizado algunos lineamientos estratégicos para enfrentar el posconflicto y ha organizado direcciones en diferentes líneas estratégicas (Alta Consejería para el Posconflicto, s. f.):
Dirección para el Posconflicto.
Dirección para la Acción Integral contra Minas Antipersonal - Descontamina Colombia.
Dirección para la Sustitución de Cultivos Ilícitos.
Dirección de Inversión Privada para el Posconflicto.
Con los lineamientos de las direcciones señaladas, el gobierno colombiano ha propuesto algunas estrategias para enfrentar el posconflicto entre las que se destacan:
Acceso y uso de la tierra creando un fondo de tierras y distribuyéndolas para que más campesinos puedan ser propietarios. Estas resultarían de baldíos —terrenos que le pertenecen al Estado—, de tierras expropiadas por prácticas ilegales como el narcotráfico y de terrenos que eran reservas naturales, que en algunos casos serán gratis y en otros se darán a partir de créditos y subsidios.
Establecimiento de programas especiales de desarrollo con enfoque territorial.
Planes nacionales enfocados en infraestructura, productividad, desarrollo social y formalización laboral.
Sistema de seguridad alimentaria y nutricional.
El Gobierno creó el Fondo Colombia en Paz (Documento Conpes 3850), donde proponen tres lineamientos de trabajo en el marco del posconflicto: a) definición de un marco institucional de coordinación para la operación y financiación de la paz; b) mejorar la focalización geográfica y la priorización temática de inversiones públicas y cooperación internacional; y c) fortalecimiento del monitoreo, reporte y verificación del impacto de las acciones e inversiones realizadas.
1.1 Problemas del conflicto armado
Efraín Guerrero, Ángel Rojas, María Torres y Nubia Bourdon (2014) diseñaron un plan prospectivo y estratégico que permita el desarrollo agrario de las regiones colombianas a partir del posconflicto. Los investigadores encontraron que a pesar de que Colombia tiene un gran potencial agrícola y que este sector es de gran importancia para la economía, está en crisis. Abordan temas relacionados con el conflicto insurgente y el sector agrario en Colombia, el sector agrario en el posconflicto salvadoreño y guatemalteco, y tendencias mundiales. Dicha investigación aplica el método Delphi a través de cuestionarios realizados a expertos en el tema agrario y analizan divergencias y convergencias en relación con una serie de posturas que vuelven factible la toma de decisiones. Presentaron resultados tales como la importancia de la inversión en el sector agrario, conservación del medio ambiente y la controlada explotación de los recursos naturales; también se enfatiza en los hallazgos, que los actores con más participación e importancia en lo que al desarrollo del sector compete son indudablemente los campesinos, los cuales tienen que ser inherentes participes de cualquier proyecto pensado en el desarrollo de las actividades rurales, donde se identifica que los tres problemas en la aplicación del pensado plan prospectivo obedecen al modelo de explotación de recursos y bienes naturales, concentración de las tierras y la falta de inversión en el tema agrícola.
Aplicando la entrevista como herramienta para conocer los cambios sobre los usos del suelo de estos pobladores, Paola Acosta, Camila Martínez y Andrés Vásquez (2015) establecen implicaciones de cambio de los cultivos tradicionales como el café, como una estrategia asumida por los pobladores para permanecer en sus territorios con el deseo de hacer frente al problema por los conflictos territoriales, donde se resalta con gran magnitud la intervención de los grupos armados, así como diversos factores de tipo ambiental, los cuales contribuyeron a que los pobladores de las regiones estudiadas hayan sido desplazados de manera temporal o permanente de sus territorios. En este caso, aunque los pobladores adoptaron diferentes estrategias para evitar ser desplazados de sus territorios, la transformación de los mismos fue inevitable, principalmente en los usos del suelo, trayendo consigo serias implicaciones en el ecosistema, así como en los medios económicos como fuente de ingresos (Acosta et al., 2015).
1.2 Análisis del posconflicto y el sector rural en Colombia
Angelika Rettberg (2008) presenta los resultados de una investigación de la Universidad de los Andes y la ONG británica International Alert, afirmando que las empresas pierden oportunidades de negocio por el impacto del conflicto armado en el país. Se llegó a esta conclusión a partir de una muestra de 1 113 empresas de todos los sectores productivos en Bogotá, Cali, Medellín, Barranquilla, Bucaramanga y Pasto, destacando que el conflicto afecta la voluntad de aprovechamiento de nuevas oportunidades de negocio, principalmente en los sectores de la agricultura, la minería, la energía y el agua —fuentes de oportunidades para el país—, disminuyendo la inversión y afectando la capacidad de expansión de los negocios; además, que muy pocas empresas, aproximadamente el 4%, reconocen pagar extorsiones.
Valencia (2006) analiza los cambios en la economía a raíz del conflicto armado, afirmando que el conflicto afecta a los implicados, a la población civil, a los menores de edad e incluso a los países vecinos; mientras que Alderid Gutiérrez (2012) realizó la revisión de 123 textos sobre los procesos de paz en Colombia entre 1982 y 2009, y los sistematizó identificando los enfoques y estrategias de cada uno de los autores abordados. Su revisión está directamente relacionada con la experiencia de los autores como participantes del ámbito general del conflicto, así como las lecciones aprendidas en los diferentes procesos de paz, destacando algunas negociaciones que llegaron a exitoso término, con agendas restrictivas orientadas a la dejación de las armas, desmovilización y reinserción.
Por su parte, Dustin Gómez, Ehyder Barbosa y William Rojas (2015) realizaron una revisión de la política agraria, con bases de datos avaladas por Colciencias como también consultas en documentos de instituciones tanto de tipo privado como públicas basándose en una metodología de corte cualitativo, analítico y descriptivo encontrando que la academia debe generar mayores aportes en investigaciones que dinamicen el posconflicto como estrategia para generar un acercamiento entre lo rural y lo urbano buscando además que la política agraria facilite mejores prácticas para el sostenimiento de la justicia y la paz. Por otra parte, los autores expresan que la Ley de Víctimas y Restitución de Tierras1 contribuye a mejorar y resarcir a las víctimas del conflicto armado en Colombia y que dentro de los propósitos de la misma se encuentra ayudar a solventar las injusticias y reparar los daños ocasionados esto desde el punto de vista económico incentivando la generación de nuevos proyectos productivos.
Germán Valencia, Alderid Gutiérrez y Sandra Johansson (2012) presentan la evolución sobre los estudios de la paz negociados, especialmente en los conflictos armados internos a nivel mundial. Resumen los estudios de paz en la historia, señalan los esfuerzos de definición de la guerra y la paz, establecen las diferentes formas de llegar a la paz y las maneras en las cuales se han solucionado los conflictos en los últimos años y resumen la teoría y modelación de la paz como un proceso. Los autores mencionan algunos casos exitosos donde persisten los acuerdos de paz a través de la negociación como método de finalización de la guerra, por ejemplo, de las negociaciones llevadas a cabo en Europa. Señalan que poco más del 50% de los acuerdos firmados han tenido éxito y también América Latina donde la resolución de estos conflictos ha tenido un éxito aproximadamente en un 40%.
Además, Valencia et al. (2012) muestra cómo en procesos de conflicto extensos, las negociaciones influenciadas por terceros han generado buenos resultados, aumentando la probabilidad de llegar al éxito. Tal es el caso de las Naciones Unidas en su participación como mediador en guerras civiles posteriores a la Guerra Fría. Otros aspectos positivos señalan que darles participación en aspectos económicos o políticos pueden favorecer dichas negociaciones.
Existen ejemplos a nivel nacional que muestran posibilidades de éxito en cuanto a la firma del Acuerdo Final de Paz. Gabriel Jiménez (2014) busca identificar el papel que juegan las empresas multinacionales en la construcción de la paz y resolución del conflicto colombiano, encontrando que la mayor parte de las empresas que trabajan en proyectos de este tipo corresponden a grandes empresas colombianas, algunos encaminados a fundaciones y programas de inclusión laboral para los reinsertados y para víctimas.
Jarrison Martínez (2016) busca analizar las políticas públicas implementadas para la economía solidaria en Colombia, mediante la definición de la historia de política pública en la economía solidaria en pro de la construcción de la paz, y para lograrlo teniendo además una sociedad más democrática e incluyente, se requiere retomar el concepto de economía solidaria donde se incluyan la actual realidad social, económica y ambiental del país.
Gómez, Barbosa y Rojas (2015) abordan la diversidad del impacto del desplazamiento en la agricultura utilizando en su metodología un análisis cualitativo y cuantitativo. Los autores encuentran que los archivos judiciales en Colombia son una valiosa fuente de información, resaltando que la firma de un Acuerdo Final de Paz con los insurgentes se convierte en fuente de información para determinar el uso que los mismos les dieron a las tierras.
Juan David Gutiérrez (2014) analiza diferentes fuentes a través de estudios de caso, informes y entrevistas semiestructuradas, buscando formular las implicaciones acerca de cómo el Estado influye en las organizaciones involucradas y evaluar si las condiciones para generar el progreso de las mismas se cumplen actualmente en Colombia. El autor encuentra que los datos relacionados a las cooperativas agrícolas son muy limitados por la poca producción de la literatura y por la deficiencia en las fuentes de información pública, lo cual resalta la importancia del aporte de este trabajo, cuyas conclusiones se basan en la información de empresas de un subsector agroindustrial.
Tomando como referencia la investigación de Matthias Baumann y Tobias Kuemmerle (2015), en la cual se evalúa cómo los conflictos armados afectan a los sistemas de tierra y mediante una revisión literaria, encontraron que a pesar de que dichos conflictos se presentan frecuentemente, los estudios acerca del uso y las afectaciones de los sistemas de tierra son muy recientes en relación a las perturbaciones por esta causa, por ello la producción literaria de este tipo de estudios son muy escasos.
Finalmente, en lo referente al desplazamiento forzado, Claudia Martínez y Andrea Pérez, (2012) estudian la obligación del Estado colombiano respecto a la restitución de tierras, analizando la normatividad que regula la reparación integral de las víctimas desde el punto de vista de una metodología analítica, identificando los derechos adquiridos en la condición de desplazados, así como la normatividad anteriormente mencionada. Los autores encuentran que a la fecha de dicha investigación no existía un marco normativo especial que se encargara de regular los procedimientos, así como la responsabilidad y sanciones de aquellos funcionarios encargados de la atención a la población en esta condición vulnerable de desplazamiento que no cumplieran con sus correctas funciones; además, también se encontró que no existía una norma clara y aplicable en contra de los autores del desplazamiento que los obligara a restituir las tierras y reparar a sus víctimas.
De la revisión previa se encuentran diversos problemas del sector agrícola, adicionales a los derivados del conflicto armado, como el sobrecosto de fertilizantes, dificultades en el uso de las tierras, la falta de desarrollo rural y mala calidad de vida; además de falta de infraestructura necesaria para los procesos logísticos, falta de innovación y tecnología, falta de inversión y financiamiento, mala competitividad, entre otros aspectos que muestran una desaceleración del sector. Sin embargo, dentro de los problemas encontrados, son los generados por el conflicto armado los que provocan un mayor deterioro social en materia de seguridad y vulnerabilidad social. Por otro lado, de las perspectivas halladas frente a procesos de paz llevadas a cabo en otros países, logran visualizarse alrededor de 50% de casos de éxito, que dan alternativas para los procesos del país.
2. Metodología
La revisión documental permitió deducir los aspectos más importantes de la investigación, que se traducen en un cuestionario estructurado utilizando una encuesta para la recopilación de datos. La metodología seguida se basa en un enfoque cualitativo, o fase documental, seguido de uno cuantitativo (Rodríguez y Valldeoriola, 2012) con alcance descriptivo, basado en el método Delphi. Por ello la evaluación del impacto que tendría el posconflicto en las empresas del sector se realizará consultando con los expertos del sector agroindustrial, es decir, con las compañías en cuestión.
De acuerdo con Natalia Suárez (2012), el método Delphi es una técnica de recolección de información con expertos, que puede ser aplicado como métodos de prospectiva, analizando la evolución de los factores del entorno tecno-socio-económico y sus interacciones. Es un método de estructuración de un proceso de comunicación grupal, el cual es efectivo a la hora de permitir a un grupo de individuos, como un todo, tratar un problema complejo. La capacidad de predicción de la Delphi se basa en la utilización sistemática de un juicio intuitivo emitido por un grupo de expertos. La calidad de los resultados depende, sobre todo, del cuidado que se ponga en la elaboración del cuestionario y en la elección de los expertos consultados.
Durante la implementación del Delphi ningún experto conoce la identidad de los otros que componen el grupo de debate (Tabares, Velásquez y Valencia, 2014). Se deben realizar al menos dos iteraciones y realimentación controlada: La iteración se consigue al presentar varias veces el mismo cuestionario, consiguiendo que los expertos vayan conociendo los diferentes puntos y puedan ir modificando su opinión.
De acuerdo con Suárez (2012) las ventajas del método Delphi son:
Permite obtener información de puntos de vista sobre temas muy amplios o muy específicos.
El horizonte de análisis puede ser variado.
Permite la participación de un gran número de personas.
Ayuda a explorar de forma sistemática y objetiva problemas que requieren opinión cualificada.
Aminora los efectos negativos de las reuniones de grupo cara-cara.
Tras realizar las fases de este método se realizará un informe final, el cual ayudará en la toma de decisiones sobre el problema u objetivos planteados inicialmente (Suárez, 2012). El método Delphi permitirá realizar preguntas en retrospectiva sobre lo que fue el conflicto armado y sus efectos, y otras preguntas en prospectiva sobre la percepción del futuro del Acuerdo Final de Paz, lo cual facilitará la comparación y análisis del impacto percibido sobre el posconflicto en las empresas agroindustriales seleccionadas.
Los expertos son expertos y profesionales del subsector agroindustrial del procesamiento y conservación de frutas, legumbres, hortalizas y tubérculos de Medellín, a los cuales, de acuerdo con tiempo de experiencia en el mercado y nivel académico, se les atribuye una calificación de 0 a 5. Los expertos tuvieron una calificación entre 4,5 y 5, lo que indica que la mayoría son profesionales expertos.
Al realizar la primera ronda los expertos respondieron la encuesta y con base en los primeros resultados se hizo una síntesis que se les envió de nuevo y se realizó otra aplicación para obtener un consenso final y proceder con el análisis de los resultados.
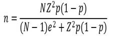
Se utilizó un censo, dado que el subsector de procesamiento y conservación de frutas, legumbres, hortalizas y tubérculos de Medellín está compuesto por dieciséis empresas (DANE, 2016), obteniendo una tasa de completitud de encuestas de 69% (once empresas), lo cual genera un error de 7% en la obtención de la muestra. El cálculo del tamaño de muestra se hace con la siguiente ecuación:

La población es 16, el nivel de confianza de 95% y un P estimado de 0,95, dado un consenso preliminar sobre afectación por el conflicto.
3. Resultados
Utilizando la metodología detallada durante el desarrollo del trabajo, específicamente denominado método Delphi, se da a conocer en esta sección los resultados obtenidos desde los puntos de vista retrospectivos y prospectivos, teniendo en cuenta un lapso de cinco años respectivamente. Además, se lleva a cabo el análisis del paralelo de dichas perspectivas.
La clasificación de las empresas encuestadas se divide en medianas y pequeñas empresas. La mayoría corresponden a pequeñas empresas con un porcentaje de 82%, y medianas con el 18%.
3.1 Aspectos negativos en los últimos cinco años
El 100% de las empresas consultadas indican que hubo un impacto negativo del conflicto armado durante los últimos cinco años. Es importante anotar que el único impacto negativo para las empresas no fue solo a partir del conflicto armado en los últimos cinco años, también señalaron a la reforma tributaria como un problema que los ha afectado. Esto implica una necesidad de intervención del Estado, creando estrategias para apoyar dichas empresas. De acuerdo con la Gráfica 1, se puede observar que el 100% de las empresas consideran que el conflicto armado ha sido factor de impacto negativo en las mismas, denotado en un promedio de afectación de 28%.

En cuanto a la pregunta: señale en cuáles de ellos se ha visto más afectada la empresa con relación al conflicto armado. Las 11 empresas encuestadas señalaron que la afectación más representativa son las ventas, seguido con 82% por el aumento de costos; también la inseguridad es un factor muy señalado, así como el precio de venta, la pérdida de clientes y así sucesivamente, como se observa en la Gráfica 2. Se aprecia que, al medir el grado de afectación, en promedio es más alta la opción todos los aspectos, seguido de los percances con proveedores y desaceleración del sector, lo cual repercute en problemas económicos del sector.

De la Gráfica 3 se destaca que el 100% de los expertos consultados consideran que el conflicto armado impedía que se diera mayor inversión extranjera en el país, con un porcentaje promedio de impedimento de 45%.

En la Gráfica 4 se pueden apreciar tres escenarios de posible impacto en las empresas durante los próximos cinco años. El primer aspecto o escenario corresponde a la firma del Acuerdo Final de Paz, donde 64% de los expertos indican un impacto positivo, mientras que el 36% restante manifiesta que no habrá variación. El segundo escenario hace alusión a la reforma tributaria, y 64% de los expertos señalan un impacto negativo, frente a 36% que argumentan que todo seguirá igual. En un tercer escenario se evaluó el impacto de los Tratados de Libre Comercio (TLC) para su empresa, a lo cual, un 27% de los expertos indican que tendrá un impacto positivo, frente a 9% negativo, y el 64% afirma que todo seguirá igual.

3.2 Percepción de beneficios con la firma del Acuerdo Final de Paz
La firma del Acuerdo Final de Paz traerá beneficios a las empresas, algunos de ellos pueden ser generación de empleo, mejora en la competitividad empresarial, crecimiento económico e inversión extranjera directa, permitiendo así un apalancamiento estructural al subsector (véase Gráfica 5). De acuerdo con la encuesta aplicada, 55% de los expertos afirman que ese beneficio será de tipo positivo con un grado de impacto promedio de 35%, mientras que el 45% restante asevera que todo seguirá igual y que, por consiguiente, no impacta dichos beneficios.

De acuerdo con la Gráfica 6, el mayor porcentaje de las empresas (73%) aseguran que mejorará la seguridad y, en general, todo el sector agroindustrial, con promedios de impacto positivo de 21% y 30%, respectivamente. 45% de los expertos indican como impacto positivo los siguientes aspectos: obtención de nuevos clientes, incremento en la rentabilidad y mejores condiciones de vida campesina, con promedios de 14%, 16% y 37% en su orden anterior, lo cual refleja una percepción de mejora de las condiciones de vida campesina. 36% de las empresas señalan una disminución de costos y precio de venta con promedios de 15% y 13%, lo cual repercute en que la rentabilidad empresarial puede ser mucho mejor, mientras que 30% auguran mejores beneficios con los proveedores, aumentos de la producción, crecimiento económico de la empresa y competitividad en el sector. Por otro lado, 9% de las empresas señalan impactos negativos en ventas, costos, obtención de nuevos clientes, aumento en la rentabilidad, entre otros, con promedios de impactos negativos inferiores a 5%, siendo estos últimos mucho más bajos que los positivos.

Se indagó si es posible encontrar un crecimiento de la inversión extranjera debido a la firma del Acuerdo Final de Paz o a la firma de acuerdos comerciales (véase Gráfica 7). El 73% de las empresas considera que ambas estrategias promoverán incentivos, mientras 27% de los participantes aseguran efecto negativo en dicha inversión. Lo anterior permite apreciar mayor percepción positiva derivada de ambas estrategias.

3.3 Percepción sobre estrategias propuestas
Uno de los aspectos del Acuerdo Final de Paz habla de la política de desarrollo agrario integral, el cual plantea como estrategias la construcción de vías terciarias, el acceso al crédito para campesinos, entre otros. En la Gráfica 8 se observa que 64% de los encuestados considera que estas acciones serán benéficas para la economía de su empresa, señalando un impacto promedio del 36%, mientras que las demás empresas (36%) no auguran beneficios y que, por ende, todo seguirá igual.

Otra de las estrategias del Gobierno que busca garantizar la seguridad de las zonas veredales, donde se encuentran los excombatientes de las FARC, requiere de minuciosos procesos de articulación entre militares y policías. En la encuesta aplicada se consultó acerca de lo favorable que pueden resultar dichas determinaciones por parte del Gobierno para apalancar el sector. En la Gráfica 9 se observa que 36% indican que traerán beneficios en un promedio de 19%, mientas que 64% afirma que no serán beneficiados y, a su vez, todo seguirá igual. Lo anterior indica que el Estado debe mejorar dicha estrategia y seguridad frente a la presencia de reinsertados en la zona.

En la Gráfica 10 se observa la percepción de los expertos acerca de los incentivos, como subsidios para empresas que sustituyan los cultivos ilícitos por cultivos legales. El 27% de las empresas considera que esta estrategia es beneficiosa, con un promedio de 20%, mientras que 73% restante considera que todo seguirá igual.

Haciendo un paralelo a partir de los aspectos retrospectivo, los cinco años antes del posconflicto, y prospectivo, los cinco años después de la firma del Acuerdo, se evidencia que en los cinco años previos las empresas mostraron haber tenido impactos negativos. Frente a los cinco años siguientes a la firma del Acuerdo Final de Paz, indican que el tema de la reforma tributaria continuará con impacto negativo, la firma del Acuerdo Final de Paz no es inherente a las leyes tributarias (véase Gráfica 11). Además, 27% de las empresas indican que habrá beneficio de los tratados comerciales, ya que puede existir la posibilidad de expansión de sus negocios con mayor competitividad y la seguridad para sus proveedores. Sin embargo, es mayor la percepción positiva de que la firma del Acuerdo Final de Paz traerá un impacto positivo a las empresas del subsector involucrado en la investigación, ya que 64% de los expertos afirman se verán impactados en un promedio de 46%.

De manera contundente, el 100% de las compañías encuestadas califican el conflicto armado como un aspecto negativo para la organización, con un impacto promedio de 28%, lo que se puede apreciar en la Gráfica 12, donde se ve en negativo el 100%, correspondiente a las empresas perjudicadas por el conflicto. Por otro lado, hay opiniones divididas con relación a la perspectiva del futuro, puesto que 55% afirma que vendrán cosas positivas tras la firma de la Paz, con un impacto promedio de 35%, mientras que 45% señala que todo seguirá igual y ninguno de los encuestados indican que se va a presentar impacto negativo en los siguientes cinco años.
En definitiva, el impacto promedio ascendería positivamente 63% tras pasar de uno negativo de -28%, derivado del conflicto armado en los cinco años previos, a 35% percibido como incremento por el Acuerdo Final de Paz en los siguientes cinco años, situación que traería consigo beneficios significativos a las organizaciones del sector agroindustrial evaluado.

Completo el método Delphi, es claro que todos los aspectos analizados por los encuestados reflejan una mejora a futuro. Por ejemplo, para citar los más relevantes, es factible promediar el crecimiento de las ventas en 44%, según lo definido por los expertos. Se llega a esta conclusión tras percibir dicho aumento en la Gráfica 13, pasando de un impacto negativo del -23% durante los 5 años previos a esperar uno positivo de 21% en los siguientes sesenta meses de la firma del Acuerdo Final de Paz. Asimismo, los costos y la rentabilidad se desplazarían positivamente 36%, después de estar en -21% y -20%, pasando a 15% y 16%, respectivamente.
La seguridad, que es un engrane vital para el buen funcionamiento del sector en general, crecería 31%, tras estar en -10% y culminando en 21%. También se observa que los precios de venta aumentarían, pasando de -19 % a 13%; aumentarían clientes en 28%, pasando de -14% a 14%. El promedio de afectación con los proveedores es de -36% y se percibe un impacto positivo de 10%, es decir, 46%. El impacto en la producción durante el conflicto pasaría de -22% a 10% en posconflicto, 32%. En promedio, las empresas decrecieron -29% durante el conflicto y se espera un crecimiento de 13% durante los siguientes cinco años de la firma del Acuerdo Final de Paz, es decir, un aumento de 42%. La competitividad del sector se redujo en -16% y se espera aumente en 10%, es decir, 26%. El subsector en general crecería 51% tras pasar de -21% a 30%, y la calidad de vida de los campesinos que trabajan en este sector aumentaría 62%, puesto que antes del conflicto había una afectación de -25% y se prevé que crezca a 37%.

La inversión extranjera es un factor que genera alta expectativa en Colombia tras la firma del Acuerdo Final de Paz, teniendo en cuenta todos los efectos económicos que traería al país y a sus ciudadanos. Para esta investigación, 73% de las organizaciones perciben que se mejorará en este aspecto, con un impacto que genera un aumento de 86% posterior al conflicto.
Definitivamente, el impacto general percibido por las empresas es positivo, lo cual se refleja fundamentalmente en las respuestas aportadas. Se hace evidente que para los cinco años posteriores a la firma del Acuerdo Final de Paz dichas empresas perciben incrementos en las ventas, seguridad, mayor competitividad, transporte, inversión extranjera directa, generación de empleo, entre otras variables que se espera presentarán un crecimiento significativo en beneficio del subsector agroindustrial, lo cual repercute en la economía del sector e indirectamente en la economía de la región.

Ambas investigaciones concuerdan en que hay un futuro optimista para las víctimas, y un ejemplo de ello es la percepción de la mejora en la calidad de vida de los habitantes en las zonas rurales afectadas por el conflicto armado.
Conclusiones
La empresa colombiana durante décadas ha sido golpeada por múltiples factores que le han restado competitividad, entre los cuales se encuentra el conflicto armado, el cual, además de la violencia, desplazamiento forzado y robos, también ha impactado negativamente el sector agroindustrial, como se manifestó durante el artículo, encontrando, a partir de la experiencia y percepción de expertos, afectaciones en sus ventas, rentabilidad, afectación de la comunidad productora, proveedores, inseguridad, entre otros aspectos señalados. Sin embargo, la percepción del posconflicto es positiva en general. El rubro más castigado por el conflicto ha sido las ventas, dado que todos los participantes indican que estas disminuyeron. Paralelamente, la prospectiva percibida para el posconflicto es que aumentarán las ventas y disminuirán los costos.
Ahora bien, en términos generales el futuro es optimista para la mayoría de empresarios, consideran que va a mejorar la seguridad en el ámbito rural, que habrá prosperidad y, finalmente, suponen que hay altas posibilidades de que la inversión extranjera se incentive.
Este estudio puede tener una visión alterna tras el plebiscito por la paz con las FARC, ya que no se tienen registros de un porcentaje de empresarios que votó por dicha consulta. En este trabajo se muestra la perspectiva del empresario, quien indica la cantidad de ventajas que tendría el rendimiento empresarial, la sostenibilidad y el impacto social de sus empleados, a partir de la firma del Acuerdo Final de Paz.
Las cadenas de suministro agroindustriales parten del transporte de materias primas, seguido a la producción o transformación del producto y del suministro final de productos terminados, por ello, las acciones, actividades, información y logística necesarias dependen mucho de factores externos. La agroindustria colombiana requiere una infraestructura vial adecuada, un bajo costo de peajes, combustible y seguridad en el campo, y vías para el suministro de alimentos de forma oportuna y con alta calidad, productos que son además de importancia primordial para la salud humana. Dichos aspectos logísticos también favorecen la exportación, aumentan la balanza comercial y, por ende, el ingreso per cápita del país.
Los modelos productivos agroindustriales venían siendo afectados por el conflicto armado en muchos aspectos como la consecución de las materias primas, el transporte y el bienestar de los trabajadores. El contraste de estos aspectos, de cara a los resultados del estudio del método Delphi, permiten inferir que el modelo de producción agroindustrial depende en gran medida de condiciones de bienestar del campesino, así como de seguridad en este y en las vías, aspectos viables con la firma del Acuerdo Final de Paz.
Otro aspecto económico fundamental es que la entrada en vigor de dicho acuerdo aumenta la credibilidad de las multinacionales para instalarse en el país, generando más empleo y posibilitando el incremento del flujo económico, favoreciendo el ingreso per cápita nacional.
El estudio tiene alta pertinencia en el contexto del posconflicto armado en Colombia, ya que en muchos estudios de opinión particulares del posconflicto no se ha acudido puntualmente a pequeños y medianos empresarios de la agroindustria. En este contexto, el estudio de opiniones de expertos bajo el método Delphi del área productiva de Antioquía, tras el plebiscito de la paz con las FARC, complementa otros estudios de opinión sobre los efectos del conflicto armado en el pasado y las condiciones que estos sectores económicos afectados por la violencia tienen sobre la reactivación en un futuro cercano. Teniendo en cuenta que en Antioquía ganó el NO a la firma de paz con las FARC en el 2016, este estudio y sus conclusiones permiten visualizar cómo, a pesar de la negativa al proceso de paz en términos electorales, se impone desde los pequeños y medianos productores y empresarios una visión positiva del proceso.
Referencias bibliográficas
1. Acosta Nates, Paola Andrea; Martínez Calderón, Camila Andrea y Vásquez Valencia, Andrés Felipe. (2015). Agromemoria en escenarios de postconflicto. Usos del suelo y café en Aguadas, Pensilvania y Samaná (Caldas Colombia). Cooperativismo & Desarrollo, 24 (108). Recuperado de https://revistas.ucc.edu.co/index.php/co/article/view/1263
2. Alta Consejería para el Posconflicto. (s. f.). Direcciones. Recuperado de http://www.posconflicto.gov.co/Paginas/posconflicto.aspx
3. Baumann, Matthias & Kuemmerle, Tobias. (2016). The Impacts of Warfare and Armed Conflict on Land Systems. Journal of Land Use Science, 11 (6), pp. 672-688. http://dx.doi.org/10.1080/1747423X.2016.1241317
4. Castaño Giraldo, Nelson E. y Cardona Gómez, María A. (2014). Factores determinantes en la inestabilidad del sector agrícola colombiano. En-Contexto, 2, pp. 91-107. Recuperado de http://ojs.tdea.edu.co/index.php/encontexto/article/view/137
5. Colombia. Congreso de la República. Ley 1448 (10 de junio de 2011). Por la cual se dictan medidas de atención, asistencia y reparación integral a las víctimas del conflicto armado interno y se dictan otras disposiciones. Recuperado de http://www.secretariasenado.gov.co/senado/basedoc/ley_1448_2011.html
6. Colombia. Consejo Nacional de Política Económica y Social. Documento Conpes 3850. (23 de noviembre de 2015). Fondo Colombia en paz. Recuperado de https://colaboracion.dnp.gov.co/CDT/Conpes/Econ%C3%B3micos/3850.pdf
7. Departamento Administrativo Nacional de Estadística (DANE) . (2016). 3er censo nacional agropecuario. Hay campo para todos. Bogotá, D. C.: DANE. Recuperado de https://www.dane.gov.co/files/images/foros/foro-de-entrega-de-resultados-y-cierre-3-censo-nacional-agropecuario/CNATomo2-Resultados.pdf
8. Gómez Rodríguez, Dustin Tahisin; Barbosa Pérez, Ehyder Mario y Rojas Velásquez, William Eduardo. (2015). Política agraria y posconflicto en Colombia. Inclusión & Desarrollo, 3 (1), pp. 74-82. Recuperado de http://biblioteca.uniminuto.edu/ojs/index.php/IYD/article/view/1208
9. Guerrero Sánchez, Efraín; Rojas Peña, Ángel Andrés; Torres, María Yolanda y Bourdon Rojas, Nubia Alexandra. (2014). Plan prospectivo para el desarrollo agrario en las regiones colombianas a partir del posconflicto al año 2025. El Ágora USB, 14 (2), pp. 397-417. Recuperado de http://www.scielo.org.co/scielo.php?script=sci_arttext&pid=S1657-80312014000200004
10. Gutiérrez Loaiza, Alderid. (2012). Negociaciones de paz en Colombia, 1982-2009. Un estado del arte. Estudios Políticos, 40, pp. 175-200. Recuperado de http://aprendeenlinea.udea.edu.co/revistas/index.php/estudiospoliticos/article/view/13210
11. Gutiérrez, Juan David. (2014). Smallholders’ Agricultural Cooperatives in Colombia: ¿Vehicles for Rural Development? Desarrollo y Sociedad, 73, pp. 219-271. Recuperado de https://revistas.uniandes.edu.co/doi/abs/10.13043/dys.73.6
12. Jiménez Peña, Gabriel. (2014). Multinacionales y responsabilidad social empresarial en la construcción de paz en Colombia. Cuadernos de Administración, 27 (48), pp. 67-96. Recuperado de http://revistas.javeriana.edu.co/index.php/cuadernos_admon/article/view/5972
13. Leiteritz, Ralf; Nasi, Carlo y Rettberg, Angelika. (2009). Para desvincular los recursos naturales del conflicto armado en Colombia. Recomendaciones para formuladores de política y activistas. Colombia Internacional, 70, pp. 215-229.
14. Martínez Sanabria, Claudia Margarita y Pérez Forero, Andrea Carolina. (2012). La restitución de tierras en Colombia expectativas y retos. Prolegómenos, 15 (29), pp. 111-127. Recuperado de https://revistas.unimilitar.edu.co/index.php/dere/article/view/2372
15. Martínez Collazos, Jarrison. (2016). Políticas públicas para la economía solidaria en Colombia, antecedentes y perspectivas en el posconflicto. Revesco. 127, pp. 174-197. Recuperado de http://revistas.ucm.es/index.php/REVE/article/view/54918
16. Pérez Martínez, Manuel Enrique. (2004). La conformación territorial en Colombia: entre el conflicto, el desarrollo y el destierro. Cuadernos de Desarrollo Rural, 51, pp. 62-90. Recuperado de http://revistas.javeriana.edu.co/index.php/desarrollorural/article/view/1272
17. Rettberg, Angelika. (2008). Explorando el dividendo de la paz: impactos del conflicto armado en el sector privado colombiano. Resultados de una encuesta nacional. Bogotá, D. C.: Universidad de los Andes.
18. Rodríguez Gómez, David D. y Valldeoriola Roquet, Jordi. (2012). Metodología de la investigación. Universidad del Valle de México. Recuperado de http://myuvmcollege.com/uploads/lectura2011-09/Metodolog%C3%ADa%20de%20investigaci%C3%B3n-2064.pdf
19. Ruiz Díaz, María; Galeano Raquejo, John y Gil Mateus, Edwin. (2015). Posconflicto colombiano y sus efectos económicos. CIFE, 17 (27), pp. 23-54. Recuperado de http://revistas.usantotomas.edu.co/index.php/cife/article/view/3210
20. Suárez Bustamante Figueroa, Natalia. (2012). ¿Qué es el método Delphi? [Mensaje en un blog]. Escuela de Organización Industrial. Recuperado de http://www.eoi.es/blogs/nataliasuarez-bustamante/2012/02/11/¿que-es-el-metodo-delphi/
21. Tabares, José; Velásquez, Carlos, y Valencia Cárdenas, Marisol. (2014). Técnica bayesiana de pronóstico para la demanda de energía en Colombia. Revista Facultad de Ciencias Universidad Nacional de Colombia, 3 (1), pp. 9-18.
23. Valencia Agudelo, Germán Darío. (2006). La economía frente al conflicto armado interno colombiano, 1990-2006. Perfil de Coyuntura Económica, 8, pp. 141-174. Recuperado de http://aprendeenlinea.udea.edu.co/revistas/index.php/coyuntura/article/view/2321
23. Valencia Agudelo, Germán Darío; Gutiérrez Loaiza, Alderid y Johansson, Sandra. (2012). Negociar la paz: una síntesis de los estudios sobre la resolución negociada de conflictos armados internos. Estudios Políticos, 40, pp. 149-174. Recuperado de http://aprendeenlinea.udea.edu.co/revistas/index.php/estudiospoliticos/article/view/13209
24. Valencia Cárdenas, Marisol; Tróchez González, Johana; Vanegas López, Juan Gabriel y Restrepo Morales, Jorge Aníbal. (2016). Modelo para el análisis de la quiebra financiera en PYMES agroindustriales Antioqueñas. Apuntes de Cenes, 35 (62), pp. 147-168. Recuperado de http://revistas.uptc.edu.co/index.php/cenes/article/view/4310/4307
Notas