Artículos
¿Hay ciclo político económico del gasto público en Colombia? Evidencia empírica para el periodo 1960-2016*
Is there a Political Economic Cycle of Public Spending in Colombia? Empirical Evidence for the Period 1960-2016
¿Hay ciclo político económico del gasto público en Colombia? Evidencia empírica para el periodo 1960-2016*
Estudios Políticos, núm. 63, pp. 210-241, 2022
Universidad de Antioquia
Recepción: 01 Febrero 2021
Aprobación: 01 Diciembre 2021
Resumen: Este artículo tiene como finalidad verificar para el gasto público de Colombia en el periodo entre 1960 y 2016 la existencia de ciclos políticos económicos. Para comprobar esto se evaluó la presencia de estos desde los diferentes ciclos planteados en la teoría: los ciclos partidistas y los ciclos oportunistas. Esto se llevó a cabo mediante varias técnicas econométricas: i) análisis del periodograma; ii) extracción del componente cíclico de la serie de tiempo; iii) modelos de componentes no observables (UCM); y iv) la estimación de un modelo Arima. Se encontró que no hay evidencia concluyente que sugiera la existencia de ciclos políticos económicos oportunistas o partidistas, pero a un nivel de confianza de 90% sí hay evidencia que sugiera que el gasto público en Colombia tiende más a un ciclo partidista donde los partidos conservadores han generado un mayor gasto que los partidos liberales; sin embargo, este resultado es contrario a lo que sugiere la teoría ideológica de los partidos Liberal y Conservador en Colombia.
Palabras clave: Política Económica, Gasto Público, Ciclos Políticos Económicos Oportunistas, Ciclos Políticos Económicos Partidistas, Colombia.
Abstract: The purpose of this work was to verify the existence of economic political cycles for public spending in Colombia in the period between 1960 and 2016. To verify this, the presence of the economic political cycles proposed in the theory, the partisan cycles and the opportunist cycles, were evaluated. This was carried out through various econometric techniques, more specifically, those related to the analysis of cycles in time series. It was found that there is no conclusive evidence that suggests the existence of opportunistic or partisan economic political cycles, but at a confidence level of 90%, there is evidence that suggests that public spending in Colombia tends to have a partisan cycle; however, this result is not in accordance with what the ideological theory of Colombian political parties suggests.
Keyword: Economic Politics, Public Spending, Opportunistic Political Economic Cycles, Partisan Political Economic Cycles, Colombia.
Introducción
La política y la economía constituyen dos disciplinas diferentes, pero altamente interdependientes. Los politólogos, economistas, antropólogos y otros científicos sociales han discutido sobre los efectos de una sobre la otra, ya sean los que corresponden a la influencia de la economía sobre la política o el influjo de la ciencia política en las interacciones económicas. Dentro del segundo enfoque, surge el concepto de política económica, que conforma todas las herramientas al alcance de los Estados para influir en la actividad económica de un país (Lessa, 1973).
Existen dos alternativas generales desde las cuales la política económica puede ejercerse: la política monetaria y la política fiscal. La primera, corresponde al monopolio que tiene el Estado sobre la oferta en el mercado monetario del país, determinando la cantidad de dinero circulante en la economía y, por lo tanto, determinando en gran medida la tasa de interés de equilibrio en los mercados financieros. La política fiscal, por su parte, constituye el ejercicio del cobro y recaudo de impuestos, y el gasto público que realizan los gobiernos para las diferentes funciones que deben cumplir y afectar la demanda en la economía. Es en esencia esta última variable, la del gasto, la que resulta objeto de la presente investigación.
En relación con el efecto de la política sobre la economía, se ha estudiado en la teoría de ambas disciplinas el hecho de que el relevo político de los mandatarios cada cierto periodo de tiempo, que normalmente se hace por mecanismos democráticos, tiene un efecto cíclico en la actividad económica. El momento en el que se realiza este relevo significa, según Andrés Escobar (1996), que se completa un ciclo político económico (CPE), y esto ocurre porque la política económica -que depende en gran medida del gobierno que detente el poder en el momento- está sujeta a cambios cuando se eligen nuevos mandatarios. Un ciclo político económico se da cuando existe un periodo de auge o de comportamiento superior a la tendencia en una o varias variables económicas por el mero hecho de ocurrencias y decisiones políticas (López, Gallón y Fresard, 2002).
Sobre los CPE se ha teorizado ampliamente. Dentro de la literatura se han diferenciado dos principales tipos de ciclos que vienen de diferentes teorías: los ciclos oportunistas y los ciclos partidistas.
En los ciclos oportunistas, formulados por William Nordhaus (1975), Assar Lindbeck (1976) y C. Duncan MacRae (1977), los políticos tienen una única ambición o motivación, y esta no es ideológica. Estos solo buscan perpetuar su poder en el siguiente periodo electoral, ya sea mediante una reelección o buscando que un político del mismo partido lo suceda en el periodo siguiente. Para esto, como afirma Isabela Ossa (2014), los políticos generan estímulos económicos o, en otras palabras, ejercen políticas económicas expansivas, en el año previo a las elecciones para obtener un mayor apoyo electoral.
Por su parte, en los ciclos partidistas, formulados por Douglas Hibbs (1977; 1987), sí hay una motivación ideológica y los gobernantes cambian sus planes de gobierno basándose en su posición ideológica. Algunos, bajo una visión intervencionista, tienden a aumentar el gasto en todo el periodo electoral y otros, bajo una ideología tendiente hacia un Estado mínimo, abogan por reducir el gasto público (Hibbs, 1977).
En el marco de esta investigación, se tomó en cuenta únicamente la injerencia de la política fiscal y no la política monetaria. Esto, porque con la Asamblea Nacional Constituyente (ANC) en 1991 que reformó la Constitución Política colombiana se estableció la independencia del Banco de la República del gobierno como emisor central y responsable de la política monetaria. Desde aquel año, el gobierno solo tiene la facultad de actuar en la economía por el medio fiscal, tanto desde el frente de los ingresos como de los gastos gubernamentales. El presente estudio se enfoca en la visión del gasto y, además, no toma en cuenta el ciclo económico a partir del análisis de la producción bruta, sino el ciclo del gasto público, pues constituye la variable donde realmente existe influencia directa del gobierno en la economía.
1. Evolución del gasto público en Colombia
Resulta necesario observar la evolución del gasto en el tiempo - variable de estudio representada en la gráfica 2 y en la tabla 2-. La gráfica 2 muestra el gasto público del Gobierno Nacional Central (GNC) como porcentaje del producto interno bruto (PIB) en el periodo 1960-2016, debido a que constituye un periodo de tiempo más extenso que el utilizado en otros estudios y porque, al representar una muestra más grande de años, permite también una mejor estimación de los ciclos del gasto. En este periodo se observan tres etapas clave. La primera, el periodo 1960-1993, en el que se presentó una leve tendencia creciente de 6,4% a 10% de gasto como porcentaje del PIB. Esto se vio determinado, como afirma Mireya Bermeo (2014), principalmente por una tendencia general de la mayoría de gobiernos latinoamericanos de aumentar el gasto para tener una mayor intervención en la economía, especialmente con mayor inversión, siguiendo un modelo fiscal keynesiano.
La segunda etapa fue entre 1994-1999, en la que el gasto público se incrementó mucho y de forma muy rápida, de 10% a 23% del PIB. Esto se explica, como lo afirma Bermeo (2014), por el hecho histórico de la Asamblea Nacional Constituyente de 1991. La nueva constitución le asignó al gobierno labores que antes no tenía y lo hizo pasar de ser simplemente un planificador central a ser también un distribuidor de recursos a otras autoridades, con el fin de descentralizar el gasto. Esta reforma constitucional implementó instituciones como el Sistema General de Participaciones (SGP), el cual requirió mayor capacidad estatal para asignar recursos a los distintos departamentos, distritos y municipios; también estableció la obligatoriedad en el cumplimiento del Estado Social de Derecho, el cual requería la asignación de recursos para la salud, la educación y la protección social; y estableció instituciones como la Corte Constitucional. Todas estas medidas, generadoras de confianza inversionista, obligaron al establecimiento de un gobierno mucho más robusto.
Por último, hubo una etapa entre 2000 y 2016 que comenzó con una caída abrupta y grande del gasto, que pasó de 23% a 17% del PIB por el hecho de la crisis económica de 1999, la cual no solo redujo ostensiblemente los ingresos del gobierno, sino que lo comprometió con una mayor responsabilidad fiscal. Luego de eso, el gasto se mantuvo relativamente constante hasta 2008, año desde el cual volvió a aumentar paulatinamente, en parte por mayores ingresos del Estado debido a reformas tributarias y a los altos precios del petróleo; y, por otra parte, debido al mayor compromiso del gobierno en programas sociales.
2. Justificación del estudio
Tomando en cuenta las consideraciones anteriores, se procedió a analizar el componente cíclico del gasto público del GNC, es decir, las desviaciones por encima o por debajo de la tendencia, para observar si coincide con el ciclo político de los periodos presidenciales y ver si existe evidencia de un ciclo político del gasto en Colombia, ya sea por un hecho de ciclos oportunistas o partidistas. Se modelaron, entonces, el gasto público y su componente cíclico, tomando en cuenta las posibles variables exógenas que pueden influir en estos (véase más adelante Variables de control), adicionando el efecto de la Constitución de 1991 y el hecho de la crisis económica en 1999.
La motivación principal, bajo la cual radica la importancia de este estudio, es la escasa literatura empírica sobre los CPE en Colombia. De los pocos estudios acerca de este tema, como el de Isabela Ossa (2014), se han concentrado en un enfoque cualitativo desde la disciplina de las ciencias políticas, otros tienen una vigencia limitada, como los de Andrés Escobar (1996), Mauricio López, Santiago Gallón y Christian Fresard (2002) y Alejandro Torres (2014), no tienen en cuenta los efectos de exogeneidades sobre el gasto, tal como otras variables, el efecto de la ANC en 1991 y la crisis de 1999.
Por otro lado, los estudios se concentraron en la modelación del gasto (López, Gallón y Fresardl, 2002; Torres, 2014) o del déficit fiscal (Escobar, 1996), sin observar realmente los efectos que existen únicamente sobre el componente cíclico del gasto. Así, el presente estudio pretende observar los efectos de las políticas sobre el componente cíclico del gasto, para contrastar con la teoría si existe evidencia de que los gobernantes son oportunistas y generan ciclos expansivos en los años preelectorales, si se dejan guiar por la ideología de su partido o si no existe evidencia de alguno de los dos tipos de ciclos.
Además, todos los estudios cuantitativos analizan el CPE a partir de los modelos autorregresivos integrados de media móvil (Arima), planteados metodológicamente por G. E. P. Box y G. M. Jenkins (1973) y ninguno utiliza otros enfoques metodológicos. El estudio se desarrolló bajo el análisis cuantitativo de los CPE para Colombia, con un periodo de estudio más amplio, haciendo uso de variables exógenas y estimando la serie del ciclo del gasto mediante el filtro de Robert Hodrick y Edward Prescott (1980). Esta se modeló teniendo en cuenta la metodología Arima, en la cual se evidenciaron los tipos de CPE que hay en la teoría.
Por último, se realizó un análisis alterno a partir de otros dos enfoques metodológicos: el análisis espectral en el dominio de la frecuencia para identificar los ciclos y la modelación de la serie a partir de los modelos de componentes no observables para identificar el periodo del ciclo del gasto y el tipo de tendencia que sigue la serie.
3. Marco teórico
El marco conceptual del estudio se abordó bajo el entorno de los ciclos políticos económicos. Un ciclo en series de tiempo corresponde a un fenómeno que ocurre de forma relativamente recurrente cada cierto periodo de tiempo. Los ciclos económicos, según Bennett McCallum (1988), corresponden a las fluctuaciones de la actividad económica de un país alrededor de su tendencia de largo plazo. Ya hablando específicamente de los CPE, que surgen del debate teórico de la relación entre la política y la economía, Escobar (1996) afirma que un CPE se cumple cuando, por el hecho de un relevo de gobierno en los periodos electorales, acontecen hechos recurrentes en las fluctuaciones de la actividad económica en esos mismos periodos.
Como se mencionó anteriormente, se han identificado en la teoría los ciclos oportunistas y los ciclos partidistas. En los primeros se afirma que la motivación de los gobernantes es únicamente mantener o perpetuar su poder en el tiempo y por eso gastan más o generan un ciclo expansivo un año antes del periodo electoral (Nordhaus, 1975; Lindbeck, 1976; MacRae, 1977). En los ciclos partidistas se afirma que los gobernantes gastan de acuerdo con su ideología y se generan los ciclos cuando hay un cambio de partido en el gobierno (Hibbs, 1977).
Para los ciclos oportunistas se desarrollaron modelos de expectativas adaptativas1 para explicar los CPE. En estos, los gobiernos tienen una función de utilidad que lo único que toman en cuenta son los votos de los individuos. Los individuos, por su parte, valoran los ciclos expansivos que son generados por las sorpresas inflacionarias, es decir, valoran el hecho de que el gobierno genere un gasto público por encima del nivel tendencial que estaban esperando en un inicio. Estas sorpresas solo se pueden generar porque los individuos tienen expectativas adaptativas y asumen que la inflación del periodo anterior se mantendrá en el siguiente. La forma básica de estos modelos es la siguiente:




Donde (1) representa el ciclo determinado por la sorpresa inflacionaria; (2) determina las expectativas adaptativas de los individuos; (3) representa la utilidad de los individuos, la cual depende positiva y principalmente del ciclo; y (4) representa la utilidad de los gobernantes, la cual está en función de los votantes.
Por el lado de los ciclos partidistas, también se asume que los individuos no son racionales. En estos modelos se mantienen las ecuaciones (1) y (2) de los ciclos oportunistas y varían las ecuaciones (3) y (4). Ahora, los gobernantes tienen una función de utilidad que depende de la sorpresa inflacionaria que generan de acuerdo con esa ideología y los individuos tienen una función de utilidad que también depende de sus preferencias ideológicas:




Donde (1) y (2) se mantienen; (5) representa la utilidad de los individuos, la cual puede ser diferente dependiendo de su preferencia ideológica, ya sea de corte liberal (I), moderado (M) o conservador (D); y (6) representa la utilidad generada para los gobernantes por el hecho de aplicar una política económica de acuerdo con su ideología, donde:

Es decir, los votantes de corte liberal valoran más las fases expansivas del ciclo, por lo que privilegian políticas procíclicas, y los votantes de derecha valoran una política más conservadora en el comportamiento cíclico del gasto.
Estos modelos han sido criticados ampliamente por el hecho de su suposición de la existencia de expectativas adaptativas y no racionales en los individuos. Si los individuos tuvieran expectativas racionales no existiría sorpresa inflacionaria porque podrían prever la inflación en el periodo siguiente y así los gobiernos no tendrían posibilidad de actuar generando ciclos. Para solucionar esta discusión teórica, varios autores han optado por hacer una suposición menos fuerte.
Para el caso de los ciclos oportunistas con expectativas racionales (Rogoff y Siebert, 1988; Rogoff, 1994; Persson y Tabellini, 1999) se plantean modelos alternativos a los que suponen expectativas adaptativas. En estos se asume que existen asimetrías de información entre los gobernantes y los votantes, por lo cual los individuos no pueden prever con total certeza las políticas fiscales y monetarias de los gobiernos. Frente a estos, Torres (2014), en un análisis del ciclo del gasto público de 1926 a 2010, encuentra que no existe evidencia alguna que indique la existencia de ciclos oportunistas. En general, los periodos previos a las elecciones no tienen un gasto significativamente mayor que los otros periodos.
En el caso de los ciclos partidistas con expectativas racionales (Alesina, 1987; Alesina y Sachs, 1988; Alogoskoufis, 1992; Berlemann y Markwardt, 2006) se parte del supuesto de que los votantes no conocen quién será el gobernante en el periodo siguiente, pues el resultado de las elecciones es incierto. Así, ellos analizan la probabilidad de que gane el gobernante de su ideología preferida y debido a esto se produce una sorpresa inflacionaria que genera un ciclo; también por el hecho de que existe una asimetría en la información entre los resultados electorales y la decisión de los votantes.

En la Gráfica 1 se hace referencia a las dos etapas en las que se divide la modelación y el análisis de los ciclos políticos económicos, siendo ambas etapas similares en cuanto a la tipología de ciclos en los que se dividen -oportunistas y partidistas- y, sin embargo, diferentes en cuanto a la estructura que les soporta. Por un lado, entre 1970 y 1980 se evidencia que dominaron los modelos basados en expectativas adaptativas en los que se concibe que los individuos basan su comportamiento en el uso de información pasada. No obstante, a partir de 1980 se introdujo el concepto de expectativas racionales, supuesto bajo el cual los individuos no solo consideran información pasada para soportar sus decisiones, sino que también tienen en cuenta información acerca de anuncios sobre el futuro.
El presente estudio toma en cuenta estas concepciones teóricas para analizar de forma empírica si existe un CPE en Colombia. Se pretende observar si el ciclo del gasto público tiene la forma de un ciclo oportunista o un ciclo partidista, o si no existe evidencia de un CPE a partir de estas dos concepciones. Para el primero, se evalúa si existe evidencia de un mayor gasto por encima de la tendencia en el periodo previo a las elecciones, y para observar los ciclos partidistas se analiza si existe diferencia significativa entre las decisiones de gasto de partidos de corte liberal con respecto a sus contrapartes de corte conservador.
Para justificar el análisis del ciclo partidista entre conservadores y liberales cabe anotar que existen diferencias ideológicas idiosincráticas entre ambos partidos (Escobar, 1996). Por lo tanto, y teniendo en cuenta la diversidad de partidos políticos existentes en Colombia en los últimos años, se simplifica y se parte del supuesto de la clasificación entre conservadores y liberales (véase Tabla 1).

En efecto, estas diferencias entre los dos partidos marcan, en teoría, un Partido Liberal con mayor intervención en la economía con el fin de realizar un mayor gasto social y un Partido Conservador que aboga más por la libertad económica y la reducción del gasto. Esta premisa se analiza empíricamente para ver si cumple con la lógica teórica. Cabe anotar que desde 2002, en el periodo presidencial de Álvaro Uribe Vélez, no ha habido presidentes de los partidos Liberal o Conservador, sino de partidos independientes. Dado el corte ideológico mostrado por los dos presidentes que han detentado el poder desde ese momento, se denota al presidente Uribe como uno de corte conservador y al presidente Juan Manuel Santos como uno Liberal.
Escobar (1996) desarrolló un análisis empírico en el que evaluó la evidencia de ciclos partidistas sobre el ciclo del déficit fiscal (Hibbs, 1977; 1987) y el partidista (Alesina, 1988; Nordhaus, 1975). Allí encontró que los gobiernos liberales han tenido, con una significancia mayor a 95%, un menor déficit fiscal que los partidos conservadores. No obstante, desde los ciclos oportunistas, no existe evidencia de desviaciones significativas en el gasto previas al periodo electoral.
Por último, resulta importante resaltar las corrientes de gasto en las que pueden incurrir los gobiernos para inducir a los votantes a que los sigan en el contexto pre-electoral. Existe evidencia de que realizar gastos intensivos en vivienda, salud y transferencias sociales conlleva a que los votantes poco activos sigan, en mayor medida, a los gobiernos de turno (O’Toole y Strobl, 1995). De manera similar, se ha encontrado que los votantes de diferentes zonas y sistemas políticos tienden a premiar gobiernos más proclives a dar transferencias monetarias a la población, condicional a la corriente política predominante en sus respectivas zonas-regiones (Milesi-Ferretti, Perotti y Rostagno, 2002). Finalmente, se ha encontrado evidencia, a partir del análisis del comportamiento del gasto en diferentes países, de que las inversiones públicas en salarios y subsidios en años preelectorales generan un mayor apoyo por parte de la población votante (Vergne, 2009). Esta evidencia es sustancialmente significativa, puesto que enfatizar en las tipologías de gasto en las que pueden incurrir los gobiernos en años preelectorales contribuye a dar contexto a los hallazgos obtenidos en el presente trabajo.
4. Marco metodológico
Como se mencionó anteriormente, los enfoques metodológicos a utilizar para la evaluación de la existencia efectiva de un CPE enfocado en el gasto para el caso colombiano se lleva a cabo mediante cuatro metodologías: la primera se centra en el análisis del periodograma; la segunda en el uso del filtro de Hodrick-Prescott para extraer el componente cíclico de la serie de tiempo de gasto público en Colombia y de esa manera evaluarlo individualmente; la tercera metodología está soportada en los denominados modelos de componentes no observables (UCM); adicional a esto, se lleva a cabo la estimación del modelo Arima, cuyas variables sean las determinantes que mejor describen el comportamiento del ciclo del gasto, en el caso de que dicho ciclo exista.
El uso del periodograma remite, básicamente, a la representación gráfica de la serie en el dominio de la frecuencia y proviene del análisis espectral de una serie de tiempo: «análisis espectral es el nombre dado a los métodos que estiman la función de densidad espectral de una serie de tiempo dada» (Chatfield, 2003, pp. 121-145), es decir, la estimación del espectro sobre el rango completo de frecuencias de la serie de tiempo, buscando así poder establecer la presencia de ciclos dentro de dicha serie de tiempo. Este tipo de análisis no solo se aplica para el análisis del comportamiento de series económicas, sino que es ampliamente aplicado por científicos de disciplinas que van desde la ingeniería y la física hasta la meteorología. El análisis espectral es esencialmente una transformación del análisis de Fourier en busca de hacerlo más adecuado para funciones de tiempo estocásticas más que determinísticas, resultando en la representación de una serie de tiempo mediante la suma infinita de senos y cosenos. En miras de enfatizar la idea del periodograma y su interpretación, «el periodograma mide aportaciones a la varianza total de la serie de componentes periódicos de una frecuencia determinada, si el periodograma presenta un “pico” en una frecuencia, indica que dicha frecuencia tiene mayor “importancia” dentro de la serie que el resto» (Bidegain y Diaz, 2011).
Asimismo, una estrategia también utilizada para enfocarse en el ciclo de una serie de tiempo y la posibilitación de su análisis es el filtro de Hodrick-Prescott, el cual es una herramienta útil a la hora de estimar el componente cíclico de una serie de tiempo, pese a resultar estimando el componente tendencial de la serie. Su diferencia con el periodograma es sustancial. Mientras el periodograma se enfoca en proveer una ilustración del comportamiento de la serie a diferentes frecuencias, el filtro de Hodrick- Prescott enfatiza en «filtrar» dicho componente cíclico de la serie, es decir, lo aísla generando una variable alterna que le contiene. De manera formal, el filtro HP estima la tendencia de la serie y se representa como:


Donde γτ es el valor que toma la serie de tiempo en cada periodo τ; ττ representa la tendencia de la serie en el periodo τ, y de manera homóloga Cτ representa el ciclo en el que incurre la serie en el periodo τ; λ es una constante que determina la suavidad de la tendencia; K es una matriz de tamaño (τ-2) x τ y contiene los escalares producto de la doble diferenciación de ττ.
La formulación (1) muestra el problema de optimización planteado por Hodrick y Prescott (1997) mediante el cual se busca estimar el componente cíclico de la serie. La formulación (2) muestra el resultado de dichas condiciones que satisfacen los supuestos planteados y que funciona como un estimador de la tendencia de la serie, brindando así un elemento crucial para la obtención de su ciclo, puesto que este puede entenderse como la diferencia entre la serie y su tendencia.
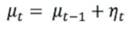
Ahora bien, tratando la metodología de los UCM, las series de tiempo tienen características intrínsecas en su estructura que tienen una naturaleza no observable, es decir, hacen parte de la composición misma de la dinámica de la serie en cuestión. De acuerdo con las formulaciones de Andrew Harvey (1989), un modelo de componentes no observables descompone una serie de tiempo en su tendencia, su ciclo y su estacionalidad de la siguiente forma:

Donde µτ representa el componente tendencial de γτ; ψτ representa el componente cíclico de γτ; ϕτ representa el componente estacional de γτ; βχiτ es un vector que incluye el efecto las variables exógenas i en el periodo τ sobre γτ; por último, ετ se define como el valor que toma el componente irregular de γτ en el periodo τ.
Adicionalmente, Harvey (1989) deriva un modelo estocástico que puede usarse para la estimación del componente cíclico, así como la tendencia que puede ser determinística o estocástica, y la estacionalidad. Componentes que resultan intrínsecos a γτ . Asimismo, el ciclo se representa como:

Donde ψτ y ψιτ denotan el valor del ciclo en el periodo τ y una variable que aparece por construcción para formar ψτ , respectivamente; ρ es un factor de amortiguación menor a 1 y mayor a 0; λc es la frecuencia del ciclo en radianes; kτ y kιτ son dos perturbaciones que se asumen como ruido blanco. De acuerdo con Andrew Harvey y Thomas Trimbur (2003), el componente cíclico puede ser de orden 1, 2 o 3, y la formalización de este cambia dependiendo de dicho orden. Más adelante se detalla más a fondo la aplicabilidad de esta idea sobre la formalización del ciclo.
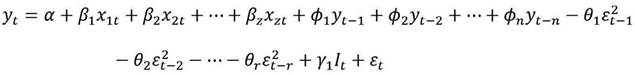
Por otra parte, los procesos Arima buscan modelar una serie de tiempo a partir de sus componentes autorregresivos y de media móvil conjuntamente, añadiendo a ello variables exógenas, denominados modelos Arimax. De acuerdo con Harvey (1989) , los modelos Arima son necesarios, dado que en ocasiones el polinomio característico del componente autorregresivo suele no caer fuera del círculo unitario, ocasionando la no estacionariedad de la serie a modelar. Los modelos Arima surgen como una alternativa capaz de corregir el comportamiento no estacionario de una serie de tiempo y mediante la suposición de que la serie en cuestión no estacionaria sigue un proceso estacionario ARMA después de haberse diferenciado. Los modelos Arima pueden definirse como procesos autorregresivos-media móvil y que cuentan con diferenciación de la serie en cuestión, y se pueden escribir como:

Donde, γτ es la serie de tiempo a estimar, χιτ comprende las variables exógenas que explican a γτ , γτ-η comprende los rezagos de la variable endógena que componen el factor autorregresivo del modelo; ε2τ-r comprende los factores que componen la sección media móvil del modelo; Iτ hace referencia a una intervención sobre γτ ocurrida en el periodo τ; ετ es el término de error estocástico que se asume sigue una distribución normal y es ruido blanco.
5. Metodología
El presente trabajo consta de cuatro metodologías generales para analizar la existencia y el tipo de CPE en Colombia: el uso del análisis espectral por medio del periodograma, la estimación del ciclo por el filtro de Hodrick-Prescott, la estimación del ciclo por el método Arima y la estimación del gasto por modelos de componentes no observables (UCM). El análisis se realiza de la siguiente forma:
Primero, el componente cíclico por medio del filtro de Hodrick- Prescott estima la tendencia para obtener la serie del componente cíclico del gasto.
El análisis espectral de esa serie por medio del periodograma para obtener evidencia de la posible duración periódica del ciclo.
La misma serie del ciclo se estima por el método Arima con exogeneidades para observar si existe evidencia de que hay un ciclo oportunista o un ciclo partidista.
Y por último, con el fin de obtener más robustez con respecto al tipo de ciclo y a la duración del ciclo en el país, se estima la serie del gasto total mediante modelos de componentes no observables (UCM) con las exogeneidades.
Para realizar todo esto, se toma como serie para estimar el gasto público del GNC como porcentaje del PIB, con el fin de controlar esta variable por la inflación y por el hecho del crecimiento real del PIB, y que realmente recoja las decisiones de gasto como una medida de tamaño del Estado. Los datos, tomados del Banco Mundial (s. f.), son calculados como el componente residual del PIB y son datos anuales entre 1960 y 2016.
Para la estimación de las series del gasto y el ciclo del gasto se toman las variables exógenas de control, otras correspondientes a hipótesis de intervenciones y las correspondientes a comprobar el tipo de ciclo - oportunista o partidista-, las cuales se presentan a continuación:
5.1 Dummies de intervenciones
ANC: esta es una dummy que toma el valor de 1 en el periodo 1994- 1998 y 0 en el resto de los años. Esto, porque en aquel año y a causa de la Asamblea Nacional Constituyente (ANC) se produjo un choque significativo -probado con el test de Chow de cambio estructural de tendencia- en el gasto público como porcentaje del PIB.
Crisis: esta dummy toma el valor de 1 en el 2000 y 0 en el resto. De igual forma, se probó el hecho de que en aquel año se hubiera generado un cambio estructural con el test de Chow.2
5.2 Variables del tipo de ciclo
Ciclo oportunista: se creó una variable dummy que toma el valor de 1 en el tercer periodo de mandato del presidente y 0 en los otros tres años de mandato -uno, dos y cuatro-. Esto, para ver si hay evidencia de que los gobernantes generan un ciclo expansivo de gasto un año antes del periodo electoral, tal como lo afirma la teoría. Esta variable se denomina «Periodo_3».
Ciclo partidista: se creó una variable denominada «Liberal», la cual toma el valor de 1 si el gobernante es del Partido Liberal o tiene un corte ideológico liberal. Esto, con el fin de ver si existe una diferencia significativa en la generación de ciclos en el gasto por el hecho ideológico.
5.3 Variables de control
Frente nacional: es una variable dummy que toma el valor de 1 para el periodo 1960-1970 y 0 para el resto. Esto se hizo por el hecho de que en el periodo del Frente Nacional -16 años en los que el partido Liberal y Conservador se alternaron el poder cada cuatro años- no había incentivos de los gobernantes para generar ciclos oportunistas para mantenerse en el poder, pues claramente no lo harían. A pesar de que el Frente Nacional fue para todo el periodo 1958-1974, solo se controló hasta 1970, porque el último gobierno de este periodo, el del presidente conservador Misael Pastrana Borrero sí tuvo la posibilidad de mantener a su partido en el periodo siguiente.
5.4 Modelos
Ahora, los modelos que se utilizaron, uno para cada tipo de ciclo, fueron:
5.4.1 Para eL cicLo oportunista
- Arima:

- UCM:



5.4.2 Para el ciclo partidista
Arima:

UCM:



6. Resultados
Previo a presentar los resultados de las metodologías para la evidencia de CPE y ciclos políticos del gasto en Colombia, es importante hacer un análisis descriptivo del comportamiento del gasto público realizado por los gobiernos durante sus periodos presidenciales de cuatro años. La Tabla 2 muestra el gasto público del GNC como porcentaje del PIB para cada presidente en cada uno de los cuatro años de su mandato. A priori, al calcular el promedio del gasto para todos los presidentes en cada uno de los periodos del mandato, se observan pequeñas diferencias en las decisiones de política fiscal. El último año de mandato es en el que, en promedio, se gastó más para todo el periodo de estudio y el segundo año en el que menos; el tercer año, el que en la teoría de los ciclos oportunistas debería ser el de mayor gasto por el hecho de ser el año preelectoral, ha sido el segundo año en el que más se ha gastado.

6.1 Filtro de Hodrick-Prescott
Se realizó el filtro de Hodrick-Prescott para, primero, estimar la tendencia de la serie de gasto del GNC, y luego, con la diferencia entre la serie original y la tendencia estimado, se calculó el componente cíclico. Este muestra la diferencia con la tendencia de largo plazo, es positivo cuando hay un ciclo expansivo -se gasta más que la tendencia- y negativo cuando se da un ciclo recesivo.
Las Gráficas 3 y 2 muestran el comportamiento del ciclo y la diferencia de la serie con la tendencia, respectivamente; además, las líneas rojas denotan el inicio y el fin de los periodos presidenciales cada cuatro años. A simple vista, es difícil notar si existe un ciclo cada cuatro años, lo que mostraría un ciclo político, o ver si los gobiernos llegan a un pico en el tercer año del periodo presidencial, lo que denotaría un ciclo político oportunista.


6.2 Análisis espectral: en el dominio de la frecuencia
Ahora, para comenzar a hacer un análisis del ciclo político, que con el análisis gráfico del componente cíclico del filtro H-P es difícil de observar, se llevó a cabo la estimación del periodograma del ciclo del gasto que convierte el análisis habitual en el dominio del tiempo a un análisis espectral en el dominio de la frecuencia. En este, las frecuencias que muestran picos altos de densidad espectral dan indicios de que en aquella serie existe un ciclo con esa frecuencia específicas. Si hay varios picos, esto muestra indicios de que existe evidencia de varios ciclos en la serie, los cuales pueden ser de corto o de largo plazo.
La Gráfica 4 muestra el periodograma del ciclo del gasto, resaltando los cuatro principales picos que se identificaron. Las frecuencias de estos picos corresponden indirectamente al periodo de tiempo que demora un ciclo en completarse.3 Entonces, se identificó la existencia de ciclos del gasto de largo plazo entre doce y quince años, o entre cada tres y cuatro periodos presidenciales; además de evidencia de ciclos de mediano plazo de ocho o nueve años -dos periodos presidenciales-; y de ciclos de un periodo presidencial.

6.3 Ciclos oportunistas y partidistas
Aún sin constatar que existe evidencia para afirmar que en Colombia hay ciclos políticos del gasto, se decidió hacer un análisis descriptivo de la posible aplicación de ciclos oportunistas a partir de los presidentes a lo largo del periodo 1960-2016. El Cuadro 1 muestra en la columna izquierda aquellos presidentes que en su tercer periodo presidencial realizaron un gasto público por encima de la tendencia de largo plazo de la serie, es decir, si para su gobierno el componente cíclico calculado con el filtro H-P fue positivo para el periodo preelectoral. La columna derecha, por su parte, muestra los presidentes que generaron un ciclo recesivo del gasto en el periodo preelectoral, es decir, los que tuvieron un componente cíclico menor o igual a 0 en el tercer año presidencial.

Además, en la Tabla 3 se muestra si esa medida o esa circunstancia de realizar un gasto por encima de la tendencia funcionaron para reelegir el gobierno o mantener el partido en el periodo siguiente: cuatro de ocho presidentes (50%) aplicaron el ciclo, les sirvió; mientras que dos de tres presidentes (67%) que no aplicaron el ciclo mantuvieron su partido en el poder. En otras palabras, se quiso ver si la respuesta de los votantes ante un posible ciclo oportunista fue mantener el poder de los políticos o si realmente tuvo poco efecto.
Primero, se observa que ocho de los catorce periodos presidenciales que hubo entre 1960 y 2016 gastaron por encima de la tendencia en el año preelectoral, y los seis restantes gastaron menos; sin embargo, se deben excluir los tres presidentes que estuvieron entre 1958 y 1970, pues ellos claramente no tenían incentivos para aplicar el ciclo oportunista y mantenerse en el poder -obligatoriamente se cambiaría de partido al periodo siguiente-. En estos términos, existiría evidencia a priori de que se han aplicado ciclos oportunistas, pues ocho de once presidentes que tenían incentivos para hacerlo lo hicieron. Esto, sin embargo, se comprueba formalmente más adelante con los modelos Arima y UCM.
Ahora bien, ¿qué tanto ha funcionado gastar más que la tendencia o generar ciclos expansivos en el periodo electoral? La evidencia parece indicar que no es muy útil. Solo cuatro presidentes de los ocho que aplicaron el ciclo expansivo mantuvieron su poder o el de su partido, y de los tres que no lo aplicaron -fueron recesivos- dos mantuvieron a su partido. Según esto, la evidencia parece indicar que los individuos no perciben los ciclos expansivos del gasto o que, si los perciben, no los toman en cuenta al momento de votar.
Realizando una estimación formal para comprobar la existencia de ciclos políticos, se modeló la serie del componente cíclico del gasto por la metodología de Box-Jenkins (1973) de los modelos Arima, en este caso, con un modelo Arimax que incluye exogeneidades. Se propusieron dos modelos, elegidos por los criterios de teoría económica, criterio bayesiano Schwarz y el error cuadrático medio:
ARMAX (1, 1)
ARMAX (0, 1)
Se muestran los dos modelos, tanto para el análisis de ciclos oportunistas y partidistas, pero se decidió interpretar los resultados del modelo Armax (1, 1), pues a pesar de tener un mayor coeficiente en el criterio bayesiano Schwarz, tiene un menor error cuadrático medio y es más acorde con la teoría económica al aplicar el hecho estilizado de que, al ser una serie macroeconómica, debería tener componentes autorregresivos (véase Tabla 3).

6.3.1 Oportunista
Se encuentra, primero, que estar en año preelectoral tiene un efecto positivo, pero no significativo sobre el ciclo del gasto, mostrando evidencia de que no hay ciclo oportunista. Esto es acorde con los resultados encontrados por Torres (2014) y Escobar (1996), que tampoco encontraron evidencia de la existencia de este tipo de ciclos en Colombia para periodos de tiempo cercanos al aquí estudiado y que obtienen resultados similares, tanto en el signo como en la significancia a los aquí obtenidos.
6.3.2 Partidista
Al probar la existencia del ciclo partidista se encontró que los presidentes del partido o de corte liberal han generado ciclos menos expansivos del gasto que los gobernantes del partido Conservador. Esto, con una confianza al 89,4%, la cual resulta mayor que la encontrada al respecto de los ciclos oportunistas. Este resultado, sin embargo, va en contra de la teoría ideológica de ambos partidos, de acuerdo con la cual los liberales deberían gastar más que los conservadores.
Por otro lado, las dummies correspondientes a las intervenciones -ANC y crisis- fueron ambas significativas y con los signos esperados. La Asamblea Nacional Constituyente generó una intervención de impulso significativa por encima de la tendencia y la crisis un efecto negativo y significativo en el ciclo. La variable de control del Frente Nacional mostró un coeficiente negativo, pero no significativo.
6.4 Modelo de componentes no observables (UCM)
Las estimaciones de los modelos de componentes no observables, tanto para el ciclo oportunista como para el ciclo partidista, muestran que el componente cíclico es no significativo a un nivel de confianza de 90%, dicha no significancia está en línea con los resultados expuestos por Álvaro Moreno (1998) al no encuentra significancia estadística para determinar la existencia de ciclos político-económicos de tipo alguno. Por otra parte, el componente tendencial con estructura de caminata aleatoria es significativa, lo que afirma que el gasto público en Colombia, pese a que cuenta con una tendencia, es estocástica, es decir, está determinada, en parte, por shocks aleatorios en cada punto del tiempo. Lo anterior no muestra evidencia clara sobre la existencia de un ciclo en el gasto público colombiano entre 1960 y 2016.
En lo concerniente a las variables de interés que buscan determinar la existencia de influencias partidistas u oportunistas sobre el comportamiento del gasto público, se obtiene un resultado no significativo en la variable propuesta para capturar el posible efecto de una dinámica oportunista sobre el gasto; por otra parte, se encuentra que si existe evidencia que sugiere la influencia de una dinámica partidista sobre el comportamiento del gasto en Colombia, dicha influencia va en línea con los resultados previos propuestos por Escobar (1996) al encontrar que los partidos conservadores tienden a tener un mayor déficit fiscal en épocas preelectorales.
En el caso de las variables de control, como lo son la que controla por Asamblea Nacional Constituyente, la crisis económica de 1999 y el Frente Nacional, todas ellas muestran resultados que se encuentran tanto en línea con los obtenidos mediante el modelo Arima propuesto anteriormente, como con sus signos esperados, con la excepción de la variable que controla por el Frente Nacional, cuyo signo es el esperado y concuerda con el obtenido en la estimación que parte del Arima, pero que al estimar por componentes no observables el efecto oportunista da significativo, contrario a lo obtenido al ser estimado con el efecto partidista y los múltiples modelos Arima.

Por último, de acuerdo con los resultados que provee la estimación del componente cíclico que se representan en la frecuencia, la varianza del ciclo y un factor de amortiguación, Stata provee la facilidad de estimar fácilmente, a partir de la frecuencia estimada del ciclo y el factor de amortiguación, el periodo. Para el modelo de componentes no observables utilizado para estimar el gasto público en el presente estudio el periodo estimado del ciclo fue de dieciocho años. Cabe resaltar que el componente cíclico sobre el cual esta estimación se basa fue no significativo.
Conclusiones
El objetivo inicial de este estudio consiste en dos puntos principales: encontrar evidencia de que en Colombia existen ciclos políticos del gasto, es decir, que se cumplen ciclos por el hecho de ocurrencias y decisiones políticas; y para comprobarlo, evaluar la existencia de ciclos expansivos en el gasto, dados los tipos de CPE planteados en la teoría: ciclos oportunistas y partidistas.
Los principales resultados del estudio, tras usar diferentes metodologías que estudian los ciclos en las series de tiempo, fueron los siguientes: no se encontró evidencia de que existan ciclos políticos oportunistas en el gasto, pues hay efectos cruzados con los diferentes modelos -Arima y UCM- en el hecho de que en el periodo preelectoral los gobernantes gastan más que en el total del periodo gubernamental restante y además la evidencia no tiene significancia estadística. Esto concuerda con lo encontrado en Escobar (1996) y Torres (2014) para Colombia.
Análogamente, se encuentra con nivel de significancia mayor, sin ser contundente, que los gobernantes del Partido Liberal generan políticas fiscales menos expansivas que los del Partido Conservador. Con esto, aunque tampoco se puede concluir que existan ciclos partidistas en Colombia, por la todavía poco concluyente significancia estadística, se nota una tendencia de que el país se ajusta más hacia un ciclo partidista que uno oportunista. Sin embargo, el hecho que los liberales gasten menos que los conservadores va en contra de la teoría ideológica de ambos partidos, tal como lo referencia la Tabla 1. Esto también lo encuentra Torres (2014) con el gasto y Escobar (1996) con el déficit fiscal, este último encontrando evidencia significativa. Entonces, a pesar de que hay más evidencia a favor de un ciclo partidista en Colombia en lugar de uno oportunista, el sentido del ciclo no concuerda con lo que debería ocurrir de acuerdo con las ideologías de los partidos.
Esta evidencia podría indicar ciertas hipótesis: por un lado, el hecho de que el sistema político colombiano no produzca incentivos para generar ciclos expansivos del gasto, puesto que no es de tanto interés para los políticos perpetuar el poder de su partido; también podría indicar que los ciudadanos colombianos ignoran, a propósito o de forma inconsciente, las desviaciones del gasto por encima o por debajo de la tendencia. Por otro lado, así como indican Brandice Canes-Wrone y Christian Ponce de León (2015), al igual que James Alt y Shanna Rose (2007), el margen de maniobra del Poder Ejecutivo para generar ciclos expansivos en la economía puede estar limitado por la institucionalidad y el equilibrio de poderes.
En Colombia, por ejemplo, la Ley de Garantías (Ley 996 de 2005), que congela las contrataciones gubernamentales por seis meses antes de las elecciones presidenciales y que genera también otras restricciones presupuestales, puede ser actualmente un mecanismo institucional efectivo para evitar la existencia de ciclos políticos económicos. Aunque la injerencia del presidente puede ser alta, no puede pasar por encima de otras instituciones que también detentan poder. En el último índice de calidad institucional elaborado por la Red Liberal de América Latina (Relial, 2021) Colombia ocupó el puesto 10 entre 34 países evaluados en Latinoamérica.
Los resultados encontrados constituyen un aporte a la literatura de los CPE. Primero, porque los estudios al respecto para Colombia son escasos, muchos tienen vigencia limitada, mientras que otros se hacen en el ámbito cualitativo y ninguno recoge varios enfoques metodológicos para observar y analizar los ciclos. Este estudio, al modelar los efectos en la serie del ciclo del gasto y no del gasto en niveles o del déficit fiscal, constituye un análisis diferente más enfocado al componente cíclico, que es el más importante para estudiar si existen CPE. Además, aporta robustez a los resultados al tomar en cuenta otros enfoques metodológicos como los modelos de componentes no observables y el análisis espectral.
Con respecto a las limitaciones de este estudio, cabe resaltar que al tomarse un periodo de 57 años (1960-2016), el cual no es corto, pero que recoge 14 periodos presidenciales, de los cuales 4 fueron en el Frente Nacional y que pueden distorsionar los incentivos para realizar ciclos oportunistas, los resultados pudieron haber sido más completos si se hubiera tomado una serie más larga, tal como se hace en los trabajos de Torres (2014) y López, Gallón y Fresard (2002) desde la década de 1929. Adicional a esto, este trabajo no toma en cuenta los análisis de política monetaria y ciclo económico del producto, por el suceso de la independencia del Banco de la República desde 1991. Con el fin de observar más a profundidad la injerencia de la política económica sobre el ciclo económico sería necesario tomar en cuenta todos estos aspectos.
Por último, el presente estudio sirve como precedente para futuras investigaciones sobre los CPE, especialmente en Colombia. Primero, podría analizarse el efecto de la política monetaria en el ciclo económico del producto, observando si tuvo algún efecto el suceso de la independencia del Banco de la República; además, podrían evaluarse los efectos de un ciclo políticos sobre la inflación. También, ahondando más en el estudio del gasto, podría analizarse, dividiendo por los rubros del gasto -gasto social, inversión, funcionamiento y servicio de deuda- si existe una mayor evidencia de aplicación de ciclos políticos en alguno de los tipos de gasto.
Referencias bibliográficas
Alesina, Alberto & Sachs, Jeffrey. (1988). Political Parties and the Business Cycle in the United States, 1948-1984. Journal of Money, Credit and Banking, 20 (1), pp. 63-82. https://doi.org/10.2307/1992667
Alesina, Alberto. (1987). Macroeconomic Policy in a Two-Party System as a Repeated Game. The Quarterly Journal Of Economics, 102 (3), pp. 651-678. https:// doi.org/10.2307/1884222
Alogoskoufis, George. (1992). Monetary Accommodation, Exchange Rate Regimes and Inflation Persistence. Economic Journal, 102 (412), pp. 461-480. https://doi.org/10.2307/2234285
Alt, James E. & Rose, Shanna. (2007). Context-Conditional Political Budget Cycles. In: Boix, Carles & Stokes, Susan C. (Eds.). The Oxford Handbook of Comparative Politics (pp. 845-867). Oxford: Oxford University.
Banco de la República. (s. f.). Estadísticas económicas [Base de datos]. https:// totoro.banrep.gov.co/estadisticas-economicas/
Banco Mundial. (s. f.). Indicator Data. Economía y crecimiento. [Base de datos]. https://datos.bancomundial.org/indicator
Berlemann, Michael & Markwardt, Gunther. (2006). Variable Rational Partisan Cycles and Electoral Uncertainty. European Journal of Political Economy, 22 (4), pp. 874-886. https://doi.org/10.1016/j.ejpoleco.2005.08.004
Bermeo, Mireya. (2014). Determinantes del tamaño del Estado. El caso colombiano [Tesis inédita de doctorado]. Universidad Nacional de Colombia, Bogotá,
Bidegain, Mario y Diaz, Álvaro. (2011). Análisis estadístico de datos climáticos. Montevideo: Universidad de la República. http://docplayer.es/80765229-Analisis-estadistico-de-datos-climaticos.html
Box, G. E. P., & Jenkins, G. M. (1973). Some Comments on a Paper by Chatfield and Prothero and on a Review by Kendall. Journal of the Royal Statistical Society, 136 (3), pp. 337-352.https://doi.org/10.2307/2344995
Cagan, Phillip. (1956). The Monetary Dynamics of Hyperinflation. In: Friedman, Milton (Ed.). Studies in the Quantity Theory of Money (pp. 25-117). Chicago: University of Chicago.
Canes-Wrone, Brandice & Ponce de Leon, Christian. (2015). Electoral Cycles and Democratic Development. Princeton University. https://scholar.princeton.edu/sites/default/files/bcwrone/files/electoral_cycles_and_democratic_development.pdf
Chatfield, Christopher. (2003). The Analysis of Time Series: An Introduction. Boca Raton: Chapman and Hall. https://doi.org/10.4324/9780203491683
Escobar, Andrés. (1996). Ciclos políticos y ciclos económicos en Colombia: 1950-1994. Coyuntura Económica, 26 (1), pp. 115-141.
Harvey, Andrew & Trimbur, Thomas. (2003). General Model-Based Filters for Extracting Cycles and Trends in Economic Time Series. The Review of Economics and Statistics, 85 (2), pp. 244-255. https://doi.org/10.1162/003465303765299774
Harvey, Andrew. (1989). Forecasting, Structural Time Series Models and the Kalman Filter. Cambridge: Cambridge University. https://doi.org/10.1017/CBO9781107049994
Hibbs, Douglas. (1977). Political Parties and Macroeconomic Policy. American Political Science Review, 71 (04), pp. 1467-1487. https://doi.org/10.1017/ s0003055400269712
Hibbs, Douglas. (1987). The American Political Economy. Macroeconomics and Electoral Politics. Cambridge: Harvard University. https://doi. org/10.4159/9780674038639
Hodrick, Robert J. & Prescott, Edward. (1980). Postwar U.S. Business Cycles: An Empirical Investigation. Pittsburgh: Northwestern University.
Lessa, Carlos. (1973). La evolución del concepto de la política económica. Cepal. https://repositorio.cepal.org/handle/11362/44514
Lindbeck, Assar. (1976). Stabilization Policy in Open Economies with Endogenous Politicians. American Economic Review, 66 (2), pp. 1-19.
López, Mauricio; Gallón, Santiago y Fresard, Christian. (2002). El ciclo político-económico en Colombia, 1925-1999. Lecturas de Economía, 56, pp. 7-30. https://doi.org/10.17533/udea.le.n0a3261
MacRae, C. Duncan. (1977). A Political Model of the Business Cycle. Journal Of Political Economy, 85 (2), pp. 239-263. https://doi.org/10.1086/260561
McCallum, Bennett T. (1988). Real Business Cycle Models. NBER Working Paper, 2480. https://doi.org/10.3386/w2480
Milesi-Ferretti, Gian Maria; Perotti, Roberto & Rostagno, Massimo. (2002). Electoral Systems and Public Spending. The Quarterly Journal Of Economics , 117 (2), pp. 609-657. https://doi.org/10.1162/003355302753650346
Moreno, Álvaro. (1998). Ciclo político y política económica: Un análisis del caso colombiano 1930-1995. Informe Financiero, 2, pp. 13-72.
Nordhaus, William. (1975). The Political Business Cycle. The Review Of Economic Studies, 42 (2), 169-190. https://doi.org/10.2307/2296528
O’Toole, Francis & Strobl, Eric. (1995). Compulsory Voting and Government Spending. Economics & Politics, 7 (3), pp. 271-280. https://doi.org/10.1111/j.1468-0343.1995.tb00115.x
Ossa, Isabela. (2014). Ciclos político-económico-electorales y su incidencia en los niveles de pobreza en el marco de la competencia por el poder. (Tesis inédita de pregrado). Universidad Colegio Mayor de Nuestra Señora del Rosario, Bogotá, D. C.
Persson, Torsten & Tabellini, Guido. (1999). Political Economics and Macroeconomic Policy. In: John B. Taylor and Michael Woodford (Eds.). Handbook of Macroeconomicsvol. 1 part C (pp. 1397-1482). Amsterdam: Elsevier. https://doi. org/10.1016/S1574-0048(99)10035-1
Red Liberal de América Latina (Relial). (2021). Índice de calidad institucional. La pandemia. Una oportunidad para mejorar el futuro. https://www.flipbookpdf.net/web/site/c97fa3cfc7a1dd2037fb54c9fbbf5202bd3f1978FBP20727576.pdf.html#page/1
Rogoff, Kenneth & Sibert, Anne. (1988). Elections and Macroeconomic Policy Cycles. The Review Of Economic Studies , 55 (1), pp. 1-16. https://doi.org/10.2307/2297526
Rogoff, Kenneth. (1994). Equilibrium Political Budget Cycles. Monetary and Fiscal Policy, 80 (1), pp. 21-36.
Torres, Alejandro. (2014). Análisis de los ciclos políticos en Colombia entre 1926-2010 y sus efectos sobre el desempeño económico. [Tesis inédita de pregrado]. Universidad del Valle, Santiago de Cali.
Vergne, Clémence. (2009). Democracy, Elections and Allocation of Public Expenditures in Developing Countries. European Journal Of Political Economy , 25 (1), pp. 63-77. https://doi.org/10.1016/j.ejpoleco.2008.09.003
Notas