Research Article
EVALUACIÓN ECONÓMICA DE LOS COMPROMISOS DE COLOMBIA EN EL MARCO DE COP211
ECONOMIC EVALUATION OF COLOMBIA'S COMMITMENT AT COP21
EVALUACIÓN ECONÓMICA DE LOS COMPROMISOS DE COLOMBIA EN EL MARCO DE COP211
Desarrollo y Sociedad, núm. 79, pp. 15-54, 2017
Universidad de Los Andes
Recepción: 19 Diciembre 2016
Revisado: 10 Febrero 2017
Aprobación: 17 Mayo 2017
Resumen: Este artículo presenta los resultados económicos derivados del cumplimiento del compromiso de Colombia en la COP21. El análisis económico se hace tradicionalmente mediante las curvas marginales de costos de abatimiento, sin embargo, estas tienen una serie de limitaciones, de las cuales algunas pueden ser sorteadas con un modelo de equilibrio general. Para esto se hace uso del MEG4C, teniendo como resultado que, al llevar a cabo las medidas de mitigación, la tasa de crecimiento del PIB aumentaría en un 0,15%, anualmente, para el período 2020-2040. Por otra parte, la tasa de desempleo estructural se reduce como consecuencia de la ejecución de medidas de mitigación en sectores intensivos en trabajo en el mediano-largo plazo. Debido a la estructura económica y la matriz de emisiones, se debe priorizar la implementación de medidas asociadas a la eficiencia energética en el sector industrial, residencial y de transporte, las que generarán impactos positivos en el crecimiento económico.
Palabras clave: mitigación, cambio climático, modelo de equilibrio general, COP21, Acuerdo de París.
Abstract: The document presents the economic impacts from the fulfillment of Colombia's commitment of the Paris Agreement on climate change. The traditional analysis is done with marginal curves of abatement costs. However, this technique has a set of limitations, which can be solved with a computable general equilibrium (CGE) model. Using the CGE for Colombia (MEG4C), the results show that growth rate of GDP would increase by 0.15% annually, for the period 2020-2040. On the other hand, the structural unemployment rate is reduced by the implementation of mitigation measures in the medium and long term. Due to the economic structure and the emissions matrix, the implementation of measures should be associated with energy efficiency in the transport, industrial and residential sectors, which will generate positive impacts on economic growth.
Keywords: Climate change, computable general equilibrium models, COP21 Paris, mitigation.
INTRODUCCIÓN
En los últimos años, el cambio climático se ha convertido en uno de los problemas más importantes a escala internacional, no solo desde el punto de vista ambiental, sino también desde el económico. Se prevé que el aumento en la temperatura media global pondrá en riesgo múltiples sistemas naturales que generarán cambios en el ciclo hidrológico y climático, lo que afectará la disponibilidad del recurso hídrico e incidirá en eventos de interés en salud pública, reduciendo el bienestar general de la población (Ideam, 2015; WHO; UNFCCC, 2015). Las evaluaciones económicas para Colombia muestran que, de no hacer nada para enfrentar el cambio climático, el costo económico llegaría a ser igual al 0,49% del PIB cada año2 (DNP, BID, Cepal, 2014).
Con el objetivo de establecer un nuevo acuerdo global, vinculante y que permita tomar medidas eficaces para enfrentar el cambio climático, los países presentaron sus compromisos nacionalmente determinados en la Vigésimo Primera Conferencia de las Partes (COP21) con miras a impulsar la transición hacia economías bajas en carbono (componente de mitigación) y resilientes (componente de adaptación) (UNFCCC, 2015). En otras palabras, el cumplimiento del acuerdo será un primer paso para reducir los efectos y construir la base de un cambio estructural en los sistemas económicos, desligando el crecimiento económico de las emisiones de gases de efecto invernadero (GEI).
Sobre el tema de la mitigación, Colombia presentó el compromiso de reducir sus emisiones de GEI en un 20% con respecto a las emisiones proyectadas para el año 2030 (Gobierno de Colombia, 2015). Este compromiso se fundamenta en los resultados de escenarios de mitigación que se componen de medidas de mitigación identificadas y cuantificadas por el Gobierno nacional3 mediante la elaboración de curvas de costos marginales de abatimiento (MACC, por su sigla en inglés: marginal abatement cost curve).
Se asume que la ejecución de las medidas de mitigación implica una "transformación en el modelo de desarrollo sin perjudicar el crecimiento económico" (García, Barrera, Gómez y Suarez, 2015, p. 16), a partir de la idea de que dicha implementación refuerza el cumplimiento de objetivos deseables para la sociedad como la reducción de la pobreza y la tasa de desempleo.
Sin embargo, las MACC no consideran las interdependencias entre los sectores económicos y agentes económicos; los efectos provocados por cambios en la demanda, en la producción o en los precios relativos; la cuantificación de otros objetivos deseables para la sociedad como la generación de empleo, el desarrollo social, el crecimiento económico, entre otros (Clerc, Díaz y Campos, 2013). Debido a esas limitaciones, es fundamental contar con una metodología que reconozca y permita modelar los efectos que no es posible cuantificar con las MACC.
En este ejercicio se realiza la evaluación económica del compromiso nacionalmente determinado de reducción de emisiones de GEI, considerando las interacciones generadas simultáneamente por la ejecución de las medidas de mitigación4. Las simulaciones se realizaron usando el Modelo de Equilibrio General Computable Colombiano para Cambio Climático (MEG4C) desarrollado en la Subdirección de Desarrollo Ambiental Sostenible del DNP (SDAS-DNP, 2012) y un modelo de microsimulaciones (MMS) (Araar y Verme, 2015b).
Este artículo está dividido en cuatro secciones, más la introducción. En la primera parte se presenta una breve revisión de la literatura sobre las metodologías y formas de evaluar económicamente las políticas de mitigación de gases de efecto invernadero, haciendo énfasis en el caso colombiano. Luego, en la segunda sección, se muestra el esquema metodológico usado para la evaluación económica del compromiso de reducción de emisiones. Este esquema 1) caracteriza el portafolio de medidas de mitigación, 2) la estrategia de modelación en el MEG4C de las medidas de mitigación del lado de la oferta y la demanda, 3) indica cómo el modelo de microsimulación permite obtener los efectos por hogares con distinto nivel de gasto. En la tercera sección se presenta el escenario base o referencia y los impactos económicos obtenidos sobre indicadores económicos y el bienestar de los hogares tras la ejecución de las medidas de mitigación. En la última sección se presentan las conclusiones y se hacen unas recomendaciones de política que reforzarían el cumplimiento del compromiso y el logro de objetivos de desarrollo.
I. MITIGACIÓN DE GASES DE EFECTO INVERNADERO: REVISIÓN DE LITERATURA
La construcción de las MACC permite el análisis costo-beneficio de las medidas de mitigación que hacen parte del compromiso presentado por Colombia en la COP21 (MADS, 2015). Esta herramienta metodológica muestra la estructura financiera (costos de inversión o implementación de la medida) y la capacidad técnica de reducciones de emisiones (nivel de abatimiento) de un conjunto de medidas de mitigación que se aplican a un sector específico o región. Infortunadamente, las MACC no consideran la interdependencia que tienen los sectores económicos objeto de las medidas con el resto de la economía y los efectos que generan su ejecución (e. g. el incremento en el parque automotor eléctrico tiene efectos sobre la generación de electricidad), además, no tienen la capacidad de cuantificar otros efectos económicos que son de interés para un tomador de decisiones (Clerc, Díaz y Campos, 2013). Por lo anterior, una mejor herramienta analítica para evaluar económicamente el compromiso asumido es a través de un modelo de equilibrio general computable (MEGC).
Los MEGC se usan ampliamente como herramienta de análisis de políticas ambientales, manejo de recursos naturales y sus efectos económicos. Es el caso de la construcción de sendas de emisiones futuras de acuerdo con las perspectivas demográficas, de crecimiento económico y el uso final de energéticos de origen fósil (Calvin et al., 2012; Van Ruijven et al., 2016; World Bank, 2015) o la evaluación de políticas que analizan integralmente el potencial de emisiones, su efecto sobre la matriz energética y el desempeño macroeconómico (Clarke et al., 2016; Kober et al., 2016; Van der Zwaan et al., 2016).
Los compromisos adoptados en la COP21, como una política ambiental particular, son evaluados por Vandycka, Keramidasa, Saveyna, Kitousa y Vrontisib (2016), gracias al uso de un modelo de equilibrio parcial del sector de energía junto a un modelo de equilibrio general. Los resultados indican que los compromisos de la COP21 tienen costos económicos bajos (el PIB global se reduce en 0,42 puntos porcentuales en el 2030) y se genera una transición del empleo de sectores intensivos en energía hacia aquellos bajos en emisiones.
Para el caso de los tomadores de decisión de Colombia, y cualquier otra jurisdicción, se requiere generar información local a partir de la estructura económica de interés, su matriz de emisiones y la factibilidad técnica de las medidas de mitigación en el contexto nacional. Con el objetivo de atender estos requerimientos de información, la Subdirección de Desarrollo Ambiental Sostenible del DNP desarrolló el modelo MEG4C, que se basa en el modelo GREEN (General Equilibrium Environmental Model) (Burniaux, Martin, Nicoletti y Oliveira, 1991; Lee, Oliveira-Martins y Van der Mensbrugghe, 1994). Este modelo dinámico-recursivo tiene como característica principal detallar el uso de combustibles fósiles y energía eléctrica en la estructura productiva nacional (SDAS-DNP, 2012).
El MEG4C ha sido utilizado previamente en Calderón et al. (2016), que analiza las implicaciones de un impuesto al carbono y límites a las emisiones sobre el sistema energético del país. Los autores encuentran que las políticas ambientales permitirán la penetración de tecnologías de captura y almacenamiento de carbono y de renovables no convencionales en la generación de electricidad, se reducirá la demanda de energía primaria y se tendrá un costo económico.
En Romero, Álvarez-Espinosa, Calderón y Ordóñez (2015) se integran los resultados de MEG4C con el modelo de microsimulaciones (MMS) mediante la metodología de QAIDS para analizar el efecto del impuesto al carbono en el bienestar de los hogares. Concluye que todos los hogares por grado de ingreso tendrían un cambio negativo en el consumo gracias a esta política.
Este trabajo propone evaluar las implicaciones macroeconómicas de ejecutar, simultáneamente, las medidas de mitigación que hacen parte del compromiso de reducción de emisiones de GEI asumido por el Gobierno de Colombia, lo anterior haciendo uso del modelo de equilibro general computable que representa las condiciones del país y un modelo de microsimulaciones que evalúan el efecto, considerando las interrelaciones sectoriales. El objetivo es superar parte de las limitaciones que implican la evaluación económica de las medidas de mitigación de gases de efecto invernadero a partir de las MACC.
II. METODOLOGÍA PARA LA EVALUACIÓN ECONÓMICA
La metodología para la evaluación económica del compromiso de reducción de emisiones se sintetiza en la figura 1.

A. Medidas de mitigación sectorial
Las medidas de mitigación identificadas por el Gobierno nacional están alineadas con las prioridades y políticas de los sectores económicos5. Este portafolio de medidas de mitigación está conformado por 71 medidas de mitigación cuyo valor por tonelada de dióxido de carbono equivalente (tCO2eq) es inferior a 20 dólares del año 2010 (MADS, 2015, p. 3)6.
Los insumos provenientes de las medidas de mitigación para la modelación económica son los costos de inversión (CK), los costos de operación y mantenimiento (0&M) y el período de implementación de cada una de las medidas. De manera sectorial se puede observar (figura 2) que el 72% de las inversiones se dirigen al sector de transporte (excluyendo el parque automotor privado), mientras que el 16% están destinadas al sector agropecuario. La alta inversión requerida por el sector de transporte corresponde a la incorporación de nuevas tecnologías del parque automotor de carga y pasajeros, principalmente (pasar de vehículos tradicionales a eléctricos, a gas o híbridos).
Por otra parte, de la composición de las inversiones el 66% de los costos netos totales (beneficios operativos) se concentran en el sector de transporte, el 14% en el sector agropecuario y el 12% al sector residencial o consumo final (figura 2).
B. Choques en el MEG4C
La correcta interpretación de las medidas de mitigación y la tipificación de los sectores económicos objetivo permiten identificar dos posibles implicaciones: las medidas de mitigación sugieren un cambio en la estructura productiva del sector (choques a la oferta), o las medidas de mitigación se enfocan en modificar los patrones de consumo final del bien producido (choques a la demanda).
La posible implementación de las medidas modifica la estructura productiva al cambiar la intensidad relativa de los factores productivos o consumos intermedios, aunque, la forma como se combinan los factores y las demandas no cambian (i. e. la función de producción no cambia). De acuerdo con Pauw (2007), la ejecución de las medidas de mitigación puede reflejar los siguientes cambios estructurales en una economía:
Expansión de una actividad o sector específico: fomento y promoción de actividades que tienen como externalidad positiva la reducción de emisiones (plantaciones de caucho o agroforestales).
Cambios tecnológicos enfocados en reducir las emisiones: mediante inversiones en capital es posible desarrollar procesos tecnológicos que permitan capturar, almacenar o reducir las emisiones. Este tipo de cambios tecnológicos no tienen efectos directos sobre el nivel producción. Por ejemplo, captura y quema de metano en rellenos sanitarios.
Eficiencia en el uso de factores productivos y bienes intermedios: suponen que los sectores económicos alcanzan mayores estándares de eficiencia y rendimiento mediante las inversiones en equipos. El menor uso de insumos se refleja en menores emisiones manteniendo los mismos niveles de producción. Por ejemplo, mejora de la eficiencia de calderas de gas natural en el sector industrial.
Sustitución entre factores e insumos usados: las emisiones se reducen si el proceso productivo transita de forma gradual hacia el uso de insumos menos intensivos en emisiones. Por ejemplo, sustitución de carbón por biomasa en el sector industrial, sustitución del parque automotor convencional a híbridos/eléctricos.
En las siguientes secciones se indica cómo se incorporan en la estructura del MEG4C los insumos provistos por las medidas de mitigación (costos de inversión y los costos de operación y mantenimiento) representando choques de oferta y demanda.
1. Choques sobre la oferta
La expansión de una actividad o los cambios tecnológicos enfocados en la reducción de emisiones aumentan los requerimientos de capital. Por ejemplo, en las funciones de producción tipo Leontief (factores complementarios perfectos), el costo de inversión del sector i de la medida (ΔCKimm) se incorpora usando un nuevo parámetro akimm2 en lugar del parámetro calibrado del escenario base akibau. Así se garantiza que el gasto de inversión requerido para implementar la medida sea guiado al sector económico objetivo7.

Donde k es la demanda de capital. KE es la demanda del bien compuesto capital-energía. ΔCKimm es el costo de inversión de la medida de mitigación.
La medida de mitigación que implique un uso eficiente o sustitución de insumos requiere variar la demanda intermedia del sector productivo. El costo de operación y mantenimiento que genera la ejecución de la medida (ΔO & Mmm) se usa para aumentar o reducir el requerimiento del bien intermedio e o j en el proceso productivo del sector i (en el caso de los energéticos
, mientras que en la demanda de bienes intermedios
).

Donde E es la cantidad de energía demandada por el sector i. Xapi,e es la demanda del energético e que hace el sector i. ΔO &
, costos de operación y mantenimiento asociados al energético e que usa el sector i.
Xpi es la cantidad producida del sector i, Xapi,j es la demanda del bien j que hace el sector i. ΔO &
, corresponde a costos de operación y mantenimiento asociados al insumo j que usa el sector i.

2. Choques sobre la demanda final
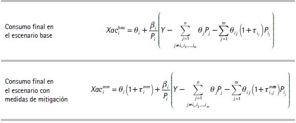
Para evaluar las medidas enfocadas al consumo final se siguió la metodología propuesta por Loboguerrero y Uribe (2014). En ella se expone el mecanismo para recalibrar el consumo mínimo de subsistencia (θi) en la función de consumo final, de tal forma que varíe conforme a:
Los gastos de inversión, que equivalen a la compra de productos (ΔCKimm).
Los costos de operación y mantenimiento, que implican reducción en el consumo (ΔO & Mmm).
Gracias al parámetro (τimm) es posible obtener un nuevo consumo final debido al escenario de mitigación (Xacimm), garantizando que la diferencia entre el consumo del escenario de mitigación y el consumo del escenario base (Xacibau) tenga el mismo orden de magnitud que el valor de los costos de las medidas.

Donde Xacimm - Xacibau ΔCKimm compra de artículos y Xacimm - Xacibau ΔO & Mimm reducción en el consumo de bienes.
Por construcción, MEG4C solo incorpora un hogar representativo, por lo tanto, se acude al modelo de microsimulaciones (MMS) para quitar el supuesto y evaluar el cambio en el bienestar por quintil de ingreso.
C. Modelo de microsimulaciones (MMS)
El primer paso para realizar las microsimulaciones consiste en construir las canastas de consumo para cada hogar8. Para esto se utiliza la encuesta de calidad de vida (ECV) en la que se agrupan los productos que cada hogar consume9 y se obtiene el gasto de los bienes consumidos como proporción del gasto total. En segundo lugar, se incorporan los precios al consumidor del bien producido por el sector económico del MEG4C, que incluye el efecto ocasionado por la ejecución de las medidas de mitigación10.
Los hogares beneficiados en el escenario de mitigación serán aquellos que consumen relativamente bienes cuyo precio es menor. El precio de la canasta o gasto (Ghe) del hogar h en el escenario e está dado por la siguiente relación

Donde Pj representa el precio del bien j y qj,h es la cantidad consumida de ese bien por el hogar h.
Suponiendo que los hogares no modifican su consumo, el cambio porcentual en el bienestar (
h,t) estaría dado por el inverso en el costo de su canasta:

El cambio
en bienestar (
h,t) no tiene en
cuenta cambios en la canasta de consumo (qj,h) que se pueden
dar por aumentos en el ingreso disponible del hogar o cambios en los precios
relativos. Para sortear este problema, se realizaron ejercicios en el programa
SUBSIM (Araar y Verme, 2015), el cual utiliza una función de utilidad tipo
Cobb-Douglas para modelar este comportamiento del hogar:

Donde αj son los parámetros de la función Cobb-Douglas que se estiman directamente.
Al maximizar esta función, sujeta a la restricción presupuestal dada por el ingreso disponible (Ite), se concluye que el hogar consume
. Aquí es posible calcular el cambio en bienestar con un menor sesgo.
III. RESULTADOS ECONÓMICOS DEL COMPROMISO DE REDUCCIÓN DE EMISIONES DE GEI PARA COLOMBIA
A continuación se presenta el escenario base o referencia y los impactos económicos obtenidos sobre el PIB y su tasa de crecimiento, la producción de los sectores y sus exportaciones netas, la tasa de desempleo y el bienestar de los hogares.
A. Escenario base
A partir de la matriz de contabilidad social del año 2010 (véase anexo 4) se construye el escenario base (BAU [business as usual]). En él no hay implementación del compromiso de reducción de emisiones y se utiliza como un punto de comparación para evaluar el efecto de la implementación de las medidas de mitigación de emisiones de GEI. Este escenario no es una proyección o pronóstico de la economía, sino una referencia al crecimiento potencial de la economía, que debe ser consistente con tres balances macroeconómicos: el déficit del Gobierno (ahorro público), la cuenta corriente (ahorro externo) y el balance ahorro-inversión.
El balance del Gobierno debe cumplir la regla fiscal implícita en el marco fiscal de mediano plazo, por lo tanto, el gasto y déficit fiscal son exógenos y los ingresos fiscales son endógenos. Al considerar la cuenta corriente exógena como proporción constante del PIB se asume que la tasa de cambio es endógena. Finalmente, el ahorro privado es una proporción fija del ingreso disponible.
Las principales características del BAU que replica el modelo MEG4C se presentan en el cuadro 4. El modelo esta calibrado a partir de la información del sistema de cuentas nacionales en el año 2010 gracias a la matriz de contabilidad social (véase anexo 4), se calibra dinámicamente para los períodos 2011-2014 con datos históricos y a partir del año 2015 se asume el crecimiento potencial de la economía.

En ausencia de medidas de mitigación, la composición sectorial es similar en el período de simulación. La tasa de crecimiento de la economía es del 4,5% anual11, manteniendo el déficit en cuenta corriente alrededor del 2% del PIB y el gasto del Gobierno entre el 16,6% y el 14,8% del PIB.
B. Escenario con medidas de mitigación
En el escenario con medidas de mitigación existe un costo de ajuste en el corto plazo, el cual es compensado en el futuro con una tasa mayor de crecimiento económico. El costo de ajuste está relacionado con los costos de inversión requeridos para ejecutar las medidas de mitigación y que son mayores a las ganancias en eficiencia o reducción en el uso de insumos derivados de estas. A largo plazo el efecto se revierte, los costos de operación y mantenimiento se reducen y los beneficios operativos de las empresas aumentan.
La desviación porcentual del PIB entre el BAU y el escenario de medidas de mitigación alcanza a ser un 0,7% por debajo del nivel de referencia en el 2020. Luego, esta brecha se recupera y alcanza un diferencial positivo de 2,3% al final del período simulado (véase figura 3).

En cuanto al crecimiento del PIB los resultados muestran que durante el período 2015-2020 la tasa de crecimiento de la economía cae en un 0,12%, para luego aumentar al 0,15% en el período 2020-2014. La ejecución de las medidas de mitigación generaría una tasa de crecimiento de 4,65% frente al crecimiento potencial supuesto de 4,5% (véase figura 4).

C. Efectos sobre los sectores económicos
Los sectores económicos favorecidos por la implementación de las medidas de mitigación son la agricultura, los servicios de transporte y la industria. Sobre estos sectores recaen buena parte de las inversiones relacionadas con los compromisos de reducción de emisiones (véase figura 2). Los sectores de construcción, comercio y servicios tienen tasas de crecimiento positivas al ser sectores que se favorecen por las interrelaciones con los sectores dinamizados.
El compromiso de reducción de emisiones implica una recomposición de la matriz energética de largo plazo. Los sectores que reducen su producción, respecto al BAU, son carbón mineral, petróleo y refinados de petróleo. Parte de las medidas de mitigación generan una reducción en la demanda interna de estos insumos (véase figura 5).

Ahora bien, al tener un coeficiente de emisión menor de GEI, el gas natural es considerado en las medidas de mitigación como un energético viable de transición hacia otros energéticos renovables no convencionales. Por esta razón, el desempeño económico de este sector no se ve afectado negativamente. Un efecto similar tiene el sector generación eléctrica debido a que parte de las medidas consisten en incentivar su uso para suplir los requerimientos de energía, por ejemplo, el transporte eléctrico (véase figura 5).
D. Comercio exterior
Las medidas de mitigación recomponen la participación sectorial de las exportaciones netas (i. e. exportaciones menos importaciones) favoreciendo al sector de transporte, agricultura y refinados del petróleo. En este último caso, el nivel de demanda interna disminuye y los excedentes son exportados.
En el caso del gas natural, las importaciones aumentan para atender la demanda interna de este insumo. La disminución de las exportaciones netas del sector industrial es provocada por medidas de mitigación que exigen incrementar equipos importados, particularmente, del parque automotor, que cumple con condiciones ambientales más estrictas y no son producidos en la actualidad en el país (véase figura 6).

Para que no haya un efecto negativo en el déficit en cuenta corriente es necesario avanzar en la transformación del campo y de la industria, como diversificar la economía, para anticipar escenarios que, en el largo plazo y bajo un nuevo acuerdo climático, reduzcan la demanda internacional de combustibles fósiles12.
E. Mercado laboral
El mercado laboral se ajusta manteniendo los salarios fijos en el período simulado. La tasa de desempleo está correlacionada negativamente con el nivel del PIB (cuando el PIB es mayor respecto al BAU la tasa de desempleo se reduce) (véase cuadro 5).

En el corto plazo, el aumento de la tasa de desempleo es consecuencia de dos efectos: ante la necesidad de requerimientos de capital, consecuencia de las inversiones de las medidas de mitigación, el empleo se reduce (efecto sustitución), y la reducción en costos debido al menor uso de factores de producción no es suficiente para mantener constante la tasa de desempleo, a pesar de que los sectores intensivos, en el trabajo, contratan parte de la oferta laboral (efecto de uso eficiente de recursos).
En el mediano y largo plazo, la tasa de desempleo se reduce debido a la dinámica sectorial provocada por las inversiones concentradas en sectores intensivos en trabajo (agropecuario y transporte). Además, sectores como servicios y comercio, que incrementan su crecimiento, generan una mayor demanda por el factor productivo.
F. Efectos sobre el bienestar de los hogares
El consumo del hogar representativo de MEG4C se reduce en un 1% en el 2020, respecto al escenario de referencia. En el año 2030 el consumo es un 0,9% superior y llega a estar un 3% por encima del BAU, en el año 2040.
Debido a que el MEG4C solo incorpora un hogar representativo, el modelo de microsimulaciones (MMS) permite romper con este supuesto y evaluar el cambio en el bienestar por quintil de ingreso.
Para implementar las microsimulaciones se construyen las canastas de consumo de los hogares (qj,h) (véase figura 7) y se le incorporan los diferenciales de precios de los bienes consumidos resultado de MEG4C (véase anexo 3). En promedio, los hogares consumen más bienes industriales (incluyendo alimentos procesados) y servicios; en menor proporción, consumen bienes de los sectores de agricultura, ganadería, transporte, energía y refinados de petróleo.

Los sectores de ganadería y transporte son los que presentan una mayor variación en su nivel de precios en el escenario con medidas de mitigación frente al BAU, mientras que el de agricultura tiene menores variaciones.
Los resultados en bienestar por nivel de gasto de los hogares indican un impacto positivo en su bienestar. La figura 8 muestra que existe una variación pequeña entre quintiles de gasto, el quintil más pobre tiene un aumento en su bienestar del 0,67%, el cuarto quintil presenta la mayor variación con el 0,76%. Esta diferencia no resulta significativa entre quintiles de ingreso para el promedio 2015-2040.

En el primer quinquenio, el bienestar es menor para todos los hogares. El efecto se revierte en las siguientes décadas con un mayor bienestar frente al escenario base (véase figura 9). A lo largo de todo el período, el quintil de menor gasto presenta valores ligeramente menores, debido a que este grupo de hogares gasta, proporcionalmente, más en bienes como alimentos y energía eléctrica, que se hacen más costosos en el escenario de mitigación.

G. Contribución económica de cada portafolio de las medidas de mitigación sectorial
Considerando las particularidades de cada sector y el tipo de medidas de mitigación a implementar se identifica qué grupos de medidas, aplicadas por sector, generan los mayores impactos sobre la economía. En la figura 10 se presenta el aporte a la tasa de crecimiento del PIB total de cada uno de los portafolios de mitigación; esto, si se implementara de forma individual en cada sector. Las medidas de mitigación que buscan la eficiencia y sustitución energética en el sector industrial, en el transporte y en el consumo final de los hogares tienen un aporte positivo sobre la tasa de crecimiento de la economía (véase figura 10).

Por otro lado, implementar medidas del lado de la generación de electricidad, que no estén acompañadas de medidas de eficiencia o reducción en las pérdidas de transmisión y distribución, generarían reducción en la tasa de crecimiento potencial del PIB (-0,01% aproximadamente). La razón: la generación eléctrica es hídrica y una sustitución hacia otros insumos aumentaría el precio final, perjudicando la competitividad de toda la economía.
Las medidas del sector de transporte son de especial interés, no solo por la magnitud de la inversión (véase figura 2), sino por la particularidad de los resultados de su portafolio de medidas. Por un lado, las medidas relacionadas con la sustitución del parque automotor convencional a vehículos híbridos-eléctricos13 y el aumento de la participación de gas natural en el parque automotor de carga, tendrían efectos negativos en la economía. Esto es explicado por el aumento en las importaciones del nuevo parque automotor (i. e. no sería producido localmente) y del gas natural necesario para la sustitución de refinados de petróleo.
Por otro lado, las medidas que promuevan los mejores estándares de rendimiento en taxis y transporte público, el fomento a los sistemas públicos de bicicletas, la chatarrización y la sustitución de transporte carretero por otras formas modales (férreo y fluvial), tienen efectos positivos sobre la economía. Este resultado se debe, una vez más, al aumento de la eficiencia obtenida por la reducción en el uso de los insumos energéticos. También, al aumentar la productividad del sector de transporte de carga vía terrestre (capacidad de carga por unidad transportada), se fomenta la conexión de centros de consumo y el acceso a mercados de productos que no lo tienen actualmente (figura 11).

Se debe resaltar que el aporte a la tasa de crecimiento de las medidas aplicadas al sector agropecuario está subestimado. Por limitaciones metodológicas no es posible incorporar un mercado de tierras que refleje el impacto económico de medidas como la deforestación evitada, los sistemas silvopastoriles intensivos y el fomento de las plantaciones de caucho, frutales y agroforestales. Todas estas medidas generan un uso eficiente del suelo, lo cual tendría un impacto importante, y necesario, en el desarrollo rural del país.
IV. CONCLUSIONES Y RECOMENDACIONES
El compromiso de Colombia en el marco del COP21 trasciende el ámbito ambiental. Su cumplimiento por parte del país, a partir de la implementación de las medidas de mitigación, generaría efectos positivos sobre otros objetivos deseables para la sociedad como el establecimiento de un crecimiento económico desligado de las emisiones de gases de efecto invernadero y la reducción en la tasa de desempleo.
Existirá un costo de ajuste en el corto plazo, el cual sería compensado en el mediano-largo plazo (2020-2040) con una tasa de crecimiento del 0,15% superior al crecimiento potencial. La tasa de desempleo se reduce como consecuencia de la ejecución de medidas de mitigación en sectores intensivos en trabajo, tales como el sector de transporte y el agropecuario.
La implementación de las medidas de mitigación recompone la matriz energética. Los sectores afectados son los hidrocarburos con alto factor de emisiones de GEI. Sin embargo, la menor demanda interna de refinados de petróleo y carbón permite que los excedentes se exporten. De todas maneras, se debe establecer como prioridad la diversificación de la economía para anticipar escenarios en los que la demanda internacional de estos bienes se reduzca, en particular, el carbón mineral.
La diferencia en el cambio en el bienestar del hogar por nivel de gasto es pequeña. El comportamiento del bienestar sigue la tendencia de los resultados generales e implica un nivel de bienestar mayor para la sociedad al final del período simulado.
Independientemente de los requerimientos específicos para la implementación de un portafolio de medidas, es necesario tener estrategias generales que coadyuven a reducir la tendencia de las emisiones futuras (Banco Mundial, DNP, 2014).
Las estrategias deben enfocarse en el tipo de inversiones que se desean promocionar en el país: aquellas que refuerzan el uso de factores intensivos en emisiones o las que generan dotaciones iniciales para un crecimiento económico con bajas emisiones de GEI. La inversión pública podría incidir en la dirección deseada de la financiación privada ya que puede propiciar reducción de los riesgos sobre activos y el Estado puede aplicar reglamentos, incentivos, coinversión, creando instrumentos de riesgo compartido, entre otros (Comisión Global sobre Economía y Clima, 2014).
El tipo de innovación también afecta la tendencia futura de las emisiones. Deben ser claras las estrategias sobre el desarrollo de nuevos productos; formas de aprovechamiento eficiente de insumos como los energéticos, los fertilizantes y los materiales; generación de productos que reduzcan el riesgo de la inversión climáticamente inteligente, así como la innovación aplicada a la regulación y contratación pública que despliegue la inversión pública en la dirección deseada.
Ahora bien, a la luz de los resultados obtenidos en este trabajo y del portafolio de medidas de mitigación que hacen parte del compromiso asumido en la COP21 surgen las siguientes recomendaciones:
La ejecución de las medidas asociadas a modificar los patrones de consumo final, y la eficiencia energética en la industrial y el transporte generan los mayores impactos positivos sobre el crecimiento económico, deben ser prioridad.
La implementación de las medidas en el sector agropecuario, residuos y transporte público corresponden al ámbito municipal o departamental. Es necesario desarrollar mecanismos para alinear los incentivos subnacionales con los compromisos adoptados por el país.
El gas natural se convierte en un recurso de transición hacia otros renovables no convencionales. Por lo tanto, es necesario "garantizar un suministro confiable de gas natural en el país" (UPME, 2015, p. 104) y eso es posible con el desarrollo de infraestructura para la importación, el almacenamiento y el transporte, así como la creación de incentivos a las inversiones en proyectos de exploración (UPME, 2015).
Lo mencionado no quiere decir que se deba dejar de lado la promoción de los renovables no convencionales en nuevas instalaciones y usos energéticos no considerados en las medidas de mitigación. El potencial que tiene Colombia en energías alternativas es considerable.
Es posible que el déficit en cuenta corriente aumente debido al incremento de las importaciones de bienes y equipos requeridos para implementar las medidas de mitigación (es el caso del parque automotor eléctrico). Establecer una política que fomente la producción nacional de equipos tendría un efecto positivo en la generación de empleo, el déficit en cuenta corriente y la reducción de emisiones.
Esta evaluación económica no considera los innumerables cobeneficios asociados al compromiso de reducción de emisiones: medidas de mitigación en el transporte urbano mejorarían la calidad del aire, lo que posiblemente reduciría los casos y muerte asociados a enfermedades respiratorias; aquellas medidas relacionadas con el sector agropecuario y cambios de uso del suelo conservarían y restablecerían los servicios ecosistémicos prestados por ecosistemas estratégicos; las medidas en el sector de residuos mejorarían las condiciones de saneamiento básico, y posiblemente reducirían el impacto ambiental local; la lista puede continuar y, asimismo, las investigaciones.
El resultado positivo de las medidas de mitigación es posible al contar con el apoyo político, la existencia y estímulo para el surgimiento de empresarios innovadores y la participación activa de la sociedad civil. El futuro dependerá, significativamente, de las decisiones que se tomen hoy.
Agradecimientos
Se contó con el apoyo del programa Mitigation Actions & Plans Scenarios (MAPS) y The Partnership Market Readiness. El equipo de trabajo agradece a la Estrategia Colombiana de Desarrollo bajo en Carbono, la Dirección de Cambio Climático del Ministerio de Ambiente y Desarrollo Sostenible y la Dirección de Síntesis y Cuentas Nacionales del Departamento Administrativo Nacional de Estadística. Se agradecen los comentarios y aportes de los revisores del documento y los asistentes al Seminario Técnico de DNP del 29 de octubre del 2015, al Seminario Semanal de Economía del 2 de marzo del 2016 organizado por el Banco de la República y del Quinto Congreso de Economía Colombiana el 30 de septiembre del 2016. Una primera versión de este documento se publicó en Archivos de Economía 440.
REFERENCIAS
1. Araar, A., & Verme, P. (2012). Reforming subsidies: A tool-kit for policy simulations (Working Paper 6148). World Bank Policy. Washington, D. C.
2. Araar, A., & Verme, P. (2015). SUBSIM: A user guide. Recuperado de Subsidy Simulation Stata Package: http://subsim.org/refs/SUBSIM%20Guide_v_8.pdf.
3. Banco Mundial. (2012). Desarrollo bajo en carbono para Colombia.
4. Banco Mundial, Departamento Nacional de Planeación. (2014). Desarrollo de bajo carbono para Colombia. Washington D. C.
5. Burfisher, M. (2011). Introduction to computable general equilibrium models. Cambridge: Cambridge University Press.
6. Burniaux, J., Martin, J., Nicoletti, G., & Oliveira, J. (1991). GREEN a multiregion dynamic general equilibrium model for quantifying the costs of curbing CO2 emissions: A technical manual (Working Papers 104). OECD Economics Department. París.
7. Calderón, S., Álvarez-Espinosa, A. C., Loboguerrero, A. M., Arango, S., Calvin, K., Kober, T., & Fisher-Vanden, K. (2016). Achieving CO2 reductions in Colombia: Effects of carbon taxes and abatement targets. Energy Economics, 56, 575-586.
8. Calvin, K., Clarke, L., Krey, V., Blanford, G., Jiang, K., Kainuma, M., & Shukla, P. (2012). The role of Asia in mitigating climate change: Results from the Asia modeling exercise. Energy Economics, 34, 251-260.
9. Clarke, L., McFarland, J., Octaviano, C., Van Ruijven, B., Beache, R., Daenzer, K. M., & Van der Zwaan, B. (2016). Long-term abatement potential and current policy trajectories in Latin American countries. Energy Economics, 56, 513-525.
10. Clerc, J., Díaz, M., & Campos, B. (2013). Desarrollo de una metodología para la construcción de curvas de abatimiento de emisiones de GEI incorporando la incertidumbre asociada a las principales variables de mitigación. Nota técnica del BID (541).
11. Comisión Global sobre Economía y Clima. (2014). Mejor crecimiento, mejor clima: síntesis del informe sobre la nueva economía del clima. Washington D. C.: New Climate Economy Report.
12. Departamento Nacional de Planeación (DNP), Banco Interamericano de Desarrollo (BID). (2014). Impactos económicos del cambio climático-Síntesis. Bogotá.
13. Departamento Nacional de Planeación (DNP), Banco Interamericano de Desarrollo (BID). Comisión Económica para América Latina (Cepal). (2014). Impactos económicos del cambio climático. Estudio síntesis. Nuevas ediciones.
14. Econometría; MADS. (2014). Desarrollo y aplicación piloto de la metodología de evaluación de los cobeneficios de acciones de mitigación del cambio climático en Colombia. Informe final de consultoría.
15. Energy Research Centre of the Netherlands (ECN). (2010). Marginal Abatement Cost (MAC) Curve. Policy brief. Recuperado el 23 de julio del 2015 de http://www.ecn.nl/docs/library/report/2011/o11020.pdf.
16. Energy Research Centre of the Netherlands (ECN). (2010). Marginal Abatement Cost (MAC) Curve. Recuperado el 23 de julio del 2015 de http://www.ecn.nl/docs/library/report/2011/o11020.pdf.
17. García, C., Barrera, X., Gómez, R., & Suárez, R. (23 de junio del 2015). El ABC de los compromisos de Colombia para la COP21. Recuperado el 14 de septiembre del 2015 de http://www.wwf.org.co/?248415/El-ABCde-los-compromisos-de-Colombia-para-la-COP-21.
18. Gobierno de Colombia. (2015). Contribución prevista y determinada a nivel nacional. Recuperado de https://www.minambiente.gov.co/images/cambioclimatico/pdf/colombia_hacia_la_COP21/iNDC_espanol.pdf.
19. Ian, S.-W., Daenzer, K., Fisher-Vanden, K., & Calvin, K. (2011). Phoenix Model Documentation. Joint Global Change Research Institute.
20. Instituto de Hidrología, Meteorología y Estudios Ambientales (Ideam) (2015). Estudio Nacional del Agua 2014. Bogotá.
21. Instituto de Hidrología, Meteorología y Estudios Ambientales (Ideam). (2015). Nuevos escenarios de cambio climático para Colombia 2011-2100. Bogotá.
22. Kober, T., Summerton, P., Pollitt, H., Chewpreecha, U., Ren, X., Wills, W., & Loboguerrero, A. (2016). Macroeconomic impacts of climate change mitigation in Latin America: A cross-model comparison. Energy Economics, 56, 625-636.
23. Lee, H., Oliveira-Martins, J., & Van der Mensbrugghe, D. (1994). The OECD Green Model: An updated overview (Technical Paper 97). OECD Development Centre.
24. Loboguerrero, A. M., & Uribe, M. (2014). Análisis macroeconómico. En Banco Mundial, & Departamento Nacional de Planeación, Desarrollo de bajo carbono para Colombia. (pp. 151-174). Washington D. C.: Banco Mundial. Departamento Nacional de Planeación.
25. Ministerio de Ambiente y Desarrollo Sostenible (MADS). (2015). Documento técnico soporte de la iNDC de Colombia. Recuperado el 27 de julio del 2015 de https://www.minambiente.gov.co/images/cambioclimatico/pdf/colombia_hacia_la_COP21/Documento_Tecnico_de_Soporte_Jul24_Final.pdf.
26. Ministerio de Ambiente y Desarrollo Sostenible (MADS). (2015). Fichas de las medidas: Documento técnico soporte de la iNDC Colombia. Hojas de cálculo informe 05: Documento técnico soporte de la iNDC Colombia. Recuperado el 14 de marzo del 2016 de http://www.minambiente.gov.co/images/cambioclimatico/pdf/colombia_hacia_la_COP21/Fichas_portafolio_medidas.pdf.
27. Ministerio de Ambiente y Desarrollo Sostenible (MADS) (14 de mayo del 2015). INDC de Colombia: contexto nacional para su formulación. Recuperado el 22 de junio del 2015 de https://www.minambiente.gov.co/images/cambioclimatico/pdf/colombia_hacia_la_COP21/INDC_de_Colombia_Contexto_Nacional_para_su_Formulación.pdf.
28. Ministerio de Minas y Energía (MME), Unidad de Planeación Minero Energética (UPME). (2012). Cadena del carbón. Bogotá.
29. Pauw, K. (2007). Economy-wide modeling: An input into the long term mitigation scenarios process. LTMS Input Report 4, University of Cape Town, Energy Research Centre.
30. Romero, G., Álvarez-Espinosa, A., Calderón, S., & Ordóñez, D. (2015). Impactos distributivos de un impuesto verde para Colombia. Archivos de Economía, 439, 1-28.
31. Santa-María, M., Piraquive, G., Hernandez, G., & Rojas, N. (2013). Crecimiento económico y desempleo: retos a largo plazo. Archivos de Economía, 401, 1-26.
32. Subdirección de Desarrollo Ambiental Sostenible (SDAS), Departamento Nacional de Planeación (DNP). (abril de 2012). Análisis de los impactos económicos del cambio climático para Colombia utilizando un modelo de equilibrio general computable. Recuperado el 17 de septiembre del 2013 de https://www.dnp.gov.co/DNPN/Paginas/default.aspx.
33. Sistema Nacional de Competitividad, Ciencia, Tecnología e Innovación (SNCCTI) (agosto de 2014). Agenda de Competitividad 2014-2018. Recuperado de http://www.colombiacompetitiva.gov.co/sncei/Paginas/agenda.aspx.
34. United Nations Framework Convention on Climate Change (UNFCCC). (2015). Desafíos de la COP21. Recuperado el 25 de julio del 2015 de http://www.cop21.gouv.fr/es/cop21-cmp11/desafios-de-la-cop21.
35. Unidad de Planeación Minero Energética (UPME). (2015). Plan Energético Nacional Colombia: Ideario Energético 2050.
36. United States Environmental Protection Agency (EPA). (2016). Technical update of the social cost of carbon for regulatory impact analysis. Technical support document, EPA, Interagency Working Group on Social Cost of Greenhouse Gases. Recuperado el 28 de diciembre del 2016 de https://www.epa.gov/sites/production/files/2016-12/documents/sc_co2_tsd_august_2016.pdf.
37. Van der Zwaan, B., Kober, T., Calderon, S., Clarke, L., Daenzer, K., Falzon, J., & Di Sbroiavacca, N. (2016). Energy technology roll-out for climate change mitigation: A multi-model study for Latin America. Energy Economics, 526-542.
38. Van Ruijven, B., Daenzer, K., Fisher-Vanden, K., Kober, T., Paltsev, S., Beach, R., & Van Vuuren, D. (2016). Baseline projections for Latin America: Base-year assumptions, key drivers and greenhouse emissions. Energy Economics, 56, 499-512.
39. Vandycka, T., Keramidasa, K., Saveyna, B., Kitousa, A., & Vrontisib, Z. (2016). A global stocktake of the Paris pledges: Implications for energy systems and economy. Global Environmental Change, 41, 46-63.
40. Villamil, J., & Hernández, G. (2015). Encadenamientos, clústeres y flujos de trabajo en la economía colombiana. Archivos de Economía, 425, 1-31.
41. World Health Organization (WHO), United Nations Framework Convention on Climate Change (UNFCCC). (17 de noviembre del 2015). The climate and health country profiles-Colombia. Recuperado de http://www.who.int/globalchange/resources/country-profiles/PHE-countryprofile-Colombia.pdf?ua=1.
42. World Bank. (2012). Climate change, disaster risk, and the urban poor. Cities building resilience for a changing world. (J. Baker, Ed.) Washington. Recuperado de https://openknowledge.worldbank.org/handle/10986/6018.
43. World Bank. (2015). Establishing post-2020 emission pathways: A checklist report. prepared for the partnership for market readiness, Washington, D. C. Recuperado de https://openknowledge.worldbank.org/bitstream/handle/10986/21877/EPEP_eBook.pdf?sequence=1.
44. World Bank, Ecofys, Vivid Economics. (2016). State and trends of carbon pricing. Washington, D. C.: World Bank.
Abreviaturas usadas
BAU: Bussines as usual
BID: Banco Interamericano de Desarrollo
BM: Banco Mundial
Cepal: Comisión Económica para América Latina
CIIU: Clasificación Industrial Internacional Uniforme
CK: Costos de inversión
COP21: Conferencia de las Partes
DNP: Departamento Nacional de Planeación
CO2eq: Dióxido de carbono equivalente
ECN: Energy Research Centre of the Netherlands
ENCV: Encuesta Nacional de Calidad de Vida
GEI: Gases de efecto invernadero
Ideam: Instituto de Hidrología, Meteorología y Estudios
Ambientales de Colombia
iNDC: Intended Nationally Determined Contributions
MACC: Marginal abatement cost curve
MADS: Ministerio de Ambiente y Desarrollo Sostenible
MEGC: Modelo de Equilibrio General Computable
MEG4C: Modelo de Equilibrio General Computable Colombiano para
Cambio Climático
MMS: Modelo de Microsimulaciones
MME: Ministerio de Minas y Energía
O&M: Operación y mantenimiento
PIB: Producto interno bruto
SDAS: Subdirección de Desarrollo Ambiental Sostenible
UNFCCC: United Nations Framework Convention on Climate Change
UPME: Unidad de Planeación Minero Energética
WHO: World Health Organization
ANEXOS
Anexo 1. Generalidades del MEG4C y del modelo de microsimulación
El MEG4C tiene una estructura de producción en donde el valor agregado es una combinación de un bien compuesto capital-energía con trabajo. La energía, a su vez, es una combinación de cinco energéticos (petróleo, carbón, refinados del petróleo, gas y electricidad) que conforman la matriz energética del modelo. Además, hay un tratamiento dinámico de la acumulación de capital.

Para evaluar las medidas de mitigación se debe representar algún tipo de sustitución entre el capital y la energía, lo cual hace que el costo estimado de reducción baje o se reduzca siempre y cuando haya mayor flexibilidad de las tecnologías de producción (Burfisher, 2011).
La matriz de contabilidad social, insumo cuantitativo del modelo, tiene como año base el 2010 y está agregada en doce sectores económicos. Entre ellos se encuentran los energéticos (carbón mineral, petróleo, refinados de petróleo, electricidad y gas natural). La incorporación de los bienes energéticos fue posible gracias a la información de la matriz oferta-utilización de la cuenta ambiental y económica de energía y de emisiones del DANE, que hace parte del Sistema de Cuentas Satélites Ambientales.
Cierres del MEG4C
Los cierres del modelo aseguran que el número de ecuaciones puedan explicar la totalidad de variables endógenas. El MEG4C permite hacer varios cierres alternativos, sin embargo, los usados para el desarrollo de este trabajo son:
El consumo y el ahorro fiscal son exógenos, los ingresos fiscales son endógenos.
Los salarios relativos son exógenos, la tasa de desempleo es endógena.
La tasa de cambio se determina de manera endógena.
Modelo de microsimulaciones
Algo que no considera el análisis económico a partir de la MACC y tampoco el MEG4C (Burfisher, 2011), es el efecto que tienen las medidas sobre los precios finales, lo cual repercute en el bienestar de los hogares, entendido como acceso a una canasta de bienes de consumo. El modelo de MMS recoge la heterogeneidad de cada hogar con diferente nivel de ingreso y, ante cambios en los precios finales de la canasta de consumo de bienes finales, se pueden entender las repercusiones sobre el bienestar, derivados de las medidas de mitigación que hacen parte del compromiso de reducción de emisiones.
Anexo 2. Composición de las canastas: sectores del MEG4C y sectores la ECV
La relación se hace agrupando el consumo de los hogares en los sectores que representan el MEG4C.

Anexo 3. Serie de precios usada para las microsimulaciones Pj,tmm - Pj,tbau


Anexo 4. Matriz de contabilidad social, año base 2010 Abreviaturas usadas

Notas
Información adicional
Clasificación
JEL: C68, O44, Q51, Q54.
JEL
classification: C68, O44, Q51, Q54.