Artículos
Exposición al conflicto armado y logro académico en Colombia
Exposure to armed conflict and academic achievement in Colombia
Exposición al conflicto armado y logro académico en Colombia
Desarrollo y Sociedad, núm. 83, pp. 13-53, 2019
Universidad de Los Andes

Recepción: 20 Mayo 2018
Recibido del documento revisado: 25 Febrero 2019
Aprobación: 20 Mayo 2019
Resumen: La educación es uno de los canales por los cuales un contexto violento puede afectar el bienestar social. El objetivo de este artículo es analizar la incidencia del conflicto armado colombiano en el logro académico de los estudiantes por establecimiento educativo. En específico, estimamos el efecto de las acciones armadas en la proporción de estudiantes por nivel de desempeño en las pruebas Saber 3.º y Saber 9.º del 2016. Se evidencia que a medida que se intensificaron las acciones armadas, aumentó el porcentaje de estudiantes con desempeño académico insuficiente. El efecto fue relativamente más fuerte en la prueba de lenguaje y en los estudiantes de secundaria. Esta incidencia negativa de las acciones armadas en el logro académico, en especial en los adolescentes, pudo tener un efecto persistente en las oportunidades y en el capital humano de largo plazo.
Palabras clave: violencia, enseñanza primaria, enseñanza secundaria, evaluación del estudiante, Colombia.
Abstract: Education is one of the channels by which a violent context could affect social welfare. The purpose of this article is to analyze the incidence of the Colombian armed conflict on the academic performance of primary and secondary school students. We estimated the effect of armed actions on the proportion of students by performance level in two national standardized tests. We found that as armed actions intensified, the percentage of students with insufficient academic performance increased. The effect was relatively stronger in the language test and among secondary students. The negative impact of armed actions on academic achievement, especially among young people, could have a persistent effect on human capital in the long run.
Keywords: Violence, primary education, secondary education, Student evaluation, Colombia.
Introducción
El efecto de un aumento en la violencia puede ir más allá de la pérdida de vidas y la destrucción del capital físico, puesto que también conlleva un ambiente de riesgo e incertidumbre en las comunidades (Brück, Di Maio y Miaari, 2014). Algunas investigaciones han establecido que la exposición a repetidos actos de violencia puede generar retrasos en el desarrollo cognitivo, lo que a su vez genera menor rendimiento escolar (Buvinic, Das Gupta y Shemyakina, 2013; Margolin y Gordis, 2000). La literatura señala que estudiar en un ambiente con alta incidencia de violencia podría disminuir las probabilidades de aprobar exámenes educativos estatales (Brück, Di Maio y Miaari, 2014).
Examinar el efecto de un contexto violento en la educación es relevante para comprender el impacto en el desarrollo económico, dado que los estudiantes representan el capital humano de largo plazo de un país (Brück, Di Maio y Miaari, 2014). Las investigaciones dedicadas a estimar la incidencia de un contexto de alta intensidad del conflicto armado en la educación han sido escasas (Akresh y De Walque, 2008).
La literatura acerca de conflicto armado y educación se ha enfocado en analizar la relación con la asistencia escolar o con los años de educación, siendo limitados los estudios de las implicaciones de acciones violentas en resultados de pruebas estandarizadas nacionales (Gómez, 2017). La medida de logro educativo a partir exámenes nacionales puede ser considerada un indicador del éxito futuro en la educación posterior y en el ingreso al mercado laboral (Tobón, Posada y Ríos, 2009).
Este artículo enriquece la literatura existente al estimar el efecto que tiene el conflicto armado colombiano en el logro educativo en pruebas estandarizadas en la mitad de la educación básica primaria y secundaria. Esta investigación permite evidenciar con una novedosa estrategia empírica, los determinantes del logro educativo en términos de las categorías que reflejan los puntajes absolutos en cada prueba.
La principal contribución de este artículo es que considera la distribución del desempeño académico por institución educativa en dos ciclos de la educación básica en Colombia. Así, en lugar de analizar el efecto de la violencia asociada al conflicto armado sobre el puntaje promedio por institución, se considera su efecto sobre la proporción de estudiantes en cada nivel de desarrollo de competencias para los módulos de lenguaje y matemáticas. También, lo novedoso del estudio es que evalúa el impacto de la violencia en dos niveles intermedios de la educación básica y no al final de la educación media como se suele analizar en la literatura.
A diferencia de lo que hasta ahora se ha hecho en la literatura (Burdick-Will, 2013; Delaney-Black et al., 2002; Deole, 2018; Gómez, 2017; Jarillo, Magaloni, Franco y Robles, 2016; López, 2012; Orraca, 2018) la estrategia empírica de este artículo hace posible el análisis desde y entre los niveles de desempeño absoluto en las pruebas de diferentes grados, áreas e instituciones educativas. De este modo, si el desempeño de la generación de estudiantes que presenta una prueba de un área específica es insuficiente, con esta metodología es posible evidenciarlo.
Es usual en este tipo de investigaciones que la unidad de estudio sean los estudiantes, de quienes se analiza el puntaje promedio bajo una escala relativa a los que presentan cada prueba en cada periodo, por lo que los niveles de desempeño no son comparables. Lo novedoso de esta investigación es que la unidad de análisis son los establecimientos educativos en lugar de los estudiantes, lo que posibilita realizar una investigación, como en este caso, cuando solo se encuentra la información del desempeño de los estudiantes por institución educativa, en lugar de en forma individual.
El caso colombiano es relevante de estudio ya que se constituye en el conflicto armado interno más largo en el mundo (Camacho y Rodríguez, 2013; Silva y Massey, 2015). De acuerdo con los datos del índice global de terrorismo del 2018, Colombia ocupa el puesto 27 a nivel mundial y el primero en la región latinoamericana (Institute for Economics & Peace, 2018).
En este artículo, la información de la proporción de estudiantes de las instituciones educativas por nivel de desempeño (insuficiente, mínimo, satisfactorio y avanzado) en las pruebas estandarizadas Saber 3.º y Saber 9.º del 2016 provino del Instituto Colombiano para la Evaluación de la Educación (Icfes). Asimismo, la información de la intensidad de conflicto armado fue medida a través del número de acciones armadas por municipio y provino del Sistema de Información Geográfica y de Ordenamiento Territorial (Sigot). En esta información se consideran como acciones armadas los hostigamientos, emboscadas, asaltos a poblaciones, actos de terrorismo, ataques a instalaciones de la Fuerza Pública y piratería terrestre de todos los grupos armados ilegales durante los años previos a la presentación de las pruebas estandarizadas.
La metodología utilizada consiste en estimar los efectos parciales promedio de la intensidad del conflicto armado colombiano en el desempeño académico en lenguaje y matemáticas de los estudiantes de primaria y secundaria mediante un modelo logístico multinomial fraccionado. Lo anterior, en razón a que la proporción de estudiantes en un nivel particular de desempeño está acotada entre 0 y 1, sumado a la escasa posibilidad de observar uno de estos valores extremos, el efecto de una variable explicatoria tiende a ser no lineal, lo cual no se modelaría adecuadamente mediante una regresión lineal. También, un modelo lineal puede generar predicciones por fuera del rango entre 0 y 1, junto con problemas de heterocedasticidad al tender a reducirse la varianza de los valores ajustados en los valores extremos.
El modelo logístico multinomial fraccionado es una alternativa de estimación que considera que los casos límites 0 y 1 ocurren en el mismo proceso que las otras proporciones dentro de un mismo nivel y que las proporciones de distintos niveles de desempeño están automáticamente correlacionadas (si aumenta la proporción de estudiantes en un nivel de desempeño, deben compensarse las proporciones de los otros niveles para mantener la suma de todas las proporciones en uno). Este modelo es una generalización multivariada del modelo fraccional propuesto por Papke y Wooldridge (1996).
Para controlar los posibles problemas de endogeneidad de la variable de conflicto armado, se aplicó el enfoque de función control propuesto por Nam (2014), que es más apropiado para cuando la variable dependiente no es continua. En este caso, consideramos como instrumento la tasa municipal de capturas por homicidios rezagada un año que se construyó a partir de los reportes oficiales del Observatorio del Delito de la Policía Nacional de Colombia.
Los resultados demostraron que las acciones armadas tuvieron un impacto negativo en el desempeño académico de los estudiantes de las instituciones educativas que presentaron las pruebas de primaria y secundaria. Un aumento de una acción armada en un municipio estuvo relacionado con un menor porcentaje de estudiantes con desempeño académico satisfactorio y mayor proporción de estudiantes con nivel insuficiente, tanto en lenguaje como en matemáticas. Esto implicaría que hechos violentos promovieron un desplazamiento del desempeño académico de los estudiantes hacia la parte inferior de la distribución de puntajes de estas pruebas.
No obstante, parece que el conflicto armado colombiano no impactó de la misma manera el desempeño en las distintas áreas de conocimiento y para distintos momentos en la trayectoria educativa. Una acción armada disminuyó en mayor proporción el logro educativo en lenguaje que en matemáticas. Además, el efecto de las acciones armadas tuvo efectos más adversos en el desempeño académico de los estudiantes de noveno grado (mitad de secundaria) que en los de tercero (mitad de primaria).
El documento está compuesto por siete partes siendo esta introducción la primera. En la segunda parte, se revisa la literatura acerca de la relación entre violencia y logro educativo. En la tercera parte se describen los datos y en la cuarta parte se presenta la estrategia empírica. En la quinta parte se analizan los resultados. La sexta parte se dedica a dilucidar, a partir de la literatura, los posibles mecanismos de transmisión de la violencia al desempeño académico. En la última sección se presentan las conclusiones.
I. Revisión de la literatura
El efecto de los conflictos armados en el capital humano puede ser persistente, especialmente si los hechos violentos ocurren en edades tempranas (León, 2012). La población más joven es el grupo con mayor vulnerabilidad ante actos de violencia en una comunidad (Brown y Velásquez, 2017; Guerra y Dierkhising, 2011). La población en edad escolar es la más afectada por altos índices de criminalidad, destrucción de propiedades, deterioro de las condiciones económicas y desplazamiento forzado (Justino, 2011). La exposición al conflicto armado a edades tempranas puede tener un impacto negativo en el logro educativo a corto plazo (Brück, Di Maio y Miaari, 2014), con secuelas en edades adultas, entre ellas, menores ingresos, trampas de pobreza y resultados negativos futuros en el mercado laboral (Buvinic, Das Gupta y Shemyakina, 2013; Justino, 2011; Margolin y Gordis, 2000; Shemyakina, 2011).
Para el caso colombiano, algunas investigaciones han demostrado un efecto negativo de la violencia sobre la acumulación de capital humano. Entre los distintos factores, se considera que el conflicto armado induce a los hogares a desplazarse forzadamente a otros lugares, lo que puede generar un rezago en la escolaridad de los niños (Ibáñez, 2009). En este sentido, la exposición a acciones armadas puede disminuir los años de educación de los individuos (Fergusson, Ibáñez y Riaño-Rodríguez, 2015). Igualmente, el conflicto armado genera condiciones socioeconómicas adversas en los hogares. Al parecer, en niños mayores de once años se pueden presentar mayores probabilidades de desertar de sus estudios e ingresar tempranamente al mercado laboral (Rodríguez y Sánchez, 2012).
Estudios anteriores han establecido que en ambientes con una alta incidencia de violencia pueden disminuir las probabilidades de aprobar exámenes educativos estatales (Brück, Di Maio y Miaari, 2014; Orraca, 2018). Existe evidencia de una relación negativa entre la violencia de la comunidad y el logro educativo medido a través de pruebas estandarizadas (Ratner et al., 2006).
En el cuadro 1 se presentan las investigaciones para Colombia que han considerado la relación de la violencia con el desempeño en exámenes estandarizados nacionales. Rodríguez y Sánchez (2010) analizaron el efecto causal del conflicto armado en el logro educativo de los estudiantes que están por finalizar bachillerato y que presentaron las pruebas Saber 11. En el estudio encuentran que un aumento en el número de ataques por grupos armados disminuyó los resultados en las pruebas en 0,75 desviaciones estándar.

Por su parte, Vargas, Gamboa y García (2014), al utilizar también información de las pruebas Saber 11, encontraron que el conflicto en Colombia puede generar una selección positiva en términos de habilidad y esfuerzo de los estudiantes vinculados al sistema educativo, aumentando la equidad de oportunidades en el desempeño académico. Utilizando la misma fuente de información, Gómez (2017) analizó la relación entre el conflicto armado y el desempeño de los estudiantes de último grado de secundaria y encontró que la intensidad del conflicto tuvo un impacto negativo, aunque no tan pronunciado, en los resultados de la prueba de lenguaje. Por otro lado, Giraldo y Ojha (2017) estudiaron la incidencia que tiene la calidad de la educación en la violencia municipal. Los resultados muestran que un mayor logro educativo municipal reduce en cinco desviaciones estándar el total de secuestros por cada 100.000 habitantes.
II. Datos
La información del nivel de desempeño provino de los resultados del área de lenguaje y matemáticas por colegio en las pruebas Saber 3.º y 9.º del 2016. Se utilizaron estos dos niveles de educación con el propósito de analizar los conocimientos en la mitad de la trayectoria educativa de primaria (tercer grado) y secundaria (noveno). La base de datos se obtuvo del Icfes. Esta información se complementó con la Encuesta de Educación Formal (EDUC) del 2015 del Departamento Administrativo Nacional de Estadística (DANE).
Con los resultados de las pruebas Saber 3.º y Saber 9.º se generaron un conjunto de indicadores de desempeño académico que permiten conocer el estado de las capacidades de los estudiantes, con representatividad a nivel nacional de los establecimientos educativos en Colombia (Icfes, 2016b). Las características de las pruebas no permiten evaluar la totalidad de las competencias pero sus resultados son indicadores importantes de la capacidad de los estudiantes para continuar aprendiendo a lo largo de la vida y transferir sus aprendizajes a distintas situaciones (Icfes, 2016b).
La prueba Saber 3.º evalúa aquellas competencias que pueden medirse a través de pruebas estandarizadas a estudiantes que están en grado tercero, es decir, a la mitad de la educación primaria para las áreas de lenguaje y matemáticas (Icfes, 2016b). Por su parte, la prueba Saber 9.º realiza una evaluación de las competencias básicas a los estudiantes en la mitad de la educación secundaria (noveno grado) para las áreas de lenguaje, matemáticas, competencias ciudadanas y ciencias naturales. Aunque estas pruebas no abarcan la totalidad de contenidos ni de estándares definidos para cada área, son un indicador del avance en el proceso de formación en educación básica y permiten establecer los niveles de desempeño, las fortalezas y las debilidades de los estudiantes (Icfes, 2016b). El logro educativo medido a través de pruebas estandarizadas presenta ventajas en cuanto a la comparabilidad, transparencia y simplificación en el monitoreo de la calidad de la educación (Sarmiento Espinel, Silva Arias y Van Gameren, 2015; Tobón et al., 2009).
En particular, se analizó la proporción de estudiantes de las instituciones educativas en Colombia en cada nivel de desempeño de la prueba en forma ascendente: insuficiente, mínimo, satisfactorio y avanzado. La información se limitó a las instituciones que presentaron ambas pruebas de conocimientos: lenguaje y matemáticas. La muestra final de Saber 3.º y 9.º incluyó respectivamente el 60% y 68% del total de establecimientos educativos que presentaron al menos un módulo de alguna de las dos pruebas. La muestra de Saber 3.º y Saber 9.º está compuesta por 7.038 y por 6.279 establecimientos educativos, respectivamente.
Adicionalmente, se recopiló información de algunas características de los municipios colombianos en los que se encontraban ubicados los estable-cimientos educativos para el año 2015. La información de contexto socio-económico provino del Panel de Municipios del Centro de Estudios sobre Desarrollo Económico (CEDE).
En este artículo la intensidad del conflicto armado se midió mediante el número de acciones armadas. Los datos del número de acciones armadas provienen de la Vicepresidencia de la República y se obtuvieron del Sigot para los años 2013, 2014 y 2015. Las acciones armadas incluyen: hostigamientos, emboscadas, asaltos a poblaciones, actos de terrorismo, ataques a instalaciones de la Fuerza Pública y piratería terrestre de todos los grupos armados ilegales. Esta información se encuentra disponible anualmente, lo cual restringe las posibilidades de análisis de la ocurrencia de un hecho violento con la proximidad de la fecha de presentación de la prueba.
La tasa de capturas por homicidio se construyó a partir de los reportes oficiales del Observatorio del Delito de la Policía Nacional de Colombia. La información se registra por número de capturas diarias y por tipo de delito. Para este artículo se consideraron las capturas por homicidios a nivel municipal por año. A partir de esta misma fuente de información se consolidaron los registros diarios de homicidios por municipio en los años 2013, 2014 y 2015. La tasa se elaboró mediante el cociente de asesinos capturados por la policía con respecto al número total de homicidios por año.
La tasa de homicidios por 100.000 habitantes se construyó con el consolidado por año y municipio del número de hechos diarios reportados por la Policía Nacional sobre el total de la población municipal para el 2015 utilizando las proyecciones poblacionales del DANE.
En el cuadro 2 se presentan los estadísticos descriptivos de la variable dependiente, la fracción de estudiantes en las categorías de desempeño de la prueba (insuficiente, mínimo, satisfactorio y avanzado) para la muestra de instituciones educativas colombianas.

Errores estándar en paréntesis.
Fuente: Icfes (2016). Cálculos de los autores.Los estudiantes de tercer grado se ubicaron en promedio en los dos niveles superiores de la prueba de matemáticas, avanzado (40,8%) y satisfactorio (25,9%). En lenguaje la proporción promedio de estudiantes que se ubicaron en el nivel superior de la prueba es menor, siendo la diferencia con matemáticas de aproximadamente nueve puntos porcentuales. Según las capacidades esperadas por el Icfes (2015) para cada nivel de desempeño, los estudiantes que presentaron el Saber 3.º suelen tener un mejor desempeño en el uso de operaciones con números naturales que en comprensión lectora.
Para la muestra de colegios que presentaron la prueba Saber 9.º, en promedio el 46,7% de los estudiantes se encontró en el nivel mínimo en matemáticas. Para ese caso, los estudiantes respondieron correctamente solo las preguntas de menor dificultad de la prueba (Icfes, 2015). Además, fue bajo el promedio de colegios cuyos estudiantes han logrado responder las preguntas de mayor dificultad, ya que en promedio solo el 9,0% en lenguaje y el 7,5% en matemáticas de los estudiantes de las instituciones educativas se ubicaron en el nivel avanzado de desempeño. En noveno se presentó un menor logro educativo de los estudiantes en el área de matemáticas que en el área de lenguaje. Aún más bajo fue el desempeño en ambas áreas si se compara con los resultados de grado tercero.
En el cuadro 3 se muestran los estadísticos descriptivos de las variables seleccionadas en la especificación econométrica. Como variables explicativas se incluyeron variables relacionadas con la violencia municipal en el periodo anterior, así como otras variables relacionadas con los establecimientos educativos y variables del contexto municipal, rezagadas un año.


En cuanto a las variables que controlan la diversidad de características propias de los establecimientos educativos y de su contexto, se incluyó el número de estudiantes que presentaron la prueba, la relación del número de alumnos por profesor, el porcentaje de estudiantes por nivel socioeconómico (1, 2, 3, 4), área (rural/urbana), sector (oficial/no oficial). Estas variables se han utilizado en otros trabajos, como los de Rodríguez y Sánchez (2010) y Vargas, Gamboa y García (2014).
Respecto a las variables del contexto municipal que pudieron incidir en el rendimiento académico de los estudiantes de las instituciones educativas se incluyó el índice de gestión municipal, el índice de ruralidad (Gómez, 2017), el logaritmo de los ingresos totales (Rodríguez y Sánchez, 2012) y el logaritmo del índice de la pobreza municipal. Como medida de la intensidad del conflicto armado se utilizó el número de acciones armadas de grupos armados ilegales del año anterior (2015). Con el propósito de evaluar si el efecto del conflicto armado en el logro educativo es menor a medida que transcurre el tiempo (Orraca, 2018), también consideramos la incidencia del conflicto dos y tres años antes, 2014 y 2013, respectivamente.
La medición del efecto de la violencia en el logro educativo puede presentar posibles problemas de endogeneidad debido a que la violencia está asociada a la exclusión social y el desempeño académico puede ser resultado de la pobreza (Rodríguez y Sánchez, 2012). Con el propósito de controlar los problemas de endogeneidad, se incorporó en el análisis la tasa de capturas por homicidios como variable rezagada que instrumentaliza la violencia de contexto (Rodríguez y Sánchez, 2012; Vargas, Gamboa y García, 2014). Siguiendo a Rodríguez y Sánchez (2012), esta variable es una proxy de la efectividad de la fuerza pública para contrarrestar la violencia. En este sentido, las capturas de la Policía Nacional pueden influenciar el número de ataques terroristas, sin influenciar la calidad de la educación en los colegios. Estas detenciones sirven para demostrar la presencia de la fuerza pública y la presencia estatal en los municipios, desincentivando, en principio, la criminalidad a nivel municipal. Además, la tasa de capturas por homicidios no está afectada por características municipales al depender de las decisiones de una institución nacional como la Policía Nacional (Vargas, Gamboa y García, 2014).
Las decisiones de educación a nivel de la oferta y la demanda no deberían verse afectadas por el instrumento propuesto. En cuanto a la oferta educativa, el presupuesto para la educación pública es asignado a los gobiernos municipales de acuerdo con una regla de repartición que incluye el tamaño de la población y otras variables del contexto socioeconómico del municipio. Con respecto a la demanda educativa de los hogares, la tasa de capturas no es fácilmente observable por las familias, por lo que no se esperaría que afectara las decisiones referentes a la educación de la población en edad escolar (Rodríguez y Sánchez, 2012).
III. Estrategia empírica
Este artículo incluye una muestra de instituciones educativas que presentaron la prueba, donde cada institución i puede tener estudiantes en cuatro niveles de desempeño (1: insuficiente, 2: mínimo, 3: satisfactorio, 4: avanzado). Entonces, la variable dependiente Yij representa la fracción de estudiantes de la i -ésima institución que están en el nivel j -ésimo. Esta variable en sí cumple con una condición de naturaleza limitada dado que
. Otra restricción es que la suma de todas las proporciones por institución debe ser igual a uno
. Lo anterior implica que en el caso de estudio hay una interdependencia negativa entre la proporción de estudiantes en cada nivel de desempeño para cada establecimiento educativo (Buis, 2017).
De esta forma, la variable a explicar es la proporción de estudiantes en cada nivel de desempeño de las instituciones educativas. Lo anterior, debido a que para las pruebas Saber 3.º y 9.º solo estaban disponibles los porcentajes de estudiantes por nivel de desempeño para cada colegio, en lugar de estudiante por estudiante (Icfes, 2016a, 2016b). Así, dado que la variable dependiente es un porcentaje para cada nivel de desempeño por colegio se estimó un modelo logístico multinomial fraccional (Buis, 2017). Además, con el fin de tener en cuenta la posible endogeneidad del conflicto armado, se utilizó el método propuesto por Nam (2014) que realiza una estimación del modelo en dos etapas mediante una función de control.
Dado que nuestro principal interés es evaluar la incidencia del número de acciones armadas en la proporción de estudiantes por nivel de desempeño, se estimó el efecto parcial promedio (APE por su abreviatura en inglés) a través de la distribución poblacional de la heterogeneidad no observada (Wooldridge, 2005).
La estimación del modelo se realizó en dos etapas. En la primera etapa de la estimación se recuperaron los residuales de estimar la variable endógena, en este caso el número de acciones armadas, en función de todas las variables exógenas consideradas, adicionando la variable instrumental (tasa municipal de capturas por homicidios) que no se incluyó en la ecuación de la siguiente etapa. En la segunda etapa los residuales de la primera etapa sirven para controlar por los factores no observables, resolviendo de forma apropiada el problema de endogeneidad al incluirlos en el modelo de interés.
En el anexo A.1 se especifica detalladamente el modelo logístico multinomial fraccional que se estimó en este artículo, en el que se proporcionan los elementos de cómo se estiman los efectos parciales promedio de las acciones armadas en una variable dependiente que no es continua, en este caso la fracción de estudiantes por nivel de desempeño, y que además corrige los problemas de endogeneidad. Esta novedosa aplicación empírica que plantea una aplicación del modelo propuesto por Nam (2014) se constituye en uno de los aportes de este artículo. Esta metodología podría ser replicada para otros análisis en los que el logro educativo, o cualquier otra variable dependiente de interés, corresponda a porcentajes de niveles de desempeño académico por institución educativa.
IV. Resultados
A partir de un modelo logístico multinomial fraccional se estimaron para las pruebas Saber 3.º y Saber 9.º el efecto de acciones armadas asociadas al conflicto armado sobre la fracción de estudiantes por institución educativa en los niveles de desempeño de la prueba. Las estimaciones se realizaron para cada prueba por separado. Esto con el propósito de analizar si la violencia afectó el rendimiento académico de forma diferenciada, de acuerdo con el momento de la trayectoria educativa del estudiante.
Con respecto a los resultados de la primera etapa de estimación, se encontró que los municipios donde existió una mayor efectividad de capturas por homicidios por parte de la Policía Nacional hay una disminución del número de acciones armadas. En la segunda etapa de la estimación, en términos generales los coeficientes estuvieron acordes con la literatura. Asimismo, el residual de la primera etapa fue significativo en varios de los niveles de desempeño de las dos pruebas. Lo anterior da cierta evidencia de que la variable utilizada de intensidad del conflicto armado es endógena.
Los coeficientes estimados de la segunda etapa del modelo, controlados por la posible endogeneidad del conflicto armado, se presentan en el cuadro A.1 del anexo. Para analizar el efecto del conflicto en el logro educativo se calculó el APE de un cambio en el número de acciones armadas sobre cada nivel de desempeño. En el cuadro 4 se presentan los efectos sobre el logro educativo cuando se considera el número de acciones armadas como variable explicativa endógena.

** p < 0,05
*** p < 0,01
De esta forma, los resultados demostraron que la incidencia del conflicto armado en el logro académico no operó de la misma manera para las distintas áreas de conocimiento y grados educativos. Además, estos efectos parciales varían de los obtenidos con el modelo en que se considera el número de acciones armadas como variable explicativa exógena (cuadro A.2 del anexo). Al estimar el modelo con la tasa de capturas como instrumento, fue mayor el impacto del conflicto en los niveles de desempeño. En específico, los efectos parciales muestran que la intensidad del conflicto armado repercutió en los niveles de desempeño de los estudiantes de los colegios analizados, dado que en ambas pruebas fue más alta la proporción de estudiantes en los niveles insuficiente y mínimo.
Para la prueba Saber 3.º se encontró que un aumento de las acciones armadas en el municipio aumentó la proporción de estudiantes que presentaron un desempeño deficiente. En promedio aumentó la proporción de estudiantes con desempeño insuficiente en 3,1 y 2,8 puntos porcentuales en lenguaje y matemáticas. Además, aumentó la proporción de estudiantes con desempeño mínimo en promedio 2,9 y 2,5 puntos porcentuales en lenguaje y matemáticas, respectivamente. Asimismo, el aumento de la intensidad del conflicto armado disminuyó la proporción de estudiantes que se ubicaron en el nivel de desempeño satisfactorio de la prueba, reduciendo la proporción de estudiantes en 3,4 y 3,3 puntos porcentuales en lenguaje y matemáticas, respectivamente.
En la prueba Saber 9.º fue mayor el efecto de las acciones armadas en el desempeño académico en lenguaje. Una acción armada adicional aumentó en promedio 5,5 puntos porcentuales la proporción de estudiantes con desempeño mínimo. Paralelamente, se presentó una disminución de 4,5 y 2,6 puntos porcentuales en los niveles de satisfactorio y avanzado, respectivamente. En matemáticas, el efecto del conflicto armado aumentó en 2,9 puntos porcentuales la proporción de estudiantes con el nivel más bajo de desempeño en la prueba.
En el anexo se presentan otras estimaciones en las que incorporamos la intensidad del conflicto armado con dos y tres años de rezago a la fecha de las pruebas Saber 3.º (cuadro A.3) y Saber 9.º (cuadro A.4). Estas estimaciones siguen demostrando la incidencia negativa del conflicto armado en los niveles de desempeño académico de los estudiantes, aunque los efectos adversos fueron más fuertes a medida que fueron más lejanos de la fecha de presentación de las pruebas. Estos resultados son distintos a los mostrados por Orraca (2018) para el caso mexicano. Para el caso colombiano, el mayor impacto del conflicto armado a medida que el año de presentación de la prueba fue más lejano puede deberse a que la intensidad del conflicto armado ha ido en descenso, diferente al caso mexicano que la violencia ha ido en aumento (Ramírez-de-Garay y Díaz Román, 2017). Este resultado puede deberse también a que los efectos emocionales y psicológicos de exponerse al conflicto armado pudieron ser persistentes en el tiempo. Por otro lado, este hallazgo puede demostrar que las clases que pudieron ser canceladas debido al conflicto armado a inicios de la educación primaria, pero sobre todo en los cursos iniciales de la educación secundaria, tuvieron un mayor efecto en el logro educativo de los estudiantes a lo largo de su trayectoria educativa.
Estos efectos negativos del conflicto armado en los niveles de desempeño académico en la educación básica podrían incidir en el capital humano a largo plazo, y en general, en el bienestar de la sociedad. Así, estos resultados permiten medir los efectos del conflicto armado en el desempeño académico de los niños y jóvenes, como un aspecto clave para entender algunos de los costos sociales de la violencia.
V. Posibles mecanismos de transmisión
El efecto de la exposición a contextos de conflicto armado en los niños puede evaluarse desde diferentes niveles. Individualmente, los niños que han presenciado o han sido víctimas de hechos violentos tienen una mayor probabilidad de obtener menores puntajes en las pruebas estandarizadas de matemáticas y lenguaje (Delaney-Black et al., 2002; Jarillo et al., 2016). El conflicto armado puede tener efectos directos e indirectos en el desempeño educativo, ya sea por las heridas físicas o el miedo de las víctimas, pero también por el riesgo e inseguridad para toda la comunidad (Schuck, 2017). Estos altos niveles de miedo pueden estar ligados con problemas emocionales o comportamientos negativos que afectan la participación y el desempeño de los estudiantes en actividades educativas (Delaney-Black et al., 2002; Gorman–Smith y Tolan, 1998; Jarillo et al., 2016; Schuck, 2017).
El conflicto armado también puede tener efectos directos por el riesgo e inseguridad para toda la comunidad (Schuck, 2017). Para Henrich, Schwab- Stone, Fanti, Jones y Ruchkin (2004) la correlación entre el conflicto armado y el desempeño académico se conecta con síntomas de depresión o cambios comportamentales. Esos síntomas tienen un efecto significativo y negativo en los resultados educativos no solo en los niños que han sido víctimas directas de la violencia, ya que impacta incluso cuando son testigos de esta (Ratner et al., 2006). Los ambientes de persistente conflicto armado reducen significativamente el acceso y la calidad de las oportunidades de aprendizaje en los hogares, escuelas y comunidades (Jarillo et al., 2016).
A nivel del hogar, en contextos de altos niveles de intensidad del conflicto armado los padres se enfocan en garantizar la seguridad de sus hijos, lo cual conlleva a dedicar menos tiempo en ayudar a las tareas escolares (Caudillo y Torche, 2014). En algunos casos, los padres sienten miedo de enviar a sus hijos a las escuelas, e incluso, los niños pueden abandonar definitivamente el colegio (Jarillo et al., 2016).
A nivel local, contextos de conflicto armado en la comunidad han sido asociados a una disminución en la asistencia escolar (Delaney-Black et al., 2002), lo cual impacta en las calificaciones, disminuye el aprendizaje y, por ende, el puntaje en los exámenes de competencias. Además, una alta incidencia del conflicto armado en la comunidad puede interferir en las rutinas escolares por la interrupción temporal de clases y el cierre de las escuelas (Orraca, 2018). De igual forma, el conflicto armado puede disminuir la calidad de las escuelas por el daño en la infraestructura, la ausencia de profesores o de material educativo (Rodríguez y Sánchez, 2010).
VI. Conclusiones
Este artículo analizó el efecto del conflicto armado sobre los niveles de de-sempeño de tercero y noveno grado de las instituciones educativas colombianas. Estudiar esta relación es relevante debido a la alta y creciente incidencia de conflictos armados en el mundo, la importancia que la educación tiene en el bienestar de los individuos y las posibles trampas de pobreza intergeneracional para los hogares con mayor vulnerabilidad social.
Aunque investigaciones previas han analizado la incidencia de la violencia en la educación, esta investigación complementa la literatura en algunos aspectos. Por primera vez se utilizó como variable dependiente la fracción de estudiantes por nivel de desempeño académico y no solo el puntaje promedio alcanzado por instituciones educativas en pruebas estandarizadas. Nuestra estrategia metodológica es novedosa, ya que estimamos un modelo multinomial fraccionado que considera los posibles problemas de endogeneidad entre conflicto armado y logro educativo en niveles intermedios de la educación básica.
Este estudio amplía las posibilidades para que en futuras investigaciones se utilicen las proporciones por niveles de desempeño para realizar comparaciones con distintos grupos de referencia. Por ejemplo, entre pruebas presentadas en distintos momentos de la trayectoria educativa de los estudiantes como Saber 3.º, Saber 5.º, Saber 7.º, Saber 9.º y Saber 11, así como para diferentes periodos de presentación de las pruebas.
Así, este es uno de los primeros estudios que estima el efecto de la violencia a lo largo de la trayectoria educativa en lugar de en el momento de finalizar la secundaria, lo que permitió evidenciar que el conflicto armado afectó negativamente los niveles de desempeño de los estudiantes que estuvieron más avanzados en la trayectoria educativa y en los contextos que por más tiempo se encontraron expuestos al conflicto armado.
En específico, a partir de la estimación de los APE se encontró que los contextos de alta intensidad del conflicto armado incidieron negativamente en el desempeño educativo de los estudiantes que estaban en la mitad de sus estudios de primaria y secundaria. En general, en contextos de alta incidencia del conflicto armado, una mayor proporción de estudiantes no superaron los requerimientos mínimos establecidos para aprobar el examen. Esto indica que el conflicto armado impacta negativa y directamente los niveles de de-sempeño en las pruebas. No obstante, estos contextos de conflicto armado no parecieron influir de la misma manera en el desempeño de los estudiantes en los diferentes niveles de educación, pues afectaron en mayor grado a los de una trayectoria educativa más avanzada, a los de secundaria (noveno grado) más que a los de primaria (tercer grado). Además, el conflicto armado afectó negativamente más los conocimientos en lenguaje que en matemáticas.
Para el diseño de políticas públicas es necesario dilucidar algunos de los canales de transmisión por medio de los cuales el incremento en la intensidad del conflicto armado afectaría negativamente el desempeño académico de los estudiantes. Un posible mecanismo de transmisión es debido a que en las áreas de alta intensidad de conflicto armado aumenta el ausentismo de profesores y se reduce el número de profesores calificados (Monteiro y Rocha, 2017). Por otro lado, en los municipios con alta incidencia de conflicto armado la infraestructura de las instituciones educativas es precaria y en algunos casos resulta con daños por las incursiones armadas, lo que afecta el logro educativo de los estudiantes (Vargas, Gamboa y García, 2014). Además, en entornos de alta intensidad del conflicto armado disminuye la asistencia escolar de los niños, y especialmente de los jóvenes, para resguardar la vida e integridad de los menores y para disminuir la probabilidad de ser reclutados forzadamente por los actores del conflicto (Shemyakina, 2011; Swee, 2015; Vargas, Gamboa y García, 2014). Igualmente, encontrarse en un contexto de conflicto armado puede afectar los niveles de concentración y las habilidades cognitivas (Sharkey, 2010).
En síntesis, este artículo contribuye a la literatura de los costos sociales de la violencia ya que evidencia una relación negativa entre la intensidad del conflicto armado y los niveles de desempeño académico, pero que fue diferente a través de la trayectoria educativa de los estudiantes. Esto implicaría que estos niños y jóvenes probablemente podrían recibir menores salarios futuros y caer en las trampas de pobreza. Por tanto, se considera relevante diseñar políticas efectivas que aseguren que los estudiantes residentes en zonas de alta intensidad del conflicto armado reciban atención integral para que puedan igualar las oportunidades educativas y de bienestar futuro. De esta forma, analizar los efectos del conflicto armado en el desempeño académico es crucial para entender el impacto de la violencia en el desarrollo económico, debido a que los estudiantes representan gran parte del capital humano de un país.
Agradecimientos
Este artículo se deriva del proyecto de investigación INV-ECO 2324 “Incidencia del conflicto armado en la educación de los colombianos” financiado por la Vicerrectoría de Investigaciones de la Universidad Militar Nueva Granada, vigencia 2017. Los autores agradecen los valiosos comentarios y observaciones de dos revisores anónimos asignados por la revista.
Referencias
1. Akresh, R., & De Walque, D. (2008). Armed conflict and schooling: Evidence from the 1994 Rwandan genocide (Policy Research Working Paper No. 4606). Washington, DC: World Bank. Recuperado de http://documents.worldbank.org/curated/en/368931468144008432/pdf/WPS4606.pdf.
2. Brown, R., & Velásquez, A. (2017). The effect of violent crime on the human capital accumulation of young adults. Journal of Development Economics, 127, 1-12. doi: 10.1016/j.jdeveco.2017.02.004
3. Brück, T., Di Maio, M., & Miaari, S. H. (2014). Learning the hard way: The effect of violent conflict on student academic achievement (IZA Discussion Paper No. 8543). Bonn: Institute for the Study of Labor (IZA). Recuperado de http://ftp.iza.org/dp8543.pdf.
4. Buis, M. L. (2017). FMLOGIT: Stata module fitting a fractional multinomial logit model by quasi maximum likelihood (Stata Statistical Software Component No. S456976). Boston, MA: Boston College Department of Economics. Recuperado de https://ideas.repec.org/c/boc/bocode/s456976.html.
5. Burdick-Will, J. (2013). School violent crime and academic achievement in Chicago. Sociology of Education, 86(4), 343–361. doi: 10.1177/0038040713494225
6. Buvinic, M., Das Gupta, M., & Shemyakina, O. N. (2013). Armed conflict, gender and schooling. The World Bank Economic Review, 28(2), 311-319. doi: 10.1093/wber/lht032
7. Camacho, A., & Rodríguez, C. (2013). Firm exit and armed conflict in Colombia. Journal of Conflict Resolution, 57(1), 89-116. doi: 10.1177/0022002712464848
8. Caudillo, M. L., & Torche, F. (2014). Exposure to local homicides and early educational achievement in Mexico. Sociology of Education, 87(2), 89-105. doi: 10.1177/0038040714523795
9. Delaney-Black, V., Covington, C., Ondersma, S., Nordstrom-Klee, B., Templin, T., Ager, J., . . . Sokol, R. (2002). Violence exposure, trauma, and iq and/or reading deficits among urban children. Archives of Pediatrics & Adolescent Medicine, 156(3), 280-285. doi: 10.1001/archpedi.156.3.280
10. Deole, S. S. (2018). Human capital consequences of violence in schools: Estimating the impact of violence in schools on education outcomes in Brazil. Review of Development Economics, 22(1), 287-310. doi: 10.1111/ rode.12342
11. Fergusson, L., Ibáñez, A. M., & Riaño-Rodríguez, J. F. (2015). Conflict, educational attainment and structural transformation: la violencia in Colombia (Documento CEDE No. 35). Bogotá: Centro de Estudios sobre Desarrollo Económico (CEDE). Recuperado de https://economia.uniandes.edu.co/components/com_booklibrary/ebooks/dcede2015-35.pdf.
12. Giraldo, A., & Ojha, M. (2017). The effect of quality of education on violence: Evidence from Colombia. Vniversitas Económica, 17(10). Recuperado de https://ideas.repec.org/p/col/000416/015765.html.
13. Gómez, S. C. (2017). Civil conflict and educational achievement: The Case of the Colombian secondary school exit examination. Colombia Internacional (92), 73-103. doi: 10.7440/colombiaint92.2017.03
14. Gorman–Smith, D., & Tolan, P. (1998). The role of exposure to community violence and developmental problems among inner-city youth. Development and Psychopathology, 10(1), 101-116.
15. Guerra, N., & Dierkhising, C. (2011). Los efectos de la violencia comunitaria sobre el desarrollo del niño. En R. Tremblay, M. Boivin & R. Peters (eds.), Enciclopedia sobre el Desarrollo de la Primera Infancia. Recuperado de http://www.enciclopedia-infantes.com/violencia-social/segun-los-expertos/los-efectos-de-la-violencia-comunitaria-sobre-el-desarrollo-del.
16. Henrich, C. C., Schwab-Stone, M., Fanti, K., Jones, S. M., & Ruchkin, V. (2004). The association of community violence exposure with middle-school achievement: A prospective study. Journal of Applied Developmental Psychology, 25(3), 327-348. doi: 10.1016/j.appdev.2004.04.004
17. Ibáñez, A. M. (2009). Forced displacement in Colombia: Magnitude and causes. The Economics of Peace and Security Journal, 4(1), 48-54. doi: 10.15355/epsj.4.1.48
18. Institute for Economics & Peace. (2018). Global Terrorism Index 2018: Measuring and understanding the impact of terrorism. Sídney: Institute for Economics & Peace. Recuperado de http://visionofhumanity.org/reports.
19. Instituto Colombiano para la Evaluación de la Educación (Icfes). (2015). Guía de Interpretación y Uso de Resultados de las pruebas Saber 3.º, 5.º y 9.º. Recuperado de http://www.icfes.gov.co/item/2186-guias-de-preguntas-saber-3-5-y-9.
20. Instituto Colombiano para la Evaluación de la Educación (Icfes). (2016a). Saber 3.º. Lineamientos para las aplicaciones muestral y censal 2016. Recuperado de http://www.icfes.gov.co/item/2186-guias-de-preguntas-saber-3-5-y-9.
21. Instituto Colombiano para la Evaluación de la Educación (Icfes). (2016b). Saber 9.º. Lineamientos para las aplicaciones muestral y censal 2016. Recuperado de http://www.icfes.gov.co/item/2186-guias-de-preguntas-saber-3-5-y-9.
22. Jarillo, B., Magaloni, B., Franco, E., & Robles, G. (2016). How the Mexican drug war affects kids and schools? Evidence on effects and mechanisms. International Journal of Educational Development, 51, 135-146. doi: 10.1016/j.ijedudev.2016.05.008
23. Justino, P. (2011). Violent conflict and human capital accumulation. (IDS Working Papers, No. 379), 1-17. doi: 10.1111/j.2040- 0209.2011.00379_2.x
24. Koch, S. F. (2015). On the performance of fractional multinomial response models for estimating Engel Curves. Agrekon, 54(1), 28-52. doi: 10.1080/03031853.2014.974628
25. León, G. (2012). Civil conflict and human capital accumulation: The long-term effects of political violence in Peru. Journal of Human Resources, 47(4), 991-1022. doi: 10.3368/jhr.47.4.991
26. López, S. F. (2012). Estimación del efecto colegio en Colombia: 1980-2009. Estudios Gerenciales, 28, 49-68. doi: 10.1016/S0123- 5923(12)70193-6
27. Margolin, G., & Gordis, E. B. (2000). The effects of family and community violence on children. Annual Review of Psychology, 51(1), 445-479. doi: 10.1146/annurev.psych.51.1.445
28. Monteiro, J., & Rocha, R. (2017). Drug battles and school achievement: Evidence from Rio de Janeiro’s favelas. Review of Economics and Statistics, 99(2), 213-228. doi: 10.1162/REST_a_00628
29. Mullahy, J. (2015). Multivariate fractional regression estimation of econometric share models. Journal of Econometric Methods, 4(1), 71-100. doi: 10.1515/jem-2012-0006
30. Mullahy, J., & Robert, S. A. (2010). No time to lose: Time constraints and physical activity in the production of health. Review of Economics of the Household, 8(4), 409-432. doi: 10.1007/s11150-010-9091-4
31. Nam, S. (2014). Multiple fractional response variables with continuous endogenous explanatory variables (Job Market Paper). East Lansing, MI: Department of Economics, Michigan State University. Recuperado de https://msu.edu/~namsu/research.html.
32. Orraca, P. (2018). Crime exposure and educational outcomes in Mexico. Ensayos Revista de Economía, 37(2), 177-212. doi: 10.29105/ensayos37.2-3
33. Papke, L. E., & Wooldridge, J. M. (1996). Econometric methods for fractional response variables with an application to 401(k) plan participation rates. Journal of Applied Econometrics, 11(6), 619-632. doi: 10.1002/ (SICI)1099-1255(199611)11:6<619::AID-JAE418>3.0.CO;2-1
34. Ramírez-de-Garay, D., & Díaz Román, M. P. (2017). Los efectos de la política de prevención del crímen y la violencia en México. Revista CIDOB d’Afers Internacionals (116), 101-128. doi: 10.24241/rcai.2017.116.2.101
35. Ratner, H. H., Chiodo, L., Covington, C., Sokol, R. J., Ager, J., & Delaney- Black, V. (2006). Violence exposure, IQ, academic performance, and children’s Perception of safety: Evidence of protective effects. Merrill- Palmer Quarterly, 52(2), 264-287.
36. Rodríguez, C., & Sánchez, F. (2010). Books and guns: The quality of schools in conflict zones (Documento CEDE No. 38). Bogotá: Centro de Estudios sobre Desarrollo Económico (CEDE). Recuperado de https://economia.uniandes.edu.co/components/com_booklibrary/ebooks/dcede2010-38.pdf.
37. Rodríguez, C., & Sánchez, F. (2012). Armed conflict exposure, human capital investments, and child labor: Evidence from Colombia. Defence and Peace Economics, 23(2), 161-184. doi: 10.1080/10242694.2011.597239
38. Sarmiento Espinel, J. A., Silva Arias, A. C., & Van Gameren, E. (2015). Quality differences of higher education and its determinants in a less-developed country. Journal of Higher Education Policy and Management, 37(2), 204-221. doi: 10.1080/1360080X.2015.1019118
39. Schuck, A. M. (2017). Evaluating the impact of crime and discipline on student success in postsecondary education. Research in Higher Education, 58(1), 77-97. doi: 10.1007/s11162-016-9419-x
40. Sharkey, P. (2010). The acute effect of local homicides on children’s cognitive performance. Proceedings of the National Academy of Sciences, 107(26), 11733-11738. doi: 10.1073/pnas.1000690107
41. Shemyakina, O. (2011). The effect of armed conflict on accumulation of schooling: Results from Tajikistan. Journal of Development Economics, 95(2), 186-200. doi: 10.1016/j.jdeveco.2010.05.002
42. Silva, A. C., & Massey, D. (2015). Violence, networks, and international migration from Colombia. International Migration, 53(5), 162-178. doi: 10.1111/imig.12169
43. Sivakumar, A., & Bhat, C. (2002). Fractional split-distribution model for statewide commodity-flow analysis. Transportation Research Record: Journal of the Transportation Research Board, 1790, 80-88. doi: 10.3141/1790-10
44. Swee, E. L. (2015). On war intensity and schooling attainment: The case of Bosnia and Herzegovina. European Journal of Political Economy, 40(Part A), 158-172. doi: 10.1016/j.ejpoleco.2015.08.001
45. Tobón, D., Posada, H. M., & Ríos, P. (2009). Determinants of the performance of the schools in Medellin in the high-school graduation-year test (Icfes). Cuadernos de Administración, 22, 311-333.
46. Vargas, J. F., Gamboa, L. F., & García, V. (2014). El lado oscuro de la equidad: violencia y equidad en el desempeño escolar. Desarrollo y Sociedad (74), 309-334. doi: 10.13043/DYS.74.7
47. Wooldridge, J. M. (2005). Unobserved heterogeneity and estimation of average partial effects. En D. W. K. Andrews & J. H. Stock (eds.), Identification and inference for econometric models: Essays in honor of Thomas Rothenberg (pp. 27-55). Cambridge: Cambridge University Press.
48. Wooldridge, J. M. (2010). Econometric analysis of cross section and panel data. Cambridge: MIT Press.
49. Wooldridge, J. M. (2015). Control function methods in applied econometrics. Journal of Human Resources, 50(2), 420-445. doi: 10.3368/ jhr.50.2.420
Anexos
A.1. Modelo multinomial fraccional con variable explicativa endógena
En este artículo se estima un modelo de respuesta fraccional múltiple, específicamente un modelo logístico multinomial fraccional (Buis, 2017). Este método de estimación fue propuesto por Sivakumar y Bhat (2002) y es una generalización multivariada del modelo de propuesto por Papke y Wooldridge (1996), la cual ha sido utilizada también en los estudios de Mullahy y Robert (2010) y Koch (2015). Con el fin de tener en cuenta la endogeneidad del conflicto armado, se utilizó el método propuesto por Nam (2014), una estimación en dos etapas mediante una función de control.
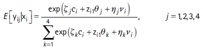
Supóngase que se tiene una muestra aleatoria de instituciones educativas que presentaron la prueba y que cada institución i puede tener estudiantes en cuatro niveles de desempeño (1: insuficiente, 2: mínimo, 3: satisfactorio, 4: avanzado). Entonces, la variable dependiente Yijrepresenta la fracción de estudiantes de la i-ésima institución que están en el nivel j -ésimo.
Para un conjunto de variables explicatorias
un efecto no observado
considérese la siguiente especificación:
(1)
(2)
(3)Donde y son las restricciones de naturaleza limitada y suma unitaria, respectivamente. Así, la estimación del modelo logístico multinomial fraccionado permite el uso de proporciones sin mayores transformaciones en los datos y los resultados a obtener son fácilmente interpretables (Mullahy, 2015; Papke y Wooldridge, 1996).
Como se mencionó, estudios previos han señalado la posible existencia de endogeneidad entre conflicto armado y logro educativo (Gómez, 2017; Rodríguez y Sánchez, 2012; Vargas et al., 2014). Siguiendo a Nam (2014), se emplea una aproximación de función control para controlar por la posible existencia de endogeneidad. Básicamente, esta técnica es un método de variables instrumentales (Wooldridge, 2015). A diferencia del método usual de estimación en dos etapas, en la primera etapa se recupera los residuales de estimar la variable endógena en función de todas las variables exógenas consideradas, adicionando las que no se incluyeron en la ecuación de interés (instrumentos). Intuitivamente, estos residuales sirven para controlar en la segunda etapa por los no observables, resolviendo de forma apropiada el problema de endogeneidad al incluirlos en la regresión de interés.
Supóngase ahora que hay una variable explicatoria endógena ci que puede estar correlacionada con el efecto no observado ai. Ahora se puede expresar el modelo de media condicional como:
(4)El conjunto de
variables explicatorias exógenas es expresado a
través del vector
, donde la
variable estrictamente exógena zi2
es
excluida de (4). Se asume para la variable endógena una forma lineal reducida
de todas las variables en zi :
(5)La naturaleza de la endogeneidad de ci se modela a través de
la correlación entre la variable no observada ai y el error de la
forma reducida
:
(6)En esta ecuación,
indica qué tanto está
correlacionado ci con ai, y por ende, si se debe considerar a ci como una variable
endógena o no. Debido a que se asume que
es independiente de zi , ei no está
correlacionado con ci.
El supuesto de independencia condicional implica que
Entonces, una
ecuación apropiada para este caso sería:
(7)
(8)
(9)En el caso que se escoja el logit multinomial como forma funcional de Hj, (7) se podría escribir como:
(10) Donde se escoge uno de los niveles de desempeño como referencia, el nivel insuficiente en este trabajo
.
El procedimiento propuesto por Nam (2014) para estimar el modelo de respuesta fraccional con variable explicatoria endógena es: 1) obtener los residuales
de estimar (5) por mínimos cuadrados ordinarios (MCO). 2) Estimar (10) por el método de cuasi máxima verosimilitud (CMV), reemplazando
por
. En el caso de que el coeficiente que acompaña al residual sea estadísticamente distinto de cero es porque existía presencia de endogeneidad, la cual es corregida con la estimación.
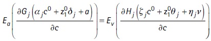
Nuestro principal interés es evaluar la incidencia del número de acciones armadas en la proporción de estudiantes por nivel de desempeño. En específico, el efecto parcial de c sobre
En términos generales, Wooldridge (2005) señala que en este tipo de situación, el efecto señalado no es identificable porque a no es observado. Sin embargo, podría más bien calcu-larse el efecto parcial promedio a través de la distribución de a, es decir, el APE. Siguiendo a Nam (2014) y Wooldridge (2010), para unos niveles fijos de las variables explicatorias
APE de c para el desempeño j evaluado en estos niveles sería:
(11)Dado que no se
ha asumido alguna distribución particular de
, (11) puede
estimarse al promediar
a través de la muestra:
(12)El valor de (12) depende de dónde se evalúa, es decir, de los valores que toman las variables explicatorias. En este trabajo se promedió otra vez sobre la muestra para obtener el APE. Por otro lado, se utilizó el método Bootstrap para ajustar los errores estándar de (12) y así ajustar la estimación del modelo.















** p < 0,05
*** p < 0,01.

** p < 0,05
*** p < 0,01

** p < 0,05
*** p < 0,01

** p < 0,05
*** p < 0,01