Artículos
Medios de transporte sostenibles y mercado de bienes residenciales. Un análisis para Medellín
Sustainable transport and housing market. An analysis for Medellin city
Medios de transporte sostenibles y mercado de bienes residenciales. Un análisis para Medellín
Desarrollo y Sociedad, núm. 83, pp. 145-183, 2019
Universidad de Los Andes

Recepción: 14 Agosto 2018
Revisado: 29 Abril 2019
Aprobación: 14 Junio 2019
Resumen: En este artículo se analiza el efecto de la contaminación sobre el valor de los bienes residenciales. En particular, se explora el efecto del Metroplús sobre el valor de las viviendas en la ciudad de Medellín para los años 2010 y 2012, considerando además el impacto directo de la contaminación del aire y la cobertura de transporte público. A partir de la georreferenciación de los hogares se seleccionan los grupos de tratamiento y control bajo un criterio de distancia de 750 metros. Utilizando dos metodologías: diferencia en diferencias (DD) y propensity score matching con diferencias en diferencias (PSM-DD), no se encuentran efectos a nivel agregado; sin embargo, se encuentra que las viviendas de estratos medio-bajos reciben efectos positivos, mientras que las viviendas de estratos altos se ven afectadas negativamente. Además, la contaminación resulta tener un impacto significativo; sin embargo, no se obtienen efectos de la variable cobertura de transporte público.
Palabras clave: evaluación económica, análisis cuantitativo, transporte urbano, contaminación atmosférica, precio, vivienda, planificación urbana, Medellín.
Abstract: This paper analyzes the effect of pollution on housing prices. In particular, we explore the effect of Metroplús on housing prices in Medellin city for 2010 and 2012 years, and the direct impact of air pollution and public transport coverage. We select treatment and control by georeferencing the households and according to a distance criterion of 750 meters. Using two methodologies: Difference in Differences (DD) and Propensity Score Matching with Differences in Differences (PSM-DD), we do not find effects at the aggregate level; However, we find that low strata houses receive a positive effect, while high strata houses are negatively affected. In addition, air pollution has a significant impact; however, public transport coverage does not have effects.
Keywords: Economic evaluation, quantitative analysis, urban transport, air pollution, price, housing, urban planning, Medellin.
Introducción
Las dinámicas urbanas de las grandes ciudades tienen como común denominador una expansión en su crecimiento poblacional. Así, según el Fondo Mundial de Poblaciones de las Naciones Unidas (Rodríguez, 2015), la población urbana mundial pasó de 2.300 millones de personas en 1994, a 3.900 millones en el 2014. A medida que la población y los ingresos en las ciudades aumentan, la mancha urbana se expande, provocando que la distancia promedio de los recorridos que los habitantes deben realizar para llevar a cabo sus actividades cotidianas aumente. Estos patrones de crecimiento también representan altos costos sociales y ambientales, ya que viajes más largos y más frecuentes incrementan el gasto de recursos y el uso de medios de transporte que dependen de combustibles fósiles intensivos en carbono (Banco Interamericano de Desarrollo, 2013). El transporte, principalmente el terrestre, es responsable de una gran proporción de las emisiones de contaminantes; esto se convierte en un tema preocupante para las autoridades de las ciudades en desarrollo y en el que están poniendo su atención con la implementación de políticas que buscan reducir la polución producida por los automotores a través de la oferta de medios de transporte más sostenibles y amigables con el medio ambiente.
Este patrón de crecimiento urbano también se ha presentado en la ciudad de Medellín. De acuerdo con Ricardo Arango (Crecimiento urbano de Medellín ha sido desordenado y funesto, 2013), gerente del comité local del Foro Urbano Mundial 2014(WUF por su sigla en inglés)4, las dinámicas urbanas que ha experimentado la ciudad de Medellín en las últimas décadas se han caracterizado por el aumento desmedido de la población, lo que a su vez ha generado informalidad de predios, problemas de servicios públicos domiciliarios y de movilidad. Asimismo, el desarrollo económico de la ciudad refleja elementos que afectan el medio ambiente; concretamente el desarrollo industrial, la aglomeración urbana, así como el aumento excesivo en el consumo de recursos, en la generación de residuos y en el parque automotor son hoy en día en una de las preocupaciones de las autoridades de la región; de ahí que estas hayan planteado la protección ambiental como un aspecto fundamental en su plan de desarrollo5. Para efectos de este trabajo se consideran políticas relacionadas con el transporte urbano, cuyo objetivo no solo es mejorar la movilidad sino también reducir las emisiones de contaminantes, impactando así la calidad del aire de la ciudad.
Los vehículos automotores, cuyo funcionamiento se basa en el uso de combustibles fósiles6, se consideran la principal fuente de contaminación ambiental al ser los responsables de la mayor parte de las emisiones de monóxido de carbono (CO), óxido de nitrógeno (NOx), dióxido de carbono (CO2), dióxido de azufre (SOx), material particulado (PM), compuestos orgánicos volátiles, ozono (O3) y metano (CH4). Adicionalmente, generan problemas relacionados con la congestión vehicular y el estrés vial. En Medellín el tamaño del parque automotor ha venido aumentando rápidamente y de acuerdo con un informe del Área Metropolitana del Valle de Aburrá, en asocio con el Clean Air Institute de Washington, para el 2016 la tasa de crecimiento fue del 35% anual (Escobar, 2016). Es por ello que en las políticas y planes de gobierno local se ha formulado el Plan Maestro de Movilidad7, que en esencia busca el mejoramiento de la movilidad de la población considerando también aspectos relacionados con la sostenibilidad ambiental (Área Metropolitana del Valle de Aburrá, 2009.
El Plan Maestro de Movilidad tiene como base el Sistema Integrado de Transporte del Valle de Aburrá (SITVA), desde el cual se busca potenciar el transporte público, garantizar el acceso a transporte de todos los ciudadanos, limitar el uso del transporte particular, mejorar la malla vial y propender por medios de transporte menos contaminantes (Área Metropolitana del Valle de Aburrá, 2009. Esta integración de sistemas de transporte está conformada por los sistemas Metro (tren pesado), Metroplús (bus de tránsito rápido), Metrocable (cable aéreo), tranvía y rutas alimentadoras, cuya operación se base en el uso de combustibles limpios como gas natural y energía eléctrica. Para fines de este trabajo, se tomará como referencia el sistema de transporte Metroplús como política de movilidad y sostenibilidad ambiental. Este medio de transporte consiste en un sistema de buses rápidos de mediana capacidad (BRT por su sigla en inglés)8, constituido por las líneas 19 y 2, integrado de forma física y tarifaria con el Metro, Metrocable y las rutas de buses alimentadores y cuya operación se basa en motores que funcionan con gas natural, lo que genera una menor emisión de contaminantes.
Para estudiar la efectividad de esta política sobre los factores ambientales y de movilidad, en este trabajo se pretende analizar el impacto del sistema Metroplús (línea 1) sobre el precio de las viviendas, partiendo de la premisa de que la implementación de sistemas de transporte sostenibles pueden generar retornos en términos de mejoramiento de la calidad del aire y de la percepción de los medios de transporte públicos que lleven a la valorización de los bienes residenciales más cercanos a dichos sistemas de transporte. Es así como analizando los precios de las viviendas para capturar el efecto de la reducción de la contaminación y la mejora de la movilidad, este trabajo constituye un aporte a la literatura local en cuanto a la inserción de un canal distinto para evaluar el impacto de una política de transporte. Asimismo, nuestra estrategia empírica basada en una asignación del tratamiento con cierto grado de exogeneidad nos permite darle validez frente a otras metodologías que han sido comúnmente utilizadas en este tipo de estudios.
Desde el ámbito metodológico se utiliza la Encuesta de Calidad de Vida de Medellín10 (ECVM) en los módulos de viviendas y percepción ciudadana de los años 2010 y 2012, para obtener los precios y las características de las viviendas en un momento anterior y posterior a la implementación de la política; luego, se emplea la herramienta de georreferenciación para ubicar las viviendas en un punto espacial y calcular su distancia con alguna estación del Metroplús (línea 1), y a partir de esta determinar los grupos de tratamiento y de control. Finalmente, se emplean dos estrategias metodológicas: diferencia en diferencias (DD), combinada con una regresión de precios hedónicos, y propensity score matching con diferencias en diferencias (PSM-DD).
Los resultados muestran que, al considerar el impacto sobre la muestra agregada, el sistema Metroplús (línea 1) no tiene un efecto significativo sobre el valor anual de los arriendos. No obstante, desagregando la muestra por grupos de estrato socioeconómico se observa que los hogares de estratos 1 al 3 son impactados positivamente por la política, mientras que los hogares de estratos 4 y en adelante reciben un choque negativo sobre el precio de las viviendas. Adicionalmente, los hallazgos sugieren que la mala calidad del aire influye de forma negativa y significativa en el valor de las viviendas, mientras que no es posible hacer conclusiones certeras sobre la variable relacionada con la cobertura del transporte público.
I. Revisión de literatura
A. Marco conceptual
De acuerdo con Brueckner (2011) el impacto negativo causado por la contaminación del aire puede medirse de dos formas desde una perspectiva económica, una es estimando el efecto en la salud y la otra se basa en información del mercado inmobiliario. Así, para el primer caso, Mardones, Saavedra y Jiménez (2015) exponen los efectos de la contaminación por PM10 en términos de mortalidad y morbilidad en el Área Metropolitana de Concepción Chile; por medio de una regresión Poisson y de un modelo aditivo generalizado encontraron que las concentraciones de PM10 tuvieron efecto con dos días de rezago en el ingreso a hospitales de niños menores de 15 años por enfermedades respiratorias; con un día de rezago en pacientes mayores de 64 años por asma; y con seis días de rezago en mortalidad prematura. La disminución de 1 μg/m3 de PM10 podría generar beneficios económicos entre $ 1,6 y $ 50,9 millones de dólares por año (precios corrientes del 2008).
En la misma línea, Mardones (2019) proporciona un modelo de optimización para maximizar los beneficios netos asociados a la reducción de los niveles de concentración de partículas PM2,5 provenientes de fuentes industriales y residenciales en el Área Metropolitana de Concepción en Chile. El autor emplea el método de la función de daño para calcular los beneficios para la salud y considera los costos de reducción, así como un cambio tecnológico en la industria y el reemplazo de calentadores en fuentes residenciales. Los resultados resaltan la importancia de la regulación en todas las fuentes de emisión y no solo en las industriales, así como la heterogeneidad en los niveles óptimos de contaminación en las áreas urbanas al considerar los efectos de largo plazo en la salud.
Por su parte, el enfoque de mercado inmobiliario plantea que, si los residentes urbanos son afectados negativamente por la contaminación del aire, entonces estarán menos dispuestos a pagar por una vivienda ubicada en un área contaminada que por una ubicada en un área con aire limpio. De esta manera, surge un diferencial de precios compensatorio entre casas en áreas con buena y mala calidad del aire, que al ser estimado se convierte en una medida del valor monetario de la buena calidad del aire para los consumidores. Este diferencial puede ser medido usando una regresión hedónica de precios.
Al respecto, Tang, Heintzelman y Holsen (2018) examinaron el impacto de la contaminación por mercurio mediante la relación entre el valor de la propiedad y la designación de consumo de pescado (FCA por su sigla en inglés) en los lagos de Nueva York. Los autores encontraron que el valor de las propiedades ubicadas a una milla de un lago disminuye entre 6 y 7 por ciento en promedio, y que el impacto decrece a medida que aumenta la distancia entre la propiedad y el lago. Bayer, Keohane y Timmins (2006), mediante un modelo de elección discreta, estimaron la decisión de ubicación del hogar, aplicado al caso de la calidad del aire en las áreas metropolitanas de Estados Unidos en 1990 y el 2000; encontraron una elasticidad estimada de la disposición a pagar con respecto a la calidad del aire de 0,34 y 0,42; esto implica que una familia mediana pagaría de $ 149 a $ 185 dólares (a precios constantes de 1982-1984) por una reducción de una unidad en las concentraciones ambientales promedio de material particulado.
La metodología de precios hedónicos surge a partir de la teoría del valor desarrollada por Lancaster (1966), Griliches (1971) y Rosen (1974), quienes dieron la base teórica para la aplicación de la metodología de precios hedónicos y bienes que derivan su valor de sus características o atributos. Asimismo, Robinson (1979) y Lavender (1990) plantearon que las viviendas, a diferencia de la mayoría de los bienes económicos, se caracterizan por una elevada heterogeneidad de atributos físicos, funcionales y de durabilidad hasta para una misma localización, lo que hace que los precios de mercado difieran sustantivamente entre ellos. Como lo que se negocia en el mercado es el bien compuesto, lo más adecuado es conocer el precio implícito (hedónico) de cada uno de los atributos de las viviendas, así como su valor de uso. Por definición, el método hedónico de valoración parte del hecho de que el precio de un bien es la suma del valor que tiene cada una de sus características, permitiendo de esta forma la comparación de los mismos bienes.
B. Marco referencial
En la actualidad diversos estudios analizan el impacto de los sistemas de transporte sobre el bienestar de la población, no solo en términos de movilidad e integración sino también en términos de mejoras ambientales. Todos estos factores se convierten en características claves a la hora de tomar decisiones sobre la disponibilidad a pagar por bienes residenciales. A continuación, se presenta una compilación de estudios recientes que pueden clasificarse en dos líneas: la primera contiene un conjunto de trabajos que relacionan la contaminación ambiental y el mercado de viviendas; la segunda línea está constituida por diversos estudios que evalúan el impacto de los sistemas de transporte sobre el precio de las viviendas.
En la primera línea, Mardones (2006) evalúa el impacto de los malos olores generados por la producción de harina de pescado sobre el bienestar económico, en concreto sobre el precio de las viviendas en Concepción-Talcahuano, Chile. Mediante un modelo de precios hedónicos estima cuatro especificaciones funcionales simples: lineal, semilog, log-log y semilog invertida, y encuentra que los precios de las viviendas caen significativamente cuando existe percepción de contaminación ambiental. Por su parte, Vidaurre (2009) estudia el caso de la ciudad La Paz, Bolivia, analizando los efectos que la polución, medida por emisiones de PM10 y NOx, traen al mercado inmobiliario. Utilizando datos de la Red de Monitoreo de la Calidad del Aire e información de encuestas telefónicas para los precios de la vivienda, el ejercicio es realizado con un modelo log-lin para cada contaminante; los resultados muestran que una reducción de la contaminación trae consigo importantes beneficios tanto para los consumidores de inmuebles como para las finanzas públicas.
En la literatura local, López y Gracia (2013) presentan una valoración económica de la contaminación por olores en el área de influencia del relleno sanitario El Carrasco en Bucaramanga. Con datos de registros catastrales y del sistema de información geográfica realizaron un muestreo de tipo aleatorio para probar que la contaminación por olores es una externalidad negativa que incide en la disminución de los precios de las viviendas urbanas. Aplicaciones adicionales de metodologías de precios hedónicos en Colombia se han usado para encontrar la valoración de subsidios a los servicios públicos domiciliarios (Medina y Morales, 2007) y para encontrar precios implícitos de características de las viviendas en modelos espaciales (Morales y Arias, 2012).
En la segunda línea, Geng, Bao y Liang (2015) estudian los efectos del ferrocarril de alta velocidad sobre los precios de las viviendas en la ciudad de Pekín, teniendo en cuenta diferentes rangos geoespaciales. Para una muestra de 896 hogares y empleando OLS, encontraron que el ferrocarril de alta velocidad genera impactos tanto positivos como negativos en los precios de las viviendas, ya que además de una mayor accesibilidad y expansión de servicios públicos, también genera aumentos en los niveles de congestión vehicular, contaminación por radiación electromagnética y por ruido, así como mayores índices de criminalidad. En efecto, entre mayor sea la cercanía entre la vivienda y el ferrocarril, mayores serán los impactos negativos y, por tanto, menor será el aumento del precio. Adicionalmente, los autores encontraron que la elasticidad de los precios de las viviendas con respecto a la concentración de partículas suspendidas totales está en un rango de -0,20 a -0,35.
Por su parte, Tsivanidis (2017) busca calcular el tamaño de los beneficios de mejorar el transporte público dentro de las ciudades y cómo se distribuyen estas ganancias entre trabajadores calificados y no calificados. En particular, evalúa el efecto del sistema Transmilenio en Bogotá. Los resultados sugieren que las leyes de zonificación restrictivas evitan que la oferta de viviendas responda efectivamente al sistema de BRT. En este sentido, el aumento de oferta de bienes residenciales alrededor del sistema permite que más personas aprovechen las mejores oportunidades de transporte diario, y el análisis costo-beneficio muestra que las ganancias sobrepasan en un 18% los costos.
Dentro de los estudios nacionales se destaca el realizado por Mendieta y Perdomo (2007), quienes evalúan el impacto del sistema Transmilenio sobre el valor de la propiedad en Bogotá. Utilizando datos del Departamento de Catastro Distrital de Bogotá estimaron la variación en el precio de la tierra en función de variables propias de la vivienda, de características ambientales y de seguridad del sector y, finalmente, de la distancia entre la propiedad y la estación más cercana. Los autores encontraron que, por un cambio de un 1% en la proximidad de la propiedad a la estación de Transmilenio más cercana, considerando el universo de predios impactados por el proyecto, el cambio en el valor del suelo fue de aproximadamente $ 275 millones de dólares11 para el 2005.
Asimismo, Medina, Morales y Núñez (2008)12 estiman un modelo de precios hedónicos para las ciudades de Bogotá y Medellín. Entre las variables utilizadas incluyen algunas características del barrio como el acceso a servicios públicos, índices de criminalidad, así como cercanía a colegios y a estaciones de transporte. Los autores encontraron que para Bogotá la relación entre el valor de las viviendas y la distancia a la estación más cercana de Transmilenio no es lineal, de modo que para las viviendas ubicadas a menos de 350 metros el precio es menor, para una distancia entre 350 y 650 metros el precio es mayor, y el efecto vuelve a reducirse para las viviendas ubicadas a más de un kilómetro. Por otra parte, los resultados para Medellín indican que la distancia al Metro o a alguna estación del Metroplús está negativamente relacionada con el precio de las viviendas, por lo que la proximidad a estas estaciones trae consigo una prima sobre el valor de las viviendas.
II. Datos
Como se mencionó, en este estudio se utilizan los datos de la Encuesta de Calidad de Vida de Medellín de los años 2010 y 2012, la cual se realiza a una muestra aleatoria de hogares; no obstante, para efectos de este trabajo, los datos son filtrados dejando como unidad de observación al jefe de hogar. Dichos datos cuentan con algunas limitaciones. En primer lugar, las cifras monetarias como el valor de los arriendos corresponden a valores autorreportados, lo que puede afectar la legitimidad de los resultados si estos no coinciden con un verdadero valor de mercado. Por otro lado, la información tomada cuenta apenas con un rango de aproximadamente un año entre el momento de la implementación de la política y los momentos anterior y posterior a esta. Esta restricción podría comprometer los resultados debido a que en el año 2010 ya se encontraban en marcha las obras de construcción del Metroplús, con la posibilidad de que en dicho año ya se haya internalizado el efecto sobre el valor del arriendo de las viviendas; también, es posible que el efecto sea de largo plazo, por lo que existe el riesgo de que en el 2012 no se logre capturar el impacto en su totalidad. La razón por la cual fueron tomadas las encuestas de estos años radica en el hecho de que el formulario fue modificado y solo a partir del 2010 se incluyen preguntas de percepción sobre la calidad del aire y del servicio de transporte público, las cuales son importantes para este estudio.
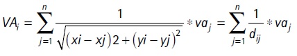
Para darle mayor robustez y variabilidad a la variable de contaminación se construye un índice de contaminación a partir de la combinación de dos variables: una subjetiva, basada en la percepción de los individuos sobre la calidad del aire, y la otra objetiva, correspondiente al Índice de Calidad del Aire (ICA)13. La primera consiste en la valoración (de 1 a 5) que cada individuo (jefe de hogar) le da a la calidad del aire, siendo 1 muy mala y 5 muy buena, multiplicada por la suma de la inversa de la distancia de la vivienda de cada individuo con la de los demás (ecuación 1), esto último con el objetivo de darle un mayor peso a la percepción de los vecinos más cercanos; la segunda, correspondiente al ICA (véase el anexo 4), es calculada a partir del promedio anual de los contaminantes PM10 y PM2,5 de cada estación de monitoreo y, como se observa en la ecuación 2, se multiplica por la inversa de la distancia entre la vivienda de cada individuo y cada estación. Debido a que solo contamos con los reportes del ICA de 9 estaciones fijas de monitoreo ubicadas en determinados puntos de la ciudad, y dado que requerimos imputar a cada hogar de la encuesta un valor del ICA, con el procedimiento anterior buscamos crear un índice para cada hogar en el cual se asigna un mayor peso a las estaciones más cercanas.
(1)Donde x y y son las coordenadas, y VAi es la valoración ambiental del individuo i respecto a los demás individuos j.
(2)Donde x y y son las coordenadas, e ICAk es el índice de calidad del aire reportado por la estación k.
Para integrar ambos índices (VAi 𝑒 ICAi) se emplea el análisis factorial común basado en la técnica de componentes principales (ACP), la cual sirve para reducir una cantidad determinada de variables a un número menor, perdiendo la menor cantidad de información posible. Dicho método convierte un conjunto de observaciones de variables posiblemente correlacionadas en un conjunto de variables sin correlación lineal llamadas componentes principales; estas consisten en una combinación lineal de las variables originales e independientes entre sí14. Para esto se emplea una transformación lineal que escoge un nuevo sistema de coordenadas para el conjunto de datos originales en el que la varianza de mayor tamaño es capturada en el primer eje (primer componente principal), la segunda varianza más grande en el segundo eje, y así con todas las demás (Carmona, 2014). En efecto, el índice de contaminación corresponde al primer componente principal, el cual captura la mayor varianza de los índices originales, sirviendo como una buena combinación de estos. Sin embargo, en las estimaciones se usan tanto las variables ambientales de forma individual (VAi 𝑒 ICAi) como la combinación factorial de estas.
En la figura 1 se muestran los histogramas del índice de contaminación generado con el procedimiento anterior para los grupos de tratamiento y control, en los que se observa la distribución del índice en función del porcentaje de población. Este toma valores de 0 a 14, donde los valores más altos representan mayores niveles de contaminación. En términos generales las distribuciones se concentran entre niveles de 4 a 8; sin embargo, cuando se analiza cada una de estas por año se encuentra que el grupo de tratamiento en el año 2010 tiene mejores niveles de contaminación que en el 2012, ya que se observa un menor porcentaje de la población asociada a valores iguales o superiores a 6 (44,26% y 47,72% respectivamente), mientras que, para el grupo de control la situación cambia significativamente, ya que es en el 2012 donde se encuentra una concentración más baja de la distribución en niveles superiores a 6. Por otro lado, comparando el comportamiento del índice entre ambos grupos se aprecia que las distribuciones están más concentradas para el grupo de control; en cambio, las distribuciones del grupo de tratamiento son más dispersas.

De acuerdo con lo anterior, la distribución del índice de contaminación para el grupo de tratamiento empeora entre el 2010 y el 2012, mientras que la concentración de la distribución en niveles altos para el grupo de control disminuyó sustancialmente de un año a otro.
En el cuadro 1 se presentan algunas estadísticas descriptivas de las variables analizadas. Para la muestra de 6.782 hogares, cuya unidad de observación corresponde específicamente al jefe de hogar, sobresale que el 82% pertenecía a los estratos medio-bajo (1, 2 y 3) y el 18% restante a estratos 4 y más; el número de cuartos promedio era de 4,7, considerando entre estos la cocina, el baño, el comedor y la sala; el 82,5% reportaba tener una buena percepción sobre la cobertura del transporte público; y por último, el promedio del logaritmo del arriendo anual, deflactado por el IPC base enero del 2017, que corresponde a la variable de interés, es de 15,34.

Al mirar las diferencias en media de las variables de interés entre el grupo de tratamiento y el grupo de control en la línea base (cuadro 2), se observan algunas disparidades preexistentes entre ambos grupos. Las variables: casa, piso de mármol, madera pulida o alfombra y arriendo están desbalanceadas al 5% en favor del grupo de control. Por otra parte, la variable gas natural está desbalanceada en favor del grupo de tratamiento. Adicionalmente, el índice de contaminación y el ICA son mayores en el grupo de control, de modo que en la línea base las condiciones ambientales eran más favorables para los hogares ubicados en las zonas que posteriormente quedaron dentro de la zona de influencia del Metroplús.

III. Metodología empírica
El primer paso de la metodología empírica consiste en ubicar espacialmente los hogares entrevistados en la ECVM con el fin de determinar, de acuerdo con su cercanía a alguna estación de Metroplús (línea 1), si son impactados o no por la política. En este sentido, utilizando la cartografía de Medellín se construyen las variables efecto del tratamiento a partir de la definición de un área de influencia de los corredores del proyecto Metroplús. Además, se utilizan dos metodologías: diferencias en diferencias (DD) y propensity score matching con diferencias en diferencias (PSM-DD) para datos de corte transversal repetidos. Con dichas metodologías buscamos establecer el impacto a partir del diferencial del efecto de la política de movilidad para un grupo de tratamiento y de control, y del diferencial del efecto en un momento del tiempo anterior y posterior al 2011, año en el cual se puso en ejecución la primera línea del sistema de transporte.
Haciendo uso del software de información geográfica ArcGIS15 se agregan los datos georreferenciados al mapa de la ciudad, cuya ubicación se da en forma de coordenadas numéricas X y Y. Con el fin de seleccionar los grupos de tratamiento y de control se utiliza como referencia el área de influencia definido en los estudios de factibilidad del sistema Metroplús (Alcaldía de Medellín, Empresa de Desarrollo Urbano y Transmilenio 2003), según los cuales es de 500 metros a lado y lado de cada uno de los corredores, debido a que esta longitud representa la distancia máxima que una persona está dispuesta a caminar para llegar a un medio de transporte. Sin embargo, para este ejercicio se amplía el criterio de influencia a una distancia de 750 metros, con el fin de no descartar los hogares ubicados a distancias cercanas y mayores de 500 metros y, asimismo, darle mayor robustez al ejercicio. También, se realizan ejercicios de sensibilidad usando otros criterios de distancia.
Después de interceptar los datos de la encuesta y de las estaciones del SITVA se construyen buffers o círculos con centro en cada estación, con un radio de 750 metros (véase la figura 2), para establecer como grupo de tratamiento aquellos hogares que se encuentran dentro de los buffers de las estaciones de la línea 1 del Metroplús, y, como grupo de control, los hogares que además de no estar cerca de las estaciones de la línea 1 del Metroplús, tampoco estén dentro de los buffers de ninguna otra estación del SITVA, específicamente del Metro y Metrocable, ya que estos sistemas de transporte funcionaban antes de la fecha de implementación del Metroplús (véase la figura 3). Con la finalidad de explorar los efectos bajo un criterio de distancia diferente, a modo de ejercicio de robustez se incluyen en los anexos los resultados para buffers de 250 y 1.000 metros.


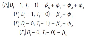
La descripción de estos grupos, basada en Bernal y Peña (2001), se presenta a continuación: sea Di una variable dummy que toma el valor de 1 si la distancia (dij) entre la vivienda i y la estación j de la línea 1 del Metroplús es igual o inferior a 750 metros, y de cero en otro caso.

En cuanto a la variable tiempo, sea Ti una dummy que toma el valor de 1 para un año t posterior al 2011, en este caso el 2012, y 0 para un año anterior al 2011, que para efectos de este trabajo será el 2010.

La especificación a utilizar, que corresponde a un modelo de DD con datos de corte transversal repetidos, es la siguiente:
(3)Donde P es la variable de interés correspondiente al valor real del arriendo que pagan los individuos; 𝑋 es un vector que contiene una constante 𝛽0 más n covariables que representan: en primer lugar, características del individuo como nivel educativo e ingresos; en segundo lugar, características observables de las viviendas como el número de cuartos, material de paredes y pisos, entre otras; y por último, características del vecindario como percepción de seguridad del sector, cobertura del transporte público, niveles de contaminación, entre otras.
El término
corresponde a la interacción entre el indicador de tratamiento 𝐷𝑖 y la variable binaria del periodo de seguimiento 𝑇𝑖. En este sentido, el i-ésimo individuo recibe efectivamente la intervención si pertenece al grupo de tratamiento en el periodo posterior al 2011. Algebraicamente, el efecto del tratamiento por DD estaría dado por:
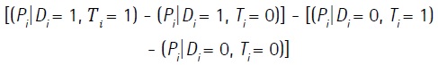
(4)Tomando esperanza condicional en cada uno de los términos de la ecuación (4) obtenemos:

Esto significa que el efecto del tratamiento está dado por:

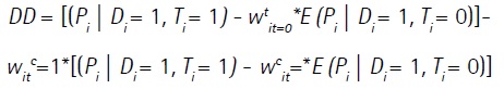
Además, para dar una mayor robustez al ejercicio y con el fin de ratificar los resultados se emplea una metodología compuesta: kernel propensity score matching-diferencias en diferencias (PSM-DD), la cual simplifica el análisis de DD para combinarlo con otro método de evaluación no experimental, en este caso, el método de emparejamiento, y de esta manera obtener el estimador de DD válido para una muestra de corte transversal repetida (Villa, 2016; Blundell y Costa-Días, 2000; Blundell y Costa-Días, 2009, Smith y Todd, 2005 y Heckman, Ichimura y Todd, 1997).
Lo que se busca con dicha metodología es comparar la variable resultado del grupo de tratamiento y del grupo de control, con el fin de conocer el impacto del tratamiento, el cual estaría dado por la diferencia entre el efecto verdadero de la implementación del Metroplús y el sesgo de selección (diferencia entre el contra factual y la variable resultado para el grupo de control). Una forma de separar estos dos componentes es asumir el supuesto de condición de independencia (CI), el cual implica que el sesgo de selección se debe únicamente a diferencias en las características observables, es decir, que al condicionar por estas variables el sesgo sería cero, generando una estimación insesgada del efecto del programa. Sin embargo, el supuesto de CI implica la no existencia de características no observables en la muestra que puedan afectar los resultados potenciales. Por ello, una metodología más flexible consiste en encontrar un “clon”16 en el grupo de control para cada individuo tratado y contrarrestar los resultados de ambos, ponderando las observaciones del grupo no tratado de tal forma que las distribuciones de las variables de control sean lo más parecidas posible a las de los individuos tratados, así, el efecto de la implementación del Metroplús consiste en el promedio ponderado de los efectos de cada observación. El clon adecuado para cada individuo tratado será aquel del grupo de control cuya probabilidad de participación (propensity score)17 en el programa (ecuación 5) sea lo suficientemente cercana.
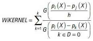
(5)Es importante aclarar que esta metodología de emparejamiento, PSM, solo tiene en cuenta la región de soporte común de la muestra, ya que de esta manera se asegura que los grupos sean lo más parecidos posibles; el soporte común de una variable es el conjunto de valores para los cuales la densidad es positiva, es decir, que pueden ocurrir con alguna probabilidad. Para ello se utiliza el criterio trimming, el cual elige los valores de la probabilidad estimada de participar cuya densidad sea positiva para ambos grupos, excluyendo las regiones con densidad positiva muy pequeña. En la figura 4 se puede observar la zona de soporte común que comparten tanto individuos tratados como no tratados por la línea 1 del Metroplús, de acuerdo con su probabilidad de ser afectados por este sistema de transporte. Así, el estimador PSM es entonces la diferencia media en las variables de resultados de los grupos de tratamiento y control en el soporte común, ponderadas por la distribución de la probabilidad de ser afectado.

Otro factor metodológico para considerar es el algoritmo de emparejamiento. Si bien todos los estimadores por emparejamiento contrastan la variable resultado de un individuo tratado con uno o más miembros del grupo de control que más se parezcan a este, los estimadores de PSM difieren en la manera en la que encuentran este grupo y en la forma como ponderan la comparación. Para fines de este ejercicio se emplea el PSM por kernel18 siguiendo a Heckman, Ichimura y Todd (1997) y Blundell y Costa-Días (2009). Este estimador empareja cada individuo del grupo de tratamiento con el promedio ponderado de todos los individuos del grupo de control. En este tipo de estimación del PSM es necesario definir la vecindad de la probabilidad de participación del individuo i para determinar los individuos que deben ser comparados con este (para este caso el rango de vecindad usado fue de 0,06, establecido por defecto). Es así como el PSM por kernel se puede interpretar como una regresión de la variable objetivo (precio de la vivienda) del grupo de control en el vecindario de cada individuo tratado sobre un intercepto, usando los pesos (ponderadores, wij KERNEL) de kernel (Smith y Todd, 2005):
(6)Donde G(.) es una función de kernel, P(X) es el propensity score, dadas las covariables X, h es el ancho de banda y K es el número de individuos en el grupo de control. Estos pesos calculados se introducen en la ecuación de DD (ecuación 4) para obtener el efecto de “kernel propensity score matching-DD”:
(7) Donde
son los ponderadores para el grupo de control en el periodo de referencia y en el periodo posterior al tratamiento, respectivamente; mientras que
es el ponderador para el grupo de tratamiento en la línea base.
Finalmente, es importante mencionar que para que esta metodología funcione los grupos de tratamiento y control deben estar balanceados, es decir, que la probabilidad de participación promedio y las medias de las variables de control deben ser lo más parecidas posibles entre los grupos. Es de esperar que existan diferencias antes del emparejamiento, pero, después de este, la distribución de las variables observables debe ajustarse entre los grupos, sin diferencias estadísticamente significativas.
IV. Resultados
Los resultados de la estimación por mínimos cuadrados ordinarios se presentan a modo de resumen en el cuadro 3, y de forma extensa en la sección de anexos (cuadro A1). En la columna (1) se encuentran los resultados usando el índice de contaminación generado a partir del procedimiento descrito en la sección II, y en las columnas (3) y (5) se muestran los resultados usando de forma individual las variables ICA y percepción del aire, respectivamente.

*, **, *** corresponden a los niveles de significancia de 10%, 5% y 1%, respectivamente.
Además, en las columnas (2), (4) y (6) denominadas “beta” se presentan los coeficientes beta estandarizados que indican cuántas desviaciones estándar cambia la variable dependiente por cada desviación estándar de incremento en las variables de control.
Como se observa en la primera columna, solo los coeficientes asociados a la dummy de tiempo y a la dummy de tratamiento son estadísticamente significativos al 1%; sin embargo, la variable efecto del tratamiento, que corresponde a la interacción entre la dummy de tiempo y la dummy de tratados no reporta ningún efecto significativo bajo ninguna de las tres especificaciones. En este sentido, puede afirmarse que, si se considera la muestra agregada, el sistema Metroplús no tuvo ningún impacto entre los años 2010 y 2012 sobre el valor de las viviendas ubicadas a una distancia igual o inferior a 750 metros. Por otra parte, el índice de contaminación y la percepción del transporte público no reportan ningún efecto estadísticamente significativo. No obstante, al considerar las variables ambientales desagregadas se encuentra mientras que el ICA afecta de forma positiva los precios, la percepción subjetiva de la calidad del aire contribuye a disminuir el valor de los arriendos.
Con el fin de testear si estos resultados se mantienen para los subgrupos de la muestra, esta se divide por estrato socioeconómico en dos categorías, una para los hogares de estratos 1, 2 y 3 y otra para los estratos 4 en adelante, lo que demostró efectos heterogéneos en el ejercicio. En el panel superior del cuadro 4 se observa que para los estratos bajo-medio (1, 2 y 3) la variable efecto es positiva y significativa al 5% bajo todas las especificaciones, lo que indica que el sistema Metroplús incrementó hasta en un 9% (0,046 desviaciones estándar) de un periodo a otro el valor del arriendo de las viviendas para los hogares ubicados a una distancia menor o igual de 750 metros. Además, la variable índice de contaminación tiene un impacto negativo y significativo sobre los arriendos, mientras que la variable percepción del transporte público no afecta de forma significativa a la variable de interés.
Por otra parte, en el panel inferior del cuadro 4 la variable efecto resulta ser negativa y significativa para los estratos más altos, de modo que, tras la puesta en marcha del sistema de transporte, estos hogares obtienen un choque negativo de hasta el 17% (0,069 desviaciones estándar) sobre el valor de los bienes residenciales. Este resultado coincide con lo encontrado en la literatura, a saber, en algunos trabajos como en el de Geng, Bao y Liang (2015) para la ciudad de Pekín se concluye que las viviendas ubicadas a distancias muy cortas de las estaciones del ferrocarril pueden percibir consecuencias negativas debido a que los sistemas de transporte pueden traer consigo problemáticas asociadas a mayores niveles de criminalidad y congestión. Asimismo, al ser hogares de estratos más altos es posible que utilicen el transporte público en una menor proporción que los hogares de estratos bajos, por lo que sus beneficios derivados de la implementación del sistema de transporte público pueden ciertamente ser muy pocos. Respecto a las variables contaminación, se aprecia que mayores niveles de contaminación conllevan a un aumento en el valor de los arriendos, efecto contrario a la percepción subjetiva del aire, la cual afecta negativamente los precios. Finalmente, la percepción del transporte público no genera efectos significativos.
La segunda metodología utilizada corresponde a la combinación del método propensity score matching con diferencias en diferencias (PSM-DD), correspondiente a una estimación no paramétrica del efecto. Bajo este enfoque se obtienen resultados similares a los anteriores, lo que permite robustecer los hallazgos. En la columna (1) del cuadro 5 no se reporta un efecto significativo sobre el valor de los arriendos para la muestra completa. No obstante, los resultados de nuevo reportan efectos diferenciados por estrato. Los estratos bajos como se observa en la columna (2), reciben un efecto positivo y significativo sobre el valor de las viviendas del 8%; mientras que el valor de los arriendos de las viviendas de estratos altos (columna 3) se ve negativamente impactado por la implementación del sistema de transporte en un 18%, siendo estos valores similares a los reportados en el cuadro 4.

*, **, *** corresponden a los niveles de significancia de 10%, 5% y 1%, respectivamente.

*, **, *** corresponden a los niveles de significancia de 10%, 5% y 1%, respecti
Por último, en el cuadro 6 se presenta el test de balanceo que permite comprobar el éxito del emparejamiento de las variables exógenas. Este test estima la diferencia en media con una regresión lineal de las variables ponderadas. Como se observa, la hipótesis de que el valor medio de cada variable es el mismo entre el grupo de tratamiento y en el grupo de control solo se rechaza al 10% en el caso de la variable índice de contaminación. Comparando este test de balanceo con el realizado de forma preliminar en la sección 3 (cuadro 2), se puede concluir que a través del propensity score matching con kernel fue posible generar un grupo de control lo suficientemente similar al grupo de tratamiento para ser utilizado en la estimación del efecto.

En síntesis, los hallazgos de este ejercicio validan la hipótesis de que el cambio en la contaminación atmosférica puede verse reflejado en el mercado inmobiliario a través del mecanismo de precios. Además, los resultados sugieren que el sistema Metroplús (línea 1) tiene efectos sobre el valor de los arriendos diferenciados por estrato socioeconómico, a saber, el valor de las viviendas de estratos 1, 2 y 3 reciben un choque positivo y significativo, opuesto al choque negativo que reciben los hogares de estratos 4 en adelante. Por otro lado, los resultados obtenidos de la variable asociada a la percepción de la cobertura del transporte público podrían reflejar las limitaciones de las variables subjetivas, impidiendo cualquier deducción generalizable.
En los cuadros A2 y A3 de la sección de anexos, a modo de ejercicio de robustez, se encuentran los resultados con criterios de distancia del tratamiento de 250 y 1.000 metros.
V. Ejercicios de sensibilidad y robustez
En esta sección se presentan dos ejercicios de robustez que buscan afianzar los resultados anteriores. El primer ejercicio consiste un test de falsificación que se basa en la utilización de las mismas metodologías anteriores considerando ahora un periodo en el cual no se haya llevado a cabo la intervención. En particular, lo que se busca con dicho test es verificar que al realizar la estimación para los periodos 𝑡 = 1,0 y asumiendo tendencias paralelas, el efecto del tratamiento sea igual a cero, esto es:
(8)Específicamente, pare este ejercicio se seleccionaron los años 2007 y 2010, periodo en el cual no existía el sistema Metroplús. Es importante mencionar que este ejercicio es parcialmente comparable con el original debido a que por diferencias en las encuestas no fue posible construir las mismas variables de control. En los cuadros 7 y 8 se presentan los resultados de dicho ejercicio utilizando las metodologías DD y PSM-DD, respectivamente.

*, **, *** corresponden a los niveles de significancia de 10%, 5% y 1%, respectivamente.

*, **, *** corresponden a los niveles de significancia de 10%, 5% y 1%, respectivamente.
Bajo DD los resultados obtenidos para un periodo previo a la intervención son negativos y no significativos considerando toda la muestra, los estratos bajos y los estratos altos. Utilizando la metodología PSM-DD, se obtiene un efecto nulo para todos los tipos de muestra, lo cual coincide con los resultados esperados. Dado lo anterior, se puede validar parcialmente el efecto causal del Metroplús sobre el valor de las viviendas, descartando la causalidad de otro factor que haya ocurrido durante el periodo anterior al sistema de transporte.
El segundo test consiste en un ejercicio de sensibilidad en el cual utilizamos diferentes tipos de kernel y anchos de banda a los usados en la estimación de PSM-DD de la sección de resultados. Mientras que el ejercicio original usamos un tipo de función de kernel gaussiana y un ancho de banda de 0,06, en este ejercicio calculamos el efecto del tratamiento para tres combinaciones. En el cuadro 9 se aprecia que bajo las tres combinaciones de funciones y anchos de banda los resultados continúan siendo muy similares a las estimaciones reportadas en el cuadro 5, por los que se infiere que nuestros hallazgos no son sensibles a diferentes formas de establecer el emparejamiento.

*, **, *** corresponden a los niveles de significancia de 10%, 5% y 1%, respectivamente.
VI. Conclusiones
En este trabajo se presentó una evaluación de impacto del sistema de transporte Metroplús (línea 1) sobre los precios de las viviendas de Medellín, considerando que la posible reducción de la contaminación derivada de la puesta en marcha del sistema puede servir como escenario para comprobar la hipótesis planteada por Brueckner (2011) sobre los efectos que la contaminación, como externalidad negativa, puede generar sobre los bienes residenciales. Es importante mencionar que nuestros resultados carecen de algunos limitantes. En primer lugar, la variable asociada al valor de los bienes residenciales corresponde al valor autorreportado y no al verdadero valor de mercado; y, en segundo lugar, las limitaciones en las fuentes de información nos restringen a realizar un análisis desde una perspectiva de corto plazo, por lo que existe la posibilidad de que el aumento en el precio del arriendo se haya internalizado antes de levantar la encuesta en el 2010 o de no capturar el efecto en su totalidad.
El análisis preliminar de los datos arrojó que las condiciones socioeconómicas del total de hogares de la muestra se dividen 82% de hogares pertenecientes a estratos 1, 2 y 3 y el 18% restante a estratos 4 y más; con relación a la percepción en cobertura de transporte público, el 85% de los hogares la consideraban favorable. Además, partiendo de las diferencias preexistentes de los grupos de tratamiento y control, se encontró que algunas de las características de las viviendas, así como arriendo e índice de contaminación están desbalanceadas, lo que indica una leve diferencia inicial estadísticamente significativa entre los grupos de tratamiento y de control.
Por otro parte, los resultados de la estimación del modelo de diferencias en diferencias (DD) por mínimos cuadrados ordinarios muestran que, al considerar el total de la muestra, no se encuentran efectos significativos del Metroplús (línea 1) sobre el precio de las viviendas directamente intervenidas, reflejándose solo el aumento real del valor de las viviendas en el tiempo. Sin embargo, al considerar los efectos heterogéneos, los hallazgos para los estratos 1, 2 y 3 concuerdan con los resultados esperados, de tal forma que en los grupos socioeconómicos más bajos se refleja un impacto positivo del Metroplús del 9% sobre el valor de los arriendos. De manera opuesta, los hogares pertenecientes a estratos 4 en adelante sufren un efecto negativo reflejado en una disminución en el precio de las viviendas del 16%.
Las estimaciones de las variables de contaminación y percepción del transporte público reflejan parcialmente los resultados esperados. En efecto, el índice de contaminación tuvo un efecto negativo y significativo sobre el valor de las viviendas solo para los hogares de estratos bajos, mientras que la variable de percepción de la calidad del aire afecta negativamente los precios en todos los casos, lo cual es coherente con la hipótesis de que, a mayores niveles de contaminación menor será el precio de los bienes residenciales; no obstante, la variable percepción del transporte no muestra efectos significativos.
Adicionalmente, para otorgar mayor poder a los resultados de la metodología de DD se utilizó un método de estimación no paramétrico correspondiente al propensity score matching combinado con diferencias en diferencias (PSM-DD). Los resultados arrojados por esta metodología son similares a los del ejercicio anterior, reportando un efecto positivo del 8% sobre el valor de los arriendos de las viviendas de estratos medio-bajo y un choque negativo del 18% sobre el precio de las viviendas de estratos altos, estos derivados de la implementación del sistema de transporte Metroplús. Asimismo, los ejercicios de sensibilidad realizados permiten validar los resultados obtenidos.
Después de analizar los hallazgos de este ejercicio de evaluación de impacto se deja abierta la puerta para un ejercicio posterior que involucre una perspectiva de largo plazo, con el fin de robustecer la hipótesis planteada y de continuar fomentando este tipo de estudios que constituyen un aporte significativo a la literatura local en términos de la inserción de un canal distinto para evaluar los impactos de una política de movilidad. También, se resalta la importancia de evaluar las iniciativas públicas con el objetivo de calcular sus alcances tanto en términos de objetivos directos, como de posibles efectos secundarios o externalidades, de modo que se obtenga un panorama global que identifique los reales beneficios asociados a la implementación de esta. En general, estos programas se implementan con el fin de cubrir grupos vulnerables, la evaluación de los beneficios reales es crucial para continuar fomentando una atención efectiva para esta población. Finalmente, este tipo de estudios se convierten en una importante herramienta para el diagnóstico, planificación y desarrollo de objetivos y estrategias propios de los hacedores de política.
Agradecimientos
Los autores agradecen los comentarios y las sugerencias realizadas por los profesores de la Facultad de Ciencias Económicas de la Universidad de Antioquia, así como por los evaluadores anónimos que contribuyeron a mejorar este trabajo. Para la elaboración de este artículo no se contó con financiamiento. La responsabilidad de los posibles errores cometidos es exclusiva de los autores.
Referencias
1. Alcaldía de Medellín, Empresa de Desarrollo Urbano y Transmilenio. (2003). Condiciones urbanas y caracterización del sistema de transporte actual en el Valle de Aburrá. Entrega Final. Medellín.
2. Área Metropolitana del Valle de Aburrá. (2009). Plan Maestro de Movilidad. Medellín, Antioquia, Colombia.
3. Área _Metropolitana del Valle de Aburrá. (2011). Metropol. Recuperado de http://www.metropol.gov.co/CalidadAire/Paginas/ica.aspx
4. Banco Interamericano de Desarrollo. (2013). Recuperado de http://idbdocs.iadb.org/wsdocs/getdocument.aspx?docnum=38963746
5. Banco Mundial. (s. f.). Recuperado de http://datos.bancomundial.org/indicador/EG.USE.COMM.FO.ZS?view=chart
6. Bayer, P., Keohane, N., & Timmins, C. (2006). Migration and Hedonic valuation: The case of air quality. Journal of Environmental Economics and Management, 58(1), 1-14.
7. Bernal, R., & Peña, X. (2001). Guía práctica para la evaluación de impacto. Bogotá: Ediciones Uniandes.
8. Geng, B., Bao, H., & Liang, Y. (2015). A study of the effect of a high-speed rail station on spatial variations in housing price based on the hedonic model. Habitat International, 49, 333-339.
9. Blundell, R., & Costa-Días, M. (2000). Evaluation methods for non‐experimental data. Fiscal Studies, 21(4), 427–468.
10. Blundell, R., & Costa-Días. (2009). Alternative approaches to evaluation in empirical microeconomics. Journal of Human Resources, 565-640
11. Brueckner, J. K. (2011). Lectures on urban economics. Cambridge: MIT Press.
12. Carmona, F. (2014). Un ejemplo de ACP paso a paso. Recuperado de http://www.ub.edu/stat/docencia/Mates/ejemploACP.PDF
13. Crecimiento urbano de Medellín ha sido desordenado y funesto. (2013, 10 de octubre). El Espectador. Recuperado de http://www.elespectador.com/noticias/nacional/crecimiento-urbanode-medellin-ha-sido-desordenado-y-fu-articulo-451626
14. Environmental Systems Research Institute, Inc. (2016). Recuperado http://desktop.arcgis.com/es/arcmap/latest/map/working-with-layers/adding-x-y-coordinatedata-as-a-layer.htm
15. Escobar, P. M. (2016, 6 de abril). Pese a tener metro y tranvía, Medellín sufre por la contaminación. El Tiempo.
16. Griliches, Z. (1971). Price indexes and quality change: Studies in new methods of measurement. Cambridge: Harvard University Press.
17. Heckman, J., Ichimura, H. & Todd, P. (1977). Matching as an econometric evaluation estimator: Evidence from evaluating a job training programme. Review of Economic Studies, 65(2), 261-294.
18. Lancaster, K. J. (1966). A new approach to consumer theory. Journal of Political, 132-157.
19. Lavender, S. D. (1990). Economics for builders & surveyors. New York: Longman Scientific & Technical.
20. López, I., & Gracia, R. E. (2013). Valoración económica de la contaminación por olores en el área de influencia del relleno sanitario El Carrasco: una aplicación de la metodología de precios hedónicos. Trabajo de grado. Universidad Industrial de Santander, Bucaramanga.
21. Lora, E., Powell, A., Van Praag, B. M., & Sanguinetti, P. (eds.). (2010). The quality of life in Latin American cities: Markets and perception. The World Bank.
22. Mardones, C. (2006). Impacto de la percepción de la calidad del aire sobre el precio de las viviendas en Concepción-Talcahuano, Chile. Cuadernos de Economía, 43, 301-329.
23. Mardones, C. (2019). Determining the “optimal” level of pollution (PM2,5) generated by industrial and residential sources. Environmental Impact Assessment Review, 74, 14-22.
24. Mardones, C., Saavedra, A., & Jiménez, J. (2015). Cuantificación económica de los beneficios en salud asociados a la reducción de la contaminación por MP10 en Concepción Metropolitano, Chile. Revista Médica de Chile, 143(4), 475-483.
25. Medina, C., & Morales, L. (2007). Demanda por servicios públicos domiciliarios en Colombia y subsidios: implicaciones sobre el bienestar. Borradores de Economía, 4293.
26. Medina, C., Morales, L., & Núñez, J. (2008). Quality of life in urban neighborhoods in Colombia: The cases of Bogotá and Medellín. Borradores de Economía. Banco de la República, 1-63.
27. Mendieta, J. C., & Perdomo, J. A. (2007). Especificación y estimación de un modelo de precios hedónico espacial para evaluar el impacto de Transmilenio sobre el valor de la propiedad en Bogotá. Univ. de los Andes, Fac. de Economía, CEDE Centro de Estudios sobre Desarrollo Económico.
28. Morales, L., & Arias, F. (2012). La calidad de la vivienda en Bogotá: enfoque de precios hedónicos de hogares y de agregados espaciales. Revista Sociedad y Economía, 9, 47-80.
29. ¿Qué es el Plan Maestro de Movilidad y que dice sobre el Metroplús? (s. f.). Metroplús. Recuperado de http://metroplus.gov.co/que-es-el-plan-maestro-de-movilidad-y-que-dice-sobre-metroplus/
30. Robinson, R. (1979). Housing economics and public policy. Springer.
31. Rodríguez, J. L. (2015, 27 de agosto). Así va el crecimiento de las ciudades en las regiones del mundo. El Tiempo. Recuperado de http://www.eltiempo.com/archivo/documento/CMS-16300119.
32. Rosen, S. (1974). Hedonic prices and implicit markets: Product differentiation in pure competition. Journal of Political Economy, 34-55.
33. Rosenbaum, P., & Rubin, D. (1983). The central role of the propensity score in observational studies for causal effects. Biometrika, 41-50.
34. Smith, J., & Todd, P. (2005). Does matching overcome LaLonde’s critique of non-experimental estimators? Journal of Econometrics, 305-353.
35. Tang, C., Heintzelman, M. D., & Holsen, T. M. (2018). Mercury pollution, information, and property values. Enviromental Economics and Management, 92, 418-432.
36. Tsivanidis, N. (2017). Ticket to ride? Building efficient and equitable cities with bus rapid transit. Development Impact Guest Blogger. The World Bank.
37. Vidaurre, R. (2009). El impacto de la contaminación del aire en el precio de las viviendas de la ciudad de la Paz, Bolivia. Bolivian Conference on Development Economics.
38. Villa, J. M. (2016). Diff: Simplifying the estimation of difference-in-differences treatment effects. The Stata Journal, 57-72.
Anexos


*, **, *** corresponden a los niveles de significancia de 10%, 5% y 1%, respectivamente.

*, **, *** corresponden a los niveles de significancia de 10%, 5% y 1%, respectivamente.


Cálculo del ICA:
El cálculo del ICA se realiza de acuerdo con el modelo desarrollado por la EPA, el cual consiste en el cálculo de un algoritmo para la obtención de los sub-índices correspondientes a diferentes indicadores de la calidad del aire. La ecuación se calcula para contaminante criterio, reportando el mayor valor del índice que se obtenga.

ICA: índice de calidad del aire.
ILO: valor del índice en el límite inferior de la categoría del ICA.
ILO: valor del índice en el límite superior de la categoría del ICA.
BPLO: punto de quiebre de la concentración en el límite inferior de la categoría del ICA.
BPHI: punto de quiebre de la concentración en el límite superior de la categoría del ICA
Ci: Concentración del contaminante.
Notas