Artículos
Aportes para la construcción de una medida global de la pobreza: el caso de Colombia 2011-2017
Contributions for the construction of a global measure of poverty: The case of Colombia 2011-2017
Aportes para la construcción de una medida global de la pobreza: el caso de Colombia 2011-2017
Desarrollo y Sociedad, núm. 83, pp. 263-305, 2019
Universidad de Los Andes

Recepción: 23 Agosto 2018
Revisado: 07 Julio 2019
Aprobación: 18 Julio 2019
Resumen: La pobreza, como una de las principales limitantes del bienestar social, se encuentra entre las mayores preocupaciones de los países, organismos multilaterales y de la sociedad en general. Sin embargo, los consensos académicos internacionales en cuanto a concepto, medición y comparabilidad internacional siguen distantes. Por tanto, este artículo busca aproximar distintas posiciones al respecto y proponer un indicador que supere las visiones unidimensionales de un fenómeno poliédrico y multicultural. A la luz de los resultados, y utilizando datos de 121.802 hogares de la Encuesta Nacional de Calidad de Vida 2012-2017, se pudo evidenciar que Colombia en seis años redujo en 7,2 puntos porcentuales la incidencia de la pobreza, la brecha en 1,1, y la desigualdad en 1 punto porcentual, afectando con mayor frecuencia las zonas rurales y hogares con jefaturas femeninas y de mayor etnicidad, bien por color de piel o pertenencia a grupos étnicos.
Palabras clave: condiciones de vida, desigualdad, etnicidad, Colombia.
Abstract: Poverty, as one of the constraints of social welfare, is among the greatest concerns of countries, multilateral agencies, and society in general. However, international academic consensus regarding the concept, measurement, and international comparability remains distant. As such, this paper seeks to approximate positions on the subject, and propose an indicator that can overcome one-dimensional visions of a polyhedral and multicultural phenomenon. In light of the results, and using data from 121,802 households from the 2012-2017 National Quality of Life Survey, it was evident that in six years, Colombia reduced its incidence of poverty by 7.2 percentage points, the gap by 1.1, and inequality by 1 percentage point, with rural areas and households being affected more frequently.
Keywords: Living conditions, inequality, ethnicity, Colombia.
Introducción
En todos los países del mundo, la reducción o erradicación de la pobreza es un objetivo político capital. En el ámbito internacional, no cabe duda de que eliminar la pobreza mundial en todas sus formas, es el más importante de los Objetivos de Desarrollo Sostenible (ODS) establecidos por las Naciones Unidas en el 2015. Así pues, en la asignación de recursos en los presupuestos nacionales y la asistencia internacional para el desarrollo influyen los avances y la situación relativa de los países con respecto a la reducción de la pobreza. Sin embargo, a pesar de que la pobreza es un tema clave en la agenda política de cada país, su medición y comparabilidad en el plano internacional sigue siendo problemática (Anker, 2006).
Los consensos académicos internacionales en cuanto al concepto, la medición y la comparabilidad de la pobreza siguen distantes, aun cuando existan importantes avances al interior de los países. Esto lleva al Banco Mundial a calcular un índice internacional basado en una línea de pobreza de 3,1 dólares de paridad de poder adquisitivo del 2011 (PPA), que resulta muy complejo y apartado de las medidas nacionales y que, además, goza de poca credibilidad y convencimiento.
Por lo anterior, este artículo pretende hacer una revisión de los principales avances en el concepto y las metodologías usadas para la medición de la pobreza, acercando posiciones y proponiendo una medida más universal que vincule en su cálculo el carácter relativo de tiempo y espacio del fenómeno, el grado de desarrollo de los países y, sobre todo, el carácter multifacético, que lo vuelva más comparable internacionalmente y evaluable en el tiempo.
En consecuencia, el primer capítulo aborda lo referente a la revisión literaria sobre las distintas definiciones y metodologías predominantes para la identificación y la agregación del fenómeno. El segundo capítulo muestra la forma cómo la mayoría de las autoridades estadísticas nacionales calculan la pobreza y la ofrecen a la comunidad en general. El tercer capítulo describe la propuesta metodológica de cálculo de la pobreza con opciones importantes para una mejor comparabilidad internacional del fenómeno, ofreciendo ventajas en el diseño y evaluación de políticas públicas para su efectiva identificación y control. El cuarto capítulo presenta los resultados luego de aplicar la metodología para los datos de Colombia durante el 2011 a 2017. Finalmente, en el capítulo quinto se plantean las conclusiones generales sobre los principales hallazgos y aportes en la concreción conceptual y metodológica de la pobreza.
I. El concepto de pobreza
La pobreza es un fenómeno que si bien es muy antiguo, su estudio científico se remonta solo a comienzos del siglo XX. Sin embargo, aunque está muy presente en las preocupaciones de gobiernos y entidades multilaterales, su conceptualización y medición se haya muy distante de consensos internacionales.
La discusión sobre el fenómeno de la pobreza implica considerar que su definición es paralela a los desarrollos sociopolíticos, económicos y tecnológicos de la sociedad; en tal sentido, es un concepto que evoluciona frente a los referentes de calidad de vida y sostenibilidad de la misma. Interpretar hoy la pobreza —con las lógicas de mediados del siglo XX u otras épocas— es desconocer la transformación social y cultural a lo largo de los años, de realizarse con dichos parámetros se lograrían éxitos en su solución numérica pero desaciertos en su real disminución. Si el objetivo es reducir o erradicar la pobreza, es pertinente reconocer las nuevas realidades, resignificar o redefinir el concepto y brindarle una suerte de perspectiva que facilite su interpretación, para que las políticas públicas sean herramientas efectivas para su control y posterior erradicación (Ruiz-Herrera, Botello-Peñaloza y Marín-Díaz, 2014).
Si bien el término “pobreza” tiene distintos significados en las ciencias sociales, la mayoría de los estudios económicos han centrado su atención casi exclusivamente en las concernientes a “necesidad” y “estándar o condiciones de vida”, como está indicado arriba. Todo lo que ya se ha dicho sobre la relatividad del contexto del concepto de pobreza y el requisito de referir las definiciones al estilo de vida dominante, implica que las normas de pobreza deben ser dinámicas. A medida que la sociedad se va enriqueciendo, los niveles absolutos de las normas pretéritas van quedando obsoletos; el desarrollo económico cambia la disponibilidad de las diferentes clases de bienes e incluso la estructura de las necesidades; y con él, cambian los estilos de vida (Townsend, 1979).
Como se aprecia, llegar a una definición universal de la pobreza ha resultado por lo menos complejo, y dado que su concepto va muy ligado a las diferentes metodologías y técnicas que se utilizan para su medición, es preciso hacer una revisión más detallada de la identificación que diferencia a los “pobres” de los “no pobres” y la agregación del término en algún indicador que permita apreciar no solo la evolución del fenómeno en un contexto determinado, sino también su comparabilidad con otros contextos.
La identificación que pretende diferenciar con claridad en un contexto determinado qué individuos u hogares son pobres y quiénes no lo son, requiere comparar el bienestar de distintas personas y evaluar si alguna de ellas tiene un nivel menor al “mínimo razonable” fijado socialmente (Feres y Mancero, 2001). El análisis económico tradicional suele identificar esta noción de bienestar o estándar de vida con la utilidad que experimentan los individuos ante el consumo de bienes (enfoque utilitarista). Sin embargo, Sen (1984) critica este enfoque y argumenta que el nivel de vida o bienestar de un individuo lo determinan sus capacidades y no los bienes que posea ni la utilidad que experimente (enfoque de las capacidades).
Según Sen, se pueden entender las “capacidades” como aquellas actividades que distintos objetos permiten realizar. No son los objetos que nos proporcionan el estándar de vida, pues la posesión de un bien no implica por sí misma las actividades que un individuo pueda realizar, dichas actividades dependen de las facultades e impedimentos de cada individuo. Si bien “los objetos proveen la base para una contribución al estándar de vida, no son en sí mismos una parte constituyente de ese estándar” (Domínguez-Domínguez y Martín- Caraballo, 2006). Un tercer enfoque, emergente en la época y consolidado en años recientes, es el enfoque de bienestar subjetivo, que se basa en la evaluación que hace una persona de su propio bienestar; se afirma que el bienestar es subjetivo en el sentido de que es el sujeto quien lo experimenta y esta experiencia de bienestar depende de sus condiciones, de su subjetividad. Se argumenta, por tanto, que cada persona es autoridad competente para juzgar su bienestar (Rojas y Jiménez, 2008).
Estos enfoques respaldan los métodos indirecto, directo y subjetivo en la identificación de los pobres. En el “método indirecto” una persona es pobre porque no cuenta con los recursos económicos suficientes para satisfacer sus necesidades básicas, en claro apego al enfoque utilitarista. En el “método directo”, una persona es pobre porque no satisface una o varias necesidades básicas según un umbral normativo, como una nutrición adecuada, un lugar decente para vivir, educación básica, etc., siguiendo los lineamientos del enfoque de capacidades. Por su parte, en el “método subjetivo” una persona es pobre porque bien ella misma hace una evaluación consciente de su condición de pobreza (se considera pobre) o bien porque a partir de dicha evaluación se define arbitrariamente un nivel de bienestar considerado como bajo y con este una medida de comparación.
Bajo el método indirecto la discusión de la pobreza se limita al espacio de la renta, definiendo la pobreza como una privación económica (PEM) o, como determinó Foster en 1984, se trata la pobreza como pobreza económica o monetaria, puesto que está vinculada a las carencias de recursos económicos de las personas u hogares, para el consumo de bienes y servicios económicos. De este modo, un estándar de pobreza está basado en el nivel de recursos del individuo u hogar que se “juzgan necesarios” para tener un nivel de vida mínimamente adecuado (Domínguez-Domínguez y Martín-Caraballo, 2006).
El método directo no es solo una alternativa metodológica al método indirecto, sino que también representa una conceptualización distinta de la pobreza (Sen, 1981). Este método observa directamente las condiciones de vida de la población y dependiendo de lo lejos que se encuentren de los estándares sociales, bajo una metodología de “doble umbral”, se determinará la clasificación de una persona u hogar como “pobre” o “no pobre” (Feres y Mancero, 2001). Por ello, este método nos lleva a un concepto de pobreza de condiciones de vida (PCV) el cual se desarrolla más adelante. Dentro de las medidas multidimensionales de pobreza podemos destacar el índice de necesidades básicas insatisfechas (NBI) propuesto por la Cepal a comienzo de los años ochenta y adoptado como oficial por muchos países latinoamericanos; el índice de condiciones de vida (ICV) propuesto por el Departamento Nacional de Planeación en Colombia desde 1993, el índice de pobreza humana (IPH) propuesto por las Naciones Unidas en 1997, y recientemente el índice de pobreza multidimensional propuesto por Sabine Alkire y James Foster en el 2007 de la OPHI (Oxford Poverty & Human Development Initiative, Iniciativa de Pobreza y Desarrollo Humano de Oxford) que a partir del 2010 reemplaza al IPH.
Como bien se observa, en los últimos años se han visto no solo un desarrollo, sino también un crecimiento del análisis de la pobreza desde el enfoque multidimensional. Tanto los gobiernos como los académicos y las organizaciones internacionales buscan las mejores combinaciones de indicadores para definir y combatir la pobreza. En el ámbito internacional, a partir de 1990 el Programa de las Naciones Unidas para el Desarrollo (PNUD) reconoció la necesidad de estudiar la pobreza más allá del ingreso/gasto; para ellos, “el desarrollo humano es un proceso de ampliación de las opciones de las personas”. Por otra parte, desde 1997 el Banco Mundial enfatizó que la pobreza es un fenómeno multidimensional. En el 2000, 147 jefes de Estado firmaron la declaración del milenio (ODM) que revalidó el compromiso de esos gobiernos para combatir la pobreza desde el enfoque multidimensional. En términos de instrumentos políticos públicos, ocho dimensiones relacionadas con el desarrollo humano fueron consideradas para la lucha contra la pobreza (Delice, 2014). Esta misma iniciativa fue reeditada el 25 de septiembre de 2015 por 197 líderes mundiales, con la misión de poner fin a la pobreza en todas sus formas en todo el mundo al 2030, como el primero de 15 objetivos de desarrollo sostenible (ODS).
El método subjetivo, diferenciado de la línea de pobreza subjetiva de la PEM, y basado esencialmente en cuestionarios de opinión, conlleva la medición de la pobreza en términos subjetivos en un contexto determinado. La pobreza subjetiva (PSJ) entonces está basada en las apreciaciones que tienen los individuos u hogares acerca de sus condiciones de vida y del entorno que los rodea. En este sentido, es una medida que aporta elementos adicionales al análisis objetivo de la pobreza visto hasta ahora.
Este tipo de pobreza se considera subjetiva porque es la persona u hogar quien haciendo una revisión integral y prospectiva de su propia vida y de las condiciones de su entorno, se siente y define como “pobre”, incluso, pudiendo cubrir con sus ingresos una canasta de consumo que le garantiza el acceso a bienes y servicios esenciales para su subsistencia (Giarrizo, 2007). En otras palabras, es el grado de insatisfacción con la situación en que se está, al no tener el nivel de vida deseado.
Así las cosas, la pobreza subjetiva no se corresponde necesariamente con la pobreza objetiva, y viceversa, puesto que individuos u hogares catalogados como pobres objetivos puede que no se autoperciban como pobres, mientras que quienes no son ubicados como pobres objetivos puede que sí se consideren pobres al no tener el nivel de vida que desearían tener o considerar que se encuentran muy por debajo de las condiciones promedias de los individuos u hogares de su entorno (Pinzón-Gutiérrez, 2014).
Respecto a la agregación, una vez identificadas las personas “pobres”, es necesario contar con una medida que indique la extensión y estado actual de la pobreza. Entre las ventajas de una medida de pobreza se cuenta la facilidad de comparar entre distintas situaciones, y su utilidad para evaluar la efectividad de las políticas sociales (Feres y Mancero, 2001). Sin embargo, todas las medidas sintéticas están calculadas para la pobreza económica o monetaria (PEM), pero con los ajustes adecuados, pueden ser extensibles a los nuevos conceptos de pobreza de condiciones de vida (PCV) y pobreza subjetiva (PSJ).
En este sentido, para la construcción de índices de pobreza se puede seguir, al menos, dos enfoques: el enfoque axiomático (EA) y el enfoque de bienestar (EB). El EA consiste en especificar un conjunto de axiomas o propiedades deseables que debe satisfacer un índice o medida de pobreza; el primer planteamiento axiomático fue propuesto por Sen (1976). Según Foster, Greer y Thorbecke (2010), los axiomas para las medidas de pobreza pueden ser convenientemente agrupados en tres grandes categorías: 1) Axiomas de invariancia; 2) Axiomas de dominancia, y 3) Axiomas de subgrupo. Por otro lado, de acuerdo con Fernández-Morales (1992), el EB consiste en comparar el bienestar social asociado a la “distribución objeto de estudio” con el bienestar que se obtendría de una distribución ideal o de referencia en la cual se hubiese eliminado la pobreza. Para realizar esta comparación se utiliza una función de bienestar o de evaluación social. Los dos enfoques anteriores constituyen dos maneras alternativas de especificar la forma funcional concreta de la medida o índice y en muchos casos se puede llegar al mismo índice, por lo que pueden considerarse enfoques complementarios (Fernández-Morales, 1992).
En la última década, el estudio de la pobreza ha experimentado un fuerte desarrollo tanto en el plano teórico como en las aplicaciones empíricas, gracias a la creciente disponibilidad de estadísticas sobre la distribución de la renta o gasto, condiciones de vida y la propia percepción de pobreza de los individuos u hogares (Fernández-Morales y Martín-Reyes, 1994). Fruto de este impulso investigador ha sido el desarrollo de multitud de índices distintos, que de una u otra forma siguen la aportación de Sen (1976), quien propone tres componentes para el estudio de la pobreza. El primero de ellos se denomina “incidencia” (H) y corresponde al porcentaje de la población que tiene un ingreso/ gasto de referencia (x) en el hogar, condiciones de vida o autopercepción por debajo de la línea de pobreza (Z), con relación a la población total. El segundo componente es la “intensidad” (I) o “brecha” (HI) y es un indicador que mide la cantidad de dinero, condiciones de vida o autopercepción que le falta a un individuo u hogar pobre para dejar de estar en esa situación, es decir, para que alcance la línea de pobreza, por ello se corresponde con la magnitud de la pobreza. Finalmente, el tercer componente es la desigualdad entre los pobres, que actúa como factor agravante del fenómeno conocida por otros como “severidad” (D). Este componente integra al indicador de incidencia y brecha de la pobreza (Núñez-Velázquez, 2009).
Dentro de esta gran variedad de índices, la familia propuesta por Foster, Greer y Thorbecke (1984) conocidos como índices
, ha tenido una gran aceptación, siendo empleados en gran número de estudios empíricos. Ello se debe a que gozan de buenas propiedades en el sentido teórico y constituyen un conjunto amplio y flexible para la medición de la pobreza y sus diferentes aspectos, mencionados arriba (Fernández-Morales y Martín-Reyes, 1994).
II. Medición de la pobreza
A. Medición de la pobreza monetaria
En la medición de la pobreza económica o monetaria (PEM) intervienen: los ingresos totales (y), el ingreso de referencia (x), la escala de equivalencia (e) y la línea de pobreza (z). La combinación de estos elementos permite obtener los siguientes vectores:
con
vector de ingresos.
con
vector de pobreza monetaria.
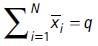
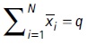
De aquí se obtiene el número de pobres q:
(1)1. El ingreso de referencia
El ingreso de referencia (x) es uno de los elementos de mayor controversia en la medición de la pobreza monetaria, por cuanto cada país presenta combinaciones en la utilización tanto del ingreso total (y) como de la escala de equivalencia (e).
En el caso de Colombia y de muchos países latinoamericanos, el ingreso total3 se divide entre el número de personas que lo conforman y así se obtiene el ingreso per cápita de la unidad de gasto4. Este ingreso se compara con el valor de las líneas de pobreza y pobreza extrema para determinar el porcentaje de la población total cuyos ingresos no superan dichos umbrales (Conpes, 2012). Otros países utilizan diferentes escalas de equivalencias (e), entendidas como un índice de las necesidades del hogar, el cual dependerá generalmente de las características de los n miembros que lo integran; pues, claramente, un hogar más numeroso tiene necesidades mayores que uno más pequeño y, por ello, se requerirá algún tipo de ajuste que permita tener en cuenta las necesidades familiares. Tradicionalmente, este tipo de ajuste se hacía a partir del número de personas en cada familia, obteniendo así la renta per cápita, que presenta el doble problema de asumir, primero, que todas las personas dentro del hogar tienen con exactitud las mismas necesidades (adulto equivalente), independientemente de la edad y el sexo; y segundo, la sobrevaloración de las economías de escala de las familias más numerosas y la inadmisión de bienes públicos al interior de los hogares (Domínguez-Domínguez y Martín-Caraballo, 2006).
Ante estas dificultades, surgen en la literatura multiplicidad de escalas de equivalencia con el propósito de ajustar el ingreso o consumo de los hogares en función de su tamaño y composición, y volverlos comparables. Una escala frecuentemente utilizada en el análisis económico se encuentra en Buhmann, Rainwater, Schmaus y Smeeding (1988). El número de “adultos equivalentes” de un hogar se determina con la expresión
, donde n es el número de miembros del hogar y
es el parámetro de economías de escala. El “ingreso por unidad equivalente” o ingreso de referencia (x) se obtiene dividiendo el ingreso total disponible (y) del hogar por el número de unidades (o “adultos equivalentes”):
De esta forma, si el parámetro
toma el valor 0, se supone que las economías de escala son absolutas, por lo que el indicador de bienestar utilizado es el ingreso total (x = y). En cambio, cuando no existen economías de escala en el hogar,
toma el valor 1, y el indicador de bienestar es el ingreso per cápita
(Mancero, 2001).
2. Los umbrales de pobreza
Según Feres y Mancero (2001), los umbrales de pobreza establecen el ingreso o gasto mínimo que permite mantener un nivel de vida adecuado, según ciertos estándares elegidos. Es decir, se considera pobres a aquellas personas con un ingreso menor a la línea de pobreza. Se distinguen líneas objetivas y líneas subjetivas. Dentro de las líneas objetivas se diferencian las líneas absolutas, líneas relativas y líneas híbridas. Ahora, dentro de las líneas absolutas se destacan las obtenidas a partir del consumo calórico y a partir del costo de las necesidades básicas.
En el consumo calórico la línea de pobreza corresponde al nivel de ingreso (o de gasto) que permite alcanzar un consumo predeterminado de calorías. Las necesidades calóricas se obtienen de estudios nutricionales, realizando supuestos sobre el nivel de actividad física. El costo de las necesidades básicas utiliza una canasta básica de consumo compuesta por diversos bienes y servicios; la línea de pobreza es el gasto necesario para adquirir esa canasta básica compuesta de manera simplificada por “bienes alimentarios” y “otros bienes” (Feres y Mancero, 2001).
Las líneas “relativas” fijan la línea de pobreza con relación a los ingresos medios de un país. De esta forma, la pobreza se considera como una situación de “privación relativa”, en la cual un individuo es más o menos pobre según cuánto tengan los demás. Este método relativo, de acuerdo con Sen (1984), se originó como respuesta a los fallidos estudios de pobreza de mediados del siglo XX, en los que la línea de pobreza utilizada era absoluta en términos de bienes, y no reflejaba las nuevas necesidades de las personas a lo largo del tiempo. Al considerar la condición de pobreza en función de lo que tienen los demás, este método no necesita de reajustes periódicos al nivel de la línea de pobreza, ya que se producen automáticamente con la variación de ingresos de un país. Debe señalarse que esta forma de mover la línea de pobreza supone una elasticidad-ingreso con respecto al ingreso medio (o mediano) igual a 1; o, en otras palabras, que la percepción de “privación relativa” de las personas cambia inmediatamente ante variaciones del ingreso promedio (Feres y Mancero, 2001).
Las líneas híbridas son poco comunes, aun cuando permiten obtener líneas más realistas toda vez que promedian geométricamente los umbrales tanto absolutos como relativos.
Finalmente, las líneas de pobreza subjetivas se construyen a partir de las percepciones de los propios hogares, obtenidas mediante un cuestionario de opinión. En este método estaría implícito, entonces, el supuesto de que “cada individuo por sí mismo es el mejor juez de su propia situación” (Van Praag, Goedhart y Kapteyn, 1980).
B. Medición de la pobreza multidimensional
La medición de la pobreza multidimensional es factible utilizando las matrices de datos de hogares (i ) por cada una de las variables o dimensiones (j ) seleccionadas para el efecto. Esta técnica conocida como de “doble umbral” se viene utilizando desde los años ochenta con el índice de necesidades básicas insatisfechas de la Cepal, el índice de condiciones de vida del Departamento Nacional de Planeación en Colombia desde 1993, y recientemente en la metodología del índice de pobreza multidimensional (IPM) de Alkire y Foster desde el 2010. Todo indica que esta última supera las anteriores por sus propiedades axiomáticas, ante lo cual nos centramos en ella.
Sean:
(2)
con ci (i = 1, 2, 3 … N). Pero
Vector de privaciones ponderadas.
con
Vector de privaciones ponderadas censuradas.
(3)
con
Vector de conteo.
De aquí se obtiene q:
(4)Donde:
xij = características del hogar i en la dimensión j
xij= privación del hogar i en la dimensión j
zj = umbral en la dimensión j
wj= peso asignado a la dimensión j
ci= privación ponderada del hogar i
ci= privación ponderada del hogar i solo si es pobre
q = conteo de hogares pobres en la muestra
k = segundo umbral, que determina si un hogar es pobre o no. 
N = total de hogares en la muestra
Ahora se obtienen las medidas de pobreza multidimensional:
(5) Incidencia de
la pobreza multidimensional
(6) Intensidad de la pobreza multidimensional
(7) Tasa de incidencia ajustada, IPMC. Medición de la pobreza subjetiva
La pobreza subjetiva hasta ahora solo es posible medirla mediante encuestas con preguntas de selección dicotómica, donde se forma un vector con las respuestas de cada individuo (pi), tomando el valor de 1, si el individuo se considera pobre y el valor de 0 en caso contrario. Así las cosas, se obtiene un valor de q con la sumatoria de dicho vector, y solo se hace factible obtener el indicador de incidencia (H) en este tipo de pobreza.
D. Medición de la pobreza en la práctica
Debido a la importancia reiterada de la medición de la pobreza en todo el mundo, casi todos los países por medio de sus oficinas estadísticas ofrecen cifras anuales del fenómeno, sin que puedan ser comparables entre ellos, dada la variedad de metodologías adoptadas para su cálculo. En un intento de comparabilidad internacional, el Banco Mundial ofrece una metodología basada en la obtención de personas que viven con unos ingresos por día inferiores a 3,1 dólares estadounidenses del 2011, paridad de poder adquisitivo (PPA), según la riqueza del país. Sin embargo, esta metodología plantea problemas de difícil solución en cuanto a pertinencia y exactitud, e incluso el mismo Banco Mundial reconoce que no es idónea para medir los umbrales de pobreza nacionales y que solo sirve para efectuar estimaciones regionales y mundiales (Anker, 2006).
Es preciso señalar que la mayoría de los países en desarrollo calculan la pobreza económica o monetaria siguiendo una línea de pobreza absoluta, mientras que los países desarrollados siguen una línea de pobreza relativa. Además, pocos países calculan la pobreza de condiciones de vida, solo algunos países latinoamericanos ofrecen un indicador de pobreza multidimensional (IPM), como una versión mejorada del antiguo índice de necesidades básicas insatisfechas (NBI). Respecto a la pobreza subjetiva, aún menos países incluyen las preguntas en sus encuestas, y generalmente no ofrecen como oficial el dato obtenido.
En los cálculos nacionales, los ingresos totales familiares (y) generalmente incluyen los ingresos laborales y no laborales, y la renta implícita proveniente de la vivienda propia u ocupada, excluyen los impuestos y los subsidios gubernamentales. Sin embargo, la construcción de esta variable en cada país presenta elementos diferenciados. Además, aunque la escala de equivalencia (e) generalmente utilizada es la per cápita (e = n), existen muchos países que utilizan su propia forma funcional.
Esta variedad de ingresos totales y escalas de equivalencias utilizadas generan ingresos de referencia (x) sin el menor asomo de comparabilidad internacional.
Por su parte, la línea de pobreza (Z) utilizada es la absoluta que corresponde al costo o gasto necesario para adquirir una canasta básica de bienes y servicios alimentarios y no alimentarios. Generalmente, los países calculan el componente alimentario y obtienen la línea de pobreza (Z) dividiendo el valor de esta canasta básica alimentaria por la proporción histórica de gastos en alimentos. Este procedimiento, altamente extendido en Estados Unidos y América Latina, se conoce como el “Método de Orshansky”. En contraste, los países desarrollados tienden a utilizar una línea de pobreza relativa establecida en el 60% de la mediana de los ingresos de referencia.
Ahora bien, si el índice de pobreza se obtiene relacionando el ingreso de referencia y la línea de pobreza, el resultado evidente es la total incomparabilidad de las medidas nacionales de pobreza. Por ejemplo, un pobre en Estados Unidos tiene poco que ver con un pobre en un país menos rico como España. Así, “un mileurista español entraría en la categoría de pobre en EE. UU.”. Y es que las familias “pobres” de EE. UU. pueden adquirir bienes que en otros países tan solo están al alcance de la clase media. En un reciente informe de la Fundación Heritage se apuntaban algunas características al respecto: una familia pobre en EE. UU. suele tener de media un coche, aire acondicionado, dos televisores a color, todo el material imprescindible para la cocina, una casa en buen estado con más espacio que la típica europea, no sufren hambre, pueden acceder a asistencia médica cuando es necesario y suelen tener suficientes fondos para cubrir las necesidades esenciales (Martín, 2017).
En una revisión de datos a diez países latinoamericanos se ratifica la disparidad de las estadísticas oficiales respecto al dato de pobreza ofrecido por el Banco Mundial (PEM - BM) y el salario mínimo interprofesional (SMI), demostrando de alguna manera la incomparabilidad de los mismos, toda vez que en teoría el SMI guarda estrecha relación con el costo de la canasta básica y, por ende, con la línea de pobreza (LP) en un contexto determinado (véase cuadro 1).

La relación de línea de pobreza con el salario mínimo interprofesional va desde 20% hasta 150%. Es decir, hay países donde la línea de pobreza representa la quinta parte de un salario mínimo, pero en otros llega a ser 1,5 veces mayor. Desde luego, independientemente del grado de desarrollo del país en una región relativamente homogénea, esta disparidad es muestra clara de la incomparabilidad de los datos de pobreza ofrecidos. Respecto al cálculo de pobreza del Banco Mundial (PEM - BM), con todos los cuestionamientos académicos y políticos que presenta, la evidencia muestra una subvaloración de su cifra respecto a las oficiales (PEM - Nal), que en nuestro criterio están, a su vez, subvaloradas en países en desarrollo y sobrevaloradas en países desarrollados, respecto de la realidad del fenómeno.
Por todo lo anterior, se hace cada vez más urgente el planteamiento de una medida global de pobreza que vincule en su cálculo el carácter relativo de tiempo y espacio del fenómeno, el grado de desarrollo de los países y, sobre todo, el carácter multifacético, que lo vuelva más comparable internacionalmente y evaluable en el tiempo.
III. Propuesta de medida global de la pobreza (IGP)
Como se ha establecido, es necesario unificar criterios en la utilización de algunas variables en el cálculo de la pobreza, guardando las características de contexto, tiempo y nivel de desarrollo de los países. Por ello, esta propuesta metodológica busca eliminar las complejidades de precios, bienes, calorías, tipo de cambio, valores reales de bienes, PPA y muchos otros elementos que tornan irreconciliables las actuales medidas. En ese sentido, apunta a obtener un único indicador de pobreza, que vincule los tres tipos analizados ajustados a consensos internacionales y reconociendo el carácter relativista del concepto.
A. Ajustes a las medidas unidimensionales de pobreza
A continuación, se detalla la forma tradicional en el cálculo de cada uno de los tipos de pobreza visto anteriormente y los ajustes propuestos a fin de ganar un poco más de comparabilidad internacional de las mismas.
1. Pobreza económica o monetaria (PEM)
En el caso de la pobreza económica o monetaria, la formulación matemática para la identificación de los pobres es la siguiente:
con
Vector de ingresos
con
Vector de pobreza económica monetaria
De aquí se obtiene q:
(8)Donde:
xi = ingreso de referencia del hogar i
i = subíndice del hogar en análisis. i = 1, 2, 3, …. N. Con N = total de hogares en estudio
xi = valoración de pobreza económica para el hogar i. Toma el valor de 1 cuando el hogar i se considera en situación de pobreza económica o monetaria
yi = ingreso total del hogar i
e = escala de equivalencia utilizada
z = línea de pobreza utilizada
q = conteo de hogares en situación de pobreza económica o monetaria
La presente propuesta metodológica utiliza una escala de equivalencia
donde ni , es el número de miembros del hogar i. Esta formulación de e corresponde a la escala utilizada por la OCDE asimilada a la escala uniparamétrica de Buhman et al. (1988). Asimismo, aporta un valor intermedio entre ingresos de referencias per cápita (e = n) y el ingreso de referencia utilizado por Eurostat
.
Respecto a la línea de pobreza, se propone utilizar una línea híbrida de la forma:
(9)En este caso, z corresponde a la línea de pobreza económica o monetaria
: parámetro de corrección o ajuste, en este caso = 0,6
corresponde al nivel de vida de la sociedad analizada medida por el IDH (índice de desarrollo humano) del PNUD (Programa de Naciones Unidas para el Desarrollo)
: salario mínimo interprofesional (que representa el estándar mínimo de subsistencia)
: mediana de los ingresos de referencia de la sociedad
De conformidad con lo anterior:
(10)Es decir:
(11)Este valor de la línea de pobreza se mueve entre el 60% de la mediana de los ingresos de referencia y el 60% del salario mínimo interprofesional, por lo cual es posible su utilización para cualquier contexto-tiempo y hacer más comparables los resultados. Es decir, puede utilizarse tanto para países desarrollados como para países en desarrollo.
Una vez obtenida esta línea z se la normaliza llevándola a un valor de
junto con los valores xi de los hogares, y a partir de allí los hogares con un ingreso
serán considerados como pobres. Con estos valores para cada hogar i, será posible utilizar la familia de índices
para hallar las características de la pobreza económica o monetaria en el contexto analizado.
2. Pobreza de condiciones de vida (PCV)
En el espacio multidimensional, como apunta Sabine Alkire, la identificación es mucho más compleja que en el monetario, puesto que involucra la identificación de las privaciones con respecto a cada una de las dimensiones, así como también entre las dimensiones (Alkire, 2011). Los investigadores deberán establecer un umbral (zj) a partir del cual determinar si el hogar se encuentra en privación en cada dimensión, y luego establecer un segundo umbral (k) respecto al número de dimensiones no superadas a partir del cual el hogar se considere pobre multidimensional.
A diferencia de la PEM, la pobreza multidimensional (IPM) utiliza valoraciones de los hogares en varias dimensiones (1, 2, … J ), las cuales, a su vez, contienen variables donde se analiza la privación de cada hogar y de la comunidad o contexto en su conjunto.
Se establece como sigue:
(12) C = (c1, c2, … cN ), con ci (i = 1, 2, 3 … N). Pero
Vector de privaciones ponderadas
con ci (i = 1, 2, 3 … N) Vector de privaciones ponderadas censuradas

Q = (q1, q2, … qN), con qi (i = 1, 2, 3 … N) Vector de conteo
De aquí se obtiene q:
(13)Donde:
xij = características del hogar i en la dimensión j
xij = privación del hogar i en la dimensión j
zj = umbral en la dimensión j
wj = peso asignado a la dimensión j
ci= privación ponderada del hogar i
ci = privación ponderada del hogar i solo si es pobre
q = conteo de hogares pobres en la muestra
k = segundo umbral, que determina si un hogar es pobre o no. 
N = total de hogares en la muestra
De lo anterior se obtienen las medidas de pobreza multidimensional:
(14)
Incidencia de la pobreza multidimensional
(15)
Intensidad de la pobreza multidimensional
(16)
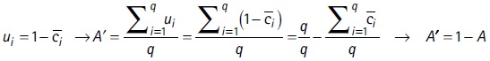
Tasa de incidencia ajustada, IPMAhora, como se busca tener el mismo sentido o dirección en los ejes del espacio euclídeo, se hablará de pobreza de condiciones de vida (PCV), para lo cual se toma la inversa de la pobreza multidimensional, y así buscar un nivel de satisfacciones ui obtenida a partir del número ponderado de variables superadas o satisfechas por el hogar i:
(17)U = (u1, u2, … uN), con ui(i = 1, 2, 3 … N) Vector de satisfacciones ponderadas
(ui= 1 - ci). Pero U = ST.W
con
Vector de pobreza de condiciones de vida
(18)Z = segundo umbral de pobreza de condiciones de vida (Z = 1 - k)
El ponderador
puede hacerse a discreción de las autoridades estadísticas nacionales como sucede generalmente, donde algunos países asignan ponderaciones iguales entre dimensiones y ponderaciones iguales entre las variables de cada dimensión, pero dado que las dimensiones tienen distintos números de variables, las ponderaciones quedan diferentes para cada grupo de variables. Otras formas de calcular las ponderaciones son las siguientes:
Asignando igual peso a las variables:
(19)Asignando ponderación según peso relativo de las variables:
(20)Asignando la ponderación según peso relativo de las variables, ajustada a la propuesta de Dagum, Gambassi y Lemmi (1991), se considera la relación funcional inversa entre el sistema de ponderaciones y las frecuencias correspondientes a las satisfacciones de los hogares (gj = 1 - fj):
(21) Asignando la ponderación según peso relativo de las variables, ajustada a la propuesta de Dagum, Gambassi y Lemmi (1991), se considera la relación funcional inversa entre el sistema de ponderaciones y las frecuencias correspondientes a las satisfacciones de los hogares (gj = 1 - fj):
junto con los valores ui de los hogares, y a partir de allí los hogares con un nivel de satisfacciones
serán considerados como pobres en condiciones de vida.
Ahora si calculamos:
Q = (q1, q2, … qN), con qi (i = 1, 2, 3 … N) Vector de conteo
De aquí se obtiene q:
(22)Donde q = conteo de hogares pobres en la muestra
Se pueden obtener los indicadores de pobreza de condiciones de vida:
(23)
Incidencia de la pobreza de condiciones de vida
(24)
Intensidad de la pobreza de condiciones de vida
(25)
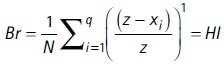
Intensidad de la pobreza de condiciones de vidaAhora se demostrará que existe una relación entre el M0 de la pobreza multidimensional y la Br de la pobreza de condiciones de vida:
(26)
(27)
(28)Sabemos que:
y
entonces,
(29)3. Pobreza subjetiva (PSJ)
En la pobreza subjetiva la identificación se resuelve con una pregunta de opción dicotómica directa a los individuos u hogares sobre si se consideran pobres o no. En la práctica, algunos países la acompañan de una consideración previa sobre sus condiciones materiales o de calidad de vida percibida.
La manera más sencilla de identificación de la pobreza subjetiva es la siguiente:
(30)Donde:
Pi = valoración de pobreza subjetiva del hogar i. Toma el valor de 1 cuando el hogar se considera pobre.
Pero puede haber una valoración más cuantitativa de Pi que asigna profundidad al nivel de pobreza subjetiva percibido por el propio hogar, al adicionar las valoraciones cualitativas dadas a su nivel de ingresos (véase un ejemplo en el cuadro 2).

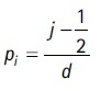
Específicamente, utilizando una adaptación de la línea de Leyden, propuesta por Goedhart, Halberstadt, Kapteyn y Van Praag (1977), y considerando d – valoraciones subjetivas ( j = 1, 2, 3, … d), se tiene:
(31)Al fijar un umbral z = 0,4 entonces el hogar i será considerado pobre subjetivamente si Pi < z. Esta modificación excluye como pobres a hogares que aunque se autoidentifiquen como tales, aseguren que sus ingresos cubren más que los gastos mínimos.
De nueva cuenta, esta línea z también se normaliza llevándola a un valor de
junto con los valores Pi de los hogares, y a partir de allí los hogares con un nivel de satisfacciones
serán considerados como pobres subjetivamente
.
Las normalizaciones en los valores de cada una de las clases de pobreza analizadas, llevando las líneas de pobreza a un valor de 0,5 mediante una aproximación por regla de tres simple, permitirán hallar las combinaciones bidimensionales y tridimensionales que precisa la metodología propuesta.
B. Descripción propuesta metodológica
En la práctica, cada medida unidimensional (en el sentido de ejes del espacio euclídeo) de la pobreza bien sea PEM, PCV o PSJ, refleja de manera consciente o inconsciente elementos o características de las otras medidas excluidas. En la pobreza subjetiva, por ejemplo, una persona llega a autodefinirse pobre, valorando su situación económica y también la de sus condiciones de vida, además de su posición relativa en la sociedad en que se desenvuelve. La situación de pobreza multidimensional o de condiciones de vida, de una forma se corresponde o es un reflejo del nivel de ingresos y de cómo las personas se sienten. Asimismo, el nivel de ingresos también será reflejo de las condiciones de vida que ostente el hogar y de la forma como se autoidentifiquen respecto a su situación de pobreza.
Como se aprecia, cada medida unidimensional es reflejo de su propio perfil y de cierto modo incompleto, de las dos faltantes, pero solo la conjunción de las tres medidas de pobreza vistas, dará forma a una verdadera, más comparable y completa identificación de los hogares en pobreza, de lo que hasta ahora se conoce.
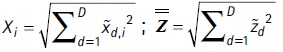
Desde el punto de vista metodológico, se propone sintetizar un único índice global de pobreza (IGP) utilizando las medidas unidimensionales ya normalizadas. Matemáticamente es como sigue:
(32)X = (X1, X2, … XN), con Xi (i = 1, 2, 3 … N) Vector de valores globales
con
Vector de pobreza global
(33)Donde:
Xi = corresponde al indicador global de pobreza del hogar i según combinación de tipologías o dimensiones (d) analizadas
Xd,i = valor asignado al hogar i en la dimensión d. Aquí
se podría usar 
i = subíndice del hogar en análisis; i = 1, 2, 3, … N. Con N = total de hogares en estudio
d = dimensión de análisis; d = 1, 2 … D. Corresponde al tipo de pobreza analizado que puede ser pobreza económica, pobreza de condiciones de vida o pobreza subjetiva
D = total dimensiones o tipos de pobreza en análisis. Ej.: d = 1: PEM; d = 2: PCV; d = 3: PSJ
: línea o umbral de pobreza normalizada de la tipología o dimensión
(d) en estudio. Ej.: PEM, PCV o PSJ
: línea o umbral
de pobreza global. Corresponde al rayo que interseca el origen euclídeo con el
valor máximo de cada línea de pobreza en estudio. Cuando
es igual al valor de la recta que parte del origen hasta
. Cuando D = 2,
es igual al rayo que une el origen con la
intersección de las dos líneas de pobreza en estudio, formando un semicírculo.
Por su parte, cuando D = 3,
es igual al rayo que une el origen con la intersección de las tres
líneas de pobreza en estudio, formando un semiglobo.
Cuando D = 1, estamos midiendo la pobreza desde una única tipología, llevando toda la información a un solo eje en el espacio euclídeo. Gráficamente esto es lo que ofrecen las medidas unidimensionales de la pobreza hasta ahora desarrolladas (véase figura 1).

En este caso, al aplicar las fórmulas de sintetización de índices, se conservan todos los datos de las tipologías de pobreza ya desarrolladas unidimensionalmente. Es decir,
y por tanto, IGP = PEM, PCV OPSJ, respectivamente.
Cuando D = 2, por ejemplo, pobreza económica y pobreza de condiciones de vida, se cuenta con dos ejes que forman un plano sobre el cual se puede representar un índice global de pobreza para el respectivo hogar producto de las coordenadas que los dos proveen (véase figura 2).

Desde una perspectiva unidimensional, las áreas (A + B) corresponderían a los hogares identificados en pobreza bajo la dimensión 1; las áreas (A + C) corresponderían a los pobres bajo la dimensión 2. El área D, claramente representa a los hogares que no están bajo ninguna condición de pobreza.
Algunos investigadores coinciden en considerar como hogares pobres a la unión de las áreas
, pero podría estar sobreestimando los pobres en dicha comunidad. Otros coinciden en considerar pobres a la intersección de las áreas
, corriendo el riesgo de infraestimar el total de pobres.
La propuesta metodológica considera globalmente pobres a los hogares bajo el semicírculo de radio
, representando un indicador intermedio entre la unión e intersección vistas, dando un valor agregado a la conjunción de las dimensiones y siendo más realista.
Al área B se la denomina como pobres de la dimensión 1 y vulnerables de la 2, y al área C se la denomina pobres de la dimensión 2 y vulnerables de la dimensión 1. En general, podríamos decir que los hogares vulnerables son aquellos en alguna situación de pobreza pero sin serlos realmente, lo cual los ubicaría con una mayor probabilidad de serlos. Esto vincularía las áreas B + C – (pobres – A). Los hogares en el área A, serían considerados como pobres estrictos.
Esta propuesta se representa en la figura 3.

Si ahora tomásemos las tres dimensiones conocidas de pobreza (D = 3), como lo recomienda la presente propuesta metodológica (PEM, PCV y PSJ), tendremos tres ejes que forman un cuerpo tridimensional sobre el cual se puede representar un índice global de pobreza para el respectivo hogar producto de las coordenadas que los tres proveen. Así las cosas, podemos tener la figura 4.

Tal como el caso anterior, podríamos encontrar los hogares en pobreza estricta como aquellos en situación de pobreza en las tres medidas analizadas, y los vulnerables como aquellos que presentan dos medidas de pobreza sin serlo realmente; es decir, serían aquellos que presentan una mayor probabilidad de entrar en situación de pobreza sin serlo todavía (véase figura 5).

C. Características axiomáticas del IGP
De conformidad con el enfoque “axiomático”, incorporado por Sen (1976) y posteriormente extendido o modificado por otros autores, el IGP debe cumplir una serie de condiciones, entre ellas las siguientes:
Sean:
Distribución de características globales de los hogares.
1. Axiomas de invarianza
Axioma de focalización: establece
que una vez fijada la línea de pobreza Z , si
obtenemos la distribución X’ a partir de X realizando cambios en
las características globales de los hogares no pobres (siempre que estos
cambios no los hagan cruzar
el valor de H del IGP no varía, pero I sí.
Axioma de simetría: si obtenemos la distribución X’ a partir de X donde se permuten las características globales de un hogar pobre a otro pobre, los indicadores H e I del IGP no se alteran.
Incremento de la línea de pobreza: dadas dos distribuciones idénticas X = X’ una con línea de pobreza mayor que la otra, entonces los indicadores H e I del IGP también serán mayores.
Invarianza a la población: si obtenemos la distribución X’ a partir de X una distribución X de características globales de los hogares, donde X’ es una réplica k-veces idéntica de X, entonces los indicadores H e I del IGP no cambian.
Axiomas de crecimiento de la población: dada una
distribución X de características globales de los hogares y la
población pasa de N a N + 1, cuyo nuevo miembro se encuentra por
debajo de
, entonces los indicadores H e I del IGP
aumentan, pero si se encuentra por encima de
, entonces los
indicadores disminuyen, situación que no se cumple.
Invarianza de escala: sea una distribución X de características globales de los hogares, los indicadores H e I del IGP no cambian ante las transformaciones lineales de las características de los hogares y la línea de pobreza.
Axioma de normalización: sea una distribución X de características globales de los hogares, donde no existen hogares por debajo de la línea de pobreza, entonces los indicadores H e I del IGP equivalen a cero.
2. Axiomas de dominancia
Axiomas de monotonicidad: establecen que si obtenemos la distribución X’ a partir de X reduciendo las características globales a uno de los hogares pobres, entonces el indicador de pobreza debe aumentar. Este axioma se cumple en su versión tanto débil como fuerte para I en IGP, pero H solo se cumple en la versión fuerte.
Axiomas de transferencia: si obtenemos la distribución X’ a partir de X una distribución X, donde efectuamos transferencias de dinero o de condiciones de vida de una unidad de análisis mejor ubicada (pobre o no) a una unidad pobre, entonces el indicador de pobreza mejorará. Este axioma se cumple en su versión fuerte y extrafuerte para I del IGP, para H solo se cumple en la versión extrafuerte. Las versiones débil y mínima no se cumplen.
Axioma de continuidad: los indicadores H e I del IGP son continuos como función del
vector de la distribución X dado un nivel
de pobreza.
3. Axiomas de subgrupo
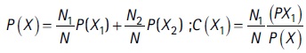
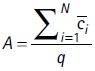
Descomposición por subgrupos: sea una distribución X de características globales de los hogares susceptibles de desagregación por subgrupos mutuamente excluyentes como zonas (urbana, rural), género (hombres, mujeres) regiones (norte, sur, este, oeste), grupos étnicos (afrodescendientes, indígenas, gitanos, otros) o cualquier otra característica, entonces el indicador global de pobreza (H, I) corresponde a la suma ponderada de los indicadores parciales de pobre-za en cada subgrupo. Sean N1 y N2 las poblaciones parciales de los subgrupos 1 y 2 con N1 + N2 = N población total de la distribución X. P(X1) y P(X2) son los indicadores parciales de pobreza de cada subgrupo. P(X) es el indicador global de pobreza de la distribución X, y C(X1), la contribución del subgrupo 1 a la pobreza global de la distribución X, entonces tenemos:
(34)Descomposición por dimensiones: este axioma lo aplican Alkire y Foster en su medida de pobreza multidimensional, donde M0 es producto de la agregación ponderada de las dimensiones que en él intervienen. En el caso del índice global de pobreza (IGP), podemos obtener su indicador de incidencia (H) como una agregación ponderada de los niveles de profundidad de pobreza (I) aportados por cada uno de los tipos de pobreza que en él intervienen (PEM, PCV, PSJ). La contribución C(Xd) de cada tipo de pobreza se puede obtener de la siguiente manera:
(35)Donde:
Cxd () = contribución del tipo de pobreza d, a la pobreza global
Xd,i = valor asignado al
hogar i en la dimensión d. Aquí se podría usar 
i = subíndice del hogar en análisis. i = 1, 2, 3, … N. Con N = total de hogares en estudio
d = dimensión de análisis; d = 1, 2, … D. Corresponde al tipo de pobreza analizado que puede ser pobreza económica, pobreza de condiciones de vida o pobreza subjetiva. D = total dimensiones o tipos de pobreza en análisis
= línea global
de pobreza
D. Ventajas metodológicas y de políticas públicas del IGP
De conformidad con lo expuesto anteriormente, la mayor ventaja del IGP sobre las actuales medidas unidimensionales de la pobreza, es que puede ofrecer una medida más holística e integral y poseer mayor comparabilidad internacional que estas.
En la pobreza monetaria debe decidirse la construcción del ingreso total, la escala de equivalencia y la línea de pobreza a utilizar, volviendo incomparables las posiciones metodológicas que adopte cada país. Por su parte, el IGP plantea una línea híbrida, un ingreso total recomendado por la MESEP (2012), una adaptación de la escala de equivalencia de la OCDE y la utilización del salario mínimo y la mediana de ingresos como referentes de la línea de pobreza híbrida, para así evitar la utilización de dietas, calorías, precios PPA y muchas otras complejidades que actualmente vincula este cálculo de pobreza monetaria en los países. El resultado es una mejor comparabilidad del dato de pobreza monetaria obtenido al utilizar iguales criterios, pero ajustados a su contexto y tiempo.
En la pobreza multidimensional deben escogerse las dimensiones, variables al interior de ellas, y, sobre todo, las ponderaciones de cada uno de ellos, lo cual puede tornar irreconciliables los datos obtenidos. El IGP no repara en las dimensiones y variables a utilizar, pues reflejan la situación de contexto y tiempo determinada; sin embargo, propone que las ponderaciones se obtengan de manera endógena a partir del peso relativo de cada variable.
La pobreza subjetiva, ni siquiera es tenida en cuenta en la mayoría de los países, y cuando lo hacen el resultado no es oficial. El IGP no solo la toma en cuenta, sino que también agrega una escala más cuantitativa a partir de las opiniones de los hogares si consideran suficientes o no sus ingresos a la hora de cubrir sus necesidades cotidianas.
Con las medidas unidimensionales, los países solo pueden ofrecer una faceta del fenómeno, como en el caso de Colombia, donde un hogar puede ser pobre monetariamente, pero no en condiciones de vida o subjetivamente. Entonces, ¿el hogar es pobre o no? El IGP permite determinar la calidad de pobre o no del hogar, evaluando integralmente sus dimensiones monetarias, de condiciones de vida y subjetivas, lo cual se convierte en un elemento poderoso de política pública, al hacer una mejor o más efectiva identificación de los hogares pobres del país. En adición, dadas las características axiomáticas del índice, los policymakers contarían con una herramienta capaz de clasificar esta población pobre según género, zona, grupo étnico, o por peso de cada dimensión, para una mejor orientación de sus políticas.
Finalmente, la metodología presenta un indicador que compite muy de cerca con el de pobreza extrema, como lo es el de pobreza estricta, y ofrece otro indicador muy útil y posiblemente de mejor precisión teórica para la determinación de hogares vulnerables en el plano económico.
IV. Resultados de aplicación de la propuesta metodológica en Colombia 2011-2017
Para la aplicación de la metodología detallada anteriormente, se utilizaron los datos de la Encuesta Nacional de Calidad de Vida (ECV) de Colombia para el 2011 a 2017, con representación estadística a nivel nacional y por dominios urbano y rural. Esta ECV, es una investigación que el Departamento Administrativo Nacional de Estadísticas de Colombia (DANE) realiza con objeto de recolectar información sobre diferentes aspectos y dimensiones del bienestar de los hogares, incluyendo aspectos como el acceso a bienes y servicios públicos, privados o comunales, salud, educación, cuidado de niños y niñas menores de cinco años, entre otros. La consideración de estos aspectos hace posible realizar posteriores análisis a los factores que explican los diferentes niveles de vida existentes en la sociedad5.
A. Incidencia (H) de la pobreza en los hogares en Colombia
La propuesta metodológica ofrece de manera preferente los datos de los hogares, pues de ellos recaba la casi totalidad de los datos para su proceso de cálculo. Los ajustes propuestos a medidas unidimensionales permiten obtener diferentes caras de la pobreza en un mismo hogar, en cualquier contexto-tiempo. Para el caso de Colombia, las medidas unidimensionales muestran una tendencia decreciente desde el 58,4% de la pobreza subjetiva (PSJ) en el 2011 hasta el 31,04% de la pobreza de condiciones de vida (PCV) en el 2017. Asimismo, las medidas bidimensionales pasan de 35,14% de la pobreza subjetiva y de condiciones de vida (PSJCV) en el 2011 a 22,11% de la pobreza económica subjetiva (PESJ) en el 2017 (véase figura 6).

Al combinar las medidas unidimensionales en una única medida de pobreza, obtenemos una medida tridimensional conocida como el índice global de pobreza (IGP), que aunque mantenga la tendencia, se ubica por debajo de las medidas unidimensionales y bidimensionales para el período de análisis y ofrece un indicador mucho más robusto y realista de la incidencia de la pobreza en los hogares en un contexto-tiempo determinado. Para el caso de Colombia, es evidente su descenso desde 28,54% en el 2011 a 22,48% de hogares en situación de pobreza en el 2017 (véase figura 7).

B. Incidencia (H) de la pobreza en las personas en Colombia
Los datos oficiales de Colombia, al igual que muchos países, se ofrecen a nivel de personas y la propuesta metodológica aquí descrita, se hace a nivel de hogares por considerarlos más consistentes y comparables entre países. Sin embargo, al extrapolar los resultados a nivel de personas, estos se encuentran en medio de los datos oficiales para los años de estudio. Por ejemplo, en el 2011 los datos oficiales de pobreza monetaria y multidimensional en Colombia son de 34,1% y 29,4%, respectivamente, mientras que el resultado obtenido con la metodología propuesta es de 31,71%, con la diferencia de que este último es una medida más integral y única de pobreza. Asimismo, para el 2017 mientras los datos oficiales de pobreza monetaria y multidimensional en Colombia son de 26,9% y 17%, respectivamente, el IGP se ubica en 24,5% (véase figura 8).

C. Intensidad (I) y brecha (HXI) de la pobreza en Colombia
Colombia solo calcula de manera oficial la brecha y la severidad para la pobreza monetaria y a nivel de personas. Sus datos registran un descenso del indicador de brecha desde 13,4% en el 2011 a 9,7% en el 2017. La metodología propuesta también registra un descenso del indicador de brecha desde 7,1% en el 2011 a 6% en el 2017. Esto quiere decir, que para este último año, existe 6% de déficit promedio de ingreso de la población total para satisfacer las necesidades mínimas de bienes y servicios de todos sus integrantes.
Respecto a la intensidad global en el país, se registra un incremento de este indicador desde 24,8% en el 2011 a 26,8% en el 2017; es decir, que en este último año, las condiciones de vida promedio de los pobres se encuentran 26,8% por debajo de la línea de pobreza establecida (véase figura 9).

D. Severidad (FGTa) de la pobreza en Colombia
El indicador de severidad oficial para Colombia calculado a partir de la pobreza monetaria, advierte un descenso para el período de estudio al pasar de 7,3% en el 2011 a 5,1% en el 2017. La metodología propuesta ubica este indicador 5 puntos porcentuales por debajo, con un descenso menos pronunciado al pasar de 2,48% en el 2011 a tan solo 2,23% en el 2017. Asimismo, con la metodología propuesta se calculó el indicador de Sen, el cual pasó de 0,097 en el 2011 a 0,082 en el 2017 (véase figura 10).

E. Desigualdad (G) en Colombia
Los datos sobre desigualdad para Colombia se observan en la figura 11, donde la mayor dispersión de datos o desigualdad se encuentra en el Gini oficial calculado a partir de la pobreza monetaria.
Como ha quedado claro, al combinar las diferentes visiones de la pobreza, se obtienen indicadores más ajustados a la realidad. En esta ocasión, el indicador de desigualdad bajo la metodología propuesta se encuentra por debajo del indicador oficial. Es decir, el Gini de las condiciones generales de vida a nivel país pasó de 0,40 en el 2011 a 0,39 en el 2017, manteniéndose prácticamente invariable en el período de análisis (véase figura 11).

F. Pobreza extrema, pobreza estricta y vulnerabilidad
Una ventaja de tener una visión más holística de la pobreza es que puede ofrecer indicadores más robustos, consistentes y comparables en contexto y tiempo; este es el caso de la pobreza estricta y de la vulnerabilidad. La pobreza estricta es un término que se puede asemejar a la pobreza extrema en cierta forma, y la vulnerabilidad simplemente toma mayor claridad bajo esta nueva propuesta metodológica.
Mientras la pobreza extrema con los datos oficiales registra una tendencia decreciente para el período de análisis, al pasar de 10,6% en el 2011 a 7,4% en el 2017, la pobreza estricta pasa de 10,3% en el 2011 a 11,9% en el 2017. Por su parte, la vulnerabilidad se mantiene más estable al pasar de 6,1% en el 2011 a 5,8% en el 2017 (véase figura 12).

Bajo esta nueva propuesta, los resultados para el 2017 indican que el 11,9% de los hogares colombianos se encuentran por debajo de las condiciones generalmente aceptadas por la sociedad en términos económicos, monetarios, de condiciones de vida y de autopercepción, en forma estricta; es decir, cerca de 1,7 millones de hogares se encuentran simultáneamente en situación de pobreza bajo las tres medidas de pobreza unidimensionales disponibles. También indican que existe 5,8% de hogares con alta probabilidad de pasar a engrosar la lista de pobres en el país, pues se encuentran bajo la línea de pobreza en dos de las tres dimensiones evaluadas sin llegar a ser pobres globales.
G. Pobreza según grupos de interés en Colombia 2012-2017
En el cuadro 3 se muestra el comportamiento de la pobreza global en Colombia a través del período de análisis y de algunos grupos de interés. Se observa, por ejemplo, que la pobreza recae con mayor énfasis en la población de piel más oscura (cp6 > 0,45), los grupos étnicos, las mujeres y la población en zonas rurales.

En términos generales, el país presenta una tendencia decreciente de la pobreza, la cual afecta en mayor medida las zonas rurales y hogares con jefes de hogar mujeres y de mayor etnicidad, bien por color de piel o pertenencia a grupos étnicos. La diferencia en puntos porcentuales entre zonas rural y urbana es de 17 puntos, entre hombres y mujeres es de 4 puntos, y entre quienes se autoadscriben a algún grupo étnico o no es de 9 puntos porcentuales, para el período de análisis.
En el caso de los inmigrantes, la relación no es muy precisa, pues para los primeros años de análisis, los inmigrantes eran muy escasos en el país y provenían de países generalmente de mejores condiciones económicas. Sin embargo, para los últimos años, la situación empieza a invertirse, dado el ingreso masivo de inmigrantes provenientes de países en condiciones económicas difíciles, como es el caso de Venezuela.
Respecto a los grupos étnicos, los indígenas registran los mayores niveles de pobreza en el país con 20 puntos porcentuales por encima del promedio nacional. Los afrodescendientes se encuentran, en promedio, 3 puntos porcentuales por encima del promedio nacional, pero los no étnicos o mestizos se encuentran 2 puntos porcentuales por debajo del promedio. Los gitanos, aunque son un grupo poblacional muy pequeño en el país, registran los más bajos niveles de pobreza, ubicándose 15 puntos porcentuales por debajo del promedio nacional.
V. Conclusiones
Hasta ahora no existe consenso sobre una medida que recoja integralmente todos los conceptos de pobreza, y que a su vez, sea capaz de discriminar la población total de un país en dos grupos bien definidos: pobres y no pobres. En este sentido, tampoco es posible responder de manera precisa ¿por qué una persona es pobre? o ¿por qué corre el riesgo de llegar a serlo? (Muñoz- Ayala, 2009).
La pobreza es mucho más que una visión aislada de los ingresos, de las condiciones de vida, y de la autopercepción de los hogares, cuyas medidas unidimensionales no reflejan la realidad del fenómeno al interior de los países. La metodología propuesta, supera esta barrera y ofrece un panorama más claro del problema.
Los indicadores de pobreza son muy sensibles a metodologías y parámetros involucrados en su cálculo, de allí la importancia de unificar criterios que hagan más comparables las medidas entre distintos países y localidades. Esto hace presumir una infravaloración en las medidas unidimensionales oficiales de pobreza, debido a la alta discrecionalidad de las autoridades estadísticas en la escogencia de sus parámetros y metodologías.
Contar con una visión más holística de la pobreza logra una mayor efectividad a la hora de diferenciar los hogares pobres de los no pobres. Esta visión logra mayores niveles de correlación entre distintas medidas de pobreza y ofrece indicadores que de la forma unidimensional serían inexistentes como la pobreza estricta y la vulnerabilidad.
Aplicar la metodología propuesta a los datos de Colombia, sus resultados dan cuenta de una moderación a la baja en los indicadores frente a la metodología actual, y ratifica la mejora en las condiciones de vida de los hogares colombianos entre los años de análisis.
A la luz de los resultados, en seis años el país redujo en 7,2 puntos porcentuales la incidencia de la pobreza, la brecha en 1,1, y la desigualdad en 1 punto porcentual, lo cual se traduce en una mejora importante de las condiciones de vida generales del país en este período de análisis. Esto indica que aproximadamente cuatrocientos mil hogares dejaron de ser pobres. Sin embargo, la pobreza multidimensional o de condiciones de vida se vio incrementada en 19,4 puntos porcentuales, de conformidad con la metodología propuesta. No obstante, la pobreza no afecta a todos por igual, recae con mayor énfasis en zonas rurales y hogares con jefaturas femeninas y de mayor etnicidad, bien por color de piel o pertenencia a grupos étnicos. La diferencia en puntos porcentuales entre zonas rural y urbana es de 17 puntos, entre hombres y mujeres es de 4 puntos, y entre quienes se autoadscriben a algún grupo étnico o no es de 9 puntos porcentuales, para el periodo de análisis.
Agradecimientos
Los autores expresamos formal agradecimiento a los evaluadores anónimos del artículo por cuanto sus aportes permitieron realizar importantes ajustes al documento y contribuir de mejor manera a la temática en estudio. Asimismo, hacemos extensiva nuestra gratitud a Liliana Castañeda, funcionaria del DANE, y a la Revista Desarrollo y Sociedad por la oportunidad de dar a conocer nuestro trabajo. La investigación no tuvo fuentes oficiales ni privadas de financiación.
Referencias
1. Alkire, S. (2011). Multidimensional poverty and its discontents (Working Paper Series, No. 46). Oxford Poverty & Human Development Iniative – OPHI. Oxford University.
2. Anker, R. (2006). Umbrales de pobreza en el mundo. Nueva metodología de cálculo y comparación. Revista Internacional del Trabajo, 125(4), 313. New York. Organización Internacional del Trabajo (OIT).
3. Buhmann, B., Rainwater, L., Schmaus, G., & Smeeding, T. M. (1988). Equivalence scales. well-being, inequality and poverty: Sensitivity estimates across ten countries using the Luxembourg Income Study (LIS) Database. Review of Income and Wealth, 32, 115-142.
4. Consejo Nacional de Política Económica y Social (Conpes). (2012). Metodologías oficiales y arreglos institucionales para la medición de la pobreza en Colombia. Documento Conpes Social 150, mayo 28. Bogotá, D. C.
5. Dagum, C., Gambassi, R., & Lemmi, A. (1991). New approaches to the measurement of poverty. In Poverty measurement for economies in transition in Eastern European countries (pp. 201-225). Warwaw: Polish Statistical Association and Central Statistical Office.
6. Departamento Administrativo Nacional de Estadística (DANE). (2009). Metodología Encuesta Nacional de Ingresos y Gastos 2006-2007. Colección de documentos. No. 84, pág. 16. Bogotá, D. C.
7. Delice, P. A. (2014). Hacia la oficialización del enfoque multidimensional de pobreza en América Latina y el Caribe. En Multidimensionalidad de la pobreza: propuestas para su definición y evaluación en América Latina y el Caribe. Clacso. Buenos Aires, Argentina.
8. Domínguez-Domínguez, J., & Martín-Caraballo, A. M. (2006). Medición de la pobreza: una revisión de los principales indicadores. Revista de Métodos Cuantitativos para la Economía y la Empresa. Sevilla, España: Universidad Pablo de Olavide.
9. Feres, J. C., & Mancero, J. (2001). Enfoques para la medición de la pobreza. Breve revisión de la literatura. Cepal. División de Estadísticas y Proyecciones Económicas. Santiago de Chile.
10. Fernández-Morales, A. (1992). La medición de la pobreza a través de índices. Una síntesis de la literatura. Cuadernos, 23, 47-76. España: Universidad de Málaga.
11. Fernández-Morales, A., & Martín-Reyes, G. (1994). Algunas consideraciones sobre los índices de pobreza de Foster, Greer y Thorbecke. Estadística Española, 36(136), 205-228. España: Universidad de Málaga.
12. Foster, J., Greer, J., & Thorbecke, E. (1984). A class of decomposable poverty measures. Econometrica, 52(3).
13. Foster, J., Greer, J., & Thorbecke, E. (2010). The Foster-Greer-Thorbecke (FGT) poverty measures: Twenty-five years later (Working Paper Series). Institute for International Economic Policy. Washington: Elliot School of International Affairs - The George Washington University.
14. Giarrizo, V. (2007). Pobreza subjetiva en Argentina: una aproximación al bienestar de la población. Argentina: Universidad de Buenos Aires.
15. Goedhart, T., Halberstadt, V., Kapteyn, A., & Van Praag, B. M. S. (1977). The poverty line: Concept and measurement. Journal of Human Resources, 12, 503-520.
16. Mancero, X. (2001). Escalas de equivalencia: reseña de conceptos y métodos. Serie Estudios estadísticos y prospectivos, CEPAL, ECLAC. Santiago de Chile.
17. Martín, Á. (2017). Las tres falacias sobre la pobreza en EE. UU. Libertad Digital. Recuperado de http://www.m.libertaddigital.com.
18. Misión para el Empalme de las Series de Empleo, Pobreza y Desigualdad (MESEP). (2012). Pobreza monetaria en Colombia: nueva metodología y cifras 2002-2010. Resultados 2ª Fase de la MESEP.
19. Muñoz-Ayala, J. E. (2009). Estimación de coeficientes de Orshansky a partir de un sistema completo de ecuaciones de demanda: una nueva metodología para la elaboración de umbrales de pobreza. Cuadernos de Economía, 28(50), 191-221. Bogotá: Universidad Nacional de Colombia.
20. Núñez-Velázquez, J. J. (2009). Estado actual y nuevas aproximaciones a la medición de la pobreza. Estudios de Economía Aplicada, 27(2), 325-344. Madrid: Universidad de Alcalá.
21. Pinzón-Gutiérrez, L. F. (2014). Los determinantes de la pobreza subjetiva en Colombia: un estudio desde el enfoque de las capacidades y la economía de la felicidad (tesis de grado). Cali, Colombia: Universidad del Valle.
22. Rojas, M., & Jiménez, E. (2008). Pobreza subjetiva en México: el papel de las normas de evaluación del ingreso. Perfiles Latinoamericanos, 16(32). México.
23. Ruiz-Herrera, F. J., Botello-Peñaloza, H. A., & Marín-Díaz, N. A. (2014). Convergencia espacial de la pobreza multidimensional local con enfoque diferencial en América Latina. En Multidimensionalidad de la pobreza: propuestas para su definición y evaluación en América Latina y el Caribe. Clacso. Buenos Aires, Argentina
24. Sen, A. (1976). Poverty: An ordinal approach to measurement. Econometrica, 44(2), 219-231.
25. Sen, A. (1981). Public action and the quality of life in developing countries. Oxford Bulletin of Economics and Statistics, 43(4), 287-319.
26. Sen, A. (1984). Poverty and famines: An essay on entitlement and deprivation. Oxford University Press. New York.
27. Townsend, P. (1979). Poverty in the United Kingdom, a survey of household resources and standars of living. Hazell Watson & Viney Ltd., Aylesbury, Bucks. Berkeley and Los Ángeles.
28. Van Praag, B., Goedhart, Th., & Kapteyn, A. (1980). The poverty line - A pilot survey in Europe. The Review of Economics and Statistics. The MIT Press, 62(3), 461-465.
Notas
Notas de autor
edinsoneconomia@gmail.com