Artículos

Recepción: 16 Julio 2020
Revisado: 02 Diciembre 2020
Aprobación: 17 Diciembre 2020
DOI: https://doi.org/10.13043/DYS.87.5
Resumen:
En este artículo desarrollamos un modelo teórico para explicar cómo las firmas generadoras eligen su posición agregada en contratos bilaterales en el mercado de electricidad colombiano. Posteriormente, proponemos una estrategia empírica para contrastar las predicciones teóricas del modelo con datos del mercado mayorista. Nuestros resultados muestran que existe evidencia a favor de las hipótesis de nuestro modelo. Las firmas tienden a ajustar sus contratos en función de la generación ideal que esperan que el operador del mercado les asigne y de la diferencia entre los costos marginales y el precio de los contratos.
Clasificación JEL: C72, D43, L13, L94.
Palabras clave: mercado de contratos, mercado spot, estrategias de oferta, Colombia.
Abstract:
In this paper, we elaborate a theoretical model to explain how generating firms choose their aggregate position in bilateral contracts in the Colombian electricity market. Subsequently, we propose an empirical strategy to contrast the theoretical predictions of the model with data from the wholesale market. Our results show that there is evidence in favor of the hypotheses of our model. Firms tend to adjust their contracts according to the ideal generation they expect the market operator to allocate them, and the difference between marginal costs and contract prices.
JEL Classification: C72, D43, L13, L94.
Keywords: Contracts markets, spot markets, bidding strategies, Colombia.
Introducción
Los contratos de electricidad se utilizan ampliamente para gestionar los riesgos financieros asociados a la volatilidad de los precios que se forman en el mercado spot. Los contratos permiten a los generadores cubrir los bajos precios del mercado spot, desfavorables para ellos, y a los minoristas, cubrir las pérdidas financieras debidas a los altos precios (Eydeland y Wolyniec, 2003; Wilson, 2002; Wolak, 2000).
Los mercados mayoristas de electricidad, en los que los generadores compiten para abastecer la demanda de los minoristas, están abiertos al ejercicio del poder de mercado por parte de los generadores. De qué forma dependen las estrategias de oferta en mercados spot de las posiciones en mercados de contratos ha sido motivo de estudio en los mercados de energía (Green, 1999; Wolak, 2000).
Los comportamientos estratégicos de los generadores, en mercados con un pequeño número de competidores, pueden llevar a que se formen precios más altos que el punto de referencia competitivo. Cuando existen contratos a plazo, estos pueden actuar para reducir el poder de mercado de los generadores en el mercado spot. Este efecto ha sido discutido por Green (1999) y Anderson y Hu (2008).
En la literatura, los trabajos existentes se han enfocado en estudiar las interacciones estratégicas entre el mercado de contratos y el mercado spot utilizando, principalmente, modelos sobre juegos en dos etapas. Los contratos se establecen durante la primera etapa y, luego, en la segunda, se comercia la electricidad y se forman precios en el mercado spot (Acemoglu et al., 2017; Anderson y Hu, 2008; Allaz y Vila, 1993; Green, 1999; Newbery, 1998).
Todos estos modelos tienen en común el resultado de equivalencia entre el precio spot y el precio de los contratos. Siguiendo un argumento de no arbitraje o expectativa racional, se puede concluir que, como resultado del juego, el precio spot y el precio de los contratos son iguales en equilibrio. Sin embargo, cuando los minoristas tienen aversión al riesgo, el precio de los contratos puede contener una prima de riesgo a plazo (Powell, 1993).
El resultado de equivalencia entre el precio spot y el de los contratos es razonable si los participantes del mercado no pueden influir en el precio spot del mercado; es decir, si el mercado spot es completamente competitivo y la variación de los precios del mercado solo se debe a factores estocásticos (como la variación de las disponibilidades de generación de las plantas, de los precios de combustibles o de las condiciones climáticas).
Sin embargo, tanto los modelos teóricos como los datos empíricos muestran que los generadores tienen comportamientos estratégicos que conducen a precios diferentes al costo marginal de generación (Anderson y Hu, 2008; Borenstein et al., 2002). Para el caso colombiano, esta evidencia se ha expuesto en trabajos como Gallego et al. (2011) y Botero et al. (2013). Esto significa que pueden existir desviaciones sistemáticas entre los precios spot y los precios de los contratos.
En Colombia, los estudios se han enfocado en pronosticar los precios de los contratos. En esta línea se destacan los trabajos de Henao y Cardona (2010) y Velásquez et al. (2010), los cuales desarrollan modelos de redes neuronales para pronosticar el precio promedio mensual de los contratos en el mercado de electricidad colombiano.
En la literatura revisada, no parece haber un trabajo que se enfoque en estudiar cómo en Colombia las firmas generadoras deciden la cantidad de electricidad en contratos. En este trabajo, desarrollamos un marco analítico para llenar este vacío de la literatura.
En Colombia, el mercado de contratos opera a partir de contratos bilaterales. A diferencia de un mercado de contratos estandarizado, en contratos bilaterales ambas partes conocen quien es la otra parte del contrato y negocian libremente los términos. Para contratos estandarizados, los términos se encuentran normalizados, fijados de antemano por el mercado o el ente regulador. En Colombia, se está evaluando la posibilidad de realizar el cambio de contratos bilaterales a estandarizados (CREG, 2020).
Proponemos un modelo novedoso para estudiar cómo eligen las firmas generadoras su posición en contratos. Este modelo se aplica tanto en contratos bilaterales como en estandarizados, dado que no se modela el proceso de elección de las partes negociadoras, sino la elección de la posición en contratos.
Para eso, desarrollamos un juego de dos etapas, como es usual en la literatura. En la primera etapa, las firmas eligen su posición en contratos. En la segunda, compiten en la subasta diaria del mercado spot.
En este modelo, no asumimos una estructura determinista. En cambio, desarrollamos un juego bayesiano en el cual les permitimos a las firmas desarrollar creencias sobre las posibles acciones de sus rivales. Nuestro modelo predice que la posición en contratos es función de las expectativas de la firma en cuanto a sus ventas de electricidad en el mercado spot y de la diferencia entre el precio spot y el precio de los contratos. Adicionalmente, desarrollamos una estrategia empírica para probar esta predicción en los datos. Los resultados muestran evidencia a favor de las predicciones de nuestro modelo, con datos del mercado mayorista colombiano.
El resto de este trabajo se organiza en cuatro secciones. En la sección I, presentamos una breve descripción de los mercados spot y de contratos en Colombia. En la sección II, desarrollamos el modelo teórico y la estrategia empírica. La sección III presenta los resultados. La sección IV ofrece unas conclusiones.
I. El mercado de electricidad colombiano
A. La bolsa de energía
En esta sección, seguimos la descripción del mercado de electricidad que ofrecen Pérez y García-Rendón (2020). En la bolsa de energía o mercado spot se asigna, para cada hora del día, la generación necesaria para cubrir la demanda total del Sistema Interconectado Nacional (SIN).
Esta se les asigna a los generadores con el objetivo de minimizar el costo de compra de la electricidad para los usuarios finales. Para eso, se tienen en cuenta las diferentes restricciones tecnológicas e institucionales en la producción de energía. En este mercado participan los generadores y los comercializadores. Sin embargo, existen plantas generadoras que son despachadas centralmente y otras que no.
Las plantas generadoras que son despachadas centralmente son aquellas con una capacidad efectiva neta igual o superior a los 20 MW. Las firmas que son propietarias de estas plantas deben competir por el derecho a generar en el despacho centralizado con estas. Las firmas que poseen plantas generadoras con una capacidad efectiva neta inferior a los 20 MW deciden si son o no despachadas de forma voluntaria (no compiten por el derecho a generar). En este mercado interactúan oferta y demanda para determinar el precio de bolsa o spot y las cantidades de electricidad producidas por cada unidad generadora.
El mecanismo de mercado que opera en la bolsa de energía es el mecanismo de subasta de último precio ofertado. Este mecanismo consiste en subastar el derecho a generar en el mercado, con base en una puja u oferta realizada por las firmas, para cada una sus plantas generadoras, para cada hora del día. Las reglas de la oferta de las firmas están establecidas en las Resoluciones 026 de 2001 y 051 de 2009 de la Comisión de Regulación de Energía y Gas (CREG).
Las firmas generadoras de electricidad deben hacer entrega de una oferta o puja en sobre cerrado para cada una de sus plantas, un día antes del despacho económico, para competir por el despacho del día siguiente. Esta oferta consta de tres componentes. Primero, un precio por kWh (dicho precio incluye solo los costos variables de producción). Segundo, una disponibilidad declarada o máxima capacidad disponible para cada hora del día siguiente3. Tercero, los costos por concepto de arranque-parada para las plantas térmicas (costos cuasifijos).
El valor ofertado por costos de arranque-parada se mantiene por tres meses y varía por tipo de combustible y configuración tecnológica de la planta. Este componente fue agregado a las ofertas de las firmas con el objetivo de garantizar que los generadores térmicos despachados sean compensados por las pérdidas que puedan tener por concepto de arranque y parada al precio spot. En el año 2014, a través de la Resolución 026 de 2014, se modificó la forma como se calcula la compensación dada a las plantas térmicas que registran pérdidas. Los generadores menores que participan del mercado de bolsa solo envían su disponibilidad y no declaran un precio ofertado.
Cuando el Centro Nacional de Despacho (CND) ha recibido todas las ofertas, utiliza un algoritmo de minimización de costos, sujeto a diferentes restricciones técnicas y económicas, para definir las cantidades de despacho para cada unidad del sistema y el precio spot para cada hora del día.
En términos económicos, el CND construye una curva de oferta agregada y una curva de demanda agregada para cada hora del día. Dado que algunos generadores menores pueden elegir ser despachados sin realizar ninguna oferta a la bolsa de energía, la curva de oferta agregada por hora que se puede formar con las ofertas de las firmas generadoras no parte del origen. Esta curva debe tener una forma escalonada y no decreciente. La altura de cada escalón corresponde al precio de oferta de la(s) planta(s) utilizada(s) por una firma. El largo del escalón corresponde a la cantidad adicional de electricidad que la(s) planta(s) aporta(n) al sistema.
El precio de cierre de la subasta es aquel que iguala oferta y demanda agregadas, y es denominado precio marginal del sistema. El precio spot es el precio marginal del sistema más el delta incremental, que es un cargo para compensar a las plantas térmicas despachadas y que presentan pérdidas operativas. El valor del delta incremental es mayor que cero únicamente cuando existe al menos una planta térmica despachada en la cual los ingresos operativos no alcanzan a cubrir las pérdidas operativas al precio marginal. De esta forma, al ser sumadas al precio marginal, el delta incremental busca que las pérdidas totales de las plantas térmicas despachadas sean cubiertas por cada kWh de electricidad generado en el sistema con independencia del tipo de generación del que provenga.
La Figura 1 presenta una serie de tiempo del precio spot promedio diario y del precio promedio mensual de los contratos en el periodo 2017-2019. Se destaca que el precio spot tiene un comportamiento muy variable: presenta periodos de relativa calma, en torno a los 100 COP/kWh o menos, y periodos en los cuales los precios se disparan por encima de los 200 y los 300 COP/kWh. Además, se observa que los precios promedio de los contratos tienden a no variar con el paso del tiempo, y toman valores entre 180 y 210 COP/kWh. Cabe destacar que, para gran parte de los años 2017 y 2018, el precio spot estuvo, en promedio, por debajo de los precios de los contratos, pero que, en el año 2019, estuvo mayormente por encima del precio de los contratos, en promedio.

B. Los contratos bilaterales de largo plazo
Los contratos bilaterales de largo plazo son compromisos entre generadores y comercializadores sobre futura compra/venta de electricidad, en un volumen y vigencia que son negociados entre ambas partes. Estos contratos son, en estricto sentido, obligaciones financieras entre los contratantes y no implican que el generador deba producir la electricidad contratada. El derecho a producir debe ser ganado en la bolsa de energía. Por esta razón, se dice que es en la bolsa de energía en donde se transa toda la energía producida en el SIN (Espinosa y Riascos, 2010).
Los precios establecidos en los contratos pueden ser fijos o iguales al precio spot, con topes máximos y mínimos. La vigencia de los contratos varía entre pocos meses y dos años máximo, pero pueden darse relaciones de más largo plazo entre agentes.
La regulación de estos contratos es establecida por la CREG y el objetivo es garantizar el cumplimiento de estas obligaciones para ambas partes. Cabe resaltar que solo los usuarios no regulados pueden negociar contratos con los generadores, recurriendo a los comercializadores como intermediarios. La CREG se encarga de procurar que los agentes tengan la capacidad física y financiera de cumplir sus compromisos. Además, dado que se presentan estructuras de propiedad común entre algunos generadores y comercializadores, la CREG ha establecido que un comercializador puede comprar en contratos con un generador con el que está integrado verticalmente no más del 60% de la cantidad total de energía generada por este.
La Figura 2 presenta la participación de las cantidades totales contratadas diarias con las firmas generadoras como porcentaje de la demanda total entre los años 2017 y 2019. Puede observarse que las cantidades contratadas tienden a variar entre el 70% y el 90%. Además, la participación de contratos tiende a ser más alta durante los últimos meses del año que durante los primeros.

II. El modelo
En esta sección, proponemos un modelo para el comportamiento de las firmas que operan en los mercados de contratos y spot. Para eso, desarrollamos un juego secuencial de dos etapas: en la primera, las firmas eligen la cantidad de electricidad en contratos; en la segunda, compiten en el mercado spot. Esta aproximación es razonable, dado que el mercado spot opera como un mercado de balance, en el cual, dependiendo de la relación entre la cantidad de electricidad asignada en el despacho y la cantidad negociada en contratos, las firmas compran o venden electricidad.
Considere un conjunto de i = 1, …, N firmas generadoras que compiten en los mercados de contratos y spot. Además, existen i = 1, …, L firmas minoristas que compran electricidad en ambos mercados. Las dos etapas del juego son las siguientes:
Etapa 1. Cada firma generadora i elige la cantidad vilhque se compromete a entregar en contratos para cada hora h del día a la firma minorista I, a un precio pcil que fue negociado libremente y que es el mismo en todo el periodo de contratación. Nosotros no modelamos el proceso de negociación entre generadores y minoristas. Asumimos que este proceso ya se llevó acabo en una etapa anterior. Es decir, la firma minorista I eligió anteriormente un conjunto de firmas generadoras con el objetivo de cubrir su demanda asignada de electricidad Dlh. La cantidad Dlh está dada para la firma minorista4.
Etapa 2. Dependiendo de los valores totales contratados,
la firma generadora declara una oferta,
, donde bij es un precio ofertado constante para las 24 horas del día y gijhes la disponibilidad declarada de generación para la hora .; ambos para cada una de las Jiplantas que posee la firma. El operador de mercado recolecta estas ofertas y les asigna a todas las unidades un determinado cronograma de generación para cada hora h junto con el precio al cual se remunera cada unidad generada ph. Para eso, el operador de mercado sigue un mecanismo de optimización del despacho, a fin de satisfacer al menor costo la demanda pronosticada Dfh.
Caracterizamos las condiciones de optimalidad del juego como un equilibrio bayesiano perfecto, usando el concepto de solución de inducción hacia atrás. Comenzamos solucionando el juego asociado a la segunda etapa, siguiendo los desarrollos de Reguant (2014), Camelo et al. (2018) y Pérez y García-Rendón (2020) y asumiendo como dada vih para cada firma i y hora h.
El operador del mercado recolecta todas las ofertas realizadas en t - 1 y define cantidades de despacho (qijh ) y el precio spot (ph) para t resolviendo el problema de la ecuación (1) (sujeto a las restricciones 2 y 3):
(1)sujeto a las siguientes dos restricciones
(2)
(3)donde gijh es el mínimo técnico de generación para la planta j de la firma i.
La restricción 2 representa el vaciamiento del mercado (clearing market condition), que es una restricción habitual en la mayoría de las subastas de electricidad. Dado el despacho de equilibrio, el precio spot (ph) se calcula como el máximo precio ofertado para abastecer la demanda durante cada hora h. Además, todas las unidades despachadas se pagan al precio ph por cada kWh producido durante la hora correspondiente.
Nosotros descartamos los costos de arranque-parada y otras restricciones técnicas por razones similares a Pérez y García-Rendón (2020). Camelo et al. (2018) modelan un despacho teniendo en cuenta ambas cosas: costos de arranque-parada y restricciones técnicas de las plantas. Así encuentran un error de ajuste promedio del 15.43% entre sus precios spot simulados y los observados, para el periodo de junio de 2010 a octubre de 2012. En cambio, la forma más parsimoniosa de Pérez y García-Rendón (2020), simulada para el año 2018, exhibe un error de ajuste promedio del 7%. Aunque son periodos diferentes, este ejercicio muestra que utilizar o no un despacho complejo no parece ofrecer mejores precios spot simulados que un despacho simple.
En el momento en que el operador planifica el despacho, las firmas no conocen las ofertas de sus rivales. Los pronósticos de demanda (Dh), niveles y flujos de almacenamiento de agua de las plantas hidráulicas, precios de combustibles fósiles, así como los parámetros técnicos de todas las unidades generadoras son de información pública.
La información privada de las firmas contiene la cantidad de electricidad en contratos bilaterales. La firma i elige una oferta bi= {bij,gijh} para maximizar los beneficios esperados, condicionada a una distribución de las pujas de otras firmas (b-i ) y la información disponible. Dada la información disponible, las expectativas de la firma i se toman sobre sus propias creencias acerca de las estrategias de las otras firmas.
Sea S el conjunto de todas las posibles combinaciones de unidades que son despachadas el día siguiente. Sea s un elemento de S: un estado de la naturaleza en el cual un determinado conjunto de unidades es despachado por el operador de mercado. El beneficio esperado por la firma i para un día dado está determinado por la ecuación (4):
(4)donde Pr(s | bi ) es la probabilidad de que una combinación de unidades s ∈ S sea despachada, condicionada a las ofertas de la firma i. Para cada s, las unidades despachadas están determinadas por las ofertas realizadas bs.
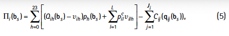
Los beneficios de la firma i, condicionados al estado s y a las estrategias bs, están dados por la ecuación (5):
(5)donde Qih es la cantidad total de electricidad producida por la firma i en la hora h; vih es la posición de ventas netas agregadas de la firma i en el mercado de contratos bilaterales; Cij(•) representa la función de costos diarios totales de la planta j para la firma i; y qij es un vector que contiene todo el programa de generación del día.
La función de beneficios es el ingreso bruto de la firma menos sus costos. El ingreso bruto es el precio de mercado por la posición de ventas neta de la firma (producción menos contratos) y los ingresos totales por ventas en contratos.
En esta segunda etapa del juego, no hay influencia por parte de los ingresos totales de ventas en contratos. La cantidad Qih(•) - vih es la que determina los incentivos de la firma para incrementar o bajar los precios en la subasta del operador de mercado (Wolak, 2000). Por otro lado, cuando el mercado se ha vaciado, necesariamente debe ocurrir que la oferta asignada a la firma i sea igual a la demanda residual en el mercado Qih = DRih.
El problema que resuelve la firma i en la segunda etapa, para cada día, es elegir una estrategia de oferta bique maximice sus beneficios esperados diarios según la ecuación (6):
(6)Dada la estructura markoviana de las funciones de costo, cada subjuego de la segunda etapa (competencia) puede resolverse como un juego de subasta simultáneo condicionalmente independiente. Esto es posible dado que, en un modelo de Markov, se supone que los estados futuros dependen solo del estado actual, no de los eventos que ocurrieron antes. Esto implica que las estrategias de equilibrio no dependen del tiempo. Esta aproximación al problema es usual en la literatura sobre mercados eléctricos (Hortacsu y Puller, 2008; Reguant, 2014; Wolak, 2003).
Se presentan solo las condiciones de primer orden (CPO) para los precios ofertados por las firmas. También es posible derivar las CPO para las cantidades ofertadas. Sin embargo, la evidencia empírica señala que son los precios ofertados las variables estratégicas que las firmas más suelen modificar (Martin y Riascos, 2017; Reguant, 2014). Por otro lado, en Colombia la regulación establece que las firmas deben declarar la disponibilidad técnica real que tienen las plantas a su disposición. Esto significa que no pueden ofertar disponibilidades gijh que no estén acordes con las características técnicas de sus plantas (Resolución 004 de 2004). Las CPO del problema son las que se muestran en la ecuación (7):
(7)Dado que cambios marginales de los precios ofertados por las firmas afectan los resultados del mercado solamente cuando ellas establecen el precio spot con una probabilidad positiva, la derivada de los beneficios esperados de la firma con respecto a los precios ofertados debe estar condicionada a ph = bij.
El primer término de la ecuación (7) representa el cambio en el beneficio esperado de la firma cuando se da un pequeño cambio en bij. El segundo término representa el cambio en la probabilidad de que alguna de las unidades en . sea despachada cuando la unidad j de la firma i establece el precio spot.
Para que
, debe ocurrir que bij. sea lo suficientemente alto las unidades en s como para que exista, al menos, una unidad k 6∈ s. que haga que el despacho sea técnicamente factible y el costo del despacho sea suficientemente bajo. Esto implica que un cambio marginal en bij, cuando la firma establece el precio spot, altera en gran medida la probabilidad de que las unidades que conforman s sean despachadas. Dado que es poco usual que cambios marginales en la oferta bijde una unidad alteren el despacho de tal forma, se asume, como en Reguant (2014), el supuesto 1:
Supuesto 1 (no pivotalidad):

Este supuesto indica que ninguna planta de la firma i es relevante para la probabilidad de que ocurra un determinado vector de despacho. Otra forma de interpretar este supuesto está relacionada con el concepto de pivotalidad de una planta. Este supuesto puede ser interpretado como que ninguna de las plantas de la firma es pivotal, en el sentido de que resulte relevante para que el despacho económico del día siguiente suceda.
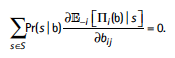
El supuesto 1 implica que
(8)Teniendo en cuenta la condición 8, se puede demostrar, como lo hace Reguant (2014), que una CPO necesaria para que bijsea óptimo, para la hora h, está dada por la proposición 1.
Proposición 1. Dado el supuesto 1, una CPO necesaria para la optimalidad de bijpara la unidad j de la firma i, en la segunda etapa del juego, con vih dado para h = 0, …, 23, es
(9)La prueba de esta proposición se presenta en el Anexo 1.
La ecuación (9) representa la definición habitual en la literatura de la oferta óptima en una configuración tradicional de subasta de precio uniforme (Hortacsu y Puller, 2008; Vickrey, 1961). Estas estrategias definen un equilibrio bayesiano perfecto en subjuegos para la segunda etapa que, por simplicidad, se restringe solo a estrategias simétricas.
Esta ecuación establece que el precio ofertado de una unidad (bij ) es igual al costo marginal promedio ponderado más un margen de beneficio. Este margen de beneficio se compone de la cantidad de ventas neta esperada por la firma i, dividida por el efecto de un cambio marginal en bijsobre las cantidades de equilibrio que, en equilibrio, es equivalente a su efecto sobre la demanda residual. El efecto sobre la demanda residual de los precios ofertados captura la forma como el grado de competencia afecta a la firma. Por ejemplo, movimientos sobre una demanda residual inelástica tienden a afectar con más fuerza el margen de beneficios.
Por otro lado, dado que DRih= Qih. , cuando ph = bij , se tiene que
: un aumento marginal en el precio ofertado disminuye la demanda residual de la firma y sus cantidades vendidas en el mercado.
El signo que toma el margen de beneficios depende de la expectativa condicional de la cantidad de ventas neta de la firma (Qih - vih). Cuando la firma establece el precio spot y espera que la cantidad neta vendida tome un valor positivo, la firma tendrá que vender en bolsa parte de la cantidad producida, por lo cual pondrá un precio por encima del costo marginal. Este análisis indica que mayores cantidades contratadas a plazo tienden a reducir los márgenes de beneficios de las firmas. En caso de que la firma sea un comprador neto en bolsa (Qih - vih < 0), sus precios ofertados estarán por debajo del costo marginal.
En la primera etapa del juego, las firmas generadoras eligen el nivel de contratos, que son obligaciones financieras con las firmas minoristas que tienen demandas de mercado que, se asumen, están dadas.
Un supuesto fundamental del modelo es que, para la firma, el vencimiento de sus contratos está dado. Esto implica que nos enfocamos en la versión estática del problema de elección de contratos de la firma, y no en su versión dinámica, la cual es bastante compleja y puede ser motivo de futuras investigaciones. Por otro lado, suponemos que los precios de los contratos de las firmas generadoras son iguales entre todas las firmas minoristas, esto es: pcil = pci , para todo i = 1, …, N y I = 1, …, L.
En este trabajo, no modelamos el problema de elección de la firma minorista y nos enfocamos en la elección de contratos de la firma generadora. La firma generadora busca elegir su vector (vi1h1., ..., vilh, ..., viLh )', para lo cual, dados los supuestos anteriores, la firma generadora solo debe enfocarse en elegir la cantidad
que maximice sus beneficios esperados durante los Tidías en los cuales se ha establecido el contrato. También debe tener en cuenta el efecto directo de su elección de contratos sobre sus beneficios, así como su efecto indirecto sobre los precios ofertados por sus plantas en la subasta diaria del mercado spot.
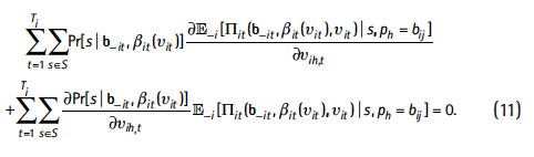
Para resolver la primera etapa del juego, se define V como el espacio de cantidades contratadas, B como el espacio de ofertas y Ω como el espacio de estados de naturaleza. Además, se define el vector de estrategias óptimas de la firma i el día de subasta t como el vector de funciones β: V x Ω -> B., tal que, para cada vit ∈ V y wt∈ Ω, it ∈ B., satisface las condiciones establecidas por la ecuación (9). Asimismo, Ti es el tiempo que dura un contrato para la firma i, el cual se asume como dado. El problema de optimización de la firma, en la primera etapa, se presenta en la ecuación (10):
(10)Las CPO de este problema para cada h están dadas por las ecuaciones (11) y (12):
(11)Por el supuesto 1, tenemos que
. Entonces
(12)Por razones similares a las expuestas en la prueba de la proposición 1 (Anexo 1), tenemos que Pr[s | b-it ,βit (vit)] ≠ 0, para todo t = 1, …, Ti. Esto implica que, para cada día t, debe cumplirse lo establecido en la ecuación (13):
(13)Como es de esperarse por el supuesto de plazo de contratos dado, la solución a nuestro problema es independiente del vencimiento de los contratos Ti. La función de beneficios toma entonces la forma presentada en la ecuación (14):
(14)Luego, un cambio marginal en vihafecta las cantidades vendidas por la firma, los costos marginales de la planta y los precios spot de todas las horas, dado que vih modifica el precio ofertado bij(que es el mismo para las 24 horas del día). Las CPO del problema para cada hora h del día t pueden ser reescritas como en la ecuación (15):
(15)El primer término resulta de tener en cuenta el efecto indirecto de los contratos sobre los beneficios esperados mediante los precios ofertados, el cual es una expectativa condicional sobre los estados s y la marginalidad de las plantas ph = bij. El segundo término es el efecto directo sobre los beneficios esperados, el cual es independiente de la marginalidad de las plantas. Por la proposición 1, el primer término es igual a cero, es decir: la firma generadora internaliza completamente el efecto indirecto de su posición de contratos sobre los beneficios esperados. De este hecho obtenemos la proposición 2.
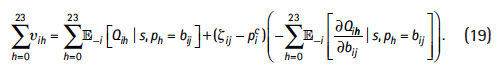
Proposición 2. Dado el supuesto 1, una CPO necesaria para la optimalidad de vih de la firma i, en la primera etapa del juego, para h = 0, … , 23 es
(16)La ecuación (16) define implícitamente una condición sobre la posición de contratos vih para cada hora h. Esta condición está presente en los modelos desarrollados por Allaz y Vila (1993) y Acemoglu et al. (2017) y significa que las firmas esperan no realizar arbitraje entre ambos mercados.
En primer lugar, supongamos que las firmas esperan que el precio spot esté por encima del precio de los contratos. Entonces, las firmas generadoras pueden lograr beneficios adicionales vendiendo una mayor parte de su electricidad en el mercado spot y una menor parte en contratos. Esta acción disminuye la posición neta en contratos vih, por lo cual decrecen los precios ofertados por las unidades, así como el precio spot esperado. Esto continúa hasta que ocurre que se igualan el precio spot esperado y el precio de los contratos. En segundo lugar, cuando el precio spot está por debajo del precio de los contratos, ocurre lo contrario.
Para una firma i pueden ocurrir dos eventos condicionales en s: 1) una de sus Jiunidades establece el precio spot; 2) ninguna de sus unidades fija el precio spot. Si ninguna de sus unidades fija el precio spot, entonces la firma i elige el nivel vih = 0, cuando el precio spot esperado está por encima del precio de los contratos, y elige un vih tan grande como lo desee o se le permita, cuando el precio spot está por debajo del precio de contratos. Si alguna de las unidades de la firma i es marginal, entonces ocurre lo que se muestra en las ecuaciones (17) y (18):
(17)
(18)Despejando vih y recordando que esta es independiente de s y ph = bij , obtenemos el corolario 1.
Corolario 1. Para la proposición 2, dado el supuesto de que la unidad j de la firma i es marginal (ph = bij), una CPO necesaria para la optimalidad de vih de la firma i, en la primera etapa del juego, para h = 0, …, 23 es
(19)La ecuación (19) representa la posición óptima en contratos de una firma que espera que alguna de sus unidades sea marginal en el despacho del día siguiente. Esta ecuación establece que las firmas eligen una posición de contratos igual a sus ventas esperadas en el mercado spot menos un margen que depende de los precios de sus contratos y el costo marginal de su unidad.
Cuando el precio de los contratos está por encima del costo marginal de la unidad, entonces la firma pondrá en contratos un valor inferior a sus ventas esperadas en el mercado spot. Dado que el precio de los contratos es superior a su costo marginal, a la firma le resulta beneficioso vender una parte de su electricidad en el mercado spot del día siguiente. En cambio, cuando el precio de los contratos es inferior a los costos marginales, entonces es beneficioso para la firma comprar electricidad en el mercado spot.
Una forma alternativa de expresar el anterior corolario es como la relación entre, por un lado, la diferencia entre generación ideal esperada y contratos y, por otro, la diferencia entre costo marginal y precio de contratos.
Nuestro modelo predice que esta relación es negativa. Es decir, cuando los costos marginales están por encima de los precios de los contratos, las firmas tienden a mantener posiciones de contratos inferiores a la generación ideal esperada.
Dado que, por la proposición 1, el margen de beneficio de las firmas se relaciona con la diferencia entre generación ideal y contratos, nuestro modelo predice que el margen de beneficio será mayor a medida que la diferencia entre costos marginales y precios de contratos sea mayor.
Esto significa que una forma de reducir el potencial poder de mercado de las firmas, representado por un mayor margen de beneficio, consiste en garantizar que los precios de los contratos reflejen en mejor medida los costos marginales de las firmas. Esto se puede hacer garantizando un mercado de contratos más libre y competitivo, por ejemplo, mediante un mercado estandarizado, propuesta que se encuentra actualmente en estudio por parte del regulador.
A partir de este razonamiento, se pueden establecer tres predicciones teóricas contrastables que se derivan de la elección del nivel óptimo de contratos por parte de las firmas. Cabe destacar que, debido a que los precios ofertados son iguales para todas las horas del día, no es posible obtener una predicción sobre el comportamiento de los contratos al nivel de hora. Sin embargo, sí se pueden tener predicciones para el agregado del día:
Predicción 1. La posición en contratos de las firmas tiene una relación positiva con la generación ideal esperada de la firma y con la diferencia entre los costos marginales de las unidades marginales y el precio de los contratos (ecuación 19).
Predicción 2. El precio spot tiende a fluctuar alrededor del precio de los contratos de las firmas con unidades marginales (ecuación 16).
Predicción 3. Los precios ofertados de las unidades marginales tienden a fluctuar alrededor del precio de los contratos de la firma (ecuación 17).
La predicción 2 es una alternativa a la habitual predicción de igualdad entre precios spot y de contratos en mercados de electricidad. Esta predicción se diferencia de las existentes en la literatura en que el precio spot fluctúa únicamente alrededor del precio de los contratos de las firmas que poseen unidades marginales.
Por su parte, las predicciones 1 y 3 no se han explorado en la literatura.
La predicción 3 es razonable: dado que los precios spot son los precios ofertados por las unidades marginales y que el precio spot fluctúa alrededor de los precios de los contratos, los precios ofertados de las unidades marginales de las firmas también tenderán a hacerlo.
Con relación a la predicción 1, nosotros no encontramos en la literatura estudiada alguna expresión que se asemeje a esta forma. Para el mercado colombiano, no es posible observar los datos de precios de los contratos a nivel de firma debido a su confidencialidad. Por esta razón, diseñamos una estrategia para utilizar los precios promedio de los contratos de todas las firmas, los cuales no son confidenciales, y poder contrastar así esta predicción. El conjunto de datos del que disponemos no nos permite contrastar las predicciones 2 y 3.
A. Estrategia empírica
Los datos que se utilizan en este trabajo están disponibles públicamente en la página web Portal BI de XM. Los datos incluyen información para los años 2017, 2018 y 2019.
Estos se encuentran en diferentes niveles de agregación y tiempo. Utilizamos datos sobre precios ofertados (COP/kWh) y disponibilidades declaradas (kWh) por las firmas para sus plantas, sobre generación ideal (kWh) asignada a las plantas de cada firma y sobre las cantidades de electricidad negociada en contratos (kWh) de las firmas tanto en ventas como en compras.
Estas variables las utilizamos en una frecuencia diaria. El precio spot (COP/ kWh) se encuentra en frecuencia horaria, pero lo promediamos para las 24 horas para obtener así un precio spot promedio diario. Agregamos por día las predicciones oficiales de demanda (kWh) del operador de mercado. Finalmente, tenemos datos sobre precios promedio de los contratos de las firmas (COP/ kWh) con una frecuencia mensual. Nuestra base de datos comprende información para 231 plantas que pertenecen a 64 firmas, de las cuales 63 plantas declaran precios ofertados en la bolsa de energía.
Con relación a la primera etapa del juego, establecimos tres predicciones teóricas contrastables en los datos. Proponemos ejercicios sencillos para encontrar evidencia que respalde la primera predicción teórica. Como no es posible observar los datos sobre precios de los contratos a nivel de firma, por su confidencialidad, utilizamos los precios promedio de los contratos reportados por el operador de mercado.
Por otro lado, según nuestro modelo, lo relevante para una firma es que exista una probabilidad positiva de poseer al menos una unidad marginal. Dado que no observamos esta probabilidad, definimos un criterio para aproximar esta creencia de la firma: la firma i esperó tener una unidad marginal si, para algún día de la semana, el precio ofertado de alguna de sus unidades estuvo cerca del precio marginal del sistema en alguna hora del día5.
No tenemos un criterio objetivo para definir cuándo una unidad ofertó cerca del precio marginal. Utilizamos un intervalo de 10 COP/kWh para definir qué tan cerca está un precio ofertado del precio marginal.
Posteriormente, realizamos ejercicios variando este intervalo para evaluar la robustez de nuestros resultados. Para la firma, es relevante que exista una probabilidad positiva de tener una unidad marginal. Cuando alguna de sus plantas resultó ser marginal en algún día de la semana, asumimos que dicha firma tuvo la expectativa durante toda la semana de tener al menos una unidad marginal.
Dada la predicción 1 (que está relacionada con la ecuación 19), proponemos el siguiente modelo econométrico:
(20)donde C es el logaritmo de la posición neta (ventas menos compras) en contratos de la firma i en el día t; Q es el logaritmo de la generación ideal de la firma i en el día t; bid - pc es la diferencia entre el logaritmo del precio ofertado promedio de las unidades marginales y el logaritmo del precio promedio de los contratos en el día t; θ es un vector de efectos fijos de año, mes y firma; y ε es un término estocástico de perturbación.
La especificación econométrica de la ecuación (20) permite capturar aspectos del comportamiento del nivel elegido de contratos de las firmas, varios de ellos predichos por nuestro modelo teórico. La inclusión de Q y de bid - pcpermite contrastar la predicción 1 de nuestro modelo: las relaciones positivas de la posición de contratos con el nivel esperado de generación ideal y con la diferencia entre costo marginal y precio de los contratos.
Asumimos previsión perfecta por parte de las firmas con relación al nivel de generación ideal del día siguiente Q. Además, asumimos que los precios ofertados de las unidades marginales son buenos factores proxy de los costos marginales. Por otro lado, los efectos fijos por año y mes nos permiten controlar diferentes inobservables que afectan de forma agregada y estacional el nivel de los contratos. La inclusión de efectos fijos por firma nos permite controlar inobservables relevantes de las firmas que no varían en el tiempo (como la integración vertical).
Dado que la generación ideal de una firma en un día está en función de los precios ofertados de todas las unidades de la firma, y que estos precios dependen igualmente de la posición en contratos, es posible que exista una causalidad bidireccional entre C y Q. Esto significa que los estimadores por mínimos cuadrados ordinarios (MCO) serían inconsistentes.
Para solucionar este problema de endogeneidad, instrumentamos la generación ideal de las firmas con la demanda total del día. Esta demanda está correlacionada con la generación ideal de las firmas, por lo cual es un instrumento relevante. Asimismo, el proceso que sigue la demanda del día es exógeno a la escogencia de contratos que siguen las firmas. Adicionalmente, la ecuación (19) de nuestro modelo teórico no predice que la demanda del día tenga un efecto directo sobre la posición en contratos. El efecto de la demanda sobre los contratos de las firmas está dirigido únicamente a través de la generación ideal de las firmas.
De igual forma, los precios ofertados que utilizamos como factores proxy de los costos marginales tienen el inconveniente de estar contaminados por el potencial poder de mercado de las firmas. Por eso, decidimos instrumentarlos con los precios internacionales de los combustibles y el nivel de los caudales de los ríos del SIN.
Estos instrumentos son relevantes por cuanto se correlacionan con los costos marginales de las plantas y son exógenos (pues su proceso estocástico es independiente de las decisiones de toman las firmas). Además, se cumple el supuesto de exclusión: dado que estos instrumentos no tienen una relación directa con el nivel de los contratos, su relación se da solo a través del canal de los costos marginales.
Asimismo, proponemos una especificación para utilizar los datos de firmas sin unidades marginales. Aunque nuestro modelo no hace predicciones para estas firmas, buscaremos evidencia de cómo el modelo de la ecuación (20) puede explicar el comportamiento de estas firmas. Como no es posible calcular el precio ofertado de las unidades marginales para firmas que no las poseen, intercambiamos la diferencia bid - pcpor la diferencia entre el precio spot y el precio de los contratos (p - pc). A partir de este cambio, proponemos el modelo de la ecuación (21):
(21)III. Resultados
Inicialmente, mostraremos algunas estadísticas descriptivas asociadas a las variables de interés de esta investigación. En la Figura 3, presentamos un mapa de dispersión entre, por una parte, la participación de la electricidad vendida en contratos en la demanda total del día y, por otra, la diferencia porcentual entre el precio spot y el precio promedio de los contratos.
La primera medida la obtenemos sumando todas las ventas netas en contratos de todas las firmas y calculando su participación en la demanda del día. La segunda medida la obtenemos como la diferencia entre los logaritmos de los precios, que luego multiplicamos por 100.
Este ejercicio nos permite evidenciar, gráficamente, la correlación entre la participación de contratos y los periodos de tiempo en los que el precio spot tiende a estar por encima o por debajo de los precios de los contratos.
En la Figura 3, se observa una correlación levemente positiva entre ambas variables, la cual tiene sentido dentro de la teoría expuesta. Cuando el precio spot tiende a estar por debajo de los precios de los contratos, las firmas tienen incentivos para comprar electricidad en el mercado spot para cubrir sus contratos, por lo cual tienden a reducir su posición en contratos. En cambio, cuando el precio spot está por encima del precio de los contratos, la firma tiene menos incentivos para comprar electricidad en el mercado spot y tiende a aumentar su posición en contratos.
Ahora presentamos estadísticas descriptivas de las variables de interés a nivel de firma, condicionadas a su tenencia de unidades marginales. Esto con el objetivo de evidenciar qué diferencias existen entre firmas con y sin unidades marginales.
En el Cuadro1, presentamos estadísticas descriptivas por año de la generación ideal y de la posición neta en contratos de las firmas (ambas en GWh), para los momentos cuando las firmas tienen unidades marginales y cuando no las tienen.
Se destaca que las firmas, cuando poseen unidades marginales, tienden a mantener, en promedio, una posición neta de contratos menor que la generación ideal que se les asigna. Esto significa que las firmas, cuando poseen unidades marginales, tienden a ser vendedoras en el mercado spot. En cambio, cuando no poseen unidades marginales, tienden a mantener posiciones netas en contratos mayores que la generación ideal que se les asigna, es decir, tienden a ser compradoras en el mercado spot. Por otro lado, son las firmas más grandes, en cuanto a la generación ideal asignada o su posición en contratos, las que tienden a mantener unidades marginales.
Ahora presentamos estadísticas descriptivas de las variables agregadas del mercado: precio spot y demanda. En el Cuadro 2, presentamos estadísticas descriptivas del precio spot promedio diario y de la demanda total diaria.
El precio spot presentó un notable incremento en sus valores medios durante el año 2019. Esto se debe a que los años 2017 y 2018 fueron años con una hidrología relativamente alta. En cambio, en el año 2019, el nivel de los ríos comenzó a reducirse, con lo cual los precios spot formados tendieron a incrementarse, pasando de niveles medios de 110 COP/kWh a niveles medios de 230 COP/kWh.
Además, la variabilidad del precio spot, medida a través de la desviación estándar de la serie, también tendió a incrementarse con el paso del tiempo. El precio spot pasó de tener una desviación estándar de 33 COP/kWh, en 2017, a una de 88 COP/kWh, en 2019. Por otro lado, la demanda promedio diaria pasó de tomar valores medios de 183 GWh, en 2017, a tomar valores medios de 192 GWh, en 2019, sin presentar cambios notables en su variabilidad.




A. Evidencia sobre elección de contratos
En esta sección, presentamos evidencia, con datos del mercado colombiano, sobre las predicciones que hicimos con base en el modelo sobre elección de posición de contratos de las firmas generadoras. En el Cuadro 3, se presentan los resultados de estimar el modelo de la ecuación (20). Este modelo relaciona, por un lado, el logaritmo de la cantidad de contratos de las firmas con el logaritmo de su generación ideal y, por otro, la diferencia entre los logaritmos de los precios promedio de las ofertas de sus unidades marginales y el precio de los contratos.
Para las primeras tres columnas, utilizamos el método de MCO. Para las últimas tres, utilizamos variables instrumentales (VI). En la columna 1, no incluimos efectos fijos; en la columna 2, utilizamos efectos fijos de año y mes; y en la columna 3, añadimos efectos fijos por firma generadora. En las columnas 4 a 6, respectivamente, hacemos esta misma diferenciación. Estos modelos se estiman únicamente para firmas en los momentos en que han tenido unidades marginales para alguna hora de la semana.

Los resultados de las columnas 1 a 3 muestran que existe evidencia de una relación positiva entre contratos y generación ideal, pero la magnitud del efecto se reduce ante la inclusión de efectos fijos. El valor del coeficiente estimado tiende a acercarse a cero, al pasar de 0.752 a 0.0798, la cual es una magnitud poco razonable, dado que nuestro modelo predice que el coeficiente de esta relación debe ser cercano a 1.
En cuanto a la diferencia entre precios ofertados de unidades marginales y precio de contratos, la evidencia de una relación positiva pierde significancia conforme se añaden efectos fijos. Cuando corregimos el potencial problema de endogeneidad, instrumentando la generación ideal con la demanda y los precios ofertados con precios de combustibles y caudales de los ríos, los resultados son más favorables a nuestras predicciones teóricas. Cuando se incluyen efectos fijos de año y mes, el coeficiente estimado de la generación ideal es positivo y cercano a uno. Pero, cuando se añaden efectos fijos de firma, la relación entre contratos y generación ideal es positiva, con una magnitud de 0.594. Con relación a la diferencia entre precios ofertados de unidades marginales y precio de contratos, el signo es positivo, pero no significativo. Estos resultados constituyen evidencia a favor de nuestras predicciones teóricas asociadas a la ecuación (19).
Estos resultados son destacables porque ofrecen evidencia a favor de una de las predicciones que se establece en el corolario 1 sobre la relación entre el nivel de contratos y la generación ideal de las firmas. Sin embargo, no proporcionan evidencia sobre la relación entre el nivel de contratos y la diferencia entre costos marginales y precios de los contratos. Esto puede deberse a dos razones: no observamos ni los costos marginales ni los precios de los contratos a nivel de firma. Esto puede explicar por qué la relación que encontramos, aunque positiva (como predice nuestro modelo), no es significativa.
Cabe destacar que nuestro modelo establece predicciones para el comportamiento de la cantidad de contratos de firmas con unidades marginales. Sin embargo, presentamos un ejercicio para mostrar cómo nuestra especificación puede explicar el comportamiento de las cantidades contratadas por firmas sin unidades marginales.
En el Cuadro 4, presentamos los resultados de estimar el modelo de la ecuación (21) (para las firmas que no tienen unidades marginales). La organización de este cuadro reproduce la del Cuadro 3, excepto por la inclusión de la diferencia entre los logaritmos del precio spot y el precio de los contratos.
Los resultados del Cuadro 4 muestran que la generación ideal tiene un efecto positivo y significativo sobre el nivel de los contratos. Esta evidencia se encuentra cuando utilizamos MCO, y es robusta ante la inclusión de efectos fijos. Sin embargo, cuando utilizamos VI, la evidencia es menos clara. La cantidad de contratos tiene una relación positiva con la generación ideal, cuando se incluyen efectos fijos de año y mes, pero esta relación deja de ser significativa cuando se incluyen efectos fijos de firma.
Por otro lado, existe evidencia de una relación negativa entre, por una parte, la diferencia entre el precio spot y el de los contratos y, por otra, las cantidades contratadas de firmas sin unidades marginales, la cual es de signo contrario al que se predice para firmas con unidades marginales.
Estos resultados no permiten tener conclusiones sólidas y muestran lo que esperábamos que ocurriese: nuestras predicciones teóricas para las cantidades contratadas de firmas con unidades marginales no parecen explicar el comportamiento que se asocia con firmas sin unidades marginales.
B. Análisis de robustez
Dado que nuestra forma de definir cuándo una firma generadora espera tener una unidad marginal es arbitraria, llevamos a cabo dos ejercicios de robustez ampliando el intervalo de 10 COP/kWh, con el cual identificamos estas unidades. Estos ejercicios permiten evidenciar la firmeza de nuestros resultados frente a cambios en la especificación de una característica relevante como es la tenencia de unidades marginales.
En el Cuadro5, presentamos los resultados de un ejercicio para evaluar la robustez de los resultados de nuestra estrategia para definir cuándo una unidad es marginal. La definición que utilizamos en los cuadros anteriores es que el precio ofertado de la unidad cayera en un intervalo de 10 COP/kWh alrededor del precio marginal. En la columna 1, mostramos nuevamente los resultados de la columna 6 del Cuadro 3, es decir, cuando se usan VI y se incluyen efectos fijos de año, mes y firma. En la columna 2, cambiamos la definición al usar un intervalo de 20 COP/kWh alrededor del precio marginal. Y, en la columna 3, al usar un intervalo de 30 COP/kWh.
Nuestros resultados muestran que los coeficientes estimados para generación ideal y para la diferencia entre precios ofertados y precio de los contratos es robusta frente a la forma como definimos una unidad como marginal. Esto refuerza la evidencia que hemos encontrado a favor de las predicciones de nuestro modelo sobre los factores determinantes de la posición en contratos de las firmas.



IV. Conclusiones
En este trabajo desarrollamos un modelo para estudiar los factores que determinan la elección de la posición en contratos por parte de las firmas generadoras en el mercado colombiano de electricidad. Para eso, proponemos un juego secuencial en dos etapas, como es usual en la literatura. En la primera, las firmas eligen su posición de contratos. En la segunda, las firmas eligen sus ofertas en el mercado spot.
A partir del modelo, hacemos tres predicciones teóricas. Además, proponemos una estrategia empírica para contrastar una de estas predicciones con datos del mercado mayorista colombiano. La predicción que contrastamos establece que la posición en contratos que adoptan las firmas que poseen unidades marginales tiene una relación positiva, por un lado, con la generación ideal que le es asignada a la firma por el operador del mercado spot y, por otro, con la diferencia entre los costos marginales de las unidades y el precio de los contratos.
Nuestros resultados muestran que existe evidencia a favor de esta predicción teórica. Las firmas con unidades marginales tienden a fijar su posición en contratos en función de la generación ideal. Sin embargo, no encontramos una relación significativa con la diferencia entre costos marginales y precios de los contratos.
Además, aunque nuestro modelo inicial no proporciona explicaciones sobre cómo las firmas sin unidades marginales fijan sus contratos, modificamos nuestra estrategia empírica para contrastar si el modelo propuesto puede explicar el comportamiento de dichas firmas. Nuestros resultados no muestran una relación clara entre la posición de contratos de firmas sin unidades marginales con la generación ideal, por un lado, y muestran una relación negativa entre esta posición y la diferencia entre precio spot y precio de los contratos, por otro.
Explotando de una forma alternativa el corolario 1 de nuestro modelo, formulamos que la relación entre, por un lado, la diferencia entre generación ideal esperada y contratos y, por otro, la diferencia entre costo marginal y precio de contratos es negativa.
Dado que, por la proposición 1, el margen de beneficio de las firmas se relaciona con la diferencia entre generación ideal y contratos, nuestro modelo predice que el margen de beneficio será mayor conforme la diferencia entre costos marginales y precios de contratos sea mayor.
Esto significa que una forma de reducir el potencial poder de mercado de las firmas, representado por un mayor margen de beneficio, consiste en garantizar que los precios de los contratos reflejen en mejor medida los costos marginales de las firmas. Esto se puede hacer garantizando un mercado de contratos más libre y competitivo, por ejemplo, mediante un mercado estandarizado, propuesta que se encuentra actualmente en estudio por parte del regulador.
Nuestra propuesta es novedosa. No tenemos conocimiento de que exista otro trabajo que lleve a cabo un ejercicio similar al que desarrollamos para el caso de Colombia. Asimismo, a nivel internacional, no tenemos conocimiento de un trabajo que desarrolle el conjunto de predicciones teóricas que hemos establecido. Estas predicciones permiten entender mejor el proceso por el cual el mercado de contratos y el mercado spot se interrelacionan. Igualmente, permite comprender cómo la formación de los precios spot puede verse afectada por los precios de los contratos de las firmas.
Las principales limitaciones de nuestro trabajo son no poder modelar el juego de formación de relaciones contractuales entre firmas y no contar con datos sobre los precios de contratos por firma que nos permitan contrastar las otras dos predicciones de nuestro modelo.
Futuras investigaciones pueden dedicarse a diseñar un juego en tres etapas en donde se añada una nueva primera etapa al juego en la cual se modele la escogencia de relaciones contractuales entre las firmas. Más aún, futuros trabajos que puedan tener acceso a datos sobre precios de contratos a nivel de firma podrían contrastar las predicciones que nuestro modelo establece sobre estos y el precio spot.
Agradecimientos
Para la elaboración de este trabajo no se contó con fuentes de financiación. Agradecemos profundamente los valiosos comentarios y sugerencias hechos por John Jairo García Rendón, así como los planteados por nuestros dos evaluadores anónimos.
Referencias
1. Acemoglu, D., Kakhbod, A., & Ozdaglar, A. (2017). Competition in electricity markets with renewable energy sources. Energy Journal, 38, 138-155.
2. Allaz, B., & Vila, J. (1993). Cournot competition, forward markets and efficiency. Journal of Economic Theory, 59(1), 1-16.
3. Anderson, E. J., & Hu, X. (2008). Forward contracts and market power in an electricity market. International Journal of Industrial Organization, 26(3), 679-694.
4. Borenstein, S., Bushnell, J. B., & Wolak, F. A. (2002). Measuring market inefficiencies in California's restructured wholesale electricity market. American Economic Review, 92(5), 1376-1405.
5. Botero, J. A., García, J. J., & Vélez, L. G. (2013). Mecanismos utilizados para monitorear el poder de mercado en mercados eléctricos: reflexiones para Colombia. Cuadernos de Economía, 62(60), 561-596.
6. Camelo, S., Papavasiliou, A., de Castro, L., Riascos, Á., & Oren, S. (2018). A structural model to evaluate the transition from self-commitment to centralized unit commitment. Energy Economics, 75, 560-572.
7. CREG. (2001). Resolución 026 (“Por la cual se dictan normas sobre funcionamiento del mercado mayorista de energía”).
8. CREG. (2009). Resolución 051 (“Por la cual se modifica el esquema de ofertas de precios, el despacho ideal y las reglas para determinar el precio de la bolsa en el mercado energía mayorista”).
9. CREG. (2014). Resolución 026 (“Por la cual se establece el estatuto para situaciones de riesgo de desabastecimiento en el mercado mayorista de energía como parte del reglamento de operación”).
10. CREG. (2020). Circular nro. 017 (“Estado de evaluación de propuestas destinadas a la CREG en el marco de la Resolución 114 de 2018”).
11. Espinosa, M. A., & Riascos, Á. J. (2010). Strategic behaviour, resource valuation and competition in electricity markets. Documentos CEDE. Universidad de los Andes, Facultad de Economía. https://ssrn.com/ abstract=1580162.
12. Eydeland, A., & Wolyniec, K. (2003). Energy and power risk management: New developments in modeling, pricing, and hedging. John Wiley and Sons.
13. Gallego, C., Salazar, H., & Gallego, R. (2011). Análisis de las metodologías usadas en la detección de posiciones dominantes en el mercado de electricidad mayorista colombiano. Revista de la Facultad de Ingeniería de la Universidad de Antioquia, 59, 122-132.
14. Green, R. (1999). The electricity contract market in England and Wales. The Journal of Industrial Economics, 47(1), 107-124.
15. Henao, J. D. V., & Cardona, C. J. F. (2010). Predicción de los precios de contratos de electricidad usando una red neuronal con arquitectura dinámica. INNOVAR: Revista de Ciencias Administrativas y Sociales, 20(36), 7-14.
16. Hortacsu, A., & Puller, S. L. (2008). Understanding strategic bidding in multi-unit auctions: A case study of the texas electricity spot market. RAND Journal of Economics, 39(1), 86-114.
17. Martin, J. D., & Riascos, Á. (2017). Estimation of a structural model of competition in the colombian electricity spot market. Quantil S. A. S. http://quantil.co/wp-content/uploads/2017/08/EstimationStrucModelColEnergy-1.pdf.
18. Newbery, D. M. (1998). Competition, contracts, and entry in the electricity spot market. The RAND Journal of Economics, 29(4), 726-749.
19. Pérez, A., & García-Rendón, J. J. (2020). Integration of non-conventional renewable energy and spot price of electricity: A counterfactual analysis for Colombia. Renewable Energy. DOI: 10.1016/j.renene.2020.11.067.
20. Powell, A. (1993). Trading forward in an imperfect market: The case of electricity in Britain. The Economic Journal, 103(417), 444-453.
21. Reguant, M. (2014). Complementary bidding mechanisms and startup costs in electricity markets. The Review of Economic Studies, 81(4), 1708-1742.
22. Velásquez, J. D., Franco, C. J., & Olaya, Y. (2010). Predicción de los precios promedios mensuales de contratos despachados en el mercado mayorista de electricidad en Colombia usando máquinas de vectores de soporte. Cuadernos de Administración, 23(40), 321-337.
23. Vickrey, W. (1961). Counterspeculation, auctions, and competitive sealed tenders. The Journal of Finance, 16(1), 8-37.
24. Wilson, R. (2002). Architecture of power markets. Econometrica, 70(4), 1299-1340.
25. Wolak, F. A. (2000). An empirical analysis of the impact of hedge contracts on bidding behavior in a competitive electricity market. International Economic Journal, 14(2), 1-39.
26. Wolak, F. A. (2003). Identification and estimation of cost functions using observed bid data: An application to competitive electricity markets (133-169). En M. Dewatripoint, L. P. Hansen & S. J. Turnovsky (Eds.), Advances in Economics and Econometrics: Theory and Applications (vol. 2). Cambridge University Press.
Anexos
Anexo 1. Prueba de la proposición 1
Demostración: Dado el supuesto 1, se tiene la condición 8. Las CPO del problema están dadas por la ecuación (7). Dada la condición 8, se tiene

Dado que los cambios marginales de los precios ofertados por las firmas afectan los resultados del mercado solo cuando su unidad establece el precio spot con una probabilidad positiva, la derivada de los beneficios esperados de la firma con respecto a los precios ofertados debe estar condicionada por ph = bij. Igualmente, se asume que la planta j de la firma i es despachada. Por otro lado, teniendo en cuenta que
, cuando ph = bij , e ignorando la parte de los beneficios correspondientes a los ingresos por ventas totales en contratos, se tiene

Dado que ph = bij , entonces la planta j de la firma i es despachada para producir energía con una determinada probabilidad. Esto significa que
, cuando la unidad j es despachada. Es decir, cuando ph = bij, cualquier combinación s posible en la cual la unidad j es despachada tiene una probabilidad positiva de salir despachada.
Se tiene entonces

Reorganizando los términos anteriores, se tiene

Notas
Notas de autor