Artículos
Is it rational for a large-retailer to sell an own-brand product similar to the branded product of a large manufacturer? A Vertical Product Differentiation Model
¿Es racional para una gran firma minorista vender un producto de marca propia, similar a uno etiquetado de un manufacturero dominante? Un modelo de diferenciación de producto vertical
Is it rational for a large-retailer to sell an own-brand product similar to the branded product of a large manufacturer? A Vertical Product Differentiation Model
Desarrollo y Sociedad, núm. 90, pp. 77-109, 2022
Universidad de los Andes

Recepción: 08 Octubre 2020
Revisado: 11 Julio 2021
Aprobación: 29 Diciembre 2021
Resumen:
Se investigan las condiciones que un gran minorista debe satisfacer, a fin de aumentar la calidad de sus productos-marcas propias, hacia un mayor número de abarrotes. El resultado principal del análisis muestra que la restricción en un esquema productor-distribuidor es relajada por una mayor relación calidad-costos de producción, bajo el supuesto de que la calidad de la marca propia es endogenizada. Otro hallazgo es que la producción total del manufacturero se mantiene, lo que se explica en que esta marca es demandada por consumidores con alta voluntad de pagar. Sin embargo, el precio del bien baja, por lo que la utilidad del manufacturero decrece, cuando la calidad de la marca propia se incrementa. Esto es consistente con el argumento de que el gran minorista mejora su capacidad de negociación, cuando vende un producto sustituto similar a la etiqueta del manufacturero, lo que impacta negativamente en el precio de este último producto.
Clasificación JEL: D4, L1.
Palabras clave: economía industrial, estructura de mercado, estrategia de la firma y desempeño de mercado.
Abstract:
A theoretical model was constructed to investigate the conditions that a large retailer must satisfy to increase the quality of the retailer-owned brands towards a greater number of groceries. The key result shows that the restraint given by a vertical integration scheme (producer-distributor) is relaxed for a higher quality-production cost ratio under the assumption of modelling with endogenous quality. Another finding is that the national brand´s production is not altered, which is explained by the fact that this brand is demanded by consumers with high willingness to pay for it. However, the wholesale price decreases and hence the manufacturer’s profit always falls as the quality of own brands rises. This is consistent with the argument that the retailer improves its negotiation capacity with the private manufacturer when it sells an own brand that is a close substitute for the manufacturer’s label, which always forces the wholesale price of the branded product down.
JEL Classification: D4, L1.
Keywords: Industrial economics, market structure, firm strategy and market performance.
1. Introduction
The number of retailer-owned brands labelled with the retailers’ name, that appear to be close competitors of the leading branded goods (also called national brands) has increased in the last 20 recent years. This is especially true for large supermarkets worldwide, where they are found extensively in categories such as grocery, frozen foods, and household and cleaning products. In contrast, in the pharmaceutical industry these are labelled generic drugs or branded generics and are found in the main- and mass-market therapeutic categories such as analgesics, antacids, and anti-inflammatory medication. In other markets such as large department and electronic device stores, the firms have focused on brands of inferior quality or low-technology devices (TV sets are good examples) under other brand names.
The common reasons behind supermarket and pharmacies’ development of these brands as discussed in the literature include taking advantage of a firm’s dominant position and reputation; negotiating better contracts with leading manufacturers; optimizing the use of the of the shelves; and enhancing customer loyalty and thus increasing profits (Grewal, Levy and Lehmann, 2004). In particular, the fact that a large retailer decides on the quality of its label has important implications for Interbrand competition, as the private label may be used as leverage to obtain better results from bargaining with manufacturers via strategies such as reduced wholesale prices, the imposition of a charge for shelf space and exclusivity contracts. The retailer may also put pressure on manufacturers to make own-brand products as a condition for selling the latters’ branded products. Examples of manufacturers producing retailer-owned brands are found in England, France, and Chile and include large firms such as Coca Cola, Findus, Kellogg and P&G. In the UK, some own brand products are also imported from countries such as China due to the enormous economies of scale available there in the production of agricultural goods and chemical products such as detergents.
According to Zhang (2010) and Pik yin and Yazdanifard (2014), the decision to create an own brand involves many factors including choosing the right product, developing the right price, choosing the right name, and deciding on the number of varieties. Tesco (UK), for instance, sells four different own brands. Zhang points out that retailers have a big advantage over manufacturers because they deal directly with consumers and hence have more information about their needs and can respond rapidly to satisfy those needs.
The most significant development of retailer-owned brands world-wide is observed in the supermarket industry. According to Nielsen (2020) (published by PLM´s world private label), retailer brands sustained their market share above 30% in Europe, where eight countries reached market shares above 40%; these are, Spain (49,7%), Switzerland (49,5%), United Kingdom (47,5%), Portugal (45,1%), Belgium (43,4%), Germany (43,1%), and Austria (42,7%). In Latin America, Colombia (17,0%), and Argentina and Chile with 13% stand out, meaning that there is a large niche in which own brands can increase their market share in the future.
It is worth mentioning that the Institute of European and Comparative Law, IECL (2008) predicted that the retailer owned brand had an average structural upper boundary of 45% market share, which was already surpassed marginally by the empirical evidence as was commented earlier.
In Latin America, and particularly in Chile, the development of these brands is strongly linked to the growing concentration of supermarket and pharmacy retail industries dominated by multinational firms such as Walmart, a US Supermarket that is present in Argentina and Brazil as well.
Own brand production has been entrusted to different-sized firms from small companies to leading multinational manufacturers that make high market-share products in the most competitive categories. The leading manufacturers have responded by differentiating their products via their packaging and formats and flooding the markets with new brands, pushing up the price of leading brands. They also negotiate more complex contracts to fix slotting allowances that reflect the importance of their goods on the shelves. There are various examples in which the conditions of these negotiations have changed over time, negatively impacting the relationships between manufacturers and large supermarkets. In fact, some cases have been reported to the competition authorities to control supermarkets fixing allowances or imposing arbitrary payment schemes.
In this context, we have written a theoretical paper to understand the interaction between store-named own brands and leading branded goods. The theoretical framework is based on a vertical product differentiation model combined with elements of bargaining power in a vertical control scheme. The model is constructed following Mussa and Rosen (1978) and Gabrielsen and Sørgard (2007) and taking some elements from Berges-Sennou (2006). The main purpose of our research is to create a framework to help us to understand the effect of own brands on large retailers, the branded good market, and manufacturers and discover whether it is profitable for a retailer to sell an own-brand product that closely resembles an existing brand. Some of these elements are also considered by Chambole, Cristin and Meunier (2015) and Chakraborty (2018). This literature which will be discussed later.
2. Literature Review
The literature about own brands can be divided into two areas. The first focuses on the analysis of bargaining power in upstream and downstream relationships (Bernheim and Winston, 1985; Dobson and Waterson, 1996; Motta, 2004; and Reisenger and Schnitzer, 2007). An extension of this theme is the evaluation of the types of contracts that regulate the relationship between manufacturers and retailers. The aim is to analyze the number of products that a market can bear, and how that relationship impacts social welfare. The second field of research is concerned with product differentiation models, which have been enriched by incorporating different assumptions about contracts. Its focus is on understanding the strategic effects of the competitive interaction between own brands and national brands (NB). This grouping, however, is restrictive, as some models are constructed using both approaches. Our model is an example of this as it is built from a vertical product differentiation model with elements of bargaining power in a vertical control scheme.
Analysis of bargaining power
First, there is a large body of research considering the vertical relationship between manufacturers and retailers and its extension to vertical restraints. The main focus of this field is analyzing the bargaining power in the upstream-downstream relationship and how this affects the final outcome and social welfare (see Bernheim et al., 1985, Dobson et al., 1996, Motta, 2004; Chambole et al., 2015; Dubois and Jullien, 2016).
Bernheim et al. (1985) and Motta (2004) provide theoretical models representing anticompetitive explanations derived from the vertical link. The first analyses the upstream-downstream relationship to represent the usual arrangement made by manufacturers to sell the good through a common agent. The main findings show that all decisions taken by manufacturers drive to a collusive equilibrium in prices pushed by a commission scheme to compensate the downstream firm. Motta (2004) uses common agency theory to show the potential anti-competitive effect produced when two manufacturers use the same distribution channel for their goods.
Chambole et al. (2015) extend the analysis of the large retailer that must decide on who to entrust the manufacture of its own brand. Retailers may either choose to integrate backward with a small firm (insourcing) or have a national brand manufacturer (outsourcing) produce its private label. The main result highlighted that the retailer increases its buyer power when it uses the insourcing strategy. In contrast, when the retailer contracts national manufacturers for production, this may create economies of scale that increase innovation.
Dubois et al. (2016) have looked at information technologies as a determinant of the quality of the retailer’s own brand. In this context, the retailer decides on product design, whereas issues related to manufacturing and distribution are part of the bargaining between retailer and producer. Their theoretical model shows that, when the distributor (i.e., large supermarkets) has more information about branding strategies, the quality decision must fall on this side. Retailers tend to be aware of producers’ asymmetric bargaining, and thus, that they must ensure a solid contract in order to keep a symmetric relationship between the parts.
Product differentiation models
Most product differentiation models that explain the interaction between brands have mostly been established by Bontems et al. (1999), Berges-Sennou et al. (2004, 2006, 2009) and Gabrielsen et al. (2007). Most of these models are intended to attempt to explain the strategic interaction between own brands and national brands, considering bargaining power and consumers loyal to the brands. Papers on such issues have been written by Chakraborty (2018) and Choi, Kim and Jung (2018) respectively. The first expanded the análisis by developing quantitative research to understand under what conditions the retailer acts as either a firm rival or a customer of a national brand and, the second, conducted research into a retail-level competitive environment where two retailers compete through their own store brands.
Bontems, Monier-Dilhan and Requillart’s (1999)’s pioneering paper recognizing the strategic effect caused by the entry of own brands, presents a model of a retailer-manufacturer interaction to study the impact of interbrand competition. The main result suggests that the wholesale price of branded goods may increase if the private label is a closer substitute.
Berges-Sennou, Bontemps and Requillart (2004) expand the previous analysis to measure the impact of the entry of own brands on retailers, affirming that it increases competition not only between brands but also between retailers. They argue that the role played by customers switching stores defines the outcome and profits for both retailers and national brand manufacturer. Then, Berges-Sennou (2006) constructs a generalized model considering bargaining power and loyal consumers by either store or national brand. The main goals of this study are to find the optimal number of products sold by retailers; how the retailer decides who to contract to produce its brand; how this decision affects the negotiation process with the manufacturer; and finally, how the contract scheme between manufacturer and retailer is used to negotiate the entry of the own brand.
One of the most important findings using this model is the role of store- and brand-switching consumers and the proportion of each group in the demand, as the retailer fixes its sales policy depending on how each group behaves. An increase in national brand loyalty can influence a retailer’s decision to introduce its own brand, which happens when store-switching consumers are numerous. The model also indicates that the retailer contracts own-brand production to a leading manufacturer with low bargaining power or failing that, to a competitive firm.
Berges-Sennou and Bouamra-Mechemache (2009) have expanded this research to investigate both retailers’ and national manufacturers’ decisions on retailer-owned brand production. They investigate the details of why a national brand manufacturer would be motivated to produce a private brand.
Gabrielsen et al. (2007) focus on low-quality supermarket-owned brands (exogenous quality) in their examination of why retailers choose not to introduce an own brand in some categories and how the new product affects the pricing of branded products. One of Gabrielsen et al.’s main findings is that the mere threat of launching a private brand may be sufficient to create a drop in the wholesale and retail prices of national brands. In contrast, when the own brand is introduced, the theory predicts higher prices for the national brand, which is reversed when the national brand has only a small market share or has little market coverage. The result associated with the composition of the demand shows that the greater the number of loyal consumers of the branded product, the higher its price increase will be when the own brand is introduced, as the manufacturer focuses on inelastic consumers. In contrast, when the market is highly fragmented with similar products, the new own-brand entry increases the competition, and the prices go down.
The same analysis can be applied to switching consumers, who abandon the branded product for the new own brand, pushing up the price of high-quality goods.
Davies et al. (2008) also use a vertical product differentiation model to simulate the effect of launching a product or suppressing one that is still under development. They are interested in how this situation affects the prices of incumbent products, as commonly observed in the pharmaceutical industry. The results are consistent with Gabrielsen et al.’s (2007) findings for the supermarket industry.
According to our knowledge, two papers have been published in the last three years based on a product differentiation framework: Chakraborty (2018) and Choi et al. (2018). Chakraborty developed quantitative research to understand under what conditions the retailer acts as either a firm rival or a customer of a national brand. He argues that this dual role allows the retailer to define different marketing strategies to encourage shoppers to choose between the retailer owned brand or national brand. The main results highlight that the pricing decision depends on the market share and profitability, which are affected by the strategies. He argues that when premium brand prices go up, retailer owned brands appear to offer better value.
Choi et al. (2018) constructed a multi-brand model under the assumption that there are two retailers competing through their own brands, which also sell a common national brand. This result found using theoretical model is that the retailer chooses the quality of its own brand products above the national brand when they interact on the shelves. On the other hand, clients tend to switch stores depending on the quality of each retailer’s own brand. The impact on the profit margin is based directly on the quality of the retailer’s own brand, which is connected to its production cost, meaning that the higher the quality, the higher the margin, and consequently the higher the production cost.
Other related topics
A topic that has been attracting much attention is the contract scheme based on slotting allowances. It is a good example of the application of dominance by a retailer (Foros and Kind, 2006), as previously modelled by Hamilton (2003) and Innes and Hamilton (2006). Studies by Berges-Sennou (2006) and Gabrielsen et al. (2007) have considered the contract scheme to look at the strategic relationship between own brands and branded products. So far, the main findings point to the fact that the manufacturer is worse off, as this pre-commits it to more aggressive quantity competition in the upstream market.
Finally, the research on retailer owned brands has extended to other topics, i.e., explaining what type of private label can be exported (see Blancharm Chesnokova and Willmann, 2017), and the role played by the production technologies associated to these goods, and how the use of environmentally friendly technologies can improve the retailer’s reputation and image (see Wu S., Wen S., Zhou Q., and Qin X., 2020)
3. The model
Large retailers have secured a dominant position in the industry which has affected not only the final prices paid by consumers but also their negotiations with manufacturers. We consider an interbrand competition model that combines elements of vertical product differentiation and bargaining power in a vertical market structure. The model follows a methodology like the one used by Gabrielsen et al. (2007) and contributes to the literature related to strategic effects between two vertically differentiated goods rather than a model of horizontal differentiation such as that of Berges-Sennou (2006). We assume that a monopoly retailer distributes two differentiated goods, i=1, 2 which are produced by two independent producers. Each product has different inherent qualities such that s1>s2, and the production costs are fixed (c1=c2).
Following Bontemps et al. (1999), we assume a linear price contract between retailer and manufacturers in the form Ti(qi)= Pwiqi, where Pwi denotes the wholesale price and qi the final quantity of products 1 and 2. According to Tirole (1988), much of the theory is concerned with schemes to fix prices, although vertical relationships involve more complex contracting arrangements. The choice of this type of contract supposes that firms prefer not to be involved in bargaining to set a fixed fee transfer due to either high transaction costs or asymmetry in their capacity to negotiate.
As stated earlier, there are two important differences here from the Gabrielsen et al. (2007) model. The model emphasizes the role of loyal consumers to define whether launching a low-quality good will be profitable, and the possibility of exclusivity. Initially, we consider equilibrium with full vertical separation, as denoted by the superscript vs. Then, we allow the introduction of a retailer’s own label through the backward vertical integration of product 2 by a large retailer. The superscript vi denotes this framework. Finally, we consider the retailer’s choice of whether to integrate and produce an own brand. The steps in this game are as follows:
In the first stage, the retailer decides whether to backward integrate with manufacturer 2. If it does, its product becomes a retailer-owned brand, otherwise the retailer continues as a distributor of both goods.
In the second stage, the independent manufacturers set the wholesale price.
In the third stage, the retailer sets prices P1 and P2.
For the sake of simplicity, retailer costs are assumed to be zero and quality is exogenous.
Demand specification and notation
We assume that each consumer can buy one unit of either product 1 or product 2. The final demand for each product depends on consumers’ valuation of their inherent quality, s1 and s2 respectively. Consumers willing to pay more for a higher-quality product buy product 1, while the others buy product 2.
We define θ as a taste parameter for quality such that
and assume a uniform distribution of consumer types. We suppose that a proportion of consumers is not served, as they are only willing to buy a given low-quality product at a lower price than that at which it is offered. The consumer utility for products 1 and 2 is given by Ui= θsi – Pi. Consumers do not try the good if Ui<0. Thus, they do nothing if θ< p/s. In sum, consumers decide which goods to buy depending on the price-quality ratio and hence demand is formed by switching consumers. One important difference outlined in the paper by Gabrielsen et al. (2007) is that those authors incorporate the assumption of the existence of loyal consumers who impact the demand function and allow the retailer to offer an exclusivity contract when demand comes mostly from this type of consumer.
To reflect our assumption that the quantity of the high-quality brand is exogenous, its quality is normalized to 1 (s1=1) and thus is defined as a lower-quality product, as given by the expression s2=s, such that s<1.
The switching consumer is indifferent to the difference between products 1 and 2. She is characterized by
where
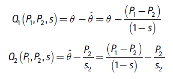
The demand for each product can be represented by the following linear expressions, which depend on prices and the inherent qualities of both products:

The retail demand functions for each good are downward sloping and show that the products are substitutes in prices
We discuss this later.
The first product has a positive demand Q1>0 when (1-s) > (P1 – P2). Note that we also require Q2>0 if product 2 is to have a positive demand. Next, we check the own elasticity and cross elasticity for each product and proceed to interpret this.
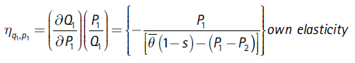
Elasticities for Q1
We first derive the elasticities for good 1. The values and their discussion are as follows:

Own elasticity depends on prices, the inherent quality of both products, and the upper bound of the test parameter for quality
must be negative, the denominator in this expression must be positive and so
, which is satisfied because of Q1 >0. Now we move to cross elasticity.

This elasticity is always positive and depends on the same expression as ηq1,p1.
Elasticities for Q2
We now proceed to analyze product 2.

As this expression must be negative, (P1 s– P2 )>0, it requires for P1s> P2. In the extreme case of maximum differentiation, if
which is inconsistent with εq2,p2,<0. Generally speaking, when
(minimum differentiation), the prices converge to the Bertrand solution. Next, we calculate the cross elasticity.

The condition to be consistent εq2, p1 is the same as above P1s> P2.
As a result, both own and cross elasticities for products 1 and 2 depend on the same parameters. Their values show that the denominators are the same, and thus the comparison depends only on the values of the numerator. In the case of product 1, own elasticity is always higher than cross elasticity as P1>P2. On the other hand, the own elasticity for demand and the cross elasticity for product 2 depend on the value of s, and thus, if quality s is higher, both elasticities are closer.
What should we expect of these elasticities? According to the literature those move first achieve a long-term competitive advantage over their followers. We posit that this principle is also satisfied in our case, and hence we believe that product 1 should be less elastic than product 2.
In the case of the cross elasticities, we believe that εq1, p2 should be higher than that for product 2 (εq2, p1) because the branded manufacturer, as the first to enter the market, has many advantages: for example, first mover status (a long-term competitive advantage), sunk costs (advertising), and technological leadership, among others, while the second label must bear switching costs to attract buyers from the incumbent. This, in turn, means that the cross elasticity of the branded good (product 1) is more elastic than that of the own brand.
4. Retailer as mere distributor
Now, we derive the equilibrium for the vertical separation framework. This is the standard way of comparing how the equilibrium is modified following vertical integration of product 2. Prior to developing the solution to interbrand competition, we suppose that the retailer simply distributes the high-quality brand to establish a baseline competition value. The outcomes are used to compare the impact of introducing a second good of lower quality on the outcome of the retailer and the manufacturers. Demonstrations and calculations are in Valdes (2013).
Next, we move to the interbrand competition scheme by introducing a low-quality good with quality s2=s.
Interbrand competition: vertical separation
Taking the wholesale price as given, the retailer sets its prices according to the following profit function:
[1]After substituting the demand functions, the first-order conditions for the retailer are given by the price equations shown below which depend on the inherent qualities as well as the wholesale prices.

Solving the equations reveals the retail prices as: 

By substituting these retail prices into each manufacturer’s profit function, the best reply functions are 
Solving these equations for markets 1 and 2 yields the equilibrium shown in Table below:

Proposition 1: By generating interbrand competition via the sale of a close substitute for the monopolistic product, the retailer affects the outcome of the monopolist manufacturer of a high-quality brand. The manufacturer is always worse off when a competitor enters the market.
Proof: Before proving it, we return to the monopoly outcome to measure how the high-quality good is affected by the introduction of a low-quality good. Due to interbrand competition, we would expect the price of the branded product to go down and hence the demanded quantity to increase. In both cases, there is a double marginalization because the product is distributed by the retailer. However, in the separating solution, the retailer strengthens its position with respect to the branded manufacturer because the introduction of an imperfect substitute allows it to negotiate a better contract with the monopolist. We initially suppose that c1=c2=c. The table below summarizes the comparative equilibrium for product 1.

Drawing on the values shown in the table, we will demonstrate whether

Below, we verify this:
Proof: P1m > P1vs . The main restraint of this condition is given by 3s/(2+s) > c, which is the same as s>2c/(3-c). The latter is always satisfied and thus: P1m > P1vs
Proof: Q1m < Q1vs Replacing the values from the table above, the inequality is (1-c) < (2-c)/(4-s). Rearranging it, c(s-2)<s. This inequality can be expressed as -2c< s(1-c). The second term varies in the range 0<s(1-c)<1, because s≤1, c<1 and
,the inequality is always satisfied and hence Q1m <Q1vs.
Proof:
From the values of the wholesale prices shown above, we need to prove the conditions that make it possible to satisfy the following inequality, ½ +c/2>2(1-s+ 3/2 c)/(4-s). Rearranging the latter algebraically, we find that 3s > c(2+s), which in turn is equal to 3s/(2+s) >c. This inequality is the same as the price expression seen above, which is always true, and hence 
Based on these expressions, we have proved that the final outcome of the branded manufacturer always drops with the entry of a competitor.
Next, we analyze the vertical separation outcome shown in Table 1. What do these equations say about relative prices and market share?
Based on the above, we verify whether
under the assumption that c1=c2=c. Looking at the results, we have Pvs1 equal to or higher than Pvs2 ; and the market share of product 1 is always higher than that of product 2 and
Our results are consistent with our beliefs (posited earlier), that by being the first to enter the market the branded product enjoys advantages over the lower-quality good introduced later by the retailer.
The entry of the retailer-owned brand by vertical integration
Next, we develop the case of vertical integration. The retailer’s price-setting problem is given by the equation written below in which product 2 is a retailer-owned brand.
[2]On the other hand, manufacturer 1 chooses the wholesale price by optimizing the following expression:

The first order conditions for the retailer are written as:

Solving the system of equations yields that the retail prices are: 
Note that the prices of both products behave as we would expect; that is, in direct relationship to their production cost and the products’ inherent quality.
These prices are substituted in the final quantity of product 1 to obtain the independent manufacturer’s profit function. By choosing
, the optimal wholesale price is 
The wholesale price depends not only on the production cost and inherent qualities of the product, but also directly on the production cost of product 2. Indeed, the theoretical fact of avoiding the double marginalization of the decentralized solution also impacts the independent manufacturer, as they are strategic goods. The table below summarizes the partially integrated own-brand equilibrium:

Based on the above, we posit that
when c1=c2=c, because the first product has a higher (or equal) quality to that of product 2.
Proof:
Rearranging the equation for each one, and omitting the denominator because of equal values, we obtain
and
,In this case, all that is needed is to compare the first term of both equations. As 
What about the market share for vertical integration when c1=c2=c? We expect the branded product to have a higher market share because it has the advantage of being the first mover in the market, even in the scenario where the retailer has a better position as a consequence of selling an own-brand that is a close substitute for the first brand. To prove this, we define Qtas the total market production of product Qtαi = Qi /Qtas the market share for product i, where i=1, 2 and 
1Prior to calculating how the market is shared after integration, we need to calculate total production. It is Qtvi = 1/4+1/4(2-s)/s = (s-c)/2s, from the expressions in Table 3. Hence, the market share functions are α1 = s /[2(s-c)] and α1= (s-2c)/[2(s-c)]. As a result, we expect that α1 > α2
Lemma 1: If c1=c2=c, α1<α2 because it depends on the inherent quality of both labels, whereas the market share of the own brand depends on the difference, given by (s-2c).
Proof: From the values of α1 and α2 above, we can see that the denominators are the same; we therefore need to compare the numerators of those expressions. They are s and
the market share satisfies α1<α2
Comparative analysis of separating and integration solutions
The table below sums up the retailer outcomes for both cases assuming that c1=c2 =c, even though the products have different qualities. Restrictions to the profitability of both goods are shown.

Table 4 shows the restraints given by
which are related to the values taken by the production cost and the products’ inherent quality. For both, this must satisfy the condition c<s/2. Thus, the production cost has an upper bound of 1/2 when s=1 and any value higher than or equal to (c ) will make selling both products together unprofitable.
Lemma 2: If c1=c2=c, the necessary condition for the low-quality brand to exist with positive demand under an interbrand competition framework is c<1/2. If c>1/2 the retailer earns positive profits selling just one of the goods.
Proof: The proof follows from the results summarized in Table 4. The lemma requires that Q2>0 and P2>0. As seen above, the quantities are positive for both the integrated and the separated solutions when c<s/2. On the other hand, if Q2>0, P2 is always satisfied (P2>0).
Product 1
Lemma 3: If c1=c2 =c, the impact on the price of product 1 is ambiguous as it depends on the values taken by the production cost c and the products’ inherent quality, s); that is, when the production cost approaches zero, the price goes up for any inherent quality in the range (¼, 1). If the quality is lower, the price declines. When the production cost moves towards ½, the consumer price decreases after integration. The wholesale price also moves according to the same rule.
Lemma 4: If c1=c2 =c, the quantity of product 1 always decreases after integration.
Proof: We define
This can be demonstrated by contradiction. If we suppose that
after integration, then, taking the difference from Table 4,
we obtain the condition to expand the quantity, which is c>s/2. However, to make the entry of the retailer-owned brand profitable we need c<s/2, then 
Product 2
Lemma 5: If c1=c2 =c, the price of the retailer-owned brand varies depending on the values taken by the production cost and the products’ inherent quality. That is, if
the price falls if s takes any value in the range (0, ¼), while it goes up for any quality higher than ¼. In contrast when
the price always goes down.
Proof: We define
The lemma requires that ΔP2>0. Thus, taking the difference, we obtain a quadratic inequality equivalent to s2- s(1+2c)+2c>0, whose solution is the same as that of lemma 2.
Lemma 6: If c1=c2 =c, the quantity of product 2 increases after integration if c<s/2.
Proof: We
The lemma requires that
Thus by taking the difference we obtain the following condition, calculated in part c of the appendix: (s-2c)(2-s)>0, which requires that s1/2>c or s2<2. As s2 is not restrictive 
Proposition 2: Backward integration is profitable if the production cost and the products’ inherent quality satisfies the conditions given in lemmas 3, 4, 5, and 6.
Proof: See lemmas 3, 4, 5 and 6.
What can we say about the intuition behind this proposition? In general, both goods behave as strategic complements. As shown earlier, the final prices of good 1 and good 2 and the wholesale price of good 1 move together increasing or decreasing depending on the products’ inherent quality and production costs. On the other hand, the quantity restraints show that they are substitutes (lemmas 4 and 6); that is, the quantity of product 1 decreases if c<s/2, while the quantity of product 2 rises in the latter range.
We now characterize how c and s affect both quantities and prices. If c1=c2
the market share for both is the same after integration (Q1=Q2=1/4). That is, if both products have a low cost, the main benefit of avoiding double marginalization is that it increases the own brand’s market share to approach or equal that of the higher-quality product. In sum, the introduction of a low-cost retailer-owned brand makes it possible to satisfy a greater number of consumers. If
product 2’s market share drops. In an extreme case, this good does not exist if c=1/2.
Even though prices move in the same direction, final prices depend on the products’ inherent quality. If the inherent quality is low (s<1/4), the prices go down. If s>1/4 (lemmas 3 and 5). Complementarily, the price of both products always falls after integration if the production cost approaches the upper bound
In sum, the most robust implication in this case is related to the existence of the own brand.
Lemma 7: If
, the necessary condition for the own brand to exist with positive demand is given by s>1/2. If s<1/2, P <c. On the other hand, the price of product 1 varies between (3/4, 7/8) depending on the s values in the range (½, 1).
Proof: As shown in Table 4, the prices approach the following values: 
We require that
Hence rearranging this term, s>1/2. As a result, the price of product 1 moves in the range (3/4, 7/8) because s moves in the range (½, 1).
Proposition 3: If the quality is exogenous and the production costs are 
the high costs are a barrier to entry for the retailer-owned brand. As a result, it is only profitable for the retailer to sell own-brand products of close or similar quality to that of the high quality products. This implies that only low-quality independent brands will be profitable for the retailer.
Proof: Based on lemma 7, we can see that if the goods are highly differentiated (s<1/2) the own brand does not exist as P2 <c=1/2, and hence the necessary condition for the own brand to exist is s>1/2, which in turn, means less differentiation between the products. On the other hand, the products cannot be identical as the market would be served only by the independent brand. That is, 
5. Endogenous quality of the own brand
Next, we allow the retailer to choose the quality of its own brand. Consistent with lemma 2, we assume that
The aim here is to investigate whether there is any combination of higher quality and production cost that justifies retailers’ strategy of matching the quality of their own brands to those of the branded products.
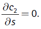
We assume that improving the quality of the own brand affects only the retailer’s fixed cost as it involves investment in R&D. In other words, the retailer can increase the inherent quality of its product without altering a given production cost in order to maximize the total profit.
First, let (s*, c*) denote any combination of quality-production costs of product 2 such that s<s*≤1 and 0≤c*≤1/2. Hence π* denotes the retailer’s total profit after improving the quality of product 2.
Next, we check whether π*>πvi for at least one combination quality-production cost within the space defined in lemma 2, i.e. c<1/2.
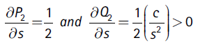
Before calculating π*, we analyze the strategic effect on each variable when the inherent quality s changes marginally. On differentiating the equilibrium of the vertical integration solution, we find the following direct and crossed effects. For convenience, we begin by explaining the effect on product 2.
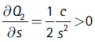
Direct effect on market 2:
The own brand’s strategic effects caused by increasing s are as follows:

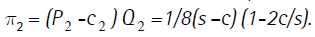
Lemma 8: If c1=c2 =c, any quality improvement of the retailer-owned brand is profitable as it triggers both higher prices and more production.
Proof: The retailer’s profit is given by (P2 - c2) Q2 . By differentiating the profit margin, we obtain
which is always positive because we assume that
Complementarily, the first derivative of the quantity under vertical integration is given by
because (c, s) >0, and hence the effect is always positive.
The explanation behind this finding is as follows: if we assume that inherent quality rises by 10%, the price effect is given by 
Complementarily, as
the profit from the own brand, rises by 5% times the magnitude of the increase in quantity.
Next we check for any previous condition that will satisfy lemma 8. From the equations shown in Table 4,
The first-order condition is
The critical value is given by
which implies that profit increases if
As in the second derivative,
and hence the critical value corresponds to a minimum value of s.
Proposition 4: With endogenous quality, the expansion of the own-brand industry depends on the efficiency of production of different type of goods in term of quality.
Proof: From the last paragraph of lemma 8 we know that
which in turn, means that the expansion of the retailer-owned brands is subject to a restraint, given by the ratio
If this condition is not satisfied for a particular good, the best solution for the retailer is to hold the quality at the same level as it was sold by the decentralized scheme or after integration.
Cross effect on the market 1:
The strategic effects on product 1 are obtained from the differentiating equations shown in Table 4. They are as follows:

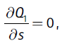
Lemma 9: If c1=c2 =c, the cross effect of a marginal increase in the own-brand’s inherent quality is beneficial to the retailer, as the profit from selling the independent product rises.
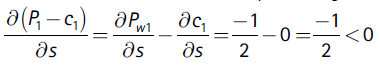
Proof: The retailer’s profit is given by (P1 -Pw1 )Q1, where the first term corresponds to the profit margin. By differentiating it with respect to s, we obtain 
Complementarily, the quantity is fixed
and hence the final effect is always positive.
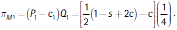
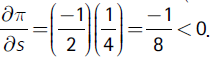
Lemma 10: If c1=c2 =c, the independent manufacturer is worse off after improving the inherent quality of the retailer-owned brand as its profit always drops.
Proof: As shown in Table 4, the manufacturer’s profit is given by by (Pw1-c1)Q1. By differentiating 
As the quantity is fixed, the manufacturer’s profit goes down.
We now quantify the amount by which the manufacturer’s profit falls. Using the equations shown in Table 4,
The first derivative is
This means that for each 10% of higher inherent quality of the own brand, the manufacturer’s profit drops by 12.5%.
How can we explain the last two lemmas? If we assume that s rises by 10%, based on lemma 9, the impact on the retailer’s profit margin is equal to 
As the quantity is fixed, the retailer always increases the profit of this good by the latter percentage even though the consumer price falls due to the strategic effect of the introduction of a high-quality good.
This is explained by the fact that the wholesale price goes down by a greater magnitude that more than compensates for the lower final price. We now show the impact on the manufacturer: 
Proposition 5: Even though the monopolist retailer must decrease the price of the high-quality good, it always increases the profit on selling this product when launching a high-quality own brand, the introduction of which is used as a tool to secure lower wholesale prices in negotiations with the independent manufacturer.
Proof: Demonstrated in lemmas 9 and 10.
The intuition behind this proposition is as follows. The monopolist retailer always takes advantage of its strategic position as a distributor as well as a competitor with independent manufacturers, who must reduce the wholesale price and transfer part of its surplus to compete vis-a-vis with a similar retailer-owned brand.
6. Impact on total profits
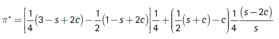
Next, we illustrate the impact on total profit, written as:

By substituting the values shown in Table 4, the total profit becomes:

Rearranging this equation, the retailer sets the quality by optimizing the total profit.

Differentiating this expression with respect to s, the first order condition
where the second derivative is < 0.
Thus, total profit increases when
and the critical value is obtained when
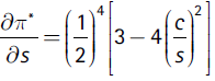
We define the value of s as 
To prove that c is a maximum we obtain the second derivative of π*. Its value is given by
which is always negative as the term 3-4 (c/s)2>0 or c< s
the same condition as before. Moreover, s has an upper bound of 1,
which is an upper bound for the production cost.
On the other hand, we know that c<1/2 (lemma 2) for the vertical integration solution and comparing this with the production cost for the endogenous quality solution shows that the new restraint is less restrictive in relation to the exogenous quality solution.
Lemma 11: If c1=c2 =c, it is always profitable for the retailer to enhance the inherent quality of the own brand competing with other brands as long as the relationship between the production cost and inherent quality is 
Proof: From the first-order condition above, the restraint to the profitability of increasing of the own brand’s inherent quality is
which implies that 
Proposition 6: When the retailer can define the quality of its own brands, it can sell own-brands in other product categories or expand the scope of products within a category, as the after-integration restraint given by lemma 2
is relaxed by the new restraint shown in lemma 11
As a result, the own-brand industry is profitable for a greater range of goods whose production costs and inherent quality falls in the range 
Proof: We are now able to prove the most important result. Figure 1 illustrates different combinations of inherent quality s in the independent product and the retailer-owned brand, and production costs under exogenous and endogenous quality. The dotted line represents the upper bound of the low-quality goods after integration (R1), whereas the continuous line depicts the new upper bound assuming that the retailer decides the quality of its product (R2). Thus, as a direct consequence of discretionally improving the quality of the own brand as explained in lemma 11, the retailer can expand its own brands into a greater number of products with a less restrictive quality/production cost ratio (R1< R2). All new possible combinations of quality-production costs in the new scenario are given by the area between the dotted line and the continuous line in the figure below 

How can we interpret this expansion toward new combinations of quality and production costs? In the vertical integration solution with exogenous quality, the retailer has an upper bound equivalent to c<1/2 (s=1, the same quality as product 1) to get Q2 >0. Now this solution is relaxed to 
In other words, if the retailer wishes to equalize the quality of product 1, it could introduce this good at a higher cost because the profits in equation 1 will be positive. This means that for a given quality level, the retailer is able to launch goods that are more expensive than those introduced under vertical integration, and, as a result, the industry is open to the entry of more goods.
7. Discussion and concluding remarks
This research expands current knowledge on how own-brand goods affect the outcomes of large retailers, the manufacturers of branded goods, and consumers. Most theoretical and empirical research has focused on discussing the low-quality own-brand industry. The dynamic entry of own brands that appear to be close substitutes for branded goods has motivated an exploration of the effect that this type of good is having on large retailers’ competition strategies.
The model predicts important findings. After integration of the own brand by the retailer, the price of the branded good goes up when the own-brand production cost tends to zero and the inherent quality of the own brand is greater than 25% of that of the branded good. In contrast, if the percentage is lower than 25%, its entry negatively affects the price of the branded good.
The results also show that the wholesale price of the branded product moves according to the same rules as the consumer price of branded products (25% products’ inherent quality) discussed in the paragraph above. In contrast, Bontems et al. (1999) affirm that the strategic effect of the entry of own brands suggests that the wholesale price of branded goods may increase if the own-brand product is a closer substitute of the leading brands.
One of the most important findings is that increasing the quality (endogenous solution) allows expansion towards a greater number of products on the shelf as post-integration restraint is relaxed by a higher quality-production cost ratio. This suggests that the expansion and diversification of own brands into other categories is feasible as its development does not extend to all grocery products, which would validate the opinion of the Institute of European and Comparative Law (2008) that own brands can grow in terms of their position in the markets until they reach an average structural upper boundary of a 45% market share.
We can see that the impact of higher inherent quality of the retailer-owned brand has a negative impact on the price of the branded good, as both labels become close substitutes for each other, in comparison to the initial situation where the quality of the own brand was exogenous. This means that the degree of competition increases with the quality of the own brand. The model also shows that the total production of the branded good is not altered, which can be explained by the argument that this brand is demanded by consumers with high willingness to pay for it.
The fact that the retailer defines the quality of its own brand could impact its price by 50%, which is explained by its higher quality for a constant production cost. The effect on quantity, on the other hand, is directly proportionate to the total cost, but inversely proportional to the square of the level of the inherent quality of this label in comparison to that of the branded good.
We also found that the effect on the retailer’s profit goes up if the ratio c/s <3/4, an expression that represents an upper bound of the relationship between the production cost and the inherent quality of the own brand.
These findings are economic arguments that reject the complaints of some manufacturers, who argue that the strategy of developing of own brands that take the same name as the store is a tool that supermarkets use to abuse the former’s dominant position in order to negotiate better conditions. However, the model shows that the increased competition caused by the entry of own brands does affect the manufacturers negatively as their profits always drop. However, the production of own brands only makes sense for the types of goods that satisfy the quality-production cost restraint discussed previously, as the most competitive manufacturers can continue to enjoy their dominant position by producing goods that the retailer-owned brand industry cannot match.
On the other hand, the model has some limitations which limit the scope of our results. First, it is restrictive in the sense that it sets a linear price contract, which can be unrealistic in the sense that slotting allowances are common in this industry. However, we believe that the incorporation of this assumption does not invalidate our results. Gabrielsen et al. (2007) argue that the introduction of own brands affects the retailer-manufacturer negotiation in the same way. In contrast, authors such as Berges et al. (2009) incorporate a fixed component that denotes the relative bargaining power between the manufacturer and the large retailer. Secondly, the vertical product differentiation model restricts the analysis of how retailers compete nowadays. Nevertheless, it does provide good information about how goods of different quality interact. The weakness of this type of model is that firms compete based on not only inter-brand competition but also other facilities or attributes that we have not included in our considerations.
Finally, it is important to mention that the research into own-brand products is ongoing as the large retailer industry is more concentrated and thus, competition is more aggressive over time. As a result, the investigation has expanded to include different strategies used by the firms. The recent research has focused on understanding what type of private label can be exported, the role played by production technologies in making manufacturing more efficient, and how the use of environmentally friendly technologies can improve the reputation and image of the retailer. In terms of regulatory policy, this too is an issue that worries the authorities, as demonstrated by new regulations that affect the industry in Europe and Latin America (see United Nations Conference on Trade and Development, 2016).
Agradecimientos
The authors did not receive funding from any institution to carry out this study. We thank two anonymous reviewers whose comments have greatly improved this manuscript. Any remaining errors and omissions are our own.
References
1. Berges-Sennou, F., Bontemps, P., and Requillart, V. (2004). Economics of private labels: a survey of literature. Journal of Agricultural and Food Industrial Organization 2: 1-23.
2. Berges-Sennou, F. (2006). Store loyalty, bargaining power and the private label production issue, European Review of Agricultural Economic, Vol.33(3), 315-35.
3. Berges-Sennou, F. and Bouamra-Mechemache, Z. (2009). Is producing a private label counterproductive for a branded manufacturer? European Review of Agricultural Economics 1-27.
4. Bernheim, B., and Winston, M. (1985). Common marketing agency as a device for faciliting collusion. Rand Journal of Economics. Vol 16, No2, Summer 1985.
5. Blanchard, E., Chesnokova, T., and Willmann, G. (2017). “Private labels and exports: trading variety for volume,” Review of World Economics (Weltwirtschaftliches Archiv), Springer; Institut für Weltwirtschaft (Kiel Institute for the World Economy), vol. 153(3), pages 545-572, August.
6. Bontemps, P., Monier-Dilhan, S., and Requilart, V. (1999). Strategic effect of labels. European Review of Agricultural Economics 26: 147-165.
7. Chakraborty, R. (2018). “Do Retailers Manipulate Prices to Favour Private Label over Brands?,” Working Paper series, University of East Anglia, Centre for Competition Policy (CCP) 2018-02, Centre for Competition Policy, University of East Anglia, Norwich, UK.
8. Chambolle, C., Christin, C., and Meunier, G. (2015). “Optimal Production Channel for Private Labels: Too Much or Too Little Innovation?,” Journal of Economics & Management Strategy, Wiley Blackwell, vol. 24(2), pages 348-368, June.
9. Choi, J., Kim, T., and Jung, S. (2018). “Sustainable Decision Making for Store Brand Product,” Sustainability, MDPI, Open Access Journal, vol. 10(11), pages 1-14, October.
10. Davies, S., and Lyons, B. (2008). Mergers and merger remedies in the UK. Remedies adopted in pharmaceutical mergers. Appendix: An experimental simulation model of vertical differentiation, 233-237.
11. Dobson, P., and Waterson, M. (1996). Vertical restraints and Competition Policy. December 1996. Research Paper 12. Office of Fair Trading.
12. Dubois, P., and Jullien, B. (2016). “Product design and decision rights in vertical structures,” Research in Economics, Elsevier, vol. 70(4), pages 558-568.
13. Foros, O., and Kind, H. (2016). Do slotting allowances harm competition? Available in https://www.idei.fr/sites/default/files/medias/doc/conf/fpi/papers_2006/kind2.pdf
14. Gabrielsen, T., and Sørgard, L. (2007) Private labels, price rivalry, and public policy, European Economic Review Volume 51 (2), February 2007, 403-424.
15. Grewal, D., Levy, M., and Lehmann, D. (2004). Retail Branding and Customer Loyalty: An Overview. Journal of Retailing 80(4). December 2004.
16. Hamilton, S. (2003). Slotting allowances as a facilitating practice by food processors in wholesale grocery markets: profitability and welfare effects. American Journal of Agricultural Economics 85, 797– 813.
17. IECL, The Institute of European and comparative law (2008), University of Oxford.
18. Innes, R., and Hamilton, S. (2006). Naked slotting fees for vertical control of multi-product retail markets. International Journal of Industrial Organization. Volume 24 (2), March 2006, 303-318.
19. Motta, M. (2004). Competition Policy: Theory and Practice, 358-362.
20. Mussa, M., and Rosen, S. (1978) “Monopoly and Product Quality”, Journal of Economic Theory 18, 301-317.
21. Pik yin, Ch., and Yazdanifard, R. (2014). Brand marketing; How-to brand-new products through online advertising in Ne Economy. Available in https://www.researchgate.net/profile/Chew-Pik-Yin
22. Plma´s world private label (2021). Private label today. Available in https://www.plmainternational.com/industry-news/private-label-today
23. Reisinger, M., and Schnitzer, M. (2007). A model of vertical oligopolistic competition. Working paper. University of Munich.
24. Tirole, J. (1988). The theory of industrial organization, chapter 2.
25. United Nations Conference on trade and development. (2016). Enforcement of competition policy in the retail sector: Competition issues in the food retail chain. See https://unctad.org/system/files/official-document/ciclpd38_en.pdf
26. Valdes, I. (2014). Doctoral thesis: Price, quality Retailer owned brands (2013). Available in https://ueaeprints.uea.ac.uk/47961/1/final_thesis_31102013.pdf
27. Wu, S., Wen, S., Zhou, Q., and Qin, X. (2020). “Coordination of Store Brand Product’s Green Supply Chain Based on Negotiation,” Sustainability, MDPI, Open Access Journal, vol. 12(9), pages 1-25, May.
28. Zhang, J. (2010). Research on the own brand marketing strategies of retail enterprises in China. Asian social sciences, Vol 6, No 9, September 2010.