Artículos
Recepción: 07 Julio 2021
Aprobación: 08 Octubre 2022
DOI: https://doi.org/10.13043/DYS.93.2
Resumen:
Las remesas internacionales desempeñan un papel fundamental en el gasto de los hogares. El propósito de este artículo es estimar el impacto de dichas transferencias en los gastos en salud y la carencia por acceso a los servicios de salud en los hogares mexicanos en el ámbito nacional, rural y urbano. Empleando la técnica de
propensity score matching nuestros resultados sugieren que las remesas contribuyen a disminuir la carencia e incrementan los gastos que los hogares realizan en salud, aunque dichos efectos se concentran en cuestiones de atención ambulatoria. En el plano subnacional se identifican mayores efectos en el gasto de las zonas rurales y una reducción más pronunciada en la carencia en las áreas urbanas. Estos hallazgos permiten sugerir medidas de política orientadas a mejorar el acceso de los servicios de salud, lo que podría impulsar la inversión de las remesas en actividades más productivas.
JEL: F24, I0, C21, O18
Palabras clave: Remesas, salud y bienestar, propensity score matching, zonas rurales y urbanas, México.
Abstract:
International remittances represent a fundamental role in household expenditures. The purpose of this article is to estimate the impact of these transfers on health expenditures and the lack of access to health services in Mexican households at national, rural, and urban levels. Using Propensity Score Matching techniques, our results suggest that remittances contribute to reducing the lack of access to health services and increasing households’ health expenditure, although these effects are concentrated in outpatient care issues. At sub- national level, the impact of remittances is highlighted, with higher positive effects on health spending in rural areas and a more pronounced reduction in the lack of access to health services in urban areas. These findings make it possible to recommend certain policy measures aimed at improving access to health services that could boost the investment of remittances in more productive activities.
JEL: F24, I0, C21, O18
Keywords: Remittances, health and well-being, propensity score matching, rural and urban areas, Mexico.
Introducción
El crecimiento y desarrollo de las naciones están estrechamente relacionados con las capacidades de los individuos ( Hendricks y Schoellman, 2018; Nussbaum, 2011). La teoría del capital humano postula que la educación y la salud son ejes torales del desarrollo económico, ya que fortalecen y potencian las habilidades de las personas, permitiéndoles mejorar su productividad y sus niveles de bienestar ( Ogundari y Abdulai, 2014; Ogundari y Awokuse, 2018; Schultz, 1995). Por tanto, si un gobierno busca promover el bienestar de su población, uno de sus principales retos consiste en brindar servicios de salud asequibles y confiables, mediante los cuales los ciudadanos puedan desarrollarse de manera óptima. En el caso de México, se han registrado importantes avances en la cobertura de servicios de salud en la última década ( Gómez- Dantés y Frenk, 2019). Las estimaciones del Consejo Nacional de Evaluación de la Política de Desarrollo Social (Coneval) muestran que en la población mexicana la carencia por acceso a los servicios de salud disminuyó 22.2 % entre el 2010 y el 2018 ( Coneval, 2019a) 7. Algunos autores afirman que este logro está íntimamente vinculado con las políticas públicas implementadas en materia de salud ( Canto, 2019; Gutiérrez et al., 2019 ).
A pesar del avance en la cobertura del acceso a los servicios de salud, el Coneval (2019a) señala que en 2018 aún 20.2 millones de personas no contaban con acceso a servicios de salud. También persisten marcadas disparidades regionales que deben ser consideradas, ya que algunas zonas geográficas con mayor vulnerabilidad en México se están quedando rezagadas en cuestiones de infraestructura y número de médicos, elementos clave para proveer este servicio ( Huffman y van Gameren, 2019). Por su parte, la Organización para la Cooperación y el Desarrollo Económicos (OCDE) indica que el gasto sanitario y la cobertura de servicios de salud en México se encuentran entre los más bajos de los países miembros de esta organización ( OCDE, 2019). Lo anterior propicia que los hogares compartan esta responsabilidad y que en ocasiones deban destinar una parte considerable de su ingreso para atender cuestiones de salud ( Díaz-González y Ramírez-García, 2017). Por ejemplo, el gasto de bolsillo que hicieron los hogares mexicanos en 2017 representó el 41 % del gasto total en salud ( OCDE, 2019). Una fuente de ingresos a través de la cual los hogares han podido obtener recursos para afrontar distintos gastos en salud es la recepción de remesas internacionales 8. Según datos recientes del Mexican Migration Project 9 (MMP170), dos de los principales rubros en los que las remesas se gastan son alimentación (31.5 %) y salud (16.7 %). Así mismo, diversos estudios académicos concluyen que las remesas impactan positiva y significativamente el gasto que los hogares realizan en materia de salud ( Amuedo-Dorantes y Pozo, 2011; Díaz-González y Ramírez-García, 2017; González-Block et al., 2013 ; Reanne et al., 2009 ; Valero y Treviño, 2010).
El objetivo general de esta investigación es estimar el impacto de las remesas en los gastos en salud que los hogares de México realizan, considerando la información en tres niveles de agregación: nacional, rural y urbano. En particular, se busca estimar dichos efectos en: (i) los principales rubros de gastos en salud; que se dividen en gastos totales, ambulatorios, hospitalización y medicamentos sin receta; (ii) la proporción del gasto en salud con respecto al gasto total; y (iii) la carencia por acceso a los servicios de salud. Lo dicho pretende identificar las necesidades específicas en cuestiones de salud que la política pública no ha atendido y, por tanto, los hogares receptores tienen que destinar mayor parte de sus remesas en atenderlas.
Empleando técnicas de propensity score matching (PSM) e información de la Encuesta Nacional de Ingresos y Gastos de los Hogares (ENIGH) de los años 2010 y 2016, la presente investigación pretende contribuir a la discusión del impacto de las remesas en los gastos de salud en cuatro aspectos fundamentales. En primer lugar, determinar si las remesas modifican los patrones de gasto que los hogares ejecutan en salud, tanto en monto como en proporción, e identificar las categorías específicas de gastos en salud en donde los efectos son mayores. El identificar tales rubros permitirá que los tomadores de decisiones mejoren la eficiencia de los sistemas de servicios de salud al establecer políticas públicas enfocadas a las necesidades concretas de los hogares.
La segunda contribución se centra en analizar el vínculo entre la recepción de remesas y la carencia por acceso a los servicios de salud. A pesar de que distintas investigaciones han señalado que las remesas tienen un efecto positivo en los gastos en salud ( Amuedo-Dorantes y Pozo, 2011; Berloffa y Giunti, 2019; Cuadros-Meñaca, 2020), a la fecha no es posible identificar algún estudio que explore esta relación. En este sentido, nuestro artículo contribuye mostrando evidencia empírica inédita que ayuda a identificar el impacto que las remesas tienen en esta carencia.
En tercer lugar, se efectúan estimaciones en un plano subnacional, lo que permite resaltar la heterogeneidad de los efectos en cada rubro a los distintos niveles de desagregación del análisis. Si bien existen estudios que identifican el impacto de las remesas en gastos de salud para el caso mexicano, algunos lo hacen por rubros a un plano nacional, mientras que otros solo consideran los gastos agregados a una escala subnacional ( Amuedo-Dorantes y Pozo, 2011; Reanne et al., 2009 ; Valero y Treviño, 2010). Hasta ahora no se identificaron trabajos que aborden el impacto de las remesas en rubros específicos de gastos en salud a un escenario subnacional. Así, el presente documento sería el primero en su tipo que integre ambas dimensiones.
Por último, la identificación de los impactos antes mencionados se efectúa con información representativa en los distintos niveles de análisis (nacional, rural y urbano) para dos años de estudio, 2010 y 2016. La literatura que en el contexto mexicano examina los impactos de las remesas en los gastos en salud emplea diferentes perspectivas metodológicas y diversas fuentes de información; sin embargo, estas investigaciones coinciden en hacer uso de información solo para un año de estudio ( Amuedo-Dorantes y Pozo, 2011; Díaz-González y Ramírez-García, 2017; González-Block et al., 2013 ; Reanne et al., 2009 ; Valero y Treviño, 2010). Con el propósito de expandir esta limitante, nuestro estudio incluye estimaciones aplicando la misma metodología y estrategia para dos años con la finalidad de obtener evidencia más permanente y robusta de los efectos estimados. La selección de estos años responde a la intensión de explorar los impactos de las remesas en nuestras variables de interés considerando contextos económicos que podrían influir y por ende sesgar nuestros hallazgos. Por un lado, el impacto que la crisis económica mundial de 2008-2009 tuvo en la recepción de remesas de México y que se reflejó en la información contenida en la ENIGH 2010. Por otro, los datos de la ENIGH 2016 incorporan la franca recuperación en la recepción de las remesas que inició desde el 2014 y que por primera vez en el 2016 se captaron cerca de los 27 mil millones de dólares. El contraste de los resultados en ambos años de estudio permitirá reseñar de manera más nítida los impactos de las remesas ante situaciones que responden a diferentes entornos económicos.
Los principales resultados de esta investigación muestran que las remesas impactan positivamente en los gastos en salud y la proporción del gasto destinado a salud, tanto en el ámbito nacional como en los sectores rural y urbano; así mismo, disminuyen la carencia por acceso a los servicios de salud en los hogares mexicanos. Sin embargo, es posible reconocer impactos diferenciados en los distintos rubros de gastos en salud, siendo los gastos en atención ambulatoria donde se observan los mayores impactos. Por su parte, las zonas rurales de México, históricamente con mayor presencia de migrantes internacionales, registran impactos superiores a las zonas urbanas.
El resto del artículo está organizado de la siguiente manera. La primera sección presenta una revisión de la literatura sobre el vínculo de las remesas con los patrones de gastos y de manera más específica con los gastos en salud. En la segunda se detallan las características de la fuente de datos y las estadísticas descriptivas, mientras que la metodología empleada en la investigación se encuentra en la tercera sección. En la cuarta sección se reportan y discuten los resultados y la sección final contiene las conclusiones del estudio.
I. Remesas y gastos en salud: revisión de la literatura
El envío de remesas ha sido un tema ampliamente abordado en la literatura académica y en la formulación de políticas públicas de los países en desarrollo debido a dos aspectos fundamentales. Primero, el incremento sustancial que las remesas han tenido en los últimos años ( Banco Mundial, 2020) y segundo, el impacto que la recepción de estos recursos ocasiona en los lugares de origen de los migrantes, especialmente en distintos indicadores de desarrollo como la seguridad alimentaria ( Mora-Rivera y van Gameren, 2021; OIM, 2020); la pobreza y la desigualdad ( Adams, 2011; Arapi et al., 2020 ; Taylor, 1999); en educación y salud ( Fonta et al., 2015 ; Mora-Rivera y Arellano, 2016) y trabajo infantil ( Acosta, 2011; Cuadros-Meñaca y Gaduh, 2020). Por ejemplo, los estudios de Cuadros-Meñaca et al. (2020) y Cuadros-Meñaca y Gaduh (2020) resaltan que los niños que pertenecen a hogares receptores de remesas reducen su participación en el mercado laboral, lo que podría disminuir la deserción escolar y con ello mejorar los indicadores de desarrollo de las comunidades expulsoras de migrantes.
Con respecto a la relación que existe entre las remesas y el desarrollo de las comunidades de origen de los migrantes se identifican dos posturas teóricas. Por un lado, una visión pesimista en la cual se concluye que las remesas no contribuyen a mejorar el desarrollo de los territorios receptores; por el contrario, estos recursos generan problemas de dependencia, distorsión en los mercados locales, así como agudizan la desigualdad y los niveles de pobreza ( Canales, 2006; De Haas, 2007). Por otro, la perspectiva optimista que reconoce en las remesas una fuente de ingresos impulsora de desarrollo, ya que facilita a los receptores incrementar su nivel de consumo, sus inversiones productivas, sus niveles de capital humano, así como disminuir sus niveles de pobreza y de inseguridad alimentaria; en otras palabras, este punto de vista sostiene que las remesas son un mecanismo que promueve el desarrollo en los países de origen de los migrantes ( Adams y Cuecuecha, 2010; Cuadros-Meñaca, 2020; Mora, 2010; Taylor, 1999; Yang, 2011).
Desde un enfoque empírico, múltiples estudios muestran que las remesas contribuyen a delinear los patrones de gasto de los hogares receptores ( Clément, 2011; Démurger y Wang, 2016; Mahapatro et al., 2017 ; Mora-Rivera y Arellano, 2016; Nguyen et al., 2017 ; Randazzo y Piracha, 2019; Taylor y Mora, 2006). En general, estas investigaciones concluyen que los gastos en capital humano (educación y salud) son los rubros en los que estos recursos generan los mayores impactos. En términos de gastos en educación, existen dos posiciones: (i) investigaciones que argumentan que las remesas influyen positivamente en los gastos destinados a la educación ( Ahmed y Mughal, 2015; Fonta et al., 2015 ; Mora-Rivera y Arellano, 2016); y (ii) estudios que no encuentran efectos de las remesas en los gastos educativos y por tanto concluyen que su influencia en la formación de capital humano es nula ( Démurger y Wang, 2016; Nguyen et al., 2017 ). Es posible que la discrepancia en las conclusiones obtenidas por estas investigaciones dependa del territorio analizado, la temporalidad y aspectos metodológicos como el origen y tratamiento de los datos y las técnicas empleadas.
Respecto a los efectos de las remesas en los gastos en salud, los resultados en la literatura tampoco son concluyentes. Existen estudios que no encuentran impactos positivos de las remesas en este tipo de gastos. Por ejemplo, Adams y Cuecuecha (2010) observan que los hogares guatemaltecos que reciben remesas internacionales gastan menos en salud que los hogares que no las reciben. En esta misma línea, Nguyen et al. (2017) hallan resultados similares para el caso de los hogares vietnamitas; estos autores exponen que ante la ausencia de los jefes del hogar se observa una menor inversión en capital humano en aquellos miembros del hogar que permanecieron en su lugar de origen.
No obstante, en la literatura es posible ubicar otro conjunto de investigaciones que ha encontrado una causalidad positiva entre la recepción de remesas y los gastos en salud. En el caso de países asiáticos destacan los trabajos de Ahmed y Mughal (2015) en Pakistán, y de Mohanty et al. (2014) en la India. Utilizando distintas metodologías econométricas, PSM en el primer caso y una versión modificada del modelo Working-Leser en el segundo, los autores de ambas investigaciones concluyen que los hogares receptores de remesas gastan más en salud que los hogares no receptores. En esta misma línea, pero con información de cinco países africanos proveniente del Proyecto de Migración de África, el trabajo de Ajefu y Ogebe (2020) emplea técnicas de regresión cuantil con variables instrumentales y concluye que las remesas impactan positivamente los gastos en salud de los hogares receptores. Investigaciones en países de América Latina hacen eco de los resultados anteriores. Algunos ejemplos son los estudios de Ponce et al. (2011) , en el caso de Ecuador; y de Cuadros-Meñaca (2020) y Berloffa y Giunti (2019) para Colombia y Perú, respectivamente.
Dada la importancia que las remesas tienen para México, el análisis de esta problemática también se ha hecho presente. El estudio pionero de Reanne et al. (2009) se sirve de regresiones logísticas y concluye que las remesas impactan positivamente en el gasto en los servicios de salud; de tal forma que las remesas funcionan como una fuente adicional de financiamiento para atender necesidades relacionadas con cuestiones de salud. Por su parte, Amuedo-Dorantes y Pozo (2011) usan un modelo de demanda con variables instrumentales y muestran que de cada cien pesos que recibe el hogar por concepto de remesas, el gasto en salud incrementa en seis pesos; además, estas autoras encontraron evidencia de que el impacto de las remesas es mayor en las zonas que cuentan con mejor infraestructura en servicios de salud.
Al igual que el trabajo de Amuedo-Dorantes y Pozo (2011), las investigaciones de Valero y Treviño (2010) y Mora y Camberos (2015) emplean información de la ENIGH. En el primer caso, los autores utilizan datos de 2004 para estimar modelos tipo Tobit y de mínimos cuadrados generalizados. Sus resultados revelan que el mayor impacto de las remesas sobre los gastos en salud se presenta en la población sin seguridad social. Mientras que el segundo estudio estima curvas de Engel en el ámbito regional. Sus principales hallazgos indican una importante diferenciación en los patrones de gastos en salud entre las distintas regiones de México, con efectos más significativos en aquellos territorios de mayor tradición migratoria; sin embargo, este trabajo no considera los problemas intrínsecos al envío de remesas como la selectividad y la endogeneidad, omisiones que según Adams (2011) podrían generar resultados sesgados, por tanto, resulta indispensable valorar sus hallazgos con la debida cautela. Con información de migrantes mexicanos en California, Estados Unidos y de sus familiares residentes en México, el estudio de González-Block et al. (2013) concluye que las remesas incrementan el gasto que los hogares realizan en temas de salud; además, los autores sugieren que las remesas responden de manera positiva ante eventualidades relacionadas con complicaciones en el estado de salud de familiares y con la necesidad de adquirir medicamentos.
En general, las investigaciones que advierten efectos positivos de las remesas sobre los gastos en salud señalan que dicha causalidad se puede atribuir a los siguientes mecanismos. Primero, el recibir transferencias monetarias – ya sea de un miembro del hogar o de personas ajenas al mismo pero que se encuentran en otro país– incrementa el ingreso disponible y por ende contribuye a suavizar las restricciones de liquidez que la familia enfrenta y en consecuencia se expanden las posibilidades de gasto ( Amuedo-Dorantes y Pozo, 2011; Berloffa y Giunti, 2019; Chezum et al., 2018 ; Cox y Fafchamps, 2007). Segundo, las remesas responden a choques económicos adversos; es decir, ante situaciones de crisis los migrantes aumentan el envío de remesas con el fin de aminorar los problemas a los que están expuestos los integrantes del hogar en sus comunidades de origen ( Cuadros-Meñaca, 2020; Yang, 2011). Por último, el contacto con los mercados laborales internacionales genera externalidades positivas en los migrantes asociadas con la importancia de invertir las remesas en capital humano ( Ahmed y Mughal, 2015; Lucas y Stark, 1985; Rapoport y Docquier, 2006).
Es importante anotar que el estudio del impacto de las remesas sobre aspectos relacionados con la salud también ha despertado el interés en temas particulares como nutrición, obesidad y salud mental ( Carmona y Vizcarra, 2009; Creighton et al., 2011 ; Pan y Dong, 2020). Por ejemplo, los principales resultados de Pan y Dong (2020) sugieren que los beneficios que los hogares obtienen por la recepción de remesas no compensan las pérdidas asociadas con los daños en la salud mental de aquellos familiares que permanecen en los lugares de destino.
II. Datos y estadísticas descriptivas
Los datos de esta investigación provienen de la ENIGH de 2010 y 2016. La información de la encuesta permite conocer la procedencia y distribución de los ingresos y gastos de los hogares 10 en México, de manera tal que posibilita la identificación de los ingresos provenientes del exterior (remesas), así como la desagregación de los gastos en salud en sus principales rubros ( Inegi, 2011). Sin embargo, la información de esta encuesta no permite identificar el uso final que se le da a cada una de las fuentes de ingreso; así pues, no es posible conocer de forma específica en qué categorías de gasto se emplean estas fuentes de ingreso, incluyendo a las remesas. La ENIGH también brinda información de las características de la infraestructura y equipamiento de las viviendas y de la estructura sociodemográfica de los hogares y sus miembros. Además, resulta relevante anotar que la información de esta encuesta es representativa de los distintos niveles de desagregación subnacional que nuestra investigación requiere 11 ( Inegi, 2017).
A. Construcción de las variables
Con el fin de estimar los impactos de las remesas en los distintos rubros de gastos en salud es necesario definir la construcción de las variables utilizadas para este propósito 12. El primer paso en el proceso fue generar una variable que identifique la recepción de remesas en los hogares, de tal forma que se considera que un hogar receptor de remesas es aquel que obtiene ingresos por transferencias provenientes de otros países 13. Posteriormente, se establecen los criterios para determinar los gastos en salud de los hogares. Partimos de la idea de que la parte del ingreso que los hogares destinan en dichas cuestiones se les conoce como gastos de bolsillo en salud ( Lu et al., 2009 ). Estos gastos se pueden desglosar en tres categorías: (i) gastos en atención primaria o ambulatoria, los cuales se refieren a los gastos en servicios que no requieren hospitalización, principalmente consulta externa y medicamentos recetados; (ii) gastos en hospitalización, definidos como los gastos en servicios de internamiento de personas con previa autorización del médico tratante 14; y (iii) gastos en medicamentos sin receta o gastos en medicamentos de venta libre, incluyendo gastos en aparatos ortopédicos y terapéuticos, material de curación y medicina alternativa. Los gastos totales que el hogar efectúa en salud concentran la suma de estas tres categorías ( Inegi, 2017, 2018; Secretaría de Salud, 2018). Con base en esta categorización de gastos se generaron cuatro de las seis variables dependientes del estudio. La quinta variable es la proporción del gasto en salud con respecto al gasto total de los hogares 15. Mientras que la sexta variable dependiente indica la carencia por acceso a los servicios de salud para cada hogar de la muestra. Según el Coneval (2019b), una persona con carencia por acceso a los servicios de salud es aquella que no cuenta con afiliación a algún servicio médico (Seguro Popular, Instituto Mexicano del Seguro Social, Instituto de Seguridad y Servicios Sociales de los Trabajadores del Estado federal o estatal, Pemex, Ejército, Marina o servicios privados). La adscripción a dichos servicios puede darse por prestación laboral, afiliación de un familiar con parentesco directo o por afiliación voluntaria; siendo en la posibilidad de afiliación voluntaria que las remesas pueden incentivar la contratación de servicios de salud y así influir sobre dicha carencia.
Las variables independientes usadas para determinar la recepción de remesas en los hogares incorporan características que la literatura especializada en el tema entiende como fundamentales, dentro de las cuales destacan las características del jefe del hogar, atributos asociados con la familia y la vivienda y variables del contexto regional ( Azizi, 2017; Lucas y Stark, 1985; Mora- Rivera y van Gameren, 2021; Pal y Pal, 2019; Pardo y Dávila, 2017; Rapoport y Docquier, 2006; Taylor, 1999).
B. Estadísticas descriptivas
Las cifras del cuadro 1 evidencian que entre los años 2010 y 2016 en los ámbitos nacional, rural y urbano existen diferencias importantes entre los montos que los hogares mexicanos destinan en gastos de salud. Por ejemplo, los hogares receptores de remesas realizan mayores gastos en servicios de salud que los no receptores; además, este gasto representa una mayor proporción del total de sus gastos comparado con el gasto en salud de aquellas familias que no recibieron la transferencia. Aunado a lo anterior, la carencia por servicios de salud en el periodo tiene una mayor disminución en los hogares receptores de remesas.
En los contextos rural y urbano destaca que los hogares urbanos destinan un mayor monto en gastos en salud que los rurales. Ahora bien, cuando se analiza la proporción del gasto que es destinado a salud con respecto al total de gastos del hogar, los porcentajes son mayores en los hogares rurales. Así mismo, los hogares rurales presentan una mayor mejoría en cuanto al acceso a los servicios de salud, lo cual representa un menor nivel de carencia por acceso a estos servicios con respecto al total nacional y a los hogares urbanos.
En el cuadro 2 se muestran las estadísticas descriptivas de las variables independientes empleadas en el estudio –para hogares receptores y no receptores–, las cuales brindan un panorama de las condiciones económicas y sociales de los grupos de hogares analizados. Tanto para el 2010 como para el 2016 el porcentaje de hogares receptores de remesas es cercano al 5 %, lo que implica que en México aproximadamente uno de cada veinte hogares recibe remesas. En primera instancia se observan diferencias considerables en las características individuales relacionadas con el jefe del hogar. En los hogares no receptores, el jefe del hogar es en su mayoría hombre, mientras que en los hogares receptores esta diferencia se reduce considerablemente. Lo anterior es señal de mayor presencia masculina dentro de los migrantes internacionales; ante esta situación las mujeres deben encabezar el hogar. Igualmente, las cifras indican que en promedio la edad de los jefes del hogar es mayor en los hogares que reciben recursos del extranjero.


Respecto a los niveles de capital humano vinculados con los años de escolaridad, resalta que los jefes de hogares no receptores tienen en promedio más años acumulados de escolaridad que los jefes de hogares receptores; por ejemplo, en el 2010 los jefes del hogar receptor de remesas registraron en promedio la primaria terminada mientras que los jefes del hogar no receptor tenían prácticamente la secundaria completa. Las cifras del cuadro 2 señalan que en cuanto a las características de la vivienda no se encuentran diferencias significativas entre los grupos analizados en material del piso de la vivienda y agua entubada; mientras que se puede observar que los hogares receptores de remesas tienen mayor pertenencia de su vivienda y bienes durables.
Acerca de las características económicas y sociales asociadas al hogar, se advierten discrepancias relevantes entre grupos: los hogares que reciben remesas presentan un mayor número de dependientes económicos. A su vez, los hogares receptores de remesas son en promedio más propensos a recibir beneficios del programa Oportunidades, lo cual podría invitar a pensar que las transferencias públicas y privadas son complementarias y no sustitutas, como lo explican Waidler et al. (2017) . Además, las características socioeconómicas adicionales indican que los hogares receptores de remesas se concentran en deciles de ingresos más bajos comparados con los no receptores. En el acceso a internet se identifica que los hogares no receptores cuentan en promedio con mayor acceso a este servicio que los receptores.
Por último, en el contexto asociado a la tradición migratoria se puede apreciar que, en ambos años de estudio, casi el 50 % de los hogares que reciben remesas se encuentra en la región centro occidente (con mayor tradición migratoria) de México. La región sur, tanto en el 2010 como en el 2016, ocupa el segundo lugar en la recepción de remesas. Las regiones con la menor recepción de remesas son, en el 2010 la región norte y en el 2016 la región centro. Esta concentración en la recepción de remesas en la región centro occidente está conectada con la mayor contribución histórica de migrantes internacionales en este territorio ( Durand, 2016).
III. Metodología: el enfoque de propensity score matching
La técnica de PSM es una de las metodologías frecuentemente empleadas en estudios sobre los impactos de las remesas; entre otras cosas, debido a que disminuye los problemas de selectividad inherentes al envío de remesas ( Clément, 2011; Cuadros-Meñaca et al., 2020 ; Démurger y Wang, 2016; Randazzo y Piracha, 2019). La idea de estimar el efecto de las remesas en los distintos rubros de gastos en salud consiste en suponer que el hecho de recibir remesas es similar a recibir un “tratamiento”. Así, la implementación del método de PSM busca medir el impacto de este tratamiento en las distintas variables de interés de nuestra investigación; a saber: gastos totales en salud, gastos en atención ambulatoria, gastos en hospitalización, gastos en medicamentos sin receta, proporción del gasto en salud y carencia por acceso a los servicios de salud.
Una forma de estimar este impacto es mediante el enfoque estándar de matching ( Rubin, 1973). Este enfoque permite dividir a los hogares en dos grupos: “tratados” y “no tratados”; así, para cada hogar . es posible definir el efecto del tratamiento como la diferencia entre ser “tratado” y “no tratado”. Véase ecuación ( 1).

Donde Y iD representa los resultados potenciales para los hogares “tratados” (D= 1) y “no tratados” (D = 0) respectivamente; т i es el efecto del tratamiento y denota la diferencia entre los resultados de ambos grupos. Para cada hogar . solo es posible observar alguno de los resultados. Por lo tanto, es necesario modificar la ecuación ( 1) con el fin de estimar el efecto promedio del tratamiento en los tratados (ATT, por su sigla en inglés), т ATT. Dicho efecto se puede expresar de la forma en que se muestra en la ecuación ( 2).

Donde т ATT mide la diferencia entre el resultado esperado con y sin tratamiento para los hogares que efectivamente recibieron el tratamiento. En la ecuación ( 2) se identifica el problema de inobservabilidad 16, ya que sin supuestos adicionales no se puede conocer el término E[Y 0 | D=1]. Será necesario construir un escenario contrafactual que estime el resultado hipotético para los hogares tratados como si no hubiesen recibido dicho tratamiento. Para conseguir lo anterior, la ecuación ( 2) se puede representar como la ecuación ( 3).

El т
ATT solo puede identificarse cuando se cumple la igualdad
; es decir, cuando el sesgo es nulo. Sin embargo, cuando se utilizan datos no experimentales esta condición generalmente no se cumple, dado que las variables que influyen en la decisión de participación también contribuyen a explicar la variable dependiente generando problemas de sesgo por autoselección.
Para superar este problema y con el fin de obtener estimaciones insesgadas del ATT, т ATT la literatura recomienda aplicar diferentes métodos, dentro de los que destaca la técnica de PSM ( Abadie e Imbens, 2016; Rosenbaum y Rubin, 1983). Para implementar adecuadamente el PSM es necesario garantizar dos supuestos: exogeneidad y superposición.
El supuesto de exogeneidad implica que la diferencia en los resultados potenciales de aquellos que reciben y no reciben el tratamiento está sujeta exclusivamente al propio tratamiento, el cual se encuentra condicionado a un vector de características X. Además, las variables pertenecientes al vector X no se ven afectadas por el tratamiento y se asume que son capturadas en su totalidad por el modelo. Este supuesto se expresa formalmente en la ecuación ( 4).

En el supuesto de superposición, mostrado en la ecuación ( 5), se descarta la existencia de perfecta previsibilidad de participación condicional en el vector de características X, y se garantiza que, dentro de la muestra, los hogares con las mismas características tengan una probabilidad positiva de ser tratados o no serlo ( Caliendo y Kopeinig, 2008; Heckman et al., 1999 ).

En lugar de condicionar en el vector de características observables X, se puede estimar el т ATT utilizando PSM, esto ayuda a resolver el problema de dimensionalidad que surge cuando el vector X tiene demasiados componentes. Rosenbaum y Rubin (1983) definen el propensity score como una función que estima la probabilidad de recibir el tratamiento dado un vector de características X, previamente observadas.

La ecuación ( 6) indica que el vector de características X se resume en un escalar (δ) que está determinado por X. Dicho valor se puede estimar utilizando algún modelo de variable dependiente dicotómica que ayude a predecir la probabilidad de que un hogar haya recibido remesas basándose únicamente en sus atributos. Así, el propensity score que resulta de la estimación de la ecuación ( 6) satisface el supuesto de exogeneidad ( Rosenbaum y Rubin, 1983). Así mismo, si se satisface el supuesto de superposición, entonces se asegura que todos los hogares de la muestra que tengan las mismas características tienen una probabilidad positiva de ser tratados o no tratados. Es así como el estimador de PSM para T ATT no presenta problemas de sesgo por autoselección y puede formularse como se muestra en la ecuación ( 7).

Los resultados potenciales del PSM expresado en la ecuación ( 5) dependen del peso asignado a los hogares para hacer el matching por medio de los diferentes estimadores de PSM, entre los que destacan Nearest Neighbor17, Radius, Kernel y Stratification ( Austin, 2011). El uso de varios algoritmos permite comparar resultados y al mismo tiempo probar qué tan robustas son las estimaciones.
IV. Resultados y discusión
En el cuadro 3 se presentan los resultados del modelo probit, los cuales identifican las principales características que determinan la recepción de remesas en los hogares analizados. Por un lado, se encuentran las variables que, en ambos años, incrementan significativamente la probabilidad de recibir remesas, dentro de estas destacan el vivir en pareja, el número de dependientes económicos y contar con acceso a teléfono fijo en la vivienda. Los resultados obtenidos en las variables “dependientes económicos” y “estado civil” concuerdan con los hallazgos de Heo y Kim (2019), Simpson y Sparber (2020), Pardo y Dávila (2017) y Adams (2009), para quienes el envío de remesas está estrechamente ligado a la responsabilidad y compromiso que los migrantes internacionales tienen con los miembros del hogar que se quedaron en sus comunidades de origen. En el caso particular de los dependientes económicos menores de edad, los trabajos de Cuadros-Meñaca y Gaduh (2020) y Cuadros-Meñaca et al. (2020) enfatizan la existencia de una relación cercana entre los migrantes y sus lugares de origen, de tal suerte que los beneficios asociados con el envío de remesas se reflejan en la disminución de la participación infantil en el mercado laboral. Hallazgos que refuerzan nuestros resultados al resaltar la trascendencia de mantener los vínculos entre los migrantes y sus familias en el país de origen.
El resultado positivo de la variable “acceso a teléfono fijo” sobre la recepción de remesas concuerda con los estudios que tienen por elemento central la teoría de las redes migratorias, que entiende que los migrantes conservan contacto constante con sus comunidades de procedencia a través del envío de apoyos monetarios ( Garip y Asad, 2016; Massey et al., 1994 ).
En contraste, se encuentran las variables que disminuyen la probabilidad de recibir remesas. Por ejemplo, que el jefe del hogar sea hombre, mayor escolaridad del jefe del hogar, el hecho de no residir en la región centro occidente y algunas variables relacionadas con el acceso a servicios en la vivienda, como drenaje e internet. Así mismo, el pertenecer a los deciles más altos de ingreso disminuye la probabilidad de recibir remesas, mientras que contar con los beneficios de programas gubernamentales la incrementa. Estos hallazgos son consistentes con la literatura sobre los determinantes de la recepción de remesas, ejemplo de ello es el estudio de Cox et al. (1998) , quienes establecieron que la probabilidad de recibir remesas es menor para los hogares encabezados por hombres, ya que en términos generales son los varones quienes emigran con mayor frecuencia y, por ende, son sus cónyuges quienes deben asumir el papel de jefas de hogar recibiendo y administrando los montos captados de remesas.
Los resultados relacionados con las regiones migratorias hacen eco de los argumentos de Durand (2016): históricamente la región centro occidente ha contribuido con más de la mitad de los migrantes internacionales. Lo que origina una mayor concentración en la recepción de remesas en dicho territorio; por tanto, el hecho de residir en cualquier otra región disminuye la probabilidad de que el hogar reciba remesas.


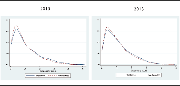
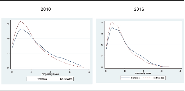
Para garantizar que nuestros resultados son estadísticamente confiables, en el Anexo B se presentan las figuras de soporte común, las pruebas de balance por variable y bloque y la prueba de balance general a los distintos niveles de desagregación del estudio. En las figuras B.1, B.2 y B.3 se muestra el área de soporte común entre el grupo de tratamiento y el grupo de control para las estimaciones nacional, rural y urbana; en dichas figuras es posible observar un traslape considerable entre las dos funciones, lo que sugiere que el supuesto de superposición se cumple. Además, en las pruebas de balance general, por variable y por bloque ( cuadros B.1-B.8) se evidencia que, al condicionar en los propensity scores hay una reducción importante en las diferencias 18. Por consiguiente, es posible obtener estimaciones confiables respecto al efecto del tratamiento 19.
A. Resultados nacionales del efecto promedio del tratamiento en los tratados
En el cuadro 4 se presentan las estimaciones del ATT para los cuatro algoritmos de matching empleados en el análisis. En la primera fila se muestra el impacto que tienen las remesas en los gastos totales en salud; se observa que dichas transferencias afectan de manera positiva estos gastos en ambos años de estudio. En el 2010, las remesas incrementaron los gastos en salud en un rango que va de 300 hasta 400 pesos, mientras que en el 2016 el efecto máximo encontrado es de 426 pesos. Lo anterior implica que el impacto representa casi un aumento del 50 % en los gastos en salud cuando los hogares reciben remesas.
Es posible también observar que en el 2016 las remesas tienen un mayor impacto en los gastos en salud, lo cual podría ser un reflejo de la recuperación en la recepción de remesas posterior a la crisis de la década precedente. Estos resultados apoyan la hipótesis de que las remesas suavizan las restricciones de liquidez que los hogares receptores enfrentan y ello les permite destinar montos mayores de ingreso para mitigar problemas de salud. Así, nuestros hallazgos son consistentes con los resultados obtenidos en los trabajos de Amuedo-Dorantes y Pozo (2011), Valero y Treviño (2010) y Mora y Camberos (2015), quienes encontraron que las remesas impulsan los gastos en salud de los hogares de origen de los migrantes mexicanos. Sin embargo, contrastan con los resultados reportados en otras latitudes como es el caso de Vietnam ( Nguyen et al., 2017 ) y en hogares guatemaltecos ( Adams y Cuecuecha, 2010).
Además de los resultados obtenidos sobre el impacto positivo de las remesas en los gastos en salud, hay evidencia de que no solo se incrementa el monto sino también la proporción de dichos gastos; es decir, la importancia relativa que tienen los gastos en salud dentro de los gastos totales efectuados por los hogares en México. El aumento se da entre 0.4 y 1.3 puntos porcentuales (pp) en el 2010 y entre 1.3 y 1.4 pp en el 2016, siguiendo la línea del incremento mayor en el 2016. En ese sentido, el resultado sugiere que el contacto con los mercados laborales internacionales podría ser el mecanismo a través del cual los migrantes influyen sobre las preferencias de gastos en sus hogares de origen. Lo anterior muestra evidencia de que las remesas modifican los patrones de gasto de los hogares receptores, justo como concluyen los trabajos de Randazzo y Piracha (2019), Mora-Rivera y Arellano (2016) y Mahapatro et al. (2017) .
En los dos años de estudio, el rubro de gastos en salud que registra los mayores efectos de las remesas es el de atención ambulatoria. El impacto, considerando el algoritmo de Nearest Neighbor, fue de 316 pesos en el 2010 y de 318 pesos en el 2016; cabe mencionar que, en ambos años, y en todos los algoritmos utilizados en el análisis, los efectos encontrados en esta categoría de gastos fueron significativos. Estos resultados presentan cierta similitud a los de Valero y Treviño (2010), para quienes las remesas tendían a incrementar los gastos en consulta externa. Además, es posible observar una caída en los gastos ambulatorios del año 2010 al 2016, lo cual podría estar asociado al incremento en el acceso a los servicios de salud por la penetración del Seguro Popular ( Huffman y van Gameren, 2019). Lo anterior, permitía a los hogares mexicanos acceder a los servicios de salud que brinda el Estado y así disminuir los gastos de bolsillo en este rubro.
Por su parte, los impactos de las remesas en los gastos de hospitalización no fueron significativos en los dos periodos de análisis. En ese sentido, el recibir remesas no ayuda a mitigar los gastos asociados a problemas más graves de salud. Es decir, los montos recibidos por remesas no son suficientes para tener un impacto en los gastos que los hogares realizan en la hospitalización de alguno de sus integrantes. El impacto de las remesas en el gasto en medicamentos solo es significativo en el año 2016, con un aumento promedio de 56 pesos al trimestre. Este resultado podría estar conectado con dos factores: (i) la mala distribución de medicamentos por parte del Estado ( Wirtz et al., 2012 ) y (ii) la cultura de automedicación, en auge en los últimos años ( ONU, 2021).
En relación con la carencia por acceso a los servicios de salud y considerando los resultados para el algoritmo Nearest Neighbor, las remesas disminuyen dicha carencia en 0.8 pp en el 2010 y en 0.4 pp en el 2016, efectos altamente significativos. Estos resultados se mantienen en prácticamente todos los algoritmos en la misma dirección y magnitud. También es posible advertir un impacto ligeramente mayor en el 2010, cuando la penetración del Seguro Popular en México era menor.
Recuérdese que en el cuadro 1 fue posible apreciar una mayor carencia por acceso a los servicios de salud en los hogares receptores de remesas, cuestión que podría, por un lado, incentivar a los migrantes a enviar remesas para el aseguramiento voluntario de sus familias; y por otro, focalizar los impactos debido a la alta concentración de personas con carencia en servicios médicos.

B. Resultados subnacionales
Los resultados obtenidos en el plano subnacional prueban que las remesas impactan positiva y significativamente en los gastos en salud, aunque las magnitudes son diferentes entre el sector rural y urbano; en particular, los impactos estimados advierten que el efecto es mayor en las zonas rurales que en las urbanas. Por ejemplo, si consideramos los resultados asociados al algoritmo de estratificación, en el 2010 el impacto de las remesas en las zonas rurales fue de 534 pesos y de 432 pesos en el 2016; mientras que en las zonas urbanas fue de 240 y 390 pesos en el 2010 y el 2016 respectivamente (véase cuadro 5). En este caso, el efecto en las zonas rurales disminuyó en el periodo analizado, probablemente por la penetración del Seguro Popular, que para el 2016 ya contaba con 18.8 millones de afiliados ( Guzmán, 2018).
Por otra parte, el efecto de las remesas en la proporción del gasto que se destina a salud es mayor en las zonas rurales que en las urbanas, lo cual podría asociarse a la diferencia en el ingreso entre zonas. Las áreas rurales tienen menores ingresos con respecto a las urbanas, por lo cual las remesas tendrían un mayor efecto en la modificación de los patrones de gastos. Estas diferencias en el impacto de las remesas en ambas zonas pueden estar ligadas a la vulnerabilidad de los hogares rurales y al poco acceso a la infraestructura de salud, lo cual propicia que deban incurrir en mayores gastos para poder acceder al servicio ( Arredondo et al., 1999 ; Bautista-Arredondo et al., 2014 ).
Al examinar los impactos de las remesas por categoría de gasto, se identifica que, en ambos años de estudio y del mismo modo que en el escenario nacional, las remesas impactan positivamente en los gastos en atención ambulatoria tanto en el sector rural como en el urbano; con mayor énfasis en las zonas rurales, aunque dicha tendencia está a la baja en ambas zonas. Además, las remesas no impactan en los gastos en hospitalización en las áreas rurales, mientras que en el sector urbano solo para algunos algoritmos se identifican efectos positivos, por ende, los resultados no son concluyentes, aunque podrían vislumbrar posibilidades en el cambio de distribución del gasto en salud en el mediano plazo.
El impacto de las remesas en los gastos en medicamentos sin recetas en el 2016 en las áreas urbanas es positivo y significativo en tres de los cuatro algoritmos, lo que podría explicarse por el mayor acceso a la información en las zonas urbanas, lo que fomenta la cultura de la automedicación ( ONU, 2021). Además, el crecimiento del impacto de las remesas en los gastos en medicamentos podría explicar parte del mayor impacto de las remesas en el ámbito nacional en el 2016.
Con respecto al efecto de las remesas en la carencia por acceso a los servicios de salud, en las áreas urbanas se encontraron impactos positivos en ambos años, mientras que en el caso del sector rural los efectos encontrados son estadísticamente significativos solo en el 2016, pero con impactos mayores que en las zonas urbanas. Cabe mencionar que este hallazgo para el sector rural podría estar relacionado con la poca infraestructura médica con que se cuenta en las zonas rurales y con el hecho de que es común que los habitantes de estas zonas deban trasladarse de sus comunidades para recibir atención médica ( Arredondo et al., 1999 ; Artaza, 2018), lo cual podría reducir los incentivos para que los hogares se afilien voluntariamente a los servicios médicos que no tienen a la mano.


V. Conclusiones
El envío de remesas desempeña un papel significativo en los gastos de las comunidades de origen de los migrantes, ya que permite a los hogares receptores resolver problemas de liquidez y expandir sus posibilidades de gasto incluyendo la adquisición de servicios que le corresponden al Estado. En la presente investigación mostramos evidencia estadísticamente confiable de que la recepción de remesas incrementa los gastos en salud de los hogares mexicanos, registrándose impactos mayores en aquellos hogares que residen en el sector rural. Así mismo, nuestros hallazgos identifican que las remesas ayudan a la contratación voluntaria de servicios de salud, lo cual disminuye la carencia de acceso a estos servicios.
Empleando la técnica de PSM y datos del 2010 y 2016 de la ENIGH a un nivel de desagregación nacional, rural y urbano, los resultados de esta investigación sugieren que el impacto positivo de las remesas en los gastos en salud está concentrado en los gastos asociados a cuestiones de atención ambulatoria, hospitalización y medicamentos; aunque los efectos en estos dos últimos rubros son menos contundentes. Además, los impactos asociados a las remesas no solo se reflejan en el incremento monetario del gasto en salud; también se observa un aumento en la proporción de los gastos en salud dentro del gasto total. Aunado a esto, las remesas impactan la carencia por acceso a los servicios de salud mediante la contratación voluntaria del acceso en ambos años.
En el plano subnacional es posible identificar un mayor impacto de las remesas en el gasto destinado a salud y la proporción del gasto en salud con respecto al gasto total en las áreas rurales; no obstante, son las zonas urbanas las que presentan un efecto positivo en la disminución de la carencia en acceso a los servicios de salud. Lo cual puede estar relacionado con una mayor infraestructura disponible en servicios de salud en las áreas urbanas de México.
Los resultados sugieren que las remesas contribuyen a incrementar el capital humano a través de las inversiones en salud en los hogares receptores; a pesar de lo positivo que pueden ser estos efectos, es necesario resaltar que las remesas no deben ser vistas como un reemplazo de los compromisos gubernamentales en la materia. De hecho, nuestros resultados entregan evidencia de una insuficiente provisión de servicios de salud por parte del gobierno mexicano, especialmente para aquellos hogares que habitan en el sector rural. Lo anterior acorta el impacto potencial que las remesas podrían tener si se invirtieran en actividades productivas que ampliaran los beneficios económicos de los hogares receptores y así el bienestar de las comunidades expulsoras de migrantes.
Resulta indispensable proponer la implementación de políticas públicas enfocadas en brindar servicios de salud universal en todo el territorio mexicano; ello permitiría mejorar la salud de los individuos y provocaría una reducción en los gastos de bolsillo en salud de los hogares y les posibilitaría destinar el ingreso de las remesas a otro tipo de actividades. Además, es indispensable poner especial énfasis en las zonas rurales, pues en la medida que no existe la infraestructura suficiente, las familias tienen que sacrificar una parte significativa de sus ingresos disponibles para cubrir dichas necesidades. Así, al implementar políticas que acrecienten el acceso al sistema de salud en las zonas rurales se podría mejorar significativamente el bienestar económico y social de dichos territorios.
Nuestros resultados muestran la necesidad de efectuar estudios en el plano subnacional que ayuden a identificar los impactos heterogéneos de las remesas asociados al contexto en el que se encuentra el hogar. Por tanto, esta investigación va más allá de lo que la literatura había identificado al presentar evidencia sobre los rubros específicos en los que las remesas tienen mayor efecto y vincularlo con un plano subnacional en dos periodos de análisis. Es así que los resultados alcanzados en este estudio sugieren que las remesas contribuyen a impulsar el desarrollo de los lugares de origen de los migrantes, mostrando sólida evidencia empírica asociada con la postura teórica optimista de las remesas; es decir, que estos recursos contribuyen a aumentar el bienestar de los hogares rurales de México.
Aunque la presente investigación proporciona evidencia estadísticamente confiable sobre el impacto de las remesas en los gastos en salud, es necesario considerar algunas limitaciones. Primera, sería conveniente contar con información que permita dar seguimiento a los mismos hogares en diferentes periodos. Sin embargo, en México no se cuenta con alguna base de datos disponible que facilite lo anterior; sería recomendable contar con información tipo panel y elaborar análisis como el efectuado en este artículo. Segunda, se sugiere que al ejecutar un análisis en un escenario regional se incluyan elementos que permitan identificar la heterogeneidad asociada a la recepción de remesas y sus impactos diferenciados en el país, una cuestión que podría ser interesante abordar dentro de la agenda de investigación futura. No obstante, ninguna de estas limitaciones reduce la importancia de los hallazgos de este artículo; solo son muestra de la necesidad de investigaciones futuras que podrían fortalecerse al incluir enfoques metodológicos alternativos y datos innovadores.
Agradecimientos
Agradecemos las sugerencias y comentarios de los evaluadores anónimos de la revista. Así mismo, agradecemos el financiamiento otorgado por el Consejo Nacional de Ciencia y Tecnología (CONACYT) a Martha Cecilia García-Amador para realizar su estancia posdoctoral en El Colegio de México.
Referencias
Abadie, A. & Imbens, G. W. (2011). Bias-corrected matching estimators for average treatment effects. Journal of Business & Economic Statistics, 29(1), 1-11. https://doi.org/10.1198/jbes.2009.07333
Abadie, A. & Imbens, G. W. (2016). Matching on the estimated propensity score. Econometrica, 84(2), 781-807. https://doi.org/10.3982/ECTA11293
Acosta, P. (2011). School attendance, child labour, and remittances from international migration in El Salvador. Journal of Development Studies, 47(6), 913-936. https://doi.org/10.1080/00220388.2011.563298
Adams, R. (2009). The determinants of international remittances in developing countries. World Development, 37(1), 93-103. https://doi.org/10.1016/j.worlddev.2007.11.007
Adams, R. (2011). Evaluating the economic impact of international remittances on developing countries using household surveys: a literature review. Journal of Development Studies, 47(6), 809-828. https://doi.org/10.1080/00220388.2011.563299
Adams R. & Cuecuecha, A. (2010). Remittances, household expenditure and investment in Guatemala. World Development, 38(11), 1626-1641. https://doi.org/10.1016/j.worlddev.2010.03.003
Ahmed, J. & Mughal, M. (2015, 30 de enero). How do migrant remittances affect household consumption patterns? http://dx.doi.org/10.2139/ssrn.2558094
Ajefu, J. & Ogebe, J. (2020). The effects of international remittances on expenditure patterns of the left-behind households in Sub-Saharan Africa. Review of Development Economics, 25(1), 405-429. https://doi.org/10.1111/rode.12721
Amuedo-Dorantes, C. & Pozo, S. (2011). New evidence on the role of remittances on healthcare expenditures by Mexican households. Review of Economics of the Household, 9(1), 69-98. https://doi.org/10.1007/s11150-009-9080-7
Arapi, A., Möllers, J. & Herzfeld, T. (2020). Measuring dynamic effects of remittances on poverty and inequality with evidence from Kosovo. Eastern European Economics, 58(4), 283-308. https://doi.org/10.1080/00128775.2020.1720517
Arredondo, A., Nájera, P. & Leyva, R. (1999). Atención médica ambulatoria en México: el costo para los usuarios. Salud Pública de México, 41, 18-29.
Artaza, O. (2018). México y el derecho a la salud: hora de expectativas y decisiones. Salud Pública de México, 60(6), 736-738. https://doi.org/10.21149/10107
Austin, P. (2011). An introduction to propensity score methods for reducing the effects of confounding in observational studies. Multivariate Behavioral Research, 46(3), 399-424. https://doi.org/10.1080/00273171.2011.568786
Azizi, S. (2017). Altruism: primary motivation of remittances. Applied Economics Letters, 24(17), 1218-1221. https://doi.org/10.1080/13504851.2016.1267840
Banco de México. (2021). Sistema de Información Económica. País de origen de los ingresos por remesas. https://www.banxico.org.mx/SieIn-ternet/consultarDirectorioInternetAction.do?sector=1&accion=consultarCuadro&idCuadro=CE167&locale=es
Banco Mundial. (2020). Leveraging economic migration for development. World Bank Group. https://www.knomad.org/publication/leveraging-economic-migration-development-briefing-world-bank-board
Bautista-Arredondo, S., Serván-Mori, E., Colchero, M. A., Ramírez- Rodríguez, B. & Sosa-Rubí, S. (2014). Análisis del uso de servicios ambulatorios curativos en el contexto de la reforma para la protección universal en salud en México. Salud Pública de México, 56(1), 18-31.
Becker, S. O. & Ichino, A. (2002). Estimation of average treatment effects based on propensity scores. The Stata Journal, 2(4), 358-377. https://doi.org/10.1177/1536867X0200200403
Berloffa, G. & Giunti, S. (2019). Remittances and healthcare expenditure: human capital investment or responses to shocks? Evidence from Peru. Review of Development Economics, 23(4), 1540-1561. https://doi.org/10.1111/rode.12599
Caliendo, M. & Kopeinig, S. (2008). Some practical guidance for the implementation of propensity score matching. Journal of Economic Surveys, 22(1), 31-72. https://doi.org/10.1111/j.1467-6419.2007.00527.x
Canales, A. (2006). El papel de las remesas en la reducción de la pobreza en México. Mitos y realidades. Carta Económica Regional, 98, 3-12.
Canto, R. (2019). ¿Distribuir o redistribuir? pobreza, desigualdad y política pública en México. Economía, Sociedad y Territorio, 19(59), 1181-1211. https://www.scielo.org.mx/pdf/est/v19n59/2448-6183-est-19-59-1181.pdf
Carmona González, M. & Vizcarra Bordi, I. (2009). Obesidad en escolares de comunidades rurales con alta migración internacional en el México central. Población y Salud en Mesoamérica 6(2), 1-19.
Chezum, B., Bansak, C. & Giri, A. (2018). Are remittances good for your health? Remittances and Nepal’s national healthcare policy. Eastern Economic Journal, 44(4), 594-615. https://doi.org/10.1057/s41302-018-0106-9
Clément, M. (2011). Remittances and household expenditure patterns in Tajikistan: a propensity score matching analysis. Asian Development Review, 28(2). http://dx.doi.org/10.2139/ssrn.2001145
Consejo Nacional de Evaluación de la Política de Desarrollo Social (Coneval). (2019a). Anexo estadístico. https://www.coneval.org.mx/Medicion/MP/Paginas/AE_pobreza_2018.aspx
Consejo Nacional de Evaluación de la Política de Desarrollo Social (Coneval). (2019b). Metodología para la medición multidimensional de la pobreza en México. Coneval.
Consejo Nacional de Población (Conapo). (2002). Índices de intensidad migratoria México-Estados Unidos 2000. http://www.conapo.gob.mx/es/CONAPO/Indice_de_Intensidad_Migratoria_Mexico_-_Estados_Unidos
Cox, D. & Fafchamps, M. (2007). Extended family and kinship networks: economic insights and evolutionary directions. Handbook of Development Economics, 4, 3711-3784. https://doi.org/10.1016/S1573-4471(07)04058-2
Cox, D., Eser, Z. & Jiménez, E. (1998). Motives for private transfers over the life cycle: an analytical framework and evidence for Peru. Journal of Development Economics, 55(1), 57-80. https://doi.org/10.1016/S0304-3878(97)00056-4
Creighton, M., Goldman, N., Teruel, G. & Rubalcava, L. (2011). Migrant networks and pathways to child obesity in Mexico. Social Science & Medi- cine, 72(5), 685-693. https://doi.org/10.1016/j.socscimed.2010.12.006
Cuadros-Meñaca, A. (2020). Remittances, health insurance, and pension contributions: evidence from Colombia. World Development, 127, 104766. https://doi.org/10.1016/j.worlddev.2019.104766
Cuadros-Meñaca, A. & Gaduh, A. (2020). Remittances, child labor, and schooling: evidence from Colombia. Economic Development and Cultural Change, 68(4), 1257-1293. https://doi.org/10.1086/702790
Cuadros-Meñaca, A., Aguirre, I. & Borja, I. (2020). International remittances and child welfare: a case study on Cali Colombia. Revista Desarrollo y Sociedad, 86, 73-103. https://doi.org/10.13043/DYS.86.3
De Haas, H. (2007). Remittances, Migration and Social Development: A Conceptual Review of the Literature. United Nations Research Institute for Social Development.
Démurger, S. & Wang, X. (2016). Remittances and expenditure patterns of the left behinds in rural China. China Economic Review, 37, 177-190. https://doi.org/10.1016/j.chieco.2015.12.002
Díaz-González, E. & Ramírez-García, J. (2017). Gastos catastróficos en salud, transferencias gubernamentales y remesas en México. Papeles de Población, 23(91), 65-91. http://dx.doi.org/10.22185/24487147.2017.91.004
Durand, J. (2016). Historia mínima de la migración México-Estados Unidos. El Colegio de México, A. C.
Fonta, W., Ayuk, E., Chukwu, J., Onyukwu, O., Agu, C. & Umenwa, I. (2015). Dynamics of remittance utilization by Nigerian house-holds. Progress in Development Studies, 15(4), 343-357. https://doi.org/10.1177/1464993415592742
Garip, F. & Asad, A. (2016), Network effects in Mexico-US migration: disentangling the underlying social mechanisms, American Behavioral Scientist, 60(10), 1168-1193. https://doi.org/10.1177/0002764216643131
Gómez-Dantés, O. & Frenk, J. (2019). Financing common goods: the Mexican system for social protection in health agenda. Health Systems & Reform, 5(4), 382-386. https://doi.org/10.1080/23288604.2019.1648736
González-Block, M., De la Sierra, M. & Vargas-Bustamante, A. (2013). Utilización de remesas de migrantes en California para atención a la salud de sus dependientes en México. Salud Pública de México, 55, 459-467.
Gutiérrez, J., Heredia-Pi, I., Hernández-Serrato, M., Pelcastre-Villafuerte, E., Torres-Pereda, P. & Reyes-Morales, H. (2019). Desigualdades en el acceso a servicios, base de las políticas para la reducción de la brecha en salud. Salud Pública de México, 61(6), 726-733. http://dx.doi.org/10.21149/10561
Guzmán, J. (2018). Seguro popular: evidencia de los avances en asignación de recursos públicos, acceso y cobertura de servicios de salud y protección financiera. Expresión Económica. Revista de Análisis, 40, 25-48.
Heckman, J., LaLonde, J. & Smith, A. (1999). The economics and econo- metrics of active labor market programs. En O. C. Ashenfelter & D. Card (Eds.), Handbook of Labor Economics (pp. 1865-2097). Elsevier. https://doi.org/10.1016/S1573-4463(99)03012-6
Hendricks, L. & Schoellman, T. (2018). Human capital and development accounting: new evidence from wage gains at migration. The Quarterly Journal of Economics, 133(2), 665-700. https://doi.org/10.1093/qje/qjx047
Heo, N. & Kim, D. (2019). Determinants of remittance behavior among female marriage immigrants in South Korea. Journal of Asian Sociology, 48(3), 415-442. https://www.jstor.org/stable/26783839
Huber, M., Lechner, M. & Steinmayr, A. (2014). RADIUSMATCH: stata module to perform distance-weighted radius matching with bias adjustment. Statistical software components S457575. Boston College Department of Economics.
Huffman, C. & van Gameren, E. (2019). Efectos heterogéneos y distributivos del Seguro Popular sobre la oferta de servicios de salud en México. El Trimestre Económico, 86(343), 667-713. https://doi.org/10.20430/ete.v86i343.719
Instituto Nacional de Estadística y Geografía (Inegi). (2011). Encuesta Nacional de Ingresos y Gastos de los Hogares 2010. Inegi.
Instituto Nacional de Estadística y Geografía (Inegi). (2015). Distribución de la Población por Tamaño de Localidad y su Relación con el Medio Ambiente. Seminario-Taller Información para la Toma de Decisiones: Población y Medio Ambiente. Inegi.
Instituto Nacional de Estadística y Geografía (Inegi). (2017). Encuesta Nacional de Ingresos y Gastos de los Hogares 2016: ENIGH nueva serie, descripción de la base de datos. Inegi.
Instituto Nacional de Estadística y Geografía (Inegi). (2018). Encuesta Nacional de Salud y Nutrición 2018, ENSANUT diseño conceptual. Inegi.
Lu, C., Chin, B., Li, G. & Murray, C. (2009), Limitations of methods for measuring out-of-pocket and catastrophic private health expenditures. Bulletin of the World Health Organization, 83, 238-244. https://doi.org/10.2471/BLT.08.054379
Lucas, R. & Stark, O. (1985), Motivations to remit: evidence from Botswana. Journal of Political Economy, 93(5), 901-918. https://doi.org/10.1086/261341
Mahapatro, S. (2017). Why do they remit? Examining factors influencing migrant remittances in India. Journal of Development Policy and Practice, 2(2), 225-235. https://doi.org/10.1177/2455133317704745
Mantel, N. & Haenszel, W. (1959). Statistical aspects of the analysis of data from retrospective studies of disease. Journal of the National Cancer Institute, 22(4), 719-748. https://doi.org/10.1093/jnci/22.4.719
Massey, D., Arango, J., Graeme, H., Kouaouci, A., Pellegrino, A. & Taylor, E. (1994). An evaluation of international migration theory: the North American case. Population and Development Review, 20(4), 699-751. https://doi.org/10.2307/2137660
Mohanty, S., Dubey, M. & Parida, J. (2014). Economic well-being and spending behaviour of households in India: does remittances matter? Migration and Development, 3(1), 38-53. https://doi.org/10.1080/21632324.2014.886905
Mora, J. (2010). Desarrollo y migración rural. En A. Yúnez (Coord.), Los grandes problemas de México. XI Economía rural (pp. 145-170). El Colegio de México.
Mora, J. & Camberos, M. (2015). Impacto de las remesas en el gasto regional de salud en México 2000, 2005 y 2010. Economía Informa, 394, 3-15. https://doi.org/10.1016/j.ecin.2015.09.002
Mora-Rivera, J. & Arellano, J. (2016). Las remesas como determinantes del gasto en las zonas rurales de México. Estudios Fronterizos, 17(33), 231-259.
Mora-Rivera, J. & van Gameren, E. (2021). The impact of remittances on food insecurity: evidence from Mexico. World Development, 140, 105349. https://doi.org/10.1016/j.worlddev.2020.105349
Nguyen, D., Grote, U. & Nguyen, T. (2017). Migration and rural household expenditures: a case study from Vietnam. Economic Analysis and Policy, 56, 163-175. https://doi.org/10.1016/j.eap.2017.09.001
Nussbaum, M. C. (2011). Creating capabilities. Harvard University Press.
Ogundari, K. & Abdulai, A. (2014). Determinants of household’s education and healthcare spending in Nigeria: evidence from survey data. African Development Review, 26(1), 1-14. https://doi.org/10.1111/1467-8268.12060
Ogundari, K. & Awokuse, T. (2018). Human capital contribution to economic growth in Sub-Saharan Africa: does health status matter more than education? Economic Analysis and Policy, 58, 131-140. https://doi.org/10.1016/j.eap.2018.02.001
Organización de las Naciones Unidas (ONU). (2021, 4 de marzo). Crece el mapa de motivaciones para automedicarse. ONU.
Organización Internacional para las Migraciones (OIM). (2020). Migration and Migrants: A Global Overview. World Migration Report 2020. OIM.
Organización para la Cooperación y el Desarrollo Económicos (OCDE). (2019). Health at a Glance 2019: OECD Indicators. https://www.oecd.org/health/health-at-a-glance.htm
Pal, N. & Pal, R. (2019). Motives behind remittances: a comparative analysis of single and multiple-migrant households in India. International Journal of Social Economics, 46(6), 775-791. https://doi.org/10.1108/IJSE-09-2018-0444
Pan, Z. & Dong, W. (2020). Can money substitute adult children’s absence? Measuring remittances’ compensation effect on the health of rural migrants’ left-behind elderly parents. Journal of Rural Studies, 79, 216-225. https://doi.org/10.1016/j.jrurstud.2020.08.022
Pardo, A. & Dávila, C. (2017). Migración y desarrollo. Características de los hogares y uso de las remesas internas e internacionales en México. Desarrollo y Sociedad, 78, 113-141. http://dx.doi.org/10.13043/DYS.78.3
Ponce, J., Olivié, I. & Onofa, M. (2011). The role of international remittances in health outcomes in Ecuador: prevention and response to shocks. International Migration Review, 45(3), 727-745. https://doi.org/10.1111/j.1747-7379.2011.00864.x
Randazzo, T. & Piracha, M. (2019). Remittances and household expenditure behavior: evidence from Senegal. Economic Modelling, 79, 141-153. https://doi.org/10.1016/j.econmod.2018.10.007
Rapoport, H. & Docquier, F. (2006). The economics of migrants’ remittances. En S.-C. Kolm & J. M. Ythier (Eds.), Handbook of the Economics of Giving, Altruism and Reciprocity (pp. 1135-1198). https://doi.org/10.1016/S1574-0714(06)02017-3
Reanne, F., Palma-Coca, O., Rauda-Esquivel, J., Olaiz-Fernández, G., Díaz- Olavarrieta, C. & Acevedo-García, D. (2009). The relationship between remittances and health care provision in Mexico. American Journal of Public Health, 99(7), 1227-1231.
Rosenbaum, P. & Rubin, D. (1983). Constructing a control group using multivariate matched sampling methods that incorporate the propensity score. The American Statistician, 39, 33-38.
Rubin, D. B. (1973). Matching to remove bias in observational studies. Biometrics, 29(1), 159-183.
Schultz, T. (Ed.). (1995). Investment in women’s human capital. University of Chicago Press.
Secretaría de Salud. (2018). Estructura del gasto de bolsillo por motivos de salud en hogares mexicanos, 2016. Unidad de Análisis Económico Secretaría de Salud.
Simpson, N. & Sparber, C. (2020). Estimating the determinants of remittances originating from US households using CPS data. Eastern Economic Journal, 46(1), 161-189. https://doi.org/10.1057/s41302-019-00155-2
Taylor, E. J. (1999). The new economics of labour migration and the role of remittances in the migration process. International Migration, 37(1), 63-88. http://dx.doi.org/10.1111/1468-2435.00066
Taylor, E. & Mora, J. (2006). Does migration reshape expenditure in rural households evidence from Mexico. Working Paper 3842. World Bank Policy Research.
Valero, J. & Treviño, M. (2010). El gasto en salud de los hogares en México, y su relación con la disponibilidad de recursos, las remesas y la asignación intrafamiliar. Economía Mexicana. Nueva Época, 19(2), 311-342.
Waidler, J., Hagen-Zanker, J., Gassmann, F. & Siegel, M. (2017). Do remittances and social assistance have different impacts on expenditure patterns of recipient households? The Moldovan case. Migration and Development, 6(3), 355-375. https://doi.org/10.1080/21632324.2016.1159887
Wirtz, V. J., Santa-Ana-Téllez, Y., Servan-Mori, E. & Ávila-Burgos, L. (2012). Heterogeneous effects of health insurance on out-of-pocket expenditure on medicines in Mexico. Value in Health, 15(5), 593-603. https://doi.org/10.1016/j.jval.2012.01.006
Yang, D. (2011). Migrant remittances. Journal of Economic Perspectives, 25(3), 129-52. http://dx.doi.org/10.1257/jep.25.3.129
Anexo A
Construcción de variables


Anexo B
Pruebas de balance y soporte común





/1 A: antes del matching; D: después del matching.


/1A: antes del matching; D: después del matching.


/1 A: antes del matching; D: después del matching.


/1 A: antes del matching; D: después del matching.


/1A: antes del matching; D: después del matching.


/1A: antes del matching; D: después del matching.


Notas
Notas de autor