Artículos
Relación predictiva no lineal entre el PIB per cápita y la tasa de mortalidad: caso de estudio Reino Unido
Nonlinear Predictive Relationship Between GDP per capita and Mortality Rate: UK Case Study
Relación predictiva no lineal entre el PIB per cápita y la tasa de mortalidad: caso de estudio Reino Unido
Desarrollo y Sociedad, núm. 93, pp. 177-206, 2023
Universidad de Los Andes
Recepción: 17 Septiembre 2021
Aprobación: 25 Noviembre 2022
Resumen:
Diversos autores han estudiado la hipótesis del cambio en las tasas de mortalidad, en algunos casos evidenciando un decrecimiento, relacionando su comportamiento con diferentes factores, entre ellos el crecimiento económico. Esta investigación aplica un
cross-quantilogram para examinar la relación existente entre el producto interno bruto (PIB) per cápita y la tasa de mortalidad para hombres y mujeres tomando como caso de estudio el Reino Unido. El objetivo es mostrar que existen asociaciones entre diferentes cuantiles de las variables estudiadas. Se constatan asociaciones asimétricas, los resultados demuestran que hay un mayor impacto del PIB per cápita sobre la tasa de mortalidad, en comparación con la relación contraria. En el caso de mujeres y hombres los cuantiles altos de crecimiento económico tienen mayor impacto en reducción de las tasas de mortalidad respecto a cuantiles bajos del crecimiento económico, esto puede ser un factor atribuible a la fuerza laboral altamente cargada a los hombres.
JEL: C10, J11, J17
Palabras clave: Asimetría, cuantilograma cruzado, crecimiento económico, demografía, Reino Unido.
Abstract:
Various analyses have studied the hypothesis of the change in mortality rates, finding, in some cases, a decrease, which has been associated to different factors, including economic growth. This study applies a cross-quantilogram to study the relationship between GDP per capita and the mortality rate for both men and women, taking the United Kingdom as a case study. The objective is to show that there are associations between different quantiles of the variables studied. It is found that there are asymmetric associations, the results show that there is a greater impact of GDP (Gross domestic product) per capita on the mortality rate, compared to the opposite relationship. In the case of women and men, high quantiles of economic growth have a greater impact on reducing mortality rates compared to low quantiles of economic growth, this may be a factor that can be attributed to the highly loaded labor force for males.
JEL: C10, J11, J17
Keywords: Asymmetry, cross-quantilogram, economic growth, demographics, United Kingdom.
Introducción
La tasa de mortalidad ha venido decreciendo en los últimos cuatro siglos, ya que la edad promedio de vida a mitad del siglo XVIII llegó a ser entre 40 y 45 años, en contraste con lo que se observó a comienzos del siglo XXI en donde alcanzó los 70 años ( Pitacco et al., 2009 ). Autores como Jeune (2007) afirman que a mitad del siglo XX hubo mejores condiciones médicas y tecnológicas, atribuidas principalmente a factores socioeconómicos que impulsaron un mayor nivel en la calidad de vida, generando un impacto positivo en diversos factores, principalmente en la nutrición. Gracias a estos hechos la tasa de mortalidad ha logrado descender de forma considerable.
La tasa de mortalidad resulta ser un indicador económico importante según la literatura porque revela en buena parte la salud de una población ( Cambría, 2012). Es valioso resaltar en principio que esta variable se puede entender como un indicador epidemiológico, el cual simplemente resume el número de muertes en un periodo de tiempo con relación al grupo etario y género. Sin embargo, su asociación con la economía es esencial, ya que facilita evaluar posibles políticas o vigilancia del bienestar de la población. Es necesario entonces comprender determinantes o relaciones en los aspectos en que se vincula con el sector económico; se resalta que el comportamiento de esta variable resulta ser explicado por diversos hechos, entre ellos el crecimiento económico.
Al parecer este es un fenómeno que va en ambas direcciones. El estado de salud es un insumo que permite generar crecimiento económico, en consecuencia, ayuda a mejorar la calidad de vida en el largo plazo. Los altos niveles en la calidad de vida causados en gran parte por el crecimiento económico hacen que las personas tengan el poder de adquirir mejores beneficios en diferentes componentes que garanticen una salud óptima ( Costa y Steckel, 1997). Si bien los mecanismos de transmisión hacen posible identificar la bidireccionalidad en el impacto de una variable a otra, comprender esas estructuras de relacionamiento se hace vital para establecer posibles directrices sobre qué variables intentar controlar desde un aspecto político.
Esta relación ha sido estudiada a través del tiempo. Según Brenner (2005) el papel del crecimiento económico ha sido protagónico en el descenso de la tasa de mortalidad para Estados Unidos durante el siglo XX; el autor además estudia esta relación mediante un modelo de interacción básica. En este modelo se incluyen como variables independientes el producto interno bruto (PIB) per cápita, la tasa de desempleo y la interacción de estas dos últimas; encuentra que el factor socioeconómico reporta una relación inversa en el largo plazo con la tasa de mortalidad. Por otro lado, los resultados evidencian que la volatilidad del crecimiento económico muestra un efecto de incrementos en la tasa de mortalidad en el corto plazo, esto debido sobre todo a las nuevas estructuras organizacionales.
Diversos autores como Niu y Melenberg (2014) revelan la conexión inversa que existe entre estas dos variables para seis países de la Organización para la Cooperación y el Desarrollo Económicos (OCDE. entre los años 1905 y el 2007. Para esto aplican modelos de extrapolación de mortalidad estocástica analizando las tendencias de mortalidad pasadas, resumiéndola en un factor latente que condensa toda la dinámica de la mortalidad, conectándola con un factor observable, adicionalmente se aplica el modelo Lee-Carter al que se le introduce el PIB como variable independiente, arrojando un mayor nivel de pronóstico. Numerosos autores ( González y Quast, 2011; Hanewald, 2011; Khemka y Roberts, 2015; Svensson y Krüger, 2010) han estudiado este mismo fenómeno con diferentes técnicas aplicadas a diversos países en distintas ventanas de tiempo.
Si bien la literatura ha investigado el tema del relacionamiento entre crecimiento económico y tasas de mortalidad, los estudios se han basado en modelos econométricos que examinan la relación a partir de la media de la distribución, mas no detallan el tipo de relación asimétrica que puede existir dependiendo de los cuantiles de las distribuciones. Este trabajo plantea el objetivo de identificar las relaciones no lineales entre el PIB per cápita y la tasa de mortalidad, con el fin de contribuir a una mejor comprensión del fenómeno de predictibilidad direccional que conlleve la generación de políticas específicas ante comportamientos concretos en las variables de crecimiento económico y mortalidad. Para este fin, se utilizan las técnicas econométricas de cross-quantilogram para identificar la direccionalidad de las variables en cuanto a sus correlaciones y determinar los cuantiles de las distribuciones para los cuales es significativa esta relación, utilizando como caso de estudio la información de Reino Unido, gracias a la robustez en sus series históricas respecto a las variables de estudio. Además, se muestra una comparativa entre la mortalidad entre hombres y mujeres para evidenciar posibles brechas de género.
Claramente, existen otros posibles determinantes que afectan la mortalidad, por ejemplo: la tasa de desempleo captura mejor las fluctuaciones económicas de un país, pero no es viable bajo este análisis ya que los resultados incluyen población en edad no laboral. Otros posibles determinantes como el gasto público en salud, número de camas en centros médicos, migración, número y calidad de doctores, entre otros, están fuera del objetivo de esta investigación que aplica el análisis de relación predictiva bidireccional.
Los hallazgos más relevantes muestran que si el PIB per cápita presenta crecimientos bajos existe una correlación positiva con los bajos crecimientos de la tasa de mortalidad. Mientras que, si hay crecimientos altos del PIB per cápita existe una correlación negativa con los altos crecimientos de la tasa de mortalidad. Es decir, que hay un mayor impacto (en este caso reducción) en las tasas de mortalidad cuando ocurren grandes crecimientos en el PIB per cápita. Estos escenarios tienen un rezago de 10 años: después de que se evidencia el crecimiento económico debe pasar un decenio para percibir estas correlaciones significativas. La predictibilidad del PIB per cápita en el log de la tasa de mortalidad a nivel de género parece comportarse muy similar, esto sugiere que no es posible determinar en cuál de ellos es mayor el impacto. Sin embargo, al momento de evaluar la predictibilidad del log de la tasa de mortalidad sobre el PIB per cápita se puede advertir una brecha de género. Es decir que la mortalidad en los hombres tiene mayor incidencia sobre el comportamiento de los altos crecimientos del PIB per cápita en comparación con la tasa de mortalidad de las mujeres, esto puede estar explicado por la participación en el mercado laboral de ambos géneros.
El documento sigue la siguiente estructura, en la sección uno se realiza la revisión de la literatura, en la dos se muestran las hipótesis y la metodología planteada, en la sección tres los resultados, en la cuatro la discusión y por último se exponen las conclusiones y orientaciones futuras.
I. Revisión de la literatura
La relación entre el crecimiento económico y el estado de salud de una persona ha sido analizada durante mucho tiempo, evaluando el efecto que tiene el estado de salud del individuo en el crecimiento económico o en mayores niveles de ingreso ( Bloom et al., 2004 ), pero también se ha estudiado la relación en el sentido de cómo el crecimiento económico influye en el estado de salud de una persona ( Pritchett y Summers, 1996). Si bien la literatura explora las distintas formas de plantear las asociaciones entre las variables de estudio, también resalta en el campo específico de la salud, que los patrones o las dinámicas en la mortalidad presentan distintos comportamientos según el sexo de las personas ( Crimmins et al., 2019 ; Niu y Melenberg, 2014). Este fenómeno puede tener estas dos miradas, por ejemplo, Bloom et al. (2004) encuentran un efecto positivo y considerable del buen estado de salud en la producción agregada. Por otra parte, autores como De la Croix y Licandro (1999) y Bhargava et al. (2001) realizan un estudio contemplando el efecto que tiene la esperanza de vida en el crecimiento económico, demostrando que el aumento de la esperanza de vida tiene un impacto positivo en el crecimiento económico en países en vías de desarrollo.
Desde el punto de vista del crecimiento económico, Pritchett y Summers (1996) utilizan información histórica de la tasa de mortalidad infantil y la expectativa de vida infantil. Aplican estimaciones de variables instrumentales apoyados en un factor exógeno como el crecimiento del ingreso per cápita e identifican la mejora en la salud de los recién nacidos en el largo plazo. Descubren que las muertes infantiles ocurridas en 1990 se atribuyen al bajo rendimiento económico obtenido en la década de los ochenta.
Brenner (2005) en sus hallazgos revela que el crecimiento económico ha sido un factor supremamente importante en el descenso de la tasa de mortalidad en el mediano y largo plazo en Estados Unidos durante el siglo XX. Para el análisis se sirvió de las tasas de mortalidad ajustadas por edad entre 1901 y el 2000 en los Estados Unidos; las variables independientes incluyen el PIB real per cápita, la tasa de desempleo y la relación empleo-población, aplicando un modelo de interacción básico y el procedimiento de Shiller (1973), el cual se aprovecha para estimar las relaciones de retraso distribuidas en al menos una década. Los resultados muestran que el PIB per cápita, a mediano y largo plazo, está fuertemente relacionado de manera inversa con las tasas de mortalidad en el periodo 1901-2000. A muy corto plazo (los primeros meses) uno de los hallazgos es que el rápido crecimiento económico se asocia ocasionalmente con el aumento de las tasas de mortalidad estimadas, algo que desde la hipótesis planteada es contradictorio, pero que en el mediano y largo plazo tiene mucho sentido.
Birchenall (2007) argumenta que las mejoras en las condiciones económicas representan una fuerza relevante, vinculando esto con la disminución de las tasas de mortalidad y utilizando el ingreso per cápita como proxy del PIB real per cápita. Este estudio sostiene que las mejoras en las condiciones económicas desde el siglo XVIII son un factor sustancial detrás de la disminución de las tasas de mortalidad durante el siglo XX en los países desarrollados y en la posterior reducción de las tasas de mortalidad en los países menos desarrollados.
El estudio de Swift (2011) se basa en el análisis de cointegración multivariable para determinar la relación existente entre la salud y el PIB para 13 países de la OCDE con información de los últimos dos siglos. Los resultados arrojan que el nexo entre la salud y el PIB en el largo plazo es muy similar al que se obtiene con el PIB per cápita según las estimaciones para los países analizados, mostrando un impacto significativo en la esperanza de vida.
Aunque existe la controversia sobre si la salud influye en el crecimiento económico o si por el contrario el crecimiento económico influye en la salud de los individuos, este estudio como el de Niu y Melenberg (2014) pretende establecer la posible correspondencia en el largo plazo entre la tendencia en el crecimiento económico como factor observable y el factor latente en las tasas de mortalidad. Por lo tanto, resulta oportuno comprobar la hipótesis sobre el tipo de relación bidireccional entre las dos variables.
II. Metodología
La literatura econométrica clásica en series de tiempo comúnmente presenta el estudio causal o relacional bajo distribuciones que se asumen simétricas y evalúa el efecto sobre la media de cada distribución. Los distintos escenarios en el contexto de mortalidad y actividad económica que pueden estar sujetos a la presencia de no linealidades en su distribución abren la opción de explorar desde el concepto de asimetría las posibles correlaciones existentes. El objetivo planteado en este trabajo responde a la pregunta de investigación: ¿existe una relación bidireccional no lineal en la predictibilidad del crecimiento económico y la mortalidad? A partir de aquí, el objetivo se enmarca en determinar la existencia de relaciones de predictibilidad entre el PIB per cápita y la tasa de mortalidad para distintos cuantiles de las distribuciones, en el caso de estudio de Reino Unido.
El establecer dentro de la hipótesis el concepto de no linealidad permite indagar sobre la idea de que la manera de correlacionarse de las dos series de estudio puede ser diferente para distintos escenarios. Esto sugiere, por ejemplo, interrogantes prácticos como: si el crecimiento económico es muy alto, ¿de qué manera este se asocia con la mortalidad? Si el crecimiento económico no es tan alto, ¿la relación de este con la mortalidad sigue igual? Además, también se generan interrogantes sobre la dirección de la asociación entre la mortalidad y el crecimiento económico, ¿quién causa a quién? Para esto se propone la siguiente hipótesis:
Existe una relación no lineal de predictibilidad direccional entre el PIB y la tasa de mortalidad
Los datos para esta investigación se tomaron de la fuente pública del Human Mortality Database. La base de datos está compuesta por rango de edades que van desde los 0 años hasta los 110 con periodicidad anual, para hombres y mujeres de Reino Unido; esta información está disponible desde 1922 hasta el 2018. Por su parte, los datos del PIB per cápita para Reino Unido están dados en dólares tomando como año base el 2010 sin ajuste estacional; se encuentran con periodicidad anual desde 1960 hasta el 2018, los cuales se obtienen de la Federal Reserve Economic Data (FRED). Como los datos difieren cronológicamente respecto a la información disponible de las tasas de mortalidad, el periodo de estudio se consolida desde 1960 hasta el 2018, conformando un periodo total de 59 años calendario. Las estimaciones se hicieron con el software R.
A. Análisis multivariado
El análisis multivariado permite hallar diversas estructuras de correlación implícitas en las variables de análisis ( Hotelling, 1933). Siguiendo a Bahadir y Lastrapes (2015), se utilizan estas técnicas multivariadas con el objetivo de representar mediante componentes principales estadísticos (ACP, análisis de componentes principales) estimados toda la variabilidad de la información, es decir, con pocos componentes se logra reducir la dimensionalidad de la estructura de la matriz de datos de mortalidad. Varios enfoques del ACP ante la situación de datos faltantes suprimen estos registros con información incompleta; algunas veces se elimina toda la fila o toda la columna de la matriz de datos, lo cual no es adecuado ya que con ello se pierde información relevante sobre algún individuo o variable del estudio. Dado que la información a utilizar de las tasas de mortalidad tiene algunos faltantes se recurre a la técnica del algoritmo de NIPALS ( Wold, 1966). Este método se basa en el ACP y tiene la ventaja de que es un algoritmo iterativo, lo que hace que proporcione eficiencia al análisis frente a problemas de datos faltantes y multicolinealidad. NIPALS es la base de la regresión PLS.
Se tiene entonces la matriz de datos Xn,p de rango α. cuyas columnas X1,...Xp representan los rangos de edad para la mortalidad. Se suponen entonces centradas o estandarizadas. La descomposición derivada del ACP facilita la reconstrucción mediante la ecuación (1).

t h es la h-ésima componente principal y representa los scores, los cuales se representan en la ecuación (2). Ph es el vector propio en el eje h Desarrollando el algoritmo de NIPALS se obtiene la componente principal que formalizaría el resultado de la tasa de mortalidad global.

Analizar las tasas de mortalidad como se encuentran actualmente, por rangos de edad y para todos los años que se están considerando es una ardua labor, por fortuna los modelos por factores en los que se soporta el modelo de Lee y Carter (1992) permiten generar una reducción de estos datos a un solo componente, es decir, que lo que se realizará más adelante será una reducción de las tasas de mortalidad por rangos de edad para todos los periodos de estudio, de tal modo que se pueda capturar la mayor variabilidad de la dinámica de la mortalidad. Es importante mencionar que este procedimiento se debe aplicar de manera independiente para ambos géneros.
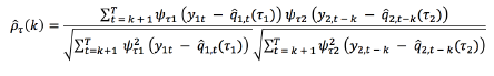
B. Cross-quantilogram
Para analizar la relación causal o de predictibilidad entre el PIB per cápita y la tasa de mortalidad se hace uso del cuantilograma cruzado bivariante o cross-quantilogram de Han et al. (2016). Esta técnica cuenta con un valor adicional en comparación con la prueba de causalidad de Granger (1969). En vista de que una gran cantidad de literatura la predictibilidad sobre el valor medio E(Y t|X t-1, X t-2, X t-3,...) , el cuantilograma cruzado proporciona un panorama más completo de la asociación entre el PIB y la tasa de mortalidad analizando la relación de dependencia direccional entre dos series temporales estacionarias basándose en los cuantiles condicionales de la distribución ( Koenker y Bassett, 1978). Trabajos como el de Uribe et al. (2018) emplean esta técnica para estudiar la predictibilidad direccional entre los precios de la electricidad y el gas natural. Este artículo no plantea encontrar relaciones causales en donde se estimen magnitudes o efectos de una variable sobre otra, sí propone explorar el hecho de identificar la predictibilidad direccional de las series, asunto que en la literatura se enmarca como la exploración de la relación causal.
Sea Yiti=1,2 y t=1,2,3..., series estrictamente estacionarias, en donde i representa las series del PIB y la tasa de mortalidad, con la función de distribución incondicional F i (.), la función de densidad incondicional f i(.) y la función de cuantil incondicional correspondiente como q i(T i) = inf{v:F i(v)≥t i} para Ti ∈(0,1), siento T el valor de cuantil especificado para evaluar la dirección en la predictibilidad de las series.
Se especifican los valores de T=(T
1,T
2 ) para estimar la dependencia en serie entre dos eventos
para un valor entero
k.
Han
et al. (2016)
detallan que
es el proceso
quantile-hit, de tal manera el cuantilograma cruzado se define como la correlación cruzada de los procesos
quantile-hit (véase ecuación [
3]).

k= = ± 1, ± 2..., en donde
se define como una función de acierto. En un caso especial, donde las dos series son idénticas, la ecuación
(3) corresponde al cuantilograma de
Linton y Whang (2007). La contraparte de la muestra de la ecuación
(1), que se basa en una regresión lineal cuantílica, según la propuesta por
Koenker y Bassett (1978), para estimar las funciones de uantiles condicionales,
se define como se muestra en la ecuación
(4).

El cuantilograma cruzado considera la dependencia en términos de la dirección de la desviación de los cuantiles condicionales y, como tal, mide la predictibilidad direccional de una serie a otra. Se usa entonces la ecuación
(4) para describir la magnitud de la dependencia direccional en cuantiles de dos series de tiempo, en donde
mide la fuerza de asociación existente entre los cuantiles definidos de las series para un rezago
k. Por ejemplo, si se define que sea el valor de la unidad del PIB y
y2,t la tasa de mortalidad para los hombres, el valor de
en el tiempo t-1 no ayuda a predecir si el PIB presenta un aumento (o disminución) de un cuantil determinado
en el tiempo
t. En nuestro entorno, el parámetro de rezago
k controla el retraso en la predictibilidad de una serie temporal a otra en términos en términos de años.
Han et al. (2016) reportan algunas ventajas en comparación con otras estadísticas de prueba para la causalidad direccional. Es conceptualmente atractivo y simple de interpretar. Dado que el método se basa en aciertos cuantílicos no requiere condiciones de momento como el correlograma ordinario y estadísticas como la relación de varianza que se derivan de él, por lo que funciona bien para series de cola pesada. Es aquí donde múltiples autores resaltan que muchas de las series son de colas pesadas ( Embrechts et al., 1999 ; Fama, 1965; Ibragimov, 2009; Ibragimov et al., 2009 ; Mandelbrot, 1963; Rachev y Mittnik, 2000), lo cual facilita teóricamente el trabajo de la modelación empírica sobre datos del tipo de mortalidad, ya que se definen sobre los extremos de la distribución de mayor frecuencia.
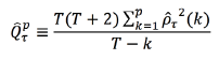
Para llevar a cabo la inferencia, se quiere contrastar el cuantilograma de muestra bajo la hipótesis nula
En contra de la hipótesis alternativa
para que algún k E [1...,p] De tal modo se hace uso del estadístico de prueba de Ljung-Box mediante la ecuación
(5).

Para Baumöhl y Lyócsa (2017) los valores críticos se obtienen a través del procedimiento estacionario de bootstrap de Politis y Romano (1994), en el que las pseudomuestras se construyen a partir de bloques de datos con una longitud de bloques aleatoria y se proporcionan intervalos de confianza asintóticamente válidos.
III. Resultados
Los resultados se enfocan en dos aspectos. Primero una fase de exploración de las series de tiempo de mortalidad tanto para hombres como para mujeres en todos los rangos etarios, así como el PIB de Reino Unido. Segundo un análisis multivariado y de predictibilidad no lineal medida por el cross-quantilogram.
A. Exploración de las tasas de mortalidad
A continuación, se muestra el comportamiento de los datos del logaritmo de las tasas de mortalidad para Reino Unido, los datos se toman de la fuente pública Human Mortality Database. Esta base de datos cuenta con las tablas de mortalidad para hombres y mujeres desde 1922 hasta el 2018, por rangos de edad. Es importante tener en cuenta que esta primera parte es un enfoque descriptivo de los datos, en la que se tomarán los datos completos, con el fin de analizar la dinámica de la mortalidad. Inicialmente se analiza el comportamiento transversal y temporal, los resultados se muestran en la figura 1.
Cada línea de color representa una serie de un corte temporal que describe el comportamiento de las tasas de mortalidad en todos los rangos de edad. De acuerdo con los resultados de la figura 1 se puede observar que las tasas de mortalidad en el logaritmo de los hombres se encuentran por encima de las de mujeres casi en todos los rangos de edad, inclusive en las edades más tempranas, este comportamiento se puede ver muy marcado desde la primera infancia; esto se conecta con diferentes factores que determinan que los hombres representan un mayor nivel de riesgo, resultado similar al de Belliard y Williams (2013).
Es posible evidenciar que a partir de las edades más avanzadas de la etapa de la adultez madura, estas tasas de mortalidad comienzan a parecerse mucho en ambos géneros, generando diferencias entre ellos cada vez más pequeñas, esto para los cortes transversales más recientes, aproximadamente desde 1985.


En la figura 2 (panel superior) cada línea de color representa las tasas de mortalidad para cada uno de los rangos de edad, lo que permite ver el comportamiento de cada una de ellas a través del tiempo. Según los resultados, es fácil observar en la figura 2 la tendencia decreciente de las tasas de mortalidad; estas presentan en general una reducción a medida que transcurre el tiempo. Es posible analizar también cómo la tendencia en las mujeres decrece de una manera mucho más rápida, al igual que en la figura 1 se puede advertir que hay diferencias significativas entre las mortalidades de hombres y mujeres, por lo que la de los hombres continúa estando por encima en los diferentes rangos etarios. Es posible identificar que en el rango de edad que comprende la niñez intermedia y la adolescencia (10-17 años) se tiene la menor tasa de mortalidad, la cual es visible dentro de todo el espectro temporal. Se resalta que la primera infancia (0-5 años) tiene un comportamiento mucho más alto en términos de mortalidad que el grupo mencionado inicialmente.
Ahora, el grupo en el que incrementan un poco más las tasas de mortalidad es el de los jóvenes (18-35 años). Hasta este punto se nota un decrecimiento fuerte en las tasas de mortalidad, aunque estas se superponen en comparación con el de la primera infancia. La figura 2 muestra que en la etapa de madurez (36-50 años) las tasas de mortalidad enseñan un decrecimiento en términos de mortalidad, es decir, que sigue evidenciando el decrecimiento que se presenta en general, aunque su caída es cada vez menos fuerte, lo que significa que el efecto de la reducción va disminuyendo a medida que se avanza en los rangos de edad, sin importar el momento del tiempo que se esté examinando. En las edades más avanzadas es manifiesto que las reducciones en la mortalidad van desapareciendo, siendo casi imperceptible gráficamente el efecto de la reducción de la mortalidad.
El cuadro 1 y la figura 2 (panel inferior) aclaran mejor el escenario descriptivo de las tasas de mortalidad, en donde se evidencia que a medida que los grupos etarios aumentan también aumentan las tasas, siendo mayor el incremento en los hombres que en las mujeres.

B. Exploración del PIB Reino Unido
Otro insumo es el indicador del crecimiento económico para Reino Unido, corresponde al PIB, el cual resulta de sumo valor, puesto que es la variable con la que se van a relacionar las tasas de mortalidad, aquí se cuenta con el PIB per cápita, que ayuda a observar el crecimiento económico de una región, en este caso describe el crecimiento económico para Reino Unido. Los datos del PIB para Reino Unido se encuentran con periodicidad anual desde 1960 hasta el 2018, los cuales se obtienen de la FRED, también se usan como fuente de datos el World Bank y los archivos de datos de cuentas nacionales de la OCDE. Los datos del PIB se registran en dólares con base en el 2010 sin ajuste estacional, como se muestra en la figura 3.

Según los resultados se puede observar que la economía de Reino Unido ha venido presentando comportamiento monótonamente creciente con un ritmo acelerado, durante los periodos de 1960 hasta 1989, pero en un par de años muestra comportamientos decrecientes, que corresponden a 1975 y 1981. En el periodo de 1991 mostró un crecimiento imparable casi hasta el 2007 donde casi que se duplica el valor del PIB per cápita, alcanzando en este año el valor de 41 050 dólares, siendo hasta ese momento el crecimiento económico más alto alcanzado por Reino Unido.
Examinando este comportamiento se advierte que puede existir algún tipo de relación entre el crecimiento económico y las tasas de mortalidad, por lo anterior, se analizará el comportamiento de las tasas de mortalidad tanto para hombres como para mujeres teniendo en cuenta el efecto del PIB, para ello es importante recordar que la información de las tasas de mortalidad se encuentra desde 1922 hasta el 2018. Por otra parte, la información del crecimiento económico tiene una temporalidad que va desde 1960 hasta el 2018. En este caso, las temporalidades de las dos variables en estudio no coinciden, es por ello que se deben unificar los tiempos donde exista una consistencia en la información entre las dos variables, lo que quiere decir que el estudio comprenderá el periodo 1960-2018.
C. Predictibilidad direccional cross-quantilogram
El análisis de la causalidad entre el PIB y el logaritmo de la tasa de mortalidad se realizará desde una comparación específica para mortalidad tanto en hombres como en mujeres. El cuantilograma cruzado permitirá detectar la predictibilidad direccional entre el PIB y el log de la tasa de mortalidad, a través de una dimensión más amplia y provechosa para identificar cambios o sensibilidades de las variables ante diferentes escenarios de la distribución, y no solo una relación lineal en media. Los cuantilogramas cruzados se representarán en tres dimensiones: (i) el choque que puede darse desde la serie inicial la cual evaluará todos los cuantiles asociados
a la serie respuesta
recibirá cada uno de esos posibles choques en términos cuantílicos asociados a
(ii) la correlación existente entre la serie inicial y la serie respuesta y (iii) los rezagos con un periodo de 24 lags representando los años.
Para las siguientes interpretaciones de los resultados definiremos los cuantiles bajos de la tasa de mortalidad como los escenarios en los que se presentan bajos crecimientos en las tasas de mortalidad, y los cuantiles altos, aquellos donde ocurren altos crecimientos en las tasas de mortalidad. Es decir, las gráficas en tres dimensiones miden la correlación (véanse figuras 4, 5, 6, 7), para la cual se especifica la gama de color: amarillo tiende a correlaciones positivas fuertes y azul tiende a correlaciones negativas fuertes. Esta relación de las tres dimensiones facilita entonces establecer la superficie de correlación que se genera cuando se presenta un choque para un cuantil específico, denotando que cuando se observa un pico en dicha superficie, lo que muestra es la fuerza de la correlación para ese cuantil específico dentro de ese rezago concreto. El pico mide la fuerza y el color la dirección de la correlación.
La figura 4 expone la relación direccional de predictibilidad del PIB per cápita hacia el log de la mortalidad en las mujeres. Cada gráfico muestra los diferentes escenarios de los cuantiles de la variable respuesta, en este caso el log de la tasa de mortalidad en mujeres. La figura 4 demuestra de entrada que el efecto de predictibilidad es asimétrico, indicando mayor efecto del PIB per cápita para cuantiles bajos del log de la tasa de mortalidad de las mujeres. En el cuantil 0.01 de la variable respuesta, se distingue que existe una correlación positiva (color amarillo) a partir del rezago 10 cuando el PIB per cápita está en cuantiles bajos. Lo anterior significa que, si el PIB per cápita se sitúa en tasas bajas de crecimiento, se evidencia una correlación directa sobre el log de la tasa de mortalidad de las mujeres cuando esta se sitúa también en tasas bajas, esto ocurre después de 10 años de presentado el choque. Es decir, pequeños aumentos en el PIB producen pequeños aumentos en los valores bajos de la tasa de mortalidad para las mujeres.

De igual manera, se distingue que existe una correlación negativa (color azul) a partir del rezago 10 cuando el PIB per cápita se localiza en cuantiles altos. Lo anterior significa que, si el PIB per cápita se ubica en crecimientos altos, después de 10 años de presentado el choque, se evidencia una correlación indirecta sobre el log de la tasa de mortalidad en mujeres cuando esta se encuentra en tasas bajas. Es decir, si existen altas tasas de crecimiento del PIB per cápita el log de la tasa de mortalidad de las mujeres disminuye cuando está en sus cuantiles más bajos, a grandes crecimientos de la economía, grandes reducciones de la tasa de mortalidad.
La figura 5 revela la predictibilidad en sentido log tasa de mortalidad de mujeres-PIB per cápita, lo cual demuestra que –en comparación con la relación anterior en la que el sentido era opuesto– en esta relación no se destacan efectos grandes significativos, a pesar de que en todo el espectro cuantílico se observan variaciones, así como para los diferentes rezagos. Esto prueba que es más significativa la predictibilidad del PIB per cápita sobre el log de tasa de mortalidad de las mujeres.
En el caso de la figura 6 se muestra la relación de predictibilidad del PIB per cápita-log tasa de mortalidad de hombres. El resultado es similar al analizado en la figura 4, en donde para el gráfico Q = 0.01 se observan correlaciones positivas (color amarillo) entre crecimientos bajos del PIB per cápita y crecimientos bajos de la tasa de mortalidad de hombres: si el PIB per cápita crece poco se presentan crecimientos bajos de la tasa de mortalidad después de 10 años del choque. De igual manera, se identifican correlaciones negativas (color azul) entre altos crecimientos del PIB per cápita y crecimientos bajos de la tasa de mortalidad, es decir, si el PIB per cápita tiene altos crecimientos se esperaría después de 10 años que disminuyan los crecimientos bajos de la tasa de mortalidad para los hombres.
La figura 7 presenta la predictibilidad del log tasa de mortalidad de hombres- PIB per cápita, en contraste con la misma relación respecto a las mujeres, se observan correlaciones mayores por la tonalidad en los colores de referencia. Se distingue que las relaciones para los cuantiles 50 en adelante (Q = 0.50, Q = 0.75…, Q = 0.99) de la distribución tienden a ser más fuertes tanto en sentido positivo como negativo. Esto evidencia que la mortalidad en los hombres sí tiene mayor incidencia sobre el comportamiento de los altos crecimientos del PIB per cápita en comparación con la tasa de mortalidad de las mujeres, lo cual corrobora que la mano que la mano de obra del género masculino ha presentado mayor efecto sobre el PIB de la nación.



IV. Discusión
Los resultados revelan en su primera fase exploratoria respecto a las tasas de mortalidad que las edades más avanzadas son muy similares en ambos géneros, percibiéndose diferencias cada vez más reducidas. Esto puede estar dado como consecuencia de cambios en varios aspectos de la población que han impactado de tal manera que las diferencias no son tan marcadas para estos perfiles de mortalidad. Los cambios más importantes en la población corresponden según The King’s Fund a medidas de salud pública, vacunas infantiles, la introducción de atención médica para todos, los avances médicos (como el tratamiento de enfermedades cardíacas y cáncer) y los cambios en el estilo de vida para las nuevas generaciones, incluida una disminución del tabaquismo, que permiten incrementar la expectativa de vida al nacer y reducir las brechas entre géneros.
También se evidencia que a medida que transcurre el tiempo, el logaritmo de las tasas de mortalidad muestra cada vez más una tendencia decreciente, representando así una reducción en las tasas de mortalidad generalizada. Es decir, se puede apreciar que para inicios de 1922 y hasta mediados de 1940 las tasas de mortalidad en todos los rangos de edad para hombres y mujeres manifiestan un comportamiento elevado. De forma que se puede percibir en los patrones de mortalidad que alrededor del año 1960 las tasas de mortalidad decrecen. Estos resultados se relacionan con los estudios realizados por Niu y Melenberg (2014), quienes también hallan una disminución en las tasas de mortalidad para distintos países, entre ellos, Estados Unidos, Canadá, Países Bajos, Australia y Japón.
De acuerdo con Jeune (2007) las reducciones en la mortalidad están ligadas a diferentes factores, entre ellos los cambios en estructuras sociales y económicas generados durante el siglo XIX, esto debido a que los cambios dinámicos de las economías favorecen mejores ingresos, lo que permite que las poblaciones puedan acceder a mejores condiciones. Este hecho o supuesto es el que se quiere mostrar al asociar la reducción de las tasas de mortalidad para Reino Unido considerando su crecimiento económico a través del PIB.
También se reconoce que a mediados del siglo XX hubo progresos importantes en la rama de la medicina que ayudaron a contrarrestar diversas enfermedades. Preston (1975) manifiesta que el avance científico en la medicina y el desarrollo económico han sido componentes trascendentales que han dado pie a mejoras en temas de condiciones sanitarias y a la creación de programas de salud que impactan positivamente en la reducción de las tasas de mortalidad.
Respecto a la discusión sobre la relación entre PIB y mortalidad, la teoría económica sugiere que el vínculo que guarda el crecimiento económico con las tasas de mortalidad es negativo, esto quiere decir que a medida que incrementa el PIB per cápita se espera que las tasas de mortalidad se reduzcan. Los resultados demostraron que existe predictibilidad direccional vía PIB per cápita hacia la mortalidad de las mujeres, y que dicha relación es asimétrica, ya que cuantiles bajos del PIB per cápita tienen mayor correlación que cuantiles altos del PIB per cápita. En el caso de los hombres los resultados son similares. Mientras que, en el caso opuesto, la predictibilidad vía mortalidad hacia el PIB per cápita no es tan marcada para algún cuantil en específico. Se evidencia sobre el percentil 90 del log de la tasa de mortalidad que las correlaciones tienden a ser levemente positivas sobre el PIB per cápita para hombres y mujeres, sin marcar un patrón claro.
Estos resultados comprueban la hipótesis planteada al inicio, en donde las relaciones de predictibilidad existen y son asimétricas, siendo más fuerte en el sentido del PIB per cápita hacia el log de la tasa de mortalidad, probando que el hecho de tener un mayor ingreso aumenta los factores de bienestar individual en salud y calidad de vida, por ende, teniendo como resultado una disminución sobre el log de la mortalidad. En contraste, las variaciones en el log de la tasa de mortalidad no determinan notoriamente predictibilidades sobre el PIB per cápita. Esto no desconoce las correlaciones leves que existen.
V. Conclusiones
La teoría económica clásica sugiere que, ante un auge de la economía, la esperanza de vida crece. De esta manera disminuyen las tasas de mortalidad, es decir, que el crecimiento económico a largo plazo es un factor importante para el mantenimiento de la tendencia de un alto bienestar en la salud. Ante el hecho explícito de que la riqueza genera salud, varios autores han encontrado evidencia contraintuitiva en donde, ante la expansión económica se ha presentado mayor mortalidad ( Neumayer, 2004; Ruhm, 2000; Tapia-Granados, 2005). Si bien en esta investigación no se presentan estimaciones de efectos causales, sí se pone de manifiesto puntualmente que las relaciones causales discutidas ampliamente en la literatura económica no necesariamente se presentan bajo la media de la distribución, en cambio, se plantea la existencia de asimetrías en la predictibilidad que puede permitir entender mejor la relación entre crecimiento económico y mortalidad.
El hallazgo más valioso de esta investigación revela que, mediante la metodología de cross-quantilogram se identificaron relaciones de predictibilidad bidireccionales en diferentes niveles de las distribuciones de las variables. Se encontró que hay mayor predictibilidad desde crecimientos bajos del PIB per cápita hacia el log de la tasa de mortalidad. Esta relación es directa en cuantiles bajos de la distribución mientras que para los cuantiles altos es inversa. Es decir, que ante expansiones leves en la economía las tasas de mortalidad también crecen, mientras que ante expansiones grandes en la economía las tasas de mortalidad disminuyen. Esto puede explicarse en el sentido que los estilos de vida poco saludables se amplían cuando las economías están creciendo, ya que el aumento de las industrias, tráfico, tecnologías, puede influenciar escenarios de estrés, contaminación, entre otros. Una vez las economías sostienen un crecimiento aun mayor esto repercute en la estabilidad social y facilita que se controlen los escenarios que afectan la salud, por ende, las tasas de mortalidad disminuyen.
La predictibilidad del PIB per cápita en el log de la tasa de mortalidad a nivel de género parece comportarse muy similar, esto sugiere que no es posible determinar en cuál de ellos es mayor el impacto. Sin embargo, al momento de evaluar la predictibilidad del log de la tasa de mortalidad sobre el PIB se puede evidenciar una brecha de género. Significa que la mortalidad en los hombres tiene mayor incidencia sobre el comportamiento de los altos crecimientos del PIB per cápita en comparación con la tasa de mortalidad de las mujeres, esto puede estar explicado por la participación en el mercado laboral de ambos géneros.
VI. Orientaciones futuras
Analizar estas relaciones bidireccionales en correlaciones por grupos etarios para las distribuciones de las tasas de mortalidad entre hombres y mujeres puede suscitar la hipótesis de encontrar diferentes tipos de relaciones entre jóvenes, adultos y personas de la tercera edad. Además, con base en la selección de estos grupos etarios o cuantiles específicos de la distribución pueden estimarse magnitudes que permitan resumir el efecto de una variable sobre otra.
Agradecimientos
Agradecimientos especiales al profesor Jorge M. Uribe por los conocimientos impartidos en la maestría en Economía Aplicada de la Universidad del Valle. Agradecimiento a los revisores anónimos y comité editorial de la revista Desarrollo y Sociedad, que con sus observaciones ayudaron a mejorar el documento para ser un artículo publicable en esta revista. Por último, destacar que no hubo fuentes de financiación para la elaboración de este texto.
Referencias
Bahadir, B. & Lastrapes, W. D. (2015). Emerging market economies and the world interest rate. Journal of International Money and Finance, 58, 1-28. https://doi.org/10.1016/j.jimonfin.2015.08.001
Baumöhl, E. & Lyócsa, Š. (2017). Directional predictability from stock market sector indices to gold: a cross-quantilogram analysis. Finance Research Letters, 23, 152-164. https://doi.org/10.1016/j.frl.2017.02.013
Belliard, M. & Williams, I. (2013). Proyección estocástica de la mortalidad. Una aplicación de Lee-Carter en la Argentina. Revista Latinoamericana de Población, 7(13), 129-148. https://doi.org/10.31406/relap2013.v7.i2.n13.6
Bhargava, A., Jamison, D. T., Lau, L. J. & Murray, C. J. L. (2001). Modeling the effects of health on economic growth. Journal of Health Economics, 20(3), 423-440. https://doi.org/10.1016/S0167-6296(01)00073-X
Birchenall, J. A. (2007). Economic development and the escape from high mortality. World Development, 35(4), 543-568. https://doi.org/10.1016/j.worlddev.2006.06.003
Bloom, D., Canning, D. & Sevilla, J. (2004). The effect of health on economic growth: a production function approach. World Development, 32(1), 1-13.
Brenner, M. H. (2005). Commentary: economic growth is the basis of mortality rate decline in the 20th century - Experience of the United States 1901-2000. International Journal of Epidemiology, 34(6), 1214- 1221. https://doi.org/10.1093/ije/dyi146
Cambría, D. (2012). Mortalidad como indicador económico y social. Argentina y América Latina. Revista de Salud Pública, 16(2), 57-66.
Costa, D. & Steckel, R. H. (1997). Long-term trends in health, welfare, and economic growth in the United States. En R. H. Steckel & R. Floud (Eds.), Health and Welfare During Industrialisation (pp. 47-90). University of Chicago Press.
Crimmins, E. M., Shim, H., Zhang, Y. S. & Kim, J. K. (2019). Differences between men and women in mortality and the health dimensions of the morbidity process. Clinical Chemistry, 65(1), 135-145. https://doi.org/10.1373/clinchem.2018.288332
De la Croix, D. & Licandro, O. (1999). Life expectancy and endogenous growth. Economics Letters, 65(2), 255-263. https://doi.org/10.1016/s0165-1765(99)00139-1
Embrechts, P., Resnick, S. I. & Samorodnitsky, G. (1999). Extreme value theory as a risk management tool. North American Actuarial Journal, 3(2), 30-41. https://doi.org/10.1080/10920277.1999.10595797
Fama, E. F. (1965). The behavior of stock-market prices. The Journal of Business, 38(1), 34-105. https://doi.org/10.1086/294743
González, F. & Quast, T. (2011). Macroeconomic changes and mortality in Mexico. Empirical Economics, 40(2), 305-319. https://doi.org/10.1007/s00181-010-0360-0
Granger, C. W. J. (1969). Investigating causal relations by econometric models and cross-spectral methods. Econometrica, 37(3), 424-438. https://doi.org/10.2307/1912791
Han, R., Wang, H., Hu, Z. Z., Kumar, A., Li, W., Long, L. N., Schemm, J. K. E., Peng, P., Wang, W., Si, D., Jia, X., Zhao, M., Vecchi, G. A., LaRow, T. E., Lim, Y. K., Schubert, S. D., Camargo, S. J., Henderson, N., Jonas, J. A. & Walsh, K. J. E. (2016). An assessment of multimodel simulations for the variability of Western North Pacific tropical cyclones and its association with ENSO. Journal of Climate, 29(18), 6401-6423. https://doi.org/10.1175/JCLI-D-15-0720.1
Hanewald, K. (2011). Explaining mortality dynamics: the role of macro- economic fluctuations and cause of death trends. North American Actuarial Journal, 290-314. https://doi.org/10.1080/10920277.2011.10597622
Hotelling, H. (1933). Analysis of a complex of statistical variables into principal components. Journal of Educational Psychology, 24(6), 417-441. https://doi.org/10.1037/h0071325
Ibragimov, R. (2009). Copula-based characterizations for higher order markov processes. Econometric Theory, 25(3), 819-846. https://doi.org/10.1017/S0266466609090720
Ibragimov, R., Jaffee, D. & Walden, J. (2009). Nondiversification traps in catastrophe insurance markets. Review of Financial Studies, 22(3), 959-993. https://doi.org/10.1093/rfs/hhn021
Jeune, B. (2007). Explanation of the decline in mortality among the oldest-old: the impact of circulatory diseases. En J. M. Robine, E. M. Crimmins, S. Horiuchi & Z. Yi (Eds.), Human Longevity, Individual Life Duration, and the Growth of the Oldest-Old Population (pp. 357-394). Springer. https://doi.org/10.1007/978-1-4020-4848-7_16
Khemka, G. & Roberts, S. (2015). Impact of economic cycles on mortality: the Australian context. Journal of Population Research, 32(2), 139-155. https://doi.org/10.1007/s12546-015-9146-8
Koenker, R. & Bassett, G. (1978). Regression quantiles. Econometrica, 46(1), 33-50. https://doi.org/10.2307/1913643
Lee, R. D. & Carter, L. R. (1992). Modeling and forecasting U. S. mortality. Journal of the American Statistical Association, 87(419), 659-671. https://doi.org/10.2307/2290201
Linton, O. & Whang, Y. J. (2007). The quantilogram: with an application to evaluating directional predictability. Journal of Econometrics, 141(1), 250-282. https://doi.org/10.1016/j.jeconom.2007.01.004
Mandelbrot, B. (1963). The variation of certain speculative prices. The Journal of Business, 36(4), 394-419. https://doi.org/10.1086/294632
Neumayer, E. (2004). Recessions lower (some) mortality rates: evidence from Germany. Social Science and Medicine, 58(6), 1037-1047. https://doi.org/10.1016/S0277-9536(03)00276-4
Niu, G. & Melenberg, B. (2014). Trends in mortality decrease and economic growth. Demography, 51(5), 1755-1773. https://doi.org/10.1007/s13524-014-0328-3
Pitacco, E., Denuit, M., Haberman, S. & Olivieri, A. (2009). Modelling Longevity Dynamics for Pensions and Annuity Business. Oxford University Press.
Politis, D. N. & Romano, J. P. (1994). The stationary bootstrap. Journal of the American Statistical Association, 89(428), 1303-1313. https://doi.org/10.1080/01621459.1994.10476870
Preston, S. H. (1975). The changing relation between mortality and level of economic development. Population Studies, 29(2), 231-248. https://doi.org/10.1080/00324728.1975.10410201
Pritchett, L. & Summers, L. H. (1996). Wealthier is healthier. The Journal of Human Resources, 31(4), 841-868.
Rachev, S. T. & Mittnik, S. (2000). Stable Paretian Models in Finance. Wiley.
Ruhm, C. J. (2000). Are recessions good for your health? Quarterly Journal of Economics, 115(2), 617-650. https://doi.org/10.1162/003355300554872
Shiller, R. J. (1973). A distributed lag estimator derived from smoothness priors. Econometrica, 41(4), 775-788. https://doi.org/10.2307/1914096
Svensson, M. & Krüger, N. (2010). Mortality and economic fluctuations. Journal of Population Economics, 25(4), 1215-1235. https://doi.org/ https://doi.org/10.1007/s00148-010-0342-8
Swift, R. (2011). The relationship between health and GDP in OECD countries in the very long run. Health Economics, 20(3), 306-322. https://doi.org/10.1002/hec.1590
Tapia-Granados, J. A. (2005). Recessions and mortality in Spain, 1980- 1997. European Journal of Population, 21(4), 393-422. https://doi.org/10.1007/s10680-005-4767-9
Uribe, J. M., Guillen, M. & Mosquera-López, S. (2018). Uncovering the nonlinear predictive causality between natural gas and electricity prices. Energy Economics, 74, 904-916. https://doi.org/10.1016/j.eneco.2018.07.025
Wold, H. (1966). Estimation of principal components and related models by iterative least squares. En P. R. Krishnaiah (Ed.), Multivariate Analysis (pp. 391-420). Academic Press.
Notas de autor