Abstract:
In Peru, 68% of women have reported being the victim of partner violence, at some point in their lives. However, very little is known about the economic determinants of domestic violence. The present study is intended to analyze the relationship between the gender wage gap and domestic violence in Peru. We understand that the gap is a characteristic of the market that places women at a disadvantage compared to men. Data from the National Household Survey enables the calculation of this wage gap. This information, combined with the violence report from the Demographic and Health Survey, is used in the regression analyses. We find that wide wage gaps are associated with higher incidences of physical and emotional violence. This result also extends to women who are not gainfully employed. These women benefit from greater equality in the labor market that provides them with better potential income, which would increase their bargaining power within the home.
JEL Classification:J12, J16, J31.
Palabras clave: Violencia física, violencia psicológica, violencia sexual, violencia doméstica, brecha salarial, mercado laboral, Perú.
Resumen:
En Perú, el 68 % de las mujeres reportó haber sido víctima, en algún momento, de violencia por parte de su pareja. Sin embargo, se sabe muy poco sobre los determinantes económicos de la violencia doméstica. El presente estudio tiene como objetivo analizar la relación entre la brecha salarial de género y la violencia doméstica en el Perú. Entendemos que la brecha es una característica del mercado al que se enfrentan las mujeres desfavorecidas en comparación con los hombres. Los datos de la Encuesta Nacional de Hogares permiten calcular la brecha salarial. Esta información, combinada con el informe de violencia de la Encuesta Demográfica y de Salud, se utiliza en los análisis de regresión. Encontramos que las amplias brechas salariales están asociadas con una mayor incidencia de violencia física y emocional. Este resultado se extiende también a las mujeres que no trabajan. Estas se benefician de una mayor igualdad en el mercado laboral que les proporciona mejores ingresos potenciales, lo que aumentaría su poder de negociación dentro del hogar.
Clasificación JEL:J12, J16, J31.
Palabras clave: Violencia física, violencia psicológica, violencia sexual, violencia doméstica, brecha salarial, mercado laboral, Perú.
Keywords: Physical violence, psychological violence, sexual violence, domestic violence, wage gap, labor market, Peru
Keywords: J12, J16, J31
Keywords: Physical violence, psychological violence, sexual violence, domestic violence, wage gap, labor market, Peru
Keywords: J12, J16, J31
Artículos
The gender wage gap and domestic violence against women: evidence from Peru
Brecha salarial de género y violencia doméstica contra las mujeres: el caso peruano
Recepción: 30 Diciembre 2021
Corregido: 02 Mayo 2022
Aprobación: 27 Noviembre 2023
According to the National Institute of Statistics and Informatics (INEI), 68% of women in Peru have suffered physical, psychological, or sexual violence inflicted by their partners, a figure above average for Latin America. The resulting physical and emotional damages are many and are not limited to the woman victim, but extend to the other members of the family ( Bhattacharya, Bedi and Chhachhi, 2011). An additional effect that can hinder social development is the loss of human capital ( Dávalos and Santos, 2006). Domestic violence against women is a pressing problem for any society that seeks the equality of its citizens and the expansion of its possibilities for growth.
This study is intended to elucidate domestic violence against women in Peru by examining the prevailing conditions in the labor market for women. In particular, it endeavors to estimate the impact of the gender wage gap on domestic violence, understanding this gap as a feature of the labor market where women face relative disadvantages compared to men. The analysis covers the 2007-2017 period and based on data from the National Household Survey (ENAHO) and the Demographic and Health Survey (ENDES).
Based on the theory of family negotiation, an analytical framework is proposed for the relationship between violence and income in Peruvian households. The difference in income between women and men would determine women’s bargaining power, so that the levels of violence would decrease if their income is similar or greater than that of men. It is crucial to emphasize that pertinent incomes encompass not only those received but also potential incomes, reflecting the salaries women could access when participating in the labor market. The significance of potential wages lies in shaping the circumstances a woman would encounter if she ceased being economically dependent on her partner. This underscores the importance of using the labor market conditions, as indicated by the wage gap. The theory anticipates a decrease in violence, not solely among working women but also among those who are not currently employed but who could eventually enter the workforce.
This work empirically evaluates the consistency of family bargaining theory concerning the gender wage gap in the Peruvian context. In Latin America, research on the subject is scarce. The work of Iregui-Bohórquez et al. (2015) addresses the issue of income and domestic violence for rural women in Colombia. The results confirm the causal relationship between income and the incidence of violence. In the Peruvian context, literature on this subject is notably limited. Most of the studies for our country fail to elucidate the specific correlation the specific relationship between income and violence; instead, such insights are found within broader research on the determinants of domestic violence. The conclusions drawn from these studies are heterogeneous and even contradictory. This variation is attributed to a prevalent issue of reverse causality, a concern inadequately addressed in most studies. Those that do attempt to tackle potential endogeneity concerns often employ instrumental variables, though not always to their full extent. Thus, one of the main challenges of this work is to provide a possible solution to this recurring problem in the empirical literature.
The suitable methodology for the Peruvian case is discussed, aligning it with the specific characteristics of our society. Insights from international literature indicate that non-cooperative models exhibit greater explanatory power in countries with structures where women have a subordinate role to that of men, while cooperative models are more apt for developed countries. The approach that we find most fitting for our purpose is that of Aizer (2010), who studies the effect of the wage gap on domestic violence in the case of California. The model she presents is a cooperative generalization of the one originally used by Farmer and Tiefenthaler (1997).
However, the model used in this work modifies, the preference of men for violence; thus, the first step in our estimation will be to find the gender wage gap and we do so using the decomposition proposed by Ñopo (2008). This is an extension of the Oxaca-Blinder decomposition that employs the matching methodology to perform a better decomposition of the gender wage gap. The gap is constructed based on data from the National Household Survey (ENAHO), as it presents the characteristics of employment and income that the Demographic and Health Surveys (ENDES) does not account for. The second step consists of performing logistic regressions to explain domestic violence based on the wage gap. Data on domestic violence is collected from the ENDES, which presents data on physical, sexual, and emotional violence. It also makes it possible to draw a correlation between violence and the characteristics of the woman, the partner, and the household. A discussion of how we deal with selection bias is also presented.
The World Health Organization (WHO) considers violence as a health issue with severe repercussions for societal development. Domestic violence, in particular, exacerbates this problem as households are expected to be sanctuaries where people feel secure (Carrión, 2002). Global concern surrounds violence against women, given its adverse effects on victims’ capacity to contribute to family, economic, and public life. It compromises health, reduces productivity, reduces educational capacity, limits social mobility and the innovative potential of women, their children and even the aggressor partner. Furthermore, as a public problem, it increases the costs of social, judicial, and health services (United Nations, 2006). According to the INEI, in Peru in 2017, 68% of women across the country reported having been the victim, at some point, of violence inflicted by their partner. Therefore, understanding the problem of domestic violence is imperative to exploring policy solutions.
In general, domestic violence against women is expressed in three forms: physical, sexual, and emotional. Actions intended to cause physical harm or pain, whether moderate or severe, are classified as physical violence. Psychological violence includes any action intended to humiliate, threaten, control, and cause moral damage. Sexual violence includes any action in which the victim is forced to have sexual relations against their will using blackmail, threats, or physical force. These three forms of violence are not exclusive and can occur simultaneously.
The economy is concerned with understanding the economic decisions of families, which has led to an interest in studying their behavior. The exploration of domestic violence within the economic framework came later, employing models of wealth and income distribution within households to explain this problem. To understand the economic approach to domestic violence, it becomes essential to revisit the evolution of economic models related to family dynamics.
Samuelson (1956) and Becker (1981) were pioneers in the economic study of decisions within families. They stated that the behavior of families was equivalent to that of a representative individual since there is a consensual process that collects and satisfies the preferences of all members. Consequently, the family problem could be represented as the maximization of the utility function of an individual within the family. However, the theoretical bases of these unitary household models were very difficult to demonstrate empirically, hindering their application to the analysis of domestic violence. Additionally, models portraying the maximization of family utility from the perspective of a benevolent dictator fail to incorporate violence due to the absence of consideration for the bargaining power among household members.
On the other hand, both cooperative and non-cooperative negotiation models have emerged, offering explanations for violence, albeit leading to distinct conclusions. Non-cooperative bargaining models have had greater explanatory success in highly unequal societies. For example, Block and Rao (2002) use asymmetric information and signaling in a non-cooperative negotiation model to explain violence against women in India. They conclude that the incentives for women and men to remain in a violent relationship differ, which is why they make independent decisions. Conversely, cooperative bargaining models are better suited to developed societies. Farmer and Tiefenthaler (1997) were the first to apply this approach to study domestic violence, where the man had all the bargaining power. Subsequently, Aizer (2010) generalized this model but distributes bargaining power between both parties.
Aizer (2010) and Pollak (2005) posit that increasing women’s wages improves their bargaining power, consequently reducing levels of violence. It should be noted that these analyses consider both the potential relative wages (market conditions) and actual wages received simultaneously. Even for women not currently employed, the potential to enter the labor market, offers an avenue to improve their bargaining position. Therefore, violence is expected to decrease even in cases where women are not currently working.
Next, a simple family negotiation model is developed that incorporates violence and shows under which assumptions a relative increase in women’s income leads to a decrease in violence. The model is based on the proposals of Aizer (2010) and Mendoza (2010).
The decision to have a partner, for both men and women, depends on maximizing their utility. Let U M (C M,S) the utility of the woman increases in consumption (C M) and security (S); and U H (C H,V) the utility of man that increases in consumption ( C H) and in violence (V).
In turn, violence (V) is conditioned by the man’s desire to obtain greater services from the woman (∂) and the degree of machismo (δ) that translates into the ability to subdue the partner. So V depends on ∂ and δ: V(∂, δ). Although it may happen that V = 0, the model considers that, in sexist societies, such instances are exceptions.
The man’s power comprises economic power, representing the ability to generate income exceeding that of his partner. If the woman is employed, this power diminishes. The violence curve is characterized by the following properties: V ∂> 0 y V ∂∂ < 0. In other words, obtaining greater services from women to men requires increased control over them, leading to higher levels of violence. However, over time, the quality of these services will be of lower quality to the point that women reach a breaking point where opting to leave the relationship becomes more beneficial than enduring the dominance of the partner.
Based on the above, it can be inferred that the probability of violence is associated with the ability to generate income, employment status, socioeconomic factors, and the feasibility of leaving the relationship. Therefore, the easier and more expensive it is for the woman to leave the relationship, the more likely she is to enter the workforce or enhance her financial independence. In this context, the level of difficulty present in the labor market, regarding access and competition, is important, considering that the sexist characteristics inherent in the household are also present in the labor market.
This model of negotiation at household, under specific assumptions (such as strict concavity), implies that an increase in a woman’s relative income could result in a decrease in violence against her.
The formulated model allows for the hypothesis that women’s participation in the labor market contributes to the reduction of domestic violence by elevating their income relative to men. Also, a higher potential income for women outside the household increases their reserve utility (dependent on the level of machismo in the labor market). This reserve utility signifies their willingness to leave the relationship, thereby enhancing their bargaining power and potentially reducing violence.
Pioneering empirical works include that of Richard Gelles (1976) who finds the relationship between women’s income and violence: the probability of leaving an abusive relationship decreases when women’s income is lower. Bowlus and Shannon (2006) use structural methods in an investigation to reach similar conclusions. However, Farmer and Tiefenthaler (1997) identify a possible problem of omitted variable bias in previous research. They use panel data that eliminates bias as long as the variables do not change over time. With this methodological contribution, they find that women’s income, whether from work, family transfers, social assistance, or the like, reduces the level of violence in families because they elevate the threat point for women. That is, it makes them less likely to tolerate the same initial levels of violence.
More recently, Anna Aizer (2010) used the relative conditions of the female labor market (wage gap) to explain domestic violence in California, United States. As we have seen, this implies that the reduction of violence can even occur for women who are not employed. This study uses the economic theory of family bargaining and incorporates violence (physical aggression) to predict that women’s relative potential wages determine their bargaining power and this would determine their likelihood of being victims to violence. Their theory is evaluated by estimating the impact of the gender wage gap on domestic violence due to changes in the demand for labor in industries dominated by women. The results show a causal relationship between relative labor market conditions (gender wage gap) and domestic violence (medical care derived from physical assault). An additional contribution of the work is that it solves the problem of reverse causality, as the gap depends on the market and not on the characteristics of the woman. However, the work presents a bias problem when incorporating the lagged variable of violence. The author acknowledges the problem but does not address a possible solution by finding that the estimated coefficient of the relevant variable does not change whether or not the lagged variable is included.
There is no significant literature on the relationship between income and domestic violence in Latin America. However, noteworthy research by Iregui-Bohórquez et al. (2015) stands out, particularly for its exploration of the relationship between income and domestic violence among rural women in Colombia. This work finds that labor income, in certain sectors, reduces the risk of being a victim of domestic violence.
Ribero and Sánchez (2004) analyze the determinants of domestic violence in Colombia and estimate its effects on income, labor participation, education, health, and child nutrition. Friedemann and Lovatón (2012) find that women’s higher level of participation in household decisions is related to a greater likelihood of suffering domestic violence. On the other hand, Gáfaro and Ibánez (2012) present a significant finding for Colombia. Their study reveals heterogeneous effects of women’s employment on the probability of abuse, particularly distinguishing between those who have experienced mistreatment and those who have not. The research suggests that employment may not have a discernible impact on the level of violence among individuals who have never been victims of abuse. However, for those who have previously experienced violence, employment seems to serve as a mechanism for enhancing bargaining power. Another important work is that of Olate, Maffei and Hernando (2011) who find, for Chile, that there is no clear causality regarding female labor participation and complaints of domestic violence.
Gonzales de Olarte and Gavilano Llosa (1999) carried out the first work for Peru but this was limited to Lima Metropolitan Area. They found that the probability of suffering physical violence increases if the partner is employed, is living together or separated, and belongs to a social network of friends. They also found that the level of violence in the neighborhood where they live is directly related to family violence, but not the level of poverty. Regarding psychological violence, they found that the partner being employed increases violence, and, unlike physical violence, the level of poverty does matter in this case. They also make estimates for sexual violence, and their findings suggest that it is influenced by the conditions of poverty, and the absence of pregnancy status. Additionally, the younger the woman the greater the likelihood of her being a victim of sexual violence.
Mendoza (2010), utilizing the ENDES 2009 dataset, explores the determinants of family violence against women. The study identifies key determinants including women being unemployed or not actively participating in the labor market, a history of physical aggression during infancy or childhood, and being in a married or cohabiting situation. Also using the ENDES, Matos and Sulmont (2009) found that violence is related to indicators of patriarchalism and machismo. Notably, alcohol consumption emerges as the most significant contributing factor.
Mendoza (2017) found that women with paid employment are more likely to suffer domestic violence than those that are not employed. Mora (2013) found that having been a witness or victim of violence in childhood is a significant factor in explaining marital violence. Gallegos (2012) investigates the armed conflict that transpired between 1980 and 2000, revealing that this event heightened the likelihood of women being employed while concurrently increasing their vulnerability to violence within their households.
The review of the Peruvian literature stands out for the complexity of the results. A first subset of studies merely illustrates the correlation between employment and/or income with violence but lacks a theoretical model supporting the findings. A second group focuses on the employment (or unemployment) of women as a determinant of levels of domestic violence. The theoretical explanations provided by these studies can be categorized into two main perspectives. First, women spending more time at household are more exposed to interactions with men. Second, the lack of economic autonomy for women allows the partner to exert greater control and domination, leading to an increased likelihood of domestic violence. The third group of studies focuses on the binary variable “Earn more than your partner.” For a woman to earn more than her partner would generate, in a macho environment, animosity, and in turn increase the likelihood of aggression. The weakness of the latter group of research lies in their failure to consider the specific earnings gap between the woman and her partner; varying levels within that gap could potentially have different effects on violence. Finally, it is interesting to note that all the investigations focus on the characteristics of the woman, the partner, and the household, but none on their local labor market.
First, the gender wage gap will be calculated for each of the 24 regions in each year of study. This calculation will involve determining the wage difference between men and women. However, the initial gap, referred to as the “original” gap, is influenced by the characteristics of the workers and the employment. To isolate the gap that is not explained by these characteristics, the decomposition method proposed by Ñopo (2008) will be applied. Once these values are obtained, the estimation process will be carried out.
The income difference between men and women can be decomposed using the matching technique proposed by Ñopo (2008). The central idea of using this decomposition is that the income gap can only be partially explained by the characteristics of the people. There is part of the gap that does not depend on the worker but on inexplicable characteristics such as the market structure where it operates.
The methodology follows 4 steps:
Step 1: A female (without replacement) is selected from the sample.
Step 2: All men who have the same charac- teristics as the initially selected woman are selected
Step 3: A synthetic individual is constructed whose wage is equal to the average of all the men selected in step 2.
Step 4: The observations of both individuals (the synthetic man and the woman) are placed in the new sample of paired individuals.
Repeat steps 1 through 4 until the original female sample is exhausted.
By following the steps, a quasi-experiment is achieved where similar individuals can be compared. Synthetic observations function as the comparison counterfactual. Thus, the gap can be divided into four parts:

∆ H is the part of the gap that can be explained by the differences in characteristics between paired men and unmatched men.
∆ X is the part that can be explained by the differences in the distribution of the characteristics of women and men in the common support.
∆ M is the part of the gap explained by the differences in characteristics between women outside the common support and women from the common support.
∆ 0 is the unexplained portion of the wage gap, signifying the segment not attributable to differences in the characteristics of women. In the presence of discrimination between men and women, this component would capture this problem.
Given our objective to analyze the probability of being a victim of violence, we will employ the Binomial Logit model ( Cameron and Trivedi, 2005), which is formulated as follows:

Where it is assumed u i ~ logistic, and Y *i is a latent variable that determines whether the woman experiences violence (Y i = 1) or is not a victim (Y i = 0).
The accumulated logistic function would be:

And the marginal effects would be calculated by deriving the probability with respect to the variable X j

Variables X j are those that explain the occur- rence of violence and are detailed in the next section.
The possibility of reverse causality between violence and the wage gap is a problem that must be addressed before estimating. Violence indeed diminishes the human capital of the victims, which is why their income would be reduced, contributing to a greater wage gap. However, Aizer (2010) proposes to use the market wage gap and not the gap within the family, since women’s potential income (represented in the wage gap) does not depend on the characteristics of the women, but on the labor market that is exogenous to the model.
Therefore, the gap that we include in the model is first controlled by the characteristics of the people and the job using the matching technique by Ñopo (2008). Thus, this gap is only attributable to the market and therefore exogenous for each woman.
The objective of this study is to elucidate the relationship between the gender wage gap and domestic violence against women. Specifically, it measures the effect of the gender wage gap on the probability of suffering domestic violence. Two databases are used for this purpose: ENAHO and ENDES from 2007 to 2017.
The ENAHO is a probabilistic survey employing a stratified, multistage, and independent sampling method in each department. It enables inferences to be made at the national level, by natural regions, area, and department. Specifically, modules 300 and 500 will be used. Module 500 provides information on employment and wages, while module 300 yields data on the worker’s educational level. This database will be used to estimate the gender wage gap variable for each department in each study year, resulting in 264 values. The preference for ENAHO over ENDES is based on the former’s inclusion of variables necessary for estimating income or wages, allowing for the calculation of the departmental market each year.
The variables related to violence and the other explanatory variables will be taken from the ENDES, whose target population is women of childbearing age (15 to 49 years old). The ENDES is nationally representative, covering geographic and regional domains, as well as major cities. It adopts a cross-sectional, probabilistic, stratified, two-stage, and self-weighted sampling method at the departmental level, distinguishing between rural and urban areas. In particular, modules 66 (information on the person surveyed), 71 (Marriage, fertility, spouse and wife), and 73 (domestic violence) are used.
The domestic violence module is based on the Revised Conflict Tactics Scale ( Strauss et al., 1996), which is one of the most reliable measures in the detection of domestic violence. The information collection procedure is designed to prioritize the privacy of the interviewee, ensuring that the process takes place in strict confidentiality.
The three types of violence under study are physical, sexual, and emotional, utilizing questions provided by the ENDES for their construction. It is worth mentioning that we do not use the term “psychological violence” but “emotional violence.” In this context psychological violence is characterized by aggression through words, insults, slander, yelling, contempt, mockery, ironies, control, humiliation, threats, and other actions to undermine the woman’s self-esteem. This construction of psychological violence involves 9 questions from the ENDES, but only three are available concerning their incidence in the last 12 months. Therefore, only these three questions are used in the construction of emotional violence, specifically as aggression involving humiliation, threats of harm, or expulsion from the household.
The number of observations that are achieved by putting the databases together is shown in table 1.
The objective of including eleven years, from 2007 to 2017, is to increase the representativeness, since we will use a variable added departmentally, for which we need more observations. Another option would be to estimate more restricted gaps, that is, at smaller aggregation levels such as districts. However, the ENAHO does not allow inference beyond the departmental level if the study is to be carried out at the national level. Our database has 300 120 women in 24 departments for 11 years. The size of the sample leads us to trust in the ability to deal with the aggregation problem.
Table 2 presents the basic statistics of the violence variables in our sample. It is observed that 43.15% of women have suffered some type of domestic violence by their partners. Our objective is to explain the incidence of violence, therefore, violence in the last 12 months will be the relevant indicator for our study. In the sample, 19.68% have suffered some type of violence in the last 12 months. When disaggregating by type of violence, on average, it is observed that emotional violence is the most frequent (19.68%) while sexual violence is the least with 3.09%. Physical violence occurs in 6.47% of women. The coefficients of variation are indicators of the dispersion of the variable.
Regarding the explanatory variables, we have four groups: characteristics of work, personal attributes, partner-related factors, and household characteristics. Table 3 presents the main descriptive statistics of our database for all the explanatory variables to be used. Of these, the main variable is the gender wage gap estimated from the ENAHO. This gap is considered a characteristic of the local labor market where women reside. Therefore, we will have 264 values for the gender gap, and a detailed estimation process for this variable will be explained in the following sections.


Other variables related to work include whether the woman is employed and whether she earns more than her partner. Both are binomial variables, with the first indicating whether the woman is unemployed or not, and the second serving as an indicator of the income gap within the relationship. These two variables are linked, as a woman is not employed typically earns less than her partner. Therefore, an interaction variable between the two will be incorporated.
The first group of variables (characteristics of the work) will be given priority in our analysis.


The remaining three groups of variables will be used as covariates, as the literature indicates that they are also determinants of domestic violence against women.
The first step in our empirical evaluation is to estimate the salary gap for each department for each year of study. Based on this variable, we go on to estimate the probability of being a victim of violence through the regression of Logit models with different groups of control variables. This estimation allows us to derive marginal effects, providing insights into the average impact of the gap variation on the probability of experiencing domestic violence. Finally, an estimate is made separating women who are employed from those who are not. This analysis is intended to determine whether women outside the labor market are also conditioned by the market conditions offered by the department where they live.
Typically, the gender wage gap is calculated as the ratio between the average wages earned by women and men. However, for this study, using this relationship would be inappropriate, as it is influenced by the characteristics of men and women. Instead, we aim to capture the potion of the gap that is not explained by the observable characteristics of workers and is indicative of the disadvantage women face simply because of their gender. Following the methodology of Ñopo (2008), we estimate the gender wage gap that is not explained by observable characteristics. To do so, we select variables that could explain the wage difference. Table 4 presents two groups of variables: personal characteristics and job characteristics.
The table 4 provides us with the composition of the sample separated by sex as well as a first impression of the differences in salary income according to each characteristic to be used. Education is one of the main determinants of people’s income, as it is an indicator of human capital. Reviewing this variable, we find that people with no education earn below the average salary for women regardless of their sex. The income considered for this study is the hourly wage at the price levels of Metropolitan Lima in 2017. This choice enables the comparison of income across all years and departments.


The decomposition was initially carried out by adding one variable at a time to assess its significance in the gap. It was found that age does not play a significant role, while both education and experience have a notable impact on the gap. However, the characteristics of employment emerge as more influential in explaining the gap. This suggests that men and women are not substantially different in personal characteristics, but rather the disparity lies in the type of employment and the occupation they engage in. Therefore, the wage gap is found to be greater than initially observed.
Figure 1 provides an enhanced visualization of this process. The initially observed wage gap, depicted in green, peaked in 2012, reaching around 33%, gradually reducing to just above 20% in 2017. However, after decomposition, the gap surges to higher values, reaching its peak, again in 2012, surpassing 55%. While the trend of the gap’s evolution remains consistent, its its magnitude is notably amplified.
With the wage gap attributed solely to market conditions, it becomes feasible to estimate the probability of being a victim of violence using ENDES data.

Below we provide the estimates of the Logit model for each type of violence. All estimates in this section consider fixed effects by year and by the department. The inclusion of these effects is crucial; without them, the coefficients for our main variable (gap) were very small and lacking significance. The fixed effects enhance the efficiency of the estimates by correcting correlated errors. Five estimated models are presented for each type of violence. The first model only estimates a bivariate regression with the gap. The following four models incorporate the four chosen groups of explanatory variables.
Table 5 presents the results of estimating the marginal effect on probability of women experiencing physical domestic violence. The wage gap is significant at 1% and its magnitude increases with the inclusion of the covariates. The presence of women earning more than men and their employment status both contribute to higher levels of violence. Therefore, both the income gap within the family and the market gap increases physical violence. The employment of women may lead to resistance from men, prompting them to seek greater control through violence.


Table 6 presents the results of the estimation of the marginal effect on the probability of being a victim of sexual violence. As we anticipated in the previous section, the woman’s age and the partner’s age do not appear to play a significant role. Regarding the wage gap, the coefficient has a greater magnitude than that of physical violence, but the significance only reaches 10%. Also, the fact that the woman earns more than the man is not deemed relevant. This suggests that sexual violence is not significantly associated with job-related characteristics but rather with intergenerational violence, the partner’s alcohol consumption, the level of poverty, and the fact that the male head of household.


Finally, Table 7 presents the results of the estimation for emotional violence. The wage gap has a higher coefficient than physical violence and is significant at 1%. The woman being employed increases the probability of her being a victim but earning more than her partner does not. The partner’s age andliving in the same household are also not significant factors in this context.
The marginal effects are presented in tables 5, 6, and 71 for each type of violence and all the explanatory variables. However, our interest is in the impact of the gender wage gap on violence.


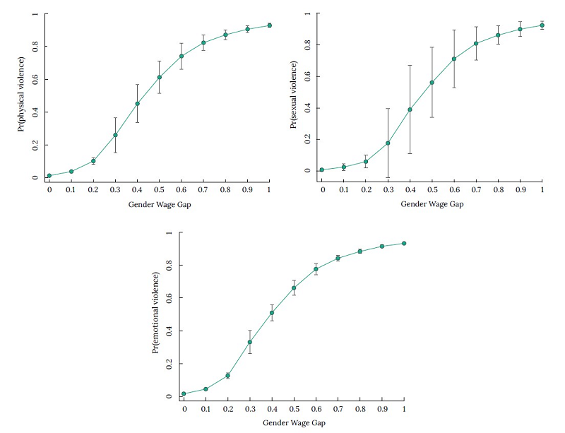
Therefore, in Figure 2 we only present the marginal effects of the wage gap.
For physical violence, the impact is clear, especially in the first sections of the gap. A 1% change in the wage gap can generate 2.29% variation in the probability of being a victim of this type of violence.
The marginal effect in the case of sexual violence is less clear, but important. A 1% change in the gap increases, on average, 0.83% the probability of being a victim of sexual violence.
Finally, the marginal effects of emotional violence are much clearer than in the two previous types of violence. A 1% increase in the gap can increase, on average, 3.52% the probability of being a victim of emotional violence.
The proposed theory predicts that the wage gap would have an impact even on women who are not employed. We therefore estimate the probability of violence by separating the group of women who are employed from those who are not. The summarized results are shown in Table 8 and Table 9.
The results indicate that the wage gap has an impact on physical violence and emotional violence for women who are not employed. The impact is lower than it is for working women, but this indicates that improvements in equality in the labor market can induce women to have greater opportunities to leave violent relationships and join the market to become financially independent. In the case of sexual violence, the wage gap would only have an impact on working women.
Figure 3 shows the marginal effects differentiated by women who are employed and who are not reinforcing each type of domestic violence. In the case of physical violence, an increase in the wage gap by 1% would generate a 1.7% higher incidence of this type of violence in women who are not employed. An increase of 1% in the wage gap would generate an increase in the incidence of emotional violence of 2.0% in women in this group. Although the evidence is not conclusive due to the large error margins, the initial increments in the wage gap appear to have an impact on these two types of violence.




This objective of this research was to analyze domestic violence against women based on the inequalities in the labor market. Specifically, it investigates the effect of the gender wage gap on the incidence of violence. The wage gap is understood as a characteristic of the labor market that affects women by placing them at a relative disadvantage compared to men. The analysis covered the 2007-2017 period and data were taken from the National Household Survey (ENAHO) and the Demographic and Health Survey (ENDES).
The difference in income between women and men determines women’s bargaining power, and levels of violence decrease when women’s income is similar or greater than that of men. Therefore, using the labor market conditions reflected in the wage gap is crucial. The main finding of the research is that a greater wage gap is associated with increased violence, especially in the emotional and physical types. While other factors cause and exacerbate violence, income inequality is shown to be an important determinant. Importantly, the wage gap is not a variable within the control of women; it is a characteristic of the environment where they live. Thus, escaping from a violent relationship depends not only on an individual woman’s decision, but also on the opportunities or limitations imposed by her environment, particularly the disadvantages in the labor market compared to men.
The theory is consistent with our results. As women increase their income or have the potential to enhance their income, resistance from the partner arises, manifested in part through violence. This resistance is associated with the fact that women gain bargaining power within the household.

Expanding on the above, closing this wage gap has the potential to reduce violence even among women who are not employed. A labor market that enables women to be less financially dependent on their partner, by providing income like that of men, is crucial, as is having a labor market that gives women the opportunity to enter with a competitive income, that is, an attractive potential income. The econometric findings specifically indicate that physical violence is highly responsive to changes in the wage gap among women who are not currently employed, but may be open to seeking employment.
Therefore, domestic violence cannot be solely explained by the characteristics of women, their partners, and their household. It is also influenced by the conditions of the labor market. Closing gender inequalities in the labor market, beyond being a matter of justice, would contribute to reducing domestic violence.
Diego Quispe Ortogorin’s bachelor’s thesis, directed by Pedro Francke and initially presented at the School of Social Sciences at Pontificia Universidad Católica del Perú (PUCP) in 2021, served as the foundation for this work. The author expresses gratitude for the valuable input received from Cecilia Garavito and participants at the Research Seminar of the Central Reserve Bank of Peru in January 2020 and the Lima International Student Think Tank organized by the European Union and the Consorcio de Investigación Económica y Social (CIES) in 2019.
Special thanks are extended to the anonymous reviewers for their insightful comments.

















