Artículos generales
Relaciones V/H para espectros asociados a las fallas inversas de la ciudad de Quito
V/H spectral ratios associated with reverse faults of Quito city
Relaciones V/H para espectros asociados a las fallas inversas de la ciudad de Quito
Boletín de Ciencias de la Tierra, núm. 42, pp. 25-35, 2017
Universidad Nacional de Colombia
Recepción: 26 Abril 2016
Recibido del documento revisado: 14 Febrero 2017
Aprobación: 25 Junio 2017
Resumen:
Se presentan los modelos de movimiento fuerte del suelo desarrollados por Abrahamson et al. (2013), [1] para aceleraciones horizontales y por Gülerce et al. (2013), [12] para aceleraciones verticales, que corresponden al programa Next Generation Attenuation (NGA WEST2) el mismo que cuenta con acreditado reconocimiento mundial. Estos modelos son aplicables al régimen tectónico cortical del Distrito Metropolitano de Quito, la ciudad se encuentra sobre o muy próximo a los segmentos de fallas ciegas inversas denominadas: Puengasí, Ilumbisí-La Bota, Carcelén el Inca, Bellavista-Catequilla y Tangahuilla, El Distrito Metropolitano de Quito, está dividido en cinco zonas: sur, centro sur, centro, centro norte y norte, para cada una de ellas se determinan espectros de respuesta elástica y relaciones espectrales V/H, considerando la magnitud máxima que podría generarse por la rotura de cada uno de los segmentos de falla y teniendo en cuenta el tipo de suelo que existe en cada zona.
Palabras clave: Ecuación de predicción del movimiento del suelo, espectro de respuesta, relación espectral V/H..
Abstract:
Models strong ground motion developed by Abrahamson et al. (2013), [1] for horizontal accelerations and Gülerce et al. (2013), [12] for vertical accelerations, corresponding to the program Next Generation Attenuation (NGA WEST2) which has the same recognition presented accredited world. These models are applicable to cortical tectonic regime of the Metropolitan District of Quito, which is on or very close to the reverse fault segments blind called: Puengasí, Ilumbisí-La Bota, Carcelen the Inca, Bellavista-Catequilla and Tangahuilla, The Metropolitan District of Quito, is divided into five zones: south, south-central, central, north central and north, for each spectra of elastic response and spectral relationships V / H are determined considering the maximum amount that could be generated by breaking each fault segments and taking into account the soil type that exists in each zone.
Keywords: Ground motion predictions equations, response spectrum, V/H spectral ratios..
1. Introducción
Quito puede verse afectada por dos tipos de sismos, fundamentalmente, los interplaca tipo thrust que tienen su origen en la costa y los asociados al fallamiento local. Es más en estudios de peligrosidad sísmica que se han realizado, se ha encontrado en la desagregación de la amenaza que la mayor fuente proviene de sismos cuyo epicentro se halle en un radio de 30 km., que tengan una magnitud alrededor de 6.5 y un coeficiente de incertidumbre de ε=2 (la incertidumbre viene dada por 𝜀 𝜎; siendo 𝜎 la desviación estándar). [3].
Se denomina espectro de control, al que se obtiene para el trio de parámetros indicados en el párrafo anterior: distancia, magnitud e incertidumbre.
Por lo tanto, el espectro de control, para las estructuras de la ciudad de Quito proviene del sistema de fallas ciegas inversas sobre las que se asienta la ciudad, donde se esperan sismos que varían entre 6.2 y 6.5 de magnitud de acuerdo al segmento de falla en que se originen. Por todo lo indicado a continuación se describe el sistema de fallas de Quito y se presentan espectros de respuesta asociados a estas fallas tanto para la componente horizontal como para la componente vertical, de movimiento del suelo.
En la Fig. 1A, se observa el sistema de fallas de Quito (QFS) y el sistema de fallas cercano de Guayllabamba (GFS) por sus siglas en ingles.

Se puede decir también que existen tres cuencas en la ciudad, desde el sur con dirección al norte se tiene las siguientes: Machangara, Batán y la de San Antonio. [6].
En la Fig. 1B, se muestra la longitud de superficie de ruptura (SRL) de cada uno de los siguientes segmentos de falla, denominados: Puengasí, (P); Ilumbisí La Bota, (ILB); más al norte aparece la loma de Carcelen el Inca, (CEI); Bellavista Catequilla, (BC), que define el mapa neotectónico de la ciudad de Quito. [6].
Considerando el ancho de falla de cada uno de los segmentos de falla, se determinó el área del plano de falla, los mismos que se presentan en la Fig. 1C, [18]; al aplicar las ecuaciones de [14], se halla la magnitud máxima 𝑀 𝑤 , esperada ya sea en función de la longitud de ruptura 𝐿 o del área de ruptura 𝐴.


En la Tabla 1 se indica el área de ruptura, la magnitud máxima hallada en base al área, la longitud de ruptura y la magnitud máxima hallada en base a la longitud. En la última fila se presenta la falla de Tangahuilla que forma parte del sistema de fallas de Quito pero en éste estudio no se la considera por encontrarse a una distancia considerable del norte de la ciudad de tal manera que un sismo generado en este segmento de falla no va a reportar ordenadas espectrales altas, lo que si ocurre cuando se generan sismos en los otros segmentos de falla, por la cercanía a la ciudad.
Es imposible definir en forma exacta el plano de falla que se daría al producirse un sismo en cualquiera de los segmentos de falla pero hay que hacerlo, para definir un modelo numérico de cálculo con el cual se generen espectros, en diferentes puntos de la ciudad, asociados a la ocurrencia de un sismo en uno de los segmentos de falla, con magnitud máxima.
Los sismos que se van a generar en las fallas inversas de Quito son del tipo impulsivo, que son de corta duración pero con un pulso de velocidad muy alto que lo convierten en muy destructores en el campo cercano. [11].
Al estar la ciudad sobre fallas inversas, la componente vertical, de movimiento del suelo, es muy importante razón por la cual se necesita conocer la forma de los espectros, que se generarían ante la componente horizontal y vertical.
Por otra parte, se ha determinado el Período de Recurrencia, para cada segmento de falla, con el modelo de Gutenberg y Richter Modificado (GR), suponiendo un valor de b entre 0.8 - 1.0, una tasa de deslizamiento entre 3.0 y 4.0 mm/año y considerando que la falla puede romper con sismos que van desde una Mmin=4.0 (lo que implica asumir que la energía liberada en la falla por terremotos de menor magnitud es ínfima en relación a la energía liberada por los terremotos de magnitud M≥4.0) y una Mmax = Magnitud (RA) indicada en la Tabla 1. Las tasas de sismos y los periodos de recurrencia asociadas a diferentes rangos de magnitudes son los mostrados en la Tabla 2. [18].
En la Fig. 2 se presenta la tasa acumulada 𝑁 (𝑚), en función de la magnitud 𝑀 𝑤 , la inversa de la tasa acumulada reporta el período de recurrencia, de ahí la importancia de esta gráfica que permite encontrar el período de recurrencia para las rupturas de diferente tamaño que puedan producirse en los diferentes segmentos de las fallas ciegas inversas de Quito.

Se encontrarán espectros asociados a la magnitud máxima indicada en la última fila de la Tabla 2, de tal manera que están asociados a los períodos de recurrencia que allí se indican. En términos generales se puede decir que el período de recurrencia esta alrededor de los 1000 años, aunque en forma específica se tiene un rango de variación del período de recurrencia.
Al estar por el orden de los 1000 años, se puede considerar que para las estructuras de la ciudad de Quito, los espectros que se obtienen a partir de un sismo cuya fuente es uno de los segmentos de las fallas ciegas inversas, con magnitud máxima esperada, es el sismo máximo considerado (MCE), y que el sismo de diseño es el que se obtiene con el espectro de la Norma Ecuatoriana de la Construcción (NEC-15), o el del estudio de la microzonificación sísmica de Quito [10], que vendría a ser el sismo de diseño (DBE).
2. Materiales y métodos
Debido a que cumplen los criterios de selección de ecuaciones de predicción de movimiento del suelo (GMPE’s) o modelos de movimiento fuerte, propuesto por [9] y otros autores, en el presente estudio se consideran los siguientes modelos de movimientos fuertes correspondientes al programa Next Generation Attenuation (NGA WEST2) desarrollados por Pacific Earthquake Engineering Research Center (PEER):
Abrahamson et al. (2013), [1] para aceleraciones horizontales
Gülerce et al. (2013), [12] para aceleraciones verticales,
En la Tabla 3 se presenta las variables que consideran cada uno de los modelos, se aprecia en forma general, que existen pocas diferencias entre ellos, razón por la cual las formas espectrales tienden a ser similares.

2.1. Modelo de Abrahamson et al. (2013)
La ecuación del modelo de Abrahamson et al. (2013) [1] con la cual se halla espectros de respuesta elástica para 5% de amortiguamiento para fallas corticales es la siguiente:

El significado de las funciones que intervienen en su formulación se indica a continuación:
Función del modelo base:

Donde:


Función del tipo de falla:


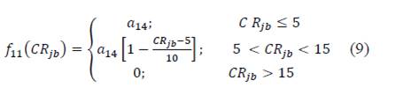
Función de réplicas:

Donde C R jb es la distancia en km., desde el sitio hasta el centroide del plano de falla.
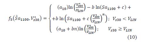
Función de sitio:

Donde:


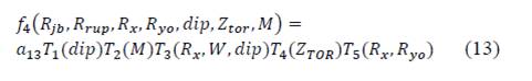
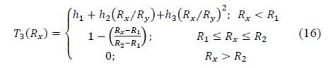
Función de Hangin Wall:







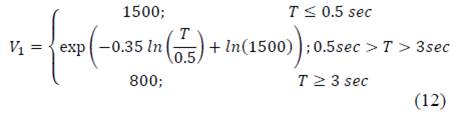
Si no se ha medido la distancia R yo el término T 5 puede ser calculado mediante la ecuación:

Función de profundidad de falla ZTOR

ZTOR es la profundidad al borde superior del plano de ruptura.
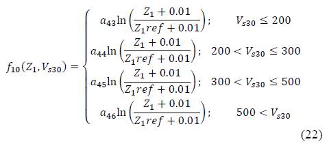
Función de profundidad de cuenca:

Dónde:


Donde Z1 es la profundidad donde la velocidad de la onda de corte es de 1000 m/s., si se desconoce esta cantidad se puede considerar Z1 = Z1ref
Función de regionalización

Dónde:


Modelo aleatorio
La desviación estándar para intra-eventos se expresa como una función dependiente de la magnitud mediante la siguiente expresión:

La desviación estándar para inter-eventos así mismo se expresa como una función dependiente de la magnitud mediante la siguiente ecuación:

La desviación estándar en la respuesta no lineal del suelo depende de la magnitud del evento, esta variabilidad depende del movimiento en roca, por lo que es necesario estimar la desviación estándar en roca, para hallar este valor los autores han empleado las siguientes ecuaciones:

Dónde:
(B: La desviación estándar en roca.
(AL: La desviación estándar para intra-eventos (lineal), que está en función de la magnitud (M) y el periodo (T).
(Amp: La desviación estándar de la amplificación del sitio. Asumida como 0.4 para todos los periodos basados en [Kamai, 2013]
Para la variabilidad inter eventos la desviación estándar en roca es la misma observada en la variabilidad del rango lineal entonces:

Los autores para considerar los efectos de la no linealidad del suelo consideraron las siguientes ecuaciones:
Para intra-eventos:

Para inter eventos:

Dónde:

Las Tablas de los coeficientes (a1, a2,..etc.) de las ecuaciones que no han sido descritos se pueden encontrar en la referencia [1]
Limitaciones del modelo
El alcance del modelo ASK13 es el siguiente:
• 3.0 ≤ M ≤ 8.5 para sismos generados en cualquier tipo de falla cortical.
• ZTOR ≤ 20km
• 0 ≤ RRUP ≤ 300 km
• 180 m/s ≤ VS30 ≤ 1500 m/s
Aunque según recomendaciones de los autores no debería usarse un VS30 menor a 190 m/s.
2.2. Modelo de Gülerce et al. (2013)
La forma funcional del modelo de Gülerce et al. (2013) [12]es consistente con la forma funcional utilizada por Abrahamson et al. (2013), con las siguientes excepciones:
La respuesta no lineal de sitio no está incluido
La profundidad a la roca madre no está incluido.
Por lo tanto en esta sección se presentará únicamente las ecuaciones que difieren del modelo de Abrahamson et al. (2013), ya presentado.
La ecuación del modelo de Gülerce et al. (2013) con la cual se halla espectros de respuesta elástica para 5% de amortiguamiento es la siguiente:

Función del modelo base

Dónde:

Función de sitio

Función de Hangin Wall

Función de regionalización

Modelo aleatorio
No se considera la desviación estándar en la respuesta no lineal del suelo, por tanto no son aplicables las ecuaciones (30) a la (34).
Las Tablas de los coeficientes (a1, a2,..etc.) de las ecuaciones que no han sido descritos se pueden encontrar en la referencia [12]
3. Metodología
El distrito metropolitano de Quito tiene 65 parroquias de las cuales 32 conforman la zona urbana de la ciudad de Quito. El área de estudio está limitada únicamente a estas parroquias que conforman la parte urbana de la ciudad.
Por otra parte, el distrito metropolitano tiene 5 zonas que son: norte, centro norte, centro, centro sur y sur dentro de estas zonas podemos ubicar las diferentes parroquias urbanas.
Para la determinación de los espectros de respuesta y las relaciones espectrales V/H se ha creado una malla de puntos con una separación de 500 metros en sentido Norte-Sur y Este-Oeste dentro del área previamente definida (área urbana del distrito metropolitano de Quito). Se tiene de esta manera un total de 810 puntos dentro de la malla.
Con esta consideración es posible obtener un espectro en cada punto de la malla asociado a las fallas de Puengasí, Ilumbisí, Carcelén y Catequilla, con lo que es factible calcular un total de 3240 espectros. Sin embargo el objeto de este estudio es obtener espectros de control, es decir espectros que tengan las mayores pseudoaceleraciones asociado a una falla, a un factor de sitio y a una zona de Quito, para posteriormente determinar las relaciones espectrales V/H.
Las ecuaciones de atenuación usan diferentes parámetros asociados a las distancias respecto al sitio. En este trabajo los 810 puntos dentro de la malla previamente definida, corresponden a los sitios de estudio y las áreas de ruptura han sido consideradas en función del modelo neotectónico de [6], se asumió un escenario tectónico en que cada falla rompe de manera independiente y que el hipocentro siempre estará en el centroide del plano de falla.
En las ecuaciones de atenuación descritas anteriores la determinación del efecto de sitio está asociado a la información de la velocidad media de la onda de corte de 0 a 30 metros (Vs30).
Si en la ciudad de Quito se tuviera un mapa de isovelocidades se tomaría estas velocidades en los diferentes sitios y se colocarían como datos de entrada en las ecuaciones de atenuación de este estudio. Sin embargo no existen este tipo de mapas en el distrito metropolitano de Quito y tampoco en el Ecuador.
Debido a que no se tiene un mapa de isovelocidades, se ha recurrido a estudios de microzonificación de suelos y a estudios de geofísica efectuados por diferentes autores para establecer los parámetros adecuados de Vs30 para la ciudad de Quito.
Para la obtención del parámetro Vs30 en este trabajo se toma en cuenta los siguientes informes técnicos:
“Proyecto del manejo del Riesgo Sísmico de Quito-Ecuador (EPN.,1994)
“Microzonificación sísmica de los suelos del distrito metropolitano de la ciudad de Quito” (Valverde et al.,2002)
Estudios geofísicos a detalle realizados por el metro de Quito
Estudios para el proyecto “Reforzamiento sísmico de las edificaciones de los centros educativos municipales del Distrito metropolitano de Quito” (Planman, 2012)
“ Microzonificación sísmica de Quito” (ERN,2012)
La (NEC-15), clasifica a los perfiles de suelos en 6 tipos diferentes que son A,B,C,D,E y F e indica los valores de Vs30 para cada tipo de suelo, a continuación se indica la Tabla 4. Para suelos tipo C y D, debido a que para ellos se obtienen los espectros de respuesta y posteriormente las relaciones espectrales V/H. Es importante destacar que la mayor parte de los suelos de Quito son C y D.
En la Tabla 4, 𝑉 𝑠 es la velocidad de la onda de corte en los primeros 30 m.; 𝑁 es el número medio de golpes del ensayo de Penetración Estándar SPT; 𝑆 𝑢 es la resistencia al corte no drenado.
4. Resultados y discusión
En cada una de las 5 zonas de Quito, se agruparon los suelos de acuerdo a la clasificación del NEC-15, se hallaron sus espectros en cada zona, por separado y se obtuvo un espectro promedio, para niveles de confianza del 50 y 84%, los mismos que se indican en el presente apartado.
Se presentan los espectros de control de aceleración horizontal y vertical obtenidos para los modelos de movimiento fuerte expuestos, adicionalmente utilizando la relación espectral V/H = 2/3, la cual está basada en observación de sismos reales y que es adoptada por varias normativas internacionales incluyendo la NEC-15.
Para las zonas: Sur, Centro Sur y Centro, los mayores espectros de control se hallan a partir de un sismo de magnitud 6.4 generado en la falla de Puengasí; esto debido a la cercanía del sitio a la falla. Para el Centro Norte y Norte de Quito, en cambio los mayores espectros se tienen a partir de un sismo de magnitud 6.2, en la falla de Ilumbisí-La Bota. De tal manera que estas dos fallas son las más críticas para la ciudad.
En la Fig. 3.A se indican los espectros de control que se hallan para las 5 zonas de Quito, para las fuentes sísmicas y magnitudes máximas, indicadas en el párrafo anterior en un perfil de suelo cuyo 𝑉 𝑠 =460 𝑚/𝑠. Se indica también el espectro que se halla al multiplicar las ordenadas del espectro de aceleraciones horizontal por 2/3 para tener en forma aproximada el espectro de aceleración vertical.

Se observa que la regla de los 2/3 sobredimensiona notablemente, el espectro vertical que se halla con el modelo de Gulerce et al. 2013, para el caso estudiado.
El contenido de la Fig. 4.A, es similar al de la Fig. 3.A, pero trabajando con suelos cuya velocidad de la onda de corte 𝑉 𝑠 =300 𝑚 𝑠 , se mantiene la misma tendencia, es decir que la regla de los 2/3 sobrestima el espectro de control de la aceleración vertical.

Con el propósito de dar una regla que permita obtener para la ciudad de Quito, espectros para la componente vertical, a partir del espectro para la componente horizontal, asociados a las fallas inversas de Quito; en la Fig. 5.A se presentan las relaciones espectrales V/H, obtenidas dividiendo la ordenada del espectro de aceleraciones verticales halladas con el modelo de Gülerce et al. (2013) para la ordenada del espectro de aceleraciones horizontales encontrada con el modelo de Abrahamson et al. (2013).
En términos generales se aprecia que para períodos mayores a 0.4 segundos, la relación V/H en suelos cuya velocidad de la onda de corte es de 300 m/s, es menor con respecto a la que se halla cuando 𝑉 𝑠 =460 𝑚/𝑠.

5. Conclusiones
Se determinó espectros de control para la componente horizontal y vertical de movimiento de suelo, para la ciudad de Quito, considerando la ocurrencia de un sismo de magnitud máxima en uno de los segmentos de las fallas inversas que atraviesan la ciudad. Se halló espectros en una malla en que están agrupados los puntos de acuerdo al tipo de suelo y se ha graficado los valores medios para dos niveles de confianza del 50 y 84%.
En el centro norte y norte de Quito el espectro control está asociado al segmento de falla Ilumbisí-La Bota y en el sur, centro sur y centro el segmento de falla es el de Puengasí, por la cercanía de estas fallas a las zonas indicadas.
En base a las ordenadas espectrales para la componente horizontal y vertical del movimiento del suelo se determinó la relación denomina V/H dividiendo la aceleración espectral de la componente vertical para la componente horizontal. Está relación sirve para obtener espectros verticales a partir de un espectro para la componente horizontal.
Del estudio realizado se desprende que la forma del espectro de aceleración horizontal y vertical son similares, el espectro de aceleración horizontal multiplicado por 2/3 presenta mayores ordenadas espectrales que el determinado con el modelo para aceleración vertical, sin considerar la desviación estándar; cuando se considera se observa que en el rango de períodos muy bajos los espectros hallados a partir de la componente vertical son mayores a los que se hallan con la regla de los 2/3 esto se puede notar en las Figs. 3, 4.
En la Fig. 5, notamos el efecto de la magnitud y de la condición de sitio en las curvas de las relaciones V/H. Respecto a la magnitud se puede mencionar que es consistente encontrar la mayor relación V/H en la falla de Puengasí asociada al sector sur debido a que esta falla presenta la mayor magnitud esperada Mw=6.4. Respecto a la condición de sitio notamos que las relaciones V/H para Vs30=460m/s y Vs30=300m/s son similares en los periodos cortos a excepción de la falla Ilumbisí la Bota asociada al norte de Quito en el que existe marcada diferencia. En los periodos largos existe la tendencia que relación V/H para Vs30=460m/s es mayor a la obtenida para Vs30=300m/s.
La relación estipulada en el NEC-15, V/H=2/3 es consistente en un rango de periodos bastante corto 0<T<0.2 s y en el restante rango de periodos se nota bastante conservadora.
Con el trabajo realizado se genera un aporte para la determinación del peligro sísmico en la ciudad de Quito y se motiva al Calculista Estructural a considerar la acción sísmica vertical ya que en determinadas estructuras (con voladizos grandes) influye de manera importante en su comportamiento.
La mayor incertidumbre que se tiene es en la determinación de la magnitud máxima esperada en cada segmento de falla; esta responde a una longitud o un área de ruptura por lo que se tiene que ser cauteloso en la determinación de los espectros de diseño y máximo sismo considerado. Con esto lo que se pretende es que el Proyectista Estructural diseñe su estructura para varios espectros los que le reporta el NEC-15 y los que se han presentado en este artículo.
En este trabajo se han presentado relaciones espectrales V/H de control asociadas a cada sector de Quito, finalmente en una investigación futura, se recomienda presentar las relaciones V/H asociadas a la distancia epicentral ya que es sabido que en el campo cercano al punto de ruptura de la falla las relaciones V/H serán mayores.
Referencias
[1] Abrahamson, N., Silva, W. and Kamai, R., Update of the AS08 Ground-motion prediction equations based on the NGA-West2 Data Set. Pacific Earthquake Engineering Research Center Headquarters, University of California, Berkeley, 2013.
[2] Abrahamson N. and Silva W., Summary of the Abrahamson and Silva NGA ground-motion relations, Earthquake Spectra 24, pp. 67-97, 2008.
[3] Aguiar, R., Espectros de control para la ciudad de Quito-Ecuador, Centro Internacional de Métodos Numéricos en Ingeniería, CIMNE, Universidad Politécnica de Cataluña, IS-72, Barcelona, 2015, 124 P.
[4] Alvarado, A., Audin, L., Nocquet, J.M., Lagreulet, S., Segovia, M., Font, Y., Lamarque, G., Yepes, H., Mother, P., Rolandone, F., Jarrin, P. and Quidelleur, X., Active tectonics in Quito, Ecuador, assessed by geomorpholigical studies, GPS data, and crustal seismicity, Tectonics, 33, pp. 67-83, 2014. DOI: 10.1002/2012tc003224.
[5] Alvarado, A., La deformación continental en el Ecuador y su implicación en el peligro sísmico, Tercer Encuentro de Ingeniería Civil. Escuela Politécnica Nacional, Quito, 2013.
[6] Alvarado, A., Néotectonique et cinématique de la déformationcontinentable en Equateur. These pour obtener le grade de Docteur. Université de Grenoble, France, 2012.
[7] Ancheta, T., Darragh, R., Stewart, J., Seyhan, E., Silva, W., Chiou, B., Wooddell, K., Graves, R., Kottke, A., Boore, D., Kishida, T. and Donahue, J., PEER NGA-WEST-2 Database. Report PEER 2013/03. PEER-Pacific Earthquake Engineering Research Center, University of California, Berkeley , USA, 2013.
[8] CEC-2000. Código Ecuatoriano de la Construcción, Colegio de Ingenieros Civiles de Pichincha, Quito, 2000
[9] Douglas, J., Ground-motion prediction equations 1964-2016. [online]. Availabel at: http://www.gmpe.org.uk/
[10] ERN-Evaluación de Riesgos Naturales: Microzonificación sísmica del distrito metropolitano de Quito. Estudio de la amenaza sísmica a nivel local. Programa de reducción de riesgos urbanos del Distrito Metropolitano de Quito, 2012.
[11] Frau, C.D. y Saragoni, R., Terremotos tipo pulso y efectos de directividad de la ruptura, CeReDeTeC-Centro Regional de Desarrollos Tecnologicos para la Construcción, Tesis, Facultad Regional Mendoza, Universidad Tecnológica Nacional, Buenos Aires, Argentina, 2012, 26 P.
[12] Gülerce, Z., Kamai, R., Abrahamson, N.A. and Silva, W.J., NGA-West2 ground motion prediction equations for vertical ground motions. Report PEER 2013/24, Pacific Earthquake Engineering Research Center, PEER. Pacific Earthquake Engineering Research Center, PEER, pp. 3-48, 2013.
[13] Kamai, R., Abrahamson, N. and Silva, W., Nonlinear horizontal site response for the NGA-West2 project. Report PEER 2013/12, PEER-Pacific Earthquake Engineering Research Center Headquarters, University of California, Berkeley , USA, 2013.
[14] Leonard, M., Earthquake fault scaling: Self consistent relating of rupture length width, average displacement, and moment release, Bulletin of the Seismological Society of America, 100 (SA), pp. 1971-1988, 2010.
[15] NEC-15. Norma Ecuatoriana de la Construcción, Ministerio de Desarrollo Urbano y Vivienda, MIDUVI, 2015.
[16] PLANMAN. Estudio de vulnerabilidad sísmica de las edificaciones de los centros educativos municipales en el Distrito Metropolitano de Quito. Secretaría de Seguridad y Gobernabilidad. Distrito Metropolitano de Quito, Fase A, 153 P., y Fase B, 120 P., Quito, 2012.
[17] Quizanga, D., Espectros específicos para la ciudad de Quito en función de fallas ciegas inversas, Tesis de Maestría, Escuela Politécnica Nacional, Quito, Ecuador, 2015, 165 P.
[18] Rivas-Medina, A., Aguiar, R., Benito, M.B., Gaspar, J. y Parra, H., Determinación del período de recurrencia y magnitud máxima para el control de las estructuras en el rango elástico ante un sismo asociado a las fallas inversas de Quito, Revista Internacional de Ingeniería de Estructuras, 19, pp. 201-217, 2014b.
[19] Valverde, J., Fernández, J., Jiménez, E., Vaca, T. and Alarcón, F., Microzonificación sísmica de los suelos del Distrito Metropolitano de la Ciudad de Quito, Tesis, Escuela Politécnica Nacional del Ecuador, Quito, Ecuador, 2002.
Notas