Artículos generales
Cambios en la permeabilidad y porosidad de medios porosos no consolidados debido a cambios en el esfuerzo de confinamiento y la temperatura - Un estudio experimental
Permeability and porosity changes in unconsolidated porous media due to variations of confining stress and temperature - An experimental study
Cambios en la permeabilidad y porosidad de medios porosos no consolidados debido a cambios en el esfuerzo de confinamiento y la temperatura - Un estudio experimental
Boletín de Ciencias de la Tierra, núm. 42, pp. 64-72, 2017
Universidad Nacional de Colombia
Recepción: 06 Junio 2017
Recibido del documento revisado: 05 Julio 2017
Aprobación: 17 Julio 2017
Resumen:
Los procesos de recobro térmico se constituyen en una técnica eficiente y comúnmente aceptada para la explotación de los yacimientos de crudo pesado. El aumento de la temperatura del medio poroso como resultado de la inyección de vapor en los procesos de recobro térmico, reduce en forma significativa la viscosidad del petróleo y hace posible el flujo del mismo hacia los pozos productores. En los últimos años, se han presentado avances tecnológicos que han permitido que tales operaciones estén monitoreadas y que la operación sea más rentable y segura, desde la perspectiva de aseguramiento de la integridad del sistema de flujo en superficie. El aseguramiento de la capacidad de flujo de la formación al igual que la integridad mecánica de la formación productora y las formaciones suprayacentes con los cambios en presión y temperatura promovidos por el proceso de inyección de vapor, es un tema de actual vigencia, dadas sus implicaciones económicas y medioambientales, en especial para yacimientos de crudo pesado a profundidades someras. Por lo tanto, procurar la comprensión correcta de lo que sucede en el yacimiento y las formaciones suprayacentes durante el recobro térmico se ha convertido en un tema de interés para reducir el impacto ambiental de estas operaciones y generar modelos que predicen la producción y el factor de recobro con precisión y fiabilidad. Evidencias experimentales plantean que la productividad y la capacidad de flujo de los pozos afectados por procesos de recobro térmico no sólo dependen del efecto de la temperatura sobre la viscosidad del petróleo pesado, sino que también involucran el efecto de la temperatura sobre las propiedades tanto petrofísicas como mecánicas del medio poroso. Por lo tanto, la comprensión del comportamiento geomecánico y petrofísico de las formaciones geológicas bajo diferentes escenarios de esfuerzos y temperatura es fundamental para modelar los diferentes procesos al interior del yacimiento durante el recobro térmico, y en particular los que determinan la productividad de los pozos y el factor de recobro del proceso. El artículo presenta los resultados de laboratorio acerca del comportamiento de la porosidad y la permeabilidad con la temperatura y el esfuerzo de confinamiento en un medio poroso no consolidado. La evaluación hace uso de núcleos reconstituidos a partir de muestras de formación no consolidadas saturadas con petróleo pesado. Para cada condición de esfuerzo de confinamiento, se realizó el registro del cambio con temperatura del volumen poroso, el volumen total y la permeabilidad de la muestra a diferentes etapas de calentamiento. Los resultados evidencian una dependencia significativa de la permeabilidad y porosidad con el esfuerzo de confinamiento al que se somete el medio poroso. A mayor esfuerzo efectivo de confinamiento, mayor es la reducción de la porosidad y permeabilidad al aumentar la temperatura; mientras que a bajo esfuerzo de confinamiento, se mantiene la tendencia para la permeabilidad pero no para la porosidad del medio poroso.
Palabras Clave: Recobro térmico, efecto termo-mecánico, permeabilidad, porosidad, crudos pesados..
Abstract:
Thermal recovery processes are an efficient and commonly accepted technique for the exploitation of heavy oil reservoirs. The increase in the temperature of the porous medium because of steam injection in a thermal recovery processes, significantly reduces the oil viscosity and makes possible its flow to the producing wells. In recent years, there have been technological advances that have allowed such operations to be monitored achieving more profitable and safe process from the perspective of the integrity of the surface flow system. The assurance of the formation flow capacity as well as the mechanical integrity of the production and overlying formations with pressure and temperature changes caused by the steam injection process is a subject of current validity, given their implications economic and environmental impacts, especially for heavy oil reservoirs at shallow depths. Therefore, to ensure a correct understanding of what happens to reservoir and overlying formations during the thermal recovery process has become an issue of interest in reducing the environmental impact of these operations and generating models that predict production and the recovery with accuracy and reliability. Experimental evidence suggests that the productivity of the wells and the flow capacity of the reservoir affected by thermal recovery processes depend not only on the temperature effect on the heavy oil viscosity but also on the effect of temperature on both petrophysical and mechanical properties of the porous medium. Therefore, the understanding of the geomechanical and petrophysical behavior of the geological formations under different stress and temperature scenarios is fundamental to model the different processes within the reservoir during the thermal recovery, and in particular those that determine the productivity of the wells and the recovery factor of the process. The paper presents laboratory results about the porosity and permeability behavior with temperature and confinement stress for a non - consolidated porous medium. The evaluation makes use of reconstituted cores made from unconsolidated outcrops completely saturated with heavy oil. At each confinement stress condition, pore volume, total volume and permeability of the core are recorded at different heating stages. The results show a significant dependence of the permeability and porosity with the confinement stress. The greater the effective confinement stress, the greater the reduction of porosity and permeability as temperature increases. At low confinement stress, the tendency is maintained for permeability but not for the porosity of the porous medium.
Keywords: Thermal recovery, thermo-mechanical effect, permeability, porosity, heavy oil..
1. Introducción
El efecto de la temperatura en las propiedades de los medios porosos ha capturado la atención de los científicos que trabajan en diferentes áreas, tales como ingeniería de perforación, ingeniería de yacimientos y recobro de petróleo por métodos térmicos, como también en proyectos de energía geotérmica y eliminación de desechos nucleares. [1] presentan una recopilación de la información disponible hasta el momento de su publicación sobre los cambios en propiedades petrofísicas causados por cambios de temperatura. Se discuten propiedades tales como porosidad, permeabilidad, resistividad eléctrica y presión capilar. Los autores plantean la presencia de similitudes y contradicciones entre los diferentes trabajos revisados. Con base en la revisión presentada en este artículo, se encuentra que las propiedades petrofísicas pueden cambiar considerablemente por cambios de temperatura hasta los 400°C, por lo que recomiendan tomar en cuenta estos cambios en la evaluación de la formación y en los cálculos de ingeniería de yacimiento al igual que en la evaluación de la productividad asociada a procesos térmicos de recobro de petróleo en yacimientos de crudo pesado.
Las contradicciones presentadas en este trabajo están asociadas al no consenso acerca de la tendencia de variación de la permeabilidad del medio debido a cambios de temperatura. Mientras que algunos autores han encontrado que la permeabilidad disminuye con la temperatura, algunos otros han propuesto el comportamiento opuesto. Incluso algunos autores han encontrado que el incremento de la temperatura es una causa del daño de formación [2]. También se han realizado algunos estudios para encontrar el efecto del enfriamiento de la formación durante la circulación del fluido de perforación en las operaciones de perforación de pozos [3-5].
El efecto de la temperatura se ha evaluado para diferentes litologías como carbonatos [6], donde se realizan pruebas de permeabilidad a diferentes condiciones de temperatura y esfuerzo de confinamiento. Los resultados muestran una reducción de la permeabilidad cuando la temperatura aumenta para todos los casos, y se enfatiza en que la pérdida de permeabilidad es más significativa cuando la muestra se somete a mayores esfuerzos de confinamiento, con una reducción máxima de permeabilidad del 65%.
Por su parte Yu et al. (2015) [7] evalúan el efecto de la temperatura y el esfuerzo de confinamiento en el comportamiento de la permeabilidad en muestras de arenisca. Inicialmente se evidencia una disminución de la permeabilidad con la temperatura hasta los 200°C, esta reducción es más evidente para los casos de menor confinamiento, a partir de los 200°C la permeabilidad aumenta con la temperatura para todos los estados de confinamientos.
Una vez que la recuperación térmica se tornó en una práctica común para aumentar el factor de recobro de petróleo en yacimientos de crudo pesado y de arenas bituminosas en Canadá, algunos investigadores promovieron estudios e investigaciones encaminados a evaluar el cambio de las propiedades petrofísicas durante estos procesos. Scott et al. (1994) [8] presentan un estudio de la deformación volumétrica y los cambios de permeabilidad durante la inyección de vapor. Los autores concluyen que el cambio en la permeabilidad con la temperatura es altamente influenciado por las condiciones de confinamiento que se tengan durante las pruebas. Así pues, para casos de alto confinamiento, la permeabilidad del medio disminuye, mientras que en casos de bajo confinamiento, la permeabilidad aumenta con los cambios de temperatura. Chalaturnyk (1995) [9] verifica el comportamiento dilatante de arenas no consolidadas cuando la temperatura aumenta, y dicho proceso resulta en un aumento hasta del 30% en la permeabilidad.
Un menor número de estudios se reportan encaminados a evaluar y determinar la influencia del cambio de la temperatura en la porosidad de los medios porosos. Algunos de estos estudios se han enfocado en encontrar la relación entre temperatura y porosidad utilizando modelos analíticos [10,11]. El trabajo de Tran et al. (2008) [10] hace uso de la teoría poro-elástica para obtener una expresión analítica que relaciona los cambios en la porosidad con los cambios en temperatura. Adicionalmente, Hassanzadegan et al. (2014) [11] concluyen que la porosidad es directamente proporcional a la temperatura para bajos estados de confinamiento, mientras que a estados de altos esfuerzos, la porosidad disminuye con la temperatura.
Con el fin de comprender el comportamiento de las propiedades petrofísicas (porosidad y permeabilidad) en formaciones de crudo pesado colombianas durante los procesos de recobro térmico, se plantea una serie de pruebas experimentales que incluyan las mediciones de estas propiedades a diferentes condiciones de temperatura y esfuerzo de confinamiento. Para este estudio, se utilizan núcleos reconstituidos a partir de material recolectado en un afloramiento de la formación Picacho, formación portadora de crudo pesado y de posible interés de desarrollo comercial en Colombia. El análisis mineralógico de las muestras refleja la presencia de una cantidad importante de finos, aproximadamente 40%, en una matriz constituida principalmente por cuarzo. La Fig. 1 muestra la distribución del tamaño de partícula y la composición mineralógica de la formación Picacho.

2. Montaje experimental
Los experimentos se llevaron a cabo en el laboratorio GeoREF de la Universidad de Alberta. Se utilizó una celda triaxial de alta presión y alta temperatura. La celda se coloca en una cámara ambiental donde la temperatura puede ser controlada como se muestra en la Fig. 2. La parte superior de la celda es flotante, lo que permite aplicar una presión de confinamiento isótropa alrededor de la muestra. El fluido utilizado para saturar la muestra es salmuera (NaCl al 3%) y la presión de poro se mantiene constante para todos los ensayos e igual a 800 psi. El nivel de presión de poro sugerido se plantea con dos propósitos, en primer lugar para asegurar que el fluido alojado en el poro se mantenga en estado líquido a la condición de temperatura más alta a utilizar en las pruebas (230ºC), y en segundo lugar, es una estimación de la presión de poro en yacimientos de hidrocarburos a condición de gradiente normal de presión y a una profundidad aproximada de 2000 pies. Se utiliza aceite de silicona como fluido de confinamiento dado que sus propiedades no se ven afectadas por la temperatura. Por último, la muestra se recubre con una membrana de VITON que puede deformarse y evita la comunicación entre el fluido de la celda y el fluido de poro a altas temperaturas.

La celda triaxial está conectada a diferentes bombas como se muestra en la Fig. 3. Una primera bomba controla la presión de confinamiento, la segunda mantiene la presión de poro durante todas las etapas del proceso, y la tercera bomba se utiliza para realizar los ensayos de permeabilidad. Las pruebas de permeabilidad se realizan fluyendo agua a través de la muestra, en sentido vertical de abajo hacia arriba. Se utilizan transductores para el registro de presión, y la temperatura es controlada por una cámara ambiental y una termocupla, la cual se coloca cerca de la muestra para verificar y controlar la temperatura en el proceso.

3. Procedimiento
Las pruebas se realizan sobre muestras reconstituidas con material proveniente de un afloramiento de la formación Picacho localizado en la Cordillera Oriental de Colombia. Este material estaba totalmente saturado por aceite y agua, una vez extraídos los fluidos presentes en las muestras, se procede a la generación de los núcleos reconstituidos mediante compactación hasta alcanzar una porosidad mínima.
Las pruebas se realizan en diferentes etapas: saturación, consolidación isótropa y calentamiento. Las muestras reconstituidas, con porosidad promedio de 27%, 2.5 pulgadas de diámetro y 5 pulgadas de longitud, se saturan completamente con salmuera y se preservan en congelador para mantener el nivel de porosidad alcanzada durante la reconstitución. Para comprobar que la muestra está 100% saturada por un fluido incompresible, se realiza una prueba de Skempton, con la cual se aumenta el esfuerzo de confinamiento y se registra la variación de la presión de poro resultante del incremento de confinamiento, en un gráfico de presión de poro vs. esfuerzo de confinamiento se debe obtener una pendiente unitaria en arenas poco consolidadas [12].
La consolidación isótropa se lleva a cabo por etapas, en las que el esfuerzo de confinamiento se incrementa mientras la presión de poro permanece constante, lo que resulta en exceso de fluido en el medio poroso que es expulsado de la muestra y por lo tanto el volumen de poro de la misma se reduce. Todas las muestras se llevan hasta un esfuerzo de confinamiento efectivo final de 1200 psi con el fin de tener el mismo punto de partida para todas las muestras a evaluar y posteriormente el esfuerzo de confinamiento se disminuye hasta las condiciones deseadas en función del programa de pruebas.
Dado el nivel de presión de poro inicial establecido en 800 psi para todas las muestras, en función de la profundidad del medio poroso a representar, y de acuerdo con la expresión propuesta por Terzaghi para evaluar el esfuerzo efectivo, Ecuación (1), los esfuerzos totales de confinamiento resultantes son 2000, 1380 y 858 psi, los cuales corresponden a valores de esfuerzos efectivos de confinamiento de 1200, 580 y 58 psi, respectivamente.

Una vez se consolida la muestra a temperatura ambiente, aproximadamente 20°C, el calentamiento se realiza también por etapas. Para realizar las mediciones de permeabilidad a las temperaturas definidas. Las muestras se llevan a la temperatura deseada manteniendo constante el esfuerzo efectivo, con una tasa de calentamiento constante de 10°C/hora para evitar un choque térmico en las muestras que pueda provocar el triturado del grano. El proceso se monitorea mediante una termocupla ensamblada con la muestra. Una vez la termocupla registra un valor constante de la temperatura, se procede con el siguiente paso en el calentamiento. Durante el calentamiento, la temperatura registrada por la termocupla se monitorea constantemente al igual que el cambio de volumen en la bomba del sistema de presión de poro, lo cual posibilita el cálculo del cambio de volumen de poro como se detalla a continuación.
El volumen de la muestra es la suma del espacio poroso y el volumen del esqueleto sólido.

La porosidad se define como la razón entre el volumen poroso y el volumen total de la muestra.

El cambio en el volumen total se puede calcular a partir del cambio del volumen poroso y del cambio del volumen de sólido, como resultado del proceso de confinamiento y calentamiento.

El cambio de volumen registrado por la bomba de presión de poro corresponde a dos volúmenes diferentes, la expansión térmica isobárica del fluido situado dentro del espacio poroso de la muestra y el cambio en el volumen de poro resultante del aumento del volumen de sólido por expansión térmica (Ecuación 5).
Una termocupla instalada a la entrada de la bomba de presión de poro monitorea la temperatura de la bomba, para verificar que el cambio de volumen registrado por la bomba de presión no está afectado por procesos de expansión térmica del fluido al interior de la misma. Este monitoreo verifica que la termocupla muestra una temperatura constante a través de todos los experimentos, y por lo tanto, el cambio de volumen registrado sólo está asociado a los procesos internos en la muestra.

El cambio de volumen asociado a la expansión térmica del fluido de poro se puede calcular por la ecuación de expansión volumétrica térmica, Ecuación (6).

Teniendo en cuenta que el coeficiente de expansión térmica del agua no es constante con la temperatura (Fig. 4), se realiza el cálculo por etapas del cambio de volumen de fluido por expansión térmica de acuerdo con los niveles de temperatura en las pruebas, con el fin de predecir de forma más precisa el cambio del volumen poroso y por ende el cambio en porosidad.

4. Resultados y discusión
La Fig. 5 muestra el cambio de volumen medido por la bomba que controla la presión de poro al igual que la temperatura medida al interior de la celda y de la bomba. El cambio de volumen se correlaciona perfectamente con el cambio de temperatura, lo que sugiere que el volumen que entra en la bomba resulta del proceso de expansión volumétrica como resultado del calentamiento de la muestra.

Como se mencionó anteriormente, la temperatura al interior de la bomba también se controla para verificar y controlar que el cambio de volumen que registra la bomba de presión de poro no está relacionado con la expansión térmica del fluido dentro de la propia bomba. Adicionalmente, los datos en la Fig. 5 evidencian que la temperatura en la bomba permanece constante mientras se calienta la muestra, lo cual implica que los cambios medidos por la bomba corresponden a cambios en el volumen del fluido en el sistema poroso por efectos de la expansión térmica de la salmuera y del esqueleto sólido de la muestra netamente.
Para verificar si el cambio de volumen medido en la bomba corresponde sólo a la expansión del agua o si también tiene un componente de cambio de volumen poroso, se presenta la expansión térmica del volumen poroso junto con el cambio de volumen registrado por la bomba durante el calentamiento de la muestra (Fig. 6). Dado que las muestras están totalmente saturadas con salmuera, la expansión de la salmuera se calcula sobre la base del volumen poroso inicial y su cálculo hace uso del coeficiente de expansión térmica en función de la temperatura, Fig. 4.

La Fig. 6 presenta los cambios de volumen medidos en la bomba que controla la presión de poro durante el proceso de calentamiento para dos esfuerzos de confinamiento, 58 y 1200 psi; y para efectos de comparación y análisis, se presenta la curva asociada con la expansión térmica teórica del agua (gris). En general, la curva del cambio de volumen asociado a la expansión del agua con temperatura es mayor que el cambio registrado en volumen con temperatura para las curvas a bajo y alto esfuerzo de confinamiento, lo que implica que el volumen poroso se está expandiendo en ambos casos. Las muestras están en un proceso progresivo de dilatación, lo que puede llevar a un incremento en la porosidad del medio.
La Fig. 7 muestra el cambio de volumen poroso durante el calentamiento para dos esfuerzos de confinamiento efectivos (58 y 1200 psi), el cálculo del cambio en el volumen poroso se realiza a partir de la Ecuación (5). Durante el calentamiento a bajo esfuerzo de confinamiento efectivo (58 psi) el volumen poroso de la muestra aumenta, lo que indica que la muestra está en condiciones de dilatación, esto induce un posible aumento en la porosidad de la muestra. De otro lado, a alto esfuerzo efectivo de confinamiento, 1200 psi, el cambio de volumen poroso aumenta mientras que el cambio de volumen registrado por la bomba (Fig. 6) es menor que el cambio de volumen asociado a la curva de expansión térmica teórica del agua a las mimas condición de temperatura. Para cuando el volumen en la bomba se acerca a la curva de expansión térmica del agua, el cambio de volumen poroso a 1200 psi disminuye, lo que significa una reducción del espacio poroso y por lo tanto una reducción de la porosidad.

La Fig. 8 presenta el cambio de volumen total de la muestra, el cual se obtiene del registro de la deformación volumétrica adquirido por los medidores internos de desplazamiento durante el proceso de calentamiento (Fig. 3). De acuerdo con la convención utilizada en este estudio, las deformaciones compresivas son positivas y las deformaciones extensionales o expansivas son negativas. Para ambas condiciones de esfuerzo de confinamiento, el volumen total de las muestras aumenta con la temperatura, sin embargo la prueba realizada a 58 psi de esfuerzo de confinamiento evidencia un aumento en el volumen total de la muestra mucho más significativo que el respectivo para la muestra evaluada a 1200 psi de esfuerzo efectivo de confinamiento.

Estos resultados están en concordancia con las mediciones registradas por la bomba que controla la presión de poro (Fig. 7), en la cual para la muestra evaluada a bajo esfuerzo de confinamiento, 58 psi, se tiene un mayor aumento en el volumen de poro con el aumento en la temperatura. Esto lleva a que a una condición de esfuerzo de confinamiento baja se presente probablemente un aumento tanto del volumen total de la muestra como del volumen poroso, y por ende un posible aumento en porosidad (Ecuación 3), por el contrario, para la muestra sometida a un alto confinamiento, se presenta un aumento en el volumen total y una disminución en el volumen poroso, lo que conlleva a una disminución de la porosidad de la muestra.
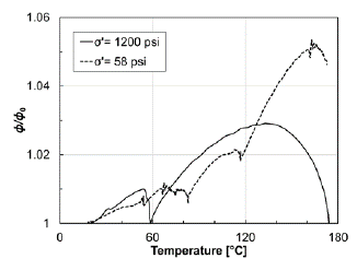
La Fig. 9 muestra el comportamiento de la porosidad normalizada con cambios de temperatura para dos valores de esfuerzo de confinamiento efectivo (58 y 1200 psi). A pesar que el comportamiento de ambas curvas es muy similar en las primeras etapas del calentamiento, la mayor diferencia en el comportamiento de porosidad normalizada a temperaturas elevadas sugiere que la influencia de la temperatura en los cambios de porosidad es mayor a bajo esfuerzo de confinamiento.

Adicionalmente, el comportamiento de la curva de porosidad normalizada a alto esfuerzo de confinamiento, 1200 psi, en el rango de alta temperatura difiere del comportamiento mostrado a bajo esfuerzo de confinamiento. Para el primer caso se presenta el retorno de la porosidad a los valores iniciales, mientras que a bajo esfuerzo de confinamiento, la porosidad presenta un incremento significativo con la temperatura. Los cambios de comportamiento están determinados por la capacidad del volumen total a cambiar con temperatura, pero dicho cambio esta modulado por el nivel de esfuerzo de confinamiento aplicado, lo cual concuerda con los resultados presentados por [7,10].
Como se mencionó anteriormente, el procedimiento experimental también incluyó medidas de permeabilidad adquiridas en las diferentes etapas durante el calentamiento. La temperatura se controla durante las pruebas de permeabilidad para asegurar que permanece constante y que el fluido se caliente antes de que fluya a través de la muestra. La Tabla 1 presenta las gráficas que ilustran el comportamiento de la permeabilidad de las muestras durante el calentamiento para diferentes condiciones de esfuerzo efectivo de confinamiento. La permeabilidad a un alto esfuerzo de confinamiento, tiende a disminuir cuando la temperatura aumenta; mientras que la permeabilidad a bajo esfuerzo de confinamiento (58 psi) aumenta hasta cierto nivel de temperatura para luego disminuir en el rango de temperaturas mayores.

La permeabilidad medida en las muestras sometidas a un esfuerzo de confinamiento efectivo de 1200 psi, tercera columna de la Tabla 1, manifiestan una reducción notable del orden de 75% a 230°C y de 50% a 120°C. En igual sentido, la permeabilidad evaluada a 580 psi de esfuerzo de confinamiento presenta una disminución menos significativa con temperatura, del orden de 57%.
Finalmente, el comportamiento de la permeabilidad con temperatura a bajo esfuerzo efectivo de confinamiento, primera columna de la Tabla 1, presenta un aumento del 33 % en la permeabilidad en el rango de 20 a 80°C, pero a temperaturas superiores a 120°C aproximadamente, la permeabilidad recupera su valor original seguido de una pérdida de permeabilidad significativa del orden del 56% a 180(C.
A partir de los resultados experimentales se puede definir que el nivel de disminución de la permeabilidad en la formación Picacho depende del nivel de confinamiento al que se someta la muestra; es decir, que a medida que el confinamiento de la muestra aumente también lo hará el nivel de reducción de la permeabilidad.
Los resultados a esfuerzos de confinamiento efectivo altos muestran que la reducción de la porosidad de las muestras conduce a una pérdida de permeabilidad. Todas las gráficas analizadas en este trabajo muestran un comportamiento exponencial con coeficientes de correlación muy cercanos a 1. Esto sugiere que la temperatura podría tener un efecto similar al esfuerzo de confinamiento como lo han propuesto Pedrosa et al. (1992) [13]. La relación exponencial entre permeabilidad y esfuerzo de confinamiento se ha generalizado en la comunidad académica e industrial para modelar los cambios de permeabilidad debido a los cambios en la presión de poro resultantes de los procesos de inyección / producción de fluido en yacimientos de petróleo y gas. Sin embargo, como se ha mencionado antes, con bajo esfuerzo de confinamiento la relación entre temperatura y permeabilidad es diferente ya que el volumen poroso tiene la posibilidad de expandirse.
5. Conclusiones
Se realizaron pruebas experimentales con el fin de determinar el efecto de la temperatura y el esfuerzo efectivo de confinamiento sobre las propiedades petrofísicas de núcleos reconstituidos con material de la formación Picacho. A partir del trabajo experimental realizado, se puede concluir que:
El nivel del esfuerzo de confinamiento al que está sometido un medio poroso no consolidado presenta una influencia significativa en el comportamiento de la porosidad y permeabilidad del mismo. A bajo esfuerzo de confinamiento, formación a profundidad somera, la porosidad y permeabilidad aumentarían su magnitud en función del aumento de la temperatura. A condición de alto esfuerzo de confinamiento, yacimiento a mayor profundidad, la permeabilidad disminuye al aumentar la temperatura, pero dicho efecto no es evidente en el comportamiento de la porosidad.
Los cambios de volumen asociados a la expansión por temperatura de los fluidos al interior del medio poroso y a la expansión de la matriz sólida que constituye la muestra están fuertemente modulados por el nivel o magnitud del esfuerzo efectivo de confinamiento.
A mayor esfuerzo efectivo de confinamiento, mayor es la reducción de la permeabilidad del medio poroso durante el proceso de calentamiento.
En términos de porosidad se concluye que aunque todas las muestras presentan un incremento en el volumen total, solo las muestras sometidas a bajos confinamientos (58 psi) presentan un incremento en el volumen poroso, y por ende un incremento en porosidad.
Agradecimientos
Este trabajo ha sido posible por el aporte del proyecto de investigación COLCIENCIAS - ECOPETROL 0264-2013 y a la Universidad Nacional de Colombia. Los autores también desean reconocer la contribución del personal del laboratorio GeoREF de la Universidad de Alberta, como parte de un acuerdo de colaboración entre el Grupo de Investigación de Geomecánica de Yacimiento (RG2) de la Universidad de Alberta y el Grupo de Investigación en Geomecánica Aplicada (GIGA) de la Universidad Nacional de Colombia sede Medellín.
Nomenclatura

Referencias
[1] Sanyal, S., Marsden, S. and Ramey, H., Effect of temperature on petrophysical properties of reservoir rocks. Proceedings of California Regional Meeting, SPE - 4898, 1974. DOI: 10.2118/4898-MS
[2] Gupta, A. and Civan, F., Temperature sensitivity of formation damage in petroleum reservoirs. Proceeding of Formation Damage Control Symposium. SPE - 27368, 1994. DOI: 10.2118/27368-MS
[3] Chen, G. and Ewy, R.T., Thermoporoelastic effect on wellbore stability. SPE Journal, 10(2), pp. 121-129, 2005. DOI: 10.2118/89039-PA
[4] Horsrud, P.H., Holt, R.M. and Renlie, L., Drilling induced formation damage - Stress and temperature effects. Proceedings of 32nd U.S Symposium on Rock Mechanics. ARMA-91-423, [online]. 1992. Available at: https://www.onepetro.org/download/conference-paper/ARMA-91-423?id=conference-paper%2FARMA-91-423
[5] Dusseault, M.B., Stress changes in thermal operations. Proceedings of SPE International Thermal Operations Symposium. SPE - 25809, 1993. DOI: 10.2118/25809-MS
[6] Benzagouta, M.S. and Amro, M.M., Pressure and temperature effect on petrophysical characteristics: Carbonate reservoir case. Proceedings of SPE Saudi Arabia Section Technical Symposium. SPE - 126045, 2009. DOI: 10.2118/126045-MS
[7] Yu, J., Chen, S., Chen, X., Zhang, Y. and Cai, Y., Experimental investigation on mechanical properties and permeability evolution of red sandstone after heat treatments. Journal of Zhejiang University - Science A, 16(9), pp. 749-759, 2015. DOI: 10.1631/jzus.A1400362
[8] Scott, J., Proskin, S. and Adhikary, D., Volume and permeability changes with steam stimulation in an oil sands reservoir. Journal of Canadian Petroleum Technology, 33(7), pp. 44-52, 1994. DOI: 10.2118/94-07-06
[9] Chalaturnyk, R.J., Geomechanics of the steam assisted gravity drainage process in heavy oil reservoirs, PhD dissertation, Department of Civil and Environmental Engineering, University of Alberta, Edmonton, Canada, 1995. DOI: 10.7939/R39W0971Z
[10] Tran, D., Nghiem, L., Buchanan, L., Geilikman, M., Leshchyshyn, T., Hannan, S. and Wong, S., Modelling thermal geomechanical effects on simulation porosity. Proceedings of 42nd US Rock Mechanics Symposium and 2nd Canada Rock Mechanics Symposium. ARMA - 08 - 087, [online]. 2008. Available at: https://www.onepetro.org/download/conference-paper/ARMA-08-087?id=conference-paper%2FARMA-08-087
[11] Hassanzadegan, A., Blo, G., Milsch, H. and Urpi, L., The effects of temperature and pressure on the porosity evolution of Flechtinger sandstone. Rock Mechanics and Rock Engineering, 47(2), pp. 421-434, 2014. DOI: 10.1007/s00603-013-0401-z
[12] Arias-Buitrago, J.A., Efecto de la temperatura en las propiedades mecánicas y petrofísicas de formaciones de crudo pesado, MSc. Tesis, Departamento de Procesos y Energía, Facultad de Minas, Universidad Nacional de Colombia - Sede Medellín, [en líena]. 2015. Disponible en: http://www.bdigital.unal.edu.co/5431
[13] Pedrosa Jr, O.A. and Kikani, J., Perturbation analysis of stress-sensitive reservoirs. SPE Formation Evaluation, 6 (3), pp. 379-386, 1992. DOI: 10.2118/20053-PA
Notas