Artículos generales
Análisis de los asentamientos en los rellenos sanitarios La Pradera y Curva de Rodas
Analysis of settlements in landfills La Pradera and Curva de Rodas
Análisis de los asentamientos en los rellenos sanitarios La Pradera y Curva de Rodas
Boletín de Ciencias de la Tierra, núm. 43, pp. 24-33, 2018
Universidad Nacional de Colombia
Recepción: 06 Diciembre 2016
Recibido del documento revisado: 11 Julio 2017
Aprobación: 25 Agosto 2017
Resumen: Se analizaron los registros de los piezómetros, puntos de control topográfico, aforo de caudales de lixiviados y estaciones meteorológicas instalados en los rellenos sanitarios Curva de Rodas y La Pradera. Se usaron las lecturas de los puntos de control topográfico para calibrar dos modelos extraídos de la literatura desarrollados para reproducir el comportamiento de los asentamientos en los residuos sólidos urbanos (RSU) a través del tiempo (modelo Exponencial [10] y modelo de Marques [15]). Luego se seleccionó el modelo de Marques [15], pues conceptualmente incorpora los asentamientos primarios y secundarios, tanto mecánicos como por descomposición. Para los parámetros de este modelo se generaron curvas de ajuste en función de la altura de la columna de los RSU, logrando estimar curvas de asentamiento que se aproximaron a los registros de los puntos de control, por lo cual las curvas de ajuste podrían ser aplicadas en rellenos de características similares.
Palabras clave: Rellenos sanitarios, asentamientos, Residuos Sólidos Urbanos (RSU)..
Abstract: The records of piezometers, survey control points, leachate flow rates and weather stations installed in landfills Curva de Rodas and La Pradera were analyzed. The records of the survey control points were used to calibrate two models extracted from the literature developed to reproduce the behavior of settlements in Municipal Solid Waste (MSW) over time (Exponential model [10] and Marques model [15]). Then the Marques model was selected [15], since it incorporates primary and secondary settlements, both mechanical and biodegradation. For the parameters of this model fitting curves were generated as a function of the height of the column of MSW, being able to estimate settlement curves that approached the registers of the control points, so that the adjustment curves could be applied in landfills of similar characteristics.
Keywords: Landfills, settlements, Municipal Solid Waste (MSW)..
1. Introducción
Los residuos sólidos urbanos (RSU) dispuestos en un relleno sanitario, experimentan grandes asentamientos los cuales se pueden prolongar por años. Son varias las investigaciones que se han realizado con el propósito de entender los factores y los mecanismos que inciden en esos asentamientos, y también son diversos los modelos propuestos para tratar de reproducir su comportamiento a lo largo del tiempo. En general se observa un consenso en atribuir las deformaciones a una sumatoria de los asentamientos instantáneos, asentamientos mecánicos, y asentamientos por descomposición de la materia orgánica.
En los años 60 Merz & Stone (1962) observaron que además de los fuertes asentamientos iniciales, se daban otros asentamientos a largo plazo en los RSU dispuestos en los rellenos sanitarios, lo cual atribuyeron a la biodegradación [1]. De esta manera iniciaron una línea de investigación, dentro de la cual [2] determinó que el contenido de materia orgánica era el factor determinante en la existencia y magnitud de esos asentamientos en el tiempo. Dichas investigaciones sirvieron de base para que en la década de los 90 autores como [3,4], entre otros, hablaran de asentamientos a corto plazo que resultan de la respuesta instantánea a la aplicación de una carga, y a largo plazo como resultado de la descomposición de los residuos.
Para describir los asentamientos a corto plazo, diversos autores han trabajado en la elaboración y/o calibración de modelos como el Índice de Compresión [2]; el Módulo de Compresión Primaria [5]; el Módulo Unidimensional [6,7]; y la combinación del Módulo de Compresión Primaria con el Módulo Unidimensional [7-9]. Los autores reportan unas buenas aproximaciones de estos modelos frente a mediciones en el laboratorio.
Por otro lado, el estudio de los asentamientos a largo plazo o secundarios ha llevado a la adopción de modelos como el Logarítmico [2]; Exponencial [10]; Power Creep [4]; e Hiperbólico [11]. Estos modelos difieren significativamente en la estimación del asentamiento último [1]; en ese sentido se ha logrado identificar que los asentamientos secundarios se pueden subdividir en dos etapas, la primera asociada a procesos mecánicos y la segunda como resultado de la biodegradación [1,3].
Finalmente se tienen modelos compuestos por la acción de tres mecanismos: respuesta mecánica inmediata, deformación creep y biodegradación. Dentro de las propuestas sobresalen las de Edgers et al. (1992), Park & Lee (1997, 2002), Marques, Filz, & Vilar (2003), Hossain & Gabr (2005) y Chen et al. (2010).
Vale la pena señalar de acuerdo con [18] los asentamientos en los RSU producto de la consolidación ha sido debatido por diversos autores, pues los residuos generalmente no se encuentran saturados y en caso de estarlo, poseen una permeabilidad alta que impiden la continuidad del estado de saturación [1].
Sin embargo, como se menciona en [19], la experiencia con los rellenos en la ciudad de Medellín muestra que estas dos hipótesis no son completamente válidas. Por una parte, debido al alto contenido de agua de los RSU provenientes de la ciudad, que para cargas aplicadas iguales o superiores a 100 kPa se saturan; y por otra parte los residuos locales no son tan permeables debido a su alta densidad y a su alto contenido de material orgánico y de plásticos. Es decir que a diferencia de los países desarrollados en los cuales se han elaborado gran parte de las investigaciones previas, si ocurre un proceso lento de consolidación, y una parte importante de los asentamientos en los RSU obedece a dicho fenómeno.
2. Materiales y métodos
2.1. Modelos evaluados
Se seleccionaron dos de los modelos más citados para realizar el ajuste de las curvas de asentamiento a partir de los registros de los puntos de control topográfico y los piezómetros: modelo Exponencial [10] y modelo de Marques et al. [15].
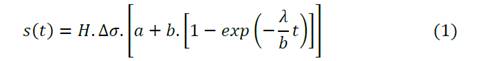
2.1.1. Modelo Exponencial [10]
Este modelo también llamado modelo Reológico, fue desarrollado por Gibson & Lo y aplicado en residuos sólidos por autores como [4,20,21]. Se compone de un elemento de Hook conectado en serie con una unidad Kelvin, representa por dos elementos en paralelo: uno resistente con constante de proporcionalidad b, y otro con amortiguamiento Newtoniano de fluidez lineal 𝜆 𝑏 (ver Fig. 1).
La aplicación de una carga vertical o el propio peso de los residuos, comprimen inmediatamente el primer elemento de Hook de manera análoga a la compresión primaria en suelos. En la Unidad Kelvin el amortiguador retrasa la trasferencia de la carga al otro elemento de Hook, pero después de un tiempo, toda la carga será soportada únicamente por los dos elementos de Hook.
Aplicando la ecuación de equilibrio al sistema de la Fig. 1, se llega a la ec. (1)

donde 𝑠(𝑡) es el asentamiento para un tiempo dado [m], ∆𝜎 es el incremento en el esfuerzo vertical [kPa], 𝑎 es el parámetro de compresión primaria [kPa-1], 𝑏 es el parámetro de compresión secundaria [kPa-1], 𝜆 es la tasa de compresión secundaria [día-1], 𝐻 es la altura inicial de la capa de residuos [m].
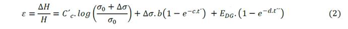
2.1.2. Modelo de Marques [15]
Se trata del primer modelo que incorpora tres mecanismos de asentamiento, representados por tres modelos reológicos conectados en serie como se observa en la Fig. 2. Combina los modelos de Gibson & Lo [10] y H.I. Park & Lee [13].
La compresión instantánea y la deformación mecánica por cargas aplicadas o el peso propio, son representados como en el modelo Exponencial. La descomposición biológica se interpreta con un elemento de compresión finita conectado en paralelo con uno amortiguado Newtoniano de fluidez lineal. La ecu. (2) describe el sistema,

donde 𝜀 es la deformación [%], 𝐻 es la altura de la capa de residuos [m], Δ𝐻 es el cambio de altura de la capa de residuos [m], 𝐶´ 𝑐 es el módulo de compresión primaría, 𝜎 0 es el esfuerzo vertical inicial [kPa], Δ𝜎 es el cambio en el esfuerzo vertical [kPa], 𝑏 es el coeficiente de compresión secundaria creep [kPa-1], 𝑐 es la tasa de compresión secundaria creep [día-1], 𝐸 𝐷𝐺 representa el potencial de deformación total debida a la biodegradación, 𝑑 es la tasa de biodegradación [día-1], 𝑡´´ es el tiempo trascurrido desde la disposición de los residuos [día] y 𝑡´ es el tiempo trascurrido desde la aplicación del incremento de carga [día].
2.2. Curva teórica de compresibilidad
La Fig. 3 corresponde a la Curva teórica de compresibilidad para los RSU en rellenos sanitarios, propuesta por Grisolia & Napoleoni en 1995 y adaptada por [22] para representar la incidencia de cada uno de los mecanismos de asentamiento en países no desarrollados como Colombia. Se identifican cinco fases en el proceso de asentamiento:
Fase I: inmediatamente dispuestos los residuos, ocurre la deformación inicial y reducción de la macroporosidad, inducida por el peso propio de los residuos y/o las cargas impuestas.
Fase II: se comprimen los materiales altamente deformables y se dislocan algunos materiales inertes, lo que se refleja en una acentuada reducción del volumen.
Fase III: se presentan los asentamientos secundarios producto de deformaciones tipo “Creep” en los residuos por acción de cargas constantes, además de deformaciones por biodegradación de los residuos orgánicos.
Fase IV: la tasa de los asentamientos secundarios disminuye y eventualmente concluyen.
Fase V: finalmente se tiene una deformación residual que puede prolongarse en el tiempo debido a la compresión de residuos no orgánicos.
2.3. Rellenos sanitarios evaluados
El relleno sanitario Curva de Rodas entró en operación en 1984, siendo el primero en la ciudad de Medellín. Nace de la necesidad de controlar el inadecuado manejo de los residuos sólidos que desde los años 70 se venía realizando en la rivera del rio Medellín a la altura del sector de Moravia, lo cual había derivado en una problemática ambiental y social. Se ubica en el kilómetro 5 de la autopista Medellín - Bogotá, ocupando un área de 62 hectáreas sobre la cuenca de la quebrada Rodas, en jurisdicción de los municipios de Bello y Copacabana. Se clausuró en octubre de 2002, luego de disponer 7.500.000 toneladas de residuos sólidos [23].
En reemplazo del relleno sanitario Curva de Rodas, el municipio de Medellín encontró como solución para la disposición final de los RSU producidos en el Área Metropolitana del Valle de Aburrá y municipios aledaños, el relleno sanitario La Pradera. Ubicado aproximadamente a 55 km en la vía Medellín - Puerto Berrio, en jurisdicción del municipio de Don Matías sobre la margen izquierda del rio Medellín, a una altitud promedio de 1.100 m.s.n.m. [24]. En este relleno sanitario se configuran distintos Vasos, al día de hoy se encuentran fuera de operación los vasos La Carrilera y La Música, y actualmente está en operación el vaso Altair II.
2.3.1. Sistema de instrumentación
Ambos rellenos sanitarios cuentan con un robusto sistema se instrumentación, del cual se consideraron para el presente análisis los siguiente elementos: a) los puntos de control topográfico los cuales registran los asentamientos en superficie de los RSU; b) los piezómetros de hilo vibrátil que en planta se encuentran cerca de los puntos de control topográfico, que registran las presiones de poros al interior de los RSU y las celdas de asentamiento ; c) los caudales de lixiviados generados en cada relleno; y d) las estaciones meteorológicas las cuales hacen el seguimiento de las variables ambientales, en cada relleno se cuenta con una. En las Figs. 4 y 5 se muestra la ubicación en planta de los puntos de control topográfico y piezómetros considerados.


De acuerdo con los registros de las estaciones meteorológicas, en La Pradera en promedio se alcanzan 3.859 mm de lluvias acumuladas al año, con una temperatura promedio de 27°C y humedades que casi a diario llegan al 100%; en Curva de Rodas las lluvias son menos de la mitad, con un promedio de 1.571 mm al año, una temperatura promedio de 23°C y humedades entre 50% y 80%. Se tiene entonces que el relleno sanitario La Pradera se encuentra en una zona de alta pluviosidad, de mayor humedad y con una temperatura promedio mayor con relación a Curva de Rodas.
Finalmente, en la Fig. 6 donde se presentan la variación de los caudales de lixiviados aforados y el registro de las precipitaciones, se puede ver una correspondencia entre esas dos variables, pues se observa que en los dos rellenos los caudales máximos se registran cuando ocurren los picos máximos de precipitación. Por tanto, las lluvias influyen en la producción de lixiviados debido a la infiltración de lluvias al interior de los RSU, relación que se reduce cuando se cuenta con sistemas de cobertura apropiados.

2.3.2. Composición de los RSU en la ciudad de Medellín
La composición de los RSU que llegan a los rellenos sanitarios que sirven a la ciudad de Medellín y municipios aledaños, se determinó como el promedio de la caracterización de los residuos sólidos de la ciudad de Medellín en estudios realizados durante los años 2002 y 2007 por la Universidad de Antioquia (U. de A.) y la firma SCS Engineers respectivamente, así como el promedio anual de la caracterización que ejecuta la empresa Interventora del Relleno Sanitario La Pradera a lo largo de 2013 y 2014, entre los cuales se observa poca variación en la composición entre el periodo 2002 - 2014.
De acuerdo con estos estudios, la composición de los RSU muestra predominio de los residuos orgánicos que representan un 60% del total, seguido por los plásticos con un 12% y por el papel - cartón con el 8%. Esta distribución es importante porque los materiales orgánicos son transformados en subproductos como lixiviados y gases, con los cuales la masa de RSU va perdiendo volumen que se refleja en asentamientos.
La composición de los residuos es un factor importante en la generación de los asentamientos, así que este aspecto debe ser tenido en cuenta al momento de realizar el análisis del comportamiento de los asentamientos, así como el análisis comparativo con otros estudios. En tal sentido, en la Tabla 1 se presenta una comparación de la composición de los RSU de la Ciudad de Medellín con la de otros países.

En el trabajo de El-Fadel [20] no se hace mención a la composición de los RSU analizados, pero si menciona que la investigación se hizo sobre el Relleno Sanitario de Prueba Mountain View (MVCLP) construido en San José - California durante los años 70, de manera que se consideró la composición de los RSU en Estados Unidos durante la década de los 70 según la Agencia de Control Ambiental [25]. También se muestra la composición utilizada por Simões & Catapreta [21] durante su investigación en celdas controladas en un relleno sanitario de la ciudad de Belo Horizonte - Brasil, y también la caracterización empleada por Marques [15] para la formulación de su modelo. Finalmente se muestra el promedio obtenido para la ciudad de Medellín y que se asocia a la presente investigación.
Se observa que los RSU estudiados en las ciudades de Belo Horizonte, Sao Paulo y Medellín duplican en su componente orgánica a los RSU en Estados Unidos durante la década de los 70.
3. Resultados
Los modelos se ajustaron con ayuda de la herramienta Solver de Excel, empleando el Método del Gradiente Reducido Generalizado o “GRG nonlinear” [26] y tomando como valores iniciales los valores hallados en [21], ya que se tratan de parámetros calibrados para un relleno sanitario ubicado en una ciudad de clima tropical.
El análisis de los asentamientos se hizo para toda la columna de residuos bajo cada punto de control, por la acción de las cargas debidas al peso propio y teniendo en cuenta la disipación de las presiones de poros medidas con los piezómetros cercanos a cada punto de control.
3.1. Modelo Exponencial [10] y modelo de Marques [15]
Los resultados del ajuste de los modelos para los registros de cada platina de control de muestran en la Tabla 2 a la Tabla 3. Se observa que como resultado del ajuste se despreciaron los parámetros de compresión primaria 𝑎 y el módulo de compresión primaria 𝐶´ 𝑐 , pues los asentamientos primarios o de la Fase I ocurren en pocos días y sus magnitudes son bajas comparadas con los asentamientos secundarios, además los registros inician meses después de que los RSU fueron dispuestos, por lo cual ya finalizaron los asentamientos primarios.


Los valores máximos y mínimos para los parámetros del modelo Exponencial obtenidos para cada Vaso se muestran en la Tabla 2, junto con los valores obtenidos por otros dos autores.
Los rangos de valores para el parámetro de compresión secundaria b, son similares en los rellenos de la ciudad de Medellín con relación a los valores encontrados en [20,21]. Para interpretar esto se debe tener en cuenta dos consideraciones: en primer lugar, el componente orgánico de los RSU considerados en el presente estudio y en la investigación de Simões & Catapreta [21] es del 60%, duplicando al de los RSU estudiados por El-Fadel [20]; por otro lado el trabajo de El-Fadel se desarrolló recirculando lixiviado como una forma de acelerar el proceso de descomposición de los residuos. Lo anterior parece indicar que factores como el clima en las regiones tropicales tienen un impacto similar al de la recirculación de lixiviados en climas templados, sobre la compresibilidad secundaria de los RSU.
El parámetro que indica la velocidad a la que ocurren los asentamientos asentamiento (λ/b) es superior en un orden de magnitud con respecto a los resultados obtenidos por El-Fadel en Estados Unidos, debido al efecto de la composición de los residuos y a las condiciones climáticas que potencian la rápida descomposición de los mismos.
Para el Modelo de Marques en la Tabla 3 se observa que las tasas de compresión secundaría c y el coeficiente de compresión secundaria b, toman valores dentro rangos similares en los cinco casos presentados, en los cuales los residuos tienen un componente orgánico en proporciones similares (entre 55 - 65%). Por lo anterior, las variaciones en el potencial de deformación debido a la biodegradación EDG y la tasa d a la que ocurren las deformaciones por biodegradación, se deben tanto a factores internos de cada relleno como la humedad, la temperatura y el pH, como a factores externos como el clima y las condiciones de drenaje.
3.2. Curvas de ajuste para los parámetros del modelo de Marques
Si bien los dos modelos presentaron una aproximación adecuada o satisfactoria del asentamiento total, lo cual puede ser interpretado como una validez de las relaciones asumidas entre las variables de tiempo - deformación, se refinó el modelo de Marques, pues conceptualmente incorpora los asentamientos primarios y secundarios, tanto mecánicos como por descomposición de los residuos orgánicos, y en los casos analizados para los RSU de la ciudad de Medellín incluye incluso los asentamientos por consolidación, otorgando herramientas para el análisis de los factores que inciden en los asentamientos, a través de como varían los parámetros del modelo en cada uno de los dos rellenos considerados.
A partir de los resultados del ajuste y considerando todos las platinas de control en ambos rellenos sanitarios, se obtuvieron los siguientes valores promedios para los parámetros del modelo: 𝑐=0.001490 1 𝑑í𝑎 , 𝑏=0.006395 1 𝑘𝑃𝑎 , 𝐸 𝐷𝐺 =0.081817 y 𝑑=0.002813 1 =0í𝑎 . El parámetro EDG representa el potencial de deformación total debido a la biodegradación, así que está asociado con el contenido de materia orgánica. Como los RSU tienen el mismo origen espacial y poca variación temporal como se observó en la numeral 2.4, dicho parámetro se supuso igual para los dos rellenos sanitarios analizados. Se realizó entonces de nuevo el ajuste de las curvas, pero fijando el parámetro EDG en un valor de 0.081817, pero dicho ajuste se hizo sólo para las platinas de Curva de Rodas y La Carrilera pues tienen registros a lo largo de un periodo de tiempo similar (alrededor de 3500 días).
El objetivo entonces era encontrar una relación entre los parámetros del modelo y la altura inicial de la columna de residuos (ver Fig. 7), lo cual se logró para Curva de Rodas utilizando las platinas PT-2R, PT-3R, PT-12R, PT-14R y PT-15R; y para Carrilera se empleando las platinas PT-3C, PT-11C, PT-12C, PT-13C, PT-14C, PT-15C, PT-19C y PT-22C. Se omitieron las platinas PT-13R, PT-4C, PT-5C, PT-6C y PT-16C, pues al incluirlas no se obtenían coeficientes de correlación satisfactorios ni se lograba definir una relación entre las variables. Más adelante al momento de validar las curvas de ajuste, se explica el por qué dichas platinas no se acoplan al ajuste propuesto.

El parámetro b que es el coeficiente de compresión secundaría mecánica tiene un buen ajuste a un modelo potencial con R2 superiores a 0.92. Los valores son mayores en Pradera que en Curva de Rodas, debido a que en el primero las platinas se instalaron cuando los residuos no tenían más de un año de antigüedad, mientras que en Curva de Rodas las platinas se instalaron sobre residuos antiguos que pueden tener hasta 20 años de haber sido dispuestos, motivo por el cual ya habrían sufrido una mayor compresión mecánica.
La tasa de compresión secundaria representada mediante el parámetro c, es mayor en Curva de Rodas, lo cual se podría explicar si se considera que en este relleno se podría haber alcanzado una mayor compactación durante la disposición de los residuos, dada la configuración que permitiría una mejor maniobrabilidad de la maquinaria, en comparación con La Carrilera donde el área de disposición era más pequeña y de mayor pendiente. Además, el seguimiento en Curva de Rodas se inició cuando los residuos ya habían experimentado asentamientos, mientras que en La Carrilera se hizo desde etapas tempranas, mostrando las distintas Fases de asentamiento. Es decir, como en Curva de Rodas los residuos se encuentran más compactos y ya han experimentado asentamientos preliminares, la compresión secundaria ocurre de manera más rápida si se compara con La Carrilera.
Se partió de la hipótesis que el potencial de deformación total debido a la biodegradación es el mismo en ambos rellenos, pero la velocidad a la que ocurre la biodegradación representada con el parámetro d parece tener un comportamiento potencial con la altura de los residuos, siendo mayor en La Carrilera que en Curva de Rodas. De los registros de las estaciones meteorológicas se determinó que en La Carrilera se presentan condiciones de alta humedad y altas precipitaciones, así como una mayor temperatura promedio frente a la que se da en Curva de Rodas. Estos factores aceleran los procesos de biodegradación del componente orgánico de los residuos y esa aceleración es la que se hace evidente con el parámetro d.
Finalmente, con las correlaciones anteriores, es posible generar las curvas de la Fig. 8 que permiten determinar el valor de los parámetros del modelo de Marques para rellenos sanitarios que se encuentran en lugares con temperaturas promedio de 23°C y 27°C, y con contenido orgánico del 60%.

3.3. Validación de las curvas de ajuste
Las curvas de ajuste se aplicaron a todas las platinas analizadas y los resultados se puede observar en la Fig. 9.

En las platinas PT-13R y PT-15R (columnas de residuos con alturas iniciales de 23m y 25m) de Curva de Rodas los asentamientos se sobreestiman en hasta un metro. En La Carrilera se sobreestima la duración de la Fase III en las platinas PT-4C, PT-5C, PT-6C y PT-16C (columnas de residuos con alturas iniciales entre 10m - 23m) lo que se traduce en sobreestimaciones de hasta 1.50m en los asentamientos, lo contrario sucede en la platina PT-22C (columna de residuos con 25m de altura inicial), donde los asentamientos se subestiman en hasta 1.5m. Finalmente en La Música donde los registros no alcanzan un periodo de 1500 días, se subestima la magnitud de los asentamientos de la Fase III en las platinas PT-15M y PT-16M (columnas de residuos con alturas iniciales de 22m y 30m).
Las platinas PT-4C, PT-5C y PT-6C se caracterizan por estar cerca del dique de contención de La Carrilera, una zona donde el sistema de evacuación de lixiviados es más robusto posibilitando una rápida consolidación de los residuos a través de la rápida evacuación del contenido inicial de líquidos de los RSU, y también un drenaje más eficiente de los lixiviados generados durante las etapas de descomposición, en comparación con las zonas donde se ubican los demás puntos de control. Estos dos aspectos aceleran el desarrollo de la Fase III en la curva de asentamiento (Grisolia & Napoleoni, 1995; adaptada por [22]), por lo cual como se mencionó anteriormente la curva de ajuste sobreestima esta duración.
El mismo comportamiento anterior se puede asociar a las platinas PT-16C en La Carrilera y PT-13R y PT-15R en Curva de Rodas, las cuales no están instaladas en un sector cercano al dique sino hacia los extremos laterales de los respectivos vasos, por lo que se podría pensar que se encuentran ubicadas sobre residuos que están muy cerca a la red de filtros que evacuan los lixiviados.
A pesar de lo difícil que resulta representar todos los factores y la heterogeneidad de las distintas zonas en los rellenos sanitarios, con las curvas de ajuste para determinar el valor de los parámetros del modelo, se logran estimar curvas de asentamiento que tienen una buena aproximación a las curvas elaboradas a partir de los registros de los puntos de control, en la mayoría de los casos.
4. Conclusiones
Los parámetros ajustados del modelo Exponencial [10] y del modelo de Marques [15], coinciden en señalar que en Pradera los RSU presentan mayor deformabilidad. Lo anterior coincide con las mayores condiciones de humedad y precipitación que presenta La Pradera, lo cual provoca una descomposición más rápida de la materia orgánica. También influye el grado de compactación inicial y la edad de los residuos, pues en Curva de Rodas las platinas de control se instalaron tiempo después de dispuestos todos los residuos, de manera que ya habían transcurrido parte de los asentamientos, mientras que en La Pradera la instalación se da en un menor tiempo.
Los resultados del ajuste anulan el parámetro de compresión primaria 𝑎 y el módulo de compresión primaria 𝐶´ 𝑐 , pues los asentamientos primarios o de la Fase I ocurren en pocos días y sus magnitudes son bajas comparadas con los asentamientos secundarios. Sumado a lo anterior los registros inician meses después de que los RSU fueron dispuestos, por lo cual ya finalizaron los asentamientos primarios.
De los dos modelos se seleccionó el de Marques [15], porque es el que más factores y mecanismos de asentamiento recoge debido a que en la etapa de asentamientos secundarios, considerando tanto las deformaciones generadas por efecto de la carga mecánica, como las ocasionadas por la pérdida de volumen producto de la descomposición de la materia orgánica y la expulsión de lixiviados.
Partiendo de la hipótesis de que el potencial de deformación total debido a la biodegradación EDG es el mismo para los dos rellenos, pues los residuos tienen el mismo origen y la misma fracción de material orgánico, se encontró que:
el parámetro de compresión secundaría b disminuye de manera potencial a medida que disminuye la altura de la columna inicial de los RSU y alcanza mayores valores en La Pradera;
la tasa de compresión secundaría c es mayor en Curva de Rodas, debido a la compactación de los residuos y a los asentamientos previos al inicio del seguimiento;
y la tasa de deformación por biodegradación d parece que también disminuye potencialmente con el incremento de la altura inicial de la columna de residuos, además los valores en La Pradera son mayores.
El comportamiento del parámetro de compresión secundaría y la tasa de compresión secundaria, refleja que en La Carrilera la compactación de los residuos fue menor debido a áreas más restringidas y pendientes elevadas que afectaron la eficiencia de los equipos compactadores.
La variación de la tasa de biodegradación se relaciona con las condiciones de altas humedades y precipitaciones que se presentan en el relleno sanitario La Pradera, así como mayores temperaturas promedio en relación con el relleno sanitario Curva de Rodas. Estos factores ambientales aceleran los procesos de biodegradación tal como se refleja en el parámetro d.
A pesar de lo difícil que resulta representar todos los factores y la heterogeneidad de las distintas zonas en los rellenos sanitarios, con las curvas de ajuste para determinar el valor de los parámetros del modelo de Marques, se logran estimar curvas de asentamiento que tienen una buena aproximación a las curvas elaboradas a partir de los registros de los puntos de control, en buena parte de los casos.
Agradecimientos
Los autores expresan sus agradecimientos a las empresas Emvarias e Inteinsa, así como a Liliana Montoya Londoño, Jefa del área de Disposición Final en Emvarias.
Referencias
[1] McDougall, J., Settlement: The short and the long of it. International Symposium on Waste Mechanics, 2008, pp. 76-111.
[2] Sowers, G.F., Settlement of waste disposal fills. Int. J. Rock Mech. Min. Sci. Geomech. Abstr., 12(4), pp. 57-58, 1975. DOI: 10.1016/0148-9062(75)90051-0
[3] Bjarngard, A. and Edgers, L., Settlement of municipal solid waste landfills. Thirteenth Annual Madison Waste Conference, Madison. WI, 1990, pp. 192-205.
[4] Edil, W., Ranguette, T.B. and Wuellner, V.J., Settlement of municipal refuse. Geotechnics of Waste Fills - Theory and Practice: ASTM STP 1070, Am. Soc. Test. Mater., pp. 225-239, 1990.
[5] Oweis, I. and Khera, R., Geotechnology of waste management. 1990.
[6] Watts, K.S. and Charles, J.A., Settlement of recently placed domestic refuse landfill. Instn. Civil Engineering, 88(6), pp. 971-993, 1990. DOI: 10.1680/iicep.1990.11613
[7] Watts, K.S. and Charles, J.A., Settlement characteristics of landfill wastes. Proc. ICE - Geotech. Eng., 137(4), pp. 225-233, 1999. DOI: 10.1680/geng.1999.137.4.225
[8] Oweis, I.S. and Khera, R.P., Geotechnology of waste management . Boston, 1998.
[9] Beaven, R.P., The hydrogeological and geotechnical properties of household waste in relation to sustainable landfilling. MSC. Thesis, Queen Mary and Westfield College University of London, London, [ONLINE]. 2000. Available at: http://qmro.qmul.ac.uk/jspui/handle/123456789/1698.
[10] Gibson, R.E. and Lo, K.Y., A theory of consolidation for soils exhibiting secondary compression, 1961.
[11] Ling, H.I., Leshchinsky, D., Mohri, Y. and Kawabata, T., Estimation of municipal solid waste landfill settlement. J. Geotech. Geoenvironmental Eng., 124(1), pp. 21-28, 1998. DOI: 10.1061/(ASCE)1090-0241(1998)124:1(21)
[12] Edgers, L., Noble, J. and Williams, E., A biologic model for long term settlement in landfills. Mediterranean Conference on Environmental Geotechnology. pp. 177-184, 1992.
[13] Park, H.I. and Lee, S., Long-term settlement behavior of landfills with refuse decomposition. J. solid waste Technol. Manag., 24(4), pp. 159-165, 1997.
[14] Park, H.I. and Lee, S., Long-term settlement behaviour of MSW landfills with various fill ages. Waste Manag. Res., 20(3), pp. 259-268, 2002. DOI: 10.1177/0734242X0202000307
[15] Marques, A.C.M., Filz, G.M. and Vilar, O.M., Composite compressibility model for municipal solid waste. J. Geotech. Geoenvironmental Eng. , 129(4), pp. 372-378, 2003. DOI: 10.1061/(ASCE)1090-0241(2003)129:4(372)
[16] Hossain, M.S. and Gabr, M.A., Prediction of municipal solid waste landfill settlement with leachate recirculation. 2005.
[17] Chen, Y., Ke, H., Fredlund, D.G., Zhan, L. and Xie, Y., Secondary compression of municipal solid wastes and a compression model for predicting Settlement of municipal solid waste landfills . J. Geotech. Geoenvironmental Eng. , 136(5), pp. 706-717, 2010. DOI: 10.1061/(ASCE)GT.1943-5606.0000273
[18] Wall, D.K. and Zeiss, C., Municipal Landfill Biodegradation and Settlement. J. Environ. Eng., 121(3), pp. 214-224, 1995. DOI: 10.1061/(ASCE)0733-9372(1995)121:3(214)
[19] El-fadel, M., Shazbak, S., Saliby, E. and Leckie, J., Comparative assessment of settlement models for municipal solid waste landfill applications. Waste Manag. Res. , 17(5), pp. 347-368, 1999. DOI: 10.1034/j.1399-3070.1999.00059.x
[20] Simões, G.F. and Catapreta, C.A.A., Monitoring and modeling of long-term settlements of an experimental landfill in Brazil. Waste Manag., 33(2), pp. 420-430, 2013. DOI: 10.1016/j.wasman.2012.10.001
[21] Ferreira, G., Modelo para evaluación de asentamientos en rellenos sanitarios urbanos. MSc. Tesis, Pontificia Universidad Católica de Río de Janeiro, Brasil, 2000.
[22] Empresas Varias de Medellín - E.S.P. Relleno sanitario Curva de Rodas, 2014. [en línea]. Disponible en: http://www.eevvm.com.co/SitePages/curvaRodas.aspx.
[23] Empresas Varias de Medellín E.S.P. Relleno sanitario La Pradera, 2014. [en línea]. Disponible en: http://www.eevvm.com.co/SitePages/pradera.aspx.
[24] U.S. EPA, Municipal Solid Waste in The United States 2011 Facts and Figures, 2001.
[25] Lasdon, L.S., Wares, A.D., Jain, A. and Ratner, M.W., Desing and testing of a generalized reduced gradient code for nonlinear optimization, 1975.
Notas