Artículos generales
Recepción: 23 Agosto 2017
Recibido del documento revisado: 23 Noviembre 2017
Aprobación: 07 Diciembre 2017
DOI: https://doi.org/10.15446/rbct.n43.67217
Resumen: Los depósitos tipo pórfido, son las fuentes minerales más grandes del mundo. Durante la exploración con extracción de núcleos de perforación, es posible obtener información geotécnica del macizo rocoso. Esta información, permite clasificar la calidad geomecánica del macizo rocoso por medio de sistemas de clasificación empíricos como “Rock Mass Rating” (RMR), Mining Rock Mass Rating (MRMR) y el “Q”. Teniendo en cuenta que en los depósitos tipo pórfido, el macizo se encuentra afectado por la presencia de alteraciones hidrotermales; esto implica, que la roca puede presentar variaciones en sus propiedades geomecánicas, dependiendo de la alteración presente. En esta investigación, se consideraron 6292 m de perforaciones con información geotécnica. Con esta información, se realizó una clasificación del macizo por los sistemas mencionados. Una vez clasificado el depósito, se realizó un comparativo entre los sistemas de clasificación mencionados. Basados en las litologías y alteraciones hidrotermales presentes en el depósito por medio de estadística descriptiva (valores medios, diagramas de cajas, regresiones lineales). El estudio de clasificación del macizo considerando las alteraciones, permitió observar diferencias en los resultados de la clasificación geomecánica del material, con respecto a la clasificación del macizo sin tenerlas en cuenta.
Palabras clave: Clasificación geomecánica, RMR, MRMR, Q, depósito tipo Pórfido, alteraciones hidrotermales..
Abstract: The Porphyry deposits are the largest mineral resources in the world. During the exploration phase, with the extraction of drilling cores, it is possible to obtain geotechnical information from the rock mass. This information allows the classification of rock mass by means of empirical classification systems such as Rock Mass Rating (RMR), Mining Rock Mass Rating (MRMR) and Q index. In Porphyry deposits, the rock mass is affected by the presence of hydrothermal alterations; this implies that the rock may exhibit variations in its geomechanical properties depending on the hydrothermal alteration present. In this research, 6292 drilled meters with geotechnical information were considered. With this information, a classification of the rock mas was made by the aforementioned systems. Once the deposit was classified, a comparison was made between the classification systems mentioned. Comparison was based on the lithologies and hydrothermal alterations present in the deposit by means of descriptive statistics (average values, box plot diagrams, linear regressions). a comparison was made between the aforementioned classification systems with respect to the dominant hydrothermal alterations present in the reservoir. The results showed that in the porphyry deposit, the analysis by hydrothermal alteration allows differentiating a poor to regular behavior (Sericíte alteration) from a good behavior (Potassium Alteration).
Keywords: Rock Mass Classification, RMR, MRMR, Q, Porphyry deposit, hidrotermals alterations..
1. Introducción
En minería, y en cualquier proyecto de infraestructura, la clasificación geotécnica de un macizo, se enfoca principalmente en dos objetivos principales. El primero, es identificar las propiedades geomecánicas de la roca, que garanticen la viabilidad y estabilidad de la construcción del proyecto. El segundo, es definir las características del macizo que se necesiten superar (resistencia, ángulo de fricción y cohesión), para extraer el material sin producir colapso de la mina [1].
En los depósitos metálicos tipo pórfido, el macizo rocoso se encuentra afectado por la presencia de alteraciones hidrotermales y mineralizaciones sobreimpuestas en la roca. Producto de fluidos mineralizados que salen desde una fuente magmática hasta niveles corticales superiores [2]. Esto implica, que la roca puede presentar variaciones en sus propiedades geomecánicas, dependiendo de la alteración hidrotermal presente.
El hallazgo de algún tipo de alteración o litología cuyo comportamiento geomecánico sea distinto al comportamiento general del macizo rocoso, el cual se encuentre reflejado en cada sistema de clasificación, es de gran importancia para el desarrollo minero; puesto que identificar regiones con presencia de alguna alteración hidrotermal cuya calidad geomecánica sea menor a las demás, permite disminuir incertidumbre en el diseño, en los tiempos de construcción, y en el cálculo de voladuras.
Con el objeto de clasificar geotécnicamente un macizo rocoso, se emplearon diferentes metodologías de clasificación, existentes actualmente en la literatura y comúnmente utilizadas en los proyectos mineros, como el Rock Mass Rating (RMR) [3], Mining Rock Mass Rating (MRMR) [4], y el Índice de Calidad Tunelera (Q) [5].
De este modo, esta investigación se centró principalmente, en clasificar el macizo rocoso por cada uno de los sistemas de clasificación anteriormente referenciados, comparando simultáneamente el resultado obtenido para cada alteración hidrotermal y litología presente, e identificando los parámetros que determinan la afectación de la calidad del macizo rocoso en cada sistema de clasificación. Para este proceso se utilizó la información de exploración geotécnica proporcionada por la empresa AngloGold Ashanti (AGA) que corresponde al macizo rocoso presente en el proyecto Quebradona, depósito de Cobre y Oro, localizado en el suroeste del departamento de Antioquia, Colombia. Los resultados obtenidos en el análisis mostraron que existe una diferencia cualitativa en la calidad geotécnica cuando se tiene en cuenta las alteraciones de mediana temperatura (Sericita y Clorita-Sericita) categorizadas como Pobre a Regular en el sistema RMR modificado de Laubscher, y, las alteraciones de Alta Temperatura (Potásica y Sílica) categorizadas como Buena, con respecto a la clasificación general del macizo sin diferenciar por alteraciones.
1.1. Reseña histórica de los Sistemas de Clasificación Geomecánica de Macizos Rocosos
Se puede considerar el inicio del estudio de la mecánica de rocas en los inicios del siglo XVIII, cuando Coulomb publicó los resultados de ensayos de roca para la academia francesa en París [6]. A finales del siglo XIX, ingenieros franceses iniciaron la construcción del canal de Panamá; tarea que fue tomada por el Cuerpo de ingenieros de la Armada Estadounidense en el año de 1908. Durante su construcción, entre 1910 y 1964 se registraron 60 deslizamientos en cortes ingenieriles; pero estos deslizamientos no fueron analizados con enfoque en la mecánica de rocas [7].
Los inicios de los sistemas de clasificación de macizos rocosos aparecen con Terzaghi (1945) [8], quién presentó la referencia más cercana al uso de un sistema de clasificación para el diseño de soportes de túneles. Esta clasificación se basa fundamentalmente en el fracturamiento presente en la roca, desde una roca intacta hasta una roca blocosa. Más adelante, Talobre en 1967 [9], dio origen a la primera aparición del término Mecánica de Rocas, enfocado en la construcción de túneles para el transporte a presión de agua. Posteriormente, Jaeger (1969) [10] de la Universidad de Minneapolis, formuló los principios matemáticos de la mecánica de rocas aplicados al planteamiento minero.
En los años setenta, el estudio de la mecánica de rocas comenzó a enfocarse en las discontinuidades y en los macizos rocosos. Así, Bieniawski (1973) [11], expone un sistema de clasificación de macizo rocoso, basado en el concepto de cuantificar parámetros de la roca y de las fracturas relacionados a situaciones de riesgo minero. Del mismo modo en 1976, Bieniawski [12] publica una clasificación del macizo rocoso llamado “Rock Mass Rating (RMR)”, luego actualizado en 1989 [3]. El sistema de clasificación RMR, está basado en parámetros de resistencia, el índice de calidad de la roca RQD y la condición de las discontinuidades.
De manera similar, Barton, et al. (1974) [13], publican el índice de calidad tunelera, el cual, se convirtió en el pilar de la clasificación y caracterización de macizos rocosos. Además de una guía de construcción de túneles en las que se consideraban características propias de las fracturas resumidas en el índice Q.
Al mismo tiempo, Hoek y Bray (1974) [14], presentan un análisis de estabilidad de taludes en roca, en respuesta a la necesidad de la industria minera, de poder realizar diseños ingenieriles que permitieran incrementar la profundidad de los taludes en minas a cielo abierto.
Luego, Grimstad & Barton (1993) [15] presentan una actualización del índice Q, agregando técnicas de refuerzo para excavaciones de túneles. Más adelante, en 2002, Barton [5], realiza un ajuste a los valores del índice Q, incluyendo características de las fracturas como rugosidad, fricción y relleno.
Así mismo, Laubscher en 1977 [16], modificó el RMR presentado por Bieniawski y propuso el Mining Rock Mass Rating (MRMR). El cual modificó posteriormente en 1990 [4]. El sistema de clasificación MRMR, toma el valor básico de RMR y lo ajusta, teniendo en cuenta los cambios en los esfuerzos inducidos por la actividad minera sobre el macizo rocoso, además, incluye la cantidad de fracturas por metro y no solo el RQD.
En 1980 Hoek & Brown [17], realizan un análisis empírico de los esfuerzos presentes en un macizo rocoso confinado, en una mina de cobre en Nueva Guinea. En este estudio se argumenta que la falla del macizo rocoso está controlada principalmente por el movimiento de bloques de roca entre fracturas presentes en el macizo. De este modo, dichos autores en 1988 [18], presentan el Criterio de falla Hoek-Brown. Donde se formula el criterio de modo de falla de la roca enfatizado en las condiciones de confinamiento dentro de excavaciones subterráneas. Además, incluye un análisis de estabilidad de terrenos rocosos en superficie.
En 1995, Hoek et al [19], introducen el concepto del índice de esfuerzo geológico (GSI), el cual sustituye al RMR de Bieniawski en los cálculos del criterio de falla de Hoek-Brown. Posteriormente, en el año 2000 [20], Hoek & Marinos introducen una adaptación del valor de GSI para diferentes tipos de macizos rocosos. Así mismo, Cai en 2004 [21], publica una aproximación cuantitativa del GSI basado en el tamaño de bloques y la condición de la junta. De forma similar, Hoek en 2013 [22], expone una cuantificación del GSI, enfocado en la medida del índice de calidad de la roca (RQD) y la condición de la junta.
Ramamurthy (2004) [23], realiza una correlación geoingenieril para rocas y macizos rocosos. Este estudio concluye que el esfuerzo de compresión uniaxial y los sistemas de clasificación RMR, Q y GSI; no sugieren una relación entre la disminución de la resistencia y la calidad del macizo rocoso. Palmstrom y Broch (2006) [24], publican un análisis del uso y desuso del índice Q de Barton. Destacando y describiendo cada uno de los parámetros obtenidos por el índice Q, incluyendo además, el uso posiblemente inadecuado del índice Q, en las predicciones de avances de excavación por tuneladoras TBM en macizos rocosos.
Jakubec en 2007 [25], expone desde la experiencia en la industria, el uso del sistema MRMR. En él, añade un análisis del concepto de bloque de roca, conteo de fracturas cementadas, y, la propuesta de abandonar el RQD como parámetro. En el 2008, la ASTM expone la norma D5878-08 [26], en la cual se encuentran compilados diferentes sistemas de clasificación de macizo rocoso para propósitos ingenieriles. En esta norma se incluyen sistemas como RMR, Q, GSI, entre otros.
Zhang et al [27], realizan un análisis del índice de calidad de la roca (RQD), con respecto al volumen de bloque. En esta investigación se argumenta una relación entre la calidad de macizo rocoso y el volumen de los bloques. Así mismo, en 2015, Oskan [28], publican una investigación sobre caracterizar macizos rocosos fracturados, utilizando un caso de estudio de una mina en Anatolia, el análisis lo hacen con información de una perforación de 264.15 m de profundidad. En el proyecto minero de hierro Sangan en Australia, Rad et al. (2015) [29]. Los autores presentan una clasificación de macizo rocoso con metodología RMR. El análisis está basado en la aplicación de funciones continuas con el uso de la teoría del caos y relaciones matemáticas. La investigación se enfoca en analizar desde el punto de vista estadístico, los parámetros geológicos que se agrupan en el sistema RMR.
1.2. Descripción de los sistemas de clasificación Geomecánica del Macizo Rocoso
Los sistemas de clasificación de macizos rocosos han sido utilizados principalmente para categorizar cuantitativa y cualitativamente, la calidad de un macizo rocoso, evaluando determinados parámetros geomecánicos. Cada sistema tiene diferentes consideraciones en sus parámetros de análisis, producto de la heterogeneidad de cada macizo rocoso.
A continuación, se describen los sistemas de clasificación utilizados en la investigación, los cuales han sido los más reconocidos y utilizados a lo largo de la historia:
1.2.1. Rock Mass Rating (Bieniawski, 1989)
El sistema de clasificación RMR, está basado en 6 parámetros in situ del macizo rocoso, así:
Resistencia a la Compresión uniaxial de la roca intacta.
Índice de calidad de la roca RQD.
Espaciamiento de las discontinuidades.
Condición de las discontinuidades.
Condición del agua subterránea.
Orientación de las discontinuidades.
Bieniawski clasifica la roca en 5 categorías, descritas en la Tabla 1.
1.2.2. Mining Rock Mass Rating (MRMR)
Laubscher en 1977, modificó el RMR presentado por Bieniawski y propuso el Mining Rock Mass Rating (MRMR), el cual fue modificado posteriormente en 1990. El sistema de clasificación MRMR, toma el valor básico de RMR y lo ajusta, teniendo en cuenta los cambios en los esfuerzos inducidos por la actividad minera sobre el macizo rocoso.
El RMR, está basado en la caracterización de parámetros geológicos presentes en el macizo rocoso, expresados matemáticamente por la siguiente ecuación:

Donde, RMR = Rock Mass Rating.
IRS = Resistencia intacta de la roca (MPa).
FF/m = Frecuencia de fracturas por metro.
Jwa = Alteración de las paredes del núcleo.
Jf = Relleno de la fractura.
El índice RMR modificado, es la base para poder encontrar el valor de MRMR, el cual se expresa como el valor del RMR modificado, multiplicado por un factor de radio hidráulico, el cual, involucra el área de intervención de la obra y el perímetro del macizo rocoso (Ecuación 2).

Donde, MRMR = Mining Rock Mass Rating.
Área = Área de influencia del proyecto.
Perímetro = Perímetro de intervención.
En esta investigación, solo se considera el valor de RMR modificado por Laubscher para la clasificación del macizo rocoso, es decir, no se tiene en cuenta el ajuste para determinar el MRMR. Laubscher clasifica la calidad del macizo rocoso en las mismas 5 categorías propuestas por Bieniawski (Tabla 1).
1.2.3. Índice de Calidad Tunelera (Q)
Barton, et al (1974) [13] publican el índice de calidad tunelera, el cual, se convirtió en el pilar de la clasificación y caracterización de macizos rocosos. Además de una guía de construcción de túneles en las que se consideraban características propias de las fracturas resumidas en el índice Q. Barton considera que la calidad de la roca en un túnel está en función de 3 coeficientes:
Tamaño del bloque (RQD/Jn): El primer coeficiente equivale a la relación entre el índice de calidad de la roca (RQD) y el número de familias estructurales presentes en el macizo rocoso.
Esfuerzo cortante inter-bloque (Jr/Ja): Representa las condiciones de la interacción entre fracturas, con una relación entre la rugosidad (Jr) y la alteración presente en la fractura.
Esfuerzo activo (Jw/SRF): Consiste en la relación entre el esfuerzo de presión de agua presente en el macizo rocoso y el factor SRF, el cual representa el esfuerzo por pérdida de carga (Excavación) o Esfuerzo de resistencia de roca competente (Compresión)
La clasificación del parámetro Q de Barton, se representa en escala Semilogarítmica, en rangos de valores de calidad del macizo rocoso de 0 a 1000 entre Excepcionalmente Pobre y Excepcionalmente Bueno (Tabla 2). Dicho puntaje se determina por medio de la ecuación descrita a continuación:

Donde, Q = Índice calidad tunelera.
RQD/Jn = Tamaño de bloque.
Jr/Ja = Esfuerzo cortante inter-bloque.
Jw/SRF = Esfuerzo Activo.
2. Clasificación del Depósito tipo Pórfido del proyecto Quebradona
2.1. Información geológica y geotécnica del área de estudio
El proyecto Quebradona de la empresa Minera Quebradona Colombia S.A (Joint venture entre AngloGold Ashanti (AGA) y B2Gold), se encuentra localizado en el suroeste del departamento de Antioquia (Fig. 1), sobre el flanco oriental de la cordillera occidental, entre los municipios de Jericó y Támesis. El objetivo principal de exploración del proyecto es Nuevo Chaquiro, el cual es un depósito tipo Pórfido de Cobre, con grandes toneladas y baja ley con Oro, Molibdeno y Plata [30].

La zona mineralizada del Pórfido se caracteriza por la presencia de Stock-works (venillas ramificadas), diseminados y venillas de Cuarzo, Magnetita, Pirita, Calcopirita y Molibdenita. Con minerales Mena como Calcopirita y Molibdenita. El depósito Nuevo Chaquiro está conformado por dos unidades litológicas: una Diorita de edad Miocénica, en diques de Cuarzo-Diorita y finas intrusiones verticales que invaden una roca encajante Vulcano-sedimentaria perteneciente a la formación Combia compuesta principalmente por Tobas andesíticas del Mioceno (6-10 millones de años). La zona de alteración hidrotermal del pórfido se evidencia con un centro de alta temperatura (Alteración Potásica), conformado por Biotita, Magnetita, Calcopirita y Molibdenita; los cuales se convierten en una zona de alteración Sericítica superpuesta con Moscovita, Clorita, Cuarzo, Pirita, Turmalina. De forma similar se encuentra la alteración Clorita-Sericita (Clorita, Sericita, Illita, Pirita). La alteración Propilítica se encuentra más distal, compuesta por (Clorita, Epidota, Illita, Carbonatos). También hay un núcleo interno de alteración Cálcico-Potásica con Biotita, Actinolita, Epidota y Anhidrita con menores valores de Cobre, Oro y Molibdeno [30].
A final de 2014 y durante todo el año 2015, sobre ocho perforaciones corazonadas diamantinas (Tabla 3), se obtuvo información geotécnica por medio de una metodología de logueo basada en Dempers, 2010 [31], modificada por AngloGold Ashanti; con el fin de clasificar el macizo rocoso por las metodologías anteriormente descritas. Las perforaciones tienen profundidades que varían entre 700 m y 1500 m, aproximadamente. Sin embargo, para el análisis presentado solo se consideraron los datos geotécnicos correspondientes a intervalos de 3 m y a una profundidad máxima de 1000 m. En total, se analizaron 6292 m lineales con información geotécnica, con diámetros de núcleo que oscilan entre 71 mm y 56 mm.

2.2. Clasificación general del macizo rocoso
Para poder identificar si existe diferencia en el comportamiento geomecánico del depósito. Se evaluó la calidad geomecánica del macizo con cada uno de los sistemas de clasificación descritos anteriormente. En este proceso se realiza un análisis comparativo de los resultados entre cada uno de los sistemas de clasificación.
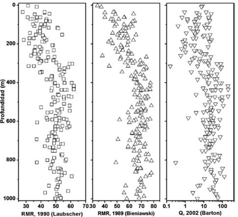
Inicialmente se realizó un análisis general del macizo rocoso con respecto a la profundidad sin tener en cuenta las alteraciones hidrotermales dominantes presentes (Fig. 2). En esta evaluación se observa una diferencia en todos los sistemas de clasificación, en los valores entre 0 - 300 m y los valores entre 300 y 1000 m; además, en el primer rango entre 0 y 300 m de profundidad, el puntaje del índice Q, presentan una elevada dispersión entre 0.1 y 40 puntos.

Para explicar la diferencia en la calidad del macizo rocoso en profundidad, se realiza una clasificación del mismo teniendo en cuenta las alteraciones hidrotermales (Fig. 3). De ésta clasificación, se observa que los primeros 300 metros de las perforaciones muestran dos alteraciones hidrotermales dominantes correspondientes a las alteraciones de mediana temperatura Sericita y Clorita-Sericita, con valores promedio de 40 puntos para el RMR de Laubscher, 54 puntos para el RMR de Bieniawski, y 7 puntos para el Q de Barton. Después de los 300 metros hay un aumento de la calidad del macizo debido a presencia dominante de las alteraciones correspondientes a Sílica y Potásica con valores promedio de 51 puntos para el RMR de Laubscher, 69 puntos para el RMR de Bieniawski, y 37 puntos para el Q de Barton.

2.3. Comparativo entre sistemas de clasificación
Teniendo en cuenta que la diferencia de la calidad del macizo está relacionada con la presencia de diferentes alteraciones hidrotermales; se realiza un análisis de valores medios, diagramas box plots y, comparativo estadístico entre cada sistema de clasificación entre las alteraciones hidrotermales dominantes.
2.3.1. Comparativo de valores medios
El sistema Q de Barton, presenta una escala de calificación logarítmica entre 0.001 y 1000. Grimstad y Barton [15], presentan una actualización en la carta de soporte, la cual, además, correlaciona las categorías de calidad de macizo rocoso entre RMR de Bieniawski y el índice Q de Barton.
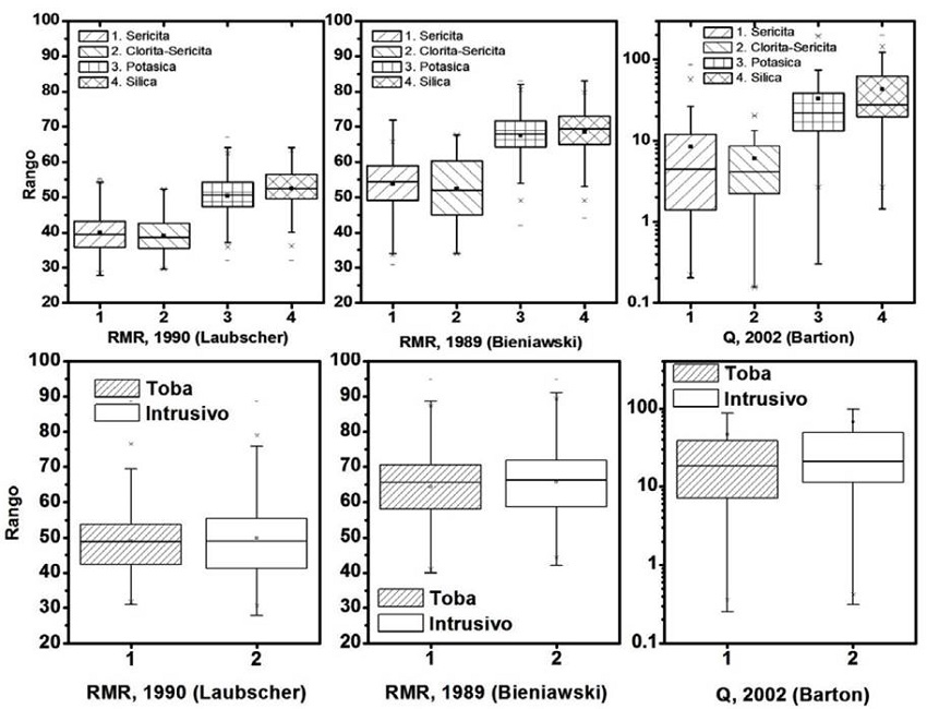
Teniendo en cuenta dicha correlación cualitativa, se realiza un comparativo entre los valores medios encontrados en cada alteración hidrotermal en los tres sistemas de clasificación considerados en este estudio (Fig. 4). En dicha evaluación, las alteraciones presentan un comportamiento similar para todos los sistemas de clasificación, las alteraciones Sericitica y Clorita-Sericítica, clasifican la calidad de macizo rocoso entre Pobre y Regular, mientras que las alteraciones Potásica y Sílica, clasifican el macizo rocoso entre Regular y Muy bueno.

2.3.2 Comparativo de diagramas Box plots
Los diagramas de cajas, facilitan la visualización de la mayor concentración de los valores, tanto por alteración hidrotermal como por litología. Además, son conocidos como estadísticos descriptivos. Por lo tanto, este tipo de diagramas permiten realizar una aproximación inicial al comportamiento de los datos (Fig. 5). De estos diagramas se denota lo siguiente:
Independiente del sistema de clasificación, existe 2 comportamientos distintos presentes en la calidad del macizo rocoso dominados por el tipo de alteración. Las alteraciones Sericita y Clorita-Sericita, tienen una calificación menor a las alteraciones Potásica y Sílica.
La calificación de Laubscher, categoriza el macizo rocoso en menor calidad que los sistemas RMR de Bieniawski y Barton.
Existe una mayor concentración en los valores de las cajas (25% - 75%) en el sistema RMR de Laubscher, que en los otros dos sistemas.
El comportamiento geomecánico de las litologías presentes en el depósito es similar en los tres sistemas de clasificación.
Los valores atípicos fueron eliminados del análisis para evitar que afecten las tendencias generales.

2.3.3. Comparativo entre RMR de Bieniawski y RMR de Laubscher
El sistema propuesto por Bieniawski, considera un puntaje hasta de 20 puntos al índice de calidad de la roca (RQD), de forma similar incorpora el espaciamiento entre discontinuidades de la misma familia, hasta con la misma cantidad de puntos (20 puntos). Mientras que el RMR modificado por Laubscher, no considera los parámetros RQD y el espaciamiento de las discontinuidades, pero incorpora la cantidad de fracturas por metro, con un puntaje hasta de 40 puntos.
Al realizar un análisis comparativo estadístico entre los valores de RMR de Laubscher y RMR de Bieniawski, incluyendo, medidas de tendencia central, medidas de variabilidad y medidas de relacionamiento (Tabla 4) se muestra que:
Los valores de RMR de Laubscher presentan una variación mayor a los valores de RMR de Bieniawski.
Existe una muy buena correlación entre los 2 sistemas de clasificación. si se compara con valores de correlaciones empíricas como la de Bieniawski (1989) [3], la cual presenta un coeficiente de correlación de 0.77 (Tabla 7).
Considerando que la cantidad de datos provenientes de medidas reales de diferentes perforaciones, el R2 del 66 %, equivale a una relación moderadamente buena si se compara con la correlación empírica de Bieniawski con un R2 de 0.59 (Tabla7).

Al ejecutar el mismo análisis estadístico, agrupando las alteraciones hidrotermales de mediana temperatura Sericita y Clorita-Sericita (Tabla 5) en el mismo grupo, se observa:
Existe una diferencia considerable entre el RMR de Laubscher (Pobre) y RMR de Bieniawski (Regular).
La variación entre cada sistema de clasificación es similar.
El rango de Valores del sistema RMR Bieniawski, es mayor. Lo que indica que la distribución es mayor.
El R2 de 0,25, es un valor bajo, el cual permite determinar que la ecuación solo explica el 25% de los datos.

De igual manera, se agruparon las alteraciones de alta temperatura Potásica y Sílica (Tabla 6), donde se presenta lo siguiente:
Al igual que en las alteraciones de mediana temperatura, los valores de RMR de Laubscher son considerablemente menores a los valores del RMR Bieniawski.
La variación de los datos en ambos sistemas es similar.
Los sistemas tienen una correlación moderadamente alta entre sí.
El R2 de la regresión lineal es moderadamente alta, teniendo en cuenta que son datos reales obtenidos de perforaciones.

Teniendo en cuenta, que el sistema de clasificación RMR de Laubscher, califica el macizo rocoso con una menor calidad comparada con la metodología RMR de Bieniawski, es prudente considerar el RMR modificado de Laubscher para la evaluación del macizo rocoso de un depósito tipo Pórfido
2.3.4. Comparativo entre RMR de Bieniawski y Q de Barton
El análisis comparativo entre los sistemas de clasificación RMR de Bieniawski y Q de Barton, se presenta por medio de un gráfico exploratorio semilogarítmico adaptado de Bieniawski [3] (ver Fig. 6).

En esta investigación, se determinó la correlación logarítmica expuesta en la Ecuación 4.

Al incluir dentro de la Fig. 6, algunas de las correlaciones desarrolladas por diferentes investigaciones (Tabla 7), se observa que la correlación, más cercana a la propuesta dentro de esta investigación, es la propuesta por Kumar en 2004, con un R2 de 52,9%; sin embargo, la correlación propuesta en esta investigación, alcanza un R2 del 66 %.
Si se considera únicamente la nube de puntos del depósito tipo Pórfido, el sistema Q, categoriza el macizo rocoso en 6 rangos, entre muy pobre, hasta extremadamente bueno, lo cual dificultaría una modelación del macizo con tantos rangos; sin embargo, el sistema RMR de Bieniawski, califica el macizo rocoso, solo en 2 categorías entre pobre y bueno.

2.3.5 Comparativo entre RMR de Laubscher y Q de Barton
De forma similar al comparativo entre el sistema Q de Barton y RMR de Bieniawski, es posible realizarlo entre el sistema Q y el RMR modificado de Laubscher, por medio del cuadro comparativo semilogarítmico de la Fig. 6. En la cual, se destaca lo siguiente:
La correlación propuesta en esta investigación, tiene un R2 de 51 %, el cual, para ser datos producto de una exploración geotécnica es una correlación buena comparándola con valores de correlaciones empíricas expuestas en la Tabla 7.
Las correlaciones de bibliografía se encuentran lejanas a la nube de puntos del sistema RMR de Laubscher del depósito Pórfido. Lo cual, no se considera sano utilizar las correlaciones de bibliografía en el depósito, puesto que las líneas de tendencia, están distantes de la nube de puntos.
Comparando los 3 sistemas de calificación de calidad de macizo rocoso: el sistema Q lo clasifica en un rango entre muy pobre y extremadamente bueno. El sistema RMR de Bieniawski tiene un puntaje mayor al sistema RMR de Laubscher (Regular y Bueno); por lo cual, las recomendaciones de soporte y sostenimiento de excavaciones, de Laubscher son más conservadores, ya que castiga más la calidad del macizo rocoso (Pobre y Regular).
2.3.6. Importancia de incorporar el análisis por alteraciones hidrotermales en el depósito tipo Pórfido
El hallazgo de la disminución de la calidad del macizo de las alteraciones Sericita y Clorita - Sericita. Con respecto al comportamiento general del macizo o el análisis por litología. Es de gran importancia para el desarrollo minero. Si se supone que un sector del frente de explotación minera se encuentra afectado por estas alteraciones, clasificadas como calidad pobre - regular (RMR Bieniawski, 1989). El uso de explosivo necesario para el aprovechamiento de dicho sector, puede ser mucho menor al consumo promedio requerido para la explotación de la mina. Esto equivale a un ahorro económico para el proyecto. Pero, si esta situación se presenta dentro de algún túnel de transporte de material o de ventilación, es necesario el refuerzo artificial de la obra. Lo cual aumenta el costo y el tiempo de avance de la construcción del túnel.
Por otro lado, las alteraciones Potásica y Sílica aumentan la calidad del macizo (calidad bueno según Bieniawski, 1989). La presencia de estas alteraciones en la zona de explotación, equivale a un mayor consumo de explosivo, que puede ser previsto con anterioridad desde diseño y no posterior a una voladura poco efectiva durante la explotación.
3. Conclusiones
En los depósitos tipo pórfido, es necesario tener en cuenta la presencia de alteraciones hidrotermales dominantes, ya que, las variaciones mineralógicas producto de su presencia, afectan positiva o negativamente la calidad del macizo rocoso (ver Fig. 4 y Fig. 5), independiente de cualquier sistema de clasificación geomecánica utilizado como en esta investigación.
Como se presenta en la Fig. 5, las litologías presentes en el depósito (Toba Volcánica y cuerpo intrusivo Cuarzo-Diorita), tienen un comportamiento geomecánico similar en los tres sistemas de clasificación, independiente de su diferencia en origen y composición. Puesto que, los diagramas de cajas evaluando las litologías, presentan el mismo comportamiento. Caso contrario sucede al evaluar por alteraciones hidrotermales. En el cual si se observa una diferencia hasta de 15 puntos en los sistemas RMR.
En el sistema Laubscher, el comportamiento general del macizo, tiene un valor medio de 46.96. Las alteraciones Sericita y Clorita-Sericita tienen un valor medio de 39.8 puntos. Las alteraciones Potásica y Sílica tienen un valor medio de 50.72 puntos. Esta diferencia refleja que existe una variación en el comportamiento geomecánico entre las alteraciones presentes. Del mismo modo, en el sistema RMR Bieniawski. Las alteraciones de mediana temperatura tienen un valor medio de 53.84 puntos. Las alteraciones de alta temperatura tienen un valor medio de 57.74 puntos.
De la estadística descriptiva, se observa que existe una diferencia considerable en el comportamiento geomecánico de las alteraciones Sericita y Clorita-Sericita, y las alteraciones Sílica y Potásica. Ya que en los tres sistemas de clasificación, se observa una diferencia cualitativa de por lo menos un rango en los sistemas RMR de Laubscher y Bieniawski (de Pobre - Regular a Regular - Bueno); y, de dos categorías en el sistema Q (de Regular a Muy Bueno).
La comparación estadística entre los sistemas RMR de Bieniawski y RMR de Laubscher, permite identificar, que la calificación de Bieniawski es considerablemente mayor a la de Laubscher (16 puntos de diferencia - 1 categoría), una de las razones de este incremento, es la incorporación del parámetro RQD dentro del sistema de clasificación.
Teniendo en cuenta el comportamiento general del macizo sin evaluar la presencia de las alteraciones hidrotermales, se obtiene una correlación con un R2 del 66%. Considerando, la extensa cantidad de datos (6292 m de perforación con información geotécnica), es una relación moderadamente alta. Del mismo modo, el análisis en las alteraciones de alta temperatura, la relación se aproxima al comportamiento general del macizo rocoso (R2= 61%). Sin embargo, en el análisis de las alteraciones hidrotermales de mediana temperatura, la dispersión de los datos es mayor, lo cual, la correlación determinada es muy baja (R2 = 25%).
La comparación entre los sistemas RMR de Bieniawski y Q de Barton, se observó que de las correlaciones históricas, la más cercana es la propuesta por Kumar [33] en 2004. Dicha correlación, tiene un R2 = 53%, ligeramente menor al determinado en esta investigación. Esta situación permite interpretar que no es sano la determinación del macizo rocoso por medio de correlaciones históricas; debido a que las tendencias de estas, están distantes a la nube de puntos. Por tal motivo, es aconsejable definir una correlación propia en cada depósito, teniendo en cuenta que el depósito tipo pórfido se encuentra afectado por la presencia de alteraciones hidrotermales. De forma similar, la evaluación entre la metodología RMR de Laubscher y Q de Barton. Destaca que ninguna de las correlaciones históricas se aproxima a la nube de puntos del depósito.
El sistema RMR modificado de Laubscher es la metodología con menor calificación del macizo rocoso del depósito; puesto que sus parámetros permiten ser más conservadores en el análisis de la calidad del macizo; teniendo en cuenta que los sistemas RMR de Bieniawski y Q de Barton, incorporan en sus parámetros el RQD, parámetro que sobreestima la calidad del macizo, basado en el tamaño del núcleo de roca producto de la perforación diamantina.
Agradecimientos
Los autores quieren expresar un especial agradecimiento a la empresa AngloGold Ashanti, en su proyecto Minera Quebradona, la cual confió la información básica para poder realizar esta investigación.
Referencias
[1] Ramírez, P., y Alejano, L., Mecánica de Rocas: Fundamentos e Ingeniería de Taludes. Universidad Politécnica de Madrid, Madrid. [en línea]. 2004. [consulta, 5 de diciembre de 2017]. Disponible en: Disponible en: http://oa.upm.es/14183/1/MECANICA_DE_ROCAS_1.pdf
[2] Corbett, G., Anatomy of porphyry-related Au-Cu-Ag-Mo mineralised systems: Some exploration implications. In Australian Institute of Geoscientists North Queensland Exploration Conference, 2009, pp. 1-13.
[3] Bieniawski, Z.T., Engineering rock mass classifications: A complete manual for engineers and geologists in mining, civil, and petroleum engineering. John Wiley & Sons, 1989.
[4] Laubscher, D.H., A geomechanics classification system for the rating of rock mass in mine design, Journal of the Southern African Institute of Mining and Metallurgy, 90(10), pp. 257-273, 1990.
[5] Barton, N., Some new Q-value correlations to assist in site characterisation and tunnel design. International Journal of Rock Mechanics and Mining Sciences, 39(2), pp. 185-216, 2002. DOI: 10.1016/S1365-1609(02)00011-4
[6] Coulomb, C., Essai sur une application des règles de maximis et minimis à quelques problèmes de statique relatifs à l'architecture. París, Mem. Div. Sav. Acad., 1773, 7 P.
[7] Lutton, R., Banks, D. and Strohm Jr, W., Slides in the Gaillard cut, Panama canal zone, rockslides and avalanches, vol. 2, Amsterdam, 1979, pp. 151-224.
[8] Terzaghi, K., Stress conditions for the failure of saturated concrete and rock, en: Proceedings-American Society for Testing and Materials, 45, pp. 777-792, 1945.
[9] Talobre, J., La mécanique des roches: Et ses applications, 2da Ed. Paris, 1967.
[10] Jaeger, J. and Cook, N., Fundamentals of rock mechanics: London, Methuen and Co. 513 P.
[11] Bieniawski, Z.T., Engineering classification of jointed rock masses. Civil Engineer in South Africa, 15(12), pp 335-343, 1973.
[12] Bieniawski, Z.T. (Ed.), Exploration for rock engineering: Proceedings of the Symposium onExploration for rock engineering , Johannesburg, Balkema, 1, 1976, pp 97-106.
[13] Barton, N., Lien, R. and Lunde, J., Engineering classification of rock masses for the design of tunnel support. Rock Mechanics, 6(4), pp 189-236, 1974. DOI: 10.1007/BF01239496
[14] Hoek, E. and Bray, J., Rock Slope Engineering. London, 1974.
[15] Grimstad, E. and Barton, N., Updating the Q-system for NMT. In: Proceedings of the International Symposium on Sprayed Concrete-Modern use of wet mix sprayed concrete for underground support, Fagemes, Oslo, Norwegian Concrete Association, 1993.
[16] Laubscher, D.H., Geomechanics classification of jointed rock masses-mining applications. Trans. Instn. Min. Metall, 86, pp. A1-8, 1977.
[17] Hoek, E. and Brown, E.T., Underground excavations in rock. London, Instn Min. Metall., 1980, 527 P.
[18] Hoek, E., The Hoek-Brown failure criterion-a 1988 update. In: Proc. 15th CanadianRock Mechanics . Symp, Toronto, Dept. Civil Engineering, University of Toronto, 1988, pp. 31-38.
[19] Hoek, E. and Kaiser, P.K., Support of underground excavations in hard rock. CRC Press, 1995.
[20] Marinos, P. and Hoek, E., GSI: A geologically friendly tool for rock mass strength estimation. In: ISRM International Symposium. International Society for Rock Mechanics , 2000, pp. 1422-1442.
[21] Cai, M., Kaiser, P.K., Uno, H., Tasaka, Y. and Minami, M., Estimation of rock mass deformation modulus and strength of jointed hard rock masses using the GSI system. International Journal of Rock Mechanics and Mining Sciences , 41(1), pp. 3-19, 2004. DOI: 10.1016/S1365-1609(03)00025-X
[22] Hoek, E., Carter, T.G. and Diederichs, M.S., Quantification of the geological strength index chart. In: 47th US rock mechanics/geomechanics symposium. American Rock Mechanics Association, 2013.
[23] Ramamurthy, T., A geo-engineering classification for rocks and rock masses. International Journal of Rock Mechanics and Mining Sciences , 41(1), 2004. pp. 89-101. DOI: 10.1016/S1365-1609(03)00078-9
[24] Palmstrom, A. and Broch, E., Use and misuse of rock mass classification systems with particular reference to the Q-system. Tunnelling and Underground Space Technology, 21(6), pp. 575-593, 2006. DOI: 10.1016/j.tust.2005.10.005
[25] Jakubec, J. and Esterhuizen, G.S., Use of the mining rock mass rating (MRMR) classification: industry experience. In: Proceedings International Workshop on Rock Mass Classification in Underground Mining., Mark, C., Pakalnis, R. and Tuchman, R.J. (eds), Vancouver, BC, Canada, National Institute for Occupational Safety and Health Information Circular (IC), 9498, 2007, pp. 413-421.
[26] ASTM D5878, Standard guides for using rock-mass classification systems for engineering, ASTM Int. West Conshohocken, PA, 2008, pp. 1-30.
[27] Zhang, W., Chen, J., Cao, Z. and Wang, R., Size effect of RQD and generalized representative volume elements: A case study on an underground excavation in Baihetan dam, Southwest China. Tunnelling and Underground Space Technology , 35, pp. 89-98, 2013. DOI: 10.1016/j.tust.2005.10.005
[28] Özkan, İ., Erdem, B. and Ceylanoğlu, A., Characterization of jointed rock masses for geotechnical classifications utilized in mine shaft stability analyses. International Journal of Rock Mechanics and Mining Sciences , 73, pp. 28-41, 2015. DOI: 10.1016/j.ijrmms.2014.10.001
[29] Rad, H.N., Jalali, Z. and Jalalifar, H., Prediction of rock mass rating system based on continuous functions using Chaos-ANFIS model. International Journal of Rock Mechanics and Mining Sciences , 73, pp. 1-9, 2015. DOI: 10.1016/j.ijrmms.2014.10.004
[30] AngloGold Ashanti Limited. Mineral resource and ore reserve report 2015 - Supporting our strategy. [online]. 2015. [consulted December 5th of 2017]. Available at: Available at: https://thevault.exchange/?get_group_doc=143/1502780767-MineralResourceandOreReserveReport2015.pdf
[31] Dempers, G.D., Seymour, C.R.W. and Harris, M.B., Optimising geotechnical logging to accurately represent the geotechnical environment. In: Second Australasian Ground Control in Mining Conference, 2010.
[32] Statgraphics Centurion, X. V. I. Statpoint Technologies. INC. version, 16, 17. 2009.
[33] Kumar, N., Samadhiya, N.K. and Anbalagan, R., Application of rock mass classification systems for tunneling in Himalaya, India. International Journal of Rock Mechanics and Mining Sciences , 41, pp. 852-857, 2004.
Notas