Artículos generales
Incorporación de la incertidumbre aleatoria de las propiedades del suelo en la geoestadística. Aplicación al diseño de cimentaciones basado en confiabilidad
Incorporation of random uncertainty of soil properties in geostatistic analysis. Application to the reliability design of shallow foundations
Incorporación de la incertidumbre aleatoria de las propiedades del suelo en la geoestadística. Aplicación al diseño de cimentaciones basado en confiabilidad
Boletín de Ciencias de la Tierra, núm. 44, pp. 38-48, 2018
Universidad Nacional de Colombia
Recepción: 11 Diciembre 2017
Recibido del documento revisado: 06 Abril 2018
Aprobación: 06 Mayo 2018
Resumen: Este trabajo aborda la falta de certeza en la estimación de las propiedades del suelo con las cuales se diseñan estructuras geotécnicas. Se propone un procedimiento para incorporar la incertidumbre aleatoria puntual de las propiedades del suelo en los procesos geoestadísticos que se utilizan para estimar valores de variables geotécnicas en localizaciones no muestreadas. Para hacer uso de dichos procesos geoestadísticos es necesario tener valores medidos en perforaciones puntualmente localizadas que se deben considerar deterministas y representativos de un tipo de suelo, sin embargo, al realizar dos mediciones en puntos muy cercanos existen diferencias dadas por la variabilidad natural inherente de las propiedades del suelo. Este trabajo propone una modificación al procedimiento geoestadístico convencional para tener en cuenta la incertidumbre aleatoria puntual de las variables geotécnicas. Se aplicó el procedimiento convencional y modificado al diseño basado en confiabilidad de una cimentación superficial.
Palabras clave: variabilidad natural, incertidumbre de las propiedades del suelo, interpolación de variables regionalizadas, geoestadística en geotecnia, diseño basado en confiabilidad.
Abstract: This research tackles the usual lack of certainty in the definition of soil properties for the design of geotechnical projects. A novel procedure is proposed to incorporate random local uncertainty of soil properties in geostatistics analysis aimed at estimating values of parameters in zones without physical information like borings. Real values measured from samples obtained in local borings are considered as deterministic data, and are fed to the geostatistics model. However, measurements taken from two close borings may show different values, which indicate the natural inherent variation of soil properties. A modification to conventional geostatistics is presented to consider the random local uncertainty observed in geotechnical parameters. Both standard and modified procedures are applied to the reliability based design of a shallow footing.
Keywords: natural variability, uncertainty in the soil properties, interpolation of regionalized variables, geostatistics in geotechnical engineering, reliability design.
1. Introducción
La estimación de las propiedades y parámetros del suelo es una de las principales actividades en el diseño de estructuras geotécnicas, usualmente se hace a partir de valores obtenidos de ensayos de laboratorio realizados a muestras de suelo extraídas de perforaciones puntualmente localizadas. Una vez que se tiene la información de las diferentes columnas de suelo en un área determinada, se hace uso de la experticia del geotecnista o de herramientas de interpolación como la geoestadística para estimar valores de las propiedades del suelo en las zonas no exploradas y generar el perfil de suelos homogéneos. En el proceso de interpolación con geoestadística convencional es necesario suponer que existe certeza de los valores de las propiedades del suelo (varianza cero en el punto muestreado) y a partir de estos se genera el perfil de suelos en el que se supone homogeneidad. Esto se refleja en dificultades para modelar efectos inducidos por la variabilidad natural del suelo como asentamientos diferenciales [13]. Lo anterior se refleja cuando se realizan dos mediciones de la misma propiedad en puntos muy cercanos y el resultado difiere, dando cuenta de una magnitud de incertidumbre que depende de la distancia de separación de dichos puntos cercanos.
Las diferentes especialidades de las geo-ciencias tienen diferentes fuentes de incertidumbre, entre las que se encuentran la incertidumbre aleatoria relacionada con la aleatoriedad inherente de los procesos naturales y la incertidumbre epistémica que se refiere al conocimiento limitado, es decir carencia de datos o ausencia de información [8]. En este caso se aborda el problema desde la variabilidad natural espacial de las propiedades de los diferentes materiales que componen el subsuelo.
La caracterización de la incertidumbre en geotecnia requiere la utilización de diferentes herramientas como la geoestadística para estimar el valor de las propiedades geotécnicas donde no están disponibles directamente [11,14]. De acuerdo con Soltani, [18] la geoestadística se encuentra dentro de los procesos más comúnmente utilizados para la estimación de valores de propiedades del suelo, debido a que utiliza el método de estimación óptimo llamado krigeado. El krigeado garantiza la mínima varianza del error de la predicción por lo que es considerado el mejor predictor insesgado [5] y cumple con las mejores condiciones que estadísticamente se le pueden pedir a un estimador, ya que asegura que la media de la predicción sea igual a la media de los valores observados [7].
Una de las características importantes del uso del krigeado para la estimación de las propiedades geotécnicas del suelo, es que para su aplicación se requiere que los datos de entrada sean considerados libres de incertidumbre, es decir que se debe suponer certeza del valor puntual tomado de una muestra, sin dar lugar a las variaciones debidas a las condiciones naturales de formación [18].
Soltani y Safa [19] desarrollaron en 2016 una herramienta en Matlab para la aplicación del proceso geoestadístico a datos difusos llamada FuzzyKrig. Argumentan que las mediciones de una variable contienen una magnitud de incertidumbre que es propagada a lo largo del proceso geoestadístico. La motivación del trabajo de Soltani y Safa [19] fue poder trabajar con datos no exactos mediante métodos difusos de krigeado partiendo de la limitación del proceso convencional de la geoestadística donde los datos de entrada se deben suponer que son ciertos. En este trabajo se adopta la misma motivación de Soltani y Safa [19], sin embargo, se plantea una solución alternativa a la limitación del proceso convencional de la geoestadística utilizando la teoría de la probabilidad.
De acuerdo con Dubost, 2011 [4] si se contabilizan adecuadamente las incertidumbres geotécnicas y sus efectos sobre las respuestas del suelo, es posible comprender y modelar mejor un problema geotécnico. En este trabajo se propone una alternativa para involucrar la incertidumbre aleatoria debida a la variabilidad natural de los suelos en el proceso geoestadístico con el fin de propagarla hasta los resultados. Se utilizaron como datos de entrada al proceso geoestadístico el primer y segundo momento estadístico de las variables resistencia al corte no drenada y el peso unitario total del suelo y se obtuvieron sus áreas de predicción con su respectiva incertidumbre propagada. Se aplicaron los resultados al diseño basado en confiabilidad de una cimentación superficial por capacidad portante en condición no drenada, para determinar la influencia de la incertidumbre aleatoria puntual de las propiedades evaluadas.
Realizado el análisis se encontró que cuando no se tiene en cuenta la incertidumbre aleatoria puntual de las propiedades del suelo, el diseño es conservador ya que la cimentación requiere menores dimensiones para satisfacer un determinado índice de confiabilidad o una determinada probabilidad de falla.
El proceso metodológico seguido para el desarrollo del trabajo se dividió en tres fases, la primera comprende el procedimiento propuesto para la incorporación de la incertidumbre aleatoria puntual en el proceso geoestadístico, lo que condujo a una modificación del procedimiento convencional. La segunda correspondió a la aplicación de la geoestadística convencional y modificada a la información geotécnica recopilada para el proyecto de la primera línea del metro de Bogotá. Finalmente se utilizaron los resultados obtenidos de la aplicación convencional y modificada de la geoestadística como datos de entrada para dos diseños basados en confiabilidad de una cimentación superficial, uno con los resultados de la geoestadística convencional y el otro con los de la modificada.
2. Geoestadística convencional
En la geoestadística convencional, los valores de la variable a interpolar se suponen libres de incertidumbre, es decir, se asigna un único valor a la propiedad de un tipo de suelo sin considerar que ésta puede tomar diferentes valores dada su variabilidad natural. En el caso de variables geotécnicas, al tomar distintas mediciones en un mismo tipo de suelo se presentan diferencias en sus valores debido a su variabilidad natural inherente llamada en este documento incertidumbre aleatoria puntual. Por tal razón, se propone incluir la incertidumbre aleatoria puntual en el procedimiento geoestadístico convencional, lo que conlleva a una modificación del mismo.
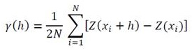
El primer paso para el análisis geoestadístico es la determinación de la estructura espacial de los datos mediante la función del variograma (Ecu. 1), donde a partir de los valores muestreados de una variable se obtiene su variación con respecto a las distancias de separación entre las ubicaciones de las mediciones.

γ h es la variación de la variable con respecto a la distancia de separación entre las localizaciones muestreadas, 𝑍( 𝑥 𝑖 ) es el valor de la variable medido en una ubicación 𝑥 𝑖 , 𝑍 𝑥 𝑖 +ℎ es el valor de la variable observado en una localización 𝑥 𝑖 +ℎ , ℎ es el vector que denota distancia de separación entre las localizaciones de las mediciones y 𝑁 es el número de pares 𝑍( 𝑥 𝑖 ) y 𝑍 𝑥 𝑖 +ℎ separados una distancia ℎ [12].
La función del variograma se basa en el principio de que, a menor distancia de separación entre dos mediciones sus propiedades serán más parecidas que en el caso en el cual estos puntos se encuentran separados una distancia mayor [16]. La representación gráfica de la función del variograma es una nube de puntos que corresponde a la variación de la variable para cada una de las distancias de separación entre las localizaciones muestreadas. Este variograma es llamado empírico. Para la aplicación del proceso geoestadístico es necesario tener la variación de la variable para cualquier distancia de separación posible, por lo tanto, el variograma empírico calculado para distancias particulares se debe ajustar a una función continua llamada variograma teórico [5]. En la Fig. 1 se muestra la representación del variograma empírico que corresponde a la nube de puntos y el variograma teórico que es la función que se ajusta a dichos puntos.

El variograma teórico se caracteriza por tres parámetros (Fig. 1), la longitud de correlación (alcance) que representa la máxima distancia de separación entre las muestras para la cual la variable está correlacionada; el umbral que es el valor del variograma para la longitud de correlación [16]; y el efecto pepita que corresponde al valor del variograma para distancias de separación entre las muestras iguales a cero (h=0) [5].
Una vez definido el variograma teórico que representa la estructura espacial de los datos, el siguiente paso del proceso geoestadístico es la estimación de la variable en una localización no muestreada, lo que se realiza aplicando el método del krigeado (Ecu. 2).
Donde 𝑍 𝑥 𝑝 corresponde a la estimación de la variable en una ubicación no muestreada 𝑥 𝑝 , 𝑍 (𝑥 𝑖 ) son los valores de la variable en las ubicaciones muestreadas 𝑥 𝑖 y 𝑊 𝑖 son las ponderaciones que se obtienen de la estructura espacial de los datos, es decir que los 𝑊 𝑖 son calculados mediante el variograma teórico por el método de multiplicadores de Lagrange [5, 12].

3. Modificación de la geoestadística
La propuesta para la incorporación de la incertidumbre aleatoria puntual, consiste en que en lugar de suponer deterministas los valores medidos se tenga en cuenta que estos siguen una función de densidad de probabilidad (Fig. 2).

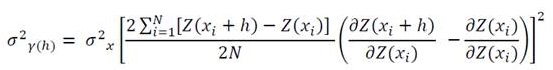
El proceso convencional de la geoestadística considera el efecto pepita como una diferencia determinista asociada en el origen, sin embargo, no considera que existe variabilidad en la diferencia de valores de las propiedades en función de la distancia de separación. Dado que se conoce que existe variabilidad natural en las propiedades del suelo, la diferencia de sus valores no siempre es la misma dada la distancia de separación de los puntos muestreados, por lo que, tanto el efecto pepita como el variograma no deberían ser deterministas (Fig. 3). En este trabajo se consideraron los momentos estadísticos de las variables de entrada para dar cuenta de la incertidumbre dada por la variabilidad natural, lo que permitió encontrar la incertidumbre del variograma para diferentes distancias de separación entre dos puntos.

Se propone suponer que en la Ecu. (1) 𝑍( 𝑥 𝑖 ) y 𝑍 𝑥 𝑖 +ℎ están caracterizados por su primer y segundo momento estadístico, para que una vez aplicada la función variograma (Ecu. 1) el resultado siga también una función de densidad de probabilidad caracterizada por sus dos primeros momentos estadísticos.
Si se suponen aleatorias las variables a interpolar, los valores de entrada del análisis geoestadístico ya no serán únicamente los valores medidos, sino que también se tendrá en cuenta su incertidumbre aleatoria puntual. Se considera que la variable sigue una función de densidad de probabilidad donde el valor medido en una ubicación 𝑍( 𝑥 𝑖 ), es considerado como el primer momento estadístico y el segundo momento estadístico es calculado para el grupo de mediciones en diferentes localizaciones.
Uno de los pasos de la modificación del procedimiento geoestadístico convencional para incluir la incertidumbre aleatoria puntual de la variable a interpolar, es encontrar el segundo momento estadístico del variograma teniendo en cuenta los dos primeros momentos estadísticos de los datos de entrada. Para esto se propone utilizar el método de evaluación por confiabilidad de Primer Orden Segundo Momento. En este caso particular la función evaluada es el variograma ya que depende de la variable a interpolar que se quiere considerar aleatoria. Los resultados de la aplicación de éste método están dados por los dos primeros momentos estadísticos de la función.
Para el cálculo del valor esperado de la función según el método de Primer Orden Segundo Momento el valor esperado se describe mediante la Ecu. (3). En este caso el valor esperado del variograma sería la aplicación de Ecu. (1) de manera convencional. Por otro lado, el cálculo de la desviación estándar se realiza mediante la aplicación de Ecu. (4). [6]


La Ecu. (4) aplicada al caso particular donde la función es el variograma y depende de una sola variable que es la que se quiere interpolar, se representa en la Ecu. (5), donde 𝑥 representa la variable a interpolar.

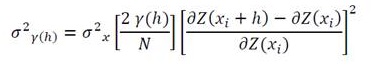
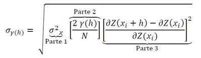
Sustituyendo la Ecu. (1) en la Ecu. (5) se obtiene la Ecu. (9) con la que se puede calcular el segundo momento estadístico del variograma, que representa la incertidumbre propagada de la variable aleatoria a interpolar. Una vez que se tienen todos los términos de la ecuación se aplica la modificación a cada uno de los puntos del variograma empírico para encontrar su desviación estándar.




Conocida la incertidumbre del variograma representada por su segundo momento estadístico, se debe incorporar en el procedimiento tradicional de forma tal que se refleje en la estimación de la variable en una localización no muestreada.
El siguiente paso del proceso convencional de la geoestadística tiene que ver con la estimación de la variable de interés en una localización no muestreada, a partir de la estructura espacial de los datos dada por el variograma teórico [5]. De acuerdo con la teoría de la interpolación espacial de variables regionalizadas, una vez se tiene el variograma empírico éste debe ser ajustado a un modelo teórico. En este caso se tienen los dos primeros momentos estadísticos del variograma por lo que es necesario modificar el procedimiento, con el fin de obtener la estructura espacial de los datos que represente dicha situación. [5].
Para esta actividad se utilizó otro método para análisis de confiabilidad llamado Estimación puntual, que proporciona aproximaciones de la función 𝑓(𝑥) a partir de momentos de bajo orden de una variable 𝑥. Mediante la aplicación del método de cuadratura de Gauss se ubican las coordenadas de los puntos óptimos para evaluar los momentos de la función de densidad de probabilidad para cada variable aleatoria. Los puntos óptimos son llamados estimativos puntuales. Rosenblueth propone que en el caso donde la variable aleatoria 𝑥 sea simétrica y aproximadamente gaussiana ésta puede ser estimada en dos o más puntos. Si se utilizan dos puntos, éstos corresponden al valor de la variable 𝑥 ? una desviación estándar por encima y una por debajo de su media [2].
En este caso particular se propuso suponer la función krigeado (Ecu. 2) como 𝑓(𝑥) que depende del variograma. Los estimativos puntuales corresponderán a la evaluación de la función Ecu. (2) en dos puntos óptimos, que serán el variograma empírico una desviación estándar por encima y una por debajo. La variable aleatoria ahora corresponde al variograma y la función que depende de ella es el krigeado.
De acuerdo con el procedimiento los variogramas empíricos deben ser ajustados a un modelo teórico para la aplicación de la función krigeado (Ver Fig. 4).

Como en este caso se tienen dos variogramas teóricos obtenidos aplicando el método de Estimación puntual, el procedimiento a seguir es hacer el krigeado de manera convencional e independiente para cada variograma teórico obteniendo así la estimación + y - en una localización no muestreada, lo que correspondería a la evaluación de la función en los dos puntos óptimos cuando se tiene una sola variable.
Teniendo en cuenta que la técnica krigeado además de estimar el valor de la variable en una localización no muestreada, también calcula la varianza de la estimación, en este caso se tendrían dos parejas 𝜇 + 𝑍 𝑥 𝑝 , 𝜎 + 𝑍 𝑥 𝑝 y 𝜇 − 𝑍 𝑥 𝑝 , 𝜎 − 𝑍 𝑥 𝑝 de tal forma que se aplica Ecu. (10) para el cálculo de la media y desviación de la estimación con el procedimiento modificado. Lo anterior se realiza bajo la consideración de la varianza de la estimación como una variable aleatoria obtenida con las realizaciones de la función Krigeado, por lo tanto, su valor medio también es calculado aplicando ecu. (10).


Donde 𝑓 𝜇 𝑥 𝑖 ± 𝜎 𝑥 𝑖 es la función de desempeño evaluada en dos puntos óptimos y 𝑃 𝑖 son los pesos del estimativo que para el caso de una sola variable corresponde a 1 2 (Ver Ecu. 11) [2].
4. Aplicación
Para la aplicación de la propuesta de modificación se utilizó la información geotécnica levantada por el Consorcio L1 contratado por la Alcaldía de Bogotá (Colombia) para el proyecto “Primera línea del metro de Bogotá, PLMB”. El Consorcio L1 dividió el trazado de la primera línea del metro en 4 tramos y para éste trabajo se utilizó la información correspondiente al tramo 3 localizado en la carrera décima desde la calle 12 hasta la calle 67 de la ciudad de Bogotá, tramo que a lo largo del documento será llamado tramo de estudio (Ver Fig. 5). La información fue descargada de la página web del Instituto de Desarrollo Urbano, 2015 [9].

El tramo de estudio fue proyectado por el Consorcio L1 con una longitud de 6171 m en el que realizó 80 perforaciones hasta de aproximadamente 50 m de profundidad. Las perforaciones se encuentran separadas de forma irregular entre 100 y 150 m dada la interferencia de predios y redes de servicios públicos. De cada perforación, el Consorcio L1 extrajo en promedio 25 muestras a las que realizó ensayos en la mayoría correspondientes a pesos unitarios, límites de atterberg, granulometría y humedades, seguido de al menos dos ensayos de compresión simple y en algunos casos un triaxial por perforación.
Es importante mencionar que para la realización de éste trabajo se utilizaron los resultados de los ensayos reportados por el Consorcio L1 en la página del web del Instituto de Desarrollo Urbano, 2015 [9].
Una vez recopilada la información fue necesario realizar la clasificación de las muestras utilizando el “Sistema Unificado de Clasificación de Suelos, SUCS” [1] además de georreferenciarlas en planta y en profundidad. Con el fin de determinar horizontes homogéneos para el análisis geoestadístico se elaboró el perfil de suelos de manera convencional, teniendo en cuenta únicamente la información de las muestras clasificadas en profundidad y la experticia del geotecnista.
En el perfil de suelos se identificó un horizonte de arcilla de baja plasticidad de profundidad entre 8 y 20 metros, con longitud aproximada de 2400 metros de los 6171 del tramo de estudio. Sobre dicho perfil se propuso emplazar una cimentación superficial y evaluar dos diseños basados en confiabilidad. Uno de los diseños con los resultados de la estimación de parámetros con el procedimiento convencional y el otro con los resultados de la estimación de parámetros con el procedimiento que incluye la incertidumbre aleatoria puntual.
Se procedió a filtrar la información geotécnica propia del horizonte de arcilla de baja plasticidad, de lo que se concluyó que la mayoría resultados que se reportaron fueron de resistencia al corte no drenada y peso unitario total del suelo, variables con las que es posible realizar un análisis de capacidad portante de una cimentación superficial en condición no drenada. Cabe resaltar que luego del filtro de la información, la cantidad de datos disponibles para el ejercicio fue de aproximadamente 30 datos por variable. En la Tabla 1 se muestran los estadísticos de las variables geotécnicas procesadas.

De acuerdo con la información disponible se consideraron la resistencia al corte no drenada Su y el peso unitario total ɣ como variables en el análisis geoestadístico y además como variables aleatorias en el análisis de confiabilidad, por tal razón fue de gran importancia conocer la función de densidad de probabilidad teórica a la cual se ajustan.
Para conocer la distribución que siguen las variables que se consideraron aleatorias, se realizó una prueba de bondad de ajuste. Esta se refiere a una prueba de hipótesis estadística que busca conocer la forma funcional de la distribución muestreada comparando las frecuencias observadas de la muestra con las frecuencias esperadas si la variable se distribuye de acuerdo con una función teórica [3]. Se utilizó la prueba de Kolmogorov Smirnov utilizada usualmente para muestras de tamaño pequeño (Figs. 6, 7). De lo anterior se obtuvo que para las dos variables que se consideraron aleatorias, se aceptan las diferentes funciones de densidad de probabilidad teóricas evaluadas con un nivel de confianza del 95 %. En la Tabla 2 se presentan los resultados de la prueba para el peso unitario, en donde se aceptan las funciones teóricas Normal y Log-Normal. En la Tabla 3 se presentan los resultados de la prueba para la resistencia al corte no drenada en donde se aceptan las funciones teóricas Normal, Log-Normal y Beta. (Figs. 6, 7).




Definidas las variables y sus funciones de densidad de probabilidad se aplicaron los dos procedimientos geoestadísticos. El procedimiento de manera convencional fue aplicado a cada variable como se explicó en el numeral 2. Mediante la aplicación de la Ecu. (1) se encontró la estructura espacial de los datos. En la Fig. 8 se presenta a manera de ejemplo el variograma empírico y teórico obtenido para la variable peso unitario mediante el proceso convencional de la geoestadística.


Dado que la información disponible no permite encontrar la estructura espacial de los datos segmentados por direcciones, fue necesario suponer los variogramas omnidireccionales, aplicables a toda el área de estudio. Los parámetros de los variogramas teóricos obtenidos para cada variable mediante la aplicación de la geoestadística convencional, se pueden observar en la Tabla 4.
Con la aplicación de la Ecu. (2) se estimó el valor de la variable en un área de 2 km2 cada 5 metros alrededor del alineamiento. El área de estimación se localizó a lo largo de la carrera 10 entre las calles 13 y 33, con una longitud de 2400 m ya que en ese segmento se encuentra ubicado el horizonte de arcilla de baja plasticidad identificado en el perfil de suelo (Ver Fig. 9).

El procedimiento que incluye la incertidumbre aleatoria puntual se realizó mediante la aplicación de la Ecu (9) donde la parte 1 corresponde a la desviación estándar al cuadrado de los valores observados de la variable aleatoria. La parte 2 fue calculada utilizando los valores de 𝛾 ℎ del variograma empírico. Y para la parte 3 se realizó una aproximación numérica de la derivada, se obtuvo la pendiente de la línea de tendencia de 𝑍 𝑥 𝑖 +ℎ −𝑍 𝑥 𝑖 versus 𝑍( 𝑥 𝑖 ). La parte 3 de la Ecu. (9) da como resultado -0.8356 para el peso unitario total (Ver Fig. 10) y -0.9398 para la resistencia al corte no drenada (Ver Fig. 11).


Conocidos los términos de la Ecu. (9) se obtuvo el segundo momento estadístico del variograma y se siguió el procedimiento explicado en el numeral 3. Finalmente se obtuvieron las áreas de estimación correspondientes a la evaluación de la Ecu. (2) en los dos puntos óptimos, el variograma convencional una desviación estándar por encima y una por debajo.
Utilizando los resultados obtenidos de las superficies de estimación para las variables peso unitario y resistencia al corte no drenada tanto para el caso convencional como para el modificado, se realizó el diseño basado en confiabilidad de una zapata cuadrada con el fin de determinar la influencia de la incertidumbre aleatoria puntual en la interpolación de variables regionalizadas.
La zapata fue localizada sobre el horizonte de arcilla de baja plasticidad identificado en el perfil de suelos, específicamente entre las perforaciones SE3-2 y SE3-4 sobre el alineamiento como se observa en la Fig. 12.

El diseño de la cimentación superficial se realizó por capacidad portante en condición no drenada, teniendo en cuenta que las variables a las que se les aplicó la geoestadística convencional y modificada fueron el peso unitario total ɣ y la resistencia al corte no drenada Su de un horizonte de arcilla de baja plasticidad. La función de desempeño utilizada fue la expresión del factor de seguridad que relaciona la capacidad portante del suelo con la carga aplicada.
Para este caso en particular, se realizó el análisis en condición no drenada para una zapata cuadrada con carga vertical. La cimentación corresponde a la zapata más cargada de una edificación de 3 plantas de 81 m2 donde el avalúo de cargas fue de 7.5 kPa de carga muerta y 2.5 kPa de carga viva por piso sin mayorar. Su área aferente fue de 60.75 m2 incluyendo las tres plantas.
Teniendo en cuenta todo lo anterior, la Ecu. (12) corresponde a la función de desempeño que se utilizará en el análisis de confiabilidad.

Donde 𝑏 , 𝑙 y ℎ corresponden al ancho, largo y alto de la cimentación, 𝑆 𝑢 a la resistencia al corte no drenada del suelo, 𝐹 𝑐𝑠 y 𝐹 𝑐𝑑 son los factores de corrección por forma y profundidad, 𝛾 es el peso unitario del suelo, 𝛾 𝑐 el peso unitario total del concreto, 𝐷 𝑓 es la profundidad de desplante, 𝐷 y 𝐿 corresponden a la carga muerta y carga viva sin mayorar respectivamente.
Las variables que se consideran aleatorias en este análisis son el peso unitario total del suelo ɣ y la resistencia al corte no drenada Su, sin embargo es importante tener en cuenta que las cargas también presentan incertidumbre que debe ser incluida en un diseño por confiabilidad, por tal razón se decidió considerar la carga muerta y la carga viva como variables aleatorias.



Se utilizaron los estadísticos de la Tabla 5 para las variables carga muerta y carga viva para edificaciones, obtenidos de diferentes autores.
5. Resultados
Los resultados obtenidos para el punto donde se ubicó la cimentación superficial se presentan en la Tabla 6 con la aplicación del procedimiento convencional y en la Tabla 7 con la aplicación del procedimiento modificado.
En los resultados obtenidos referentes al peso unitario total se observa que los valores medios de la estimación convencional comparados con los obtenidos con la propuesta de modificación no difieren considerablemente, sin embargo se observa que el procedimiento modificado presenta un aumento en la varianza y en la desviación estándar, reflejando la incertidumbre que se propaga en el proceso geoestadístico desde la variabilidad puntual natural.
En los resultados de la resistencia al corte no drenada, sus valores medios tampoco difieren en gran medida, sin embargo, la incertidumbre de la variable estimada con la propuesta de modificación aumentó el 3% en términos del coeficiente de variación con respecto al convencional. Lo anterior, igual que en el caso del peso unitario, refleja la propagación de la incertidumbre dada por la variabilidad natural con el procedimiento propuesto.
Realizado el análisis de confiabilidad para diferentes combinaciones de profundidad de desplante y dimensiones de la cimentación superficial, en la Fig. 13 se puede observar que el valor esperado del factor de seguridad es prácticamente igual para el caso modificado que para el caso convencional, lo que se explica teniendo en cuenta que los valores medios de las estimaciones de las variables también son prácticamente iguales y la influencia de la incertidumbre aleatoria puntual incluida se observa es en la varianza de la predicción.

En las Figs. 13, 14 y 15 “Conv Df” corresponde a las curvas que se obtienen con la aplicación del procedimiento convencional para diferentes profundidades de desplante y “Mod Df” a las que se obtienen con el procedimiento modificado para diferentes profundidades de desplante.
En la Fig. 14 se presenta el ábaco de diseño por probabilidad de falla para el caso convencional y el modificado, calculado suponiendo una función de densidad de probabilidad normal para el factor de seguridad. Con el uso de este ábaco se pueden conocer las dimensiones y profundidad de desplante que debe tener una zapata cuadrada para satisfacer una probabilidad de falla determinada.

Se puede observar en la Fig. 14 que a partir de 1.5 metros de B=L de la cimentación, las curvas de probabilidad de falla se encuentran separadas y en la gráfica del factor de seguridad versus las dimensiones de la cimentación en la Fig. 13 se puede identificar que precisamente ese rango de dimensiones es donde las cargas actuantes son mayores que las resistentes para las diferentes profundidades de desplante.
El comportamiento más importante observado en el ábaco de diseño por probabilidad de falla (Fig. 14), es que cuando las cargas resistentes son menores que las actuantes la probabilidad de falla convencional es aproximadamente igual que la modificada que tiene incluida la incertidumbre aleatoria puntual de las variables.
Es importante también resaltar que cuando el factor de seguridad es mayor a 1 la probabilidad de falla para el caso donde se incluye la incertidumbre aleatoria puntual siempre es mayor que para el caso convencional, entonces se puede afirmar que las dimensiones de una zapata que satisfacen una probabilidad de falla determinada en el caso donde no se tiene en cuenta la incertidumbre aleatoria puntual son menores que las que se requieren para satisfacer el caso donde está incluida dicha incertidumbre.
En la Fig. 15, se presenta el ábaco de diseño por confiabilidad suponiendo una función de densidad de probabilidad normal para el factor de seguridad. Nuevamente se afirma que se requieren mayores dimensiones de la cimentación superficial para satisfacer el mismo índice de confiabilidad en el caso modificado que en el convencional.

En la Fig. 15 se puede observar también que la diferencia entre el índice de confiabilidad convencional y modificado aumenta a medida que aumentan las dimensiones de la cimentación superficial, ya que para un B=L de 2.5 m el índice de confiabilidad modificado es menor que el convencional, de lo que se puede afirmar que a medida que el factor de seguridad aumenta también aumenta su incertidumbre.
6. Discusión
En el proceso de la aplicación de la geoestadística convencional y modificada se observaron diferentes comportamientos en cuanto a la influencia del variograma teórico en la estimación de las variables regionalizadas. Por ejemplo, se pudo identificar que el valor medio y la desviación estándar de las estimaciones ubicadas una distancia mayor a la longitud de correlación con respecto a las mediciones son aproximadamente el valor medio y la desviación estándar de la variable. Esto ocurre debido a que, a mayor distancia de separación entre la ubicación no muestreada y las mediciones, la incertidumbre aumenta y se vuelve constante cuando dicha distancia supera la longitud de correlación de la variable.
Otro aspecto importante es que cuando el variograma teórico al cual se ajustan los datos presenta una meseta muy grande y una distancia de correlación pequeña, la superficie de predicción espacial tiende a ser homogénea tanto en su valor medio como en su varianza. Lo anterior es representado por una zona de varianza máxima y constante dentro de la superficie de predicción que aumenta proporcionalmente con la disminución de la longitud de correlación.
En cuanto a los resultados de la aplicación de la geoestadística convencional comparados con los obtenidos con la propuesta de modificación se puede afirmar que los valores medios de las predicciones convencional y modificada no difieren representativamente, sin embargo, la influencia de la incertidumbre aleatoria integrada en la interpolación espacial de variables regionalizadas se puede observar en la varianza de las predicciones.
Teniendo en cuenta que la influencia de la incertidumbre aleatoria puntual se ve reflejada en la incertidumbre de la predicción y no tanto en su valor medio, se puede afirmar que la utilización de este método es representativa siempre y cuando el diseño geotécnico se haga basado en confiabilidad.
En cuanto a los resultados del análisis de confiabilidad se observa que el valor esperado del factor de seguridad es prácticamente igual para los casos modificados que para el caso convencional, lo que se explica teniendo en cuenta que los valores medios de las estimaciones de las variables también son prácticamente iguales y la influencia de la incertidumbre aleatoria puntual incluida se observa es en la varianza de la predicción.
Un comportamiento importante identificado luego del análisis de confiabilidad es que cuando las cargas resistentes son menores que las actuantes la probabilidad de falla convencional es igual que la modificada.
7. Conclusiones
A menor incertidumbre aleatoria puntual la estimación con el procedimiento modificado no se ve afectada considerablemente, sin embargo, a medida que la incertidumbre puntual aumenta también aumenta la incertidumbre de la estimación de la variable en una localización no muestreada al propagarse dicha incertidumbre puntual.
El hecho de que los valores medios de las estimaciones de las variables sean aproximadamente iguales para el caso convencional que para el modificado, hace que la media del factor de seguridad también sea aproximadamente igual en ambos casos, ya que la influencia de la inclusión de la incertidumbre aleatoria puntual realmente se observa es en la magnitud de incertidumbre del factor de seguridad.
La incertidumbre aleatoria puntual no se refleja tanto en el valor medio de la estimación si no en su varianza, por lo que la utilización de este método es representativa siempre y cuando el diseño geotécnico se haga basado en confiabilidad.
Cuando las cargas resistentes son menores que las actuantes la probabilidad de falla convencional es igual que la modificada, sin embargo, cuando el factor de seguridad es mayor a 1 la probabilidad de falla para el caso donde se incluye la incertidumbre aleatoria puntual es mayor que para el caso convencional.
Las dimensiones de la estructura que satisfacen una probabilidad de falla determinada en el caso donde no se tiene en cuenta la incertidumbre aleatoria puntual son menores que las que se requieren para satisfacer el caso donde está incluida dicha incertidumbre. Lo mismo ocurre en el caso del índice de confiabilidad ya que se requieren mayores dimensiones de la cimentación superficial para satisfacer el mismo índice de confiabilidad en los casos modificados que en el convencional.
Referencias
[1] ASTM, D. Standard practice for classification of soils for engineering purposes, unified soil classification system. Annual Book or ASTM Standards, pp. 249-260, 2000.
[2] Baecher, G.B. and Christian, J.T., Reliability and statistics in geotechnical engineering. British Library, 2005.
[3] Canavos, G., Probabilidad y estadística, aplicaciones y métodos, vol. 1. Universidad Autónoma de México, Departamento de Matemáticas, Facultad de Ciencias, 1988.
[4] Dubost, J., Denis, A., Marache, A. and Breysse, D., Effect of uncertainties in soil data on settlement of soft columnar inclusions. Engineering Geology, 121(3), pp. 123-134, 2011. DOI: 10.1016/j.enggeo.2011.05.004
[5] Giraldo, R., Introducción a la geoestadística, teoría y aplicación, Universidad Nacional de Colombia, 2000.
[6] Griffths, V., Quantitative risk assessment in geotechnical engineering, the frst order second moment method, fosm. Technical report, Colombian Geotechnical Society, 2016.
[7] Gutiérrez, A., Ramirez, A., Lebel, T., Santillán, O. y Fuentes, C., El variograma y el correlograma, dos estimadores de la variabilidad de mediciones hidrológicas. Revista Facultad de Ingeniería, (59), pp. 193-202, 2012.
[8] Hidalgo-Montoya, C.A. y Pacheco-de Assis, A., Herramientas para análisis por confabilidad en geotecnia: la teoría. Revista Ingenierías, Universidad de Medellín, 10(18), pp. 69-78, 2011.
[9] Instituto de Desarrollo Urbano, [en línea]. [Consultado: 14 de Julio de 2015]. Disponible en: Disponible en: http://www.idu.gov.co.
[10] Law, S. and Li, J., Updating the reliability of a concrete bridge structure based on condition assessment with uncertainties. Engineering Structures, 32(1), pp. 286-296, 2010. DOI: 10.1016/j.engstruct.2009.09.015
[11] Marache, A., Breysse, D., Piette, C. and Thierry, P., Geotechnical modeling at the city scale using statistical and geostatistical tools: the pessac case (france). Engineering Geology , 107(3), pp. 67-76, 2009. DOI: 10.1016/j.enggeo.2009.04.003
[12] Matheron, G., Curso de geoestadística, Escuela de Minas de París, 1969.
[13] Niandou, H. and Breysse, D., Reliability analysis of a piled raft accounting for soil horizontal variability. Computers and Geotechnics, 34(2), pp. 71-80, 2007. DOI: 10.1016/j.compgeo.2006.09.006
[14] Ozturk, C. and Simdi, E., Geostatistical investigation of geotechnical and constructional properties in kadikoy-kartal subway, Turkey. Tunnelling and Underground Space Technology, 41, pp. 35-45, 2014. DOI: 10.1016/j.tust.2013.11.002
[15] Prada, F., Ramos, A., Solaque, D. and Caicedo, B., Confiabilidad aplicada al diseño geotécnico de un muro de contención. Obras y proyectos, (9), pp. 49-58, 2011. DOI: 10.4067/S0718-28132011000100006
[16] Ramos, A., Relación entre parámetros de movimiento fuerte y deslizamientos. Master's thesis, Universidad Nacional de Colombia, 2003.
[17] Sánchez-Silva, M., Introducción a la confabilidad y evaluación de riesgos. Teoría y Aplicaciones en Ingeniería, vol. 1. Universidad de Los Andes, Facultad de Ingeniería, 2005.
[18] Soltani-Mohammadi, S., Fuzzy Krig a comprehensive Matlab toolbox for geostatistical estimation of imprecise information. Earth Science Informatics, 9(2), pp. 235-245, 2015. DOI: 10.1007/s12145-015-0240-4
[19] Soltani-Mohammadi, S. and Safa, M., A simulated annealing based optimization algorithm for automatic variogram model fitting. Archives of Mining Sciences, 61(3), pp. 635-649, 2016. DOI: 10.1515/amsc-2016-0045
[20] Vu, K.A.T. and Stewart, M.G., Structural reliability of concrete bridges including improved chloride-induced corrosion models. Structural Safety, 22(4), pp. 313-333, 2000. DOI: 10.1016/S0167-4730(00)00018-7
Notas