Article
Recepción: 20 Junio 2023
Recibido del documento revisado: 24 Octubre 2023
Aprobación: 25 Octubre 2023
DOI: https://doi.org/10.15446/rbct.n54.109598
Resumen: Los procesos geológicos han sido los precursores de la formación y acumulación de minerales de interés económico en la región amazónica ecuatoriana. Históricamente, el extractivismo minero ha sido considerado una actividad productiva con fines económicos y comerciales, sin embargo, el impacto de la extracción de oro aluvial afecta de manera significativa a las comunidades locales y al medio ambiente. El objetivo de esta investigación es analizar el impacto de la pequeña minería en el agua y el suelo de un tramo del río Yutzupino y su relación con las actividades socioeconómicas de la población de la comunidad El Ceibo. El estudio se llevó a cabo seleccionando el lugar de estudio (se analizó una zona intervenida y recuperada y una no intervenida), los puntos de muestreo, y el levantamiento de información geológica. Asimismo, se realizó el análisis de la calidad del agua y el suelo, por último, se realizaron encuestas socioeconómicas a los habitantes de la comunidad. Los parámetros fisicoquímicos del agua indican que no es de baja calidad, pero hay turbidez y metales pesados en los suelos, especialmente arsénico. Se constató que los comuneros practican la minería artesanal como su principal actividad económica para cubrir sus necesidades básicas, se prevé que, de continuar las actividades mineras en la zona, se favorecerá la alteración del medio físico, así como la disminución de la calidad del agua y la degradación del suelo, imposibilitando las actividades agrícolas de no llevarse a cabo una remediación ambiental.
Palabras clave: Ambiente, comunidad, geología, minería, socioeconomía.
Abstract: Geological processes have been the precursors to the formation and accumulation of minerals of economic interest in the Ecuadorian Amazon region. Historically, mining extractivism has been considered a productive activity for economic and commercial purposes, however, the alluvial gold mining impact significantly affects local communities and the environment. The objective of this research is to analyze the small-scale mining impact on the water and soil of a section of the Yutzupino River and its relationship with the socioeconomic activities of the population of the El Ceibo community. The study was carried out by selecting the study location (analyzing an intervened and reclaimed area and a non-intervened area), the sampling points, and the collection of geological information. Also, water and soil quality analyses were carried out, and socioeconomic surveys were conducted with the community's inhabitants. The physicochemical parameters of the water indicate that it is not of low quality but that there is turbidity and heavy metals in the soils, especially arsenic. It was found that the community members practice artisanal mining as their main economic activity to cover their basic needs. It is expected that if mining activities continue in the area, the alteration of the physical environment will be favored, as well as the decrease in the quality of water and soil degradation, making agricultural activities impossible if environmental remediation is not carried out.
Keywords: Community, environment, geology, mining, socioeconomics.
1. Introducción y marco de referencia
La región amazónica representa cerca del 50 % del territorio del Ecuador, es una de las zonas con mayor biodiversidad y con gran riqueza de recursos naturales, en donde se realiza énfasis del ciclo del carbono, esencial para la ecología del planeta y el clima (Bravo et al., 2017). Su población está compuesta por aproximadamente 1 millón de habitantes y posee una superficie de 120.000 km² (Gobierno Autónomo Descentralizado Municipal de Tena, 2019). En el norte de la amazonia, la principal actividad económica es la extracción de hidrocarburos, esta ha sido fundamental para el desarrollo regional tanto por la construcción de infraestructura, generación de empleo y volumen anual de inversiones, le siguen la producción agropecuaria y forestal (Benavides et al., 2008). Otros sectores importantes son la construcción, los servicios, el turismo y el comercio, principalmente de productos vegetales de la zona. Dentro de la Amazonía está la provincia de Napo, ubicada al sureste de la capital ecuatoriana, la cual posee un clima tropical con temperaturas medias de 25 a 27°C, (Gobierno Autónomo Descentralizado Municipal de Tena, 2019). Además, tiene una alta precipitación que sobrepasa los 3.000 mm anuales, siendo los meses de mayo y junio los más lluviosos en el norte de la Amazonía y los meses de marzo y abril en el sur (Gobierno Provincial de Napo, 2015).
Con respecto a la geología regional y medio físico, la zona de estudio está localizada al este de la Cordillera Real, en el piedemonte amazónico. Existen rocas jurásicas como el Granito de Abitagua, que forma parte de la Cordillera de los Guacamayos e intruye a la Formación Misahuallí, la cual es volcano sedimentaria, siendo afectada por varias fallas transversales y paralelas a su rumbo general NE-SW (Baby et al, 2004). Este granito se encuentra dividido por diques ácidos de adamelita y aplita, además de diques basálticos de hasta 15 metros de espesor. La Cuenca Oriente es una cuenca subandina que se desarrolla como resultado de esfuerzos transpresivos, presentes a partir del Cretácico terminal, los que provocan la emersión de la Cordillera Real y la formación de la cuenca de antepaís de trasarco propiamente dicha (Baby, 2004). Sus miembros clásticos presentan fuertes cambios paleográficos, alteraciones laterales de facies y oscilaciones de la línea de costa de hasta 200 km dentro de la plataforma marina somera Oriente (Chunga, 2012).
En la Fig. 1 se visualiza el Mapa Geológico de Puerto Napo, correspondiente a la zona de estudio y en el cual se distingue una secuencia sedimentaria cretácica conformada por la formación Napo, varios cuerpos ígneos básicos alcalinos han sido identificados en esta misma sección cretácica; suprayaciendo se encuentra la formación Tena de edad paleocénica, posteriormente, las formaciones Tiyuyacu y Arajuno, cubiertas principalmente en superficie por depósitos aluviales cuaternarios, que forman terrazas aluviales con acumulación de minerales de interés económico como el oro (Carlomagno,2010).

Los procesos de geodinámismo antiguos y actuales, se reflejan también en la morfología de la zona subandina de la Cuenca Oriente, que se caracteriza por la presencia de terrazas aluviales y por grandes deslizamientos (Baby, 2004). Las formaciones cretácicas Hollín, Napo y Tena en la Amazonía ecuatoriana, constituyen el sustrato rocoso de muchos ríos, y por presentar mayormente buzamientos subhorizontales con pendientes suaves a moderadas, forman buenos rifles naturales para la concentración del oro. Según menciona Carlomagno (2010), el oriente ecuatoriano posee placeres auríferos y además forma parte de una gran provincia aurífera, que comprende toda la cuenca oriental. Además, los ríos que surgen del flanco este de la Cordillera Real atraviesan esta zona, en los cuales existen depósitos aluviales en explotación.
En Ecuador no existen mecanismos para el financiamiento público o privado para la pequeña minería y/o artesanal (Sandoval, 2001). A pesar de algunas mejoras tecnológicas en los últimos años, la minería en el Ecuador está dominada por las operaciones artesanales y semimecanizadas. Desde el punto de vista ambiental, la situación es problemática, ya que en las operaciones generalmente hay poca conciencia y preocupación por proteger la naturaleza (Apolo, 2013). En otras palabras, la explotación de los placeres aluviales que según Viladevall (2004) son la acumulación económica de minerales de alta resistencia física-química, constituyen uno de los métodos más antiguos de extracción de oro en el Ecuador (Sandoval, 2001). En estos, se aprovecha el peso específico para lograr su concentración gravimétrica y separarlo de los sedimentos pesados (Sandoval, 2001). Con respecto a la parte ambiental, Caparelli et al (2020a) afirma que las aguas residuales de la piscicultura, minería de oro legal e ilegal, contaminación urbana y vertederos no funcionales aportan grandes cantidades de metales en los ecosistemas de agua dulce en las estribaciones de los Andes nororientales del Ecuador. Además de la contaminación por metales, múltiples efectos ambientales se pueden esperar de esas fuentes de contaminación (Galarza et al, 2020).
Los efectos en el medio ambiente por parte de los metales pesados son graves, entre ellos se tiene el cambio de la alcalinidad del suelo, contaminación del agua y los cultivos. En los cuerpos de agua también hay afectación a la fauna y se puede decir que la contaminación por metales pesados ocurre de manera silenciosa, ya que apenas se visualiza y no se pueden dimensionar los daños, que además son perjudiciales para la salud (Eróstegui,2009). El mercurio constituye uno de los grupos de productos químicos con mayores repercusiones en el ambiente y la salud, por sus características de bioacumulación y persistencia en los ecosistemas (Ministerio del Ambiente, 2018). De acuerdo a Flores et al (2010), la minería de oro aumenta la turbidez, cambia el color del agua, disminuye el pH y afecta a los paisajes naturales. Las fuentes más significativas son las descargas de aguas residuales en los ríos, por los sistemas de disposición inadecuados. La descarga de estos contaminantes ha provocado la extinción de toda forma de vida superior en ciertos tramos del río intervenido; además, la mala calidad del agua imposibilita su uso como agua potable, para irrigación o criaderos acuáticos (Morejón, 2012). Adicionalmente, Caparelli et al (2021a) menciona que, en la Amazonía Ecuatoriana, solo el 25% de las aguas residuales se somete a algún tipo de tratamiento y el 56% de las aguas residuales no tratadas se vierten directamente a los ríos. Según Caparelli et al (2021a), además de los impactos en el ecosistema, los posibles impactos sociales causados por actividades mineras deben investigarse más a fondo.
La parroquia Puerto Napo de acuerdo al conocimiento popular, es conocida por albergar varios lugares de explotación minera. Sin embargo, no se encontraron estudios socioeconómicos asociados a la actividad minera en la provincia de Napo, únicamente de carácter ambiental. El lugar de estudio se centra en la comunidad El Ceibo de la parroquia Puerto Napo, en el piedemonte amazónico dentro de la Cuenca Oriente, perteneciente al cantón Tena de la provincia de Napo (Fig. 2), aproximadamente a 220 kilómetros de la ciudad de Quito y con una población aproximada de 200 a 250 habitantes. Además de la gran biodiversidad de flora y fauna, esta zona es conocida por ser un hotspot (punto caliente) de geodiversidad, dado el contenido de minerales de alto valor, como el oro (Caparelli et al, 2021b). El río que atraviesa una parte de la comunidad es el Yutzupino, el cual desemboca en el río Jatunyaku, que junto con el río Anzu forman el río Napo y juntos albergan el mayor número de concesiones mineras dentro de la provincia.

En esta comunidad hay varios sitios donde se realizó pequeña minería, actualmente se desarrollan actividades de minería artesanal, que operan sin planificación ni permisos para realizar procesos de explotación (Comunidad El Ceibo, comunicación personal, junio de 2021). Existen 27 concesiones mineras, de las cuales 17 son de minería artesanal, 6 de empresas mineras y 4 en exploración (Gobierno Autónomo Descentralizado Municipal de Tena, 2014), todo esto ligado a que el Ecuador es un país altamente dependiente de la producción y exportación primaria (Varela, 2010). Según información recabada en conversaciones con habitantes de la comunidad, las familias se dedican a la minería y utilizan la técnica de batea y succión con bomba de agua para la extracción lo que a su vez genera turbidez en el agua y dificulta su uso o consumo.
Conociendo la problemática general de la comunidad, se identifica que no hay información sobre el tema y se plantea realizar una investigación que relacione la geología, el ambiente y la socioeconomía del lugar. Por lo tanto, este estudio se concentra en analizar el medio físico y las condiciones socioeconómicas de la comunidad, asociada a la actividad minera que tuvo lugar hace más de 10 años.
El objetivo principal de la investigación es analizar la minería artesanal y de pequeña escala y su relación con la contaminación y degradación del agua y suelo en un tramo del río Yutzupino en la comunidad El Ceibo, a través de la comparación entre zonas anteriormente intervenidas, zonas no intervenidas y zonas recuperadas, así como determinar su relación con las actividades socioeconómicas de los comuneros. Como objetivos específicos se pretende describir la geología presente en el lugar y el medio físico, mediante las características del relieve. Con ensayos fisicoquímicos, se analizó la calidad del agua y se realizó una comparación de los resultados obtenidos al analizar las muestras de suelo de una zona intervenida, no intervenida y recuperada. Por otro lado, se determinó las concentraciones de metales en suelos y se caracterizó la actividad socioeconómica de la comunidad, obteniendo datos de sus ingresos, egresos, acceso a servicios básicos, entre otros.
El estudio se realizó integrando varias metodologías, tanto para el aspecto geológico, ambiental y socioeconómico, para crear un modelo de investigación replicable, ya que no se han encontrado investigaciones previas que relacionan los 3 aspectos mencionados en ninguna zona del Ecuador.
2. Metodología
2.1. Lugar de investigación
La zona de estudio fue seleccionada tomando en cuenta la actividad minera histórica, la accesibilidad y la apertura al diálogo de la comunidad. El principal interés en la zona, radica en que se conoce por medio de diálogos con los comuneros, que hace más de 10 años hubo explotación minera con maquinaria y uso de productos químicos, pero actualmente se realiza minería ancestral con batea y pequeños equipos. Por ello, se considera un lugar atractivo para investigar los efectos post-minería en el medio físico y social, los cuales se pueden evidenciar en la escasez de vegetación y parámetros socioeconómicos que se presentan más adelante.
2.1.1. Ubicación de zonas de muestreo
La ausencia de información técnica tanto de catastros, informes y demás, ocasionaron que las zonas de estudio fueron ubicadas según la referencia provista por los comuneros y de forma aproximada. Tras la selección del área de estudio, se buscó e identificó las fincas o terrenos que habían sido utilizados para la actividad minería, obteniendo una zona intervenida o explotada, una zona no intervenida, una zona recuperada por reforestación y un cuerpo de agua, en este caso el río Yutzupino, afluente del río Jatunyaku, teniendo en total un área de estudio aproximada de 14 hectáreas (Fig. 3). Esto para realizar una correlación entre las características fisicoquímicas del ambiente, tanto del suelo, agua y relieve, con el objetivo de identificar las diferencias existentes y determinar su impacto.

2.1.2. Diseño de los puntos de muestreo
Se diseñó la metodología para el muestreo de suelos y agua, dividiendo el área en 4 zonas y en el caso de los suelos fue realizado en forma de geometría en zig-zag. Para el caso del agua, las muestras se plantearon en 2 puntos, un punto aguas arriba y otras aguas abajo del lugar de referencia, que se centra en un tramo del río que fue explotado por la minería (Fig. 4). En total fueron 8 muestras, 6 de suelos y 2 de agua, que se recolectaron y analizaron. Se pretendió que los puntos de muestreo estén distribuidos de manera aleatoria y que no sean contiguos, para tratar de cubrir toda el área de cada zona y conseguir una representatividad alta de las muestras.

Los puntos de recolección para muestras de agua y suelo de presentan a continuación.
2.1.3. Metodología de muestreo
Para los suelos, se realizaron excavaciones con barreno y se recogió un kilogramo de muestra por punto. Para el agua, un litro de muestra por punto y tomado en el centro del río. Cabe mencionar que, por problemas de accesibilidad ajenos al equipo de trabajo, no se pudo realizar un muestreo sistemático de varios días, lo que evitaría la influencia de fenómenos naturales en los resultados y que a su vez éstos sean más representativos.
2.1.4. Materiales
Las muestras de suelo fueron almacenadas en fundas plásticas herméticas y las de agua en botellas de plástico, ambas conservadas a una temperatura de 4°C hasta ser analizadas. Además, se usaron las siguientes herramientas: GPS, brújula, flexómetro, martillo, pico, pala y barreno.
2.2. Levantamiento litológico
Se realizó el reconocimiento del lugar y se tomó en cuenta las necesidades requeridas, las cuales son que cuente con accesibilidad, áreas intervenidas y no intervenidas y que se ubique cerca al río, en este caso el Yutzupino. Después, se observó y se describió la geología local en cuanto a rocas y las características del relieve, para lo cual se determinó la formación geológica presente y la litología, así como rasgos generales. También, con la ayuda de un barreno se hicieron pequeñas calicatas de entre 30 y 40 centímetros de profundidad, para identificar capas y espesores, así como texturas y colores del material geológico (Fig. 5). Por otra parte, se hizo un levantamiento de información con un dron, de la marca DJI Phantom 4 con cámara de alta definición, permitiendo obtener un modelo de elevación digital y una ortofoto actual de la zona investigada.

2.3. Análisis ambiental
Los análisis de agua se realizaron en el Laboratorio Nacional de Referencia del Agua y los de suelos en el Laboratorio de Investigación de Geociencias de la Universidad Regional Amazónica Ikiam.
2.3.1. Agua
Se hicieron análisis in situ con el uso de la “Sonda multiparamétrica YSI”, la cual permitió medir los parámetros: temperatura, pH, oxígeno disuelto, conductividad eléctrica, sólidos disueltos, nitratos, nitritos y salinidad. Los análisis de cationes, aniones, TOC, turbidez, sólidos totales y sólidos totales suspendidos se realizaron en el laboratorio, también, de manera complementaria, se hicieron los ensayos de sólidos totales y sólidos suspendidos, siguiendo las metodologías del “Standard Method for the examination of water and wastewater”. Para el análisis de resultados se tomaron como referencia los límites máximos permisibles establecidos para: “Criterios de calidad de aguas para la preservación de la vida acuática y silvestre en aguas dulces, y en aguas marinas y de estuarios”, además de “Criterios de calidad para aguas destinadas al consumo humano y uso doméstico, previo a su potabilización (Libro VI del Texto Unificado de Legislación Secundaria del Ministerio de Ambiente [TULSMA], Registro Oficial No. 316 de 4 de mayo de 2015).
2.3.2. Suelos
Los parámetros analizados fueron los siguientes: pH con “Sonda multiparamétrica YSI”, materia orgánica con el método (TMECC Method 05.07., 2001)”, conductividad eléctrica con el uso del conductímetro marca “METTLER TOLEDO”, textura con el “Método de determinación al tacto de Bautista y Oliver de la Universidad Politécnica Valenciana” y el color se lo determinó con observación directa. Por otro lado, se hicieron análisis de metales pesados utilizando la técnica de fluorescencia de rayos X, con el equipo “BRUKER XRF” analizando hasta 29 metales y realizando 3 disparos por muestra para mayor representatividad, en total 18. Cabe mencionar que se tomaron en cuenta únicamente los siguientes metales: vanadio, cromo, bario, arsénico, hierro y zinc, para los cuales se obtuvieron los promedios de los resultados de los disparos.
Los resultados de los análisis de suelo se compararon con los límites permisibles de la “Norma de Calidad Ambiental del Recurso Suelo y Criterios de Remediación para Suelos Contaminados”, del Libro VI, anexo 2 de la legislación ecuatoriana. Para el caso de los metales pesados, los resultados fueron correlacionados con los criterios de calidad de suelo de la legislación ecuatoriana y con “Soil Quality Guidelines for the Protection of Environmental and Human Health” del Canadian Council of Ministers of the Environment (CCME).
2.4. Levantamiento de información socioeconómica
Inicialmente, se dialogó con la comunidad y sus dirigentes, para la socialización de la investigación y conocer su predisposición sobre la realización de encuestas. Una vez confirmada su participación, de acuerdo a González (1985) se eligió al 10% de la población como muestra representativa, lo que equivale a 20 personas, ya que la comunidad tiene 200 habitantes aproximadamente. Mediante el conocimiento y experiencia de colaboradores anexos a la investigación y tras recolectar información obtenida empíricamente de las charlas con la comunidad, se formularon y eligieron 32 preguntas las cuales se distribuyeron en 3 secciones: social, económica, ambiental
3. Resultados
3.1. Descripción geológica y del relieve
3.1.1. Geología local
Se identificó principalmente material arcilloso con colores rojos oscuros hasta marrones, con intercalaciones de arcillolitas y limolitas, todas estas pertenecientes a la Formación Tena, según lo observado en el mapa geológico. Los colores rojos predominan en el suelo superficial y en capas más profundas se evidencian colores grisáceos. Estas arcillas se extienden por toda el área de investigación junto con limos, a excepción de la zona recuperada que presenta gravas las cuales pudieron aparecer como material de relleno proveniente del material aluvial, es decir por acción antropogénica.
La Formación Napo se encuentra infrayacente a la Formación Tena y está ubicada en el camino de acceso a la zona de investigación, conformando parte del sustrato rocoso de secuencias de calizas y lutitas. A su vez, éstas se encuentran fracturadas de forma ortogonal con un rumbo aproximado de N 65° E y un buzamiento de 55° NO, que genera zonas de cavernas en algunos sectores de la comunidad y fósiles marinos como amonites.
3.1.1.1. Suelos
Los suelos presentan escasez de arenas y todos los horizontes “O” llegan a un máximo de 5 centímetros de espesor, con abundantes raíces y con poca presencia de actividad biológica. El horizonte A en la mayoría de perforaciones presenta un espesor que va desde los 0.5 mm a los 4 cm y con abundancia de raíces. Hay un predominio de texturas suaves arcillosas junto con gravas en la mayor parte de las zonas de muestreo. Por otro lado, dentro de la zona de estudio se encontraron inceptisoles, los cuales son un tipo de suelo que, según Ibáñez et al (2011) están comenzando a mostrar el desarrollo de los horizontes, ya que los suelos son jóvenes y aún están en evolución.
3.1.2. Características del relieve
Según información del Plan de Desarrollo y Ordenamiento Territorial del Gobierno Autónomo Descentralizado de Tena (PDOT,2019), los bordes de los cauces de ríos como el Napo, Tena, Anzu y Jatunyaku pertenecen a relieves de la cuenca amazónica plana, los cuales constituyen las zonas más productivas del cantón.
La altitud de la zona de estudio varía entre los 430 metros y 450 metros sobre el nivel del mar, tomando como base la elevación a la que se encuentra el río (Fig. 6). Generalmente, el relieve es regular con pequeñas diferencias en las cotas y con pendientes muy suaves y poco pronunciadas, entre 2-5º (Fig. 7). La zona no intervenida se encuentra de 25 a 30 metros del río, con abundante vegetación y en la cual hay una pequeña laguna


El tramo del río Yutzupino que atraviesa la zona estudiada presenta una pendiente suave (5°), con una altitud sobre los 430 msnm y un drenaje meandriforme. Según bibliografía revisada, esta zona pertenece a una llanura de inundación y cabe mencionar que aparte del río Yutzupino hay otro riachuelo que atraviesa parte de la comunidad y que desemboca en el mismo, los cuales forman parte de la cuenca del río Napo.
En términos generales la cobertura vegetal es diferente, en la zona sur y noroeste correspondiente al área intervenida y recuperada, ésta es menor y menos frondosa, a comparación de la zona este, la cual es más abundante, colorida y con una población arbórea de mayor altura. Las especies vegetales más abundantes según los habitantes de la zona son: caoba, balsa, ceibo, palma, paja toquilla, helecho.
3.2. Análisis y comparación de muestras ambientales
3.2.1 Parámetros fisicoquímicos del agua
A continuación, en la Tabla 1 se presentan los resultados obtenidos de los parámetros medidos in situ y en el laboratorio:

Ambas muestras presentan resultados físico-químicos dentro de los límites permisibles tanto para el consumo humano como dentro de los criterios de calidad admisibles para la preservación de flora y fauna en aguas dulces cálidas y frías. El pH y los sólidos disueltos totales de las 2 muestras están dentro de los límites permisibles para ambos criterios de calidad. El contenido de sólidos totales y sólidos totales suspendidos, no está dentro de los criterios del TULSMA, por lo que no sería apta para consumo humano y la preservación de la vida acuática. Las muestras presentan valores dentro de los límites permisibles para los parámetros analizados, excepto para la turbidez y color.
3.2.2 Parámetros fisicoquímicos del suelo
Como se observa en la Tabla 2, las muestras contienen principalmente material arcilloso, a excepción de las muestras ZNI1 y ZNI2, en las que predomina el limo. Los colores que presentan en general van desde un anaranjado a un marrón oscuro, pasando por un marrón anaranjado y marrón claro.

El pH va de 5.06 a 6.69, estando la muestra ZI1 Y ZNI1 dentro de los límites permisibles, a diferencia de las demás que no están en el rango y se las clasifica como ácidas. Todas las muestras están bajo los límites permisibles para la conductividad eléctrica.
De acuerdo a la Tabla de interpretación de análisis de suelos de (Molina y Meléndez 2002), se tiene que la concentración de materia orgánica menor a 2 es baja, de 2 a 5 es media, de 5 a 10 es óptima y mayores a 10 es alta. Dicho esto, las muestras ZR1, ZR2, ZI2 y ZNI2 tienen un contenido medio de materia orgánica, mientras que ZI1 y ZNI1 tienen un contenido óptimo.
3.3. Metales pesados
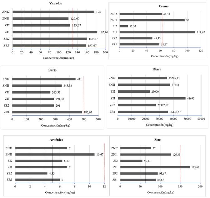
En la Fig. 8 se detallan los resultados de las concentraciones de los metales analizados:

Los valores pertenecen a las concentraciones de metales pesados en cada punto de muestreo. Los límites permisibles están representados por las líneas verticales, para el caso de la legislación ecuatoriana por una línea negra y para la CCME por una línea entrecortada roja. En el caso del hierro no hay límites permisibles.
La mayoría de muestras contienen arsénico y sobrepasan el límite permisible por la Legislación Ecuatoriana (Ministerio del Ambiente, 2015), pero sin llegar a ser valores muy altos y alejados del límite referencial, el cual es 5 mg/kg. En cambio, los límites permisibles del CCME son más altos, por lo que todas las concentraciones de los metales están bajo esos valores, a excepción del vanadio, que sobrepasa el límite por una pequeña cantidad.
En todas las muestras los valores de hierro son altos, pudiendo ser la razón por la cual las muestras de suelo presentan un color rojizo. De igual manera, a excepción de la muestra ZI2 todas tienen un valor de zinc que sobrepasa el límite permisible de la legislación ecuatoriana, pero no del CCME. Todas las muestras excepto ZR2 presentan valores sobre el límite para el arsénico, en función de la legislación nacional, en el caso del Bario todas las muestras lo superan, pero esto no sucede para el límite del CCME. Además, las muestras ZR2 y ZI1 superan el límite permisible nacional para el plomo.
A continuación, como complemento se realizó un agrupamiento multivariable con el programa Past (medida de similitud euclidiana), el cual permite en este caso asociar los puntos de muestreo en relación a su distancia para determinar su similitud (Fig. 9). Se obtuvo que ZNI2 y ZR1 están menos distantes, lo que significa que tienen mayor similitud y comparten metales pesados y éstos a su vez con ZNI1. Por otro lado, ZR2 y ZI2 están más distantes por lo que tienen menos similitud en cuanto a metales pesados y finalmente ZI1, que es el más distante. La gráfica permite asociar zonas las cuales comparten características similares, que permiten comprender su evolución o transformación.

Adicionalmente, en la Fig. 10 se representó la concentración del arsénico en los puntos de muestreo, ya que según Londoño et al (2016), este elemento es uno de los más tóxicos para la salud y la vida. Se visualiza que ZNI1(zona no intervenida 1) presenta el mayor contenido de arsénico.

Finalmente, los elementos: silicio, magnesio, aluminio, potasio, calcio, no tienen un límite permisible de referencia en ninguna de las normativas utilizadas y no fueron tomados en cuenta para el análisis, por otro lado, el plomo presentó valores bajos dentro de los límites y por ende no fue de interés su revisión.
3.4. Análisis y caracterización socioeconómica
Se realizaron un total de 14 encuestas de las 20 propuestas, debido a diversos factores que más adelante se discutirán. Las personas encuestadas se encontraban dentro de la población en edad de trabajar.
3.4.1. Social
Todos los participantes del estudio han vivido toda su vida en la comunidad o han nacido y crecido allí hasta la actualidad.
En promedio, en los hogares viven 5 personas, teniendo un mínimo de 2 y un máximo de 7 miembros. En el 85 % de las familias los integrantes se dedican a trabajar y a estudiar, en el 15% restante hay integrantes que no estudian ni trabajan. De las 14 encuestas, solo 7 personas manifiestan que son propietarias del terreno donde viven y el resto viven en terrenos de propiedad de la asociación comunitaria. En la Fig. 11 se indican los porcentajes de personas encuestadas con acceso a los servicios básicos.

3.4.2. Económico
La principal actividad económica es la minería artesanal, seguida de la agricultura, comercio y turismo. El 70% de los encuestados afirman que sus actividades económicas satisfacen sus necesidades y el 30% que las cubren parcialmente o no las cubren. Además, el 100% de encuestados afirmaron que practican o alguna vez practicaron minería artesanal con una frecuencia de 3 veces a la semana, debido a sus necesidades económicas, en todos los casos.
3.4.2.1. Práctica de minería artesanal
A continuación, de forma general en la Fig. 12 se presentan los gastos familiares de los encuestados realizados con los ingresos generados por la minería artesanal en la actualidad. Para el valor, se hizo un promedio mensual de todos los encuestados. El porcentaje representa a la cantidad de encuestados que gastan sus recursos económicos en dichos conceptos.

Cabe recalcar que, únicamente el 7% de encuestados invirtieron en la construcción de una vivienda, con un valor promedio de 10.000 dólares. El 29% invirtió en la compra de un vehículo, en este caso una moto con un promedio de inversión de 1.500 dólares. Sólo se realizaron 14 encuestas, debido a que en muchas ocasiones la accesibilidad y la baja disponibilidad de las personas impidió que se completara el número previsto. En la Fig. 13 se detallan los ingresos económicos mensuales promedio de cada familia del encuestado, además se determinó que la principal actividad económica de los encuestados y sus familias es de tipo informal.

También, se obtuvieron los ingresos familiares actuales por la actividad de minería artesanal (Fig. 14).

La minería artesanal representa una actividad importante dentro de la economía de la comunidad, porque muchas familias no tienen un empleo formal con un salario, por lo que su práctica diaria se ha convertido en una actividad frecuente para ellos.
3.4.2.2. Actividad de pequeña minería
Según los entrevistados, hubo una empresa extranjera llamada “Terramining” que operaba de forma legal, a la vez que también había grupos ilegales los cuales estuvieron trabajando cerca de 1 año hace 10 años aproximadamente y contrataron a menos de 20 personas de la comunidad. Además, la empresa pagó 6.000 dólares en promedio a cada propietario del lote de terreno o finca, por una hectárea para explotar. Todos los encuestados afirman que no han recibido ninguna compensación económica por los terrenos explotados, por parte de la empresa o titular minero. Por último, algunos comuneros mencionan que la comunidad cobró un aproximado de entre 1000 a 1500 dólares por el uso de la vía a la empresa minera.
3.4.3. Ambiental
El 50% de encuestados afirma que la minería artesanal afecta al río, ya que causa turbidez en el agua, pero no contamina químicamente. El otro 50% menciona que no afecta, debido a que su minería es pequeña y no usan productos químicos. Todos los encuestados no cuentan con la licencia para realizar minería artesanal, algunos lo han solicitado, pero no han tenido respuesta de las entidades correspondientes. El 50% afirma que la empresa que trabajó en la zona no tenía la licencia ambiental y que tras la explotación se produjo una contaminación ambiental. También, todos aseguran que en los suelos hay presencia de contaminantes químicos, como mercurio y restos de combustibles. La pequeña minería como antes se mencionó ocurrió hace varios años y en promedio fueron explotadas 20 hectáreas. Actualmente, la mayoría de terrenos intervenidos y no intervenidos se encuentran sin ningún proceso productivo por parte de la comunidad.
Tras la explotación, los comuneros afirman que se perdieron especies vegetales como: árboles maderables (laurel, bálsamo, cedro) y árboles frutales. También mencionan que hubo pérdida de especies animales como el mono, tucán y conejos. Se realizó un proceso de recuperación ambiental con la siembra de especies como el arroz, la guaba y el laurel, además de una restauración del terreno posterior a la actividad, pero sólo en ciertas partes. Finalmente, no ha habido ningún proceso de remediación en la zona, por parte de instituciones públicas o privadas.
4. Discusión
Cabe destacar que, según la información proporcionada por la comunidad, la minería realizada hace más de 10 años no tenía los permisos correspondientes y por lo tanto fue ilegal.
Las altitudes entre las zonas de muestreo no varían demasiado, existiendo una diferencia máxima de 15 metros. Es evidente que la cobertura vegetal en zonas no intervenidas es mayor que las intervenidas y recuperadas, probablemente por procesos de deforestación o erosión, relacionadas a actividades antropogénicas como la minería.
En el aspecto ambiental, los resultados de las muestras de agua no indican una mala calidad, aunque inicialmente se esperaría lo contrario, ya que el día del muestreo había actividad minera en la zona. Los parámetros de color y turbidez son los más altos, lo que coincide con el aspecto que presentó el río. En adición a lo anterior, la Organización Mundial para la Salud (OMS) establece que para el consumo humano la turbidez no debe ser mayor a 5 NTU, mientras que los resultados arrojan valores mucho mayores, lo que podría impedir su ingesta y el detrimento de la calidad de vida de los habitantes.
Los suelos no presentan un bajo nivel de materia orgánica ni una alta concentración de metales pesados, lo que indicaría que podrían ser fértiles, pero aun así la agricultura ha perdido protagonismo, ya que según lo observado en los terrenos muestreados no hay sembríos ni parcelas de ningún tipo, posiblemente por la alteración de la estructura del suelo que no favorece el crecimiento de la planta. Cabe mencionar que no se hicieron análisis específicos de la calidad del suelo, por ejemplo, de nutrientes, lo que podría arrojar resultados que demuestren que pese a no ser un suelo pobre éste no sería apto para el cultivo. Además, el material geológico predominante fue la arcilla, la cual de forma natural o antrópica estaba junto con grava y pudo ser también un indicador de la falta de productividad de los suelos. Complementando, la escasa vegetación observada en algunas zonas, puede propiciar la erosión de suelos.
A pesar de la actividad minera, la calidad de suelos de todas las zonas investigadas es similar, esto puede ser debido a que comparten el mismo material parental, además que se encuentran cerca y es por ello que presentan algunas características geológicas y fisicoquímicas parecidas.
Una zona recuperada y no intervenida presentan una similitud en cuanto a concentración de metales pesados, lo que podría indicar una correlación entre ambas, debido al impacto minero y otro a la acumulación natural. Además, una zona recuperada e intervenida también son similares, probablemente por el paso y degradación de la minería. De acuerdo a la Fig. 8, el punto ZNI2 contiene la mayor concentración de arsénico, cuando teóricamente al no ser intervenido debería tener bajas concentraciones o no tenerlas, lo que abre un debate de sí en realidad fue intervenido o se debe a una anomalía de origen natural.
La ZNI2 y ZR1 están más emparentadas y corresponden a zonas intervenidas y restauradas, evidenciando que estas zonas presentan características similares, debido a que posiblemente se ha realizado algún proceso de restauración.
La información proporcionada por los encuestados no fue exacta, ya que al momento de las entrevistas éstos no contaban con facturas ni documentos que respalden los datos mencionados, por lo que se obtuvieron cifras aproximadas a las reales.
Únicamente se realizaron 14 encuestas, ya que, por motivos de accesibilidad y organización con la comunidad, no se pudo ampliar la recolección de información. Esto no permitió obtener una muestra representativa y más bien se considera un muestreo aleatorio de tipo cualitativo.
Los encuestados afirman que la minería que se practicó fue ilegal, en adición a eso se puede mencionar que según Rodríguez et al (2009), los asentamientos mineros artesanales se realizan sin ninguna planificación ni orden territorial, poniendo en riesgo la vida de los mineros, produciendo daños ambientales, así como la destrucción de propiedades y pérdidas económicas.
Los ingresos por minería no les han permitido adquirir nuevas propiedades o aumentar significativamente su calidad de vida, pero sí costear los gastos de alimentación, salud, educación y servicios básicos, lo que podría significar que han podido subsistir gracias a esta actividad.
Un aspecto importante dentro de sus gastos económicos son los relacionados con las bebidas alcohólicas, al respecto Ayala (2021) menciona que las personas que tienen entre 16 a 18 años ya se convierten en activas económicamente, dando lugar a la libertad para la elección y aumento de consumo de alcohol. El alcoholismo de jóvenes y adultos genera problemas sociales y familiares, primeramente, con su cónyuge y luego con sus hijos, influyendo en la conducta de su familia (Taicuz,2013). A su vez, más allá de los problemas familiares, según la información proporcionada por los comuneros el consumo de alcohol forma parte de sus costumbres.
Además, algunos entrevistados mencionaron que, tras la minería algunos terrenos intervenidos fueron recuperados y otros no, lo que causó la pérdida de fertilidad de los suelos. Esto pudo desembocar en la disminución de productividad agrícola y por ende en la posibilidad de generar ingresos económicos por la venta de productos de la zona, lo que afectaría en la economía de las familias.
Al ser una investigación pionera dentro de la provincia, ésta permitió la obtención de información sobre el impacto de la actividad minera en la comunidad. Algunos efectos encontrados son la turbidez del agua, que afectaría negativamente el uso y/o consumo humano, la presencia de metales pesados de forma natural o antrópica, que de darse un incremento se convertiría en una amenaza para la flora, fauna y economía de los comuneros que, si bien ha sido en parte sustentada por los ingresos mineros, no les ha permitido realizar grandes adquisiciones para mejorar su calidad de vida, como una vivienda que cuente con todos los servicios básicos. Además, el paisaje se ha visto afectado por la escasez de vegetación observada en el lugar, los materiales geológicos de las zonas de muestreo son diferentes aun estando cerca, lo que indica que pudieron ser alterados por actividades extractivas.
5. Conclusiones
De forma general, se cumplió con el objetivo general y los específicos. La información obtenida permitió determinar las diferencias geológicas y del medio físico de las zonas intervenidas, recuperadas y no intervenidas, además del impacto en la condición socioeconómica de los habitantes de la comunidad. El medio físico se vio afectado en cuanto los materiales geológicos presentaban características diferentes pese a estar cerca, posiblemente por la intervención humana en actividades extractivas. La cobertura vegetal es mucho mayor y más frondosa en zonas no intervenidas, posiblemente por no estar expuestas a la deforestación u otras actividades antrópicas. La turbidez y el color son los únicos parámetros fisicoquímicos que se encuentran fuera de los límites máximos permisibles, causando que el agua no sea apta para el consumo humano. Por otro lado, la mayoría de suelos presentan un nivel medio a óptimo de concentración de materia orgánica, lo que los convertiría en suelos fértiles, pero esto se contrapone con la escasa vegetación y la nula actividad agrícola observada en algunas zonas. En cuanto a metales pesados, se pueden destacar según su concentración los siguientes elementos: vanadio, cromo, zinc, arsénico, hierro y bario. Teniendo una zona intervenida el mayor nivel de zinc y una no intervenida el de arsénico. Los recursos económicos de los comuneros no se han incrementado, pero las ganancias de la minería les han servido como sostén para costear sus gastos básicos y de educación.
Cualitativamente, los terrenos no presentan un impacto negativo alarmante, pero al igual que el agua éstos podrían verse comprometidos y afectar su calidad. De igual manera, se genera una degradación en el ambiente, afectando no solo a la biodiversidad, sino también a las posibilidades de generar ingresos económicos a las familias, ya que la productividad de los suelos podría ser baja y no apta para la agricultura. Se recomienda un análisis completo de la calidad del suelo, ya que presenta valores aceptables de materia orgánica y por ende fertilidad, pero poca actividad orgánica y agrícola. Es necesario incrementar el número de muestras de suelo, con la finalidad de obtener una mayor representatividad e información para contrastar.
Finalmente, es recomendable aumentar el número de muestreos de agua y también realizarlas en estaciones secas y lluviosas, permitiendo una mayor obtención de datos y reforzando la investigación.
Reconocimientos
El autor agradece a los habitantes de la Comunidad El Ceibo, por su tiempo e información brindada. También, al personal del Laboratorio de Geociencias de la Universidad Ikiam, por su guía y apoyo durante la realización de ensayos y redacción del presente artículo. A los compañeros de la Universidad, por su colaboración en actividades de campo y especialmente al director y co- directora del trabajo de integración curricular, quienes han sido pilar fundamental para la culminación de esta investigación.
Referencias
Apolo, J., (2013). Estudio de impacto ambiental expost del área minera Chacra 1 (código 500567), parroquia Guaysimi, cantón Nangaritza, provincia de Zamora Chinchipe. Tesis de grado, Magister en Administración Ambiental. Universidad Nacional de Loja, Loja, Ecuador.
Ayala-Pasquel, A.J., (2021) Propuesta de intervención para la disminución del consumo de alcohol en adultos jóvenes indígenas Awa. Pontificia Universidad Católica del Ecuador. Ambato, Ecuador.
Baby, P., Rivadeneira, M., y Barragán, R., (2004). La Cuenca Oriente: geología y petróleo. Institut français d’études andines, Lima. DOI: https://doi.org/10.4000/books.ifea.2971
Benavides et al, (2008). Socioeconomía ecuatoriana. Universidad Ecotec, Ecuador.
Bravo et al, (2017). Evaluación de la sustentabilidad mediante indicadores en unidades de producción de la provincia de Napo, Amazonía Ecuatoriana. Bioagro, [en línea]. 29(1), pp. 23-36. Disponible en: https://ve.scielo.org/scielo.php?script=sci_isoref&pid=S1316-33612017000100003&lng=es&tlng=es
Caparelli et al, (2021a).
Capparelli, M.V., Cipriani-Avila, I, Jara-Negrete, E., Acosta-Lópe,z S., Acosta, B., Pérez-González, A., Molinero, J., and Pinos-Vélez, V., (2021). Emerging contaminants in the Northeast Andean foothills of Amazonia: the case of study of the City of Tena, Napo, Ecuador. Bull Environ Contam Toxicol. 107(1), pp. 2-10. DOI: https://doi.org/10.1007/s00128-021-03275-8.
Capparelli, M.V., Moulatlet, G.M., Abessa, D.M.S., Lucas-Solis, O., Rosero, B., Galarza, E., Tuba, D., Carpintero, N., Ochoa-Herrera, V., andCipriani-Avila, I., (2020). An integrative approach to identify the impacts of multiple metal contamination sources on the Eastern Andean foothills of the Ecuadorian Amazonia. Sci Total Environ. 20(709), art. 136088. DOI: DOI: https://doi.org/10.1016/j.scitotenv.2019.136088. Epub 2019 Dec 20. PMID: 31887530.
Chamba-Tacuri, C.N., (2010). Recursos minerales no renovables en la Amazonía Ecuatoriana. Revista CEDAMAZ, 1(1), [en línea]. Disponible en: https://dspace.unl.edu.ec/jspui/handle/123456789/300
Chunga, K., (2012). Estudio de Geología de superficie IKIAM-Tena. ICO, pp. 1-24. DOI: https://doi.org/10.13140/RG.2.2.33279.71842.
Eróstegui, C., (2009). Contaminación por metales pesados. Revista Científica Ciencia Médica, [en línea]. 12(1), pp. 45-46. Disponible en: https://www.scielo.org.bo/scielo.php?script=sci_arttext&pid=S1817-74332009000100013&lng=es&tlng=es.
Flores et al, (2010). WWF’s Living Amazon Initiative. [online]. WWF, Grambs Corporación Gráfica, Lima, Perú. Available at: http://awsassets.panda.org/downloads/living_amazon_strategy_summary_final.pdf
Gobierno Autónomo Descentralizado Municipal de Tena (2014). Actualización Plan de Desarrollo y Ordenamiento Territorial del Gad Municipal de Tena. Diagnóstico. Tena-Ecuador.
Gobierno Autónomo Descentralizado Municipal de Tena (2019). Actualización Plan de Desarrollo y Ordenamiento Territorial del Gad Municipal de Tena. Tena-Ecuador.
Galarza et al, (2020). Assessing the quality of Amazon aquatic ecosystems with multiple lines of evidence: the case of the Northeast Andean foothills of Ecuador. Bulletin of Environmental Contamination and Toxicology. 107, pp. 52-61, DOI: https://doi.org/10.1007/s00128-020-03089-0
Gobierno Provincial de Napo, (2015). Plan de Desarrollo y Ordenamiento Territorial Provincial de Napo. Ecuador. [en línea]. Disponible en: https://odsterritorioecuador.ec/wp-content/uploads/2019/04/PDOT-PROVINCIA-NAPO-2015-2020-1.pdf
González, G., (2010). Métodos estadísticos y principios de diseño experimental / Germán González Bahamonde. 3ra ed., Edit. Universitaria, Universidad Central del Ecuador. Quito, Ecuador.
Ibáñez et al, (2011). Inceptisoles. Producción vegetal. Escuela Técnica Superior de Ingeniería Agronómica y del Medio Natural. Escuela Técnica Superior de Ingeniería Agronómica y del Medio Natural, Universidad Politécnica de Valencia, España. [en línea]. Disponible en: https://riunet.upv.es/bitstream/handle/10251/12884/inceptisoles.pdf
Londoño et al, (2016). Los riesgos de los metales pesados en la salud humana y animal. Biotecnología en el Sector Agropecuario y Agroindustrial. DOI: https://doi.org/10.18684/bsaa(14)145-153
Ministerio del Ambiente, (2018). Ecuador presentó el Plan de Acción Nacional sobre el mercurio en el Sector de la Minería de oro artesanal y de pequeña escala. Noticias. [en línea]. Disponible en: https://www.ambiente.gob.ec/ecuador-presento-el-plan-de-accion-nacional-sobre-elmercurio- en- el-sector-de-la-mineria-de-oro-artesanal-y-de-pequena-escala/
Ministerio del Ambiente, (2015). Reforma texto unificado de legislación secundaria, medio ambiente, Libro V. [en línea]. Disponible en: https://www.ambiente.gob.ec/wp-content/uploads/downloads/2018/05/Acuerdo-61.pdf
Molina, E. y Meléndez, G., (2002). Tabla de interpretación de análisis de suelos. Centro de Investigaciones Agronómicas, Universidad de Costa Rica. Mimeo. San Pedro, Costa Rica.
Morejón, G., (2012). Breve historia de la minería en el Ecuador y sus implicaciones ambientales. Blog personal [en línea]. Quito, Ecuador. Disponible en: https://biobanco.blogspot.com/2012/03/breve-historia-de-la-mineria-en-el.html
Rodríguez et al, (2009). Vista de Los grandes desastres medioambientales producidos por la actividad minero-metalúrgica a nivel mundial: causa y consecuencias ecológicas y sociales. [en línea]. Disponible en: https://revistasinvestigacion.unmsm.edu.pe/index.php/iigeo/article/view/351/308
Sandoval, F., (2001). La pequeña minería en el Ecuador. MMSD. Mining, Minerals and Sustainable Development. No. 75. Publisher: IIED (International Institute for Environment and Development). Ecuador. [en línea]. Disponible en: hcttps://pubs.iied.org/pdfs/G00721.pdf?
Taicuz, S., (2013). La incidencia del alcoholismo en la población de la comunidad San Marcos. Programa de licenciatura en educación intercultural bilingüe. Universidad de Cuenca, Cuenca, Ecuador. [en línea]. Disponible en: http://8.242.217.84:8080/jspui/bitstream/123456789/4458/1/MONOGRAF%c3%8dA.pdf
TMECC Method 05.07. (2001) Organic matter. In: The United States Composting Council. Test Methods for the Examination of Composting and Compost, N.Y., USA.
Varela, M., (2010). Las actividades extractivas en Ecuador. Ecuador Debate. [en línea]. Disponible en: http://200.41.82.22/bitstream/10469/3525/1/RFLACSO-ED79-08-Varela.pdf
Como citar este artículo:
Notas
Notas de autor
*f.medinabueno@hotmail.com alba.aguinaga@ikiam.edu.ec belen.salgado@ikiam.edu.ec
Declaración de intereses