Alimentos: Ciencia, Ingeniería y Tecnología
APLICACIÓN Y EFECTO DE UN RECUBRIMIENTO COMESTIBLE SOBRE LA VIDA ÚTIL DE LA MORA DE CASTILLA (RUBUS GLAUCUS BENTH)
EDIBLE COATING APPLICATION AND EFFECT ON BLACKBERRY (RUBUS GLAUCUS BENTH) SHELF LIFE
APLICACIÓN Y EFECTO DE UN RECUBRIMIENTO COMESTIBLE SOBRE LA VIDA ÚTIL DE LA MORA DE CASTILLA (RUBUS GLAUCUS BENTH)
Vitae, vol. 23, núm. 3, pp. 202-209, 2016
Universidad de Antioquia
Recepción: 14 Febrero 2016
Aprobación: 15 Noviembre 2016
Resumen: Antecedentes: En los últimos años ha incrementado el interés por el consumo de frutas en estado fresco debido al potencial nutricional que estas contienen. Además, por el alto consumo energético que se generan en la aplicación de una cadena en frío, se ha incursionado en la aplicación de recubrimientos comestibles como una técnica alternativa para la conservación de frutas. Objetivos: Por tal razón, este trabajo tuvo como objetivo aplicar un recubrimiento a base de hidroxipropil metilcelulosa con la inclu- sión de cera de abejas en mora de castilla y evaluar su efecto en la conservación de esta fruta. Métodos: Se trabajó con un diseño multifactorial categórico y el análisis estadístico utilizado fue el LSD de Fisher con un nivel de confianza del 95%; determinándose propiedades fisiológicas tales como respiración y pérdida de peso, propiedades fisicoquímicas como pH, acidez titulable, sólidos solubles totales e índice de maduración durante un periodo de 15 días a una temperatura de 4°C. Resultados: Se obtuvo diferencias significativas (p<0,05) entre los tratamientos evaluados a partir del tercer día de almacenamiento tanto para los parámetros fisicoquímicos como fisiológicos. La acidez titulable tuvo un decrecimiento marcado en el tratamiento control (T5) con respecto a los tratamientos donde se aplicó los recubrimientos (T1, T2, T3, T4) donde el descenso de la acidez fue menor. Por otro lado, la pérdida de peso, los sólidos solubles totales, el pH, el índice de maduración y el índice de respiración incrementaron a medida que el tiempo de almacenamiento transcurrió, indicando que las moras tratadas con los recubrimientos tuvieron un incremento menor con respecto a las moras sin recubrimiento. Conclusiones: Los recubrimientos co- mestibles aplicados a la mora de castilla tuvieron un efecto positivo sobre las propiedades evaluadas, siendo los mejores tratamientos el T3 y T4. En general, la aplicación de un recubrimiento comestible a base de hidroxipropil metilcelulosa y cera de abejas logró aumentar la vida útil de la mora de castilla.
Palabras clave: Cera de abejas, hidroxipropil metilcelulosa, índice de respiración, mora de castilla, propiedades fisicoquímicas.
Abstract: Background: On the last years the interest on fresh fruits consumption has been increased due to its nutritional potential as well as high energetic demand generated by the cold-chains storage. It is the reason why it has been dabbled on edible coating as an alternative method on fruits preservation. Ob- jectives: This investigation focused on the coating application using a hydroxypropyl methylcellulose based with bees wax applied all over blackberry fruits in order to evaluate the effects on its preservation. Methods: A multifactorial categorical design was used through the Fisher LSD method as an statistical analysis with a confidence level of 95%; it were determined physiological properties such respiration and weight loss, and physicochemical properties like pH, titratable acidity, soluble solids, and ripeness index within a period of 15 days at 4°C. Results: It were obtained significant differences (p<0.05) between the evaluated treatments from the third storage day for physicochemical and physiological parameters. The titratable acidity has a marked decrease on the control treatment (T5) regarding treatments where coatings were applied (T1, T2, T3, T4) where a smaller decrease on acidity was obtained. In other hand, the weight loss, total soluble solids, pH, ripening and respiration index showed an increase over storage time. The blackberry fruits processed with edible coating presented a slight increase compared to control samples. Conclusions: Edible coatings applied on blackberry fruits had a positive effect in the evaluated properties, treatments T3 and T4. Generally, edible coatings with hydroxypropyl methylcellulose base and beeswax increase the shelf life of blackberry.
Keywords: Bees wax, hydroxypropyl, methylcellulose, respiration rate, blackberry, physicochemical, physicochemical properties.
INTRODUCCIÓN
La mora de castilla (Rubus glaucus Benth) es una fruta no climatérica, es una fuente rica en minera- les y vitaminas por lo que presenta un gran futuro como producto de exportación en forma congelada o fresca para su diversificación industrial. Esta fruta debe tener un manejo poscosecha apropiado debido a su fragilidad y corta vida útil (3 a 5 días), de lo contrario las pérdidas son cercanas al 70%. Para pre- servar su calidad y frescura, la conservación se hace por refrigeración o congelación. Por otro lado, por su gran contenido de humedad (91%) se convierte en un fruto vulnerable al ataque fúngico lo que disminuye la calidad del fruto y a su vez la vida útil (1–6). Para la industria alimentaria es primordial ga- rantizar la calidad y seguridad de frutas y verduras, lo cual se consigue aplicando tratamientos térmicos. Sin embargo, la aplicación de métodos térmicos inciden directamente en la calidad de frutas, y en mora, se pierde la capacidad antioxidante junto con algunas propiedades nutricionales y sensoriales. No obstante, se han estudiado tecnologías alternativas o no térmicas que disminuyen los altos consumos energéticos, sin generar impacto ambiental y asegu- rando la calidad de productos frescos (7–9).
Es así como la aplicación de recubrimientos comestibles resulta conveniente para satisfacer la necesidad del consumidor, ya que la calidad del alimento obtenido tras su procesamiento resulta- ría mínimamente alterada. Adicional a lo anterior, los recubrimientos comestibles actúan como una barrera semipermeable eficaz para el control del intercambio de gases generados en los procesos fi- siológicos de la fruta, creando una atmófera modificada que retrasa la senescencia del producto (10). Por otro lado, no solamente beneficia la calidad de las frutas sino que también es una tecnología benéfica para el medio ambiente ya que se utilizan materias primas con una naturaleza biodegradable (10–18). Algunos autores indican que el uso de materiales compuestos en la formulación de recubrimientos, ayudan a mejorar la funcionalidad del material, beneficiado a las características reológicas y físicas del material (4,13,16,19,20).
(21) presentando buenas propiedades de barrera a gases como el oxígeno y aromas (22). Sin embargo, su naturaleza hidrofílica hace que las películas for- men barreras ineficientes a la humedad. La adición de bases lipídicas a la matriz de HPMC, forma películas y recubrimientos comestibles compuestos, los cuales ha mejorado sus propiedades de barrera a la humedad (23,24). Estudios han mostrado que el uso de recubrimientos comestibles compuestos de HPMC y cera de abejas (CA) aumenta la vida útil de ciruelas (25–28).
En mora se han utilizado métodos de conserva- ción como la aplicación de frío y tecnologías de alta gama como atmosferas modificadas e irradiaciones; el uso de recubrimientos comestibles en mora no ha sido muy estudiado lo que conlleva al uso de esta nueva tecnología con el fin de aumentar la vida útil de este producto. Por lo anterior, este trabajo tuvo como objeto aplicar un recubrimiento comestible a base de HPMC con inclusión de cera de abejas (CA) con el fin de disminuir los procesos fisicoquimicos y fisiologicos de mora de castilla (Rubus glaucus Benth).
MATERIALES Y MÉTODOS
La investigación se llevó a cabo en el laboratorio de Investigación en Conservación y Calidad de Alimentos de la Universidad de Nariño.
Se trabajó con mora de castilla (Rubus glaucus Benth) provenientes del Encano vereda San José “Finca las Palmas”. Las moras fueron clasificadas en un tamaño uniforme, sin daños mecánicos y contaminaciones fúngicas visuales, en grado de madurez 5 tal como lo estipula la Norma Técnica Colombiana NTC 4106; las frutas se sometieron a un lavado, seguido de una desinfección con agua clorada a 50 ppm (29), posteriormente se realizó un segundo lavado para retirar el exceso de hipoclorito en la mora. Finalmente las frutas fueron recubiertas con las soluciones preparadas. Para la formulación de los recubrimientos comestibles se utilizó HPMC (Alfa aesar, Estados Unidos), CA (Laboratorios San Jorge, Colombia), glicerol(G) (CIMPA S.A.S., Colombia), ácido esteárico (AE) (Timur Network, Malasia) y Tween 80 (T) (CIMPA S.A.S., Colombia). Se utilizó un diseño experimental multifactorial categórico, con los tratamientos T5 (sin recubri- miento-control), T1 (recubrimiento HPMC-0 g CA), T2 (recubrimiento HPMC-20 g CA), T3 (re- cubrimiento HPMC-40 g CA) y T4 (recubrimiento HPMC-60 g CA).
Preparación del recubrimiento

Aplicación del recubrimiento
Las moras se sumergieron en las formulacio- nes durante 30 segundos y se secaron a 45-50°C durante tres minutos en una incubadora Gemma in-601 digital (convección forzada). Seguido de este proceso se procedió a almacenar los tratamientos en cajas termoformadas a temperatura de refrigeración (4 °C) en una nevera Panasonic modelo Np. NR- B521XZ (4,31).
Determinación pérdida de peso

Índice de respiración
El índice de respiración se determinó con un respirómetro Lutron GC-2029 CO2. Las muestras se colocaron en un recipiente hermético duran- te una hora. Los datos se expresaron en mg de CO *Kg-1*h-1.
Preparación del jugo de mora
Se licuó la fruta de los diferentes tratamientos hasta que estuvieran completamente homogeneiza- das, se tamizó para separar las semillas del jugo. El filtrado se utilizó para la determinación de la acidez titulable (AT), sólidos solubles totales (SST) y pH.
Determinación propiedades fisicoquímicas
Se diluyó 5 g de jugo de mora en 50 mL de agua destila y se determinó AT por titulación potencio- métrica con NaOH hasta alcanzar un pH de 8,2 (punto de viraje de la fenolftaleína), los resultados se expresaron cómo % de ácido málico como se indica en la ecuación 2 (32). La concentración de SST se determinó con un refractómetro de meso Brixco 3030, los resultados se expresaron como porcentaje de sólidos solubles totales, y la lectura se corrigió utilizando el porcentaje de ácido tal como se estipula en la ecuación 3 (33). El índice de maduración (IM) se calculó con la relación entre los SST y AT como se indica en la ecuación 4 (32). El pH se determinó pesando 10 g de pulpa de mora homogeneizándose en 100 mL de agua destila a 20°C, para la medición se utilizó un pH-metro TEcpel 870 previamente calibrado (5).

Donde V1 es el volumen de NaOH consumido (mL), V2 es el volumen de la muestra (mL), K es el peso equivalente del ácido málico (0,067 g/meq), N es la normalidad del NaOH.

Donde A es el % de ácido málico y SST son los grados Brix determinados en el refractómetro.

Análisis estadístico
Para evaluar el efecto de los recubrimientos comestibles, se empleó un análisis de varianza (ANOVA) y el método LSD (mínimas diferencias significativas) de comparaciones múltiples, con un nivel de confianza del 95 %. Para estos análisis estadísticos se utilizó el paquete estadístico STAT- GRAPHICS Centurion XVI, las gráficas fueron diseñadas en el programa Sigma Plot 10.0.
RESULTADOS
Pérdida de peso
En Figura 1, se muestra el incremento de la pér- dida de peso en mora de castilla con recubrimiento y un tratamiento testigo almacenados a 4 °C. Se presentaron diferencias significativas (p<0,05)
entre los tratamientos evaluados a partir del día 3 de almacenamiento. En el día 8 se encontró diferencias entre los T1 y T2, por otro lado, el aumento de 40 % a 60 % de CA no evidenció un efecto significativo, sin embargo, entre estas concentraciones de CA en los recubrimientos solo se presentaron diferencias con un valor de p<0,05 en el día 10 de almacenamientoz

Índice de respiración

La mora de castilla tratada con recubrimientos comestible y el tratamiento control presentaron un incremento en el índice de respiración a medida que el período de almacenamiento a 4 °C aumentó tal como se evidencia en la Figura 2.
Los resultados presentaron diferencias signifi- cativas (p<0,05) entre los tratamientos evaluados a partir del día 3 de almacenamiento, donde se observó un mayor incremento en T5 con un índice de respiración (IR) de 31,95 mgCO2*Kg-1*h-1 con respecto a las moras tratadas con los distintos re- cubrimientos donde el IR osciló entre 8,89 – 24,55 mgCO2*Kg-1*h-1. Por otro lado, a medida que la concentración de CA incrementa el IR en las frutas de mora se reduce, presentando diferencias signifi- cativas (p<0,05) con respecto al tratamiento testigo y al tratamiento sin la adición de CA, sin embar- go, entre los tratamientos T3 y T4 no se encontró diferencias (p>0,05) excepto en los días 5 y 15 de almacenamiento.
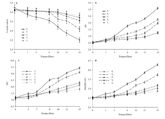
Propiedades fisicoquímicas de la mora
En la Figura 3(a), se observa la reducción pro- gresiva de AT a medida que incrementa el tiempo
de almacenamiento a 4 °C en moras tratadas con recubrimientos y moras testigo.
T5 tuvo un descenso de la acidez muy prolo- gando durante los días de evaluación presentando diferencias estadísticamente significativas (p<0,05) con respecto a las moras con recubrimiento. Por otro lado, la AT de la mora con recubrimientos tuvo una reducción mínima hasta el día 8 de al- macenamiento, con valores medios que oscilaron entre 2,69-2,83 % de ácido málico. Sin embargo, las frutas del tratamiento T1 tuvieron un descenso significativo a partir de este día. El incremento de la concentración de CA en los recubrimientos no tuvo diferencias en el control de la AT sino hasta el día 15 entre el tratamiento T2 y T3 con valores finales de 2,62 y 2,68 % de ácido málico respectivamente; cabe resaltar que entre los tratamientos T3 y T4 no se evidenció diferencias durante el periodo de almacenamiento.

Los valores de pH tuvieron un incremento a medida que aumentó el tiempo de almacenamien- to a 4 °C en mora de castilla recubierta y testigo como se muestra en la Figura 3(b). Se encontró diferencias significativas (p<0,05) a partir del día 5 entre T5 y los otros tratamientos evaluados. En el día 8 de almacenamiento se presentaron diferencias entre los recubrimientos con inclusión de CA y sin la inclusión de CA con valores entre 2,90-3,07. La adición de CA a diferentes concentraciones tuvo un efecto positivo con respecto a los otros tratamientos evaluados. Cabe resaltar que entre el tratamiento T2 y T3 se presentaron diferencias significativas a partir del día 10 de almacenamiento, sin embargo, entre el tratamiento T3 y T4 no se evidenció diferencias en el tiempo de almacenamiento presentando valores finales de 3,11 y 3,09 respectivamente.
El incremento de los SST durante el período de almacenamiento a 4 °C de moras tratadas con recubrimiento y las moras testigo se presenta en la Figura 3(c). En general, los tratamientos evaluados presentaron diferenticas significativas (p<0,05) a partir del día 3 de almacenamiento, cabe resaltar que cuando la concentración de CA aumenta en el recubrimiento el incremento de los sólidos es menor que en T5, además, entre los tratamientos con la inclusión de CA se presentaron diferencias significativas a partir del día 10 de almacenamiento con valores oscilantes entre 7,58-7,84 % de SST. Para el día 15 de almacenamiento se presentaron diferencias significativas tanto en frutas tratadas con los diferentes recubrimientos y las frutas testigo con valores finales de 9,43 % para el T5 y 9,11-8,31- 8,12-7,83 % para T1, T2, T3 y T4 respectivamente.
En la Figura 3(d), se muestra el incremento de la relación entre los SST y la AT en moras recubiertas y moras control almacenadas durante 15 días a 4 °C. Se presentaron diferencias estadísticas (p<0,05) en- tre las moras testigo y las moras con recubrimiento a partir del día 3 de almacenamiento. La inclusión de CA tuvo un efecto positivo en el control de este parámetro, sin embargo, a partir del día 12 se presentaron diferencias en el tratamiento T2 con respecto a los tratamientos T3 y T4. Por otro lado, el incremento de 40 % a 60 % de CA sólo evidenció diferencias estadísticamente significativas (p>0,05) en el día 15 de almacenamiento.
DISCUSIÓN
La pérdida de peso se presenta por la difusión del vapor de agua impulsado por un gradiente de presión de vapor aumentando los procesos fisioló- gicos que se llevan a cabo durante la maduración de la mora (32,34). La aplicación de los recubrimientos formulados a base de HPMC y CA acompañados de un almacenamiento a 4 °C, resultó eficiente para disminuir la pérdida de peso en mora de castilla, debido a que estos compuestos generan una barrera al vapor de agua disminuyendo la tasa de transferen- cia de masa (34). Además, esta reducción también puede presentarse por la barrera formada por la aplicación de los recubrimientos, ya que se reduce el proceso de respiración evitando la pérdida de un átomo de carbono (35,36). Los resultados obtenidos en la medición de este parámetro son similares a los presentados en moras recubiertas con mucílago de penca (4), otros autores indican una reducción de pérdida de peso en ciruelas, tomates y naranjas recubiertas con HPMC y bases lipídicas tales como CA y goma laca (30,31,37). En el caso del índice de respiración, la reducción se debe posiblemente a la inclusión de CA, que al ser una base lipídica reduce el intercambio gaseoso, formando una barrera esta- ble al CO2 y al O2. Por otro lado, el uso de glicerol también ayuda a la disminución del intercambio gaseoso modificando la atmosfera interna entre la mora y el recubrimiento (22,29,38,39). La tenden- cia de reducir el IR en frutas también se reportó en mora y fresa recubiertas con mucílago de Aloe Vera (4,29).
La reducción de la acidez está asociada con la maduración de la fruta (10,32,34,40), además algu- nos autores indican que el proceso de respiración acelera la pérdida de la acidez titulable (4). En esta investigación los recubrimientos comestibles uti- lizados lograron reducir el índice de respiración, por ende y de acuerdo con otros autores se retrasó la oxidación de los ácidos orgánicos los cuales son sustratos del proceso de respiración (4,10,16,34). Los resultados obtenidos en esta investigación tienen un comportamiento similar a los reportados en mora de castilla tratada con un recubrimiento de Aloe Vera (4), al igual que en moras recubiertas con aceite esencial de canela (41) y en fresas recubiertas con mucílago de penca (29). Por otro lado, el incremento en los valores de pH puede atribuirse a la unión de fragmentos de pectina libres en la pared celular con los polifenoles durante los procesos de maduración de la mora (32), otros atribuyen este incremento a los procesos de senescencia de la fruta (41), algu- nos autores evidencian en sus investigaciones un control en el incremento del pH en frutas como mora de castilla recubierta con mucilago de penca (4), tomate recubierto con HPMC y CA (30). En esta investigación se observó una relación inversa entre la acidez y el pH de mora de castilla, es decir a medida que la acidez titulable disminuyó con el paso del tiempo de almacenamiento, el pH aumentó; esta relación puede generarse por la reducción de los ácidos orgánicos presentes en la fruta por los procesos fisiológicos (30). Debido a que la mora al ser un fruto blando no contiene cantidades de almidón considerables, el aumento de los sólidos solubles totales en mora de castilla puede atribuirse a la conversión de los ácidos orgánicos en azucares (6), otros autores indican que el aumento en la concentración de los sólidos solubles presentes en la mora se debe a las altas pérdidas de peso que esta fruta tiene (4); este comportamiento también fue reportado en mora de castilla almacenada en atmósferas modificadas (6), además, en frutas como aguacate, ciruelas y moras que fueron recubiertas con diferentes bases lipídicas, y fresas almacenadas en empaque de polipropileno donde los sólidos solubles totales aumentaron (4,15,31,42). Por otro lado, se reportó que los SST de dos variedades de zarzamora disminuyen a medida que el periodo de almacenamiento aumenta, lo que sucede por el alto perecimiento de las bayas (32). La relación entre los SST y la AT son reportados como el mejor indicador de la maduración de bayas (32). El aumento de la relación de los SST y la AT puede presentarse en gran medida por una disminución progresiva de la AT. Una relación alta entre SST y AT ha sido usada para algunas bayas como indicador de buena calidad, sin embargo, para arándanos una relación alta de SST y AT indica la senescencia de la fruta (32). El incremento en esta relación también se reportó en frutas como mora y zarzamoras que fueron alma- cenadas con atmósferas modificadas (6,32).
CONCLUSIONES
La aplicación de un recubrimiento comestible a base de HPMC con la inclusión de CA fue un mé- todo efectivo en la conservación de las propiedades fisicoquímicas como la acidez titulable, los sólidos solubles totales, el índice de madurez, el pH y las propiedades fisiológicas como la pérdida de peso y el índice de respiración de la mora de castilla. Se presentaron diferencias significativas (p<0,05) entre los tratamientos evaluados debido a un control ejercido posiblemente por los recubrimientos sobre los parámetros anteriormente mencionados durante un periodo de almacenamiento de 15 días a 4 °C, dando como resultado un aumento en la vida útil de este fruto.
SUGERENCIAS
Se debe evaluar el efecto del plastificante adicio- nado sobre la vida útil de la mora de castilla, además de realizar un análisis microbiológico a la fruta.
Agradecimiento
A la fundación CEIBA y la Gobernación de Nariño por el financiamiento de un joven investigador para el desarrollo de este trabajo.
Referencias
Alzate-Quintero AC, Mayor-Marin N, Montoya-Barreto S. Influencia del manejo agronómico, condiciones edáficas y cli- máticas sobre las propiedades físicoquímicas y fisiológicas de la mora (Rubus glaucus Benth) en dos zonas de la región centro sur del departamento de caldas. Agronomía. 2010; 18 (2): 37–46.
Antia G, Torres J. El manejo post-cosecha de Mora (Rubus glaucus Benth). Serie de paquetes de capacitación sobre manejo post-cosecha de frutas y hortalizas; No. 12. Programa Nacional del SENA de capacitación en Manejo post cosecha y comercia- lización de frutas y hortalizas. Bogotá, Colombia: OP gráficas; 1998. 272 p.
Cueva-Cañarte MB. Efecto de la radiación UV-C sobre el tiempo de vida útil de mora (Rubus glaucus Benth). [Tesis de pregrado]. [Quito, Ecuador]: Universidad Tecnológica Equinoccial; 2010 86 p.
Ramírez J, Aristizábal I, Restrepo J. Conservación de mora de castilla mediante la aplicación de un recubrimiento comestible de gel de mucílago de penca de sábila. Vitae. 2013;20(3):172–83.
Reina CE. Manejo Postcosehca y Evaluación de la Calidad para la Mora de Castilla (Rubus glacus) que se Comercializa en la Ciudad de Neiva. Neiva, Colombia: Universidad Sur Colombiana; 1998. 134 p.
Sora AD, Fischer G, Flórez R. Almacenamiento refrigerado de frutos de mora de Castilla (Rubus glaucus Benth) en empaques con atmósfera modificada. Fisiol y Tecnol Poscosecha. 2006; 24(2): 306-16.
Kaushik N, Kaur BP, Rao PS, Mishra HN. Effect of high pressure processing on color, biochemical and microbiological character- istics of mango pulp (Mangifera indica cv. Amrapali). Innov Food Sci Emerg Technol. 2014; 22: 40-50.
Patras A, Brunton N, Da Pieve S, Butler F. Impact of high pres- sure processing on total antioxidant activity, phenolic, ascorbic acid, anthocyanin content and colour of strawberry and black- berry purées. Innov Food Sci Emerg Technol. 2009;10(3): 308-13.
São José JFB De, Andrade NJ De, Ramos AM, Vanetti MCD, Stringheta PC, Chaves JBP. Decontamination by ultrasound application in fresh fruits and vegetables. Food Control. 2014; 45: 36-50.
Han C, Zhao Y, Leonard S., Traber M. Edible coatings to improve storability and enhance nutritional value of fresh and frozen strawberries (Fragaria × ananassa) and raspberries (Rubus ideaus). Postharvest Biol Technol. 2004; 33 (1): 67-78.
Ayranci E, Tunc S. Cellulose-based edible films and their ef- fects on fresh beans and strawberries. Z Leb Unters Forsch A. 1997;205:470-3.
Chiumarelli M, Hubinger MD. Stability, solubility, mechanical and barrier properties of cassava starch-carnauba wax edible coatings to preserve fresh-cut apples. Food Hydrocoll. 2012; 28(1): 59-67.
Del-Valle V, Hernández-Muñoz P, Guarda A, Galotto MJ. Development of a cactus-mucilage edible coating (Opuntia ficus indica) and its application to extend strawberry (Fragaria ananassa) shelf-life. Food Chem. 2005; 91(4): 751-6.
Gol NB, Patel PR, Rao TVR. Improvement of quality and shelf- life of strawberries with edible coatings enriched with chitosan. Postharvest Biol Technol. 2013; 85: 185-95.
Saucedo-Pompa S, Rojas-Molina R, Aguilera-Carbó A, Saenz- Galindo A, De La Garza H, Jasso-Cantú D, et al. Edible film based on candelilla wax to improve the shelf life and quality of avocado. Food Res Int. 2009; 42(4): 511-5.
Tanada-Palmu P, Grosso C. Effect of edible wheat gluten-based films and coatings on refrigerated strawberry (Fragaria ananassa) quality. Postharvest Biol Technol. 2005;36(2): 199-208.
Vu KD, Hollingsworth RG, Leroux E, Salmieri S, Lacroix M. Development of edible bioactive coating based on modified chitosan for increasing the shelf life of strawberries. Food Res Int. 2011; 44(1): 198-203.
Xu S, Chen X, Sun D. Preservation of kiwifruit coated with an edible film at ambient temperature. J Food Eng. 2001; 50: 211-6.
Galus S, Lenart A. Development and characterization of com- posite edible films based on sodium alginate and pectin. J Food Eng. 2013; 115(4): 459-65.
Saavedra N, Algecira N. Evaluación de películas comestibles de almidón de yuca y proteína aislada de soya en la conservación de fresas. Nova. 2010; 8(14): 171-82.
Greener-Donhowe IK, Fennema OR. Edible films and coatings: a review. Food Technol. 1986; 40: 47-59.
Miller KS, Krochta JM. Oxygen and aroma barrier properties of edible films: A review. Trends Food Sci Technol. 1997; 81: 228-37.
Hagenmaier RD, Shaw PE. Moisture permeability of edible films made with fatty acid and hydroxypropyl methylcellulose. J Agric Food Chem. 1990; 38: 1799–803.
Kamper SL, Fennema OR. Water vapor permeability of an edible, fatty acid, bilayer film. J Food Sci. 1984; 49: 1482-5.
Navarro-Tarazaga M, Del Río M, Krochta J, Pérez-Gago M. Fatty acid eggect on hydroxypropyl methylcellulose-beewax edible film properties and postharvest quality of coated “Ortanique” mandarins. J Agric Food Chem. 2008; 56(22): 10689-96.
Navarro-Tarazaga M, Pérez-Gago M. Effect of edible coatings on quality of mandarins Cv. Clemenules. Proc Florida State Hortic Soc. 2006; 119: 350-2.
Navarro-Tarazaga M, Pérez-Gago M, Goodner K, Plotto A. A new composite coating containing HPMC, beeswax, and shellac for “Valencia” oranges and “Marisol” tangerines. Proc Florida State Hortic Soc. 2007; 120: 228-34.
Pérez-Gago M, Rojas C, Del Río M. Effect of lipid type and amount of edible hydroxypropyl methylcellulose-lipid composite coatings used to protect postharves quality of mandarins cv. Fortune. J Food Sci. 2002;67(8): 2903-10.
Restrepo J, Aristizábal I. Conservación de Fresa (Fragaria x ananassa Duch cv. Camarosa) Mediante la Aplicación de Recu- brimientos Comestibles de Gel Mucilaginoso de Penca Sábila (Aloe barbadensis Miller) y Cera de Carnaúba. Vitae. 2010; 17(3): 252-63.
Fagundes C, Palou L, Monteiro AR, Pérez-Gago MB. Effect of antifungal hydroxypropyl methylcellulose-beeswax edible coatings on gray mold development and quality attributes of cold-stored cherry tomato fruit. Postharvest Biol Technol. 2014; 92: 1-8.
Navarro-Tarazaga M, Massa A, Pérez-Gago M. Effect of beeswax content on hydroxypropyl methylcellulose-based edible film properties and postharvest quality of coated plums (Cv. Angeleno). LWT - Food Sci Technol. 2011; 44(10): 2328-34.
Joo M, Lewandowski N, Auras R, Harte J, Almenar E. Com- parative shelf life study of blackberry fruit in bio-based and petroleum-based containers under retail storage conditions. Food Chem. 2011; 126(4): 1734-40.
Norma Técnica Colombiana. NTC 4106: Frutas Frescas. Mora de castilla. Especificaciones. 1997.
Yaman Ö, Bayoιndιrlι L. Effects of an edible coating and cold storage on shelf-life and quality of cherries. LWT - Food Sci Technol. 2002; 35(2): 146-50.
Labuza T. Moisture Sorption: Practical Aspects of Isotherm Measurement and Use. Saint Paul. Minnesota, United States: American Association of Cereal Chemists; 1984. 92 p.
Pan J, Bhowmilk S. Shelf life of mature green tomatos stored in controlled atmosphere and high humidity. J Food Sci. 1992; 57: 948-53.
Valencia-Chamorro S a., Pérez-Gago MB, del Río MÁ, Palou L. Effect of antifungal hydroxypropyl methylcellulose (HPMC)–lipid edible composite coatings on postharvest decay development and quality attributes of cold-stored “Valencia” oranges. Postharvest Biol Technol. 2009; 54(2): 72-9.
Hong S, Krochta J. Oxygen barrier performance of whey- protein-coated plastic films as affected by temperature, relative humidity, base film and protein type. J Food Eng. 2006; 77(3): 739-45.
Ribeiro C, Vicente A, Teixeira J, Miranda C. Optimization of edible coating composition to retard strawberry fruit senescence. Postharvest Biol Technol. 2007;44(1): 63-70.
Martínez-Romero D, Alburquerque N, Valverde JM, Guillén F, Castillo S, Valero D, et al. Postharvest sweet cherry quality and safety maintenance by Aloe vera treatment: A new edible coating. Postharvest Biol Technol. 2006; 39(1): 93-100.
González Cabrera MV. Conservación de mora, uvilla y frutilla mediante la utilización del aceite esencial de canela (Cinnamomum zeynalicum). [Tesis de pregrado]. [Riobamba, Ecuador]: Escuela Superior Politécnica de Chimborazo; 2010. 177 p.
Sanz C, Pérez AG, Olías R, Olías JM. Quality of Strawberries Packed with Perforated Polypropylene. J Food Sci. 1999; 64(4): 748-52.