Abstract: Studies on the maturation of mangoes in growing regions may help determine the optimal harvest strategies to support proper post-harvest handling and improve the fruit shelf life. The aim of the present study is to evaluate changes and establish correlations of physical and mechanical parameters during the ripening of mangoes cv. 'Tommy Atkins' collected from fifty plant rows in a commercial orchard. The fruits were picked at 35, 50, 65, 80, 95, 110, 125 and 135 days after flowering (DAF). Fruit mass, longitudinal diameter (LD), transverse diameter (TD), fruit firmness, force and maximum deformation compression, tension and Hencky's strain were evaluated. The statistical design was totally randomized with four replications with ten fruits each. The results were submitted to longitudinal data analysis due to the quantitative nature imposed by the harvest time factor. Hencky's strain curves and deformity underwent an analysis of the standard error of the mean. From the beginning of the harvest up to 125 DAF, the fruit went through an increase in its mass, in its longitudinal and transverse diameters and in its compressive strength. Both physical and mechanical parameters exhibited high correlation, up 0.93, as regards the fruit maturation stages. This demonstrates that the mangoes cv. 'Tommy Atkins' hold excellent prospects of development.
Keywords: maturity stagematurity stage,fruit firmnessfruit firmness,compression strengthcompression strength,mechanical propertiesmechanical properties,ruptures stressruptures stress.
Resumen: Los estudios sobre la maduración del mango en las regiones en crecimiento pueden ayudar a determinar el punto óptimo de cosecha, permitiendo adecuado manejo post-cosecha y aumentar la vida útil de frutas. El objetivo de este estudio fue evaluar los cambios y las correlaciones de los parámetros físicos y mecánicos durante la maduración de los mangos cv. 'Tommy Atkins'. Se seleccionaron cincuenta plantas, cinco hileras de un huerto. Los frutos se cosecharon a los 35, 50, 65, 80, 95, 110, 125 y 135 días después de la floración (DAF). Se evaluó la evolución del peso del fruto, diámetro longitudinal (DL) y transversal (DT), firmeza de la fruta, la fuerza y la deformación máxima compresión, tensión y deformación de Hencky. El diseño estadístico fue completamente al azar con cuatro repeticiones, que consta de diez frutos cada una, y los resultados fueron sometidos a análisis de datos longitudinales debido a la naturaleza cuantitativa impuesta por el factor de tiempo de la cosecha. Las curvas de tensión y deformación de Hencky se sometieron a análisis de errores estándar de la media. Desde el comienzo de la cosecha hasta el 125 DAF se registra en el aumento de la masa frutas, los diámetros longitudinal y transversal, y la resistencia a la compresión de la fuerza. Parámetros físicos y mecánicos evaluados obtuvieron alta correlación con los estadios de maduración, hasta 0,93, lo que representa un buen indicador de desarrollo de los frutos de mango 'Tommy Atkins'.
Palabras clave: etapa de madurez, firmeza de la fruta, resistencia a la compresión, propiedades mecánicas, resistencia a la rotura.
Artículos originales
Physical and mechanical parameters correlated to the ripening of mangoes (Mangifera indica L.) cv. 'Tommy Atkins'
Parámetros físicos y mecánicos relacionados con la maduración de los mangos (Mangifera indica L.) cv. 'Tommy Atkins'
Received: 17 December 2015
Accepted: 21 April 2016
Mango culture has an enormous economic and social impact today, calling for much higher productivity and expansion of cultivated area, plus fruit quality, higher yields and higher turnover in both domestic and foreign markets (Xavier et al., 2009). The Lower Basin of San Francisco Valley stands alone in the Brazilian fruit farming scenario. This region remains the most important mango producing and exporting area in Brazil, especially for the cultivar 'Tommy Atkins'. About 85% of all the region's exports are acquired by the United States and European countries (Anuário Brasileiro da Fruticultura, 2015).
Considering the fact that these foreign markets stand alone as the main buyers of the fruit, and being at the same time over demanding as to the product quality, the need for further studies on mango cultivation - from ripening to harvest - has become most indispensible. In addition, the fruit quality for consumption and post-harvest storage will depend largely on the fruit development before harvesting (Morais et al., 2002), as the fruit when harvested too soon will not achieve the level of quality acceptable for its consumption.
An inadequate stage of the fruit physiological maturity may cause production losses. Consequently, a maturation study of the fruit evolution will help us determine the best harvest time, permitting proper postharvest handling. This will increase the fruit natural life (Lima et al., 2009).
Physical indices will help to determine the fruit optimal harvest time. These are: mass, size, shape, color, firmness, and number of days after flowering. Information on the fruit mechanical properties is also important to determine the fruit's degree of maturation. Consequently, compression tests may be employed to obtain force-deflection curves to check fruit firmness, such as it is done in experiments with tomatoes (Ciro et al., 2005; Souza & Ferraz, 2009), papaya, banana (Torres et al., 2012) and pumpkin (Figueiredo Neto et al., 2013).
A complete knowledge of these properties is vital for developing and selecting the equipment required in the processes of harvesting, packaging, storage and transportation. These will guarantee the process will achieve maximum efficiency without compromising the product final quality (Lima et al., 2014).
An extensive knowledge of the development of mango ripening under regional growing conditions, will certainly expand the fruit life (Lima et al., 2009), as it will allow the use of acceptable control practices before harvest, reducing losses and preserving fruit quality.
The aim of this research was to evaluate alterations and parameter correlations in the ripening process of mangoes cv. 'Tommy Atkins'.
Mangoes 'Tommy Atkins' were used in the experiment. The fruit was collected manually from a commercial orchard at Fazenda Special Fruit Import and Export Ltda, located in Juazeiro, Bahia, in a climatic region of the type BSwh (semi-arid, steppe type, hot, with summer rainy season) according to Koppen. This region lies at 9º24'45.85 ''S and 40º30'53.51''W, at an altitude of 374 m. a. s. l. Meteorological data on the area were collected while the experiment was being conducted: from May to August 2015, as shown in Figures 1A and 1B.

The farm is 320 hectares in extent, 120 hectares of it is planted with mango cv. 'Tommy Atkins'. In the study area of 7.1 hectares, crop spacing is 5 x 4 m, and the irrigation system used is that of microsprinkler with daily irrigation schedule starting after the flowering phase, and gross blade 85 L.plant-1, adjusted over the cycle depending on climatic features. The mango-trees received the treatment required according to the plantation demands.
Soil fertility analyses at different depths (0-30, 30-60 cm) and leaf tissue analyses were performed at the beginning of the cycle for the lot where the work was carried out. Results are shown in Table 1.

Fifty plants were selected and distributed along five rows in the orchard. A total of 640 fruits were collected on separate days, comprising eighty fruits in each phase: 35, 50, 65, 80, 95, 110, 125 and 135 days after flowering (DAF). Harvesting was done in the morning, using pruning shears to cut off the stalk.
After being collected, the fruits were carried into the Agricultural Products Storage Laboratory (LAPA) of the Federal University do Vale do São Franscisco, Juazeiro-BA. The determinations were performed in partnership with the Material Testing Laboratory (LEM). These included fruit weight, longitudinal diameter (DL) and transverse diameter (TD) fruit firmness, compression strength and maximum deformation, and Hencky's strain and deformation.
The average fruit weight was determined by means of a semi-analytical balance with 0.01 g. accuracy. Measurements of both longitudinal and transverse diameters were taken by using a digital caliper and expressed in centimeters (cm).
The fruit firmness was determined by means of a digital penetrometer Model PTR 300, with a 5 mm nozzle diameter. One reading per fruit was conducted along the equatorial portion, and the result was expressed in Newtons (N).
The compression test was established by means of an electromechanic universal machine EMIC model DL 10000, conducted by a microcomputer furnished with a TESC software version 3.04 adapted for experiments with agricultural products. For this experiment the mangoes were placed to rest between the parallel plates (diameter 30 cm) of the equipment subjected to a compression of 5 mm. min-1 until the final strength was reached as to the variety limit in the analyzed stage i.e., till epicarp disruption was obtained. Thus the relationship between force (N) and deformation (mm) was obtained.
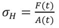
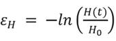
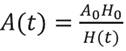
Hencky's strain (H) and deflection (H) were determined by Equations 1 to 3, as suggested by Ferrari et al. (2011). The breakdown tension is calculated considering the peak value of the stress-strain curve (Equations 1, 2 and 3).



Where: σH - Henchy's tension (Pa); εH - deformation (%); F(t) - Force (N) as a function of time t (s); A (t) - Area (m2) versus time (s); A0 - initial sample area (m2); H0 - initial sample height (m); H(t) - sample height (m) versus time (s).
The experimental design was randomized after a course of eight treatments (fruit ages) and four replications, consisting of ten fruits. The variables were submitted to regression analysis and simple correlation coefficients were estimated by using the Assistat software, Version 7.7 beta (Silva, 2014). Tension data and Hencky's strain underwent standard error analyses of the mean.
Figure 2, shows that the fresh mass of the mangoes cv. 'Tommy Atkins' increased during the experiment, with less variation between 125 and 135 DAF. Similar to what was observed for the fruit mass, the mangoes increased in size up to 125 DAF, having a cubic behavior in response to time variation (Figure 2).

Changes in fruit firmness along different maturation stages can be shown in Figure 3. A steady increase of up to 80 DAF has been observed. In the remaining stages, fruit firmness showed little variation: from 151, 150 and 153 N, to 110, 125 and 135 DAF, respectively.

Figure 4, shows comparative curves of force versus deflection verified during fruit compression tests applied to each maturation period. An increase in both the maximum supported strength and deformation up to 125 DAF was verified. These were about 4782.34 C and 25.71 mm, respectively. It was further observed that at harvest point (135 DAF), fruit resistance suffered a small reduction when compared to the previous stage i.e., it reached elastic limit with less applied force.

Figures 5A and 5B, show the deformation, the axial stress applied to the fruits increased, promoting, as a result, the disruption of cell structures throughout the maturation process.

Figure 6, shows an increase in rupture strain as fruit maturing develops. However, at the end of the process, no significant difference between fruits of 125 and 135 DAF was verified. These fruits reached a tension of 1.2 ± 0.05 and 1.1 ± 0:09 Mpa, respectively. The rupture strain (Figure 6) was also influenced along the course of maturation, with the highest values being obtained for the fruits at 65 DAF.

When correlation analyses amongst phases of maturation, weight, longitudinal and transverse diameters, strength and maximum strain (Table 2) were implemented, correlation coefficients reached values greater than 0.93.

The gradual increase in mass and diameters (Figure 2) along the ripening period can be attributed to the physiological process of development related with the possible increase of soluble solids (Jha et al., 2006). This is due to alterations in the relation between source and drain, inducing the plant to produce fruits with larger size and mass (Ramos et al., 2011).
Results similar to those of the smaller variation of the fresh mass of mangoes cv. 'Tommy Atkins' by the end of the ripening period (Figure 2) were also observed by Lima et al. (2009), in studies on the same cultivar. They observed a tendency towards minor variations to occur 120 days after flowering.
The values of the longitudinal diameters (LD) and the transverse diameters (TD) observed in the present study were higher than those found by Lucena et al. (2007), when studying the physical characteristics of mango harvested in a commercial orchard of mangoes cv 'Tommy Atkins' grafted on the mango cv. 'Espada' (at spacing 10 x 10 m). The orchard is located in the city of Petrolina, during the agricultural cycle 2003/2004. The results obtained were 10.79 cm and 05.08 cm, LD and TD, respectively, at 112 days after anthesis.
These differences can be associated to the following: seasonality of the cultivar, water availability and temperature, time of pruning, factors intrinsic to the plant, such as the number of fruits produced per plant, the competition between developmental sectors, and the methods of analysis used (Ramos et al., 2011; Rufini et al., 2011; Silva et al., 2012). Rufini et al. (2011), performing biometric characterization on the 'Uba' mango, found variations from 59.24 to 81.75 mm in longitudinal length, and 50.88 to 65.03 mm of cross-sectional diameter. These variations represent a large variability of these features in the same cultivar.
Considering the changes in the mangoes firmness at harvest time, these have been similar to those observed in three previous maturity stages (Figure 3), as confirmed by Morais et al. (2002). In studies of the same cultivar, they observed that the fruits harvested at 89 DAF 96 DAF and at the trade center (EC) presented no significant differences in average firmness. As noted by Jha et al. (2006), firmness remains virtually constant over the fruit development, decreasing after its physiological maturity, which, in the case being studied at present, started at 125 DAF.
The results of the present study are consistent with recommendations for the minimum firmness required for mangoes cv.'Tommy Atkins', which is 129, 45 N (Filgueiras et al., 2000).
Force-strain curves (Figure 4), demonstrate that as maturation progresses, fruit resistance increases. A slight reduction in elasticity, noticeable at harvest, can be attributed to the occurrence of lesser intensity events associated with the softening of fruits - in some cases when they are still on the plants. This is due to hemicellulose degradation, pectic substances, and also to starch hydrolysis (Wills et al., 2007).
Before reaching breaking point, as it is seen to happen under strength and maximum strain (Figures 5A and 5B), the fruit can, in theory, return to its initial shape, after going through small deformations. This is so because the mango is considered a viscoelastic fruit (Ikegwu & Ekwu, 2009). In case the fruits were harvested at 110 DAF, storage and processing potentials would probably be smaller, as fruit resistance to tension would be less (Torres et al., 2012). Moreover, the fruits would reach their limit too soon. This would not happen if they were harvested at 125 or 135 DAF.
The tension rupture variation - Hencky's strain (Figure 6) verified during ripening can be attributed to an increase in fruit mass. This, together with structure and cell wall, affected by small variations in maturation, helps determine the rheological properties of the biological material (Ito et al., 2007).
Minor fracture strain (Figure 6) along maturation may be related to solids gains, which may lead to reduced elasticity (Ferrari et al., 2011).
The high simple correlation coefficients (Table 2) between the physical and mechanical parameters and the maturation period, open up possibilities of using not only the physical methods but also the mechanical evaluations in order to determine the ripeness of the mango cv. 'Tommy Atkins' based on strength and maximum compression deformation.
The physical and mechanical properties studied have proven to be good indicators of development for mangoes cv. 'Tommy Atkins'. Based on physical and mechanical parameters, the harvesting of mangoes cv.'Tommy Atkins' can be done 125 days after flowering. By this time, minor variations of these parameters begin to appear.
The authors tank the Coordination for the Improvement of Higher Education Personnel (CAPES) by granted masters scholarship; Fundação de Amparo à Pesquisa do Estado da Bahia (FAPESB) and Farm Special Fruit
* Author for correspondence: josenara.costa@gmail.com







