Artículos Originales
Dinámica de nitrógeno del suelo en agroecosistemas bajo el efecto de abonos verdes
Nitrogen dynamics of soil in agroecosystems under the effect of green fertilizers
Dinámica de nitrógeno del suelo en agroecosistemas bajo el efecto de abonos verdes
Acta Agronómica, vol. 68, núm. 4, pp. 257-264, 2019
Universidad Nacional de Colombia
Recepción: 30 Abril 2018
Aprobación: 05 Abril 2019
Resumen: Los abonos verdes (AV) son frecuentemente utilizados en agroecosistemas para mejorar y/o restaurar la fertilidad del suelo. El objetivo de este estudio fue evaluar la dinámica de nitrógeno (N) y carbono (C) del suelo en sistemas de maíz y soya bajo el efecto de AV residuales. En un Vertisol Typic Haplustert ubicado en el Valle del Cauca-Colombia se estableció la asociación Mucuna pruriens var. utilis - maíz (Zea mays), la cual 90 días después de la siembra fue incorporada al suelo como AV o se dispuso sobre la superficie del suelo como acolchado orgánico (AO). Posteriormente fueron sembrados los cultivos maíz-soya en forma intercalada para formar 11 tratamientos bajo el diseño de bloques completos al azar con arreglo factorial 32 +2 y tres repeticiones. Las parcelas principales fueron AV, AO y barbecho (B). Las subparcelas correspondieron a la fertilización con compost, fertilizante de síntesis química industrial y cero fertilización (testigo). En forma paralela fueron sembrados como referentes los monocultivos de maíz y soya manejados de forma tradicional. En las etapa de floración y llenado de grano de los cultivos se midieron como variables en suelo: N total, amonio, nitrato, N-inorgánico total, carbono orgánico; y en tejido vegetal de maíz y soya: carbono y N. Los resultados mostraron que, la aplicación de materiales orgánicos de alta calidad, AV/AO, estimularon la mineralización del C y la dinámica de las diferentes fracciones de N en el suelo, sin cambios significativos en el contenido de estos elementos en el tejido vegetal del cultivo de maíz y soya.
Palabras clave: Maíz, soya, prácticas agroecológicas, nitrógeno, relaciones planta-suelo.
Abstract: The green fertilizers (AV) are implemented in agroecosystems to improve and/or restore soil fertility. The objective was to evaluate the nitrogen (N) dynamics of soil in maize and soybean systems under the effect of AV. In a Typic Haplustert located in Valle del Cauca-Colombia, the association Mucuna pruriens var. utilis - corn and, 90 days after sowing, the residues were incorporated as AV or placed on the soil surface as organic mulch (AO). The corn- soybean crops were then planted in an intercalated form and 11 treatments were formulated under the randomized complete block design with a factorial arrangement of 32 +2 with three replications. The main parcels constituted AV, AO and fallow (B). The subplots corresponded to compost fertilization, industrial chemical synthesis fertilizer and no addition. At the same time, corn and soy monocultures managed in a conventional manner were planted as research references. In the stage of flowering and grain filling of the crops, some variables were analyzed, related to the soil: total N, ammonium, nitrate, total inorganic N, organic carbon; in vegetable tissue of corn and soybean: carbon and N. The results indicated that the addition of high quality organic materials, AV/AO, stimulated the mineralization of the C and dynamics of the different fractions of N in the soil, without significant changes in the content of these elements in the plant tissue of the corn and soybean crop.
Keywords: Corn, Soy, Agroecological Practices, Nitrogen, Plant-soil relationships.
Introducción
El nitrógeno (N) es el nutriente más importante para la producción de cultivos, no obstante su disponibilidad en el suelo en muchas ocasiones es limitante para las reacciones bioquímicas y fisiológicas necesarias en el crecimiento, desarrollo y producción de las plantas (Rao, 2009). En cultivos como maíz (Zea mays L.) el N es un elemento básico y su participación en los costos de producción es variable entre 15 y 30% (FENALCE, 2011). En 2016, en Colombia se importaron 1,752,803 t de soya y 4,562,348 t de maíz, lo que representa más de 60% de la demanda anual para satisfacer la seguridad alimentaria en los diversos sectores agrícolas y sociales (FENALCE, 2017).
Las principales fuentes de N para cultivos son la mineralización del N orgánico en el suelo y su adición de formas sintéticas y orgánicas. Gran parte del suministro del N total (95%) es debido a la presencia y mineralización de la materia orgánica del suelo (MOS) (Philippot y Germon, 2005). La mayor cantidad de N orgánico se encuentra en las primeras capas del suelo. Cuando se agregan volúmenes importantes de materiales orgánicos, la mineralización provee de 0.5 a 2 kg/ha por día, lo que equivale a 20 -80% de los requerimientos por las plantas, dependiendo del tipo de cultivo y las condiciones del suelo (Broadbent, 1984).
Según los datos de la FAO (FAO, 2015) en 2018 a nivel mundial se utilizarán 200 millones de toneladas de fertilizantes de síntesis, la mayor parte como fuentes nitrogenadas, lo cual tiene relevancia al aportar aproximadamente 100 millones de toneladas de N por año en los diferentes agroecosistemas (IFA, 2005), no obstante la eficiencia de éstas no supera el 33% (Glass, 2003). Esta baja eficiencia de N es causada por prácticas agronómicas como la fertilización excesiva, compactación del suelo y riego por gravedad, que favorecen las pérdidas de este nutriente por erosión, lixiviación y volatilización.
La recuperación o conservación de la fertilidad de los suelos cultivados es una práctica necesaria para garantizar la seguridad alimentaria. Una de las tecnologías aplicadas en estos procesos es el establecimiento de cultivos como maíz y soya que son incorporados en forma de barbecho (B) en poscosecha; otra alternativa es la siembra e incorporación de Mucuna pruriens L. como abono verde (AV) o dispuesto sobre el suelo como acolchado orgánico (AO), prácticas utilizadas en asociación o en rotación que aportan material vegetal in situ para mantener, mejorar o restaurar las propiedades físicas, químicas y biológicas del suelo (Zribi et al., 2011).
Estos materiales aumentan la eficiencia en el uso de N mediante relaciones simbióticas como la fijación biológica (FBN) en leguminosas (Shoko et al., 2007) y el reciclado de nutrientes mediante el crecimiento de la biota del suelo, que favorece la mineralización de la MO, y la mayor disponibilidad de nutrimentos y agua (Baijukya et al., 2004).
El objetivo de este estudio fue evaluar la dinámica de nitrógeno (N) y carbono (C) del suelo y la planta en sistemas de maíz y soya utilizando Mucuna pruriens var. utilis - maíz (Zea mais L.) como AV y fertilización nitrogenada de síntesis.
Materiales y métodos
El trabajo se realizó en el Campo Experimental de la Universidad Nacional de Colombia Sede Palmira (CEUNP), Valle del Cauca, Colombia. Este campo se encuentra a 3° 25’ 34’’ N y 76° 25’ 53’’ O, a 980 m.s.n.m., con una temperatura promedio de 24 °C, humedad relativa de 69% y 1406 mm de precipitación anual.
El suelo es Haplustert típico franco fino isohipertérmico con pendiente de 1%, que se encontraba en barbecho (B) desde hacía 8 años, aproximadamente, (Tabla 1). Los análisis de las propiedades físicas indicaron una textura franco arcillosa, que permite una adecuada labor de cultivo, siempre y cuando, la humedad gravimétrica no sea alta. La textura pesada más la alta densidad aparente encontrada (1.72 g/ cm3), que se refleja en muy baja porosidad total (35.34%), generan condiciones de reducción favoreciendo la emisión de gases de efecto invernadero (GEI).

Los tratamientos (Tabla 2) fueron dispuestos en un diseño de bloques completos al azar con arreglo factorial 32 +2 con tres repeticiones. Las cuatro parcelas principales fueron el componente vegetal (AV, AO y dos con B) previo al establecimiento de los cultivos, todos seguidos por sistemas de cultivos asociados (maíz + soya) y de monocultivos (maíz o soya). Las subparcelas correspondieron a tres diferentes programas de fertilización (compost, fertilizante de síntesis química industrial y cero fertilización. Las unidades experimentales fueron parcelas en campo de 20 m2 (6 x 3.34 m) para los tratamientos 1 a 9 y de 30 m2 (6 x 5 m) para los tratamientos 10 y 11. Durante el desarrollo del trabajo se midieron la precipitación más el riego aplicado y la temperatura ambiental (Figura 1).


En campo se sembraron asociados como AV la leguminosa mucuna (Mucuna pruriens L. var. utilis (CIAT No. 9349) y maíz (Zea mayz L.) (variedad ICA 305) en las unidades experimentales correspondientes a los tratamientos 1 a 6. Después de un período de cultivo aproximado de 3 - 4 meses, cuando el grano se encontraba en estado lechoso (R3), se procedió a la cosecha del maíz y a la incorporación de la biomasa resultante como AV al suelo. Para ello, los cultivos se cortaron en trozos que permanecieron en descomposición durante 20 a 30 días.
Posteriormente, el establecimiento del cultivo de maíz (variedad ICA 305) se realizó con una densidad de siembra de 40,000 plantas/ha y la soya (variedad ICA P34) con una densidad de 200,000 plantas/ha, en un arreglo 1:2, un surco de maíz por dos de soya en cada unidad experimental.
Las fertilizaciones con fuentes orgánicas y sintéticas se realizaron en dos momentos, a los 15 y 45 días después de la resiembra de los cultivos. La fertilización sintética consistió en la aplicación de 50 kg/ha de N, P y K utilizando fertilizante triple quince (15-15-15) equivalente a 335 g en parcelas de cultivo intercalado y 501 g en el monocultivo, de acuerdo con los requerimientos encontrados por Moreno et al. (2008)). Para los tratamientos con abono orgánico, la dosis se calculó de forma equivalente para alcanzar una dosis igual de N a la aplicada con el fertilizante sintético, para ello se utilizó gallinaza compostada en dosis de 3.4 t/ha, equivalente a 50 kg/ha de N. Los demás tratamientos no recibieron aplicación de fertilizantes o enmiendas.
Para conocer la dinámica de N y carbono (C) en el sistema de maíz y soya, fueron analizadas las variables: NH4+, NO3-, N inorgánico total (Nit) (NH4+ + NO3-), N total y carbono orgánico (CO) en el suelo y, la acumulación de N y C en la planta. En cada etapa de floración y llenado de grano de maíz fueron recolectadas nueve submuestras de suelo y tres hojas/planta ubicadas al lado opuesto de la espiga de las 10 plantas muestreadas para analizar los resultados en cada tratamiento.
La información obtenida se sometió a análisis de varianza (P < 0.05), prueba de promedios de Duncan (P < 0.05) y correlaciones de Pearson, mediante el uso del software SAS versión 9.1.3 (SAS, 2002).
Resultados
N total
En floración se encontraron diferencias (P < 0.05) entre los tratamientos (Figura 2). El N total a nivel de parcelas principales (AV, AO y B) y subparcelas (FO, FQ y SF) fue estadísticamente similar, con excepción del tratamiento B-FQ, siendo el menor valor. Las concentraciones encontradas en este ensayo (1450 a 1550 mg/kg) coinciden con las encontradas por Revelli et al. (2010)) e inclusive fueron mayores que las encontradas en suelos agrícolas (1500 mg/kg).

N inorgánico (NH4+, NO3 y Nit (NH4++NO3-)
En floración de los cultivos, la concentración de NH4+ en el suelo fue más alta (P < 0.05) en el tratamiento SF (Figura 3). De la misma manera, la amonificación fue mayor en las parcelas con tratamientos AV y AO combinados con FO, en comparación con FQ, donde se encontraron las concentraciones más bajas, aunque las diferencias no fueron significativas cuando se comparan con los valores obtenidos con el tratamiento SF.

La mayor nitrificación ocurrió en las parcelas principales de los cultivos intercalados en los tratamientos FO y FQ, por el contrario, en el tratamiento SF en AV se observó una reducción significativa (P < 0.05).
En la etapa de floración, la amonificación (Figura 3) fue más alta que la nitrificación cuando se aplicaron AV y AO combinados con FO y SF, por el contrario, la nitrificación predominó sobre la amonificación en AV y AO bajo la condición FQ (uso fertilización industrial), mientras que con el uso de barbecho (B) fue mayor en todas las condiciones evaluadas.
Aunque en la etapa de llenado de grano no se encontraron diferencias (P > 0.05) entre tratamientos para NH4+ y NO3-, sí se observó una tendencia creciente de la concentración de NH4+ en esta fase fenológica, que superó ampliamente al proceso de nitrificación, como se observa en la Figura 4. Es importante señalar el efecto de la humedad en el suelo en los procesos de mineralización del N; mientras que en floración la precipitación fue de 145 mm (Figura 3), en la etapa de llenado de grano fue de 250 mm (Figura 4), lo cual influyó en el comportamiento de estos procesos en el Vertisol donde se realizó este trabajo. La amonificación ocurre tanto en medio aeróbico como en anaeróbico, mientras que la nitrificación es un proceso netamente aeróbico (Sylvia et al., 2005). En este caso, la humedad, alta compactación del suelo y el tipo de arcillas 2:1 predominante en el suelo, crearon condiciones desfavorables para la nitrificación.

Las mayores diferencias para la variable N (NH4+ + NO3-) ocurrieron entre etapas fenológicas del cultivo (Figura 5), siendo mayor la concentración en la etapa de llenado de grano del maíz. Sin embargo, en esta última etapa, como se discutió con anterioridad, predominó el NH4+ debido a las condiciones de precipitación sumadas a las condiciones edáíicas. Las concentraciones de Nit, como total de N en el suelo, variaron desde 0.4% en floración hasta 1.94% en la etapa de llenado grano, resultados que concuerdan con los encontrados por Philippot y Germon (2005)), entre 0.3% y 2% de N total en el suelo.

Carbono orgánico en el suelo
La mayor concentración de CO en el suelo ocurrió (P < 0.05) en la fase de floración del cultivo de maíz (Figura 6). Los suelos en las parcelas principales AV y AO presentaron valores similares (P > 0.05) de CO en los tratamientos FO, FQ y SF. Shoko et al. (2007)) encontraron que la biomasa de M. pruriens aporta al suelo material de descomposición para los microorganismos, aumentando la MO y el CO.

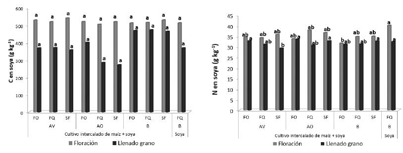
C y N en tejido vegetal del cultivo de soya
La mayor acumulación de C en las hojas de soya ocurrió en floración (Figura 7) (P < 0.05). Dentro de ambas épocas de evaluación (floración y llenado de grano) los tratamientos presentaron valores similares (P > 0.05). La concentración de N en las hojas de soya fue diferente (P < 0.05) entre tratamientos y épocas fenológicas (Figura 7). En floración los niveles registrados en las parcelas AV y AO combinadas con FO, FQ y SF fueron similares estadísticamente, con excepción de B-FO donde se registró el valor más bajo.
En la fase de llenado de grano, los valores de C encontrados en las parcelas AV, AO y B manejadas con FO, FQ y SF fueron similares, sin embargo, la aplicación de B como compost en AV favoreció la mayor concentración N vs. el tratamiento cero fertilización (SF).

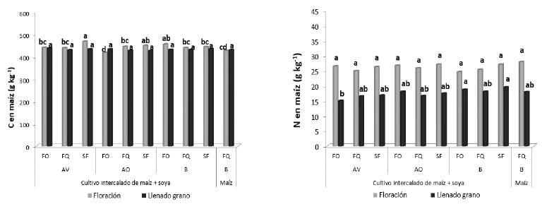
C y N en tejido vegetal de maíz
En la fase de floración del cultivo de maíz se registró un efecto significativo (P < 0.05) de los tratamientos para la acumulación de C en las hojas (Figura 8). Los valores en las parcelas AV, AO y B con FQ fueron similares, mientras que en las parcelas con FO y SF los valores fueron diferentes.
Para N en las hojas, se encontraron diferencias significativas (P < 0.05) entre tratamientos en la etapa de llenado de grano (Figura 8). En esta época, la acumulación de este nutrimento fue similar entre los tratamientos, con excepción de AV-FO que difirió significativamente de B-FO y B-SF, en estos dos últimos se encontró la mayor concentración de N en el cultivo.

Concentraciones de N y C en el suelo y en la planta
En las concentraciones de N y C en el suelo y en la planta de maíz se observó una relación negativa esperada entre las fracciones inorgánicas del N (NH4+ vs. NO3-), ya que el NH4+ es la base para la producción de NO3..
La mayor concentración de NH4+ en el suelo correspondió con la mayor concentración de C e inversamente con el N presente en las hojas de maíz. La primera relación puede explicarse por efecto de masas, ya que el C es el nutrimento base para la acumulación de todas las moléculas de biomasa vegetal. Sin embargo, su producción debe estar acompañada por el suministro de nutrientes a partir del suelo y el N, después del C, es el nutrimento de mayor demanda para la producción de biomasa.
Si se hacen comparaciones en las relaciones C:N máximas y mínimas obtenidas en el tejido de maíz y soya en este ensayo (Tabla 3) se observa que mientras en soya esta relación varía entre 11.4 y 15.6, en maíz esta variación es de 18.7 a 21.2, lo que significa que en este último se acumula más C en el tejido y por el contrario, en soya más N. Lo anterior es de esperar por el tipo de plantas (C4 y C3, respectivamente) y la habilidad fijadora de N2 en leguminosas que se traduce en mayor contenido de proteína.

Discusión
La floración fue la etapa fenológica donde las variables evaluadas expresaron sus máximos valores. En esta etapa la fisiología de las plantas es muy dinámica y aumentan su metabolismo para la producción, en este caso, de granos (Azcón Bieto y Talón, 2008).
El N total en este suelo (1450 - 1550 mg/kg) fue similar a valores encontrados en la mayoría de suelos tropicales agrícolas, no sólo en Colombia, sino también en Honduras y Argentina (Revelli et al., 2010). El N total en el suelo no significa disponibilidad, ya que aproximadamente 98 - 99% de éste está constituido por N orgánico, el cual debe mineralizarse gradualmente para pasar a formas disponibles por las plantas, siendo el N la fuente disponible. En este ensayo el valor del N varió entre 0.4 y 2% de la reserva de N total en el suelo, valor que coincide con os hallazgos de Philippot y Germon (2005)). Estos mismos investigadores encontraron que el Nit, compuesto de las fracciones NH4+ y NO3- tienen dinámicas complementarias en el suelo. Como se conoce, el NH4+ es el sustrato sobre el cual las bacterias oxidantes de amonio (BOA) desarrollan su metabolismo y, cuando éstas incrementan su actividad, dan como resultado final NO3-. En el presente ensayo se observó que cuando se aplicaron AV y AO combinado con FO predominó la amonificación, mientras que estos mismos abonos con la aplicación de FQ estimularon una mayor tasa de nitrificación, situación que se explica por la biomasa agregada a este suelo con limitaciones de oxigenación y por el efecto estimulante del fertilizante de síntesis química sobre la mineralización de la MO presente en el suelo.
En este ensayo la tendencia similar presentada con las aplicaciones de AV y AO con B en la expresión de CO fue afectada por la acumulación de este elemento, debido a que el suelo permaneció 8 años con residuos de barbecho, en decir, acumuló CO. Las respuestas con los tratamientos AV-FO y AO-FO fueron afectadas por las condiciones físicas del suelo y la tasa de mineralización. Para Adiku et al. (2010)) las aplicaciones de compost y otros materiales orgánicos son reguladas por la tasa de mineralización y condiciones del suelo, por tanto la acumulación de CO en el suelo ocurre de manera gradual.
La relación inversa entre CO en el suelo y la concentración de C en hojas de soya podría relacionarse con la habilidad de las leguminosas para fijar N2 y almacenarlo en forma de proteínas, lo cual es favorecido por el CO en el suelo.
Las acumulaciones de C y N en las hojas de soya fueron similares a las encontradas en las hojas de M. pruriens sembrada como AV en este ensayo, las cuales fueron, en promedio, 417 g/kg y 49 g/kg, respectivamente. Ngome et al. (2012)) encontraron valores de N entre 25 y 66 g/kg y Shoko et al. (2007)) entre 18 y 30 g/kg en hojas de maíz en floración. El N absorbido en edades tempranas por las plantas es altamente móvil vía floema a los distintos puntos de crecimiento en los órganos de la planta, donde permanece para luego ser movilizado en etapas de alta demanda como la floración y llenado de grano (Salisbury y Ross, 1994). Esta dinámica se reflejó en los procesos biológicos en el suelo y fisiológicos en los cultivos de maíz y soya.
En este trabajo las tendencias similares y aun en algunas diferencias significativas, el efecto del uso de las fuentes nitrogenadas sobre la acumulación de C y N en las hojas de soya y maíz posiblemente fue afectado por los procesos fisiológicos que sufre el N desde su absorción en el suelo hasta la distribución de los asimilados en los distintos órganos de la planta. Es decir, los procesos fisiológicos inherentes a cada etapa fenológica regulan el posible efecto de los tratamientos, ya que en varios trabajos de investigación, bajo condiciones totalmente diferentes, se encuentraron valores similares en los contenidos de estos nutrimentos (Malavolta et al., 1997; Shoko et al., 2007, Ngome et al., 2012; Sosa et al., 2014).
Conclusiones
En el sistema maíz-soya, la incorporación al suelo de materiales orgánicos de alta calidad (M. pruriens var. utilis - maíz como AV/AO) estimularon la mineralización y consecuentemente la dinámica del C y de las diferentes fracciones de N en el suelo, sin cambios significativos en el contenido de estos elementos en el tejido vegetal. La humedad fue el factor regulador que más influyó en estas actividades biológicas en el suelo.
Agradecimientos
Al Grupo de Investigación en Agroecología de la Universidad Nacional de Colombia, Sede Palmira, por el apoyo financiero y los recursos necesarios para ejecutar la investigación.
Referencias
Adiku, S.G.; Amon, N.K.; Jones, J.W.; Adjadeh, T.A.; Kumaga, F.K.; Dowuona, G.N. y Nartey, E.K. 2010. Simple Formulation of the Soil Water Effect on Residue Decomposition. In Journal Communications in Soil Science and Plant Analysis 41:267-276. https://doi.org/10.1080/00103620903460781.
Azcón Bieto, J. y Talón, M. 2000. Fundamentos de la Fisiología Vegetal. Madrid McGraw-Hill. 515 p.
Baijukya, F.; De Ridder, N. y Giller, K. 2004. Nitrogen release from decomposing residues of leguminous cover crops and their effect on maize yield on depleted soils of Bukoba District, Tanzania. J. Plant Soil, 279: 77-93. https://doi.org/10.1007/s11104-005-2504-0
Broadbent, F.F. 1984. Plant use of soil nitrogen. En: R.D. Haulk (Ed.), Nitrogen in crop production. ASA, CSSA y SSSA, Madison, Wi, EEUU. 171-182 p. https://dl.sciencesocieties.org/publications/books/abstracts/acsesspublicati/nitrogenincropp/171
FAO. 2015. El uso de fertilizantes sobrepasará los 200 millones de toneladas en 2018. http://www.fao.org/news/story/es/item/277654/icode/.
FENALCE (Federación Nacional de Cultivadores de Cereales y Leguminosas). 2017. Informe de Indicadores Cerealistas 2017A. 87 p. http://www.fenalce.org/archivos/indicer2017a.pdf
FENALCE (Federación Nacional de Cultivadores de Cereales y Leguminosas). 2011. Perspectivas cerealistas: Producción, Mercado, Clima. 40 p. http://fenalce.org/archivos/Perspectivas%20%20 No.81.pdf
Glass, A.D.M. 2003. Nitrogen use efficiency of crop plants: Physiological constraints upon nitrogen absorption. Crit. Rev. Plant Sci., 22:453-470. https://doi.org/10.1080/07352680390243512
IFA (International Fertilizer Association). 2005. World Fetilizer Use. IFA (Ed.), Paris, France. 124 p. http:// www.fao.org/documents/card/es/c/b0f8bfc5- 4c95-54b0-80cd-96b810006037/
Malavolta, E.; Vitti, G.C. y De Oliveira, S.A. 1997. Avaliaçâo do estado nutricional das plantas: principios e aplicaçôes. 2da Ed. rev e atual. POTAFOS. Piracicaba-SP. 319 p.
Moreno, B.A.M.; Narro, L.L.A.; Vanegas, A.H.; Molina, G.C.E.; Ospina, R.J.G. y Agudelo, M. 2008. Respuesta del maíz a la fertilización química en la zona cafetera central de Colombia. Cenicafé, 59:75-80. http://hdl.handle.net/10778/181
Ngome, A.F.E.; Becker, M. y Mtei, K.M. (2012). Leguminous cover crops differentially affect maize yields in three contrasting soil types of Kakamega, Western Kenya. Journal of Agriculture and Rural Development in the Tropics and Subtropics (JARTS), 112:1-10. http://nbn-resolving.de/urn:nbn:de:hebis:34-2011101139312
Philippot, L. y Germon, J. 2005. Contribution of Bacteria to Initial Input and Cycling of Nitrogen in Soils. https://doi.org/10.1007/3-540-26609-7_8 In: BUSCOT, François and VARMA, Ajit (Editors.) Microorganisms in Soils: Roles in Genesis and Functions. Leipzig, New Delhi: Springer-Verlag. 159-172 p.
Rao, I.M. 2009. Essential plant nutrients and their functions. Centro Internacional de Agricultura Tropical (CIAT), Working Document No. 36. Cali, Colombia. 36 p. https://cgspace.cgiar.org/bitstream/handle/10568/54682/essential_plant_nutrients.pdf?sequence=1&isAllowed=y
Revelli, G.R.; Gagliardi, R.C.; Sbodio, O.A. y Tercero, E.J. 2010. Propiedades fisicoquímicas en suelos predominantes del noroeste de Santa Fe y sur de Santiago del Estero, Argentina. Ciencia del suelo, 28:123-130. https://scholar.google.es/scholar?hl=es&as_Santiago+del+Estero%2C+Argentina&btnG=
Salisbury, B.F. y Ross, C.W. 1994. Fisiología Vegetal. Editorial Iberoamérica. México. 759 p.
SAS. 2002. User's guide Versión 9.1.3. SAS Institute Inc., Cary, NC, USA. https://support.sas.com/documentation/cdl/en/statug/.../viewer.htm
Sylvia, D.; Harter, P.; Fuhrmann, J. y Zuberer, D. 2005. (Editors). Principles and applications of soil microbiology. 2nd Edition. New Jersey: Pearson Prentice Hall. 640 p.
Shoko, M.D.; Tagwira, F. y Zhou, M. 2007. The potential of reducing nitrogen fertilizer rates using a soyabean-sugarcane production system in the South Eastern Lowveld of Zimbabwe. Afr. J. Agric. Res. 2:16-26. http://www.academicjournals.org/journal/AJAR/article-abstract/D6D871A33883
Sosa, B.A.; Sánchez, de P., Sanclemente, O.E. 2014. Influencia de abonos verdes sobre la dinámica de nitrógeno en un Typic Haplustert del Valle del Cauca, Colombia. Acta Agronómica. 63 (4) 2014, p 343-351. https://doi.org/10.15446/acag. v63n4.38528
Zribi, W.; Faci, J.M. y Aragüés, R. 2011. Efectos del acolchado sobre la humedad, temperatura, estructura y salinidad de suelos agrícolas. Separata ITEA. Información técnica económica agraria, 107:148-162. http://hdl.handle.net/10532/1796
Notas de autor
*Autor para correspondencia: breno.sosa@unah.edu.hn